| Скачать .docx |
Курсовая работа: Расчет приемника для связной УКВ радиостанции
Курсовой проект
по дисциплине:
«Устройства приема и обработки сигналов»
по теме:
«Расчет приемника для связной УКВ радиостанции »
Содержание
Исходные данные
1. Описание структурной схемы приемника
2. Расчет преселектора
2.1 Расчет входной цепи
2.2 Расчет цепей по постоянному току
2.3 Расчет выходного контура УРЧ
3. Расчет смесителя
4. Расчет УПЧ
5. Расчет АРУ
6. Расчет детектора
7. Расчет основных характеристик приемника
Приложение
Литература
Исходные данные
Диапазон рабочих частот 135… 187 МГц
Чувствительность – не хуже 0.5 мкВ
Избирательность:
по зеркальному каналу – не хуже 80 дБ
по соседнему каналу – не хуже 80 дБ
по промежуточной частоте – не хуже 80 дБ
Вид работы – телефония при частотной модуляции
Спектр воспроизводимых частот – 300… 3000 Гц
Девиация частоты – 5 кГц
Изменение напряжения на выходе детектора при изменении напряжения на антенном входе – не более ЗдБ.
Входное сопротивление УНЧ – 1 МОм.
1. Описание структурной схемы приемника
Структурная схема приемника приведена на рисунке 1. Приемник построен по супергетеродинной схеме с одним преобразованием частоты.

Промежуточная частота выбиралась из соображений обеспечения заданной избирательности по зеркальному каналу с применением одноконтурных избирательных цепей, и она равна 45 МГц. Необходимое ослабление зеркального канала составляет 80 дБ и оно распределено между входной цепью и колебательным контуром УРЧ поровну. Необходимое ослабление по каналу прямого прохождения осуществляется без принятия специальных мер во входной цепи и контуре УРЧ. Чтобы получить заданную избирательность по соседнему каналу использую монолитный кристаллический фильтр 45M20BF с характеристиками, приведенными в таблице 1.
Таблица №1. Характеристики фильтра
| Центральная частота |
45 МГц |
| Потери в фильтре |
3 дБ |
| Неравномерность полосы пропускания |
2.5 дБ |
| Полоса пропускания на частоте 3 дБ |
20 кГц |
| Ослабление при расстройке 25 дБ |
38 дБ |
| Входное и выходное сопротивления |
3900 Ом |
| Входная и выходная емкости |
1 пФ |
Таким образом, для получения заданной избирательности по соседнему каналу надо в цепь УПЧ поставить число фильтров равное:
![]()
Округляем в меньшую сторону и получим 2. Недостающую избирательность получим с помощью контура включенного между каскадами УПЧ.
Теперь надо определить требуемое усиление УРЧ, которое компенсирует потери в контуре входной цепи, контуре УРЧ, смесителе и фильтрах.
Для этого зададимся приблизительными данными:
– потери в контуре входной цепи: ![]()
– потери в контуре УРЧ: ![]()
– потери в одном фильтре: ![]()
– потери в смесителе: ![]()
Тогда, общие потери составят:
![]()

В качестве усилительного элемента УРЧ выбираю интегральную микросхему на полевом транзисторе S595T. Коэффициент усиления данной схемы составляет 28 дБ, следовательно, для получения требуемого коэффициента усиления УРЧ можно включить одну микросхему. Характеристики данного усилителя приведены ниже.

Смеситель построен по балансной схеме. В качестве диодов использую диоды с барьером Шотки 1PS79SB62. Характеристики диода приведены ниже.

Теперь следует определить требования, предъявляемые к гетеродину. Так как полоса пропускания фильтров ФСС составляет 20 кГц, а полоса, занимаемая сигналом – 16 кГц, то можем определить допустимую относительную нестабильность частоты гетеродина:
![]()
Для оптимальной работы смесителя амплитуда напряжения гетеродина должна составлять 1.4 В.
2. Расчет преселектора
Схема преселектора приведена на рисунке 2.

Рис. 2. Схема преселектора
2.1 Расчет входной цепи
Антенна подключена к входному контуру с помощью трансформаторной связи. Так как микросхема выполнена на полевом транзисторе, то ее включение во входную цепь осуществляется полностью.
Сопротивление антенны – 50 Ом. Входная емкость транзистора – 2.3 пФ. Вносимые потери усилителя в контур малы и поэтому мы не будем их учитывать.
Требуемый коэффициент перекрытия по диапазону равен:

Минимальная емкость контура определяется выражением:
,
где
– емкость подстроечного конденсатора
– емкость монтажа и катушки
– минимальная емкость подстроечного конденсатора
– входная емкость транзистора.
В качестве переменного выбираю конденсатор КП4–3В с параметрами
,
. Подстроечный конденсатор выбираю КЕ4–21 с параметром
.
Для диапазона емкость УКВ
. Входная емкость микросхем
. Отсюда, при подстановке формул получим:
![]()
Дополнительная емкость С находится из условия обеспечения требуемого коэффициента перекрытия по диапазону К по формуле:

После решения уравнения получим С = 10.9 пФ.
Характеристическое сопротивление контура равно:

Зная характеристическое сопротивление и минимальную емкость контура, можно найти индуктивность катушки:

Эквивалентная добротность контура необходимая для получения заданного ослабления зеркального канала определяется выражением:
, где
– требуемое подавление зеркального канала.
а
– обобщенная расстройка.
Она определяется для наихудшего случая, то есть для наибольшей частоты диапазона. Подставив данные, получим:

Резонансное сопротивление и сопротивление потерь контура можно определить по формулам:
![]()

Сопротивление вносимое в контур антенной определяется по формуле:
, где
– сопротивление антенны.
Эквивалентная добротность и потери, вносимые в контур, связаны следующим соотношением:

Подставив выражение для
в формулу для
и решив данное выражение, получим
.
Индуктивность катушки связи определяется выражением:
, где
– коэффициент связи катушек.
Коэффициенты передачи входной цепи по мощности и напряжению равны, соответственно:

,
где
– входное сопротивление схемы.
2.2 Расчет цепей по постоянному току
Для получения необходимого коэффициента усиления в микросхеме усилителя надо обеспечить на его втором затворе напряжение
. При этом напряжение сток-исток должно быть равно
, а ток стока
. При дальнейших расчетах током, потребляемым вторым затвором можно пренебречь, так как он значительно меньше Id. Сопротивление цепей питания определяются по формулам:
,
где
– ток потенциометра, принимаем равным приблизительно 1мА.


По ряду Е24 выбираю:

Емкости
и
выбираются из условий:
![]()
![]()
По ряду Е24 выбираю:

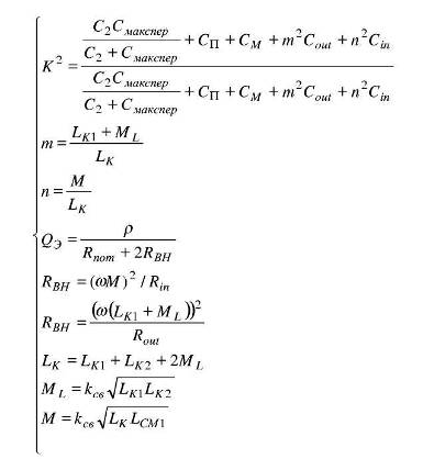
2.3 Расчет выходного контура УРЧ
Связь между контуром и выходом усилителя осуществляется с помощью автотрансформаторной связи. Контур УРЧ в свою очередь связан со смесителем через трансформатор. Подстроечный и переменный конденсаторы такие же, как и во входной цепи. Выходное сопротивление и емкость усилителя равны
,
. Входная емкость смесителя ориентировочно принимается равной сумме последовательно соединенных емкостей двух диодов
, а сопротивление – двум последовательно соединенным диодам
. Емкость монтажа и катушки выбираются такими же, как и во входной цепи.
Минимальная емкость контура равна:
![]()
Характеристическое сопротивление контура равно:


Ослабление зеркального канала составляет, как и во входной цепи 40 дБ. Следовательно, эквивалентная добротность равна Q 3 = 62.9.
Для нахождения значений катушки индуктивности контура
, смесителя
, коэффициентов взаимной индукции М и
, дополнительной емкости
и коэффициентов передачи тип составим систему уравнений:

После решения которой получим:

Причем коэффициенты трансформации равны:


По ряду Е24 выбираю емкость
.
Коэффициент передачи по мощности такой же как и во входной цепи и равен 0.23. Коэффициент передачи по мощности определяется выражением:

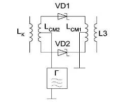
3. Расчет смесителя
В качестве преобразователя частоты используется балансный смеситель, схема которого приведена на рисунке 3.

Рис. 3. Балансный смеситель
В качестве диода выбрал диод с барьером Шотки 1PS79SB62. Схема преобразователя приведена на рисунке 3. Преобразователь связывается через трансформатор как с контуром УРЧ, так и с ФСС.
Максимальный коэффициент передачи по напряжению смесителя равен:
, где
– это резонансная проводимость контура без учета потерь, вносимых в контур со стороны смесителя.
– входная проводимость ФСС.
– проводимость преобразования
,
и
– прямая и обратная проводимости.
– это угол отсечки.
Зададимся напряжением гетеродина, равным
. Угол отсечки определяется по формуле:

![]()



![]()
![]()

Рис. 4. ВАХ диода 1PS79SB62
Определяем резонансное сопротивление контура УРЧ без учета потерь вносимых смесителем по формулам

Коэффициент передачи по мощности определяется по формуле:

Чтобы получить максимальный коэффициент передачи необходимо обеспечить оптимальное подключение контура УРЧ и фильтра к смесителю. Оптимальные коэффициенты включения определяются по формулам:


Теперь необходимо определить параметры катушек индуктивностей
,
и
выбираю равным
. Для нахождения
и М необходимо решить систему уравнений:

После решения системы получим:
![]()
![]()
4. Расчет УПЧ
Так как входное и выходное сопротивление фильтра равны, то буду включать их каскадно. Напряжение сигнала на входе детектора необходимое для правильной работы детектора 1 В. Что бы обеспечить такое напряжение коэффициент усиления УПЧ должен быть равен:
,
где
– напряжение на входе детектора
– чувствительность приемника.
В тракте УПЧ буду использовать усилители S595T. Один каскад дает усиление 28 дБ, тогда для получения заданного коэффициента усиления потребуется:
,
где
– коэффициент усиления одной микросхемы.
Округлив в большую сторону, получаю, что в тракте УПЧ будет находиться 6 усилителей.
Связь второго фильтра с входом первого усилительного каскада осуществляется через колебательный контур с помощью автотрансформаторной связи. Необходимо определить значения
обеспечивающих трансформацию выходного сопротивления фильтра в сопротивление равное входному сопротивлению каскада.
Подстроечный конденсатор подбираю таким, чтобы емкости фильтра и усилителя меньше влияли на параметры контура, таким образом, выбираю конденсатор КПК‑2 с
=8/6О пФ. Емкость монтажа беру такой же как и во входной цепи. Таким образом, емкость контура имеет вид (без учета вносимых емкостей):
![]()
Зная емкость, могу найти индуктивность фильтра:

Для нахождения остальных параметров составлю систему уравнений:

После решения данной системы получим:

Для согласования каскадов УПЧ буду использовать так же резонансный контур. Для этого надо решить систему уравнений, приведенную выше, но при этом вместо выходного сопротивления фильтра надо подставить выходное сопротивление усилителя
=2000 Ом. После решения системы получим:

Так же следует определить сопротивление нормальной работы усилителя:

По ряду Е24 выбираю 75 Ом.
5. Расчет АРУ
Расчёт детектора АРУ.
Будем строить детектор АРУ по последовательной схеме.

Рис. 5. Схема детектора АРУ
Постоянную времени цепи R 9 C 21 выберем так, чтобы она была более нескольких десятков периодов ВЧ колебания. Пусть С21 =120 пФ, а R9 =45 кОм. Тогда R 9 C 21 =54·10–6 сек или примерно 540 колебаний ВЧ сигнала, а входное сопротивление детектора будет примерно равно 0,5 R 9 или 22,5 кОм.
Для детектора выберем диод МВD 101.
Табл. 4. Характеристики диода MBD 101.
Электрические параметры
| Параметр |
Условие |
Макс. |
Единица |
| Емкость диода |
Частота 1 МГц, обратное напряжение =0 |
900 |
фента Ф |

Рис. 6. Зависимость постоянного тока через диод от напряжения на нём.
У этого диода очень малое динамическое сопротивление и малая ёмкость, поэтому коэффициент передачи амплитудного детектора, построенного на нём, будет весьма близок к единице.
Схема моделирования данного устройства в Or Cad представлена на рис. 7.

Рис. 7. Схема моделирования детектора АРУ
Здесь параллельно включенные резистор 1 МОм и конденсатор 3,5 пФ обозначают вход усилителя постоянного тока АРУ, а три источника, два усилителя, умножитель и сумматор – это источник АМ колебаний с глубиной модуляции 0,4.
Результаты работы схемы показаны на рис. 8. На этом рисунке зелёным обозначается сигнал с выхода источника, синим – с выхода детектора. Искажения сигнала нет, коэффициент передачи детектора близок к единице. При номинальном напряжении на входе приёмника на выходе УПЧ амплитуда напряжения будет 1 вольт, на выходе детектора АРУ – 0,62 В. Когда амплитуда напряжения с выхода УПЧ увеличится на 3 дБ (то есть станет равным 1,4 В), тогда на выходе детектора будет напряжение, равное 1 В.

Рис. 8. Результаты работы детектора АРУ
Расчёт усилителя постоянного тока АРУ.
Это устройство имеет следующую задачу: сформировать напряжение на своём выходе напряжение, равное 4 В, если напряжение на его входе меньше или равно 0,62 В, и напряжение, меньше или равное 2 В, когда напряжение на его входе больше или равно 1В.
Схема устройства представлена на рис. 9.

Рис. 9. Схема усилителя постоянного тока АРУ вместе с ФНЧ
В исходном состоянии транзистор заперт, а на выходе есть максимальное напряжение, определяемое делителем R12 R13 . На резисторе R10 , который вместе с конденсатором С22 образует развязку по цепи питания. Когда напряжение, поступающее с выхода детектора АРУ, превысит напряжение на резисторе R14 плюс напряжение, при котором транзистор заперт, появится ток стока IC . Он пойдёт по цепи +Е R10 R12 VT1 R14 0, и начнёт понижать напряжение на выходе, так как начнёт повышаться падение напряжения на резисторах R14 , R12 , R13 .
Выберем для этой схемы транзистор BF 908. Из проходной характеристики видно, для того, чтобы запереть транзистор, нужно напряжение затвор-исток -0,5 В, а его крутизна на начальном участке характеристики очень мала, и равна примерно 0,3 мА/В.

Пусть в исходном состоянии IC =0, и через делитель R11 R14 течёт ток I1 , а через R12 R13 – I2 . Напряжение с выхода детектора АРУ обозначим U1 .
Ток стока транзистора равен:
,
.

Напряжение I1
R14
определяет тот порог, при котором начинает уменьшаться напряжение на выходе. Оно должно быть на 0,5 В больше, чем такое напряжение с выхода детектора АРУ, при котором напряжение на входе приёмника равно номинальному. Поэтому
В.
, ![]()
![]()
![]()
Примем
В, R14
=820 Ом (Е48), тогда
кОм,
Тогда
Отсюда
Ом.
кОм Берём его по ряду Е 48 равным 31.6 кОм.
Пусть
Ом. (по Е24), R12
берём 10 кОм (по Е48), R11
берём 3320 Ом (по Е48).
Это справедливо, когда нагрузка не потребляет ток. Если это не так, то придётся корректировать сопротивления делителей.
На второй затвор необходимо подать напряжение относительно нулевого провода +4В.
Возьмём
кОм. Тогда
МОм.
Возьмём ёмкости С22 и С23 по 2 мкФ.
Результаты моделирования в Or Cad представлены на рис. 10. На нём видно, что при напряжении на входе, равном 0,6 В, напряжение на выходе только начинает снижаться, а при напряжении на входе, равном 1 В, напряжение на выходе равно 1,7 В.
Тем самым, при изменении напряжения на входе детектора АРУ с 1 до 1,4 В (3 дБ), коэффициент усиления электронных регуляторов падает на ~120 дБ.

Рис. 10. Зависимость напряжения на выходе схемы от входного
Назначением фильтра в цепи АРУ является выделение из продетектированного сигнала постоянной составляющей напряжения, пропорциональной амплитуде колебаний несущей частоты. Фильтр АРУ должен удовлетворять следующим требованиям:
1. Регулирующее напряжение на выходе фильтра должно успевать следить за наиболее быстрыми изменениями уровня сигнала на входе приёмника, обусловленными например явлением замирания. Это требование определяет максимально допустимое значение постоянной времени фильтра, однако делать слишком малой эту постоянную времени также нельзя.
2. Фазовый сдвиг по НЧ в фильтре должен быть минимальным, что необходимо для обеспечения устойчивой работы замкнутой цепи АРУ. Для улучшения взаимной развязки между отдельными звеньями электронных регуляторов приходится включать дополнительные RC звенья в цепи подачи напряжения на каждое звено электронных регуляторов. Это увеличивает общий фазовый сдвиг в цепи АРУ. Однако, если постоянную времени дополнительных звеньев выбрать много меньше постоянной времени основного фильтра, то дополнительный фазовый сдвиг окажется незначительным.
Выберем постоянную времени развязывающих фильтров равной 10-5 .
Тогда R18…22 возьмём по 10 кОм (по ряду Е24), а С25…29 по 1 нФ (по ряду Е24).
Выберем постоянную времени ФНЧ АРУ на R17 C24 равной двум периодам частоты модуляции или 4·10-2 сек. Возьмём тогда R17 =51 кОм (по ряду Е24), а С24 =0,82 мкФ (по ряду Е24).
По условию технического задания динамический диапазон напряжения на входе антенны
= 80 дБ, при этом изменение напряжения на выходе детектора не должно превышать
= 3 дБ. Разрабатываемая АРУ имеет экспоненциальную характеристику, следовательно, эффективность регулировки может быть найдена по формуле:
![]()

Глубина регулировки одного усилителя в тракте УПЧ равна
= 45 дБ. Следовательно, число каскадов, в которых следует изменять коэффициент усиления равно:
![]()
6. Расчет детектора
В детекторе буду использовать те же диоды, что и в смесителе. Применяемый детектор является дробовым. Схема его приведена на рисунке 5.

Рис. 12. Схема дробного детектора
Емкости связанных контуров
и
равны и выбираются из диапазона 200 – 250 пФ.
Возьмем их емкость 200 пФ. Индуктивности контуров также равны и вычисляются по формуле:

Теперь определим коэффициенты связи между
и
,
и
по выражениям:


Входное сопротивление детектора определяется по формуле:

Теперь определяем нагрузку детектора:

По ряду Е24 выбираем 13 кОм.
Постоянная времени цепи равна:
, отсюда

По ряду Е24 выбираем емкость 3.9 мкФ.
Индуктивность катушки связи определяется как:
![]()
Коэффициент подключения транзистора к контуру определяется из условия равенства вносимых сопротивлений со стороны детектора и транзистора:

Емкости, шунтирующие нагрузки детекторов равны:

По ряду Е24 выбираем 5.6 нФ.
Теперь можем определить коэффициент передачи детектора. Для этого сначала определим угол отсечки тока диодов:

Тогда крутизна характеристики детектирования равна:

Тогда коэффициент передачи детектора равен:

Обобщенная схема приемника приведена на рисунке 6.
7. Расчет основных характеристик приемника
Сначала следует определить коэффициент шума приемника. Для этого воспользуемся выражением:

Коэффициент передачи по мощности входной цепи равен КРВц = 0.23. Шумы УРЧ определяются коэффициентом шума микросхемы усилителя ШУРЧ =1дБ =1.26. Шумы преобразователя частоты – это шумы используемых диодов, которые равны Шпч =6дБ = 3.98. Коэффициент шума УПЧ складывается из шумов вносимых только первым каскадом и вычисляется по формуле:
![]()
Теперь можем определить коэффициент шума приемника, пересчитанный к его входу:

Зная коэффициент шума приемника, можем определить его чувствительность. Для этого воспользуемся выражением:
![]()
где
– сопротивление антенны, П – полоса пропускания приемника.
– коэффициент различимости.


Литература
1. Буга Н.Н. и др. Радиоприемные устройства: Учебник для вузов /Н.Н. Буга, А.И. Фалько, Н.И. Чистяков; Под ред. Н.И. Чистякова. – М.: Радио и связь, 1986. -320 с: ил.
2. Горшелев В.Д. и др. Основы проектирования радиоприемников. Л., Энергия, 1977. – 384 с. с ил.
3. Радиоприемные устройства: Учебник для вузов/ Н.Н. Фомин, Н.Н. Буга, О.В. Головин и др.; Под ред. Н.Н. Фомина. – М.: Радио и связь, 1996. – 512 с: ил.