| Скачать .docx |
Реферат: Расчет характеристик системы передачи дискретных сообщений
Тема: Расчет характеристик системы передачи дискретных сообщений
Исходные данные:
Структурная схема системы передачи дискретных сообщений:

ИС – источник сообщения; Д – дискретизатор; К – кодер; ЛС – линия связи; ДМ – демодулятор; ДК – декодер; Ф – фильтр-восстановитель.
Исходные данные
| amin ,В | amax ,В | Fc , Гц | j | Вид. мод | N0 , В2 /Гц |
| 0 | 25,6 | 106 | 198 | ФМ | 10-8 |
Способ приема - когерентный.
Источник сообщений.
Источник сообщений выдает сообщение а(t), представляющее собой непрерывный стационарный случайный процесс, мгновенные значения которого в интервале а min
amax
распределены равномерно, а мощность сосредоточена в полосе частот от 0 до Fc
.
Требуется:
1.
Записать аналитические выражения и построить график одномерной плотности вероятности мгновенных значений сообщения а(t).
2. Найти мат. ожидание и дисперсию сообщения а(t)
3. Построить график случайного процесса и на графике обозначить max значение сигнала, математическое ожидание и среднеквадратичное отклонение.
Вычисления.
1) 
=0.0390625

2)

σа = 14.78 В
Дискретизатор.
Передача непрерывного процесса осуществляется дискретными методами. Для этого сообщение а(t) дискретизируется по времени и квантуется по уровню с равномерным шагом. Шаг квантования по уровню Dа= 0,1В.
Требуется:
1. Определить шаг дискретизации по времени (Dt).
2. Определить число уровней квантования (L).
3. Рассчитать среднюю мощность шума квантования.
4. Рассматривая дискретизатор как источник дискретного сообщения с объемом алфавита L, определить его энтропию и производительность (Н, Н’ ), отсчеты, взятые через интервал Dt считать независимыми.
Вычисления.
![]()
![]()
![]()
![]()
Т.к. p(a1
)= p(a2
)=…= p(ai
), то ![]()
Следовательно
бит/символ
![]()
Кодер.
Кодирование осуществляется в два этапа.
Первый этап:
Производится примитивное кодирование каждого уровня квантованного сообщения k – разрядным двоичным кодом.
Второй этап:
К полученной k – разрядной двоичной кодовой комбинации добавляется один проверочный символ, формируемый простым суммированием по модулю 2 всех информационных символов (код (n, n -1) с одной проверкой на четность).
В результате этих преобразований на выходе кодера образуется синхронная двоичная случайная последовательность b( t) (синхронный случайный телеграфный сигнал), состоящая из последовательности биполярных импульсов единичной высоты, причем положительные импульсы в ней соответствуют символу «0», а отрицательные – символу «1» кодовой комбинации.
Требуется:
1. Определить число разрядов кодовой комбинации примитивного кода k , необходимое для кодирования всехL уровней квантованного сообщения.
2. Определить избыточность кода с одной проверкой на четность.
3. Записать двоичную кодовую комбинацию, соответствующую передачеj -го уровня, считая, что при примитивном кодировании на первом этапеj -му уровню ставится в соответствии двоичная кодовая комбинация, представляющая собой запись числаj в двоичной системе счисления. В полученной кодовой комбинации указать информационные и проверочные разряды.
4. Определить число двоичных символов, выдаваемых кодером в единицу времени Vn и длительность двоичного символа T .
Вычисления.
![]()
![]()
![]()
3) j=198. В двоичном виде-
| 0 | 1 | 1 | 0 | 0 | 0 | 1 | 1 |
| a8 | a7 | a6 | а5 | а4 | а3 | а2 | а1 |
проверочный разряд а9 = а8 +а7 + а6 + а5 + а4 + а3 + а2 + а1
В результате получаем кодовую комбинацию: 110001100;
4) Vn
= n/∆
t
=9/
=18·106
бит/с;
T = 1/Vn =5.5. 10-8 с.
Модулятор.
В модуляторе синхронная двоичная случайная последовательность биполярных импульсов b( t) осуществляет модуляцию гармонического переносчика Um = cos( 2π ft).
Фазовая модуляция (ФМ).
«0» - U0 ( t) = Um cos2π ft ;
«1» - U1 ( t) = -Um cos2π ft .
Требуется:
1. Записать аналитическое выражение модулированного сигнала U( t)=φ( b( t)).
2. Изобразить временные диаграммы модулирующего b( t) и модулированного U( t) сигналов, соответствующие передачи j -го уровня сообщения a( t).
3. Привести выражение и начертить график корреляционной функции модулирующего сигнала В(τ).
4. Привести выражение и начертить график спектральной плотности мощности модулирующего сигнала GВ (ω).
5. Определить ширину энергетического спектра модулирующего сигнала ∆ FB из условия ∆ FB =α Vk (где α выбирается в пределах от 1 до 3). Отложить полученное значение ∆ FB на графике GВ (ω).
6. Привести выражение и построить график энергетического спектра G U (ω) модулированного сигнала. (В случае ЧМ частоты сигналов U0 ( t) и U1 ( t) выбирать из условия их ортогональности на интервале Т ).
7. Определить ширину энергетического спектра ∆ Fu модулированного сигнала и отложить значение ∆ Fu на графике G u (ω).
Вычисления



|
|



![]()
График спектральной плотности мощности модулирующего сигнала GВ ( w) :

При увеличении
на один порядок мы наблюдаем следующую картину:

![]()
; ∆f
=2/T
=2/5.5.
10-8
=35·106
Гц ;
Гц; ![]()

При ФМ:
U0
(t)
= cos(2π
f0
t)
= cos(![]()
U1
(t)
= cos(2π
f0
t+π
)
=- cos![]()

Гц
Канал связи.
Передача сигнала U( t) осуществляется по каналу с постоянными параметрами и аддитивным флуктуационным шумом n(t) с равномерным энергетическим спектром N0 /2 (белый шум).
Сигнал на выходе такого канала можно записать следующем образом:
z( t) = U( t) + n( t)
Требуется:
1. Определить мощность шума в полосе частот Fk = ∆ Fu ;
2. Найти отношение сигнал – шум Рс /Рш ;
3. Найти пропускную способность канала С ;
4. Определить эффективность использования пропускной способности канала Кс , определив ее как отношение производительности источника Н’ к пропускной способности канала С .
Вычисления.
Вт
, где ![]()
;
Так как
;
![]()
![]()
![]()
Демодулятор.
В демодуляторе осуществляется оптимальная когерентная или некогерентная (в зависимости от варианта) обработка принимаемого сигнала z( t) = U( t) + n( t)
Требуется:
Записать алгоритм оптимального приема по критерию минимума средней вероятности ошибки при равновероятных символах в детерминированном канале с белым гауссовским шумом.
1. Нарисовать структурную схему оптимального демодулятора для заданного вида модуляции и способа приема.
2. Вычислить вероятность ошибки ρ оптимального демодулятора.
3. Определить, как нужно изменить энергию сигнала, чтобы при других видах модуляции и заданном способе приема обеспечить найденное значение вероятности ошибки ρ .
Вычисления.
1)

Для фазовой модуляции Е0 /2 = Е1 /2, U1 = – U0 , следовательно:


2)
3) P = 1/2 (1-Ф(х));
Ф(х) – функция Крампа

Дж
![]()

4. При когерентном приёме вероятность ошибки при АМ, ЧМ, ФМ определяется соотношением
, которое зависит от x.
х-
определяется из энергии сигнала, значит энергию измерять не надо, т.к. при других видах модуляции вероятность ошибки остаётся той же. ФМ обеспечивает наибольшую помехоустойчивость. Энергетический выигрыш её составляет в четыре раза по сравнению с АМ и в два раза по сравнению с ЧМ.
Декодер.
В декодере декодирование осуществляется в два этапа. На первом этапе производится обнаружение ошибок в кодовой комбинации. Если ошибки не обнаружены, то на втором этапе из нее выделяются информационные символы, а затем k – разрядная двоичная кодовая комбинация преобразуется в элемент квантованного сообщения.
Требуется:
1. Оценить обнаруживающую способность q кода (n, n -1) с одной проверкой на четность.
2. Записать алгоритм обнаружения ошибок.
3. Определить вероятность не обнаружения ошибки.
Вычисления.
1) dmin = 2; q = dmin –1 = 1
2) Кодовая последовательность:11000110
Если b
9
=
то, ошибки нет.
Если b
9
≠
то, ошибка есть.
n – число разрядов, n = 9
р
– вероятность ошибки в одном разряде, p = ![]()
![]()
![]()
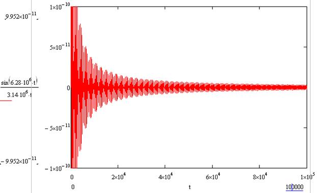
Фильтр – восстановитель.
Фильтр–восстановитель представляет собой фильтр нижних частот с частотой среза Fc .
Требуется:
1. Указать величину Fc .
2. Изобразить идеальные АЧХ и ФЧХ фильтра – восстановителя.
3. Найти импульсную характеристику g ( t ) идеального фильтра – восстановителя и начертить ее график.
Вычисления.
1) Fc = 106 Гц;
w
ср
=
=2·π·106
=6,28·106
2) Идеальная АЧХ фильтра – восстановителя имеет вид:
|
|

Идеальная ФЧХ:
|
|

3)
![]()
Так выглядит этот график при увеличении tна 2 порядка:
При увеличении на 3 порядка:

При увеличении на 7 порядков:

