| Скачать .docx |
Дипломная работа: Дипломная работа: Разработка конструкции антенного модуля СВЧ
Міністерство освіти та науки України
Запорізький національний технічний Університет
До захисту допущений
Зав. Кафедрою ____________
_________________________
„___” ________________2004
Пояснювальна записка до дипломного проекту
Розробка конструкції антенного модуля НВУ
Розробив
Введение
Сверхвысокие частоты получают все более широкое применение, т.к. есть возможность реализации в антеннах СВЧ характеристик, влияющих на внешние показатели качества всей радиосистемы. В диапазоне СВЧ антенны могут создавать остронаправленное излучение с лучом шириной до долей градуса и усиливать сигнал в десятки и сотни тысяч раз. Это позволяет использовать антенну не только для излучения и приема радианов на большие расстояния, но и для пеленгации, борьбы с помехами и других задач. Широко используются микроэлектронные устройства СВЧ, полосковые и микрополосковые линии передачи, в том числе выполненные на них фазовращатели, коммутаторы, вентили и т.д.
Фазированные антенные решетки – наиболее эффективные и перспективные антенные системы, т.к. позволяют осуществлять быстрый обзор пространства, многофункциональный режим работы, комплексирование радиосредств, адаптацию к конкретной радиообстановке, предварительную обработку сверх высококачественных сигналов и т.д.
Для работы антенной фазированной возникла необходимость в разработки интегрального модуля СВЧ, работающего в приемно-передающем режиме. Поэтому целью дипломного проекта является разработка модуля СВЧ, работающего в приемно–передающем режиме в составе фазированной антенной решетки, с использованием микрополосковой технологии и полосковых устройств СВЧ.
1. Анализ технического задания
1.1 Исходные данные
Электрические:
- схема электрическая принципиальная устройства высокочастотного ГКИЮ433375,001ПЭ3;
- перечень элементов ГКИЮ433375,001ПЭ3;
- высокое сопротивление
Ом;
- обратное напряжение источника питания по выводам Х8….Х13 минус 27В;
- верхняя частота диапазона в котором должны отсутствовать резонансные частоты
Гц.
Конструктивные:
- конструктивно модуль выполнить в виде герметичного корпуса;
- тип корпуса – чашечный;
- схема электрическая принципиальная устройства высокочастотного должна быть реализована на двух платах;
- платы установить по обе стороны корпуса;
- крепление плат к корпусу осуществить механическим прижимом;
- выводы Х8….Х14 должны обладать способностью к пайке с использованием бескислотных фиосов;
- масса блока не должна превышать 380г;
- габаритные размеры блока
мм;
- меры защиты от воздействия статического электричества по ОСТ11.073.062 – 84. Степень жесткости – 2.
Технологические:
- тип производства – мелкосерийное (до 10 штук в год);
- метод изготовления печатных плат – тонкопленочная технология;
- метод формирования рисунка печатных плат фотоштография;
- длину и ширину печатных проводников выполнить с точностью до
мм;
- применить запретное покрытие печатных проводников платы – золото;
- плату со стороны экрана металлизировать;
Эксплутационные:
- гарантийный срок хранения – 2740сут.
- гарантийный срок эксплуатации – 1825;
- гарантийная наработка – 625сут;
- температура окружающей среды при хранении и эксплуатации – от минус 30
до 50
;
- степень герметизации модуля должна обеспечивать его работоспособность в течении всего срока службы;
- климатическое исполнение – УХЛ по ГОСТ;
- модули должны быть стойкими к воздействию механических факторов, установленных в таблице 1.1
Таблица 1.1 –Механические и климатические факторы.
| Воздействующий фактор и его характеристики. |
Значение характеристики воздействующего фактора |
| Механические факторы: Синусоидальная вибрация: - диапазон частот, Гц; - амплитуда ускорения мс Акустический шум: - диапазон частоты, Гц; - уровень звукового давления; (относительно Механический удар одиночного действия: - пиковое ударное ускорение мс - длительность действия, мс |
1-500 50(5) 30 200(20) 5-10 |
| Воздействующий фактор и его характеристики. |
Значение характеристики воздействующего фактора |
| Климатические факторы: Атмосферное пониженное давление: - рабочее, Па (мм. рт. ст.); - предельное, Па (мм. рт. ст.); Пониженная температура среды: - рабочая, - предельная Смена температур: - от предельной повышенной температуры -от предельно пониженной температуры; Пониженная относительная влажность при температуре 20 Степень жесткости по ГОСТ20.57.406 81 Атмосферные конденсированния осадки (роса, иней) |
минус 50 минус 60 60 минус 60 98 ІІІ + |
1.2 Обеспечение технических требований.
Конструктивно модуль должен выполнен в виде корпуса, в котором должна размещаться устройство высокочастотное и крышки.
Устройство высокочастотное должно соответствовать схеме электрической принципиальной ГКИЮ 433375001Э3.
Конструкцию корпуса выбрать такой, чтобы в нем свободно размещались платы, был доступ к элементам, требующим регулировки.
Навесные элементы перед установкой на плату должны пройти входной контроль электрических параметров.
Необходимо обеспечить герметизацию всего модуля.
В конструкции корпуса предусмотреть защиту от внутренних и внешних источников помех.
Тонкопленочная технология изготовления плат должна обеспечить все требования, предъявляемые рисунку печатных плат.
2. Назначение и принцип действия интегрального модуля
Разрабатываемый модуль СВЧ представляет собой – передающее устройство и предназначен для работы в составе фазированной антенной решетки. Фазирующая система формирует необходимое фазовое распределение возбуждающих сигналов. Она состоит из набора управляемых фазовращателей, которые обеспечивают управление положением диаграммы направленности. Распределительная система построена на основе делителей мощности. При использовании фазированных антенных решеток в радиолокационных комплексах и устройствах радиосвязи с подвижными объектами возникает необходимость оперативно управлять формы диаграммы направленности, то есть перемешать луч в пространстве. Наибольшее распространение получило и используется в данном модуле электронное сканирование с помощью управляемых фазовращателей.
Согласно схемы электрической принципиальной ГКИЮ 433375001Э3, после поступления сигнала на входы Х1, Х2 прохождения его по коаксиально – полосковому переходу, он поступает на кольцевой делитель мощности, где происходит суммирования мощностей СВЧ сигнала, если к плечам делителя поступили два синфазных сигнала. После сигнала поступает на управляемый фазоврщатель, который реализуется в полосковом в микрополосковом варианте на плате. Через циркулятор, который работает только по часовой стрелке, сигнал поступает на проходной фазовращатель, представляющий собой согласованный по входу многополосных. После этого сигнал по выходу Х3 излучается.
Так как модуль работает в приемно – передающем режиме, то возможен другой вариант работы модуля по каналам «Х3» - «Х4, Х5» и «Х6,Х7». В этом случае сигнал поступает на вход Х3, а излучается через управляемые фазовращатели, которые устанавливают необходимую фазу излучения, по выходам Х7, Х4, Х5, Х6.
3. Особенности конструирования модуля СВЧ
3.1 Модульный принцип конструирования
в радиоэлектронной аппаратуре модулем называют типовой функциональный узел, предназначенный для сборки в общую компоновку, имеющий габаритный и присоединительные размеры, обеспечивающие взаимозаменяемость модулей данного типа.
Модульная конструкция обеспечивает достаточную механическую прочность, электромагнитную экранировку и защиту от окружающей среды.
Конструктор решает сколько функций должен выполнить модуль. исходя из принципов миниатюризации и увеличения степени интеграции, топологию схемы модуля целесообразно выполнять на одной диэлектрической подложки. В таком многофункциональном модуле уменьшается число соединений отдельных узлов, что упрощает технологию изготовления и увеличивает надежность. Однако недостатками такого многофункционального модуля является:
- низкая преемственность разработок, поскольку возможности стандартизации в этом случае ограничено;
- испытание, настройка элементов схемы и выявления причин брака существенно осложняются из – за трудностей измерения параметров отдельных элементов, входящих в сложную интегральную схему (ИС) СВЧ;
- размещение на одной подложке большого числа элементов, что приводит к многочисленным паразитным связям, а из – за большой площадки подложки возрастают размеры корпуса, что увеличивает вероятность паразитных резонансов корпуса;
- изготовление крупных керамических подложек фотолитография по большим площадям обычно дают пониженный выход горных изделий.
Для решений вышесказанных проблем часто используют компромиссный метод конструирования. Конструкция сложного интегрального модуля при этом представляет собой сборку из ряда функциональных модулей или отдельных плат, установленных в сменных отсеках корпуса, разделенных экранирующими. Такое разделение модуля на отдельные узлы позволяет проводить испытание и наладку их перед сборкой. При этом возможны стандартизация отдельных узлов, используемых в схеме.
3.2 Корпуса модулей СВЧ
Корпус предназначен для предохранения интегральной схемы от воздействия окружающей среды, экранировки от внешних электромагнитных полей, теплоотвода, а также крепление подложки и других элементов схемы и т.д.
Конструкция корпуса представляет собой металлический короб. Его дно, крышки и стенки чаще всего имеют прямоугольную форму, что обусловлено конфигурацией стандартных подложек и удобством присоединения переходов. По типу конструкции корпуса подразделяют на рамочные, коробчатые, пенальные, пластинчатые.
Коробчатый корпус часто используется в экстремальных условиях, так как его легко изготовить фрезерованием, а наличие боковых стенок позволяет располагать на них коаксиальные переходы фланцевой и соосной конструкции. При серийном изготовлении можно использовать литье, штамповку, прессование из пластмассы и металлизацию гальвано – пластических способом. Плата в корпусе крепится либо механическим прижимом ко дну с помощью винтов или других элементов, либо припайкой металлизированной экранированной стороны платы ко дну корпуса. Недостатки корпуса: сложность размещения навесных компонентов, сложность припайки платы ко дну корпуса и соответственно смены платы при ремонте.
Рамочные корпуса в основном используются в узлах несимметричных или симметричных полосковых линиях, компланарных и щелевых линиях. Конструкция позволяет осуществить одно и двухъярусные расположение плат. Достоинство корпусов – в их технологичности дешевизне, простоте сборки, удобстве расположения навесных компонентов с обеих сторон платы, относительной легкости смены платы при ремонте. К недостаткам относят довольно большую (по сравнению с другими типами) протяжность швов, которые необходимо герметизировать.
Конструкция пенального корпуса позволяет осуществлять одно и двухъярусное расположение плат. Корпуса удобны для серийного производства. Достоинство корпусов: возможность предварительного контроля и подстройки схем на НПЛ перед установкой в пенал, уменьшена длина шва, которой необходимо герметизировать. Недостатки: возможность расположения СВЧ переходов только двух стенках корпуса, сложность ремонтных работ, для проведения которых требуется разгерметизация шва и полная разборка корпуса.
Пластинчатые корпуса используют в устройствах на СПЛ. Существует много вариантов конструкции данного корпуса, отличающихся в основном материалами, используемыми для создания пластин (обкладок). Достоинства пластинчатых корпусов – в их конструктивной простоте, что упрощают их серийный выпуск и облегчают сборку и ремонт. Эта конструкция более предпочтительна для негерметизированных узлов. Недостатки: относительная сложность герметизации, зависимость узла от равномерности прижима плат друг к другу т.е. от качества механической сборки.
При выборе материала корпуса руководствуются требованиями уменьшения массы, снижения стоимости изготовления, соответствия температурного коэффициента линейного расширения материала корпуса и подложки, возможность пайки и хорошей теплопроводности и т.д. Для корпусов применяют латунь, сплавы алюминия, титан, ковар и др. Свойства материалов корпуса приведены в таблице 3.1 [1]:
Таблица 3.1 – Свойства материалов корпусов
| Материал (ГОСТ) |
Плотность, |
КТЛР 11 |
| Титановый сплав ВТ 1-0 ГОСТ 1980 – 74 Титановый сплав ВТ 5-1 ГОСТ 19807 – 74 Алюминиевый сплав В-95 ГОСТ 4784-74 Алюминиевый сплав Ал-2 ГОСТ 2685-63 Медь М 1 Сплав 29НК (ковар) ГОСТ 10994-74 Латунь Л-63 ГОСТ 15527-70 Алюминиевый сплав Д-16 ГОСТ4784-74 |
4,52 4,52 2,85 2,65 8,94 8,20 8,43 2,78 |
8,2 8,3…8,9 24,0 21,1…23,3 16,6…17,1 4,0…5,2 20,6 22,0 |
Согласно технологическому заданию тип корпуса разрабатываемого модуля – коробчатой (чашечной). Плата устанавливается в корпус и крепится механическими пружинами ко дну с помощью винтов. Плата крепится металлизированной экранной стороной ко дну корпуса через термокомпенсирующие прокладки из металлической сетки, чтобы снизить напряжение, возникающие из–за материалов корпуса и подложек.
Максимальный размер корпуса ограниченный возможностью возбуждения в прямоугольном резонансе, в котором является внутренняя полость корпуса. Максимальный размер корпуса приведен в исходных данных.
3.3 Плата модулей СВЧ
К платам предъявляют требования по внешнему виду, электрическим параметром, устойчивости при климатических или механических воздействиях и надежности. По внешнему виду проводящий рисунок должен быть четким, без рваных краев, вздутий, отслоенный, разрывов, протравов, темных пятен, загрязнений и окислов. На поверхностях проводящего рисунка не должно быть технологических повреждений и посторонних включений. элементы печатного контакта должны обеспечивать правильность монтажных соединений (соответствие целей технической документации, целостность электрических соединений, отсутствие коротких замыканий). Контактные площадки металлизированные отверстия должны обладать способностью равномерно смачиваться припоем при воздействии его на плату в течение 3с.
Печатные платы должны сохранить конструкцию, внешний вид и электрические параметры в пределах норм, а также соответствовать техническим условиям на изделие в рабочем режиме в течение гарантированного срока службы. Надежность печатных схем влияет на надежность модуля. Она проверяется в составе модуля и определяется минимальным значением вероятности безотказной работы.
Каждая плата имеет маркировку с указателем индекса или чертежного номера платы, а также дату изготовления и штамп ОТК о приемке.
Плата выполняет функцию основания на котором формируются пленочные элементы.
В зависимости от назначения платы выбирают материалом основания. Характеристики некоторых материалов, использованных для некоторых материалов, используемых для печатных полосковых плат, приведены в таблице 3.2 [2].
Для микрополоскрвых плат требуется материал, обладающий высоким
(диэлектрическая пронициаимость) малыми потерями, постоянством
в широком диапазоне частот и температур, высокой степени частоты, малой пористостью, высокой теплопроводностью, низкой стоимостью.
Таблица 3.2 - Электрофизическое механические характеристики материалов плат
| Характеристики материала |
Ситалл СТ50-1 ТХО.781 009ТУ |
Ситалл СТ38-1 ТХО.781 002ТУ |
Керрами-ка «Поликор» ще 0,781 000ТУ |
Кварцевое стекло (плавлен-ия ) кварц |
Сапфир |
Брокерит -9 |
|||||||||
| 1. Класс частоты поверхности |
13,0-14,0 |
13,0-14,0 |
12,0-14,0 |
14,0 |
14,0 |
8,0-10,0 |
|||||||||
| 2. Температурных коэффициент линейного расширения, х |
47,0- 51,0 |
38,0 |
75,0-85,0 |
85,0 |
80,0 |
79,0 |
|||||||||
| Характеристики материала |
Ситалл СТ50-1 ТХО.781 009ТУ |
Ситалл СТ38-1 ТХО.781 002ТУ |
Керрами-ка «Поликор» ще 0,781 000ТУ |
Кварцевое стекло (плавлен-ия ) кварц |
Сапфир |
Брокерит -9 |
|||||||||
| 3. Теплопроводность, Вт/(м*к) |
1,2 |
1,3 |
35,0 |
12,6 |
37,5 |
125,5 |
|||||||||
| 4. Температура размягчения, |
620,0 |
- |
1600,0 |
1500,0 |
1900,0 |
1900,0 |
|||||||||
| 5. Диэлектрическая проницаемость при частоте 10 |
8,5 |
7,4 |
9,6 |
3,8 |
9,3-11,7 |
6,6 |
|||||||||
| 6. tg |
20,0 |
20,0 |
1,0 |
3,0 |
1,0 |
6,0 |
|||||||||
| 7. Электрическая прочность, кВ/мм |
40,0 |
40,0 |
50,0 |
40,0 |
50,0 |
50,0 |
|||||||||
| 8. Удельное сопротивление, Ом*см |
1,0- |
- |
1,0* |
1,0* |
1,0* |
1,0* |
|||||||||
| 9. Допустимое значение рассеиваемой мощности на единицу площади подложки, Вт/см |
6,0 |
- |
6,0 |
- |
- |
- |
|||||||||
Керамика отличается высокой механической прочностью, твердостью, стабильностью размеров во времени и при воздействии технологических процессов изготовления полосковых схем. Керамические материалы допускают воздействия высокой температуры 1300
при технологических процессах, диапазон рабочих температур -60…+700
. Водопоглощение мало зависит от пористости керамики (0 для керамики «Поликор»). Наилучшими характеристиками обладают из подложки материалов содержащих 98…100% окиси алюминия (
): поликор (99,7%), сопфирит (98%) и др.
В полосковых схемах применяют керамику с повышенной диэлектрической проницаемостью (выше 10). Она используется в качестве подложки СВЧ – схемы с высокой степенью интеграции. Отличительное свойство имеют сесталлы: малая пористость, низкое водопоглощение (0,02%), низкая газопроницаемость, высокая термостойкость, малая теплопроводность, возможность получение подложки с высоким классом обработки поверхности. К недостаткам можно отнести малую теплопроводность по сравнению с керамическими материалами.
В разрабатываемом модуле платы выполняются на подложках из керамики «Поликор», характеристики которой приведены в таблице 3.2.
Для зашиты материалов от атмосферных воздействий необходимы покрытия – золото с лицевой стороны, со стороны экрана – олово – висмут.
3.4 Экранирование модуля СВЧ
Корпус модуля выполняет функцию экрана, обеспечивая электрогерметичность модуля. Он защищает внутренние элементы модуля от воздействия внешних электро – магнитных полей и препятствует их излучению вр внешнее, по отношению модуля пространства.
Эффективность экранирования электромагнитного поля излучения рассчитываетсяпо формуле [3]:
(3.1)
где
- волновое сопротивление воздуха, Ом;
- волновое сопротивление метала, Ом;
- глубина скин – слоя, мм;
- толщина экрана, мм;
Волновое сопротивление метала рассчитывается по формуле [3]:
(3.2)
где
- круговая частота, Гц;
- магнитная проницаемость (относительная) материала;
- удельная проводимость материала, См/см.
На основании формул 3.1 и 3.2 приведен оценочный расчет эффективности экранирования разрабатываемого модуля, исходными данными для которого являлись:
- материал корпуса – Ал – 2;
- удельная проводимость материала корпуса –
См/см;
- толщина экрана – 5 мм;
- рабочая частота -
Гц;
- эквивалентная глубина проникновения (глубина скин - слоя) – 0,0015мм.
Согласно (3.2)
=168Ом. Согласно (3.1): Э=
.
В результате расчета эффективность экранирования получилась очень большой. Это значит, что корпус (экран) обеспечивает требуемую помехозащищенность.
Разрабатываемый модуль разрабатывается на отдельные функциональные узлы, которые размещаются на платах. Фазовращатель и циркулятор представляют собой законченные изделия. Узлы помещаются в стеки модуля, которые создаются с помощью двух перегородок в корпусе. Это позволит разделить вход и выход модуля для устранения взаимного влияния, а также обеспечит возможность контроля и настройки электрических параметров до окончательной сборки. Перегородки в корпусе выполняют роль экрана.
На внутреннею часть крышки необходимо приклеить поглотительную радиоткань.
3.5 Герметизация модуля СВЧ
Большинство модулей СВЧ выполняют виде герметичной конструкции для зашиты схемы от внешних воздействий, из которых наиболее опасной является влага. Для создания герметичной конструкции используют корпус, который имеет две области герметизации: у выходов и в области соединительного шва крышки с корпусом. Герметизация выводов может быть металлостеклянной, металлокерамической или металополимерной. Для герметизации широко используют такие неорганические материалы как смода, кварц, керамика, стекло.
Герметическое соединение крышки и корпуса производится сваркой, пайкой или склеиванием в зависимости от материала, и конструкции корпуса, расположение выводов, серийности производства и т.д. Так пластмассовые корпуса подвергают химическому никелированию с последующим гальваническим покрытием олово – висмутом или герметизируют клеевыми композициями на основе эпоксидно – полиамидного клея или низкотемпературным стеклоцементами.
Широкое распространение получила герметизация корпуса рисунок 3.1 путем слойки крышки с корпусом по контуру с применением резиновой прокладки 3 и стальной луженой проволоки 4. Закладка проволоки позволяет выкрывать корпуса при проведении ремонтных работ, резиновая прокладка препятствует попаданию припая и финоса внутрь корпуса.
При проведении герметизации воздух из модуля откачивают через металлическую трубку, а затем через эту же трубку под избыточным давлением вводят сухую смесь, содержащую гелий, после чего отверстие трубки закрывают. Контроль герметичности осуществляется с помощью гелиевого течеискателя, который настроен на регистрацию гелия в газовой смеси, утечка которой происходит из-за разности давления внутри и снаружи корпуса.
Герметизация разрабатываемого модуля осуществляется с помощью паяного соединения корпуса и крышки. Корпус и крышка выполнены из алюминиевого сплава. Поверхности, обращенные герметизирующему шву, предварительно герметически покрываются слоем олова. В паз укладывается расшивая прокладка, с верху которой стальная мягкая проволока. Паз вместе с проволокой заливается легкоплавким припоем. Один конец проволоки остается скручен и укладывается в паз крышки. Резиновая прокладка не позволяет припою затекать на дно паза и запрещает внутренний объем модуля от проникновения газов в момент пайки. При проведении ремонта проволоку за свободный конец вырывают из паза и легко вынимают крышку из корпуса. Такая герметизация позволяет вскрыть модуль без повреждения детали.
Для надежной работы модуля после герметизации откачивают воздух и заполняют органом высшего сорта ГОСТ 10157-79 с избыточным давлением
Па. Это позволяет избежать проникновения внутрь корпуса.
Согласно технологическому заданию модуль должен быть герметичным. Поэтому необходимо провести расчет допустимой скорости натекания.
Исходные данные для расчета:
- внутренний объем корпуса – 314, 28 см
;
- наименьшая толщина сечения корпуса – 0,05 см;
- вид газа, заполняющей корпус – аргон;
- критическая относительная влажность внутри корпуса, приведенная к температуре 20
- 60%;
- среднемесячная температура хранения - 20
;
- среднемесячная относительная влажность воздуха – 65%;
- гарантийный срок хранения – 2740 сут;
- верхнее значение рабочей температуры окружающей среды - 65
;
- гарантийный срок эксплуатации – 1825 сут;
- гарантийная наработка – 625 сут;
Допустимая скорость натекания расщитывается по формуле [4]:
(3.3)
где
- допустимая скорость натекания, м
Па/с;
- коэффициент, равный
при определении допустимой скорости натекания в м
Па/с (11,48 при определении допустимой скорости натекания в л*лекшрт.ст/с);
- внутренний свободный объем корпуса, см
;
- наименьшая толщина сечения корпуса, см;
- критическое парциальное давление водяных паров, Па (мм,рт.ст);
- наружное парциальное давление водяных паров, Па (мм.рт.ст);
- суммарный срок хранение и эксплуатации, приведенный к условием хранения, серт;
- коэффициент диффузии смеси воздух – водяной пар в газ, заполняющий корпус, см
/с.
Критическое парциальное давление
водяных паров по формуле [4]:
(3.4)
где
- коэффициент, равный
при измерении парцельного давления в Па (17,54 – при измерении парциального давления в мм рт. ст);
- критическая относительная влажность внутри корпуса, приведенная к температуре 20
, %,
Наружное парциальное давление водяных паров для заданных условий хранения следует определять по таблице 3.3.
Суммарный срок хранения и эксплуатации, приведенный к условиям хранения, когда гарантийный срок хранения предшествует гарантийному сроку эксплуатации, следует определить по формуле [4]:
(3.5)
где
- гарантийный срок хранения, сут;
- гарантийный срок эксплуатации, сут;
- гарантийная наработка сут;
- коэффициент приведения гарантийной наработки (ресурса) к условиям хранения (таблица 3.3).
Значение коэффициента диффузии смеси – воздух водяной пар в газ, определяют по таблице 3.4.
Таблица 3.3 - Данные для расчета допустимой скорости натекания
| Условие хранения |
Наружное парциальное давления водяных паров, Па (мм рт.ст) |
Коэффициент приведения гарантийной наработки к условиям хранения в зависимости от верхнего значения рабочей температуры |
| Среднемесячная температура хранения 20 |
1519,8 (11,4) |
1,27 |
| Среднемесячная температура хранения 27 |
2773,0 (20,8) |
1,22 |
Таблица 3.4 – Коэффициент диффузии смеси, водяной пар – в воздух
| Вид газа, заполняемого корпус |
Среднемесячная температура хранения |
|
| 20 |
27 |
|
| Азот Гелий Аргон Смесь аргона с гелием 50:50% (по объему) |
0,182 0,566 0,166 0,237 |
0,188 0,583 0,171 0,245 |
Таблица 3.5 – Результаты расчета
| Параметр |
Значение |
| 1. Коэффициент К при определении допустимой скорости натекания в: - м - л*мкм рт.ст/с 2. Внутренний свободный объем корпуса, см 3. Наименьшая толщина стенки корпуса, см 4. Критическое парциальное давление водяных паров, Па (мм рт.ст) 5. Наружное парциальное давление водяных паров, Па (мм рт.ст) 6. Суммарный срок хранения и эксплуатации, приведенный к условиям хранения, сут 7. Коэффициент диффузии смеси - воздух водяной пар в газ, заполняющий объем корпуса, см 8. Допустимая суммарная скорость натекания, м |
11,480 314,280 0,050 1398,000 (10,524) 1519,800 (11,400) 4733,000 0,166
|
4. Исследование аналогичных конструкций модулей СВЧ на базовом предприятии
На базовом предприятии разрабатываются различные модули СВЧ. Среди них есть такие модули как 794ВВЗ, 794ВВ2, ДАЧГУО, 204ГБ07 и другие.
В модуле 794ВВ3 конструктивно блок представляет собой герметичный корпус рамочного типа с запаянными с двух сторон крышками. В нутрии корпуса установлена микрополосковая плата. Внутренний объем модуля заполнен аргоном с избыточным давлением
Па. Снаружи блока установлены СВЧ – розетки. Блок покрыт эмально защитного цвета. Для крепления блока в изделии корпуса имеется четыре элемента крепления.
Модуль 794ВВ2 имеет блок конструктивно представляющий собой герметичный корпус рамочного типа с запаянными с двух сторон крышками и скобой на которой установлены резистор и переход. Скоба к корпусу крепится механически. Внутри корпуса установлена микрополосковая плата. Внутренний объем блока заполнен органом с избыточным давлением
Па. Снаружи блока установлены СВЧ – розетки. Блок покрыт эмально защитного цвета. Для крепления блока в изделии корпуса имеется три элемента крепления.
Интегральный модуль ДАЧГУО состоит из трех каскадов усилителя, трех ферритовых вентилей, двух плат стабилизаторов напряжения. конструктивно модуль выполнен в виде герметичного модуля. Крепятся плоты пайкой, а транзисторы и вентили механическим прижимом. Модуль имеет невыпадающие венты для крепления его в составе шкафа. Предназначен для предоконечного усиления сигнала передатчика.
Модуль СВЧ 204Б07 предназначен для формирования сигнала гетеродина изделия и входит в состав шкафа. Состоит из кварцевого генератора, умножитель частоты, фильтра гармоник, плата управления, вентилей, резонатора кварцевого. Конструктивно модуль представлен собой корпус рамочного типа с двусторонним расположением плат, экранированных друг от друга. Корпус модуля герметичен.
5. Разработка микрополосковой платы
5.1 Расчет пленочных резисторов
Исходными данными для расчета пленочных резисторов являются:
- номинальные значения резисторов (таблица 5.1)
- предельные отклонения от номинального значения (допуск)
(таблица 5.1);
- мощность рассеивания
;
- рабочий диапазон температур (таблица 1.1);
- точность формирования геометрических размеров (ширины
мм, длина
мм)
Материалы, принимаемые для изготовления резисторов, должна обеспечивать получения широкого диапазона стабильных во времени сопротивлений, обладающий научным температурным коэффициентом сопротивления и высокой коррозийной стойкостью. Тонкопленочные резисторы можно изготовлять из металлов, сплавов, полупроводников и смесей металлов и неметаллов (кермесы). Материалы наиболее часто применяемые для изготовления резисторов приведена в таблице 5.2.
Наилучшими характеристиками обладает сплав РС3710.
Таблица 5.1 – Номиналы резисторов
| Номер позиции |
Номинальные значения, Ом |
% |
Вт |
|
| R1 – R3 R4 |
100 100 |
2.5 2.5 |
0.1 0.4 |
125 125 |
Таблица 5.2 – Электрические характеристики материалов для пленочных резисторов
| Резистивная материя |
Диапазон сопротивлений, ОМ |
Удельное сопротивление,
|
Удельная допустимая мощность рассеивания, мВт/мм |
ТКС |
| Хром ЭРХ ЧСТУ5-30-70 Нихром Х20Н80 ГОСТ 12766-67 Кермет К-50С 0,02 101ЗТУ Сплав РС3710 ЕТО021,034ТУ |
0,500-30,000 0,005-30,000 1,000-1000,000 1,000-200,000 |
200-500 100-300 3,000-10,000 3000 |
10 20 20 20 |
1,8-2,0 2,5 -5,0….+3,0 1,0 |
Материал резисторов пленочных для разрабатываемых плат выбран – РС3710, так как он обладает наиболее способными во времени свойствами.
Конкретное значение удельного поверхностного сопротивления резистивной пленки выбирается ближайшим к оптимальному, разшитаному по формуле [4]:
(5.1)
где
- погрешность коэффициента формы;
- номинальное значение
резистора, Ом;
- число резисторов;
Для определения
используется формула [4]:
(5.2)
где
- предельное отклонение от номинального значения сопротивления (2,5%)
- погрешность воспроизведения удельного поверхностного сопротивления резистивной пленки (1%);
- температурная погрешность (0,013%);
- погрешность, обусловленная старением пленки (0,237%);
- погрешность переходных сопротивлений контактов (1%);
Погрешность коэффициента формы согласно (5.2)
=0,25. Удельное поверхностное сопротивление резистивной пленки согласно (5.1)
=100Ом/
.
Конфигурация резисторов определяется их функциональными назначениями, номинальным значением, удельным сопротивлением резистивной ленки, точностью, предъявляемой к их изготовлению, технологическим процессом их изготовления, площадью на плате, отъеденной под резистор.
Основным параметром пленочных резисторов является коэффициент формы [4]:
(5.3)
где
- длина резистора, мм;
- ширина резистора, мм;
- номинальное значение сопротивления резисторов, Ом;
- удельное сопротивление резисторной пленки, Ом/
.
Согласно (5.3)
= 1, значит результаты имеют форму квадрата и
.
Расчетное значение длины резистора
должен быть не меньше наибольшего значения одной из трех величин [4]:
(5,4)
где
- минимальная длина резистора, определяемая возможностями технологического процесса (
тонкопленочной технологии = 0,1мм);
- длина резистора, определяемая точностью изготовления, мм;
- минимальная длина резистора, при которой обеспечивается заданная мощность рассеяния, мм;
Длина резистора, определяемая точностью изготовления
, рассчитывается по формуле [4]:
(5.5)
где
,
- точность формирования геометрических размеров резистора, мм;
- коэффициент формы;
- погрешность коэффициента формы.
Для определения минимальной длины регистра, при которой обеспечивается заданная мощность рассеивания, используют формулу:
(5.6)
где
- заданная мощность рассеивания, Вт;
- удельная мощность, которую может рассеять единица площади материала, Вт/мм
.
За длину резистора
принимается ближайшее целое значение
, краткое шагу координатной сетки, принятому для чертежа топологии.
Расчетное значение ширены резистора
определяется по формуле [4]:
(5.7)
За ширину результата принимается ближайшее к
целое значение, краткое шагу координатной сетке, принятому для чертежа топологии.
При
=1 достаточно провести расчет лишь для длины резистора, так как
.
Результаты расчета резисторов сведены в таблицу 5.3.
Таблица 5.3 – конструктивный расчет резисторов
| Номер позиции |
Номинальное значение, Ом |
Ом/ |
|
Вт |
мм |
мм |
|
|
100 100 |
100 100 |
1 1 |
0,1 0,4 |
1 2 |
1 2 |
5.2 Расчет геометрических размеров элементов
Структура проводников полосковых схем практически всегда многослойна, что позволяет добиться требуемой аргезии проводника к диэлектрическому основанию, достаточно малых потерь к высокой устойчивости к коррозии. Поэтому первый (от диэлектрического основания) слой проводника – высокоомный материал с хорошими оргезионными свойствами, второй слой – основной проводник – материал с высокой проводимостью, третий обеспечивает защиту от воздействия внешней среды и лужения всего проводника, либо его части, для проведения монтажных операций. В таблице 5.4 приведены характеристики материалов, используемые при изготовлении микро полосковых схем.
Сопротивление неэкранированной микро полосковой линии от трех параметров:
-
- относительная диэлектрическая проницаемость материала на подложке;
-
- толщина диэлектрической подложки, мм;
-
- ширина проводника микро полосковой линии, мм;
Волновое сопротивление неэкранированной микро полосковой линии определяется выражением [5]:
, Ом (5.8)
Таблица 5.4 – Характеристики материалов
| Металл |
Относительное удельное сопротивление, |
*м* |
См/м |
Поверхностное сопротивление пленки |
КТ-ЛР
|
ТКС,
|
Температура плавления, |
| Золото Никель Олово Хром Медь |
0,941 4,01 6,62 7,6 1,0 |
0,0162 0,069 0,114 0,13 0,0172 |
6,6 1,28 0,90 0,77 5,9 |
2,7 13,0 - - 2,8 |
18,6 13,2 23,0 6,2 16,6 |
- 0,0047 0,0042 - 0,0039 |
961 1453 232 1900 1083 |
Микро полосковую линию конструктор варьируя параметрами
и
. Поэтому рабочие характеристики МПЛ, в том числе и ее волновое сопротивление (
), определяется через соотношение
. Выразим указанное соотношение через Х:
(5.9)
Подставим (5.9) в (5.8) м выразим Х:
![]()
Преобразуем полученное выражение:
(5.10)
Для решения уравнения (5.10) применяется метод Ньютона, который заключается в последовательном приближении к искомому значению корня с заданной точностью
. Каждый последующий К+1 корень уравнения определяется выражением:
![]()
где
- значение функции для предыдущего (к-го) значения корня;
- значение производной функции для предыдущего (к-го) значения корня;
,
- предыдущее и последующее значение корня;
Для имеющейся зависимости:

Условие применимости корней является соотношение:
![]()
где
- предел точности;
Исходные данные для расчета микро полосковой линии является:
- волновое сопротивление
, Ом=50;
- допуск
, %=10;
- диэлектрическая проницаемость «Полинора»,
;
- толщина подложки
, мм=1;
-
;
Результаты расчета, согласно алгоритму, приведены на рисунке 5.1:
- при волновом сопротивлении 50 Ом отношение
;
- при волновом сопротивлении 55 Ом, отношение
(
);
- при волновом сопротивлении 45 Ом, отношение
(
);
- ширина полоска
мм;
- допуск на
мм;
Кольцевой делитель мощности состоит из двух четверть волновых отрезков линии передачи, две пары полюсов которых соединены параллельно, а две оставшиеся пары связаны через активное сопротивление.
Кольцевой делитель мощности обеспечивает разделение мощности поровну между двумя четверть волновыми отрезками. Также кольцевой делитель мощности обеспечивает суммирование мощностей СВЧ сигналов в плече, если к двум плечам подвести два синфазных сигнала.
При анализе работы кольцевого делителя мощности предполагается, что сопротивление является «точным». На практике длина участка включения сопротивления конечна и соизмерима с длиной волны в линии передачи. В этом случае для компенсации набега фазы на сопротивления кольцевой участок удлиняется на расчетную величину. Если длина участка включения сопротивления а сравнима с
, то для компенсации набега фазы на этом участке необходимо удлинить кольцо на величину а, при этом длина кольцевого участка будет равна [6]:
(5.15)
Полная длина окружности определяется соотношением [6]:
(5.16)
где
(5.17)
(5.18)
При этом уравнение для вычисления радиуса кольца будет иметь вид [6]:
(5.19)
Уравнение (5.19) вида
предполагается решать методом половинного деления интервала изоляции корня. Если найден интервал
внутри которого содержится лишь один корень Х уравнения (5.19), то этот корень изолирован от других корней уравнения (5.19).
Дополнительное условие изоляции корня [6]:
-
-непрерывна и дифференциальная на интервале
;
- ![]()
-
- знакопостоянна на интервале
;.
При выполнении этих условий существует только один корень V уравнения (5,19), принадлежащий интервалу
. Задача сводится к тому, чтобы получить достаточно малый интервал изоляции корня Х.

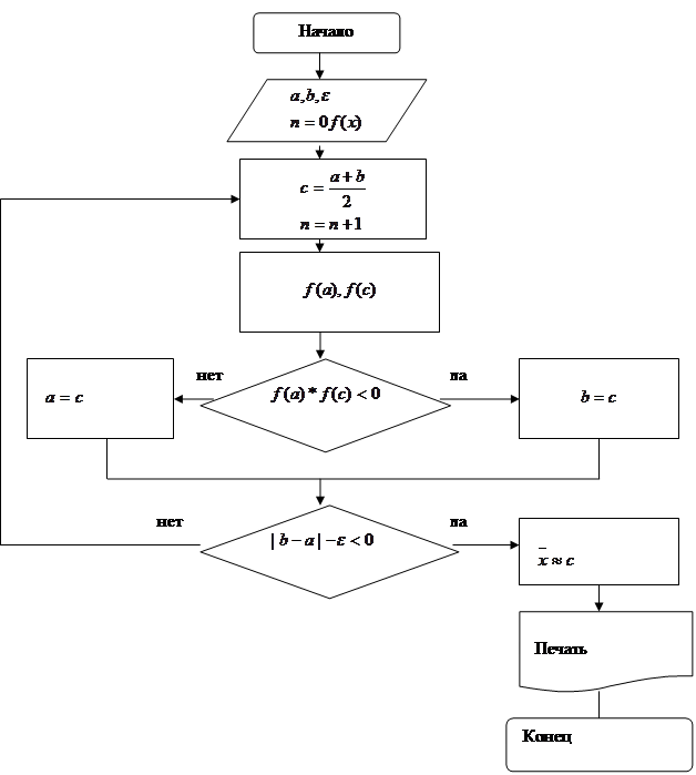
Рисунок 5.2 - Блок – схема расчета
В методе половинного деления сужение интервала изоляции осуществляется по следующей процедуре. Находят точку:
(5.20)
где с – середина интервала
.
Вычисляют
и определяют знак произведения
. Если
, то в качестве нового интервала изоляции берут интервал
, в противном случае будет интервал
.
Описанную процедуру повторим применительно к уменьшенному интервалу до тех пор, пока длина уменьшаемого интервала не станет меньше некоторого числа
, определяющую заданную границу погрешности.
Блок – схема алгоритма расчета приведена на рисунке 5.2.
Исходные данные для расчета:
мм;
мм;
мм;
;
Результат расчета радиус кольца равен 5,9мм.
5.3 Разработка патологии платы
Исходными данными для разработки топологического чертежа является:
- схема электрическая принципиальная ГКИЮ 433375,001Э3;
- перечень элементов ГКИЮ 433375,001Э3;
- конструктивные требования и ограничения, связанные с проектированием и размещением элементов и компонентов на подложке;
- геометрические размеры пленочных и начесных элементов;
- технологические ограничения, обусловленные процессом изготовления.
Топология отражает порядок соединения узлов цепи, предусмотренный электрической схемой, а также определяет геометрические размеры. конфигурацию элементов и их взаимное расположение га подложке.
Размешать пленочные элементы необходимо в соответствии с коммутационной схемой. При составлении коммутационной схемы уменьшают число пересечений проводников, сокращают их длину, определяют расположение пленочных элементов, навесных элементов, предусматривают контактные площади для монтажа. Используя коммутационную схему, разрабатывают эскиз топологического чертежа, совмещенных для всех слов. При вычерчивании элементов следует рационально использовать площадь подложки, что достигается соответствующим выбором конфигурации пленочных элементов и проводников.
Эскиз топологии выполняют в нескольких вариантах, так как при проработки первого варианта топологии не удается получить приемлемую первого варианта топологии не удается получить приемлемую конфигурацию слоев. Работа над следующим вариантом сводится к устранению недостатков первого для того, чтобы чертеж отвечал всем технологическим и конструктивным требованиям и ограничениям, оговоренным в ОСТ 4ГО.010.224 – 82.
Разработанная типология:
- соответствует схеме электрической принципиальной ГКИЮ 433375,001Э3;
- удовлетворяет конструктивным и технологическим требованиям, оговоренным в ОСТ 4ГО.010.224 – 82;
- обеспечивать возможность проверки электрических параметров элементов схемы;
- составлена таким образом, чтобы для изготовления схемы требовался наиболее простой и дешевый технологический процесс.
5.4 Выбор методов контактирования
Выбор элементов можно соединить пайкой микросваркой.
С помощью пайки получают ремонтопригодные соединения, то есть такие, которые можно демонстрировать и перепаять без повреждения коммутированных элементов.
При микросварке контактной, соединения формируются в твердой фазе за счет сжатия поверхностей и нагрева. Это обусловлено возможностью управления параметрами процесса, его механизации и автоматизации, высоким качеством и воспроизводимостью соединения. Формы и размеры сварной точки строго предопределены рабочей частью инструмента и площадь получаемого минимальна. В качестве перемычек используют проволоку круглого сечения из алюминий магниевого сплава, который обладает лучшей прочностью по отношению к другим материалом. Применение проволоки круглого сечения позволяет механизировать её подачу в зону сварки путем сматывания с катушки.
Качество и надежность получаемых соединений зависит не только от правильно выбранного сочетания материалов, но и от качества подготовки поверхности. Различные загрязнения и химические пленки на поверхности ухудшают контакт и взаимную диффузию материалов.
6. Выбор технологии и оборудования
6.1 Выбор технологического процесса и оборудования для изготовления платы
Согласно технологическому заданию микрополосковые платы изготовляются методом тонкопленочной технологии. Процесс изготовления плат приведен на рисунке 6.1.
Перед нанесением пленок на подложку ее нужно подготовить, т.е выполнить подготовительные операции, которые включают в себя: резку подложки, очистку и подготовку поверхностей подложки.
Резку подложек проводят в начале технологического цикла. Применить мультиплированный фотошаблон с предусмотренными зазорами между схемами на ширину ряда.
Резку подложек проводят в начале технологического цикла. Применить мультиплексированный фотошаблон с предусмотренными зазорами между схемами на ширину ряда.
Отмывку подложек проводят кислотно – щелочной обработкой. При очистке должны быть распущены отсортированы связи между подложкой и загрязненными без нарушения поверхности самой подложки. Перед нанесением пленки должны быть удалены все продукты реакции, ионы, молекулы воды. Очищенные подложки хранить в эксикаторах или вакуумных шкафах, но не более 24 часов перед нанесением пленок.
Для вакуумного напыления используется установка УВН – 2И – 2 (ГОСТ 5,70 - 68), которая предназначена для серийного изготовления пленочных элементов в результате вакуумного цикла. Материалы используются м помощью резистивных испарений. Подколпачное устройство доработано с целью использования единого узла совмещения.

Рисунок 6.1 – Тех. процесс изготовления платы
Технические характеристики установки приведены таблице 6.1 [7]:
Таблица 6.1 – технические характеристики установки УВН – 2ЛЕ – 2 (ГОСТ 5.70 - 68)
| Технические характеристики |
Значения |
| 1. Предельное давление в рабочей камере, мм рт.ст 2. время достижения предельного давления, мин 3. Размер рабочей камеры, мм - диаметр; - высота; 4. Объем рабочей камеры, м 5. Максимальная температура испарения, 6. Нагрев подложек - температура нагрева, - время нагрева до заданной температуры, мин; 7. Питание от сети переломного тока: - напряжение, В; - частота, Гц; 8. Габаритные размеры, мм 9. Масса, кг |
90 500 640 0,12 1500 от 100 до 400 10 380 50 1500*1050*2600 700 |
Эффективность процесса напыления определяется малым временим осаждением и равномерностью толщины пленки по поверхности подложки. В связи с этим при организации и отладке процесса должны быть обеспеченны: интенсивное испарение вещества из испарителя; прямолинейное движение молекул вещества преимущественно на подложку и достаточной равномерности облучения подложки, интенсивный и равномерный рост пленки по поверхности подложки.
Проще, чем приступить к фотолитографическим процессам, необходимо изготовить фотооригинал и фотошаблон. В нашем случае изготовить позитивный металлизированный шаблон. Для этого применить оптическое стекло (к - 8) с металлизированным рисунком из хрома. Преимущество такого фотошаблона: высокая износостойкость – механическая и термическая стабильность; влагостойкость; резко ограниченные края изображения. Фотошаблон должен иметь изображение базовых элементов и репейных знаков.
Фоторезистор наносится методом –пульверизации – распыления. В пленках получаемых таким способом расход фотерезиста уменьшается в 10 раз, дефектность слоя в 3-4 раза по сравнению с пленками, получаемыми центрифугированием. Отсутствие краевого утолщения делает метод эффективным при нанесении фоторезистора на прямоугольные подложки. Для нанесения фоторезиста применить полуавтомат ПНФ – 1Р, технические характеристики которого приведены в таблице 6.2 [7].
Таблица 6.2 – Технические характеристики полуавтомата нанесения фоторезиста ПНФ – 1Р
| Технические характеристики |
Значение |
| 1. Производительность, подложек/ч 2. Число одновременно обрабатываемых подложек, шт 3. Скорость перемежения, мм/с - форсунки; - стола; 4. Напряжение питания, В 5. Потребляемая мощность, кВт 6. Размеры, мм 7. Масса, кг |
До 500 До 15 100-150 10-25 380(50Гц) 2 1000*1800*1200 430 |
Для сушки и дубления фоторезистора применить установку УСДФ – 1 (д ЕМ 3,023,002), характеристики которой приведены в таблице 6.3 [7].
Таблица 6.3 – Технические характеристики установки УСДФ – 1 (д. ЕМ 3,023,002)
| Технические характеристики |
Значения |
| 1. Производительность, подложек/ч 2. Диапазон времени сушки и дубления, мин 3. Качество одновременно обрабатываемых подложек, шт 4. Размеры подложек, мм 5. Температура нагрева в камере при дублении, 6. Установленная мощность, кВт 7. Масса, кг |
До 40 От 0 до 30 10 60*48*0,5 от 20 до 200 1000*1538*1796 390 |
Для операции совмещения экспонирования применить установку полуавтоматического совмещения и экспонирования УПСЭ – 4, технические характеристики который приведены в таблице 6.4 [7].
Таблица 6.4 – Технические характеристики установки полуавтоматического совмещения и экспонирования УПСЭ-4
| Технические характеристики |
Значения |
| 1. Диаметр пластинки, мм 2. Размеры фотошаблона, мм 3. Точность совмещения, лекм 4. Производительность, подложек/ч 5. Увеличение микроскопа 6. Поя зрения микроскопа, мм 7. Время экспонирования, с 8. Потребления мощности, Вт 9. Размеры, мм 10. Масса, кг |
75 100*100*100 1 100
3,5 и 1,75 0,1 – 240 4 2600*1930*1960 800 |
Для операции травления применить полуавтомат травления универсальный ПТУ – 1 (д ЕМ 3,240,009), технические характеристики которого приведены в таблице 6.5 [7].
Таблица 6.5 – Технические характеристики полуавтомата правления ПТУ – 1 (д ЕМ 3,240,009)
| Технические характеристики |
Значения |
| 1. Производительность, подложек/ч 2. Диапазон выдержек времени травления, с 3. Количество одновременно обрабатываемых подложек 4. Размер подложки, мм 5. Диапазон времени очистки подложки от шлака, с 6. Диапазоны температуры подогрева воздуха, с 7. Расход сжатого воздуха давлением 2,5 8. Расход деионизованной воды с удельным сопротивлением не менее 15МОн*см при температуре 9. Установленная мощность, кВт 10. Габаритные размеры. Мм 11. Масса, кг |
от 15 до 180 3 шт 60*48*0,5 от 15 до 180 от 20 до 200 от 15 до 20 от 60 до 100 1 1000*1300*1800 500 |
Для контроля качества обезжиривания, проявления, травления при выполнении процесса фотолитографии использовать установку визуального контроля УВК-1 (д ЕМ 2,790,002), характеристики которой приведены в таблице 6.6 [7].
Элементарное осаждение основано на электролизе растворов под действием электрического тока и осаждения метала на катоде. Осаждения слоя металла проводится в окнах резистивной защитной маски на предварительно нанесенной токопроводящий подслой, который используется в качестве электрического контакта (полуадитивная технология).
При формировании медного проводящего слоя номинальной толщины электрическим – осаждения необходимо получить плотный (беспористый) мелкокристаллический осадок с минимальным удельным сопротивлением, не снижающий класса обработки поверхности платы обеспечивающий высокую точность выполнения последующих операций.
Таблица 6.6 – Технические характеристики установки визуального контроля УВК-1 (д ЕМ 2,790,002)
| Технические характеристики |
Значения |
| 1. Производительность, подложек/ч 2. Режим работы 3. Мощность 4. Общее увеличение микроскопа, крат 5. Производительность приточно – вытяжкой вентиляции, м 6. Установленная мощность, кВт 7. Габаритные размеры 8. Масса, кг |
20 ручной мБС – 1 88 0,6 1000*1200*1550 248 |
В качестве защитных антикоррозионных покрытий применить комбинированное покрытие
. Осаждение проводится по сформированному на лицевой стороне платы рельефу схемы, что обеспечивает полную защиту торцов элементов на плате. Никелевый подслой предотвращает диффузию между медью и золотом.
С целью экономии драгметаллов на экранную сторону платы применить антикоррозийное покрытие на основе сплава олова (
). Перед осаждением сплава олова применить никелевый подслой, предотвращающий диффузию, между медью и олово – висмутом.
Для электрического осаждения необходимо: ванна цеховая, источник постоянного тока, за ним лабораторный, часы сигнальные, вентилятор бытовой, микроскоп стереоскопический, а также электрощиты.
Для нанесения лака применить кисти художественные. Удаление лака производить механическим путем с помощью скальпеля.
Состав травителя, используемого для операции травления РС-3710 [7]:
- кислота азотная (плотность 1.4) – 0,035л;
- кислота фтористоводородная (плотность 1,14) – 0,005л;
- вода дистиллированная – 0,06л;
Состав травителя, используемого для операции травления меди [7]:
- аммиак водный – 0,1 л;
- водорода перекись (плотность 1,5) – 0,1л;
Состав травителя, используемого для операции травления хрома [7]:
- калий железосинеродистый – 20г;
- натрия гидрат окиси – 3г;
- вода дистиллированная – 0,75г.
Состав электролита, используемого для операции электролитического осаждения меди [7]:
- медь сернокислая – 200г/л;
- кислота серная – 40г/л;
- кислота винная – 2г/л;
- спирт этиловый – 50 г/л;
- вода дистиллированная – до 1л.
Сосав электролита используемого для операции электрического осаждения золота [7]:
- кальция дициано – (1) – аурат (в пересчете на золото) – от 9 до 10 г/л;
- калий лимонно – кислый однозамещенной – от 60 до 80г/л;
- кобальт серно – кислый – 1 г/л;
- вода дистиллированная - до 1л;
- рН раствора – от 4,5 до 4,7г/л;
Состав электролита, используемого для операции электролитического осаждения никеля [7]:
- никель сернокислый – 200г/л;
- натрий хлористый – 10г/л;
- натрий фтористый – 6г/л;
- кислота борная – 30г/л;
- нафталин – 1,5 г/л, дисульфокислоты динатрия соль – 4г/л;
- рН раствора от 5,8 до 6,3г/л.
Состав электролита, используемого для операции электролитического осаждения олово – висмута [7]:
- олово сернокислое – от 30 до 50г/л;
- кислота серная (удельный вес 1,84) – от 100 до 115г/л;
- висмут азотнокислый – от 0,3 до 0,8г/л;
- натрий хлористый – от 0,3 до 0,8г/л;
- препарат ОП – 10 – от 3 до 4г/л;
- клей мездровый – от 2 до 5г/л;
- вода дистиллированная – до 1л;
- спирт этиловый ректификованый – 50 мл/л
6.2 Выбор технологического процесса для сборки модуля СВЧ
Технологический процесс сборки модуля представлен на рисунке 6.2.
Схема электрическая принципиальная реализована в узле устройств высокочастотного ГКИЮ 433375,001 СБ. Сборке этого узла производится следующим образом.
Платы под 3,4 установить под 1 меттализированной экранированной стороной ко дну корпуса через термокомпенсирующие прокладки из металлической сетки под 6,7. Платы закрепить с помощью гаек под 12. Места крепления гаек залить клеем для обеспечения герметичности. Платы припаять припаем ПОСК 50-18 ГОСТ 211931-76.
Установить в корпус поз. 1 циркулятор поз. 17 и закрепить с помощью винтов под 13 и шайб поз. 15, 16.
Установить в корпус поз. 1 фазавращатель поз. 2 на клей эластосил 137-83 ТУ6-02-1237-83. Наличие клея на поверхности М не допускается.
Между платами в корпусе расположены фазавращатель и циркулятор. Электрическая связь между узлами 3,4,2,17 осуществляется с помощью лепестков под 11. Присоединения лепестков поз.11, а также угольника поз.5 к узлам 3,4,2,17 производится с помощью провода поз.18 и припоя.
Сборка готового изделия (ГКИЮ 434856,001СБ) производится следующим образом.
Установить деталь поз.5 с помощью клея К400в устройство высококачественное поз.2. Расположения и количества деталей поз.5 определяется в процессе настройки. Допускается порезка деталей паз.5. клей наносить по периметру детали поз.5.
Установить крышку поз.1 на устройство высокочастотное поз.2.
Поверхности, обращенные к герметизирующему шву деталей поз.1,2, предварительно гальванически покрываются слоем олова. В поз укладываются резиновая прокладка поз.8; сверху которой помещается луженная мягкая стальная проволока поз.9. Паз вместе с проволокой заливается припаем. Один конец проволоки оставляется с наружи и укладывается в паз крышки, поз.1.
Перед контролем герметичности модуль заполнить аргоном высшего сорта ГОСТ 10157-79 с избыточным давлением
Па и выдержать 5 минут.
Внутреннею полость после проверки герметичности массепектролитрическим способом, заполнить аргоном высшего сорта ГОСТ 10157-79 с избыточным давлением
Па. Трубку штенгеля обжать до смыкания кромок и спаять непосредственно после обжатия.
Модуль покрыть эмалью ХВ-518, защитная, IV УХЛ 1 ТУ-10-966-75, кроме поверхностей Е, Ж, Ч, Л.
Маркировать на модуле «Х1…Х8», «Х14» симметрично осевым линиям выводов, заводской камер, порядковый номер исполнения модуля шрифтом По-3 ОСТ 11010-012-74 эмалью ЭП—572, белая ТУ6-10-1539-76, УХЛ1. маркировать дату изготовления по ГОСТ 25486-82 шрифтом По-3 ОСТ11.010-0121-71 эмальсо ЭП-572 белая ТУ6-10-1539-76, УХЛ1.
Для ручной сборки модуля индивидуальные рабочие места комплектуются электрическими паяльниками, которые питаются от –сети постоянного тока, а также разнообразным инструментом: различного рода отвертки, развальцовки, шаберы, кернеры, линейки.
Для крепления печатных плат при сборке и монтаже субблоков применяют подставку для плат ГТ 7879-94, характеристики которой приведены в таблице 6.7.
Таблица 6.7 – Технические характеристики приспособления ГТ7879-94
| Параметр |
Значение |
| 1. Габаритные размеры печатных плат, мм 2. Поворот рамки, подставки 3. Габаритные размеры подставки, мм 4. Масса, кг |
От 40*60*1до 165*250*3 135 320*175*110 1,0 |
Для визуального контроля качества выполнения технических операций при сборке использовать приспособления для визуального контроля ГГ636691/012, технические характеристики которого приведены в таблице 6.8.
Таблица 6.8 – Технические характеристики приспособления визуального контроля ГГ63669/012
| Параметр |
Значение |
| 1. Лупа, увеличение 2. Диаметр, мм 3. Масса, кг |
2,5 155,0 3р |
7. Технико-экономическое обоснование
7.1 Выбор базы для сравнения
Технический и экономический уровень проектируемого модуля может быть оценен только на основе сопоставления с другими существующими модулями того же эксплутационного назначения. В качестве базового варианта для сравнения должен быть выбран лучший электронный прибор из имеющихся отечественной и зарубежной практики, используемый для тех же целей, что и проектируемый.
Поскольку в зарубежной практике нет аналогов проектируемого изделия, а в отечественной практике они выпускаются в мелкосерийном производстве (8 штук в год) и выполняются строго под заказ заказчика, то выбор базы для сравнения в данном случае значительно затруднен.
7.2 Организация и планирование технической подготовки производства
Состав и содержание этапов работы технической подстановки производства проектируемого модуля определение с учетом опыта проектирования изделия на базовом предприятии «Искра» во время преддипломной практики. По каждому этапу указаны исполнители и продолжительность работ. результаты сведены в таблицу 7.1.
Таблица 7.1 – Перечень работ и исполнителей по проектированию модуля.
| Код работ |
Этапы работы |
Исполнители |
Продолжитель-ность, дн |
|
| Должность |
Количество человек |
|||
| 1. Разработка и расчет конструкции модуля. |
||||
| 1 - 2 |
Уточнение и анализ технического задания |
Инженер – конструктор, руководитель группы |
1 1 |
2 |
| 2-3 |
Подбор и анализ литературы |
Инж. – кон. |
1 |
2 |
| 3-4 |
Предварительные расчеты |
Инж. – кон. |
1 |
10 |
| 4-5 |
Расчет примерной потребности в капитальных затратах |
Инж. – кон. |
1 |
5 |
| 4-6 |
Окончательный расчет и разработка конструкции |
Инж. – кон. |
1 |
20 |
| 2. Разработка конструкторской документации на образец |
||||
| 6-7 |
Эскизирования |
Инж. – кон. |
1 |
5 |
| 7-8 |
Составление и выдача ведомости ПКИ |
Инж. – кон. |
1 |
2 |
| 7-9 |
Оформление оригиналов |
Инж. – кон. |
1 |
20 |
| 9-10 |
Разработка техпроцесса |
Инж. – технолог |
1 |
5 |
| 10-11 |
Нормоконтроль |
Инж. – кон. |
1 |
4 |
| Код работ |
Этапы работ |
Исполнители |
Продолжитель-ность, дн |
|
| Должность |
Количе-ство человек |
|||
| 11-12 |
Сдача документации в цех |
Технолог - конструктор |
1 |
2 |
| 12-13 |
Изготовление копий |
Тех. – кон. |
1 |
3 |
| 13-14 |
3. Изготовление деталей и сборка опытного образца |
Рабочие ЭЦ |
5 |
3 |
| 14-15 |
4. Испытания опытного образца |
Инж. - кон |
3 |
15 |
| 15-16 |
Корректировка схем и чертежей |
Инж. - кон |
1 |
3 |
| 16-17 |
5. Подведение итогов работы, определение перспектив использования |
Инж. - кон |
1 |
5 |
| Всего |
106 |
|||
На основании таблицы 7.1 строится сетевой график, который представлен на рисунке 7.1.
Параметры путей сетевого графика представлены в таблице 7.2.
Таблица 7.2 – Параметры путей сетевого графика
| № пути |
Номер событий через которые проходит путь |
Длина пути, дн |
Кн |
| 1 |
1-2-3-4-5-6-7-8-9-10-11-12-13-14-15-16-17 |
66 |
0,26 |
| 2 |
1-2-3-4-6-7-8-9-10-11-12-13-14-15-16-17 |
81 |
0,6 |
| 3 |
1-2-3-4-6-7-9-10-11-12-13-14-15-16-17 |
99 |
0 |
| 4 |
1-2-3-4-5-6-7-9-10-11-12-13-14-15-16-17 |
84 |
0,66 |
По данным сетевого графика и таблицы 2 делается вывод, что если взять за основу третий путь (99) то продолжительность ОКР сократится на 7 дней.
Для расчета расходов на выполнение работ по техникой по технической подготовки производства необходимо составить смету затрат по статьям:
- материалы;
- комплектующие изделия;
- заработная плата основная;
- заработная плата дополнительная;
- отчисления в фонд социального страхования;
- накладные расходы;
Расходные статьи составлены по ценам предприятия «Искра» на 01,01,00.
Количество и стоимость материалов необходимых для проектирования модуля сведены в таблицу 7.3.
Наименование материала |
Количество, шт |
Цены за единицу изделия, грн |
Сумма, грн |
| 1. Ватман –формата А4 2. Калька - формата А4 3. Карандаш 4. Ластик 5. Миллиметровка формат А4 6. Линейки |
14 14 3 1 14 4 |
1-00 1-50 0-50 0-80 0-80 0-85 |
14 21 1-50 0-80 11-20 3-40 |
| Всего |
61-90 |
Расчет основной заработной платы сведен в таблице 7.4
Таблица 7.4 – Основная заработная плата
| Наименование работ |
Исполнители |
Оклад, грн |
Среднедневная зарплата, грн |
Количество дней работы |
Основная зарплата, грн |
| 1. Разработка и расчет конструкции |
Руководитель группы |
200 |
9,5 |
2 |
19 |
| Инженер - конструктор |
170 |
7,4 |
39 |
278,4 |
|
| 2. Разработка КД на опытном образце |
Инженер - конструктор |
170 |
7,4 |
36 |
221,3 |
| Технолог – инженер |
170 |
7,4 |
5 |
35,7 |
|
| Инженер – технолог |
170 |
7,4 |
5 |
35,7 |
|
| 3. Испытания опытного образца |
Инженер - конструктор |
170 |
7,4 |
15 |
107,1 |
| Инженер - конструктор |
170 |
7,4 |
15 |
107,1 |
|
| Инженер - конструктор |
170 |
7,4 |
15 |
107,1 |
|
| 4. Корректировка схем чертежей |
Инженер - конструктор |
170 |
7,4 |
3 |
21,4 |
| 5. Подготовка отсчета |
Инженер - конструктор |
170 |
7,4 |
5 |
35,7 |
| Всего |
140 |
968,5 |
Дополнительная заработная плата рассчитывается в размере 8% к основной заработной плате и равна 77,5 грн.
Отчисления в фонды социального страхования составляют 37,5% от суммы основной и дополнительной зарплаты и равна 392,29 грн.
Накладные расходы составляют 100% от суммы основной зарплаты и равна 968,5 грн.
Таблица 7.5 – Смета затрат на техническую подготовку
| Наименования статьи расходов |
Сумма, грн |
| 1. Материалы 2. Основная заработная плата 3. Дополнительная заработная плата 4. Отчисления в фонды социального страхования 5. Накладные расходы |
61-90 968-50 77-50 392-29 968-50 |
| Всего |
2468,69 |
7.3 Расчет себестоимости проектируемого модуля и цены для его реализации
Себестоимость включает в себя все затраты на производство модуля и его реализацию:
- материалы основы;
- покупные комплектующие изделия;
- зарплата рабочих дополнительная;
- отчисления в фонды социального страхования;
- цеховые расходы;
- общезаводские расходы;
- производственная себестоимость;
- внепроизводственные расходы;
Расходные статьи на материалы и комплектующие изделия составлены по ценам предприятия «Искра» на 01,01,00.
Количество и стоимость основных материалов, необходимых для изготовления и сборки опытного образца сведены в таблице 7.6.
Таблица 7.6 – Материалы основные
| Наименования материала ГОСТ, ОСТ, ТУ |
Единицы измерения |
Количество |
Цена, е. изм, грн |
Сумма, грн |
| 1. Сплав РС – 3710 ГОСТ 22025 2. Медь вакуумплавильная в гранулах 3. Клей эластосил 4. Эмаль ЭП572 болея ТУ6-10-1539-76 5. Эмаль ЭП572 защитная ТУ6-10-1539-76 6. Припай ПОС61 ГОСТ 21931-76 7. Припай ПОСК50-18 ГОСТ 21931-76 8. Поликор ще 7.817.000 9. Сплав 10. Проволока ГОСТ2112-79 11. Хром ЭРХ ТУ14-5-76 12. Никель 13. Резина 14. Золото 15. Серебро 16. Олово – висмут |
кг кг кг кг кг кг кг м кг кг кг кг кг кг кг кг |
0.52
|
3 15 45 8 8 10 9 500 2,5 15 1000 1000 0,25
500 |
1,44 0,072 0,072 0,024 0,024
0,750 7,800 6,700 6,700 0,130 40,200 6,000 3,500 |
| Всего |
74,250 |
|||
| Транспортно – заготовительные расходы (10%) |
7,420 |
|||
| Итого |
81,680 |
Стоимость покупных комплектующих изделий сведена в таблицу 7.7.
Таблица 7.7 – Покупные комплектующие изделия
| Наименования |
Количество |
Цена единицы изделия |
Сумма, грн |
| 1. Винт ГОСТ 17473 – 80 2. Шайба ГОСТ 402 – 70 3. Прибор 0.223.298 ТУ 4. Прибор 24. 0.223.286 ТУ 5. Диод СВЧ а АО.339.286ТУ |
8 16 1 1 2 |
0,10 0,10 100 100 10 |
0,8 1,6 100 100 20 |
| Транспортно – заготовительные расходы (5%) |
11,12 |
||
| Итого |
233,52 |
Основная заработная плата производственных рабочих, приходящаяся на изделие, определяется суммой расценок по всем операциям процесса (таблица 7.8).
Таблица 7.8 – Основная заработная плата основных рабочих
| Профессия |
Кол. чел |
Счас, грн |
Tшт, час |
Разряд |
Осн. зарп. грн |
| 1. Литейщик 2. Технолог 3. Слесарь 4. Монтажник 5. Регулировщик |
1 1 1 1 1 |
5,68 1,15 1,0 1,12 1,12 |
1,05 1,05 1 0,30 0,75 |
ІІ ІІІ ІІ ІІ ІІІ |
5 1,2 1 0,336 0,84 |
| Всего |
4,65 |
9,33 |
Дополнительная зарплата составляет 42% к основной тарифной зарплате и составляет 3,92 грн.
Отчисления в фонд социального страхования составляет 37,5% от суммы основной и дополнительной зарплаты и равна 3,49грн.
Расходы на освоение новых видов продукции определяются по формуле:
(7.1)
где
- расходы по смете затрат на техническую подготовку производства, грн;
А – выпуск изделий за два года, грн. шт.
Цеховые расходы с учетом содержания оборудования составляет 367% к основной зарплате и равны 34,33 грн.
Общезаводские расходы составляют 125,33% к основной зарплате и равны 11,69 грн.
Таблица 7.9 – Смета зарплат на производство опытного образца
| Наименования статьи расходов |
Сумма, грн |
| 1. Материалы основные 2. Покупные комплектующие изделия 3. Зарплата производственных рабочих основная 4. Зарплата производственных рабочих дополнительная 5. Отчисления в социальный фонд 6. Цеховые расходы 7. Общезаводские расходы 8. Накладные расходы |
81,68 233,5 9,33 3,92 3,49 34,24 11,69 9,33 |
| Стоимость опытного образца |
387,18 |
Цена продажи рассчитывается по формуле:
(7.2)
где
- оптовая цена, грн;
(7.3)
где
- полная себестоимость, грн;
М – расходы на покупку материалов, грн;
П – расходы на покупку комплектующих изделий, грн;
При разработке новой конструкции модуля этого же эксплутационного назначения возможна изменения в конструкции и в технологии изготовления. При применении других способов формообразования корпуса, увеличивается трудоемкость операции изготовления корпуса, потребуется закупка новой оснастки, ухудшается качество и выполненных деталью функции. Все это повлечет за собой дополнительные затраты на производство модуля и отразится на его цене. При использовании более дешевых материалов для изготовления модуля, ухудшается его электрические параметры, что не допустимо, так как модуль может выйти из строя. Поэтому разрабатываемый модуль имеет оптимальное решение и технологию изготовления на оборудование, которое есть в наличии на предприятии, что является экономически выгодным.
8. Охрана труда
8.1 Значение охраны труда и окружающей среды
В электрической и радиотехнической промышленности научно - технический прогресс наряду с внедрением качественно новых технологических процессов позволит значительно улучшить условия на рабочих местах, а также внес коренные изменения в содержания труда работающих - уменьшилось общая физическая нагрузка, появились профессии, требующие длительного повышенного эмоционого напряжения в процессе выполнения трудовых операций.
Охрана труда является социально – технической наукой, которая влияет и изучает производственные опасности и вредности, разрабатывает методы их предотвращения или ослабления с целью устранения несчастных случаев, профессиональных забеливаний, аварий и пожаров. Главными объектами ее исследования является человек и процесс труда, производственная среда, взаимосвязь человека с промышленным оборудованием, организации труда и производства. Законодательно – правовыми актами по охране труда и охране окружающей среды является. Конституция Украины, Основы законодательства о труде, Уголовные кодексы, Основа законодательства Украины о здравоохранении и другие. Все многообразия законодательских актов, мероприятий и средств, включенных в понятие охраны труда, направлено на создание таких условий труда при которых исключено воздействие на работающих опасных и вредных производственных факторов.
Рекомендации, приведенные в данном разделе, разработаны на основе «Санитарных норм проектирования промышленных предприятий» (СН 245-71), ГОСТ12.1005-76, ГОСТ-12.1003-83, ГОСТ12.2.032-78, ГОСТ 21889-76.
Особенностью работы в конструкционных бюро, где и проходила преддипломная практика, является постоянное и значительное напряжение функций зрительного анализатора, а также постоянное умственное напряжения и физическое.
Условие труда работающего определяются: условиями освещения в помещения и на рабочем месте; уровнями шума на рабочем месте; параметрами микроклимата; эргономическими характеристиками основных элементов рабочего места.
8.2 Мероприятия по технике безопасности
Мероприятия по ГОСТ 122.006-87, определены для аппаратуры непосредственно подключаемой к электрической сети и предназначенный для допустимых уровней шума на рабочих местах.
Безопасность работ с радиоэлектронным оборудованием и содержащие его в исправном состоянии на предприятии не регламентируется Правилами техники безопасности и производственной в санитарии в электронной промышленности.
К защитным средством от прикосновений к токоведущем частям электроустановок:
- изоляция;
- ограждение;
- блокировка;
- электрозащитные средства;
- сигнализация;
- плакаты;
В конструкторском бюро на предприятии «Искра» контроль изоляции проводится периодически мегаометром и постоянно с применением с прибора контроля изоляции, так как состояние изоляции ухудшается в процессе эксплуатации за счет нагревания, механических повреждения влияния климатических условий. Так же применена блокировка, которая снимает напряжение с токоведущих частей электроустановок при проникновении к ним без снятия напряжения.
В случае ремонта электроустановок применяются следующие защитные средства:
- электроизолирующие средства (диэлектрические изолирующие резиновые перчатки, боты, галоши, коврики, дорожки).
Из электроизолирующих средств в КБ применяются диэлектрические коврики, дорожки, изолирующие подставки, переносные указатели в отделах установлена сигнализация, которая привлекает внимание работающих и предупреждает их неправильные действия при обслуживании электроустановок. Она осуществляется при помощи ламп накаливания или неоновых ламп. Защитой от напряжения, появившегося на металлических частях электроустановок в результате нарушения изоляции, служат защитные заземления и защитные отключения.
Со вновь принятыми на работу проводится инструктаж вводный и непосредственно на рабочем месте, по инструкции разработанной в соответственной с действующими правилами безопасностями обслуживания электроустановок. Этот инструктаж периодически повторяется в сроки, зависящие от особенностей рабочего места.
8.3 Мероприятия по производственной санитарии и гигиене труда
В результате выполнения работы наступает понижение работоспособности, называемое утомляемостью.
В борьбе с утомляемостью большое значение имеет физиологическая рационализация трудового процесса, которая включает систему мер, касающихся экономии движений на работе, более равномерное распределение нагрузки между различными мышечными группами тела человека и др. При работе сидя следует обращать внимание на осанку, чтобы не было вынужденного положения, имелась возможность периодически менять позу.
Санитарные требования к производственным помещениям установлены СИ245-71, СНиП, ГОСТ и ОСТ с учетом вредных веществ, выделяющихся при технических процессах.
Согласно ГОСТ 12.1.005-76 для легкой работы выполняемой в помещениях с незначительными избытками тепла, оптимальные и допустимые метеорологические условия приведены ниже:
- температура воздуха,
;
- относительная влажность, %=40
60;
- скорость движения воздуха, м/с=0,2;
Система общего освещения выполнено, руководствуясь требованиями СНиП 11-4-79. Естественное и искусственное освящение. Нормы проектирования. В помещении предусмотрено устройство рабочего и эвакуационного освещения согласно требованиям СНиП 11-4-79. Для искусственного освещения в помещениях применяют люминесцентные лампы типа ЛБ.
Персонал КБ периодически проходят медицинские осмотры, что является важным условием сохранением здоровья. На основании периодических осмотров, гигиенических заключений санитарно – эпидемологичских станций и санитарно промышленных лабораторий совместно с заводским комитетом профсоюзов, администрации предприятия составляются комплексные планы санитарно – гигиенических и лечебно - профилактических мероприятий.
8.4 Мероприятия по пожарной безопасности
Пожарная безопасность объекта обеспечивается:
- системой предотвращения пожаров;
- системой противопожарной защиты;
- организационно – техническими мероприятиями;
Предотвращение образование горючей среды обеспечивается максимально возможным применением негорючих веществ и материалов; применение оборудования в результате работы которого не образуются источники зажигания; применением в оборудованием быстродействующих средств защитного отключения возможных источников зажигания; применения оборудования, удовлетворяющего требованиям электростатическим искра безопасности; выполнения установленных правил противопожарной безопасности в соответствии с ГОСТ12.1.004-91-ССБТ. «Пожарная безопасность. Общие требования.»
Пожарная защита обеспечивается: применением средств пожаротушением и соответствующих видов пожарной техники, огнетушителей марок ОУ-2, ОП- 10 с порошком ПСБ и др; применением автоматических установок в пожарной сигнализации и пожаротушения типа ПКИЛ с извещателями: АИП-2; применением систем противодымной зашиты с датчиками КИ-1.
Для защиты рабочего места от пожара использованы следующие группы техники:
- установки пожарной сигнализации ИДФ-1, КИ-1;
- огнетушителя марки ОП-10 с порошком ПСБ;
Для спасения людей в случае возгорания применяются противодымные маски с фильтрами респираторного типа. Огнетушители и защитные маски размешены в легкодоступных местах, где исключено попадание на них прямых солнечных лучей и непосредственное воздействие отопительных и нагревательных приборов. Ручные огнетушители размещаются методом навески на вертикальные конструкции на высоте полтора метра. При срабатывании автоматических установок пожарной сигнализации автоматических отключаются системы вентиляции и кондиционирования воздуха. Локализация чага возгорания и предотвращения распространение очага обеспечивается применением огне преграждающих устройств оборудования и противопожарными преградами. Пути эвакуации определены исходя из объемного планирования и технического исполнения здания конструкторского бюро, и с учетом его огнестойкости, а также с учетом отношения здания по взрывопожаробезопасности к классу Д. Организованы речевое оповещение и световые указатели для управлением движением по эвакуационным путям. Система противодымной защиты обеспечивает не задымление, снижение температуры и удаления продуктов горения на путях эвакуации.
В организационно – технические мероприятия включены: обучение рабочих правилам пожарной безопасности; реализация норм и правил пожарной безопасности, инструкции о соблюдении противопожарного режима и о действиях людей при возникновении пожара; мероприятия под действием администрации на случай возникновения пожара и организации эвакуации людей.
Задача. Определить расход воды на тушение пожара во вспомогательном здании объемом 25тис. м
.
Решение. Определяется расход воды на внутреннем пожаротушении
, л из – выражения:
, (8.1)
где
=1 – необходимое число струй;
- расход воды одной струей.
Значение
и
приняты из таблицы 8.1.
Таблица 8.1 – Определение необходимого числа струн, расхода воды одной струей
| Назначение здания |
Объем здания, тыс, м |
Число струй, Пс |
Расход воды одной струей, л/с |
| Производственные Общественные и выполняемые То же |
Любой >25 <25 |
2 2 1 |
2,5 2,5 2,5 |
Задаемся временем тушения пожара
. Согласно формуле (8.1):
.
8.5 Действие производного персонала конструкторского бюро базового предприятия при возможных авариях, катастрофах, стихийных бедствиях. Мероприятия по ликвидации последствий и защите персонала
Оповещение о чрезвычайных ситуациях и действиях рабочих служащих проводит Гражданская оборона. Подается общий сигнал «Внимание всем» - единый сигнал оповещения гражданской обороны. Он является предупредительным и подается с целью привлечения внимания рабочих и служащих и является преддверием экстренного речевого сообщения необходимо включить радиоприемник сети и послушать сообщение местных органов власти и штаба ГО. При получений сообщений действовать в строгом соответствии с указаниями штаба ГО.
Наиболее характерные чрезвычайные ситуации природного характера: землетрясение, оползни, бури, ураганы, сильный дождь, наводнения (прорыв плотины) и т.д.
В случае землетрясения все работы необходимо прекратить, технологическое оборудование остановить, электроэнергию отключить, персоналу занять безопасное место, личный состав формирования должен прибыть на пункт сбора.
При угрозе оползня персонал быстро покидает помещение, предупреждает об опасности и выходит в безопасное место. Покидая помещение необходимо перекрыть газовые краны, выключить свет и электроприборы.
При метеорологических и аэрометрических явлениях необходимо выполнить мероприятия, предусмотренные планом ГО и инструкции по данному стихийному бедствию. Закрепляется техника, убирается в укрытие имущество и продукция, находящаяся на открытых площадках.
При угрозе прорыва плотины производят эвакуацию людей и наиболее ценного оборудования из угрожаемого района и выполняют ряд мероприятий, предусмотренных на этот случай.
При получении сигнала об радиационной обстановки применяют ряд мер, направленных на ограничения жизненной деятельности, ужесточению санитарно – гигиенических мероприятий. Перечень этих мер определен нормативными документами по радиационной безопасности.
Первый режим, при мощности дозы облучения 0,1-0,3 милли Ренген/час проводятся мероприятия:
- герметизация помещения (окон, дверей, вентиляционных поемов);
- производится герметизация открытых продуктов питания, воды, белья;
- время пребывания персонала на открытом пространстве ограничивается;
- устанавливаются санитарные барьеры при входе в помещение.
Второй режим - 0,3-1,5 млР/час:
- проводится йодная профилактика;
- нахождения в не помещения возможно лишь в случае крайней необходимости и обязательно с респираторами, в сапогах, плащах, головных уборах, перчатках;
-устанавливаются санитарные барьеры у входов в здание.
Третий режим – 1,5-15 млР/час:
- выполняются все выше перечисленные мероприятия;
- эвакуация персонала, кроме задействованных в формировании;
Четвертый режим – 15-100 млР/час:
- выполняются все выше перечисленные мероприятия;
Пятый режим – более 100 млР/час:
- проводится полная эвакуация.
В зависимости от вида радиоактивного заражения проводится применяется дезактивация:
- жидкостный способ – удаление радионуклидов механическим (под воздействием воды) воздействием струи воды или пара, или в результате физика химических процессов, которые позволяют связать радионуклиды в нерастворимые соединения и затем удалить эти соединения механическим путем;
- без жидкостный способ – вакуумная очистка, сметания, удаление зараженных слоев перепахиванием.
При аварии с выбросом сильно действующих ядовитых веществ необходимо:
- одеть средства защиты органов дыхания;
- надеть легкую, нестесняющую движения одежду, максимально закрывающие открытые участки тела;
-немедленно выйти из зоны поражения.
Для осаждения газа используют водный занавес, создаваемыми пожарными машинами. Территория заливается водой, известковым молоком, раствором соды или каустика. В помещении личные вещи и одежда не дегазируются.
Вывод
В процессе выполнения дипломной работы разработан комплекс конструкторской документации в соответствии с требованиями технического задания.
В ходе работы разработана топология плат, соответствующие схеме электрической принципиальной. При разработки платы приведены предварительно компоновка и размещение элементов и выбрана трассировка печатных соединений пленочных элементов (резисторов), геометрических размеров микрополосковых элементов. Платы изготовляются фотохимическим способом. На этапе расчетов элементов выбраны материалы подложки, резисторов. Рисунок платы выполняется тонкопленочной технологией с последующей фотолитографией. Данный метод позволяет реализовать параметры элементов с точностью
20 мкм. Применена полуадитивная технология, т.к. она дает высокую точность воспроизведения электрических параметров. Применены типовые тех. процессы и оборудования для изготовления плат.
Была разработана конструкция корпуса чашечного типа, а также выбран материал корпуса и способ формообразования – литье под давлением с последующей обработкой. Разработана конструкция крышки корпуса и способ формообразования – литье под давлением с последующей обработкой. Разработана конструкция крышки корпуса.
Разработан сборный чертеж модуля, выбран способ герметизации модуля.
В дипломном проекте приведен оценочный расчет эффективности экранирования корпуса, показывающую высокую степень эффективности.
Проведены технико–экономические расчеты, показали эффективность данной разработки.
Разработанный комплект документации внедрен в производство, может быть использовании при отработки и доводки опытного образца.
Перечень ссылок
1. Справочник по расчету конструированию СВЧ полосковых усилителей /С.И. Бахарев, В.И. Вольман, Ю.Н. Либ и др. Под ред. В.И. Вольмана. – М: Радио и связь, 1982 – 328с.
2. Матсон Э. А. и др. Конструкции и расчет микросхем и микроэлементов ЭВА: [Учеб. Пособие для радиотехн. спец вузов] – Мн: Выш. Школа, 1979 – 192с.
3. Волен М.Л. Паразитные процессы в радиоэлектронной аппаратуре – 2 – е изд-е, перераб. и доп. – М: Радио и связь. 1981 – 296с., ил.
4. ОСТ 92-9555-82. Электрорадиоэлементы и блоки герметизированные. Методы испытаний на герметичность.
5. Методические указания к расчету микрополосковой линии по дисциплине. Конструирование СВЧ – устройств специальности 7.091.001 «Производство электронных средств» /сост. Шинкоренко Э.Н., Поспеева И.Е. – Запорожье: ЗГТУ, 1999, 10с.
6. Методические указания с расчета кольцевого делителя мощности ВЧ по дисциплине «Конструирования СВЧ – устройств специальности 7.091.001» Производство электронных средств / сост Шинкоренко Э.Н., Поспеива И.Э. – Запорожье; ЗГТУ, 1999, 10с.
7. ОСТ4ГО.054.207. Микросборки СВЧ диапазона. Платы микрополосковые. Типовые технологические процессы.
8. СНиП2.0902-85. Производственные здания промышленных предприятий. Нормы проектирования.
9. ГОСТ12.1005-88. Электромагнитные поля радиочастот. допустимые уровни на рабочих местах и требования к приведению контроля.
10. СНиП11-4-79 Естественное и искусственное освещение. Нормы проектирования.
11. ГОСТ12.1.003-83. Шум. Общие требования безопасности.
12. ГОСТ12.2.032-78. Рабочее место при выполнении работ сидя. Общие эргономические требования безопасности.
13. Антенны и устройства СВЧ. Проектирования фазированных антенных решеток. Учеб. пособие, для вузов /В.С. Филлипов, Л.И. Понамарев, А.Ю. Гринев и др.; Под ред. Д.И. Воскресенского – 2 – е изд., доп. и перераб. – М: Радио и связь, 1994 – 592с, ил.
14. Парфенов Е.М. и др. Проектирование конструкции радиоэлектронной аппаратуры: Учеб. пособие для вузов /Е.М. Парфенов, Э.Н. Камлиная, В.П. Усачев. – М: Радио и связь, 1989 – 272с.
15. Гнкачук К.Н., Слоненко А.В., Степанков А.Г., Сабарно Р.В. Охрана труда в приборостроении: Учеб. пособие для вузо. – Киев: Вища школа. Головное изд-во,1980-192с.
