| Скачать .docx |
Курсовая работа: Курсовая работа: Проектирование цифровых каналов и трактов
Московский Технический Университет Связи и Информатики
Кафедра Многоканальной Электросвязи
Курсовая работа по теме:
"Проектирование цифровых каналов и трактов"
Выполнила: Пысина О.А.
Группа: МС0403
Студ. Билет 1МС04065
Проверил: Климов Д.А.
Москва 2008
Исходные данные
Задание 1
а)fн = 21 кГц , fв =767кГц
б)fн = 59 кГц , fв =75кГц
Задание 2
Uогр =1.15В Uвх =0.35 В Азкв =41.5 дБ
Задание 3
Uогр =1.15В Uвх1 = -0.02 В Uвх2 = 0.91 В Nкодового слова с ошибкой =5 Nпозиции с ошибкой =2;7
Задание 4
pош =0.19. 10-4 , r1 =3 , r2 =1 , b=7, bk =1;7
Задание 5

Задание 6
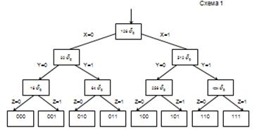
Число для перевода в двоичную систему – 119
Задание 7
101011100 0011110111101 0000000010
Задание 8
С = 34368 кбит/с
Тип кода – 2B1Q
Кабель – КСПП 1х4х0.9
Коэффициент шума F=3.9
U пер = 5.9 В
Задание №1. Выбор параметров устройств дискретизации аналоговых сигналов
1.1 Выберите частоту дискретизации широкополосного аналогового цифрового сигнала, рассчитайте период дискретизации.
1.2 Выберите частоту дискретизации узкополосного аналогового сигнала, рассмотрев два варианта: с переносом спектра аналогового сигнала вниз по частоте и без переноса. Для варианта с переносом укажите значения несущей.
Все частоты дискретизации и несущая частота должны выражаться целыми числами, а промежутки на расфильтровку составлять примерно 5-10% от верхней частоты среза соответствующего фильтра.
1.3 Рассчитайте и постройте спектральные диаграммы сигналов АИМ, отвечающие каждой из рассмотренных ситуаций, отметив на них расчётные значения частот. Укажите способы демодуляции сигналов АИМ.
Исходные данные
Спектры аналоговых сигналов 21-767 кГц, 59-75кГц
1.1 Частоту дискретизации широкополосного сигнала выбирают по теореме Котельникова в её классическом варианте:
(с учётом запаса на расфильтровку).
Fдmin =2*767=1534 кГц
С учётом полосы расфильтровки (10% от Fв):
Fд=1534+76.7=1610.7=1611 кГц
Период дискретизации:
Тд=1/1611*103 =0.62 мкс

1.2 Частота дискретизации узкополосного аналогового сигнала (59-75кГц)
Fв/Fн=75/59=1.271<2,
т.е. спектр преобразуемого сигнала меньше октавы, следовательно возможно использовать менее высокую, чем по Котельникову, частоту дискретизации можно определить двумя способами:
Метод переноса исходного спектра в область нижних частот:
Исходя из того, что мы должны приблизить исходный спектр сигнала максимально к нулю,

Fдmin =2*24=48 кГц
С учётом полосы расфильтровки (10% от Fв):
Fд=48+2.4 = 50.4=>51кГц

Метод "последовательного приближения"
Рассмотрим выбор Fд методом "последовательного приближения"для сигналов
Fв/Fн=75/59=1.271<2,
исходя из этого условия, можно найти Fд без переноса спектра вниз, применяя условие демодуляции:
2 Fн/ n> Fд > 2 Fв / n+1, где n=1,2,3.. (формула 1)
По формуле 1, путем подбора находим:
Таблица 1
| n=0 | 0 > Fд > 150 |
| n=1 | 118 > Fд > 75 |
| n=2 | 59 > Fд > 50 |
| n=3 | 40 > Fд > 38 |
Выберем частоту дискретизации: Fд=39 кГц. Однако, при выбранном значении n нет 10% полосы расфильтровки, поэтому уменьшим n на единицу. Тогда Fд=55 кГц, но при этой n тоже нет 10% полосы расфильтровки, поэтому уменьшим n еще на единицу:
Fд = 97 кГц
Период дискретизации:
Тд=1/97*103 =10.3 мкс

Fд =97 кГц нам подходит, т.к. выполняется условие расфильтровки. Найдем минимальные условия для полосы расфильтровки, по расчетам возьмем:
Fд =83 кГц
Период дискретизации:
Тд=1/83*103 =12 мкс

Исходя из расчетов, Fд =83 кГц является оптимальной частотой дискретизации при Dfрmin = 8кГц
Схемы детектирования:
1) широкополосного сигнала

2) узкополосного с переносом спектра

3) узкополосного без переноса спектра

Вывод: При дискретизации узкополосного сигнала частота дискретизации, найденная по теореме Котельникова, получается слишком высокой. Чтобы её уменьшить целесообразно перенести спектр аналогового сигнала до дискретизации вниз по частоте.
Задание №2. Исследование защищенности сигнала от помех квантования и ограничения
2.1 Определите минимальное количество разрядов m в кодовом слове, при котором обеспечивается заданная защищённость гармонического колебания с амплитудой Um от шумов квантования Азкв при равномерном квантовании. Постройте зависимость защищённости от уровня гармонического колебания при изменении его амплитуды от Um до напряжения ограничения Uогр.
2.2 Приведем для наглядности характеристику помехозащищенности и характеристику компандирования для А87.6/13
Исходные данные : Uогр=Uo=1.15В, Uвх= Uв=0.35В, Азкв=Аз=41,5 дБ.
2.1 Защищённость равна:
, где Рс
и Рш
– мощность сигнала и помехи

8.868.
Округлим: m = 9
Уровень сигнала квантования:
![]()
Уровень помехи квантования:

Для построения характеристики защищенности определим:

Теперь рассчитаем реальную величину защищенности от помех квантования:

Рис.1 Характеристика защищенности от сигнала.

2.2 Приведем для наглядности характеристику помехозащищенности и характеристику компандирования.
Рис.2 Характеристика защищенности от шумов квантования для характеристики А87.6/13 [2]

Рис.8 Амплитудная характеристика неравномерного квантующего устройства

Вывод: Для обеспечения требуемой защищенности необходимо использовать 9 разрядов. При этом характеристика будет линейно возрастать и лежать выше Азкв.тр.
Задание №3. Изучение операции кодирования и декодирования
3.1 Для двух отсчётов аналогового сигнала с амплитудами U1 и U2 выполните операции неравномерного квантования и кодирования, осуществляемые в нелинейном кодере с сегментированной характеристикой компрессии А-типа. Определите абсолютные и относительные величины ошибок квантования этих отсчётов и изобразите полученные в результате кодовые слова в виде последовательности токовых и бестоковых посылок в коде БВН.
3.2 Осуществите нелинейное декодирование кодовых слов, полученных в предыдущем пункте, если в указанных заданием разрядах произошли ошибки, то есть вместо символа "1" принят символ "0" и наоборот.
Исходные данные: Uогр=1.15В, U1=-0.02В, U2=0.91В, N=5, n=2, 7
Рис.4 Структурная схема кодера с нелинейным квантованием
Рис.5 Структурная схема декодера кодека с нелинейным квантованием

Таблица 2 Параметры амплитудной характеристики квантующего устройства А87,6/13
Номер сегмента |
Код номерасегмента |
Размер шагаквантования |
Нижняя границасегмента |
Верхняя границасегмента |
| 0 | 000 | 0 |
16 |
|
| 1 | 001 | 16 |
32 |
|
| 2 | 010 | 2 |
32 |
64 |
| 3 | 011 | 4 |
64 |
128 |
| 4 | 100 | 8 |
128 |
256 |
| 5 | 101 | 16 |
256 |
512 |
| 6 | 110 | 32 |
512 |
1024 |
| 7 | 111 | 64 |
1024 |
2048 |
В соответствии с этой характеристикой 8-и разрядное кодовое слово мгновенного значения сигнала имеет структуру PXYZABCD. В этой структуре P – старший разряд указывает полярность сигнала ("1" - положительная, "0" - отрицательная), XYZ – код номера сегмента, а ABCD – код номера шага внутри сегмента.
Минимальный размер шага:
=1.15/2048 = 0.0005615
Согласно заданным значениям, при неравномерном квантовании получим два кодовых слова:
N1=-36
0
. N2=1621
0
.
3.1 На вход кодера поступает сигнал величиной -36
0
. В первом разряде будет сформирован "0": Р=0 (сигнал имеет отрицательную величину). В течение следующих трёх тактов формируются разряды кода номера сегмента (XYZ) по следующему алгоритму:

36<128
0 - X
36>32
1 - Y
36<64
0 – Z
Код сегмента 010, шаг квантования h=2
с Хн =32 ![]()
Далее осуществляем кодирование методом взвешивания:
36<32+16
0 - A
36<32+8
0 - B
36=32+4
1 - C
36<32+2
0 – D
Полученная кодовая комбинация: 0010 0010
При декодировании будет восстановлено значение:
Uвых= (32
0
+4
+1/2*2
) = 37![]()
Расчет абсолютной ошибки:
37-36=1![]()
Расчет относительной ошибки:
кв=((37-36)/ 36)*100%=2,7%
Изобразим сигналы в коде NRZ (код БВН)
![]()
На вход кодера поступает сигнал величиной 1621
0
Р=1 (сигнал имеет положительную величину)
1621>128
1 - X
1621>512
1 - Y
1621>1024
1 - Z
Код сегмента 111, шаг квантования
с Хн =![]()
Далее осуществляем кодирование методом взвешивания:
1621<1024+512
1 - A
1621>1536+256
0 - B
1621>1536+128
0 - C
1621>1536+64
1 – D
Полученная кодовая комбинация: 1111 1001
При декодировании будет восстановлено значение:
Расчет абсолютной ошибки:
Uвых = (
+512
+64
+
) =1632![]()
1632- 1621 = 11![]()
Относительная ошибка квантования составит при этом:
кв=((1632- 1621)/ 1621)*100%=0.67%
Изобразим сигналы в коде NRZ (код БВН)
Рис. 12 Сигнал в коде NRZ
![]()
3.2 Согласно заданию ошибка произошла во 2 и 7 разрядах второй кодовой комбинации.
· Была комбинация 0010 0100, стала 0110 0100 (ошибка в 2 разряде)
"0" в первом разряде соответствует отрицательному мгновенному значению. Следующие три разряда "110" соответствуют шестому сегменту, шаг квантования в котором равен 32
.
Последние четыре разряда "0100" соответствуют значению согласно линейному декодированию. На выход декодера поступит
(512
+128
+32
/2)=656![]()
Расчет абсолютной ошибки декодирования:
656-36=620
=348.13 мВ
Расчет относительной ошибки:
кв= ((656-36)/ 36)*100%=1722.2%
· Была комбинация 0010 0100, стала 0010 0110 (ошибка в 7 разряде)
"0" в первом разряде соответствует отрицательному мгновенному значению. Следующие три разряда "010" соответствуют второму сегменту, шаг квантования в котором равен 2
. Последние четыре разряда "0110" соответствуют значению согласно линейному декодированию. На выход декодера поступит
(32
+8
+4
+ 2
/2)=45![]()
Расчет абсолютной ошибки декодирования:
45-36=9
= 5.053 мВ
Расчет относительной ошибки:
кв = ((45-36)/ 36)*100%=25%
· Была комбинация 1111 1001 , стала 1011 1001 (ошибка в 2 разряде) "1" в первом разряде соответствует положительному мгновенному значению. Следующие три разряда "011" соответствуют третьему сегменту, шаг квантования в котором равен 4
.
Последние четыре разряда "1001" соответствуют значению согласно линейному декодированию. На выход декодера поступит
(64
+32
+4
+4
/2)=102![]()
Расчет абсолютной ошибки декодирования:
102-36=66
= 37.059 мВ
Расчет относительной ошибки:
кв = ((102-36)/ 36)*100%=183.3%
· Была комбинация 1111 1001 , стала 1111 1011 (ошибка в 7 разряде)
"1" в первом разряде соответствует положительному мгновенному значению. Следующие три разряда "111" соответствуют седьмому сегменту, шаг квантования в котором равен
.
Последние четыре разряда "1011" соответствуют значению согласно линейному декодированию. На выход декодера поступит
(1024
+512
+128
+64
+ 64
/2)=1760![]()
Расчет абсолютной ошибки декодирования:
1760-36=1724
= 968.026 мВ
Расчет относительной ошибки
:
кв = ((1760-36)/ 36)*100%=4788%
Вывод : ошибки в старших разрядах, в которых закодирован номер сегмента, приводят к тому, что амплитуда отсчёта на приёме значительно отличается от переданной, что может привести к щелчкам и нарушению благозвучия речи. При возникновении ошибок в младших разрядах амплитуда восстановленного на приёме отсчёта ненамного отличается от переданной (в пределах одного сегмента), т.е. Чем старше разряд ошибочного символа, тем больше величина ошибки при декодировании
Задание № 4. Расчёт основных параметров системы цикловой синхронизации
4.1 Рассчитайте среднее время удержания и среднее время восстановления циклового синхронизма, если в системе применён неадаптивный приёмник со скользящим поиском циклового синхросигнала.
4.2 Определите выигрыш во времени восстановления синхронизма для случая независимой параллельной работы блока поиска синхросигнала и блока накопления по выходу из синхронизма.
При выполнении задания считать, что система используется в первичной ЦТС с циклами передачи РСМ31.
Исходные данные:
Количество символов в синхрогруппе b=7,
Количество крит.точек bk=1,7
Ёмкость накопителя по выходу из синхронизма r1 =3
Ёмкость накопителя по входу в синхронизм r2 =1
Вероятность ошибки в линейном тракте pе =0,19×10-4
Структурная схема неадаптивного приёмника циклового синхросигнала со скользящим поиском выглядит так:
Среднее время Тср между пакетами из n событий, если вероятность события равна р, а период повторения опыта Т, определяется по формуле:

Рис. 6 Структурная схема неадаптивного приёмника циклового синхросигнала со скользящим поиском

При определении Туд : Т- период посылки циклового синхросигнала ( для первичной ЦТС с циклами передачи РСМ31 Т=250мкс), n=r1 , а вероятность р приёма искажённой синхрогруппы равна:
![]()
р=1.14*10-4
Среднее время удержания циклового синхронизма равно:

Туд =1,688*108 секунд=80 суток
Среднее время восстановления циклового синхронизма складывается из средних значений времени заполнения накопителя по выходу из синхронизма, заполнения накопителя по входу в синхронизм и поиска циклового синхронизма.
-среднее время между двумя событиями
- время заполнения накопителя по выходу из синхронизма
- время поиска сигнала
- время накопителя по входу в синхронизм
Среднее время заполнения накопителя по выходу из синхронизма вычисляется по вышеприведённой формуле, где вероятность р приёма искажённой синхрогруппы – вероятность появления единицы на выходе накопителя:
0.984
7.71*10-4
с
Среднее время заполнения накопителя по входу в синхронизм определяется по формуле:
0.25мс
Для определения среднего времени поиска циклового синхронизма найдём количество символов между соседними синхросигналами:
256*2 – b = 506 символов
Среднее время поиска для циклового синхронизма с одной критической точкой равно:
2.23 * 10-3
c
При этом время восстановления равно:
Твс
=
+
+
=0.77+0.25+2.23=3.25 мс
Среднее время поиска для циклового синхронизма с семью критическими точками равно:
1.744*10-3
c
Время восстановления циклового синхронизма:
Твс
=
+
+
=0.77+0.25+1.74=2,76мс
Выигрыш во времени восстановления синхронизма:

=0.77мс
Вывод:
1. При заданных условиях цикловой синхронизм с одной критической точкой даёт выигрыш по сравнению с ЦСС с семью критическими точками во времени восстановления синхронизма.
2. Выигрыш во времени восстановления синхронизма для случая независимой параллельной работы блока поиска синхросигнала и блока накопления по выходу из синхронизма составляет 0.77 мс. Такой приёмник называется адаптивным, он эффективен при высоком коэффициенте ошибок.
Задание №5. Временное группообразование (мультиплексирование)
5.1 Постройте первые 20 или более позиций последней строки цикла (последнего субцикла) ЦТС ИКМ-120 с двусторонним согласованием скоростей, если заданы два последовательно переданных поля команд согласования. Считать, что принятые команды истинные. Отметить отсутствие или наличие ошибок в заданных командах.
5.2 Для ЦТС ИКМ-480 с односторонним согласованием определите длительность цикла передачи, номинальную и максимальную скорости передачи компонентных потоков. Как в задаче 5.1., постройте первые 16 или более позиций последней строки цикла (последнего субцикла) ЦТС ИКМ-480 с односторонним согласованием скоростей, если задано поле команд согласования.
5.3 Постройте цикл передачи системы высшей ступени ПЦИ.
Исходные данные:
| 1 | 1 | 0 | 0 |
| 0 | 0 | 0 | 0 |
| 0 | 0 | 0 | 1 |
| 1 | 0 | 1 | 1 |
| 0 | 1 | 0 | 1 |
| 0 | 1 | 0 | 0 |
5.1 Исходя из заданных полей, команды согласования по компонентным потокам следующие:
1 поток – отрицательное согласование (одиночная ошибка в первом и втором циклах)
2 поток – нейтральная команда (одиночная ошибка в первом и втором циклах)
3 поток – отрицательное согласование (одиночная ошибка во втором цикле)
4 поток – нейтральная команда (одиночная ошибка в первом и втором циклах)
В соответствии с этими командами последняя строка цикла ЦТС ИКМ-120 имеет вид:
Таблица 3

Здесь буквами А, В, С, D обозначены имена компонентных потоков, а числа при них – порядковые номера битов в последней строке цикла. Символы ХХХХ обозначают биты последующей КСС.
5.2 Для ЦТС ИКМ-30:
Скорость передачи компонентных потоков В1ном=8448 кбит/с,
Скорость передачи агрегатного потока В2ном=34368 кбит/с,
Число символов в цикле dц=1536 символов,
Число символов на агрегатный поток dк=378 символов.
Максимальная скорость согласования на один компонентный поток:
![]()
Количество символов на компонентный поток при его номинальной скорости:
![]()
Номинальная скорость согласования на один компонентный поток
![]()
Номинальный коэффициент цифрового согласования
![]()
Длительность цикла передачи:
![]()
Допустимые макс. и мин. скорости передачи компонентных потоков соответствуют случаям макс. и мин. количества символов компонентного потока в цикле передачи:
![]()
![]()
Рассмотрим второе поле:
| 1 | 0 | 1 | 1 |
| 0 | 1 | 0 | 1 |
| 0 | 1 | 0 | 0 |
В данном случае используется только положительное согласование скоростей компонентных потоков. Команда согласования имеет вид "111", отсутствие команды – "000". Команда считается опознанной, даже если один из ее символов искажен.
Команды согласования по компонентным потокам следующие:
1,2,3,4 потоки – нет согласования (одиночная ошибка)
Таблица 4
![]()
Вывод: в системах с двусторонним согласованием скоростей нужно передавать информацию о трех возможных состояниях: согласование скоростей не производилось, произошло отрицательное или положительное согласование скоростей. В таких системах защиту от искажений 1 символа команды согласования скоростей обеспечивают 5-разрядные кодовые группы, соответственно, от искажений 2-х – 7-разрядные кодовые группы. В системах с односторонним согласованием нужно передавать информацию лишь о двух состояниях: согласование производилось или нет. Поэтому при одностороннем согласовании скоростей количество символов, требуемое для передачи указанной информации, гораздо меньше, чем в системах с двусторонним согласованием. Защита от n ошибок осуществляется передачей подряд 0 или 1 в количестве 2n+1 символов. Таким образом, надежность системы синхронизации обеспечивается методом накопления, а команды согласования скоростей передаются однократно, поэтому здесь используется избыточность команд.
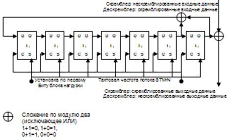
Задание №6. Скремблирование цифрового сигнала и контроль достоверности с помощью кодов BIP-2 и CRC-4
6.1 Изобразите функциональную схему скремблера с предварительной установкой на основе семиразрядного регистра сдвига. Определите первые двадцать символов псевдослучайной последовательности (ПСП), а также структуру двоичных последовательностей на выходе скремблера и дескремблера, если информационная последовательность имеет вид 11111111110000000000.
6.2 Определите структуру кодовых слов BIP-2 и СRС-4, соответствующих блоку из двадцати символов ПСП.
Исходные данные:
Начальная последовательность: 119
Скремблированием называют сложение по модулю два информационной последовательности символов с псевдослучайной последовательностью (ПСП). На приёмной стороне дескремблер повторяет эту операцию, восстанавливая исходную информационную последовательность.
Основным элементом как скремблера, так и дескремблера является генератор ПСП. На рисунке показана функциональная схема генератора, построенная на основе семиразрядного регистра сдвига с логической обратной связью, реализующей операцию сложения по модулю два. Период повторения такой ПСП составляет 127 бит.
Рис.7 Структурная схема скремблера/дескремблера:

Начальная последовательность в соответствии с начальным состоянием регистра: 119(10) =1110111(2)
Таблица 5 Формирование последовательности на выходе генератора ПСП:
| Т1 | Т2 | Т3 | Т4 | Т5 | Т6 | Т7(ПСП) | ИС | T7 |
| 1 | 1 | 1 | 0 | 1 | 1 | 1 | 1 | 0 |
| 0 | 1 | 1 | 1 | 0 | 1 | 1 | 1 | 0 |
| 0 | 0 | 1 | 1 | 1 | 0 | 1 | 1 | 0 |
| 1 | 0 | 0 | 1 | 1 | 1 | 0 | 1 | 1 |
| 1 | 1 | 0 | 0 | 1 | 1 | 1 | 1 | 0 |
| 0 | 1 | 1 | 0 | 0 | 1 | 1 | 1 | 0 |
| 0 | 0 | 1 | 1 | 0 | 0 | 1 | 1 | 0 |
| 1 | 0 | 0 | 1 | 1 | 0 | 0 | 1 | 1 |
| 0 | 1 | 0 | 0 | 1 | 1 | 0 | 1 | 1 |
| 1 | 0 | 1 | 0 | 0 | 1 | 1 | 1 | 0 |
| 0 | 1 | 0 | 1 | 0 | 0 | 1 | 0 | 1 |
| 1 | 0 | 1 | 0 | 1 | 0 | 0 | 0 | 0 |
| 0 | 1 | 0 | 1 | 0 | 1 | 0 | 0 | 0 |
| 1 | 0 | 1 | 0 | 1 | 0 | 1 | 0 | 1 |
| 1 | 1 | 0 | 1 | 0 | 1 | 0 | 0 | 0 |
| 1 | 1 | 1 | 0 | 1 | 0 | 1 | 0 | 1 |
| 1 | 1 | 1 | 1 | 0 | 1 | 0 | 0 | 0 |
| 1 | 1 | 1 | 1 | 1 | 0 | 1 | 0 | 1 |
| 1 | 1 | 1 | 1 | 1 | 1 | 0 | 0 | 0 |
| 1 | 1 | 1 | 1 | 1 | 1 | 1 | 0 | 1 |
Последовательность на выходе скремблера получается в результате сложения по модулю два полученной ПСП и информационной последовательности.
Последовательность на выходе дескремблера получается в результате сложения по модулю два скремблированной последовательности и ПСП.
Таблица 6
Последовательность на выходе генератора ПСП |
1 | 1 | 1 | 0 | 1 | 1 | 1 | 0 | 0 | 1 | 1 | 0 | 0 | 1 | 0 | 1 | 0 | 1 | 0 | 1 |
Информационная последовательность |
1 | 1 | 1 | 1 | 1 | 1 | 1 | 1 | 1 | 1 | 0 | 0 | 0 | 0 | 0 | 0 | 0 | 0 | 0 | 0 |
Последовательность на выходе скремблера (сигнал в линию) |
0 | 0 | 0 | 1 | 0 | 0 | 0 | 1 | 1 | 0 | 1 | 0 | 0 | 1 | 0 | 1 | 0 | 1 | 0 | 1 |
Для обнаружения ошибок используется код BIP-2, который получается путём разбивания выходного потока на группы по 2 бита. Первые биты этих групп суммируются по модулю два, а результат помещается в первый разряд кодового слова BIP-2. Аналогично формируется второй разряд кодового слова путём суммирования по модулю два вторых битов групп.
Суммируем кодовое слово BIP-2:
![]()
Получено кодовое слово 00, которое размещается на позиции заголовка.
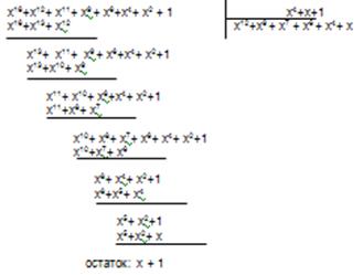
Для контроля за появлением ошибок в плезиохронном потоке Е1 (2048кбит/с) применяется код CRC-4. Проверочное слово является остатком от деления кодового слова на образующий полином А0 (х)=х4 +х+1.
Запишем скремблированную последовательность в виде полинома:
А(х)=х2 +х3 + х4 + х5 + х9 + х10 + х12 +х15 + х18 +х19
Разделим его на образующий полином.

Остаток соответствует проверочной комбинации 0011, которая передаётся на приёмный конец, где происходит аналогичное деление, и остатки сравниваются. Если остатки не совпадают, это означает, что произошла ошибка.
Вывод: операция скремблирования заключается в сложении по модулю 2 информационной последовательности и ПСП, что используется для решения проблемы выделения синхросигнала при больших пакетах нулей в кодовой последовательности. Для определения параметров качества цифровых каналов и трактов используют методы контроля ошибок с помощью кодов BIP и CRC
Задание №7. Изучение линейных и стыковых кодов
7.1 Изобразите заданную последовательность нулей и единиц в кодах AMI, NRZ, HDB-3, 2B1Q, CMI в виде прямоугольных импульсов соответствующей полярности и длительности. Определите текущую цифровую сумму в конце каждого октета, а также предельное значение текущей суммы. Сделайте краткое заключение по результатам определения текущей суммы для каждого кода.
7.2 Введите в последовательность кода HDB-3 ошибки на указанных позициях. Произведите декодирование полученной последовательности и сравните её с исходной. По результатам сравнения сделайте выводы.
Исходные данные:
Задана последовательность 101011100 0011110111101 0000000010
Рассмотрим формирование различных кодов:
AMI: "0"-отсутствие импульса, "1"-импульсы длительностью половины тактового интервала чередующейся полярности
NRZ: "0"-отрицательный импульс, "1"-положительный импульс
HDB-3: соответствует формированию кода AMI, но пакеты из четырех нулей заменяются комбинацией вида 000V и B00V,в которых импульс B не нарушает полярностей, а импульс V-нарушает, то есть его полярность совпадает с полярностью предыдущего импульса.
2B1Q: двоичные комбинации вида 00, 01, 10, 11 заменяются импульсами с амплитудами
-2, -1, +1,+2 соответственно. Длительность импульсов равна удвоенному тактовому интервалу исходной последовательности
CMI: "1" передаются импульсами чередующейся полярности длительностью в тактовый интервал, "0" передаются биимпульсами
Таблица 7Определение текущей суммы:
| Код | Z8 | Z16 | Z24 | Z32 | ∑ Zi |
| AMI | 1 | 0 | -1 | 0 | 0 |
| NRZ | 2 | 0 | 2 | -6 | -2 |
| HDB-3 | 0 | -1 | 0 | 0 | -1 |
| 2B1Q | 10 | 0 | 2 | -10 | 2 |
| CMI | 2 | 0 | -2 | 2 | 2 |
| HDB-3 с ошибками | 1 | -1 | 2 | -1 | 1 |
Рис. 8 Вид заданной последовательности нулей и единиц в кодах AMI, NRZ, HDB-3, 2B1Q, CMI в виде прямоугольных импульсов соответствующей полярности и длительности



Коэффициент размножения ошибок рассчитывается по формуле:
Кразмн.ош = кол-во ставших ошибок/ кол-во бывших
Вывод :
При декодировании последовательности кода HDB-3 с 2 ошибками в указанных позициях получили на приемном конце размножение ошибок, характерное для кодов этого вида.
Применение:
- Двух уровневые коды (NRZ, CMI): получили широкое распространение в волоконно – оптических линиях связи из-за наибольшей помехозащищенности и минимальным числом разрешенных уровней. Кроме того, в коде CMI нч составляющие спектра подавлены, присутствует составляющая тактовой частоты, сигнал имеет относительно узкий спектр. Данный код рекомендован МСЭ-Т для интерфейсов цифровых сетевых трактов со скоростями передачи от 140 до 155 Мбит/c
- Трехуровневые коды (AMI, HDB) – получили применение на первых этапах развития и внедрения ЦТС. Имеют невысокую помехозащищенность, невозможность выделения хронирующего сигнала и неширокий энергетический спектр, что важно для передачи по металлическим парам, велика вероятность размножения ошибок. Код HDB3 рекомендован МСЭ-Т для интерфейсов цифровых сетевых трактов со скоростями передачи от 2,8, 5 и 34 Мбит/c.
- Алфавитные (блочные) коды. Код 2B1Q – широко используется в сетях абонентского доступа, т.к. позволяет существенно снизить тактовую частоту передаваемой последовательности.и улучшают использование кодового пространства.
Задание №8. Проектирование участка регенерации ЦТС симметричного кабеля
Рассчитайте максимальную протяженность участка регенерации ЦТС симметричного кабеля при использовании однокабельной и двухкабельной схем. Сопоставьте результаты, сделайте выводы.
Исходные данные:
Скорость передачи ![]()
Тип кода 2B1Q
Кабель КСПП – 1 х 4 х 0.9
Коэффициент шума КУ F = 3.9
Вероятность ошибки ![]()
Высота прямоугольного импульса на входе тракта ![]()
Решение:
Для заданного кабеля КСПП – 1 х 4 х 0.9 имеем:
Коэффициент затухания на частоте 1 МГц:
Волновое сопротивление: ![]()
Среднее значение переходного затухания на ближнем конце на частоте 1 МГц:
![]()
Структурная схема участка регенерации имеет вид:

Рассмотрим действие собственных помех. Защищенность от собственных помех вычисляется по формуле:

- абсолютный уровень пиковой мощности прямоугольного импульса на входе тракта
- тактовая частота сигнала в линии, МГц; так как код 2B1Q меняет тактовую частоту в два раза то теперь она равна
;
- затухание линии на полутактовой частоте, дБ.
Найдем коэффициент затухания на полутактовой частоте:
![]()
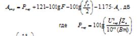
Требуемая величина защищенности, при которой обеспечивается заданная вероятность ошибки
, вычисляется по формуле:
, дБ
где L – число уровней кода в линии, для кода 2B1QL = 4;
= 5…10 дБ – запас защищенности, характеризующий качество изготовления регенератора. Возьмем
= 10 дБ.
Рассчитаем требуемую защищенность:
![]()
Чтобы определить максимальную протяженность участка регенерации, ограниченную собственной помехой, необходимо приравнять ожидаемую и требуемую защищенности
, решив полученное уравнение относительно
, получим:
![]()
![]()
Максимальная протяженность участка равна:
![]()
Рассмотрим однокабельную схему. В ней учитывают собственные помехи и переходные влияния на ближний конец.

Если уровень первой гармоники колебания на входе влияющей цепи
, то уровень переходной помехи в ТРР равен
;
Уровень сигнала в этой же точке равен
;
Ожидаемая минимальная защищенность от ПП из-за ПВБК в ТРР составит:
![]()
Максимально допустимое затухание участка регенерации, ограниченное ПВБК, найдем, приравняв ожидаемую и требуемую защищенности
, причем
для четырехуровневого кода. Найдем среднее значение переходного затухания на ближнем конце на полутактовой частоте:
![]()
39.473 дБ
Получим:
39.473 – 22 = 17.473 дБ
Максимальная протяженность участка регенерации равна:
17.473 / 26.674 = 0.655 км
Вывод: при использовании однокабельной схемы симметричной кабельной цепи переходное влияние на ближний конец ограничивает протяженность участка регенерации величиной 0.655 км, что в 4,24 раза меньше длины участка, полученной при рассмотрении влияния только собственной помехи. Таким образом, при расчете такой схемы необходимо в большей степени учитывать переходные помехи на ближний конец.
Рассмотрим двухкабельную схему. В ней учитывают собственные помехи и переходные влияния на дальний конец.

Уровень переходной помехи в ТРР равен
;
Уровень сигнала в этой же точке равен
;
Защищенность сигнала от помехи в ТРР равна:
,
то есть ожидаемая минимальная защищенность от ПП из-за ПВДК в ТРР равна защищенности цепи на дальнем конце на полутактовой частоте.
Среднее значение защищенности на участке кабеля длиной
км на полутактовой частоте равно
37.4 Дб при f0 = fт / 2 = 8.592 МГц
Максимальную протяженность участка регенерации, ограниченную ПВДК, найдем, приравняв среднее значение защищенности к требуемому
, причем
22 Дб, для четырехуровневого кода. Получим:
, где ![]()
Определим максимальную протяженность участка регенерации из соотношения:
![]()
=
км
Полученная большая величина говорит о том, что переходное влияние на дальний конец пренебрежимо мало, и учитывать нужно только собственную помеху, расчет для которой был проведен выше.
Вывод: при использовании двухкабельной системы влияют только собственные помехи, т.е переходные влияния не столь критичны.
Список литературы
1. Тверецкий М.С., Четкин С.В. Проектирование цифровых каналов и трактов/Инсвязьиздат/ Москва 2005
2. Гордиенко В.Н., Тверецкий М.С. Цифровые телекоммуникационные системы: Учебник для вузов/ М.: Горячая линия - Телеком - 2005. - 428 с: ил.
3. Чёткин СВ. Расчет электрических характеристик линейных трактов кабельных ЦСП. Методическая разработка по дипломному проектированию цифровых систем передачи/ВЗЭИС - М., 1988. - 49 с: ил.
5. Чёткий СВ. Методические указания по курсовому и дипломному проектированию оптических систем передачи/ МТУСИ,- М., 2002. - 43 с: ил.
6. Алексеев Е.Б. Основы технической эксплуатации современных волоконно-оптических систем передачи: Учеб. пособие/ ИПК при МТУСИ, 1998.- 194 с.:ил.