Скачать .docx  

Реферат: Обеспечение надежности работы аппаратуры

Министерство образования и науки Украины

Харьковский национальный университет радиоэлектроники

Кафедра МИТ

Реферат

по курсу: М етоды и средства измерений

на тему: «ОБЕСПЕЧЕНИЕ НАДЕЖНОСТИ РАБОТЫ АППАРАТУРЫ»

Выполнил:

ст. гр. МСС-07-1

Федцова А. С.

Проверил:

Закорин В.А.

2010г

Содержание

1 Основные параметры надежности

2 Количественные характеристики надежности

3 Структурная надежность аппаратуры

4 Методы повышения надежности

Используемыеисточники

1 основные параметры Надежности

Понятие надежности. Один из основных параметров радиоэлектронной аппаратуры (РЭА) – надежность. Она зависит как от надежности используемой элементной базы, так и от принятых схемотехнических и конструкторских решений. Требования к надежности аппаратуры постоянно повышаются. Вопросам повышения надежности РЭА на всех этапах ее проектирования и производства уделяется самое большое внимание.

Под надежностью понимают свойство изделия выполнять заданные функции, сохраняя свои эксплуатационные показатели в заданных пределах в течение требуемого промежутка времени или требуемой наработки при соблюдении режимов эксплуатации, правил технического обслуживания, хранения и транспортировки. Продолжительность работы РЭА до предельного состояния, установленного в нормативно-технической документации, называют ресурсом изделия.

Надежность – это сложное комплексное понятие, с помощью которого оценивают такие важнейшие характеристики изделий, как работоспособность, долговечность, безотказность, ремонтопригодность, восстанавливаемость и др.

В любой момент времени РЭА может находиться в исправном или неисправном состоянии. Если РЭА в данный момент времени удовлетворяет всем требованиям, установленным как в отношении основных параметров, характеризующих нормальное выполнение вычислительных процессов (точность, быстродействие и др.), так и в отношении второстепенных параметров, характеризующих внешний вид и удобство эксплуатации, то такое состояние называют исправным состоянием.

Неисправное состояние – это состояние РЭА, при котором она в данный момент времени не удовлетворяет хотя бы одному из этих требований, установленных в отношении как основных, так и второстепенных параметров.

Не каждая неисправность приводит к невыполнению РЭА заданных функций. Различают неисправности основные и второстепенные. Второстепенные неисправности называют дефектами.

Основные эксплуатационные свойства изделий с позиций обеспечения надежной работы: безотказность, ремонтоспособность, долговечность и сохраняемость .

Наработка – продолжительность (или объем) работы изделия, измеряемая временем, циклами, периодами и т. п. В процессе эксплуатации или испытания изделия в зависимости от его назначения различают суточную или месячную наработку, наработку на отказ, среднюю наработку до первого отказа, гарантийную наработку и т. п. Суточная и месячная наработки оцениваются временем (циклами, периодами), которое изделие проработало в течение суток или месяца.

Наработка на отказ – среднее значение наработки ремонтируемого изделия между отказами. Если наработка выражена в единицах времени, то используют термин среднее время безотказной работы. Под средней наработкой до первого отказа понимают среднее значение наработки изделий в партии до первого отказа. Для неремонтируемых изделий этот термин равнозначен понятию средней наработки до отказа.

Гарантийная наработка представляет собой наработку изделия, до завершения которой изготовитель гарантирует и обеспечивает выполнение определенных требований к изделию, при условии соблюдения потребителем правил эксплуатации, в том числе правил хранения и транспортировки. Срок гарантии устанавливается в технической документации или договорах между изготовителем и заказчиком.

Безотказностью называют свойство изделия сохранять свою работоспособность в течение некоторой наработки без вынужденных перерывов. Безотказность измеряется в единицах наработки.

Ремонтоспособность – свойство РЭА, заключающееся в приспособлении к предупреждению, обнаружению и устранению отказов и неисправностей путем проведения технического обслуживания и ремонтов.

Долговечность – свойство РЭА сохранять работоспособность до предельного состояния с необходимыми перерывами для технического обслуживания и ремонтов. Предельное состояние определяется технической непригодностью РЭА из-за снижения эффективности эксплуатации или требований техники безопасности и оговаривается в технической документации.

Сохраняемость – свойство изделия сохранять эксплуатационные показатели в течение заданного срока хранения и после него.

Интенсивность отказов – зависимость интенсивности отказов от времени .

Различают три вида отказов:

1 обусловленные скрытыми ошибками в конструкторско-технологической документации и производственными дефектами при изготовлении изделий;

2 обусловленные старением и износом радио- и конструкционных элементов;

3 обусловленные случайными факторами различной природы.

Для оценки надежности систем введены понятия «работоспособность» и «отказ».

Работоспособность и отказы. Работоспособность – это состояние изделия, при котором оно способно выполнять заданные функции с параметрами, установленными требованиями технической документации. Отказ – событие, приводящее к полной или частичной утрате работоспособности изделия. По характеру изменения параметров аппаратуры отказы подразделяют на внезапные и постепенные.

Внезапные (катастрофические) отказы характеризуются скачкообразным изменением одного или нескольких параметров аппаратуры и возникают в результате внезапного изменения одного или нескольких параметров элементов, из которых построена РЭА (обрыв или короткое замыкание). Устранение внезапного отказа производят заменой отказавшего элемента исправным или его ремонтом.

Постепенные (параметрические) отказы характеризуются изменением одного или нескольких параметров аппаратуры с течением времени. Они возникают в результате постепенного изменения параметров элементов до тех пор, пока значение одного из параметров не выйдет за некоторые пределы, определяющие нормальную работу элементов. Это может быть последствием старения элементов, воздействия колебаний температуры, влажности, механических воздействий, и т.п. Устранение постепенного отказа связано либо с заменой, ремонтом, регулировкой параметров отказавшего элемента, либо с компенсацией за счет изменения параметров других элементов.

По взаимосвязи между собой различают отказы независимые, не связанные с другими отказами, и зависимые. По повторяемости возникновения отказы бывают одноразовые (сбои) и перемежающиеся. Сбой – однократно возникающий самоустраняющийся отказ, перемежающийся – многократно возникающий сбой одного и того же характера.

По наличию внешних признаков различают отказы явные – имеющие внешние признаки появления, и неявные (скрытые), для обнаружения которых требуется провести определенные действия.

По причине возникновения отказы подразделяют на конструкционные, производственные и эксплуатационные, вызванные нарушением установленных норм и правил при конструировании, производстве и эксплуатации РЭА.

По характеру устранения отказы делятся на устойчивые и самоустраняющиеся. Устойчивый отказ устраняется заменой отказавшего элемента (модуля), а самоустраняющийся исчезает сам, но может повториться. Самоустраняющийся отказ может проявиться в виде сбоя или в форме перемежающегося отказа. Отказ типа сбоя особенно характерен для РЭА. Появление сбоев обусловливается внешними и внутренними факторами.

К внешним факторам относятся колебания напряжения питания, вибрации, температурные колебания. Специальными мерами (стабилизации питания, амортизация, термостатирование и др.) влияние этих факторов может быть значительно ослаблено. К внутренним факторам относятся флуктуационные колебания параметров элементов, несинхронность работы отдельных устройств, внутренние шумы и наводки.

2 количественные характеристики Надежности

Надежность, как сочетание свойств безотказности, ремонтоспособности, долговечности и сохраняемости, и сами эти качества количественно характеризуются различными функциями и числовыми параметрами. Правильный выбор количественных показателей надежности РЭА позволяет объективно сравнивать технические характеристики различных изделий как на этапе проектирования, так и на этапе эксплуатации (правильный выбор системы элементов, технические обоснования работы по эксплуатации и ремонту РЭА, объем необходимого запасного имущества и др.).

Возникновение отказов носит случайный характер. Процесс возникновения отказов в РЭА описывается сложными вероятностными законами. В инженерной практике для оценки надежности РЭА вводят количественные характеристики, основанные на обработке экспериментальных данных.

Безотказность изделий характеризуется вероятностью безотказной работы P(t) (характеризует скорость снижения надежности во времени), частотой отказов F(t), интенсивностью отказов (t), средней наработкой на отказ Тср . Можно также надежность РЭА оценивать вероятностью отказа q(t) = 1 - P(t).

Рассмотрим оценку надежности неремонтируемых систем. Приведенные характеристики верны и для ремонтируемых систем, если их рассматривать для случая до первого отказа.

Пусть на испытания поставлена партия, содержащая N изделий. В процессе испытаний к моменту времени t вышли из строя n изделий. Осталось исправными:

N(t) = N – n.

Отношение Q(t) = n/N является оценкой вероятности выхода из строя изделия за время t. Чем больше число изделий, тем точнее оценка надежности результатов, строгое выражение для которой выглядит следующим образом:

Q(t) = .

Величина P(t), равная

надежность радиоэлектронная аппаратура

P(t) = 1 – Q(t)

называется теоретической вероятностью безотказной работы и характеризует вероятность того, что к моменту t не произойдет отказа.

Вероятность безотказной работы изделия может быть определена и для произвольного интервала времени (t1 ; t2 ) с момента начала эксплуатации. В этом случае говорят об условной вероятности P(t1 ; t2 ) в период (t1 ; t2 ) при рабочем состоянии в момент времени t1 . Условная вероятность P(t1 ; t2 ) определяется отношением:

P(t1 ; t2 ) = P(t2 )/ P(t1 ),

где P(t1 ) и P(t2 ) - соответственно значения вероятностей в начале (t1 ) и конце (t2 ) наработки.

Значение частоты отказов за время t в данном опыте определяется отношением

F(t) = n/Nt = Q(t)/t.

В качестве показателя надежности неремонтируемых систем чаще используют производную по времени от функции отказа Q(t), которая характеризует плотность распределения наработки изделия до отказа f(t):

F(t) = dQ(t)/dt = - dP(t)/dt.

Величина f(t)dt характеризует вероятность того, что система откажет в интервале времени (t; t+dt) при условии, что в момент времени t она находилась в рабочем состоянии.

Интенсивность отказов. Критерием, более полно определяющим надежность неремонтируемой РЭА и ее модулей, является интенсивность отказов (t). Интенсивность отказов l(t) представляет условную вероятность возникновения отказа в системе в некоторый момент времени наработки при условии, что до этого момента отказов в системе не было. Величина l(t) определяется отношением

(t) = f(t)/P(t) = (1/P(t) dQ/dt.

Отсюда следует, что величина l(t)dt характеризует условную вероятность того, что система откажет в интервале времени (t; t+dt) при условии, что в момент времени t она находилась в работоспособном состоянии.

Вероятность безотказной работы связана с величинами l(t) и f(t) следующими выражениями:

P(t) = exp(-(t) dt), P(t) = exp(-f(t) dt)

Зная одну из характеристик надежности P(t), l(t) или f(t), можно найти две другие.

Если необходимо оценить условную вероятность, можно воспользоваться следующим выражением:

P(t1 ; t2 ) = exp(-(t) dt).

Если РЭА содержит N последовательно соединенных однотипных элементов, то

Тср = P(t) dt.

Правильно понимать физическую природу и сущность отказов очень важно для обоснованной оценки надежности технических устройств. В практике эксплуатации различают три характерных типа отказов: приработочные, внезапные и отказы из-за износа. Они различаются физической природой, способами предупреждения и устранения и проявляются в различные периоды эксплуатации технических устройств.

Отказы удобно характеризовать «кривой жизни» изделия, которая иллюстрирует зависимость интенсивности происходящих в нем отказов l(t) от времени t. Такая идеализированная кривая для РЭА приведена на рисунке 2.1.

Рис. 2.1 – Типичная зависимость интенсивности отказов систем от времени

Она имеет три явно выраженных периода: приработки I, нормальной эксплуатации II, и износа III.

Приработочные отказы наблюдаются в первый период (0 – t1 ) эксплуатации РЭА и возникают, когда часть элементов, входящих в состав РЭА, являются бракованными или имеют скрытые дефекты. Физический смысл приработочных отказов может быть объяснен тем, что электрические и механические нагрузки, приходящиеся на компоненты РЭА в приработочный период, превосходят их электрическую и механическую прочность. Поскольку продолжительность периода приработки РЭА определяется в основном интенсивностью отказов входящих в ее состав некачественных элементов, то продолжительность безотказной работы таких элементов обычно сравнительно низка, поэтому выявить и заменить их удается за сравнительно короткое время.

В зависимости от назначения РЭА период приработки может продолжаться от нескольких до сотен часов. Чем более ответственное изделие, тем больше продолжительность этого периода. Период приработки составляет обычно доли и единицы процента от времени нормальной эксплуатации РЭА во втором периоде.

Как видно из рисунка, участок «кривой жизни» РЭА, соответствующий периоду приработки I, представляет собой монотонно убывающую функцию l(t), крутизна которой и протяженность во времени тем меньше, чем совершеннее конструкция, выше качество ее изготовления и более тщательно соблюдены режимы приработки. Период приработки считают завершенным, когда интенсивность отказов РЭА приближается к минимально достижимой (для данной конструкции) величине lmin в точке t1 .

Приработочные отказы могут быть следствием конструкторских (например, неудачная компоновка), технологических (некачественное выполнение сборки) и эксплуатационных (нарушение режимов приработки) ошибок.

С учетом этого, при изготовлении изделий предприятиям рекомендуется проводить прогон изделий в течение нескольких десятков часов работы (до 2–5 суток) по специально разработанным методикам, в которых предусматривается работа при влиянии различных дестабилизирующих факторов (циклы непрерывной работы, циклы включений-выключений, изменения температуры, напряжения питания и пр.).

Период нормальной эксплуатации. Внезапные отказы наблюдаются во второй период (t1 –t2 ) эксплуатации РЭА. Они возникают неожиданно вследствие действия ряда случайных факторов, и предупредить их приближение практически не представляется возможным, тем более что к этому времени в РЭА остаются только полноценные компоненты. Однако и такие отказы все же подчиняются определенным закономерностям. В частности, частота их появления в течение достаточно большого промежутка времени одинакова в однотипных классах РЭА.

Физический смысл внезапных отказов может быть объяснен тем, что при быстром количественном изменении (обычно – резком увеличении) какого-либо параметра в компонентах РЭА происходят качественные изменения, в результате которых они утрачивают полностью или частично свои свойства, необходимые для нормального функционирования. К внезапным отказам РЭА относят, например, пробой диэлектриков, короткие замыкания проводников, неожиданные механические разрушения элементов конструкции и т. п.

Период нормальной эксплуатации РЭА характеризуется тем, что интенсивность ее отказов в интервале времени (t1 –t2 ) минимальна и имеет почти постоянное значение lmin » const. Величина lmin тем меньше, а интервал (t1 –t2 ) тем больше, чем совершеннее конструкция РЭА, выше качество ее изготовления и более тщательно соблюдены режимы эксплуатации. Период нормальной эксплуатации РЭА общетехнического назначения может продолжаться десятки тысяч часов. Он может даже превышать время морального старения аппаратуры.

Период износа. В конце строка службы аппаратуры количество отказов снова начинает нарастать. Они в большинстве случаев являются закономерным следствием постепенного износа и естественного старения используемых в аппаратуре материалов и элементов. Зависят они главным образом от продолжительности эксплуатации и «возраста» РЭА.

Средний срок службы компонента до износа - величина более определенная, чем время возникновения приработочных и внезапных отказов. Их появление можно предвидеть на основании опытных данных, полученных в результате испытаний конкретной аппаратуры.

Физический смысл отказов из-за износов может быть объяснен тем, что в результате постепенного и сравнительно медленного количественного изменения некоторого параметра компонента РЭА этот параметр выходит за пределы установленного допуска, полностью или частично утрачивает свои свойства, необходимые для нормального функционирования. При износе происходит частичное разрушение материалов, при старении – изменение их внутренних физико-химических свойств.

К отказам в результате износа относят потерю чувствительности, точности, механический износ деталей и др. Участок (t2 –t3 ) «кривой жизни» РЭА, соответствующий периоду износа, представляет собой монотонно возрастающую функцию, крутизна которой тем меньше (а протяженность во времени тем больше), чем более качественные материалы и комплектующие изделия использованы в аппаратуре. Эксплуатация аппаратуры прекращается, когда интенсивность отказов РЭА приблизится к максимально допустимой для данной конструкции.

Вероятность безотказной работы РЭА. Возникновение отказов в РЭА носит случайный характер. Следовательно, время безотказной работы есть случайная величина, для описания которой используют разные распределения: Вейбулла, экспоненциальный, Пуассона.

Отказы в РЭА, содержащей большое число однотипных неремонтируемых элементов, достаточно хорошо подчиняются распределению Вейбулла. Экспоненциальное распределение основано на предположении постоянной во времени интенсивности отказов и успешно может быть использовано при расчетах надежности аппаратуры одноразового применения, содержащей большое число неремонтируемых компонентов. При длительной работе РЭА для планирования ее ремонта важно знать не вероятность возникновения отказов, а их число за определенный период эксплуатации. В этом случае применяют распределение Пуассона, позволяющее подсчитать вероятность появления любого числа случайных событий за некоторый период времени. Распределение Пуассона применимо для оценки надежности ремонтируемой РЭА с простейшим потоком отказов.

Вероятность отсутствия отказа за время t составляет Р0 = ехр(-t), а вероятность появления i отказов за то же время Pi = i ti exp(-t)/i!, где i = 0, 1, 2, ..., n - число отказов.

3 Структурная надежность аппаратуры

Структурная надежность любого радиоэлектронного аппарата, в том числе и РЭА, это его результирующая надежность при известной структурной схеме и известных значениях надежности всех элементов, составляющих структурную схему.

При этом под элементами понимаются как интегральные микросхемы, резисторы, конденсаторы и т. п., выполняющие определенные функции и включенные в общую электрическую схему РЭА, так и элементы вспомогательные, не входящие в структурную схему РЭА: соединения паяные, разъемные, элементы крепления и т. д.

Надежность указанных элементов достаточно подробно изложена в специальной литературе. При дальнейшем рассмотрении вопросов надежности РЭА будем исходить из того, что надежность элементов, составляющих структурную (электрическую) схему РЭА, задана однозначно.

Количественные характеристики структурной надежности РЭА . Для их нахождения составляют структурную схему РЭА и указывают элементы устройства (блоки, узлы) и связи между ними. Затем производят анализ схемы и выделяют элементы и связи, которые определяют выполнение основной функции данного устройства. Из выделенных основных элементов и связей составляют функциональную (надежностную) схему, причем в ней выделяют элементы не по конструктивному, а по функциональному признаку с таким расчетом, чтобы каждому функциональному элементу обеспечивалась независимость, т. е. чтобы отказ одного функционального элемента не вызывал изменения вероятности появления отказа у другого соседнего функционального элемента. При составлении отдельных надежностных схем (устройств узлов, блоков) иногда следует объединять те конструктивные элементы, отказы которых взаимосвязаны, но не влияют на отказы других элементов.

Определение количественных показателей надежности РЭА с помощью структурных схем дает возможность решать вопросы выбора наиболее надежных функциональных элементов, узлов, блоков, из которых состоит РЭА, наиболее надежных конструкций, панелей, стоек, пультов, рационального порядка эксплуатации, профилактики и ремонта РЭА, состава и количества ЗИП.

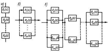
При построении надежностных структурных схем используют последовательное, параллельное и последовательно-параллельное включение элементов.

При последовательном включении элементов (рис. 3.1, а) для надежной работы схемы необходима работа всех функциональных элементов.

Рис. 3.1 – Схемы последовательного (а), параллельного (б) и параллельно-последовательного (в) включения элементов в надежностной структурной схеме

Тогда вероятность безотказной работы схемы будет равна произведению вероятностей безотказной работы всех функциональных элементов:

P(t) = P1 (t) P2 (t) … Pn (t),

где n – число элементов схемы.

Для другого простейшего случая построения структурной схемы параллельного соединения элементов (б) при вероятности отказов Qi (t) для каждого из элементов, входящих в схему, отказ всей схемы будет иметь место тогда, когда откажут все элементы, тоесть:

Q(t) = Q1 (t) Q2 (t) ... Qm (t),


где m - число параллельно соединенных элементов. При этом вероятность безотказной работы всей схемы:

P(t) = 1 – Q(t).

Для экпоненциального распределения наработки до отказа среднее время наработки на отказ составит

4 Методы повышения надежности

Методы повышения надежности можно разделить на структурные и информационные.

Структурные методы повышения надежност и. Абсолютной надежности технических устройств добиться принципиально невозможно, а максимально повысить показатели их надежности реально. Повышение уровня надежности РЭА достигается, прежде всего, устранением причин, вызывающих в ней отказы, т. е. сведением к минимуму конструкторских, технологических и эксплуатационных ошибок.

Значительного повышения надежности РЭА достигают созданием новых элементов. Однако повышением надежности элементов не удается полностью решить проблему, что вызвано значительным опережением роста сложности вновь разрабатываемых РЭА. Поэтому один из путей повышения надежности РЭА - введение схемной избыточности.

Повышение надежности РЭА резервированием. Резервирование – способ повышения надежности аппаратуры, заключающийся в дублировании РЭА в целом или отдельных ее модулей или элементов. Резервирование предполагает включение в схему устройства дополнительных элементов, которые позволяют скомпенсировать отказы отдельных частей устройств и обеспечить его надежную работу. Но резервирование эффективно только в том случае, когда неисправности являются статистически независимыми. Различают следующие виды резервирования: постоянное (резервные элементы включены вместе с основным и функционируют в тех же режимах); резервирование замещением (обнаружение отказавшего элемента и замена его резервным); скользящее резервирование (любой резервный элемент может замещать любой отказавший).

Если Pc (t) – вероятность безотказной работы системы, то установка и включение параллельно нескольких таких же систем приводит к увеличению результирующей вероятности безотказной работы резервированной системы P(t), которую можно определить из выражения:

P(t) = 1 – [1-Pc (t)]m +1 ,

где m– число резервных систем, включенных параллельно основной.

В РЭА применяется общее (резервируются отдельные модули), и поэлементное резервирование на уровне микросхем или отдельных элементов. При одинаковом количестве резервных элементов поэлементное резервирование эффективнее общего, но требует большого числа дополнительных электрических связей.

Постоянное резервирование в РЭА производят по следующей схеме: входные сигналы поступают на n логических схем, причем n> k, где k – число логических схем в нерезервированной схеме. Выходные сигналы всех n логических схем далее подают на решающий элемент, который согласно функции решения по этим сигналам определяет значения выходных сигналов всей схемы. Функция решения – правило отображения входных состояний решающего элемента на множество его выходных состояний.

Простейший и наиболее распространенный вид функции решения – «закон большинства», или мажоритарный закон. Решающий элемент обычно называют мажоритарным элементом. Работа мажоритарного элемента состоит в следующем: на входы элемента поступают двоичные сигналы от нечетного количества идентичных элементов; выходной сигнал элемента принимает значение, равное значению, которое принимает большинство входных сигналов.

По способу включения резервных элементов функциональных устройств различают три вида резервирования: постоянное, замещением и скользящее.

При постоянном резервировании предполагают, что любой отказавший элемент или узел не влияет на выходные сигналы и поэтому его прямого обнаружения не производится. Постоянное резервирование наиболее распространено в невосстанавливаемых устройствах. Кроме того, оно является единственно возможным в устройствах, где недопустим даже кратковременный перерыв в работе.

Постоянное резервирование вводится или с помощью решающего блока, или в виде однотипных элементов или блоков, включенных последовательно, параллельно или, например, согласно законам k-кратной логики.

В качестве решающего блока можно использовать мажоритарные элементы с постоянными или переменными весами, кодирующие - декодирующие устройства и схемы из логических элементов И, ИЛИ, НЕ.

Резервирование замещением предполагает обнаружение отказавшего элемента или узла и подключение исправного. Замещение может происходить либо автоматически, либо вручную.

Резервирование замещением имеет следующие достоинства. Для многих схем при включении резервного оборудования не требуется дополнительно регулировать выходные параметры, вследствие того, что электрические режимы в схеме не меняются. Резервная аппаратура до момента включения в работу обесточена, что повышает общую надежность системы за счет сохранения ресурса электронных устройств. Имеется возможность использования одного резервного элемента на несколько рабочих.

Вследствие сложности аппаратуры для автоматического включения резерва резервирование замещением целесообразно применять к крупным блокам и отдельным функциональным частям РЭА.

При скользящем резервировании любой резервный элемент может замещать любой основной элемент. Для осуществления этого резервирования необходимо иметь устройство, которое автоматически находит неисправный элемент и подключает вместо него резервный. Достоинство такого резервирования в том, что при идеальном автоматическом устройстве будет наибольший выигрыш в надежности по сравнению с другими методами резервирования. Однако осуществление скользящего резервирования возможно лишь при однотипности элементов.

Информационные методы повышения надежности РЭА . Основное применение информационные методы находят в вычислительной технике. Реализуются они в виде корректирующих кодов. Назначение этих кодов состоит в том, чтобы обнаруживать и исправлять ошибки в РЭА без прерывания их работы.

Корректирующие коды предусматривают введение в изделия некоторой избыточности. Различают временную и пространственную избыточность. Временная избыточность характеризуется неоднократным решением задачи. Полученные результаты сравниваются, и если они совпадают, то делается вывод, что задача решена правильно. Временная избыточность вводится в РЭА программным путем.

Пространственная избыточность характеризуется удлинением кодов чисел, в которые вводят дополнительно контрольные разряды. Суть обнаружения и исправления ошибок с помощью корректирующих кодов состоит в следующем. В конечном множестве А выходных слов устройства выделяют подмножество В разрешенных кодовых слов (т. е. В Ì А). Эти слова могут появиться лишь в том случае, если все арифметические и логические операции, выполняемые РЭА, осуществляются правильно. Тогда очевидно, что подмножество А – В = С(A \ B = С) будет характеризовать запрещенные кодовые слова. Последние имеют место только при наличии ошибок.

Далее все слова на выходе устройства анализируют. Например, если слово bi относится к подмножеству разрешенных кодовых слов (т. е. b Ì B), то это означает, что процесс идет нормально; слово bi считают правильным и его можно декодировать.

Если на выходе устройства появляется запрещенное кодовое слово сi (ci Ì C), то это свидетельствует о наличии ошибки, и она фиксируется.

Для устранения обнаруженных таким образом ошибок все запрещенные кодовые слова разбиваются на группы. Каждой такой группе ставится в соответствие только одно разрешенное кодовое слово. При декодировании запрещенные кодовые слова сi автоматически заменяются разрешенными кодовыми словами из той группы, к которой принадлежит ci .

Таким образом, корректирующие коды в состоянии не только обнаруживать ошибки, но и устранять их.

Расчет надежности РЭА. Определив из ТЗ требуемую вероятность безотказной работы аппаратуры, конструктор распределяет эту вероятность по составляющим РЭА модулям, подбирает элементы с необходимыми интенсивностями отказов, выявляет потребность и глубину резервирования, принимает меры по защите аппаратуры от воздействий дестабилизирующих факторов.

Расчет надежности РЭА состоит в определении числовых показателей надежности P(t) и Тср по известным интенсивностям отказов комплектующих РЭА элементов. При этом считается, что, если выход из строя любого элемента приводит к выходу из строя всей РЭА, то имеет место последовательное включение элементов. Усредненные данные по интенсивностям отказов микросхем, электрорадиоэлементов, узлов и электрическим соединениям являются известными.

При конструировании необходимы данные об ожидаемых изменениях характеристик элементов в течение всего срока службы РЭА. Например, если разрабатывается аппаратура со сроком службы 10 лет, то необходимо предварительно в течение 10 лет, если не используется какой-либо метод ускоренных испытаний, собирать данные об изменении параметров комплектующих элементов, что в общем случае нереально, так как за это время может устареть как элементная база, так и сама разрабатываемая РЭА

Поэтому трудно ожидать совпадения реального и рассчитанного поведения системы, но расчеты надежности необходимо выполнять, так как в ТЗ на разработку всегда указываются требуемые показатели надежности.

Вероятность безотказной работы системы обычно вычисляется с использованием выражений:

Pc (t) = exp(-L(t) dt), L(t) =i (t),

где i (t) – интенсивность отказов i-го модуля, n – число модулей системы.

Модули одного иерархического уровня имеют приблизительно равную надежность. Тогда для системы из К групп модулей одного уровня:

Pc (t) = exp(-ni i (t) dt), L(t) =ni i (t),

где ni - число модулей i-го уровня иерархии.

Для экспоненциального закона распределения, когда интенсивность отказов можно считать величиной постоянной:

L(t) = L = const, Pc (t) = exp(-Lt).

В общем случае надежность конструкции зависит от соотношения прочности и устойчивости к нагрузке, которую приходится выдерживать аппаратуре в процессе эксплуатации. Под прочностью здесь понимается способность аппаратуры выдерживать без разрушений внешние температурные, механические, влажностные и прочие воздействия, под устойчивостью – способность к работе при тех же воздействиях

Создание аппаратуры без излишних запасов прочности – важная и сложная задача, поскольку конструктор не всегда имеет четкие количественные параметры внешних воздействий, отсутствуют или имеются неточные математические модели, позволяющие весьма ориентировочно произвести указанную оценку. Это приводит к внесению в конструкцию завышенных запасов прочности и устойчивости, так называемых коэффициентов незнания, уточнение которых – условие успешного обеспечения заданной надежности при минимальной себестоимости.


Используемые источники

1 Сайт http://prodav.exponenta.ru/design/lecture/app/lec07.doc

2 Сайт http://window.edu.ru/window_catalog/pdf2txt?p_id=12058