| Скачать .docx |
Реферат: Жизнь и научная деятельность О. Л. Коши
ВВЕДЕНИЕ
Целью данного реферата является изучение биографии, научной деятельности французского ученого-математика Огюстена Луи Коши. Необходимо рассмотреть его достижения и оценить вклад в науку. О продуктивности Коши-математика свидетельствует целый ряд терминов, определений и понятий, вошедших в науку, таких, как признак Коши, критерий Коши, задачи Коши, интеграл Коши, уравнения Коши–Римана и Коши–Ковалевской, относящиеся к разным разделам математического анализа, математической физики, теории чисел, и других дисциплин. Рассмотрим подробнее его жизнь и деятельность.
1. Хронология событий
21 августа 1789г. - Огюстен Коши родился в Париже в семье видного чиновника. 1805г. - Огюстен поступил в Политехническую школу;
1807г. - Огюстен поступил в Школу мостов и дорог, которую окончил в 1810г.
1810г. - Коши получил ответственное поручение по постройке военного порта.
1811г. - В Шербуре он написал свой первый мемуар о многогранниках, где решил некоторые вопросы, не поддававшиеся первоклассным математикам. Затем последовали еще мемуары по теории многогранников, о симметрических функциях, алгебраических уравнениях, по теории чисел.
1811 - 1812 г.г. - Коши представил Парижской академии несколько работ.
1813г. – Коши возвращается в Париж. Продолжает математические исследования.
1816г. - Коши представил на конкурс Парижской академии наук знаменитое исследование по теории волн на поверхности тяжелой жидкости и получил премию.
1816 г. - Коши специальным королевским указом назначен членом Академии (вместо изгнанного Монжа). Мемуар Коши по теории волн на поверхности тяжёлой жидкости получает первую премию на математическом конкурсе.
1816г. – началась интенсивная преподавтельская деятельность Коши: с 1816г. он профессор Политехнической школы.
1816-1830гг.- Коши стал профессором Сорбонны.
1848-1857гг. - Коши стал профессором Колледж де Франс.
1818 - женился на Алоизе де Бюр. У них родились две дочери.
1821 - опубликован труд «Алгебраический анализ» по основаниям анализа.
1823г. - написано "Резюме лекций, прочитанных в Королевской политехнической школе".
1826-1828г.г. – написаны "Лекции о приложении анализа к геометрии". В этих курсах Коши дал определение непрерывности функции, построил строгую теорию сходящихся рядов, ввел определенный интеграл как предел интегральных сумм. Вся система анализа построена на базе предела. Книги Коши долгое время служили образцом для курса анализа.
1830г. - после июльской революции Коши был вынужден в силу своих клерикально-роялистских настроений отправиться вместе с Бурбонами в эмиграцию. Он жил преимущественно в Турине и Праге, будучи некоторое время воспитателем герцога Бордосского, внука Карла X, за что был произведён изгнанным королём в бароны.
1836г. - умирает Карл X, и присяга ему теряет силу.
1838г. - Коши возвращается в Париж, но не желает из-за своей неприязни к новому режиму занять никаких государственных должностей. Он ограничился преподаванием в иезуитском колледже.
1848г. - после новой революции отменена присяга и Коши получает место в Сорбонне; Наполеон III оставил его в этой должности в 1852 году. Коши получил кафедру в Колледже де Франс, где и проработал до самой смерти.
22 мая 1857г. - умер Коши.
2. Биография Коши

Механик и инженер Огюстен Луи Коши (CauchyA.L., 21.08.1789 - 23.05.1857) родился в Париже в семье адвоката. Воспитывался отцом в строго религиозном духе и, вероятно поэтому, всю жизнь был очень набожным человеком и монархистом. Во время Великой Французской революции семья Коши переселилась в свое небольшое имение в Аркюэйле, по соседству с которым были имения французского математика, физика и астронома Пьера Симона Лапласа (LaplaceP.S., 23.03.1749 — 05.03.1827) и французского химика Клода Луи Бертолле (Berthollet. С. L., 09.12.1748 - 06.11.1822). Эти ученые, а также Ж. Лагранж, часто посещавший П. Лапласа, оказали большое влияние на О.Коши. Они заметили математическую одаренность Коши. В частности, Ж. Лагранж сказал: «Этот мальчик как геометр заменит всех нас». Тем не менее, он посоветовал отцу предварительно дать сыну основательное гуманитарное образование. Для этого О.Коши был определен в престижную Центральную школу Пантеона. Здесь он проявил большие способности в изучении современных и древних языков и французской литературы. После окончания средней школы в 1805 г. О.Коши поступил вторым по списку в Политехническую школу, которую окончил через два года. Во время учебы в Политехнической школе он с большим успехом изучал математику.
Политехническая школа была организована в 1794 г. по предложению группы ученых и инженеров во главе с создателем начертательной геометрии, французским математиком и инженером Гаспаром Монжем (MongeG., 10.05.1746 — 28.07.1818), в связи с тем, что Франции, находившейся в то время в состоянии войны с европейской коалицией, были очень нужны инженеры. Школа представляла собой военное учебное заведение нового типа, в котором основное внимание уделялось изучению фундаментальных наук: математики, механики, физики и химии. Этим предметам посвящались первые два года и только на третьем году изучались специальные технические дисциплины. Однако вскоре третий год обучения был отменен, и выпускники Политехнической школы поступали в специальные учебные заведения: Школу инженеров. Артиллерийскую школу, Горную школу, Школу мостов и дорог. Таким образом, Политехническая школа стала чем-то вроде общетехнического факультета для технических высших учебных заведений страны.
Вскоре после основания Политехнической школы в ней начали преподавать такие знаменитые математики и механики, как Г. Монж, Жан Батист Жозеф Фурье (Fourier J.В. J., 21.03.1768 — 16.05.1830), Ж. Лагранж, Гаспар Клэр Франсуа Мари Риш Прони (Ргопу G.C. F. М. R., 22.07.1755 — 28.07.1839), С. Пуассон. Кроме лекций, учебные планы предусматривали проведение упражнений по решению задач и лабораторных работ по физике и химии, которые впервые были включены в учебные планы.
После окончания Политехнической школы Коши первым по списку поступил в 1807 г. в Школу мостов и дорог, которую окончил в 1810 г., заняв первое место также и на выпускных экзаменах. После окончания школы Коши, в звании кандидата на должность инженера работал на постройке Урского канала, а затем на сооружении моста в Сен-Клу. В 1810 г. уехал в Шербур, где в 21 год начал самостоятельную инженерную работу в Шербурском порту. В Шербуре О.Коши пробыл три года.
Свободное от работы время в Шербуре он посвящал математическим исследованиям и уже в 1811—1812 гг. представил несколько мемуаров в Парижскую академию наук, а в 1813г. переехал в Париж и целиком занялся научной и преподавательской работой в Политехнической школе, Сорбонне и Коллеже де Франса.
Интенсивная научная работа послужила основанием для баллотировки О.Коши в Парижскую академию наук: в первый раз в 1813 г. и второй в 1814 г., но оба раза он потерпел неудачу. Только в 1816 г., когда из состава Академии по политическим мотивам были выведены: математик, механик, военный инженер и государственный деятель Лазар Николла Маргерит Карно (Carnot L.N. М., 13.05.1753 - 02.08.1829) и Г. Монж, О. Коши королевским декретом был назначен на место Г.Монжа.
С 1826 г. К. начал печатать свои "Exercicesmathematiques", содержащие работы автора в разных областях математики. К этому времени относятся замечательнейшие работы по мнимому переменному и по теории интегральных остатков. Во время июльской революции К., будучи роялистом, отказался присягать новому правительству и не хотел оставаться во Франции, откуда изгнан был король, а отправился в Турин, где сардинскй король создал для него особую кафедру de physique sublime. В 1833 г. Карл Х пригласил К. для образования герцога Бордосского (графа Шамбора), с которым К. несколько лет путешествовал по Европе. Многократно ему предлагали различные ученые должности, но он от них отказывался, не желая принимать присяги, пока, наконец, не предложили ему кафедру "без условий". К. состоял членом лондонского королевского общества и знаменитейших академий. Его твердые религиозные и политические убеждения были причиною того, что люди противоположных партий относились к нему пристрастно и упрекали, между прочим, внедостаточной законченности работ. Между тем, именно та быстрота, с которою Коши переходил от одного предмета к другому, дала ему возможность проложить в науке множество новых путей. В геометрии он обобщил теорию многогранников, дал новый способ исследования поверхностей второго порядка, дал интересные исследования касания, выпрямления и квадратуры кривых и установил правила приложения анализа к геометрии. В анализе К. первый усмотрел огромное значение мнимого переменного и возможность его геометрического представления, дал новые формулы конечных разностей для интерполирования, в своих работах об определенных интегралах он дал основание для многих последующих работ подвоякопериодическим функциям, положил основания теории подстановок, дал прочные основания теории сходимости рядов, нашел правило для определения числа корней уравнения между данными пределами, дал способ интегрирования уравнений с частными производными. В механике заменил понятие о непрерывности материи понятием о непрерывности геометрических переменных, исследовал движение световой волны в условиях двойного преломления, дал знаменитую теорию волн на поверхности тяжелой жидкости. В физике дал общее уравнение движения светового эфира, установил законы преломления и отражения, не прибегая к сомнительным гипотезам. Вастрономии дал новый способ вычисления движения планет. К. написал более700 мемуаров, полный список которых помещен в книге Валсона: "Le baronAug. С", атакжев "Каталоге" лонд. королевскогообщества. ИзболеекрупныхсочиненийК. известны: "Memoire sur les integrales definiesprises entre des limites imaginaires", "Lecons sur le calculdifferentiel", "Memoire sur la resolution des equations numeriques etsur la theorie de l'elimination", "Memoire sur la theorie de lalamiere", "Exercices mathematiques". Парижская академия наук издает его"Oeuvres completes". На русский яз. переведены: "Алгебраический анализ"(Лпц. 1864), "Краткое изложение дифференциального и интегрального исчислений" (СПб. 1831; перев. В. Буняковского). Н. Д.
Коши опубликовал свыше 800 работ. В его жизни были периоды, когда он представлял мемуары в Парижскую академию наук каждую неделю. Академик А.Н. Крылов по этому поводу отмечает: «Коши писал такое множество работ, как превосходных, так и торопливых, что ни Парижская академия, ни тогдашние математические журналы их вместить не могли, и он основал свой собственный математический журнал, в котором помещал только свои работы». К. Гаусс про наиболее торопливые из них выразился так: «Коши страдает математическим поносом». Неизвестно, не говорил ли Коши в отместку, что «Гаусс страдает математическим запором».
Мемуары О. Коши благодаря его солидному гуманитарному образованию написаны прекрасным французским языком. О. Коши писал стихи на французском и латинском языках. Полное собрание сочинений О. Коши состоит из 25 томов.
3. Политическая характеристика О.Л.Коши
Среди пионеров борьбы за строгость и чистоту математики, рядом с именами Гаусса, Вейерштрасса, Чебышёва и его учеников Ляпунова и Маркова, девизом которых была «строгость, строгость и строгость», мы с благодарностью называем имя выдающегося французского учёного Огюстена Луи Коши, великого труженика, по продуктивности сравнимого разве что с Эйлером или с Бальзаком, написавшим 90 томов «Человеческой комедии».
Но комедия, а скорее человеческая трагедия заключалась в том, что и великий писатель Франции, и её выдающийся учёный-математик не были по своим общественным воззрениям прогрессивными людьми, хотя и объективно верно отражали в своем творчестве окружающий мир и тем самым способствовали его постижению.
О продуктивности Коши-математика свидетельствует целый ряд терминов, определений и понятий, вошедших в науку, таких, как признак Коши, критерий Коши, задачи Коши, интеграл Коши, уравнения Коши–Римана и Коши–Ковалевской, относящиеся к разным разделам математического анализа, математической физики, теории чисел, и других дисциплин. Всего же он написал 700 работ (по другим источникам 800), с неимоверной легкостью переходя от одной области научного знания к другой.
Были времена, когда Коши буквально каждую неделю представлял в Парижскую академию наук новый мемуар, и с печатанием его трудов складывались такие же трудности, как и с публикацией трудов Эйлера. Как отмечают его биографы, капитальные труды «Курс анализа», «Резюме лекций по исчислению бесконечно малых» и «Лекции по приложениям анализа к геометрии» послужили образцом для большинства курсов позднейшего времени.
Путь в науку и к профессорской кафедре был у Огюстена Коши, можно сказать, образцовым. В 1807 году он заканчивает Политехническую школу. Инженерному делу он учится в Школе мостов и дорог. По окончании учебы в 1810 году начинает свой трудовой путь инженером на сооружении военного порта в Шербуре. Это было время расцвета империи Наполеона. Падение же «великого завоевателя» и реставрация монархии Бурбонов привели молодого Коши сначала в Политехническую школу, а затем в Сорбонну и Коллеж де Франс уже в качестве профессора.
Ничто так не высвечивает характеры людей, как грандиозные социальные встряски, подобные Великой французской революции, которую ныне чествует весь мир, взлету и падению Наполеона, реставрации, Ста дням и второй реставрации Бурбонов. Не будь революции, мы бы и не знали, что знаменитый математик и творец «Небесной механики» Лаплас был политически беспринципным человеком. Первый том своего бессмертного произведения он посвятил «Наполеону Великому», а последний — сменившему Наполеона монарху. И не прогадал: Наполеон сделал его графом, а король — пэром и маркизом..
Иначе сложилась судьба другого математика времён Великой французской революции — геометра и якобинца Гаспара Монжа. Морской министр первой французской республики, организатор её обороны, с возвращением Бурбонов на трон он потерял всё: был лишён всех титулов и наград, изгнан из Академии наук и вынужден скрываться от властей.
У свидетелей этого белого террора реставрации, естественно, возникал вопрос: кто займет место Монжа в академии? Найдется ли во Франции математик, настолько лишённый чувства приличия, чтобы занять место чистейшего и добрейшего гражданина, крупнейшего учёного, создателя Политехнической школы, воспитавшей десятки учёных с мировым именем?..
Такой человек нашёлся. Это был выпускник этой школы ученик Монжа Огюстен Луи Коши, проявивший себя как ярый монархист. И тут нечему удивляться: Коши был не избран в Парижскую академию, а назначен властями.
Потому и сетуя по поводу столь жёстких репрессивных мер, применённых к республиканцу Монжу, в те времена с возмущением говорили: «Его место беззастенчиво занял Коши — великий учёный, не наделённый, однако, совестью. Он был преступно невнимателен к молодым учёным, терял их работы. Он — соучастник, одна из причин гибели Галуа и Абеля».
Такой малопривлекательный гражданский и политический портрет сложился у математика, который родился в год Великой французской революции, спустя всего пять недель после взятия Бастилии. Детские и юные его годы пришлись на самую яркую в мировой истории эпоху ломки феодализма и становления демократии. Казалось бы, молодой учёный должен был впитать в себя республиканские демократические идеи Монжа, как это было с «двумя тысячами его сыновей» из Политехнической школы, сильной своими революционными традициями, заложенными им же.
Но доброе сердце Монжа не передалось ни великому честолюбцу Наполеону Бонапарту, ни будущему великому математику Коши. И кто бы мог подумать, что из юноши, взращенного революцией, получится в конечном итоге ярый реакционер, клерикал, даже ультрареакционер! Но такова жизнь, таковы уроки истории: титанические усилия воспитателей приводят порой к обратным целям, как это не раз уже показали результаты назойливой пропаганды.
Чтобы не впасть в ту же назойливость, предвзятость, которая нередко мешает становлению объективного взгляда на вещи и на людей, приходится задаться вопросом: а не искажён ли образ Коши его недоброжелателями или политическими противниками, сложившими столь стойкую легенду? Поэтому послушаем и другую сторону.
Известный голландский учёный Г. Фройденталь, например, по отношению к историям с «непризнанными гениями» настроен весьма критически. «Душещипательные истории, — пишет он, — которые рассказывают об Абеле, просто выдумка... Абель умер не от голода, а от туберкулёза... То, что Коши затерял одну из его работ, — клеветническая выдумка. Во всяком случае верно, что Абель умер слишком рано и не успел завоевать большей славы. Это же относится и к Галуа...»
Нам не известно, терял ли рукописи Абеля академик Коши, но есть сведения, что он их быстро нашёл и дал хвалебный отзыв, когда Нильс Хенрик Абель уже умер. Что же касается истинного сына революции гениального математика и республиканца Галуа, то хорошо известно, что на его работы Коши не дал ответа. И нет ничего удивительного в том, что в последнем, предсмертном письме другу перед трагической дуэлью Эварист Галуа просил: «Ты публично попросишь Якоби или Гаусса дать заключение не о справедливости, а о значении этих теорем. После этого, я надеюсь, найдутся люди, которые сочтут нужным расшифровать всю эту галиматью». Как видим, он не внёс Коши в число немногих авторитетов в математике, которым бы мог довериться.
Историю не переделаешь. Личность не перекуешь. Во время второй французской революции Коши оставил свою кафедру в Политехнической школе и покинул страну. В биографических словарях и справочниках без эмоций сообщается, что он в это время будто бы «путешествовал» по Европе. А ведь он попросту бежал от революции, которой страшился и которую ненавидел. Прожив несколько лет в Турине и в Праге, он возвратился в Париж в 1838 году, но занимать официальные учёные посты отказался из-за неприязни к режиму. После революции 1848 года и установления буржуазной революции ему было разрешено остаться в стране. Он остался и даже занял кафедру, но при одном условии, чтобы ему разрешили преподавать «без условий», то есть без присяги правительству. Завидное постоянство!
Чтобы характеристика Коши и его отношения к другим учёным, и не только молодым, не показались предвзятыми, приведём ещё один небезынтересный эпизод. Речь идет об ученике и последователе Монжа, выдающемся геометре и механике Жане Викторе Понселе. Будучи офицером инженерных войск Наполеона, вместе с 26 тысячами французов он попал в плен к русским. И там, в плену, в далеком от европейских научных центров Саратове, написал семь тетрадей, которые по возвращении в Париж превратились в ныне знаменитый «Трактат о проективных свойствах фигур», где были обстоятельно изложены принципы новой науки — проективной геометрии и впервые сформулирован принцип двойственности.
Но, как отмечают историки Эрнест Лависс и Альфред Рамбо, его работы, посланные в Академию наук в 1824 году, не встретили того приема, какого он ожидал. Коши в своих докладах ставил «новую геометрию», как называл её Понселе, ниже анализа. Понселе, надолго сохранивший об этой «сравнительно маленькой» неудаче неприятное воспоминание, отдался почти исключительно изучению практической механики. Надо сказать, что и в этой новой области он замечательно преуспел.
Проницательность Понселе и странную «слепоту» Коши хорошо объясняют слова голландского математика Д. Я. Стройка: «Иной раз большие новые идеи рождаются вне, а не внутри школ».
Примечателен и другой факт, характеризующий Коши несколько иначе. Потому и умолчать о нём нельзя. В 1822 году Михаила Васильевича Остроградского посадили в парижскую долговую тюрьму по требованию хозяина гостиницы, которому он сильно задолжал. Пребывая в тюрьме, Остроградский написал мемуар по теории волн в сосуде цилиндрической формы и послал его на рассмотрение Коши. Тот не отверг работу и не затерял её, а одобрил и добился опубликования в Трудах Парижской академии наук. Более того, он выкупил Михаила Васильевича из тюрьмы, не будучи уже очень богатым, и порекомендовал его на должность преподавателя в лицее. А казалось бы странным: убеждённый клерикал выручил бывшего студента Харьковского университета, лишённого диплома за вольнодумство и непосещение лекций по богословию. Было ли это проявлением неосведомленности Коши в вопросах политических взглядов русского математика, трудно сказать. Достоверно известно лишь одно: в 1831 году Огюстен Луи Коши стал почётным иностранным членом Петербургской академии наук, тогда как другого французского математика и философа-просветителя маркиза Кондорсэ, активно участвовавшего в Великой французской революции (на первом её этапе), по велению Екатерины II из академии исключили.
Нет слов, почётные титулы великого математика Коши вполне им заслужены на научном поприще. Но приведём в заключение ещё одно высказывание, касающееся людей науки. «Если человек трудится только для себя, — писал К. Маркс, — он может, пожалуй, стать знаменитым учёным, великим мудрецом, превосходным поэтом, но никогда не сможет стать истинно совершенным и великим человеком».
4. Достижения в науке
В геометрии он обобщил теорию многогранников, дал новый способ исследования поверхностей второго порядка, интересные исследования касания, выпрямления и квадратуры кривых и установил правила приложения анализа к геометрии.
В анализе Коши первый усмотрел огромное значение мнимого переменного и возможность его геометрического представления, дал новые формулы конечных разностей для интерполирования, в своих работах об определенных интегралах он дал основание для многих последующих работ по двояко-периодическим функциям, положил основания теории подстановок, дал прочные основания теории сходимости рядов, нашел правило для определения числа корней уравнения между данными пределами, дал способ интегрирования уравнений с частными производными.
В механике заменил понятие о непрерывности материи понятием о непрерывности геометрических переменных, исследовал движение световой волны в условиях двойного преломления, дал знаменитую теорию волн на поверхности тяжелой жидкости.
В физике дал общее уравнение движения светового эфира, установил законы преломления и отражения, не прибегая к сомнительным гипотезам.
В астрономии дал новый способ вычисления движения планет.
Коши написал более 700 мемуаров., полный список которых помещен в книге Валсона: "Le baronAug. С", а также в "Каталоге" лонд. королевского общества. Из более крупных сочинений К. известны: "Memoire sur les integrales definiesprises entre des limites imaginaires", "Lecons sur le calculdifferentiel", "Memoire sur la resolution des equations numeriques etsur la theorie de l'elimination", "Memoire sur la theorie de lalamiere", "Exercices mathematiques". Парижская академия наук издает его"Oeuvres completes". На русский яз. переведены: "Алгебраический анализ" (Лпц. 1864), "Краткое изложение дифференциального и интегрального исчислений" (СПб. 1831; перев. В. Буняковского).
Что касается математики – вклад О.Л.Коши имеет огромное значение:
1) КОШИ ЗАДАЧА, одна из осн. задач теории дифференциальных уравнений,
впервые систематически изучавшаяся О. Коши. Заключается в нахождении решения и (х, t); x = (х1
,..., хn
) дифференциального ур-ния вида: 
где Go - носитель начальных данных - область гиперплоскости t = to пространства переменных x1 ..., хn . Когда F и fn, k - 0, ..., т -1, являются аналитич. функциями своих аргументов, задача Коши (1), (2) в нек-рой области G пространства переменных t, x, содержащей G0 , всегда имеет и притом единственное решение. Однако это решение может оказаться неустойчивым (т. е. малое изменение начальных данных может вызвать сильное изменение решения), напр, в том случае, когда ур-ние (1) принадлежит эллиптич. типу. При неаналитич. данных задача Коши (1), (2) может потерять смысл, если не ограничиться рассмотрением того случая, когда ур-ние (1) является гиперболическим.
2)
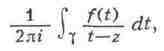
КОШИ ИНТЕГРАЛ,
интеграл вида 
где гамма - простая замкнутая спрямляемая кривая в комплексной плоскости и f(t) - функция комплексного переменного t, аналитическая на гамма и внутри у. Если точка z лежит внутри гамма, то К. и. равен f(z), т. о., любая аналитич. функция может быть посредством К. и. выражена через свои значения на замкнутом контуре. К. и. впервые рассмотрен О. Коши (1831).
Обобщением К. и. являются интегралы типа Коши; они имеют тот же вид, но кривая у не предполагается замкнутой и функция f(t) не предполагается аналитической. Такие интегралы по-прежнему определяют аналитич. функции; их значения на гамму отличаются, вообще говоря, от функции f(t). Систематич. изучение их было начато Ю. В. Сохоцким и впоследствии продолжалось гл. обр. русскими и советскими математиками (Ю. Г. Колосов, В. В. Голубев, И. И. Привалов, Н. И. Мусхелишвили) как в направлении дальнейших обобщений, так и для приложения к вопросам механики.
3) КОШИ НЕРАВЕНСТВО, неравенство для конечных сумм, имеющее вид:
Одно из важнейших и наиболее употребит, неравенств. Доказано О. Коши (1821). Интегральный аналог К. н. установлен рус. математиком В. Я. Бундковским (см. Буняковского неравенство), интересное обобщение К. н. сделано нем. математиком О. Гёльдером (см. Гёлъдера неравенство).
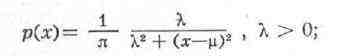
4) КОШИ РАСПРЕДЕЛЕНИЕ, специальный вид распределения вероятностей случайных величин. Введено О. Коши', характеризуется плотностью характеристич. функция

![]()
К. р.- унимодально и симметрично относительно точки х = и, являющейся его модой и медианой. Ни один из моментов К. р. положит, порядка не существует. На рис. дано К. р. при мю = 1,5, лямбда = 1. 
Распределение Коши: а - плотность вероятности; 6 - функция распределения.
5) КОШИ ТЕОРЕМА о разложении аналитической функции в степенной ряд.
Пусть f(z) - функция, однозначная и аналитическая в области G; z0
- произвольная (конечная) точка области G и р - расстояние от Zo до границы этой области. Тогда существует степенной ряд, расположенный по степеням z - Zo, 
сходящийся в круге
и представляющий в этом круге функцию f(z):
![]()
Граница области G может сводиться к бесконечно удалённой точке; в этом случае р следует считать равным бесконечности. Эта теорема была установлена О. Коши (1831), исходившим из представления аналитической функции в виде Коши интеграла.
6) КОШИ - АДАМАРА ТЕОРЕМА, теорема теории аналитич. функций,
позволяющая судить о сходимости степенного ряда
![]()
где a0 , a1 ,..., an - фиксированные комплексные числа, a z - комплексное переменное. К.- А. т. гласит: если верхний предел

то при р= 00 ряд абсолютно сходится во всей плоскости; при р = О ряд сходится только в точке z = Z0 и расходится при z <> z0 ; наконец, в случае, когда 0<р< оо ряд абсолютно сходится -в круге |z - z0 | <р и расходится вне этого круга. Эта теорема была установлена О. Коши (1821) и вновь доказана Ж. Адамаром (1888), указавшим на её важные приложения.
7) КОШИ - РИМАНА УРАВНЕНИЯ в теории аналитических функций,
дифференциальные ур-ния с частными производными 1-го порядка, связывающие действительную и мнимую части аналитической функции w = и + iv комплексного переменного z = х + iу:
du/dx = dv/dy, du/dy = - dv/дх. Эти ур-ния имеют осн. значение в теории аналитических функций и её приложениях к механике и физике; они впервые были рассмотрены Ж. Д'Аламбером и Л. Эйлером, задолго до работ О. Коши и Б. Римана.
ЗАКЛЮЧЕНИЕ
СПИСОК ИСПОЛЬЗУЕМОЙ ЛИТЕРАТУРЫ
- Бобынин В. В., Огюстен Луи Коши. (Очерк его жизни и деятельности), "Физико-математические науки в их настоящем и прошедшем", 1887, т. 3, № 1-3;
- Маркушевич А. И., Очерки по истории теории аналитических функций, М.- Л., 1951.
- http://ega-math.narod.ru/Singh/Cauchy.htm
- http://ru.wikipedia.org/wiki/Коши_О.