| Скачать .docx |
Курсовая работа: Курсовая работа: Создание устного счета на языке Паскаль
Международный университет природы, общества и человека
"Дубна" филиал "Котельники"
Курсовая работа
по программированию на языке высокого уровня
"Создание устного счета на языке Паскаль"
студента I курса группы ПОВТ-11
Власовой Ирины
Руководитель:
Артамонов Юрий Николаевич
Дубна, 2010
Оглавление
1. Спецификация программы
2. Постановка задачи
3. Логическая модель программы
4. Метод обработки входных данных
5. Входные данные
6. Выходные данные
7. Ошибки
8. Управление режимами работы программы
9. Проектирование
10. Тестирование и отладка
11. Руководство пользователя
Вывод
Список литературы
1. Спецификация программы
Название программы – Устный счет
Система программирования – BorlandDelphi 7
Компьютер –
- Операционная система:WindowsXP или выше;
- Оперативная память: 2048 MbRAM;
- Процессор:PentiumIII или выше;
- Свободное место на диске: 600 Mb;
- Видеокарта: GeForce 2;
- Аппаратное обеспечение: мышь, клавиатура, CD-ROM либо USBport
Программа не требовательна к системным ресурсам компьютера и операционной системе, но на операционной системе WindowsXP, и более новых версиях Window она будет приобретать более приятный интерфейс.
При открывании справки, программа не будет останавливать свою работу, и ученик может спокойно работать с программой и пользоваться справкой.
Все основные операции по работе с программой вынесены на кнопки и программное меню для более лёгкого работы с ней.
2. Постановка задачи
Цель курсовой работы – проектирование и программная реализация системы, реализующей в соответствии с заданным вариантом процессы создания и взаимодействия группы объектов, и модулей программы.
Постановка задачи подразумевает разработку компьютерного приложения "Устный счет" для проверки знания математики. Система должна быть выдержана в едином стиле и снабжена справочной подсистемой с указанием возможностей.
3. Логическая модель программы
Объектно-ориентированный анализ и проектирование подразумевают последовательный процесс разработки системы с постепенным улучшением различных, но, тем не менее, согласованных между собой логических и физических представлений о системе в целом. Созданная система в процессе деятельности может быть представлена несколькими состояниями, которые осуществляют те или иные действия. В системе можно выделить некоторое начальное состояние и конечное, завершающее работу состояние.
Логическая модель заданного приложения:

В процессе работы программа из заданных настроек выстраивает случайный пример и предлагает пользователю решить это уравнение.
4. Метод обработки входных данных
"Устный счет"является игровым приложением для ПК, включающим в себя стандартные операции математики. Стоит рассмотреть методы обработки входных данных, коими являются параметры генерирования примера.
Обработка входных данных осуществляется с помощью панели управления приложением, реализованными определенными процедурами. В свою очередь, данные процедуры обращаются к "основной", включающей в себя множество элементов редактирования, а именно настройки примера. Настройки можно меня при помощи правого клика мыши.
5. Входные данные
1.Выбор знака действия.
2.Выбор количества операций.
3.Выбор максимального генерируемого числа.
6. Выходные данные
1. На дисплее должна выдаваться справочная информация о названии программы.
2. После обработки входных данных на экран выводится пример.
3. а. После обработки примера на экран выводится ответ.
б. После обработки примера и анализа введённого ответа на экран либо выводится ответ и сообщение и том что ответ верен, либо сообщение "Подумай".
7. Ошибки
Нажатие на кнопку "Сгенерировать" без выбора знака.
Нажатие на кнопку "Проверить" без генерации примера.
8. Управление программой и её режимами
1 Выберите знак действия;
2 Выберите количество операций;
3 Выберите максимальное число, которое возможно в примере;
4 Нажмите на кнопку "Сгенерировать";
5 Для проверки ответа нажмите на кнопку "Показать ответ".

Выход осуществляется при нажатии кнопки "Выход".

По нажатию пункта меню "Справка – О программе" открывается форма с описанием программы, информацией об авторе.
9. Проектирование
Для создания формы использовалась стандартная форма, предложенная в Delphi, на которую и были наложены другие элементы программы.
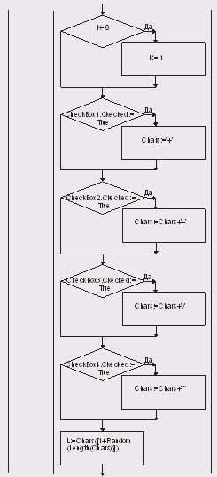
В самом начале любой программы, сделанной на Delphi, объявляется переменная формы(Form1), которую Delphi создаёт автоматически при создании проекта. Потом собственноручно объявляются две переменные (l,Chars) строкового типа(String). Так же объявляются три переменные (k,m,i) целочисленного типа(Integer) и одну переменную (rezult) типа (real). И дальше идут основные процедуры программы. Самая основная процедура– это процедура – Button1Click.
procedure TForm1.Button1Click(Sender: TObject);
var
rezult:real;
l,Chars:string;
k,m,i:integer;
begin
GroupBox5.Visible:=True;
Edit2.Visible:=False;
randomize;
Edit1.Text:=' ';
rezult:=0;
k:=random(SpinEdit2.Value);
m:=random(SpinEdit2.Value);
if k=0 then k:=1;
if m=0 then m:=1;
if CheckBox1.Checked=True then Chars:='+';
if CheckBox2.Checked=True then Chars:=Chars+'-';
if CheckBox3.Checked=True then Chars:=Chars+'/';
if CheckBox4.Checked=True then Chars:=Chars+'*';
l:=(Chars[1+Random(Length(Chars))]);
Edit1.Text:=IntToStr(k)+l+IntToStr(m);
if l='+' then rezult:=k+m;
if l='-' then rezult:=k-m;
if l='/' then rezult:=k/m;
if l='*' then rezult:=k*m;
if SpinEdit1.Value>1 then
begin
for i:=1 to (SpinEdit1.Value-1) do
begin
k:=random(SpinEdit2.Value);
if k=0 then k:=1;
if CheckBox1.Checked=True then Chars:='+';
if CheckBox2.Checked=True then Chars:=Chars+'-';
if CheckBox3.Checked=True then Chars:=Chars+'/';
if CheckBox4.Checked=True then Chars:=Chars+'*';
l:=(Chars[1+Random(Length(Chars))]);
if l='+' then rezult:=rezult+k;
if l='-' then rezult:=rezult-k;
if l='/' then rezult:=rezult/k;
if l='*' then rezult:=rezult*k;
if l='/' then Edit1.Text:='('+Edit1.Text+')';
if l='*' then Edit1.Text:='('+Edit1.Text+')';
Edit1.Text:=Edit1.Text+l+IntToStr(k);
end;
end;
Edit4.Text:=FloatToStr(rezult);
end;
Она непосредственно генерирует пример и выводит его на экран. Эта процедура начинает свою работу при нажатию кнопки "Сгенерировать" в верхней правой части окна программы. В основе этой процедуры заложены циклы которые определяют выбранный знак и генерируют пример с этим знаком. При нажатию кнопки "Показать ответ" в нижней части окна программы осуществляется вывод ответа в компоненте Edit2.
procedure TForm1.N3Click(Sender: TObject);
begin
form1.Close;
form2.Close;
end;
При нажатию кнопки "Выход" в верхней части окна программы, работа с программой заканчивается и она закрывается. При нажатию пункта меню "Справка – О программе" открывается ещё одна форма с описанием программы, информацией об авторе. Данная форма кнопку(Button) для закрытия этой формы. На форме располагаются 3 поля с надписью(Label).
Ниже приведена блок схема работы кнопки Button1 отвечающей за создание примера.






10. Тестирование и отладка
При тестировании программы отклонений от правильной работы не обнаружено. Все юниты работают исправно.
При отладке программы были исправлены недочеты в построение примеров. Программа готова к эксплуатации.

11. Руководство пользователя
В данном разделе приведено описание всех ключевых элементов панели Настройки

Операции – в данном разделе пользователь вводит какие операции устного счета будут в примере.
Количество операций - сколько действий будет в примере.
Максимальное число - из какого интервала будут браться числа для отдельных переменных.(это не максимальный возможный ответ на пример)
Вывод
Программа "устный счёт" является функциональной программой, предназначенной для проведения подготовительных, проверочных и контрольных работ по математике. Она отличается приятным графическим оформлением.
Программа поможет самостоятельно тренироваться в устном счёте, без чьей либо помощи.
Программа будет полезна всем, кто ей будет пользоваться.
В ходе выполнения курсового проекта были закреплены понятие объектно-ориентированного программирования, навыки по программированию в объектно-ориентированной среде.
Программа, описанная в курсовом проекте, разработана в соответствии с постановкой задачи на курсовое проектирование по теме "Устный счет" по дисциплине "Программирование на языке высокого уровня".
Списокиспользуемойлитературы
1. Фаронов В.В. "Delphi. Программирование на языке высокого уровня: Учебник для вузов", - СПб.: Питер, 2005.
2. Мазный Г.Л., Мурадян А.В., Булякова И.А., Мельникова О.И. "Офисные информационные технологии: учебное пособие", - Дубна, 1999.
3. Хоменко Анатолий, Гофман Владимир, Мещеряков Евгений, Никифоров Владимир Delphi 7. Под общей редакцией Хомоненко А. Д. – СПб.: БХВ-Петербург, 2004.