| Скачать .docx |
Курсовая работа: Курсовая работа: Автоматизированная система учета конкурентоспособности региона на основе деятельности предприятий
КУРСОВОЙ ПРОЕКТ
Специальность 230102
Автоматизированные системы обработки информации и управления
Автоматизированная система учета конкурентоспособности региона на основе деятельности предприятий
Содержание
Введение
1 Обзор и анализ существующих систем
2 Общесистемные решения
2.1 Пояснительная записка к техническому проекту
2.2 Описание схемы организационной структуры
2.3 Описание автоматизируемых функций
2.4 Постановка задачи
3 Математическое обеспечение
3.1 Назначение и характеристика комплексной методики оценки конкурентоспособности региона
3.2 Используемая информация
3.3 Результаты работы комплексной методики оценки конкурентоспособности региона
3.4 Математическое описание комплексной методики оценки конкурентоспособности региона
3.5 Описание схемы работы системы
4 Информационное обеспечение
4.1 Перечень входных данных
4.2 Перечень выходных данных
4.3 Описание информационного обеспечения
4.4 Организация внутримашинной информационной базы
4.5 Инструкция по ведению базы данных
4.6 Чертеж видеокадра
5 Техническое обеспечение
5.1 Описание комплекса технических средств
5.2 Инструкция по эксплуатации комплекса технических средств
6 Программное обеспечение
6.1 Описание программного обеспечения
6.2 Описание модульной структуры
6.3 Установка и подготовка к работе
6.4 Контрольный пример
7 Организационное обеспечение
7.1 Изменения в организационной структуре
7.2 Руководство пользователя
8 Оценка надежности автоматизированной системы
Заключение
Библиографический список
Введение
Конкурентоспособность промышленности региона является ключевым фактором экономического и социального развития регионов. Очень важно, чтобы промышленные предприятия, находящиеся на его территории, являлись конкурентоспособными и тем самым способствовали увеличению бюджета региона, обеспечению занятости населения, росту покупательной способности населения, увеличению спроса, росту деловой активности и процветанию региона в целом. Очевидным следствием конкурентоспособности промышленных предприятий являются большие объемы продаж, а также выход предприятий на национальный и мировой рынки (при условии дальнейшего удовлетворения внутреннего спроса). На современном этапе развития экономики это особенно важно, так как наблюдается серьезное отставание по уровню социально-экономического развития большинства регионов от развитых стран.
Для региона анализ и оценка конкурентоспособности его промышленности представляет интерес, так как позволяет определить, что следует ожидать региону от экономики промышленных предприятий и как способствовать процессу роста их конкурентоспособности. В результате анализа конкурентоспособности промышленности региона важно получить не только аспектные оценки конкурентоспособности конкретного предприятия, но и определить ту или иную отрасль, позволяющую повысить его уровень конкурентоспособности в зависимости от возможности включения данного предприятия в тот или иной тип деятельности региона для повышения его социально-экономического потенциала.
1. Обзор и анализ существующих систем
В настоящее время отсутствует общепринятая методика оценки конкурентоспособности предприятия. Вообще, в теоретическом плане проблема достижения конкурентоспособности различных объектов в условиях российской экономики находится в настоящее время почти на нулевом уровне.
Необходимо разработать систему, которая предоставляла бы следующие возможности:
- создать систему управления базой данных, позволяющей оперативно выполнять самые сложные запросы большого количества пользователей, как департамента в отдельности, так и других подразделений администрации одновременно.
- оперативно предоставлять информацию пользователю с помощью современных методов обработки информации. С помощью современной компьютерной техники и сетевого оборудования достигается быстрота и оперативность подачи информации для обработки.
- обеспечить удобный вывод результатов работы, т.е создание интуитивно-понятного интерфейса.
- предоставить возможности расширения и модернизации системы, добавления в процессе работы новых структур данных без нарушения функционирования работающих автоматизированных подсистем.
- рассчитать комплексный показатель конкурентоспособности региона, который складывается из двух групп: показатель уровня жизни и инвестиционная привлекательность региона, по методике В.А. Андреева.
2. Общесистемные решения
2.1 Пояснительная записка к техническому проекту
Полное наименование системы: «Автоматизированная система учета конкурентоспособности региона на основе деятельности предприятий». Краткое наименование - АС «Регион».
Заказчик системы: Тульский государственный университет, кафедра «Автоматизированных информационных и управляющих систем».
Разработчик системы: Рамазанов Руслан Ряшидович, студент группы 730241 Тульского государственного университета.
Начало работ по проектированию АС: 06.09.2008
Окончание работ по проектированию АС: 08.12.2008
Основным назначением разрабатываемой автоматизированной системы является создание среды для расчета оценок, представление рассчитанных оценок в графическом и текстовом виде, что обеспечит поддержку принятия следующих основных групп управленческих решений, направленных на разработку и реализацию маркетинговой стратегии, а также анализ результатов такой стратегии, в частности:
- решение по конкурентоспособности региона, прогноз его дальнейшего развития;
- решения о поддержке отдельных видов отраслей промышленности на основании рассчитанной комплексной оценки конкурентоспособности региона;
- решения о практических рекомендациях региональной власти, хозяйствующим субъектам по повышению конкурентоспособности региона;
- решения о том, насколько велик потенциал региона как объекта инвестиций и до какой степени велик риск инвестирования в данный регион;
- решения, направленные на укрепление и развитие законодательной базы региона.
- Кроме того, АС предоставляет удобный инструментарий для учета наиболее перспективных организаций региона, являющихся потенциальными объектами инвестиций или уже находящихся на стадии разработки или реализации инвестиционного проекта.
Объектом автоматизации являются предприятия региона. Актуальность и необходимость работы над маркетингом регионов вызвана, прежде всего, обострившейся конкурентной борьбой между регионами страны за квалифицированную рабочую силу, прибыльные предприятия, привлечение инвестиций в регион.
В связи с этим, возникает проблема эффективной и адекватной регио-нальной политики, направленной на реконструкцию и реформирование экономики и привлечение инвестиций.
Как показывает практика, усилия региональных властей в достижении этих целей далеко не всегда в достаточной мере эффективны. Одна из основных причин это отсутствие чётко разработанных и осуществляемых планов развития территорий, опирающихся не на федеральные финансовые ресурсы, а на использование местного потенциала.
Очевидно, что в настоящее время регионам требуется изучение и оценка, с одной стороны, внутрирегиональных интересов и потребностей, а с другой стороны, оценка собственных возможностей их удовлетворения. Это потребует, безусловно, достаточно емких научно-практических исследований и прогностических разработок.
При проектировании системы использовались различные ГОСТы и другие нормативно-технические документы по проектированию автоматизированных систем.
При разработке проекта применялись наиболее популярные и эффективные объектно-ориентированные технологии, технологии баз данных.
2.2 Описание схемы организационной структуры
При использовании АС «Регион» в организационной структуре должностные лица: главные специалисты. АС помогает повышать качество принятия решений при организации и управления маркетинговой стратегий региона. Схема организационной структуры департамента экономического развития администрации Тульской области представлена на рисунке 2.1.

Рисунок 2.1 – Схема организационной структуры департамента экономиического развития администрации Тульской области
Директор департамента - осуществляет общее руководство, несет полную ответственность за его деятельность, действует от имени департамента, представляет его в других объединениях, распоряжается имуществом. Он издает приказы, применяет меры поощрения и налагает взыскания на работников департамента, отменяет приказы нижестоящих руководителей производства или дает обязательные для исполнения распоряжения об их изменении.
Заместитель - действуют от имени департамента, координируют работу отделов анализа и прогнозирования, стратегического развития, бюджетных целевых программ; участвуют в разработке проектов законов Тульской области, постановлений, распоряжений губернатора Тульской области, постановлений администрации Тульской области по вопросам, отнесенным к ведению департамента; организуют разработки прогнозов экономического развития Тульской области на краткосрочный и среднесрочный периоды; организуют разработки стратегий, концепций, программ социально-экономического развития Тульской области и осуществляют контроль за ходом их выполнения.
Отдел административно-управленческих технологий :
- поддержка в работоспособном состоянии АС;
- ввод информации, необходимой для функционирования системы, ведение справочников;
- создание условий для удобной работы с системой рядовых пользователей;
- проведение консультаций на местах и в учебном помещении по работе с программным продуктом;
- обновление необходимых модулей системы, модернизация системы в целом.
Консультант - установка ПО на клиентских компьютерах и на сервере, конфигурирование БД, поддержка системы в работоспособном состоянии. Главный специалист-эксперт - непосредственно работает с системой и в обязанности которого входит:
- ввод и вывод информации;
- ведение справочников;
- разграничение прав пользователей;
-консультирование пользователей по работе с программным продуктом;
- принимает участие в анализе и разработке основных решений.
Начальник отдела и его заместитель участвуют в разработке основных мероприятий, положений, выданных системой, а также стратегии развития региона.
2.3 Описание автоматизируемых функций АС
С использованием методологии IDEF0 при проектировании АС была разработана функциональная модель системы.
Главной функцией системы (А0) является учет конкурентоспособности региона. Для реализации данной функции необходимо выполнить следующие функции:
- А1: расчет перспективных предприятий и оценка их основных рисков;
- А2: расчет конкурентоспособности отрасли;
- А3: расчет конкурентоспособности региона;
- А11: расчет критериев и коэффициента конкурентоспособности предприятия;
- А12: расчет рисков;
- А21: расчет коэффициента локализации;
- А22: расчет коэффициента душевого производства;
- А23: расчет коэффициента специализации региона;
- А31:расчет комплексного показателя конкурентоспособности региона;
- А32: расчет оценки инвестиционной привлекательности.
Диаграмма IDEF0 представлены в приложении Б. Дерево узлов разработанной модели представлено на рисунке 2.2.
Рисунок 2.2 - Дерево узлов функциональной модели АС
2.4 Описание постановки задачи
Целью создания АС «Регион», является сокращение времени и повышение качества принятия решений при организации и управлении маркетинговой стратегией региона.
Можно выделить следующие задачи АС «Регион»:
1. Создание системы управления базой данных, позволяющей оперативно выполнять самые сложные запросы большого количества пользователей как департамента в отдельности так и других подразделений администрации одновременно. Данная задача реализуется на протяжении всего жизненного цикла системы. Содержание базы данных будет определяться статистической информацией по нужным отраслям региона и постановлениями вышестоящих органов власти.
2. Оперативное предоставление информации пользователю с помощью современных методов обработки информации. С помощью современной компьютерной техники и сетевого оборудования достигается быстрота и оперативность подачи информации для обработки. При этом данная задача решается только в комплексе решений других задач и фактически является следствием решения других задач проекта. Модели технических средств определяются правилами приобретения компьютерной техники в администрации Тульской области и перераспределения ее внутри подразделения.
3. Удобный вывод результатов работы, то есть создание интуитивно-понятного интерфейса. Успешное выполнение этой задачи зависит от технических средств и от выбора технологий разработки данной системы
4. Предоставление возможности расширения и модернизации системы, добавления в процессе работы новых структур данных без нарушения функционирования работающих автоматизированных подсистем. Данная подзадача очень важна для успешного функционирования системы долгое время. Условия изменений определяются потребностями работников департамента по согласованию с управляющими структурами департамента. Данная задача выполняется после внедрения системы в эксплуатацию и на протяжении всего времени функционирования системы.
Выходными данными в системе будут:
- числовые показатели конкурентоспособности предприятия;
- оценка основных рисков предприятий на основе их числовых показателей;
- числовые показатели конкурентоспособности отрасли: коэффициент локализации, коэффициент душевого производства, коэффициент специализации региона;
- числовые показатели конкурентоспособности региона;
оценка конкурентоспособности региона на основе анализа конкурентоспособности предприятий и отраслей в регионе в текстовой форме;
- графическое представление конкурентоспособности региона в сравнении с другими регионами.
Входными данными в системе будут:
1. Полугодовые статистические сборники.
2. Общие сведения и основные показатели предприятий:
а) объём выпуска товара;
б) объём продаж;
в) цена товара;
г) показатель фондоотдачи;
д) показатель рентабельности товара;
е) показатель ликвидности предприятия.
3. Общие сведения и основные показатели отрасли:
а) объём выпуска отрасли в регионе;
б) объём выпуска отрасли в стране;
в) объём валового выпуска в регионе;
г) объём валового выпуска в стране;
д) количество населения в регионе;
е) количество населения в стране.
4. Общие сведения и основные показатели региона:
а) уровень безработицы;
б) объёмы инвестиций;
в) покупательная способность населения;
г) число убыточных предприятий в регионе.
3 Математическое обеспечение
3.1 Назначение и характеристика комплексной методики оценки конкурентоспособности региона
В процессе маркетингового исследования для оценки конкурентоспособности региона пользуются численными показателями, которые свидетельствуют о степени устойчивости положения предприятия, способности выпускать продукцию, пользующуюся спросом на рынке и обеспечивающую предприятию получение намеченных и стабильных конечных результатов.
Предприятие, имеющее более низкие издержки производства, получает большую величину прибыли, что позволяет расширять масштабы производства, повышать его технический уровень, экономическую эффективность и качество продукции, а также совершенствовать систему сбыта. В результате конкурентоспособность такого предприятия и выпускаемого им продукции, что способствует увеличению её доли за счёт других предприятий, не имеющих таких финансовых и технических возможностей.
3.2 Используемая информация
Для вычисления показателей конкурентоспособности используют данные из таблиц “Показатели предприятий”, “Отрасли”, “Показатели региона”. Для анализа и представления данных используются данные из таблицы “Общие сведения о предприятиях”.
3.3 Результаты работы комплексной методики оценки конкурентоспособности региона
Результатом работы алгоритма является комплекс решений по конкурентоспособности региона, которые во время работы программы хранится в форме, а по окончании работы сохраняется в файл.
3.4 Математическое описание комплексной методики оценки конкурентоспособности региона
В современных условиях конкурентоспособность предприятия на рынке является главным критерием эффективности производства, оценки эффективности системы управления.
По комплексной методике оценки конкурентоспособности предприятия получаем следующее:
- уровень конкурентоспособности считать как средневзвешенную величину по показателям конкурентоспособности конкретных товаров на конкретных рынках;
- отдельно считать показатель устойчивости функционирования предприятия.
Для точной оценки конкурентоспособности предприятия рассмотрим динамический метод, основанный на теории эффективной конкуренции.
Согласно этой теории наиболее конкурентоспособными являются те предприятия, где наилучшим образом организована работа всех подразделений и служб. На эффективность деятельности каждой из служб оказывает влияние множество факторов - ресурсов. Оценка эффективности работы каждого из подразделений предполагает оценку эффективности использования им этих ресурсов. В основе метода лежит оценка групповых показателей или критериев конкурентоспособности.
В первую группу входят показатели, характеризующие эффективность управления производственным процессом: экономичность производственных затрат, рациональность эксплуатации основных фондов, совершенство технологии изготовления товара, организацию труда на производстве.
Во вторую группу объединены показатели, отражающие эффективность управления оборотными средствами: независимость предприятия от внешних источников финансирования, способность предприятия расплачиваться по своим долгам, возможность стабильного развития предприятия в будущем.
В третью группу включены показатели, позволяющие получить представление об эффективности управления сбытом и продвижением товара на рынке средствами рекламы и стимулирования.
И в четвёртую группу - показатели конкурентоспособности товара: качество товара и его цена.
В связи с тем, что каждый из этих показателей имеет разную степень важности для расчета коэффициента конкурентоспособности предприятия (ККП), экспертным путём были разработаны коэффициенты весомости критериев.
Расчет критериев и коэффициента конкурентоспособности предприятия производится по формуле средней взвешенной арифметической:
ККП =0,15 ЭП + 0,29 ФП + 0,23 ЭС + 0,33 КТ, (3.1)
где ККП - коэффициент конкурентоспособности предприятия;
ЭП - значение критерия эффективности производственной деятельности предприятия;
ФП - значение критерия финансового положения предприятия;
ЭС - значение критерия эффективности организации сбыта и продвижения товара на рынке;
КТ - значение критерия конкурентоспособности товара;
0,15; 0,29; 0,23; 0,33 - коэффициенты весомости критериев.
ЭП = 0,31И + 0,19Ф + 0,40РТ + 0,10П, 3.2)
Где ЭП – критерий эффективности производственной деятельности предприятия;
И - относительный показатель издержек производства на единицу продукции;
Ф - относительный показатель фондоотдачи;
РТ - относительный показатель рентабельности товара;
П - относительный показатель производительности труда;
0,31; 0,19; 0,40; 0,10 - коэффициенты весомости показателей.
ФП = 0,29 КА + 0,20 КП 0,36 КЛ + 0,15 КО, (3.3)
где ФП - критерий финансового положения предприятия ;
КА - относительный показатель автономии предприятия;
КП - относительный показатель платежеспособности предприятия;
КЛ - относительный показатель ликвидности предприятия;
КО - относительный показатель оборачиваемости оборотных средств;
0,29; 0,20; 0,36; 0,15 - коэффициенты весомости показателей.
ЭС = 0,37РП + 0,29КЗ + 0,21КМ + 0,14КР, (3.4)
где ЭС - критерий эффективности организации сбыта и продвижения товара;
РП - относительный показатель рентабельности продаж;
КЗ - относительный показатель затоваренности готовой продукцией;
КМ - относительный показатель загрузки производственных мощностей;
КР - относительный показатель эффективности рекламы и средств стимулирования сбыта;
0,37; 0,29; 0,21; 0,14 - коэффициенты весомости показателей.
КТ =К/Ц, (3.5)
где К- показатель качества товара;
Ц - показатель цены товара;
Кт - показатель конкурентоспособности товара.
В общем виде алгоритм расчета коэффициента конкурентоспособности промышленного предприятия предусматривает три последовательных этапа:
1) расчет единичных показателей конкурентоспособности предприятия и перевод показателей в относительные величины (баллы).
Для перевода показателей в относительные величины производится их сравнение с базовыми показателями. В качестве базовых показателей (базы для сравнения) могут выступать:
- среднеотраслевые показатели;
- показатели любого конкурирующего предприятия или предприятия-лидера на рынке;
- показатели оцениваемого предприятия за прошлые отрезки времени.
2) расчёт критериев конкурентоспособности предприятия по представленным выше формулам.
3) расчет коэффициента конкурентоспособности предприятия (ККП).
Данная оценка конкурентоспособности предприятия охватывает все наиболее важные оценки хозяйственной деятельности промышленного предприятия, исключает дублирование отдельных показателей, позволяет быстро и объективно получить картину положения предприятия на отраслевом рынке. Использование в ходе оценки сравнения показателей за разные промежутки времени дает возможность применять этот метод как вариант оперативного контроля отдельных служб.
Рассмотрим критерии оценки коэффициента конкурентоспособности предприятия:
- рыночные лидеры — предприятия, имеющие максимальный коэффициент конкурентоспособности (КФ). Как правило, эти предприятия имеют максимальную рыночную долю при продажах, являются лидерами в ценовой политике, оптимизации затрат, использовании разнообразных распределительных систем и т.д. Для предприятий-лидеров характерным поведением является оборона.
- рыночные претенденты — предприятия, расчетный коэффициент конкурентоспособности которых лежит в диапазоне от 3,1 до 9.
Эти предприятия, как правило, борются за увеличение рыночной доли продаж, проводят ценовой демпинг. Для них характерна стратегия атаки на всех направлениях деятельности.
- рыночные последователи — предприятия, расчетный коэффициент конкурентоспособности которых лежит в диапазоне от 1 до 3. Эта группа предприятий проводит политику следования за отраслевым лидером, не рискует, но и не проявляет пассивности. Предприятия этой группы особенно осторожно и взвешенно принимают решения, касающиеся их деятельности на рынке. Они копируют деятельность лидера, но действуют более осмотрительно и рассчитывают на меньшие ресурсы. Они, как правило, подвержены атакам со стороны рыночных претендентов.
- предприятия, действующие в рыночной нише. Расчетный коэффициент конкурентоспособности этой группы лежит в диапазоне от –0,99 до –6,9. Предприятия этой группы обслуживают маленькие рыночные сегменты, которые другие участники конкуренции не видят или не принимают в расчет. Для них характерен высокий уровень специализации. Круг клиентов ограничен, но характерен высокий уровень цен. В своей деятельности предприятия максимально зависят от клиентов и опираются на них.
- банкроты — предприятия с коэффициентом конкурентоспособности от –7 до –10. Эти предприятия принимают режим внешнего управления и проводят мероприятия по выходу из банкротства или проводят расчеты с кредиторами и ликвидируются.
Целью оценки рисков предприятий должно быть умение авторов проекта заранее предугадать все типы рисков, с которыми они могут столкнуться, источники этих рисков и момент, их возникновения. А оценив риски, разработать меры по сокращению этих рисков и минимизации потерь, которые они могут вызвать.
В данной работе используется один из наиболее эффективных методов оценки рисков – метод балльной оценки рисков.
Для практического использования этого метода применяется следующая последовательность:
- определить простые риски;
- оценить вероятность наступления событий, относящихся к каждому простому риску;
- определить удельный вес каждого простого риска во всей совокупности;
- рассчитать балльную оценку наступления риска по всем стадиям проекта;
- классифицировать риски;
- разработать перечень мер, позволяющий их уменьшить.
Рассмотрим эти шаги более подробно:
1. Определить простые риски .
2. Оценка вероятностей наступления события, относящихся к каждому простому риску, и определение удельного веса каждого простого риска во всей совокупности определяется по таблице 4.1 и 4.2 раздела информацион-ного обеспечения.
3. Расчет балльной оценки наступления риска по всем стадиям проекта.
Общий балл для оценки риска рассчитывался перемножением вероятности наступления рискового события на коэффициент величины ущерба от его наступления:
M = SP
I , (3.6)
где M - степень воздействия рисков
P – вероятность возникновения рисков, в соответствии с классифика-цией (в долях единицы)
I - величина потерь, в соответствии с классификацией (в единицах).
5. Классификации рисков, то есть разделения рисков на конкретные группы по определенным признакам.
По балльной шкале оценки рисков можно выделить, три группы рисков:
- с баллом от 1 до 2 – незначительные риски, специальные меры не принимаются;
- с баллом от 2 до 4 – значительные риски, для них надо разработать комплекс мер по минимизации вероятности их наступления;
- с баллом от 4 и более – существенные риски, вероятность их наступления велика и ущерб от их воздействия критичен для проекта.
M=0.2*I1 +0.2*I2 +0.4*I3 +0.9*I4 +0.5*I5 +0.6*I6 +0.2*I7 +0.1*I8 +0.1*I9 +0.8*I10 +0.8*I11 +0.2*I12 +0.5*I13 +0.8*I14 +0.6*I15 +0.5*I16 +0.4*I17 +0.8*I18 +0.3*I19 +0.4* I20 +0.4*I21 +0.5*I22 +0.3*I23 +0.3*I24 +0.3*I25 .(3.7)
4. Разработка перечня мер, позволяющая уменьшить риски.
Для рисков с баллом более 4 необходимо разработать комплекс мер по снижению их воздействия на проект.
Это самая важная часть, в которой должно быть дано описание риска (ситуации, когда он может возникнуть и последствия, которые он может за собой повести), выбранного их таблицы и четко описана программа действий либо снижения вероятности наступления этого риска, либо уменьшения ущерба от его последствий.
Теперь рассмотрим анализ конкурентоспособности отраслей и региона, для которых тоже используем комплексную методику и рассчитаем следующие показатели:
- коэффициент локализации рассчитывается отношением удельного веса данной отрасли в структуре производства региона к удельному весу той же отрасли в стране.
Kir
=
, (3.8)
где qir - объем выпуска i-ой отрасли в регионе r;
qi - общий объем выпуска i-ой отрасли в стране;
Qr - объем валового выпуска в регионе r;
Q - объем валового выпуска в стране.
Чем больше концентрация (или локализация) данной отрасли в регионе, тем больше значение коэффициента. Если Kir > 1, то локализация отрасли в регионе превышает среднюю долю этой отрасли в валовом выпуске страны.
Коэффициент душевого производства исчисляется отношением удельного веса отрасли региона в соответствующей структуре отрасли страны к удельному весу населения региона в населении страны.
Kдir
=
, (3.9)
где qir - объем выпуска i-ой отрасли в регионе r;
Qr - общий объем выпуска i-ой отрасли в стране;
ni – количество населения в регионе;
N – количество населения в стране;
Коэффициент специализации региона на данной отрасли определяется как отношение удельного веса региона в стране по данной отрасли к удельному весу региона в ВВП страны.
Kcir
=
, (3.10)
где Kcir - коэффициент специализации i - ой отрасли в регионе r;
αir - доля региона r в объеме выпуска i отрасли;
αr - доля региона r в объеме валового выпуска в стране.
Если расчетные показатели больше или равны единице, следовательно, данные отрасли выступают как отрасли рыночной специализации и в них либо существуют кластеры, либо их создание является возможным. При формировании кластеров и выборе из них наиболее приоритетных необходимо оценить динамику коэффициентов локализации, так как увеличение значения показателей в динамике свидетельствует о возможных дальнейших перспективах роста кластеров, а снижение – о возможной необходимости расширения ассортимента выпускаемой продукции, необходимости модернизации производства или о неперспективности кластера в будущем.
Ранжирование отраслей по этим показателям определяет приоритетность анализа отраслей на следующем этапе. При этом нет оснований для исключения каких-либо отраслей из следующего этапа.
Количественный анализ отраслей и региона дополняется качественным.
Результаты данного этапа – определение наличия и состава ресурсной базы, необходимой для обеспечения конкурентоспособности региона в определенных секторах экономики. Эти результаты формируются на основе анализа комплекса условий, каждое из которых в отдельности и все вместе, составляют основу конкурентной устойчивости:
- факторы производства, необходимые для ведения конкурентной борьбы в данной отрасли;
- спрос на внутреннем рынке для продукции отрасли;
- конкурентоспособные отрасли-поставщики или другие сопутству-ющие отрасли в данном регионе;
- факторы, мотивирующие формирование эффективных стратегий организации и управления предприятиями, важнейшим из которых является конкуренция на внутреннем рынке.
Специфика отрасли определяет разную важность этих условий. Оценка наличия условия может быть количественной или качественной. Качественная оценка возможна на основе результатов специализированных опросов руководителей исследуемых предприятий.
По методике, предложенной В. Е. Андреевым, комплексный показатель конкурентоспособности региона складывается из двух групп:
- Y— показатель уровня жизни;
- I — инвестиционная привлекательность региона. Соответственно каждый из них включает в себя:
Y = PC+G + L, (3.11)
где PC — покупательная способность населения;
G— коэффициент концентрации доходов (коэффициент Джини);
L — уровень безработицы.
I = Ip +Ir +1q +Q, (3.12)
где Ip — инвестиционный потенциал региона;
Ir— инвестиционный риск;
Iq — реальные объемы инвестиций;
Q — число убыточных предприятий в регионе.
В. Е. Андреевым предлагается вариант расчета конкурентоспособности региона, основанный па ранжировании регионов по численным значениям каждого из частных показателей с определением соответствующего места региона. Затем место, занятое регионом умножается на весовое значение каждого показателя и все они суммируются. Вес показателя определяется его «влиянием» па всю группу показателей (Y или I) и исходя из выбранной темы исследования, ставящей целью проследить взаимосвязь механизма ценообразования и конкурентоспособности региона.
Веса показателей имеют следующие значения:
- PC= 0,5 — в большей степени учитывает взаимосвязь двух рынков:
а) товаров и услуг;
б) труда.
- G = 0,3 — концентрация доходов является следствием функциони-рования рынка труда и сильно зависит от социальной политики региональной власти;
- L= 0,2 — показатель безработицы имеет существенные погрешности, так как в условиях кризиса не всегда учитывает большую долю скрытой безработицы;
- Iq = 0,7 — объем реальных (как внутренних, так и внешних) инвес-тиций свидетельствует о действительной инвестиционной привлекательнос-ти региона, а следовательно, и об эффективности регионального хозяйство-вания.
- Ip= 0,5 — инвестиционный потенциал учитывает основные макроэкономические характеристики, насыщенность территории факторами производства и другие показатели;
- Ir= 0,4 — интегральный показатель, рассчитываемый консалтинговым агентством “Эксперт РА” и учитывающий законодательный, политический, экономический, финансовый, криминальный и экологический риски;
- Q = 0,3 — число убыточных предприятий говорит об их слабой адаптированности в силу различных причин к функционированию в условиях рыночной экономики.
k=k1*0.5+k2*0.3+k3*0.2+k4*0.7+k5*0.5+k6*0.4+k7*0.3. (3.13)
Данная методика, безусловно, не может считаться бесспорной. Скорее, ее надо рассматривать как один из возможных вариантов построения методики оценки конкурентоспособности региона. Конкретный вариант может быть выстроен под конкретную задачу, а еще точнее — под конкретную целевую группу «потребителей» территории, с учетом которой выбираются как конкуренты, так и собственно критерии и показатели оценки, весовые коэффициенты.
Для сравнения можно использовать метод сравнений, который может
работать, если вести речь о конкурентных и партнерских отношениях конкретного региона с другим, обычно соседствующим регионом. Соседи всегда и конкурировать, и партнерствовать чаще всего бывают просто вынуждены. В методе сравнений для оценки инвестиционной привлекатель-ности присутствует модель, включающая экономическую и рисковую составляющие:
,
(3.14)
где К – показатель инвестиционной привлекательности региона, в долях единицы;
k1 – экономическая составляющая, в долях единицы;
k2 – рисковая составляющая, в долях единицы.
Экономическая составляющая представляет отношение прибыли от инвестиций к вложенным средствам:
(3.15)
где ВРП – валовой региональный продукт,
Д – дефицит бюджета, в долях единицы (отношение дефицита госбюджета к ВРП);
Т – средняя ставка налогообложения;
И – объем инвестиций.
Рисковая составляющая необходима для оценки уровня совокупного риска, рассчитывается по следующей формуле:
![]()
(3.16)
где n – число показателей;
pi – характеристика показателя;
ji – вес показателя.
По этому методу, регионы в зависимости от значения показателя инвестиционной привлекательности классифицируются по таблице 4.3 раздела информационное обеспечение. Схема программы представлена на рисунке 3.2.
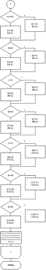
3.5 Описание схемы работы системы
Алгоритм работы системы представляет собой последовательность следующих действий:
- осуществляется ввод необходимой информации в базу для подсчета показателей и вывода общей информации;
- осуществляется выбор действия – конкурентоспособность предпри-ятий, конкурентоспособность отрасли, конкурентоспособность региона. Схема работы системы приведена на рисунке 3.1.
Рисунок 3.1 – Схема работы системы

Рисунок 3.2 – Схема программы

Продолжение рисунка 3.2
![]()

Продолжение рисунка 3.2

Продолжение рисунка 3.2

Продолжение рисунка 3.2

Рисунок 3.7 – Схема работы программы (продолжение)

Продолжение рисунка 3.2

Продолжение рисунка 3.2
4. Информационное обеспечение
4.1 Перечень входных данных
1. Полугодовые статистические сборники.
2. Общие сведения о предприятиях и их основные риски:
а) объём выпуска товара;
б) объём продаж;
в) цена товара;
г) показатель фондоотдачи;
д) показатель рентабельности товара;
е) показатель ликвидности предприятия.
Классификация рисков по вероятности возникновения и величине потерь представлена в таблице 4.1 и 4.2.
Таблица 4.1 - Классификация рисков по вероятности возникновения
| Виды рисков | Вероятность возникновения (P) | |
| Количественный подход | Качественный подход | |
| P(в долях единицы) | ||
| Слабовероятные | 0,0 < P ≤ 0,1 | Событие может произойти в исключительных случаях. |
| Маловероятные | 0,1 < P ≤ 0,4 | Редкое событие, но, как известно, уже имело место. |
| Вероятные | 0,4 < P ≤ 0,6 | Наличие свидетельств достаточных для предположения возможности события. |
| Весьмавероятные | 0,6 < P ≤ 0,9 | Событие может произойти. |
| Почти возможные | 0,9 < P < 1,0 | Событие, как ожидается, произойдёт. |
Таблица 4.2 - Классификация рисков по величине потерь
| Виды рисков | Величина потерь | |
I (баллы) |
в % от плановой прибыли | |
| Минимальные | 0 – 1 | 0% < I ≤ 10% |
| Низкие | 1 – 4 | 10% < I ≤ 40% |
| Средние | 4 – 6 | 40% < I ≤ 60% |
| Высокие | 6 – 9 | 60% < I ≤ 90% |
| Максимальные | 9 – 10 | 90% < I ≤ 100% |
3. Общие сведения и основные показатели отрасли:
а) объём выпуска отрасли в регионе;
б) объём выпуска отрасли в стране;
в) объём валового выпуска в регионе;
г) объём валового выпуска в стране;
д) количество населения в регионе;
е) количество населения в стране.
4. Общие сведения и основные показатели региона:
а) уровень безработицы;
б) объёмы инвестиций;
в) покупательная способность населения;
г) число убыточных предприятий в регионе.
Показатели инвестиционной привлекательности региона представлены в таблице 4.3.
Таблица 4.3 - Инвестиционной привлекательность
| Показатели инвестиционной привлекательности региона | Классификация показателей инвестиционной привлекательности |
| К > 0,4 | высокая |
| 0,2 < K < 0,4 | выше среднего |
| 0,1 < K < 0,2 | средняя |
| 0,05 < K < 0,1 | ниже среднего |
| K < 0,05 | низкая |
4.2 Перечень выходных данных
- числовые показатели конкурентоспособности предприятия, отрасли, региона;
- графическое представление конкурентоспособности региона на осно-ве учета конкурентоспособности предприятий и отраслей в регионе.
4.3 Описание информационного обеспечения
4.3.1 Состав информационного обеспечения
Информация хранится в БД, так как это наиболее эффективный и надежный способ хранения данных, а также удобный для доступа практически из любого программного средства.
Данные хранятся в базе данных «Основные показатели региона». Эта база регулярно пополняется данными из статистических сборников.
4.3.2 Организация информационного обеспечения
Основные принципы организации информационного обеспечения системы:
1. Хранение информации в базе данных.
2. Использование средств хранения данных и быстрого доступа.
3. Удобная среда и инструментарий обработки данных.
Файл с БД может храниться как на локальной машине, так и на сервере. Для функционирования системы необходимо предоставить доступ к файлу с информационными базами только сотрудникам, непосредственно работающим с системой и обеспечить разграничение доступа к файлу Microsoft Access. Так как база данных реализована с помощью СУБД Microsoft Access, то использовать данные из базы можно в другой АС, так как Access совместим практически с любым форматом базы данных и легко туда конвертируется.
4.3.3 Организация сбора и передачи информации
Исходную информацию для АС получают каждые полгода из статистических сборников. В этих сборниках подробнейшим образом проанализированы основные показатели региона и даны некоторые сравнительные характеристики.
Информация должна быть достоверной, полной, непротиворечивой, может уточняться в процессе работы и передаваться по закрытым каналам связи.
4.4 Организация внутримашинной информационной базы
Реляционная база данных, состоит из следующих таблиц:
- общие сведения о предприятиях;
- показатели предприятий;
- регион;
- отрасли промышленности;
- риски.
Далее рассмотрим структуру таблиц автоматизированной системы.
Таблица 4.4 - Структура таблицы «Общие сведения о предприятиях»
| Имя поля | Определение параметра | Тип Данных | Размер |
| Nazv | Название предприятия | Текстовый | 100 |
| INN | ИНН | Текстовый | 15 |
| Adres | Адрес | Текстовый | 200 |
| Uchred | Учредители | Текстовый | 100 |
| Datasoz | Дата создания | Дата/время | 8 |
| Reg | Регистрация | Текстовый | 200 |
| tel | Телефон | Текстовый | 15 |
| otrasl | Отрасль | Числовой | 2 |
Таблица 4.5 - Структура таблицы «Показатели предприятий»
| Имя поля | Определение параметра | Тип Данных | Размер |
| kolvosotr | Среднесписочная численность работников | Числовой | 10 |
| objemprod | Объем выпуска товара | Числовой | 10 |
| proizvfond | Собственные средства предприятия | Числовой | 10 |
| fondootd | среднегодовая стоимость основных производственных фондов | Числовой | 10 |
| invest | Общая сумма источников финансирования | Числовой | 10 |
| zenatovar | Цена товара | Числовой | 10 |
| zenatovarpotr | Цена товара, удовл потребности населения | Числовой | 10 |
| valizd | Валовые издержки | Числовой | 10 |
| pribil | Прибыль от реализации | Числовой | 10 |
| sebprod | Полная себестоимость продукции | Числовой | 10 |
| kapital | Собственный капитал | Числовой | 10 |
| finob | Общие обязательства | Числовой | 10 |
| sredstva | Денежные средства и быстрореализуемые ценные бумаги | Числовой | 10 |
| finobkr | Краткосрочные обязательства | Числовой | 10 |
| ostatok | Среднегодовой остаток оборотных средств | Числовой | 10 |
| objemprod1 | Объем продаж | Числовой | 10 |
| proizvmosh | Производственная мощность | Числовой | 10 |
| reklama | Затраты на рекламу и стимулирование сбыта | Числовой | 10 |
Таблица 4.6- Структура таблицы «Регион»
| Имя поля | Определение параметра | Тип Данных | Размер |
| ValRegProd | Сумма всех доходов от реализации продукции в году | Числовой | 10 |
| Rashod | Сумма всех расходов бюджета | Числовой | 10 |
| StavNalog | Средняя ставка налогообложения | Числовой | 10 |
| Invest | Объем инвестиций | Числовой | 10 |
| ValProd | Объем валового выпуска в регионе | Числовой | 10 |
| ValProdRus | Объем валового выпуск в стране | Числовой | 10 |
| Продолжение таблицы 4.6 | |||
| nasel | Население в регионе | Числовой | 10 |
| naselstr | Население в стране | Числовой | 10 |
| dendohod | Величина среднедушевого денежного дохода населения | Числовой | 10 |
| srzenatovar | Средняя цена группы товаров | Числовой | 10 |
| nizgrup | Доля низшей соц группы | Числовой | 10 |
| srgrup | Доля средней соц группы | Числовой | 10 |
| vishgrup | Доля высшей соц группы | Числовой | 10 |
| dohodniz | Доля дохода низшей группы | Числовой | 10 |
| dohodsr | Доля дохода средней группы | Числовой | 10 |
| dohodvish | Доля дохода высшей группы | Числовой | 10 |
| investpotenz | Коэффициент инвестиционного потенциала региона в соответствии со страной | Числовой | 10 |
| investrisk | Коэффициент инвестиционного риска | Числовой | 10 |
| kolubit | Число убыточных предприятий | Числовой | 10 |
| bezrab | Уровень безработицы | Числовой | 10 |
| nazv | Название региона | Текстовый | 10 |
Таблица 4.7 - Структура таблицы «Отрасли промышленности»
| Имя поля | Определение параметра | Тип Данных | Размер |
| NazvOtr | Название отрасли | Текстовый | 50 |
| ObjemVip1 | Объем выпуска отрасли в регионе | Числовой | 10 |
| ObshObjem1 | Общий объем выпуска отрасли в стране | Числовой | 10 |
| valizd1 | Валовые издержки | Числовой | 10 |
| fondootd1 | Среднегодовая стоимость основных производственныхфондов | Числовой | 10 |
| pribil1 | Прибыль | Числовой | 10 |
| sebprod1 | Себестоимость | Числовой | 10 |
| kolvosotr1 | Среднесписочная численность работников | Числовой | 10 |
| proizvfond1 | Собственные средства пред-приятия | Числовой | 10 |
| invest1 | Общая сумма источников финансирования | Числовой | 10 |
| finob1 | Общие обязательства | Числовой | 10 |
| kapital1 | Собственный капитал | Числовой | 10 |
| finobkr1 | Краткосрочные обязательства | Числовой | 10 |
| sredstva1 | Денежные средства и быстрореализуемые ценные бумаги | Числовой | 10 |
| Продолжение таблицы 4.7 | |||
| ostatok1 | Среднегодовой остаток оборотных средств | Числовой | 10 |
| objemprod1 | Объем продаж | Числовой | 10 |
| proizvmosh1 | Производственная мощность | Числовой | 10 |
| reklama1 | Затраты на рекламу и стимулирование сбыта |
Числовой | 10 |
Таблица 4.8 - Структура таблицы «Риски»
| Имя поля | Определение параметра | Тип Данных | Размер |
| TeorRas | Увеличение стоимости наемного труда | Числовой | 10 |
| TeorRez | Неправильная оценка рынка | Числовой | 10 |
| IntelSobs | Неправильное позиционирование продукта | Числовой | 10 |
| TechnIdea | Недостаточная востреб-ность продукта на рынке (отсутствие заказов) | Числовой | 10 |
| ObjemRazr | Ошибочная стратегия работы с потенциальными клиентами | Числовой | 10 |
| KachRazr | Недостаточная эффективность работы с потен-ми клиентами | Числовой | 10 |
| TechBaza | Недооценка конкурентов | Числовой | 10 |
| ElemBaza | Увеличение затрат на проект | Числовой | 10 |
| EkologProbl | Задержка выполнения этапов | Числовой | 10 |
| StratSbor | Недостаточная квалификация участников проекта | Числовой | 10 |
| ProizvMosh | Увеличение стоимости наемного труда | Числовой | 10 |
| ZakazPodr | Неправильное позиционирование продукта | Числовой | 10 |
| StoimTrud | Сложность входа на рынок | Числовой | 10 |
| NeprOzenka | Недостаточная востребованность продукта на рынке (отсутствие заказов) | Числовой | 10 |
| NeprProd | Ошибочная стратегия работы с потенциальными клиентами | Числовой | 10 |
| VhodRinok | Недостаточная эффективность работы с потенциальными клиентами | Числовой | 10 |
| OtsutZakaz | Недооценка конкурентов | Числовой | 10 |
| StratKlient | Увеличение затрат на проект | Числовой | 10 |
| PotenzKlient | Задержка выполнения этапов | Числовой | 10 |
| Konkurent | Недостаточная квалификация участников проекта | Числовой | 10 |
| ZatrProekt | Увеличение стоимости наемного труда | Числовой | 10 |
| VipEtap | Неправильная оценка рынка | Числовой | 10 |
| KvalUchProekt | Неправильное позиционирование продукта | Числовой | 10 |
Взаимосвязь таблиц представлена на рисунке 4.1

Рисунок 4.1 - Концептуальная инфологическая модель базы данных предметной области
4.5 Инструкция по ведению базы данных
Для работы в системе в первую очередь необходимо заполнить таблицу «Общие сведения о предприятиях», так как без них не будут полностью заполнены таблицы «Показатели предприятий», «Регион», «Отрасли промышленности», «Риски». В таблице заполняется информации о предприятиях – адреса, телефоны, реквизиты, информация об учредителях, достижения предприятия, инн, а так же информации содержащейся в стандартных формах бухгалтерской отчетности за несколько отчетных периодов (желательно использование полугодовой отчетности с целью отслеживания динамики основных показателей).
Таблица «Показатели предприятий», «Регион», «Отрасли промышленности» формируется путем ввода данных полученных из статистических сборников.
Таблица «Риски» формируется автоматически, при работе модуля показатели предприятия.
4.6 Чертеж видеокадра
Чертеж видеокадра «Основные результаты конкурентоспособности региона» представлен на рисунке 4.2.

Рисунок 4.2 - Чертеж видеокадра «Основные результаты конкурентоспособности региона»
На рисунке 4.2 представлена форма для подсчета показателей конкур-ентоспособности региона: показателя уровня жизни и инвестиционной привлекательности региона.
Для расчета необходимых показателей нужно нажать кнопку «Рассчитать». После этого появятся числовые значения показателей.
5. Техническое обеспечение
5.1 Описание комплекса технических средств
Исходными данными при выборе комплекса технических средств послужили:
- информационные характеристики решаемой задачи;
- общий объем информации, поступающей в систему для обработки;
- требования, предъявляемые к решению задачи,;
- временные характеристики решаемых задач.
Исходя из требований, предъявляемых к автоматизированной системе, было решено использовать комплект ПЭВМ. Компьютерная техника выбрана в соответствии с требованиями по удобству и качеству функционирования автоматизированной системы.
Для нормальной работы автоматизированной системы учета конкурентоспособности региона на основе деятельности предприятий, необходима компьютерная техника со следующими характеристиками:
- операционная система - Windows 98, 2000 или XP;
- процессор Pentium II и выше;
- оперативная память не менее 128 Мбайт;
- SVGA - дисплей (разрешение экрана составляет 800х600, 16 млн. цветов);
- жесткий диск не менее 2 Гб;
- мышь;
- клавиатура.
При эксплуатации оборудования необходимо руководствоваться следую-щими документами:
- руководство пользователя;
- инструкция по технике безопасности.
Для быстрого обмена данными необходимо функционирование локальной компьютерной сети, в которой будут находиться все компьютеры, на которых располагается данная информационная система.
Для устранения аварийных ситуаций необходимо иметь дополнительные рабочие компьютерные места с установленной системой, а также хранить копии данных на определенном компьютере или устройстве хранения данных.
Необходимо соблюдать требования техники безопасности:
- не подключать и не отключать соединители электропитания при поданном напряжении в сеть;
- не оставлять ПЭВМ включенной без наблюдателя;
- по окончанию работ отключать ПЭВМ от сети.
5.2 Инструкция по эксплуатации комплекса технических средств
Инструкция составлена для комплекса технических средств, выбранного для автоматизированной системы учета конкурентоспособности региона на основе деятельности предприятий. При эксплуатации данного оборудования персонал должен пройти инструктаж по технике безопасности при работе с ПЭВМ.
К работе с ПЭВМ допускаются лица, прошедшие инструктаж по технике безопасности при работе с электроустановками напряжением до 800 В и предварительный медицинский осмотр и не имеющие медицинских противопоказаний.
Обслуживающий персонал состоит из инженера по ремонту и обслуживанию ПЭВМ, образование высшее.
Продолжительность непрерывной работы с персональным компьютером без регламентированных перерывов не должна превышать 2 часа. Регламентированные перерывы при 8-часовой рабочей смене: через 2 часа от начала рабочей смены и через 1,5-2 часа после обеденного перерыва продолжительностью 15 минут каждый или продолжительностью 10 мин через каждый час работы.
Помещения с персональным компьютером должны быть оснащены аптечкой первой медицинской помощи и огнетушителями (углекислотные или порошковые).
Под одно рабочее место должна быть отведена площадь в 4,5-6 м2 . Рабочее место должно быть оснащено креслом с регулируемой высотой сиденья, спинки и подлокотников. Стол, на котором устанавливается компьютер, должен быть оснащен выдвигающейся полкой для клавиатуры и нишей для установки системного блока.
Работа с комплексом технических средств осуществляется согласно правилам работы с ПЭВМ и технике безопасности.
6. Программное обеспечение
6.1 Описание программного обеспечения
Программа реализована на объектно-ориентированном языке ObjectPascal в среде визуального проектирования Delphi. Данный язык создает программы для операционной системы Windows, обеспечивает поддержку всех возможностей предоставляемых системой. Среда визуального программирования Delphi обеспечивает гибкий и современный инструментарий, с помощью которого создаются приложения.
6.2 Описание модульной структуры
Исходные тексты программы содержаться в 6 модулях:
- Form1.dfm, Raion.pas – главный модуль программы, выбор нужных действий;
- GlBazaF.dfm, GL_baza.pas – модуль выбора необходимых действий с базой данных;
- Konkurprep.dfm, konkurprep1.pas – модуль расчета показателей конкурентоспсобности предприятий, основных рисков и анализа их состояния;
- Konkurotr.dfm, konkurotr1.pas – модуль расчета показателей конкурентоспсобности отрасли, и анализа конкурентоспособности предприятий отрасли;
- Konkurreg.dfm, konkurreg1.pas – модуль расчета показателей конкурентоспсобности региона, и анализа конкурентоспособности региона;
- Sravn.dfm, sravn1.pas – модуль сравнительного анализа показателей конкурентоспособности нашего региона с близлежащими.
Главный модуль программы связан со всеми остальными. К тому же модуль работы с БД непосредственно связан со всеми вычислительными модулями, модуль сравнительного анализа используется только после выполнения модуля расчета покателей конкурентоспособности региона.
Все модули программы используют объектно-ориентированную методологию программирования, а также средства визуального построения стандартного интерфейса операционной системы Windows.
Для выполнения поставленной задачи были использованы такие компоненты языка Delphi, как:
- Table- выполняет соединение с таблицей в базе данных;
- DataSource- необходим для отображения данных, выбранной таблицы;
- DBGrid- представляет собой сетку, необходим для вывода таблиц на форме;
- DBNavigator – навигатор объектов, который служит для управления просмотром и редактированием данных из БД.
- Label- компонент, отвечающий за отображение надписей на форме;
- Edit- служит для ввода/вывода информации;
- Query- компонент, отвечающий за выполнение запросов;
- CheckBox- служит для выбора необходимых действий;
- Memo- компонент, отвечающий за вывод многострочного текста;
- Panel- компонент, отвечающий за показ панели задач на форме.
Для функционирования системы используется операционная система Windows следующих версий: Windows 98, WindowsMe, Windows2000, WindowsXP, WindowsVista. Также для работы системы требуется один из вариантов подключения к MSSQLServer – либо локально либо удаленный доступ.
6.3 Установка и подготовка к работе
Установка программы производится путем распаковки архивного файла region.exe в папку Region и запуска region.exe.
6.4 Контрольный пример
Для начала работы с программой следует запустить файл region.exe. Должно открыться главное окно (рисунок 6.1).

Рисунок 6.1 - Главное окно
Затем выберем приоритетные направления и нажмем кнопку «Конкурентоспособность предприятий» (рисунок 6.2).

Рисунок 6.2 - Выбор приоритетных направлений
Появится окно расчета параметров конкурентоспособности предпри-ятий (рисунок 6.3).

Рисунок 6.3 - Конкурентоспособность предприятий
Теперь выберем нужное предприятие и нажмем кнопку «Рассчитать» (рисунок 6.4).

Рисунок 6.4 - Конкурентоспособность предприятий
Далее нажимаем кнопку «Оценить» для подсчета комплексного показателя рисков предприятия (рисунок 6.5).

Рисунок 6.5 - Конкурентоспособность предприятий
Теперь нажимаем на кнопку «Анализ» и получаем расшифровку значения этих показателей (рисунок 6.6).

Рисунок 6.6 - Конкурентоспособность предприятий
Далее в главном окне программы нажмите на кнопку «Конкурентоспосб-ность отрасли» (рисунок 6.7).

Рисунок 6.7 - Конкурентоспособность отрасли
Нажав на кнопку «Рассчитать» мы получим результаты по следующим показателям:
- коэффициент локализации;
- коэффициент душевого производства;
- коэффициент специализации региона.
Щелкнув на кнопку «Отчет» мы получим анализ и оценку конкурентоспособности отраслей по полученным показателям (рисунок 6.4.8).

Рисунок 6.8 – Конкурентоспособность отрасли
В главном окне программы нажмите на кнопку «Конкурентоспособность региона». Окно показано на рисунке 6.9.

Рисунок 6.9 – Основные результаты конкурентоспособности региона
Нажав на кнопку «Рассчитать» мы получим результаты по следующим показателям: показатель уровня жизни, инвестиционная привлекательность региона. Выбрав регион для сравнения с Тульской областью и нажав на кнопку «Сравнить» мы получим текстовое и графическое отображение полученных результатов. Окно представленное на рисунке 6.10.

Рисунок 6.10 – Сравнение регионов
Закрыв окно сравнения регионов и вернувшись в окно «Основные результаты конкурентоспособности региона» и щелкнув на кнопку «Отчет» мы получим анализ и оценку конкурентоспособности региона по полученным показателям. Основные результаты конкурентоспособности региона представлены на рисунке 6.11

Рисунок 6.11 - Основные результаты конкурентоспособности региона
Для выхода из системы, в меню следует нажать кнопку «Выход».
7. Организационное обеспечение
7.1 Изменения в организационной структуре
С внедрением в эксплуатацию АС «Регион» в организационной структуре департамента изменений не произойдет. Ответственность за сопровождение АС возлагается на отдел административно-управленческих технологий. Работать с программой будут главные специалисты, прошедшие курс обучения. АС “Регион” предназначена для повышения качества принятия решений при организации и управления маркетинговой стратегией региона.
Этот отдел тесно взаимодействует со всеми отделами департамента: отделом контроля исполнения документов и обеспечения деятельности департамента, отделом стратегического развития, отделом анализа и прогнозирования, отделом бюджетных целевых программ.
7.2 Руководство пользователя
Для работы cистемы нужно запустить Region.exe файл. На экране появляется главное меню, представленное на рисунке 7.1.

Рисунок 7.1 – Главное меню
Данная система может выполнять следующие основные функции:
- ввод данных;
- редактирование введенных данных;
- просмотр статистических показателей;
- оценка конкурентоспособности предприятий;
- оценка конкурентоспособности отрасли;
- оценка конкурентоспособности региона.
7.2.1 Работа с базой данных
В главном окне с левой стороны расположено окно «Работа с базой данных» Перед нами откроется окно представленное на рисунке 7.2.

Рисунок 7.2 – Работа с базой данных
Далее выберите «Общие сведения о предприятиях» после нажатия на кнопку откроется окно, в котором можно просматривать, редактировать и сохранять необходимую информацию. Окно представлено на рисунке 7.3.

Рисунок 7.3 – Общие сведения о предприятиях
Аналогично открываются «показатели региона» и «показатели предприятий» где так же можно просматривать, редактировать и сохранять необходимую информацию. Вернувшись в главное меню, выберем приоритетные направления и нажмем кнопку «Конкурентоспособность предприятий» (рисунок 7.4).

Рисунок 7.4 - Выбор приоритетных направлений
Появится окно расчета параметров конкурентоспособности предпри-ятий (рисунок 7.5).

Рисунок 7.5 - Конкурентоспособность предприятий
Теперь выберем нужное предприятие и нажмем кнопку «Рассчитать», «Оценить», и «Анализ». Окно представлено на рисунке 7.6.

Рисунок 7.6 - Конкурентоспособность предприятий
Далее в главном окне программы нажмите на кнопку «Конкурентоспосбность отрасли», где после нажатия на кнопки «Рассчитать» и «Отчет» мы получим анализ и оценку конкурентоспособности отраслей по полученным показателям. Окно представлено на рисунке 7.7.

Рисунок 7.7 – Конкурентоспособность отрасли
Получили результаты по следующим показателям:
- коэффициент локализации;
- коэффициент душевого производства;
- коэффициент специализации региона.
Далее в главном окне программы нажмите на кнопку «Конкурентоспособность региона». Окно показано на рисунке 7.8.

Рисунок 7.8 – Основные результаты конкурентоспособности региона
Нажав на кнопку «Рассчитать» мы получим результаты по следующим показателям: показатель уровня жизни, инвестиционная привлекательность региона. Выбрав регион для сравнения с Тульской областью, и нажав на кнопку «Сравнить» мы получим текстовое и графическое отображение полученных результатов. Окно представлено на рисунке 7.9.

Рисунок 7.9 – Сравнение регионов
Закрыв окно сравнения регионов, и вернувшись в окно «Основные результаты конкурентоспособности региона» и щелкнув на кнопку «Отчет» мы получим анализ и оценку конкурентоспособности региона по полученным показателям. Основные результаты конкурентоспособности региона представлены на рисунке 7.10.

Рисунок 7.10 - Основные результаты конкурентоспособности региона
Для выхода из системы, в меню следует нажать кнопку «Выход».
8. Оценка надежности автоматизированной системы
Оценка качества автоматизированной системы представляет собой совокупность операций, включая выбор номенклатуры показателей качества оцениваемого ПС, определение значений этих показателей и сравнение их с базовыми значениями.
Оценка качества производится на всех фазах жизненного цикла (анализ, проектирование, реализация, тестирование, изготовление, внедрение, эксплуатация, обслуживание) и включает выбор номенклатуры показателей, их оценку и сопоставление значений показателей, полученных в результате сравнения с базовыми значениями.
Показатели качества объединены в систему из 4-х уровней. Каждый вышестоящий уровень содержит в качестве составляющих показателей нижестоящих уровней.
Для обеспечения возможности получения информации интегральной оценки по группам показателей качества используют факторы качества (1-й уровень): надежность системы, сопровождаемость, удобство применения, эффективность, универсальность (гибкость) и корректность. Каждому фактору качества соответствует определенный набор критериев качества (комплексные показатели - 2-й уровень). Критерии качества определяют одной или несколькими метриками (3-й уровень). Метрики составляются из оценочных элементов (единичных показателей - 4-й уровень) определяющих заданное в метрике свойство. Число оценочных элементов, входящих в метрику не ограничено.
Оценка качества системы проводится в определенной последовательности.
1. На фазе анализа проводится выбор показателей и их базовых значений.
2. Для показателей качества на всех уровнях (факторы, критерии, метрики, оценочные элементы) принимается единая шкала от 0 до 1.
3. Показатели качества на каждом вышестоящем уровне (кроме уровня оценочных элементов) определяются показателями качества нижестоящего уровня.
4. В процессе оценки качества автоматизированной системы на каждом уровне (кроме уровня оценочных элементов) проводятся вычисления показателей качества, т.е. определение количественных значений абсолютных показателей P и относительных показателей K, являющихся функцией показателя P и базового значения P баз .
5. Каждый показатель качества второго и третьего уровней (критерий и метрика) характеризуются двумя числовыми параметрами - количественным значением и весовыми коэффициентами (V).
6. Сумма весовых коэффициентов показателей уровня (L), относящихся к i-ому показателю вышестоящего уровня (L-1), есть величина постоянная. Сумма весовых коэффициентов (V) принимается равной 1.
,
гдеi=1,n;
n - число показателей уровня (L), относящихся к i-ому показателю вышестоящего уровня (L-1).
7. Общая оценка качества системы в целом формируется экспертами по набору полученных знаний оценок факторов качества.
8. Определение усредненной оценки (m kq ) оценочного элемента по нескольким его значениям (mэ ) проводится по формуле:
,
где t - число значений оценочного элемента;
k - порядковый номер метрики;
q - порядковый номер оценочного элемента.
9. Итоговая оценка R-ой метрики j-го критерия ведется по формуле:
,
Где Q - число оценочных элементов в R-ой метрике.
10. Абсолютные показатели критериев i-го фактора качества определяется по формуле:
,
где n - число метрик относящихся к j-му критерию.
11. Относительный показатель j-го критерия i-го фактора качества вычисляется по формуле:
K ij =P ij / Pбаз ij .
12. Фактор качества (R i ) вычисляется по формуле:
,
где N - число критериев качества, относящихся к i-му фактору.
Показатели надежности
Взаимосвязь фактора «Надёжность» с фазой анализа.
Н0101 – 0.65 Н0110 – 0.7
Н0102 – 0.6 Н0201 – 0.65
Н0103 – 0.8 Н0204 – 0.6
Н0104 – 0.7 Н0205 – 0.8
Н0106 – 0.5
Определим оценки 1 и 2 метрик:
Рm 1=(0.65+0.6+0.8+0.7+0.5+0.7)/6=0.66
Рm 2=(0.65+0.6+0.8)/3=0.68
Vm 1=0.66/(0.66+0.68)=0.5
Vm 2=0.68/(0.66+0.68)=0.5
Значение критерия: P=0.66*0.5+0.68*0.5=0.7
Таким образом, на фазе анализа KФ 1 =0,7.
Фаза проектирования.
Н0302 – 0.75
Н0303 – 0.85
Н0304 – 0.7
Н0305 – 0.75
Оценка 3 метрики:
Рm 1=0.66
Рm 2=0.68
Pm 3=(0.75+0.85+0.7+0.75)/4=0,76
Vm 1=0.66/(0.66+0.68+0.76)=0.31
Vm 2=0.68/(0.66+0.68+0.76)=0.32
Vm 3=0.76/(0.66+0.68+0.76)=0.36
Значение критерия: P=0.66*0.31+0.68*0.32+0.76*0.36=0.7
Таким образом, на фазе проектирования KФ 1 =0,7.
Фазы реализации, тестирования, изготовления, обслуживания.
Оценки 4 и 5 метрик:
Н0401 – 0.85
Н0501 – 1
Н0502 – 1
Рm 1=0.66 Vm 1=0.31
Рm 2=0.68 Vm 2=0.32
Pm 3=0.76 Vm 3=0.36
Pm 4=0.85 Vm 4=0.85/(0.85+1)=0.459
Pm 5=1 Vm 5=1/(0.85+1)=0.541
Оценки критериев:
P1=0.7
P2=0.459*0,85+0.541*1=0.931
V1=0.429 V2=0.571
Таким образом, на фазах реализации, тестирования, изготовления и обслуживания KФ 1 =0.7*0.459+0.931*0.571=0,85.
Показатели сопровождения
Рассмотрим взаимосвязь фактора «Сопровождаемость» с фазой анализа.
С0101=0.9
С0102=0.7
Оценка 1 метрики: Рm 1=(0.9+0.7)/2=0.8
Значение критерия: P=0.8
Таким образом, на фазе анализа KФ 2 =0,8.
Фаза проектирования.
С0201=0.75
С0301=0.7
С0302=0.2
С0303=0.9
С0304=0.8
Определим итоговые оценки 2 и 3 метрик:
Pm 1=0.8
Pm 2=0.75
Pm 3=(0.7+0.2+0.9+0.8)/4=0.65
Найдем абсолютный показатель критерия и определим фактор качества:
Vm 1=0.36
Vm 2=0.34
Vm 3=0.3
P=(0.8*0.36)+(0.75*0.34)+(0.65*0.3)=0.74
Таким образом, на фазе проектирования KФ 2 =0.74.
Фазы реализации, тестирования и изготовления.
С0602=0.7 С0803=0.75
С0603=0.9 С0901=0.6
С0604=0.95 С0902=0.6
С0903=0.85 С1001=1
С1002=0.6
Оценки 6,8,9,10 метрик:
Pm 2=0.75
Pm 6=(0.7+0.9+0.95)/3=0.85
Pm 8=0.75
Pm 9=(0.6+0.6+0.85)/3=0.68
Pm 10=(0.6+1)=0.8
Vm 2=0.54
Vm 10=0.46
P1=(0.88*0.54)+(0.75*0.46)=0.82
Vm 8=0.44
Vm 9=0.56
P2=(0.6*0.44)+(0.75*0.56)=0.684
P3=0.85
V1=0.82/2.354=0.35
V2=0.684/2.354=0.29
V3=0.85/2.354=0.36
P=(0.82*0.35)+(0.684*0.29)+(0.85*0.36)=0.79
Таким образом, на фазах реализации, тестирования и изготовления KФ 2 =0,79.
Рассмотрим фазу обслуживания.
Pm 1=0.77 Pm 2=0.88
Vm 1=0.47
Vm 2=0.53
P1=(0.77*0.47)+(0.88*0.53)=0.83
P2=0.684 P3=0.85
V1=0.83/2.364=0.35
V2=0.684/2. 364=0.29
V3=0.85/2. 364=0.36
Таким образом, на фазе обслуживания KФ 2 =0,79.
Показатели удобства применения
Взаимосвязь фактора «Удобство применения» с фазами анализа и проектирования.
У0801=0.78 У1002=0.98
У0802=0.98 У1101=0.95
У0803=0.99 У1102=0.9
У0804=0.99 У1201=0.8
У0805=0.8 У1202=0.95
У0901=0.9
Оценки 8,9,10,11,12 метрик:
Pm 8=(0.78+0.98+0.99+0.99+0.8)/5=0.91
Pm 9=0.9
Pm 10=0.95
Pm 11=0.93
Pm 12=0.88
Vm 8=0.2
Vm 9=0.2
Vm 10=0.21
Vm 11=0.2
Vm 12=0.19
P=0,19982+0,18032+0,1919+0,1919+0,1672=0,915
Таким образом, на фазах анализа и проектирования KФ 3 =0,915.
Фазы реализации и тестирования.
У0302=0.5 У0303=0,8 У0304=0,87 У0307=0,76 У0309=0,9 У0310=0,99 У0312=0,89 У0315=0,8 У0314=0,75
У0401=0,99 У0402=0,9 У0403=0,95 У0406=0,8 У0407=0,95 У0408=0,9 У0409=0,97 У0411=0,9 У0412=0,9 У0413=0,6
У0501=0,9 У0502=0,80 У0503=0,8 У0504=0,95
У0505=0,99
У0601=1 У0604=0,9 У0605=0,96 У0606=1
У0607=1 У0608=0,9 У0609=0,95 У0701=0,91
Оценки 3,4,5,6,7 метрик:
Pm 3=0.81 Vm 3=0.81/4.448=0.18
Pm 4=0.89 Vm 4=0.89/4.448=0.2
Pm 5=0.888 Vm 5=0.888/4.448=0.199
Pm 6=0.95 Vm 6=0.95/4.448=0.21
Pm 7=0.91 Vm 7=0.91/4.448=0.2
P1=0.915
P2=0.88
V1=0.51
V2=0.49
P=0,473+0,426=0,898
Таким образом, на фазах реализации и тестирования KФ 3 =0,898.
Фазы изготовления и обслуживания.
У0101=0.90 У0102=0.95 У0103=0.98
У0201=0.95 У0202=0.94 У0203=0.96
Определим оценки 1,2 и 3 метрик:
Pm 1=0.9433 Pm 2=0.95 Pm 3=0.81
Vm 1=0.9433/2.8044=0.3364
Vm 2=0.95/2.8044=0.3388
Vm 3=0.81/2.8044=0.29
P1=0.87
Определим оценки 4,5,6 и 7 метрик:
Pm 4=0.89 Pm 5=0.888 Pm 6= 0.95 Pm 7=0.91
Vm 4=0.24 Vm 5=0.24 Vm 6=0.26 Vm 7=0.25
P2=0.9
Определим оценки 8,9,10,11 и 12 метрик:
P3=0.915
V1=0.32
V2=0.34
V3=0.34
Таким образом, на фазах изготовления и обслуживания KФ 3 =0,9.
Показатели эффективности
Взаимосвязь фактора «Эффективность» с фазой анализа.
Э0101=0.89 Э0103=0.99 Э0104=0.86 Э0105=0.92
Э0110=0.8
Э0201=0.95 Э0202=0.94 Э0203=0.96 Э0206=0.8
Э0301=0.93 Э0303=0.94 Э0304=0.95
Оценки критериев:
Pm1=0.89 Vm1=0.92/2.74=0.32
Pm2=0.91 Vm2=0.91/2.74=0.33
Pm3=0.94 Vm3=0.94/2.74=0.35
Таким образом, на фазе анализа KФ 4 =0,91.
Рассмотрим фазу проектирования.
Pm1=0.92
Pm3=0.917
Vm1=0.92/1.837=0.5008
Vm3=0.917/1.837=0.4992
Таким образом, на фазе проектирования KФ 4 =0,92.
Фазы реализации, тестирования, изготовления, обслуживания.
Показатели данной фазы для фактора «Эффективность» полностью совпадают с показателями фазы анализа для фактора «Эффективность». Таким образом, можно считать KФ 4 =0,91.
Показатели универсальности
Взаимосвязь фактора «Универсальность» с фазой анализа.
Г0101=0.89 Г0701=0.8
Г0102=0.88 Г0801=0.9
Г0103=0.95 Г0802=0.99
Г0104=0.89 Г0901=0.7
Определим оценки 1, 7, 8 и 9 метрик:
Pm1=0.9 Pk1=Pm1=0.9
Pm7=0.8 Vm7=0.8/2.445=0.33
Pm8=0.945 Vm8=0.945/2.445=0.39
Pm9=0.7 Vm9=0.7/2.445=0.28
Pk2=0.78
Vk1=0.9/1.68=0.54
Vk2=0.78/1.68=0.46
Таким образом, на фазе анализа KФ 5 =0.84.
Фаза проектирования.
Г0201=0.88
Г0202=0.78
Г0204=0.9
Г0205=0.9
Г0206=0.49
Г0301=0.94
Для 1 метрики- Pm1=0.9
Определим оценки 2 и 3 метрик:
Pm1=0.9 Vm1=0.9/2.63=0.34
Pm2=0.79 Vm2=0.79/2.63=0.30
Pm3=0.94 Vm3=0.94/2.63=0.36
Таким образом, на фазе проектирования KФ 5 =0.88.
Фазы реализации, тестирования, изготовления, обслуживания.
Г0402=0,9 Г0403=0,85 Г0404=0,85 Г1405=0,8
Г0501=0.7 Г0601=0,9 Г1207=0,88
Г1004=0,95 Г1006=0,95 Г1303=1
Г1201=0.93 Г1202=0,87 Г1208=0,75
Г1301=0.99 Г1302=0,95 Г1304=0,9
Г1401=0,4 Г1402=0,45 Г1403=0,6
Г1101=0,4
Pm1=0.89 Vm1=0.89/5.19=0.17
Pm2=0.79 Vm2=0.79/5.19=0.15
Pm3=0.94 Vm3=0.94/5.19=0.18
Pm4=0.87 Vm4=0.87/5.19=0.17
Pm5=0.8 Vm5=0.8/5.19=0.15
Pm6=0.9 Vm6=0.9/5.19=0.17
Pk1=0.86
Pk2=0.78
Определим оценки 10, 11, 12, 13, 14 метрик:
Pm10=0.95 Vm10=0.95/3.73=0.25
Pm11=0.4 Vm11=0.4/3.73=0.11
Pm12=0.86 Vm12=0.86/3.73=0.23
Pm13=0.96 Vm13=0.96/3.73=0.26
Pm14=0.56 Vm14=0.56/3.73=0.15
Pk3=0.81
Vk1=0.86/2.45=0.35
Vk2=0.78/2.45=0.32
Vk3=0.81/2.45=0.33
KФ 5 =0.82
Показатели корректности
Взаимосвязь фактора «Корректность» с фазой анализа.
К0101=0.95 К0102=0.91 К0103=0.95 К0104=0.85
К0105=0.96 К0106=0.9 К0107=0.85 К0108=0.99
К0109=0.98 К0110=0.98 К0501=0.95 К0502=0.91
К0503=0.9 К0601=0.8 К0602=0.8 К0603=0.9
К0604=0.92 К0605=0.9 К0801=0.9 К0802=0.99
К0803=0.9 К0804=0.98 К1003=1 К1004=1
Определим оценку 1,5,6,8,10 метрики:
Pm1=0.93 Pk1=Pm1=0.93
Pm5=0.92 Vm5=0.92/2.72=0.33
Pm6=0.86 Vm6=0.86/2.72=0.32
Pm8=0.94 Vm8=0.94/2.72=0.35
Pk2=0.90
Pm10=1 Pm10=Pk3=1
Vk1=0.93/2.83=0.33
Vk2=0.90/2.83=0.32
Vk3=1/2.83=0.35
Таким образом, на фазе анализа KФ 6 =0.95.
Фазу проектирования.
К0301=0,91 К0302=0,96 К0303=0,89 К0304=0,91
К0306=0,91 К0311=0,99 К0701=0,85 К0702=0,95
К0703=1 К0704=0,99 К0705=0,9
К0706=1
Pk1=Pm1=0.93
Определим оценки 3 и 7 метрик:
Pm5=0.92 Vm5=0.92/3.65=0.25
Pm6=0.86 Vm6=0.86/3.65=0.24
Pm3=0.93 Vm3=0.93/3.65=0.25
Pm7=0.94 Vm7=0.94/3.65=0.26
Pk2=0.91
Vk1=0.93/1.84=0.51
Vk2=0.91/1.84=0.49
Таким образом, на фазе проектирования KФ 6 =0.92.
Фазы реализации, тестирования и изготовления.
К0201=1
К0202=1
К0203=0,85
К0204=0,95
К0205=0,97
К0209=1
К0210=1
К0401=1
К0402=0,8
К0403=0,9
К0404=0,99
К0406=0,9
К0409=1
Определим оценку 2 метрики:
Pm1=0.93 Vm1=0.93/1.9=0.49
Pm2=0.97 Vm2=0.97/1.9=0.51
Pk1=0.95
Определим оценку 4 метрики:
Pm5=0.92 Vm5=0.92/5.53=0.17
Pm6=0.86 Vm6=0.86/5.53=0.15
Pm3=0.93 Vm3=0.93/5.53=0.17
Pm7=0.94 Vm7=0.94/5.53=0.17
Pm4=0.93 Vm4=0.93/5.53=0.17
Pm8=0.94 Vm8=0.94/5.53=0.17
Pk2=0.91
Pm10=Pk3=1
Vk1=0.91/2.86=0.32
Vk2=0.95/2.86=0.33
Vk3=1/2.86=0.35
KФ 6 =0.95
Фаза обслуживания.
Pk1=0.95 Vk1=0.95/2.81=0.34
Pm6=Pk2=0.86 Vk2=0.86/2.81=0.31
Pm10=Pk3=1 Vk3=1/2.81=0.35
Таким образом, на фазе обслуживания KФ 6 =0.94.
Итоговый показатель качества
Нахождение оценки качества на всех фазах проектирования:
- фаза анализа;
KФ 1 =0,7 VФ 1 =0,7/5.085=0,14
KФ 2 =0,77 VФ 2 =0,15
KФ 3 =0.915 VФ 3 =0,18
KФ 4 =0,91 VФ 4 =0,18
KФ 5 =0.84 VФ 5 =0,17
KФ 6 =0,95 VФ 6 =0,19
Rан =0,87
- фаза проектирования;
KФ 1 =0,73 VФ 1 =0.73/5.155=0,14
KФ 2 =0.79 VФ 2 =0,15
KФ 3 =0.915 VФ 3 =0,18
KФ 4 =0,92 VФ 4 =0,18
KФ 5 =0.88 VФ 5 =0,17
KФ 6 =0,92 VФ 6 =0,18
Rпр =0,866
- фазы реализации и тестирования;
KФ 1 =0,87 VФ 1 =0.87/5.238=0,17
KФ 2 =0,79 VФ 2 =0,15
KФ 3 =0,898 VФ 3 =0,17
KФ 4 =0,91 VФ 4 =0,17
KФ 5 =0.82 VФ 5 =0,16
KФ 6 =0,95 VФ 6 =0,18
Rр =Rт =0,876
- фаза изготовления;
KФ 1 =0,87 VФ 1 =0.87/5.24=0,17
KФ 2 =0,79 VФ 2 =0,15
KФ 3 =0,9 VФ 3 =0,17
KФ 4 =0,91 VФ 4 =0,17
KФ 5 =0.82 VФ 5 =0,16
KФ 6 =0,95 VФ 6 =0,18
Rизг =0,876
- фаза обслуживания;
KФ 1 =0,87 VФ 1 =0.87/5.23=0,17
KФ 2 =0,79 VФ 2 =0,15
KФ 3 =0,9 VФ 3 =0,17
KФ 4 =0,91 VФ 4 =0,17
KФ 5 =0,82 VФ 5 =0,16
KФ 6 =0,94 VФ 6 =0,18
Rобсл =0,875
Таким образом, автоматизированная система учета конкурентоспособности региона на основе деятельности предприятий является надежной системой.
Заключение
При выполнении курсового проекта на основании исходных данных была построена автоматизированная система учёта конкурентоспособности региона на основе деятельности предприятий.
Были разработаны разные виды обеспечения (математическое, информационное, техническое, программное и организационное) для данной автоматизированной системы. Они описаны в соответствующих разделах данного документа.
Разработанное программное обеспечение представляет собой удобный инструмент для учета предприятий региона, а так же для отслеживания динамики основных показателей деятельности предприятий. Приложение базы данных позволяет хранить, обрабатывать и отображать информацию по неограниченному числу предприятий. Программное обеспечение основано на передовых технологиях, использована архитектура клиент-сервер, что позволяет вести работу с приложением одновременно нескольким пользователям.
В итоге была спроектирована и построена система, которая может быть доработана и модернизирована в соответствии с изменяющимися требованиями на проектирование.
Таким образом, конкурентоспособность региона обеспечивает рост экономики по пути инновационного развития. Поэтому в современных условиях повышение конкурентоспособности становится одной из главных стратегических целей экономического развития регионов и страны в целом.
Библиографический список
1. ГОСТ 34.201 – 89 Информационные технологии. Виды, комплектность и обозначение документов при создании автоматизированных систем.
2. ГОСТ 34.602 – 89 Информационные технологии. Техническое задание на создание автоматизированных систем.
3. ГОСТ 19.404 – 79 Пояснительная записка.
4. ГОСТ 19.701 – 90 Схемы алгоритмов, программ, данных и систем.
5. ГОСТ 2.743 – 82 Условные графические обозначения в схемах.
6. ГОСТ 34.602-89 Техническое задание на создание автоматизированной системы.
7. Азоев Г.Л. Управление организацией. - М.:ИНФРА-М, 2002. - 669с.
8. Ламбен Жан-Жак. Стратегический маркетинг. — СПб.: Наука, 1996.
9. Портер Майкл Э. Конкуренция. - М.: Вильямс, 2002 . - 496с.
10. Светунова С.Г. Информационное обеспечение управления конкурентоспособностью.– СПб, 2003
11. Фатхутдинов Р.А. Конкурентоспособность организации в условиях кризиса: экономика, маркетинг, менеджмент. - М.: Маркетинг, 2002. - 892с.
12. Фатхутдинов Р.А. Конкурентоспособность: экономика, стратегия, управление. — М.: ИНФРА-М, 2000. — 312 с.
13. Джон К. Халл. Кредитный риск. Опционы, фьючерсы и другие производные финансовые инструменты. Options, Futures and Other Derivatives. — 6-еизд. — М.: «Вильямс», 2007. — С. 1056.
14. Юданов А.Ю. Конкуренция: теория и практика: Учебное пособие. — 2-е изд. — М.: Гном-Пресс, 1998. – 382с.