| Скачать .docx |
Реферат: Организация информации
Представление и обработка информации
Информатика и информационные технологии
Информатика [computerscience] – научное направление, занимающееся изучением законов, методов и способов накапливания, обработки и передачи информации с помощью ЭВМ и других технических средств. Предметом изучения информатики являются информационные технологии и их применение для решения прикладных задач. Технология практически определяет что, как и сколько нужно сделать, чтобы получить требуемый результат. Конечная задача использования информационных технологий – это подготовка и принятие управленческих решений.
Первичное понятие информатики – информация. Данное понятие неопределяемо. Поэтому, строго говоря, это понятие можно раскрыть только через указание процессов, в которых оно участвует. Чаще всего под этим понятием подразумевают содержательную сторону, отличая его от понятия «данные», которое, следовательно, отражает собой формальную сторону.
Будем понимать под информацией [information] меру устранения неопределённости в отношении исхода интересующего нас события.
Тогда под данными [data] будут пониматься объекты любой формы, выступающие в качестве средства представления информации. Можно сказать, что данные – это информация, зафиксированная в определённой форме.
Одни и те же данные могут нести различную информацию для разных потребителей. Фиксация информации в виде данных осуществляется с помощью конкретных средств (языковых, изобразительных, числовых и т.д.) на конкретном физическом носителе.
Формальное назначение ЭВМ заключается в обработке данных. Причём ЭВМ обрабатывает данные без учёта их смыслового содержания. Для этой обработки используются лишь математические операции. Оценивать смысловое содержание данных может только человек.
Представление и обработка данных
Для того, чтобы использовать ЭВМ для обработки данных, необходимо располагать некоторым способом представления данных. Способ представления данных будет зависеть от того, для кого эти данные предназначены: для человека (внешнее представление) или для ЭВМ (внутреннее представление).
Во внутреннем представлении данные могут быть описаны в аналоговой (непрерывной) или цифровой (дискретной) формах. В соответствии с этим различают аналоговые и цифровые ЭВМ. Практически все используемые ЭВМ в настоящее время являются цифровыми. Таким образом, любые данные в современных ЭВМ представляются в виде целых чисел.
Любые виды данных, обрабатываемых на ЭВМ, могут быть сведены к совокупности простейших форм: набор символов (текст), звук (мелодия), изображение (фотографии, рисунки, схемы), вещественные и целые числа (числовая информация).
Каждый такой вид данных должен быть некоторым универсальным образом представлен в виде набора целых чисел. Правила такого представления разрабатываются научными институтами и оформляются в виде стандартов.
Во внешнем представлении все данные хранятся в виде файлов. Во многих случаях требуется ещё более высокий уровень организации данных на внешнем уровне, тогда данные группируются в базы данных (см. рис.1.
![]() |
Рис. 1. Уровни представления данных
Задачи по обработке данных предполагают также способы описания процесса самой обработки. Процедуры обработки данных также представляются на внешнем и внутреннем уровне. На внутреннем уровне каждая такая процедура представляет собой последовательность логических операций с целыми числами, и называется программой. Сами логические операции кодируются с помощью средств машинного языка.
![]() |
Рис. 2 Уровни представления обработки данных
На внешнем уровне процедуры представляются в виде алгоритма. Конкретный вид алгоритма зависит от используемого алгоритмического языка (см. рис. 2).
Таким образом, решение любых задач с помощью ЭВМ в конечном счёте сводится к двум взаимосвязанным проблемам: цифровому представлению данных и алгоритмическому представлению способов обработки данных.
Внутреннее представление данных
Двоичная форма целых чисел. Количество информации
ЭВМ является электрическим прибором. Она управляется с помощью электрических сигналов. Поэтому любые данные должны быть некоторым универсальным образом представлены в таком виде, чтобы их можно было легко перевести на «электрический» язык. Таким свойством обладают двоичная форма целых чисел. Для записи числа в двоичной форме используются только два символа 0 и 1. Эти символы легко поставить в соответствие некоторому фиксированному значению напряжения в электрических схемах ЭВМ (см. рис. 3).
![]() |
Рис.3 Поток данных в двоичной форме
Чтобы обрабатывать данные, необходимо иметь некоторый универсальный способ представления операций с целыми числами, чтобы эти операции были легко представимы на «электрическом» языке. Оказывается, что этому условию удовлетворяют три операции с двоичными числами. Это операции логического сложения «ИЛИ», логического умножения «И» и отрицания «НЕ».
Таблица 1. Операции с двоичными числами
| x | y | ИЛИ | И | НЕ х |
| 0 | 0 | 0 | 0 | 1 |
| 0 | 1 | 1 | 0 | 1 |
| 1 | 0 | 1 | 0 | 0 |
| 1 | 1 | 1 | 1 | 0 |
Таким образом, все данные, с которыми работают ЭВМ, представлены в виде двоичных чисел, а все действия с данными сводятся к комбинации трёх логических операций.
Пример
Рассмотрим сложение чисел 4+3. В двоичной форме эти числа будут иметь вид соответственно 0100 и 0011. Выполняя операцию логического сложения с каждым разрядом обоих чисел, получим число 0111, что является двоичным представлением числа 7.
Количество информации, соответствующее двоичному числу, называют битом [bit]. Число, которое представлено N битами называется N-битным или N-разрядным.
В дальнейшем оказалось удобным оперировать последовательностями нулей и единиц, объединённых в группы фиксированного размера.
Наибольшее значение имеет последовательность из восьми двоичных чисел - 8-разрядное число. Количество информации, соответствующее такому числу, называется байтом [byte]. Кроме того, используются группы, называемые словом [word]. Размер слова зависит от характеристик конкретной ЭВМ, но, как правило, в большинстве современных ЭВМ размер слова равен 2 байтам.
Очень часто программистам приходится непосредственно работать с двоичными числами, поэтому, чтобы упростить эту работу, часто используются шестнадцатеричное представление двоичных чисел.
Пример
Для упрощения перевода целых чисел в двоичную и шестнадцатеричную формы составляется следующая таблица:
| Х10 | Х2 | Х16 | Х10 | Х2 | Х16 |
| 0 | 0000 | 0 | 8 | 1000 | 8 |
| 1 | 0001 | 1 | 9 | 1001 | 9 |
| 2 | 0010 | 2 | 10 | 1010 | A |
| 3 | 0011 | 3 | 11 | 1011 | B |
| 4 | 0100 | 4 | 12 | 1100 | C |
| 5 | 0101 | 5 | 13 | 1101 | D |
| 6 | 0110 | 6 | 14 | 1110 | E |
| 7 | 0111 | 7 | 15 | 1111 | F |
4310 = 2В16 = 001010112
Таким образом, первая задача, которая ставится в информатике – это задача представления любых данных в форме целых чисел (в цифровой форме).
Цифровое представление символов
Правило цифрового представления символов следующее: каждому символу ставится в соответствие некоторое целое число, то есть каждый символ нумеруется.
Пример
Рассмотрим последовательность строчных букв русского алфавита: а, б, в, г, д, е, ё, ж, з, и, й, к, л, м, н, о, п, р, с, т, у, ф, х, ц, ч, ш, щ, ъ, ы, ь, э, ю, я. Присвоив каждой букве номер от 0 до 33, получим простейший способ представления символов. Последнее число - 32 в двоичной форме имеет вид 100000, то есть для хранения символа в памяти понадобится 6 бит. Так как с помощью шести бит можно представить число 26 – 1 = 63, то шести бит будет достаточно для представления 64 букв.
Имеются разные стандарты для представления символов, которые отличаются лишь порядком нумерации символов. Наиболее распространён американский стандартный код для информационного обмена - ASCII [AmericanStandardCodeforInformationInterchange] введён в США в 1963г. В 1977 году в несколько модифицированном виде он был принят в качестве всемирного стандарта Международной организации стандартов [InternationalStandardsOrganization - ISO] под названием ISO-646. Согласно этому стандарту каждому символу поставлено в соответствие число от 0 до 255. Символы от 0 до 127 – латинские буквы, цифры и знаки препинания – составляют постоянную часть таблицы. Остальные символы используются для представления национальных алфавитов. Конкретный состав этих символов определяется кодовой страницей. В русской версии ОС Windows95 используется кодовая страница 866. В ОС Linux для представления русских букв более употребительна кодировка КОИ-8.
Недостатки такого способа кодировки национального алфавита очевидны. Во-первых, невозможно одновременное представление русских и, например, французских букв. Во-вторых, такая кодировка совершенно непригодна для представления китайских или японских иероглифов. В 1991 году была создана некоммерческая организация Unicode, в которую входят представители ряда фирм (Borland, IBM, Lotus, Microsoft, Novell, Sun, WordPerfect и др.), и которая занимается развитием и внедрением нового стандарта. Кодировка Unicode использует 16 разрядов и может содержать 65536 символов. Это символы большинства народов мира, элементы иероглифов, спецсимволы, 5000 мест для частного использования, резерв из 30000 мест.
Пример
ASCII-код символа A = 6510 = 4116 = 010001112 ;
ASCII-код символа G = 7110 = 4716 = 010001112 ;
ASCII-код символа Z = 9010 = 5A16 = 010110102 .
ASCII-код символа C = 6710 = 4316 = 011001112
Unicode-код символа C = 6710 = 00000000011001112 .
Цифровое представление вещественных чисел
Для того, чтобы представить вещественное число в виде набора целых чисел, его необходимо привести к нормализованной форме:
x = M*2P ;
где M - называется мантиссой (дробной частью), а P - экспонентой (порядком).
После этого мантисса и порядок переводятся в двоичное представление. В памяти ЭВМ вещественное число хранится в виде:
здесь S – признак знака. Поэтому необходимо также определить, какой размер памяти будет отведён под все три части нормализованного числа.
Далее должны быть определены правила (алгоритмы), по которым будут выполняться арифметические операции с нормализованными вещественными числами. Совокупность таких алгоритмов, а также правил представления чисел в нормализованной форме называется арифметикой плавающих чисел [floatingpointnumber].
Поскольку размер памяти, отводимый под мантиссу и порядок, ограничен, то вещественные числа представляются с некоторой погрешностью (точность десятичных цифр) и имеют ограниченный диапазон изменения. Чем больше размер памяти для плавающего числа, тем точнее можно представить вещественное число. Поэтому для пользователя основными характеристиками арифметики плавающего числа являются длина числа (размер), измеряемая в битах, и точность представления числа. По точности представления вещественных чисел различают плавающие числа одинарной и двойной точности [singleanddoubleprecision].
Пример
Рассмотрим принцип цифрового представления вещественного числа 15,375. Пусть под мантиссу отведено 5 десятичных разрядов, а под порядок – 2 разряда. Представим число в нормализованной форме: 15,375 » 1,9219*23 . Так как в нормализованной форме первая цифра всегда равна единице, то её можно не хранить. Тогда число будет представлено в виде целого числа 9219003 с относительной погрешностью не более 10-4 , то есть число верных десятичных чисел равно 4. В памяти ЭВМ это число будет храниться в двоичной форме, причём можно легко подсчитать, что для хранения такого числа потребуется 27 бит. Максимальное число, которое можно представить таким образом - 9999999=1,99999*1099 , а минимальное, не равное нулю - 0000100=0,00001. Если предусмотреть один бит для хранения знака порядка, то минимально представляемое число будет равно 00001-99, то есть 0,00001*10-99 .
При попытке выйти за допустимый диапазон ЭВМ выдаст сообщение о переполнении (underflow или overflow).
Конкретные характеристики арифметики различны для разных стандартов. Для ПЭВМ наиболее распространённым является IEEE-стандарт (IEEE-754-1985) [InstituteofElectricalandElectronicEngineers], согласно которому вещественные числа представляются в трёх основных формах (см. табл. 1.2).
Таблица 2. Данные с плавающей точкой по IEEE-стандарту
| Тип | Размер, бит |
Диапазон изменения чисел максимум минимум |
Точность десятичн. цифр | Машинное e |
|
| single | 32 | 3.4*10-38 | 3.4*1038 | 6 | 1,192*10-7 |
| double | 64 | 1.7*10-308 | 1.7*10308 | 15 | 2,221*10-16 |
| long double | 80 | 3.4*10-4932 | 3.4*104932 | 19 | 1,084*10-19 |
Источник: [5].
Здесь нужно заметить, что характеристики плавающего числа двойной точности будут зависеть от той арифметики, которая используется на конкретной ЭВМ.
Пример
Запишем число 15,375 в двоичном виде:
15.375 = 1111.0112 1.111011*211 2
Тогда согласно стандарту IEEE число будет представляться:
single
15,375 = 0 1000.0001.0 111.0110.0000.0000.0000.00002 = 4176000016
long double
15,375 = 0 1000.0000.00010. 1110.1100.0000.0000. … 00002 = 402ЕС0000000000016 .
Источник: [5].
Особенности плавающей арифметики могут существенно влиять на результаты расчётов, вплоть до того, что погрешность может сделать невозможным получение какого-либо результата вообще, поэтому знание деталей реализации арифметики плавающих чисел является необходимым для программистов.
Пример
Существует особая характеристика плавающей арифметики – машинное эпсилон. Это число, которое определяется как
.
Для плавающего числа единичной точности (по IEEE стандарту):
.
Это значит, если написать программу на языке BASIC:
a=1.2
b=1.e-7
printa+b
то результат, который выдаст программа, будет равен 1.2.
Поэтому программы, учитывающие особенности плавающей арифметики могут трактовать все числа, меньшие, чем машинное эпсилон, практически равными нулю.
Цифровое представление изображений
Под изображением будем понимать прямоугольную область, закрашенную непрерывно изменяющимся цветом. Поэтому для представления изображений в целых числах необходимо отдельно дискретизировать прямоугольную область и цвет.
Для описания области она разбивается на множество точечных элементов – пикселов [pixel]. Само множество называется растром [bitmap, dotmatrix, raster] (см. рис. 1.3), а изображения, которые формируются на основе растра, называются растровыми.
![]() |
Рис.4. Дискретизация области изображения
Число пикселов называется разрешением [resolution]. Часто встречаются значения 640х480, 800х600, 1024х768, 1280х1024. Каждый пиксел нумеруется, начиная с нуля слева направо и сверху вниз.
Для представления цвета используются цветовые модели. Цветовая модель [colormodel] это правило, по которому может быть вычислен цвет. Самая простая цветовая модель – битовая. В ней для описания цвета каждого пиксела (чёрного или белого) используется всего один бит. Для представления полноцветных изображений используются несколько более сложных моделей. Известно, что любой цвет может быть представлен как сумма трёх основных цветов: красного, зелёного и синего. Если интенсивность каждого цвета представить числом, то любой цвет будет выражаться через набор из трёх чисел. Так определяется наиболее известная цветовая RGB-модель. На каждое число отводится один байт. Так можно представить 224 цвета, то есть примерно 16,7 млн. цветов. Белый цвет в этой модели представляется как (1,1,1), чёрный – (0,0,0), красный (1,0,0), синий (0,0,1). Жёлтый цвет является комбинацией красного и зелёного и потому представляется как (1,1,0).
Пример
Пусть имеется изображение вида
![]() |
Будем считать, что белый цвет представляется нулём, а чёрный – единицей, тогда в однобитовой модели такое изображение представится в виде:
0000000000000000
0000000000000000
0000111110000000
0000100010000000
0000100010000000
0000111110000000
0000000000000000
0000000000000000
В шестнадцатеричном виде этот двоичный набор будет выглядеть так:
00 00 00 00 0F 80 08 80 08 80 0F 80 00 00 00 00
Всего для хранения такого изображения потребуется 16 байт.
Данное изображение легко преобразовать в RGB-модель. Достаточно заменить все нули тройками (1,1,1), а все единицы - тройками (0,0,0). Тогда получим следующее шестнадцатеричное представление изображения:
FFFFFFFFFFFFFFFFFFFFFFFFFFF0 00 1FFFFF
FFF1 FF 1FFFFFFFF1 FF 1FFFFFFFF0 00 1FFFFF
FF FF FF FF FF FF FF FF FF FF FF FF
Для хранения такого изображения потребуется 48 байт.
Цветовая модель RGB [Red-Green-Blue] была стандартизирована в 1931 г. и впервые использована в цветном телевидении. Модель RGB является аддитивной моделью, то есть цвет получается в результате сложения базовых цветов. Существуют и другие цветовые модели, которые для ряда задач оказываются более предпочтительными, чем RGB-модель. Например, для представления цвета в принтере используется субтрактивная CMY-модель [Cyan-Magenta-Yellow], цвет в которой получается в результате вычитания базовых цветов из белого цвета. Белому цвету в этой модели соответствует (0,0,0), чёрному - (1,1,1), голубому - (1,0,0), сиреневому - (0,1,0), жёлтому - (0,0,1). В цветовой модели HSV [Hue-Saturation-Value] цвет представляется через цвет, насыщенность и значение, а в модели HLS [Hue-Lightness-Saturation] через оттенок, яркость и насыщенность. Современные графические редакторы, как правило, могут работать с несколькими цветовыми моделями.
Звук можно описать в виде совокупности синусоидальных волн определённых частоты и амплитуды. Частота волны определяет высоту звукового тона, амплитуда – громкость звука. Частота измеряется в герцах (Гц [Hz]). Диапазон слышимости для человека составляет от 20 Гц до 17000 Гц (или 17 кГц).
![]() |
Рис. 5. Дискретизация звукового сигнала
Задача цифрового представления звука, таким образом, сводится к задаче описания синусоидальной кривой. Принцип такого представления изображён на рис. 1.5.
Каждой дискретной выборке присваивается целое число – значение амплитуды. Количество выборок в секунду называется частотой выборки [samplingrate]. Количество возможных значений амплитуды называется точностью выборки [samplingsize]. Таким образом, звуковая волна представляется в виде ступенчатой кривой. Ширина ступеньки тем меньше, чем больше частота выборки, а высота ступеньки тем меньше, чем больше точность выборки.
Пример
Возможности наиболее распространённой современной аппаратуры предусматривают работу с частотой выборки до 44,1 кГц, что позволяет правильно описывать звук частотой до 22,05 кГц. Точность выборки имеет всего два значения 8 бит и 16 бит. То есть для представления амплитуды 8-битного звука используется 28 = 256 уровней амплитуды.
Внутреннее представление данных характеризуется избыточностью. Например, при кодировании символов русского алфавита можно учесть частоту, с которой эти символы встречаются в предложениях русского языка. Тогда для цифрового представления текста потребуется меньшее количество информации. Объём данных имеет большое значение не только для хранения, но также непосредственно влияет на скорость передачи данных по каналам вычислительных сетей. Поэтому были разработаны специальные методы (алгоритмы сжатия данных [datacompression]), с помощью которых можно существенно уменьшить объём данных. Существуют как универсальные алгоритмы, которые рассматривают данные как простую последовательность битов, так и специализированные, которые предназначены для сжатия данных определённого типа (изображений, текста, звука и видео). Эффективность сжатия характеризуется коэффициентом сжатия [compressionratio], который определяется как отношение размера исходных данных к размеру сжатых. В некоторых случаях этот коэффициент достигает значения 10.
Пример
Рассмотрим принцип сжатия простейшего универсального RLE-метода. Для этого рассмотрим представление изображения, полученного в примере выше.
Особенность данного представления заключается в том, что в нём содержатся длинные последовательности подряд идущих нулей или единиц. В RLE-методе предлагается ставить сначала значение числа повторений, а затем повторяющегося числа. Тогда сжатое закодированное изображение получит вид:
С4 00 0F 80 08 80 08 80 0F 80 С4 00
Здесь число С используется как признак последовательности одинаковых символов. То есть С4 означает, что далее идёт последовательность из 4 символов. Размер хранимого изображения уменьшился с 16 до 12 байт. Коэффициент сжатия равен 1,33. Эффективность сжатия будет зависеть от размера и содержания изображения. Если то же самое изображение преобразовать в цветовую RGB-модель, то в сжатой форме оно получит вид:
СD FF F0 00 1F C3 FF F1 FF 1F C3 FF F1 FF 1F C3 FF F0 00 1F CE FF
То есть вместо 48 байт сжатое изображение занимает 22 байта, а коэффициент сжатия равен 2,18.
Алгоритмы сжатия широко применяются для более компактного хранения изображений. Для этого было разработано большое число графических форматов растровых изображений.
Пример
Наиболее популярными являются графические форматы: BMP [BitMaP], PCX, GIF [GraphicsInterchangeFormat], TIFF [TaggedImageFileFormat], JPEG [JointPhotographicExpertsGroup], которые по существу различаются между собой используемыми методами сжатия. Форматы BMP и PCX используют RLE-алгоритм, форматы GIF и TIFF – LZW-алгоритм, JPEG использует одноимённый алгоритм сжатия.
Звук и видео также требуют для своего цифрового представления очень большого объёма памяти, поэтому без алгоритмов сжатия работа с видео и звуковыми данными была бы невозможной. Фактическим стандартом для представления звука стал формат MP3, а для представления видеоданных – формат MPEG.
Любые данные, представленные в виде совокупности целых чисел, хранятся в памяти ЭВМ в виде файлов. Файл [file] – именованная целостная совокупность данных, причём не имеет значения, каких именно данных. Для файла данные – это лишь набор целых чисел в двоичной форме, поэтому файл – это просто последовательность байтов. Для пользователя имеют значение лишь два признака, которые характеризуют файл как таковой: имя файла и его размер. Размер файлов измеряется в байтах.
Рис. 6. Дерево каталогов
![]() |
Как правило, файлы сортируются пользователем согласно определённым признакам по группам. Список такой группы называется каталогом [directory]. Таким образом, организуется особая иерархическая структура – дерево каталогов (см. рис. 1.6 – имена каталогов подчёркнуты).
Вершина такого дерева называется корневым каталогом [rootdirectory]. Имя корневого каталога всегда строго определено (на рис. 1.6 - C:\) и зависит от файловой системы (см. тему 3).
Многие объекты в конкретных прикладных задачах могут быть представлены не в двоичной форме, а в виде сложной информационной структуры. Например, чертёж детали можно представить в виде совокупности отрезков прямых. Тогда в памяти ЭВМ нужно будет хранить не растр, а совокупность вещественных чисел, описывающих координаты концов отрезков.
Формализованное описание информационных структур и операций над ними называется моделью данных [datamodel].
Пример
Например, для описания шрифтов применяются три модели: битовая, векторная и true-type. Рассмотрим, как можно представить символ «С» с помощью битовой модели.
Битовая модель использует тот же принцип, что и битовая цветовая модель для растровых изображений. Каждому символу отводится матрица фиксированного размера. Пусть матрица имеет размер 8х10:

После такого графического представления символа, его можно описать десятью числами, размером 1 байт каждое:
00 3С 66 С0 С0 С0 66 3С 00 00
Такие описания составляются для всех символов алфавита, цифр, знаков препинания и помещаются в один файл – файл битового шрифта. Все символы, которые выводятся в текстовом режиме, представлены посредством битовых шрифтов и записаны в ПЗУ.
Рассмотренное в примерах выше изображение можно представить через описание четырёх отрезков прямых линий, задавая координаты концов отрезков:
(4,2-8,2) (4,2-4,5) (4,5-8,5) (8,5-8,2)
Для такого описания требуется 16 чисел. В результате появляется возможность различных геометрических преобразований изображения (масштабирование, повороты, растяжения и др.). Такой способ описания изображений называется векторным и широко используется в проектировании. Но нужно чётко понимать, что при выводе на экран монитора данное изображение будет представлено в растровой форме.
В реальных задачах для описания данных требуется очень много файлов, причём данные, содержащиеся в этих файлах, некоторым образом связаны между собой. Например, описание информации по деятельности некоторой судоходной компании будет включать в себя технические данные по судам компании, дислокацию судов, данные по участкам водных путей, размерам канальных и портовых сборов, данные по фрахтовым ставкам, данные для определения эксплуатационных расходов по каждому судну и т.д. Поэтому управление файлами в таких случаях оказывается очень сложным. Чтобы преодолеть эти сложности, исходные данные должны быть организованы в базу данных [database] – совокупность взаимосвязанных данных, сохраняемых и управляемых в соответствии с некоторыми правилами. Эти правила также называются моделью данных. Конкретное построение базы данных и используемая модель данных определяются решаемой задачей.
Пример
Существуют несколько моделей данных: сетевая, иерархическая, реляционная, объектно-ориентированная. В последнее время наиболее широко используемой является реляционная модель данных. Согласно этой модели все данные организуются в совокупность связанных таблиц. Вопросы, связанные с проектированием баз данных изучаются в специальном курсе «Базы и банки данных».
Решение задачи на ЭВМ – это процесс получения результатных данных на основе обработки исходных с помощью программы.
Программа [program, routine] – это просто последовательность команд, понятных ЭВМ, или машинных команд. Машинные команды [computerinstruction] представляют собой целые числа, принимая которые, ЭВМ производит строго определённые действия. Набор этих команд зависит от конкретной ЭВМ и носит название машинного языка [computer (machine) language]. Машинные команды, как и данные, хранятся в файлах, однако, файлу с командами можно передать управление компьютером. Такие файлы также называют программами.
Пример
Пусть в некотором файле записана следующая последовательность чисел:
B8 05 03 BB-00 00 CD 16-CD 20
Если запустить этот файл на исполнение (то есть передать ему управление ЭВМ) на ЭВМ с процессором Pentium в ОС Windows95, то клавиатура будет работать быстрее. Всего в данной последовательности закодировано четыре машинных команды.
Понятие алгоритма и алгоритмического языка
Любая программа составлена в соответствии с некоторым алгоритмом. Алгоритм [algorithm] – это конечный набор предписаний, для которого указано, как и в какой последовательности эти предписания необходимо применять к исходным данным задачи, чтобы получить её решение. Алгоритм – это общий метод решения задачи, конкретное выражение которого будет оформлено в виде программы. Алгоритм даёт возможность чисто механически решать любую задачу из некоторого класса однотипных задач. Алгоритм может быть описан различными способами: формульно, графически, посредством некоторого алгоритмического языка. Алгоритмический язык [algorithmiclanguage] – система обозначений, предназначенная для точного описания алгоритмов для ЭВМ и ли достаточная для автоматического нахождения таких алгоритмов. Такие языки являются искусственными языками со строго определёнными синтаксисом и пунктуацией, поэтому они не допускают свободного толкования для своих конструкций, как это характерно для естественного языка. Существует большое количество языков программирования, предназначенных для решения прикладных задач.
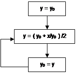
Пример
Рассмотрим задачу вычисления квадратного корня из некоторого положительного вещественного числа:
.
Такая задача решается с помощью алгоритма Герона. В формульной записи этот алгоритм будет иметь вид:
.
Имея некоторое начальное приближение, можно уточнить значение корня, а затем вновь повторить этот процесс. Алгоритмы такого рода имеют название циклических.
В графическом представлении алгоритм будет иметь более наглядную форму.
![]() |
На алгоритмическом языке BASIC алгоритм может быть реализован следующим образом:
while(1)
y=y0
y=(y0+x/y0)/2
y0=y
wend
Разумеется, в реальной программе должен быть обеспечен выход из цикла. Алгоритм Герона используется при реализации библиотек стандартных математических функций.
Машинный язык относится к внутреннему уровню представления обработки данных. Человек обращается к машинному языку в очень специфических случаях. Алгоритмические языки представляют собой внешний уровень и имеют форму, удобную для восприятия человеком.
Программирование и языки программирования
Использование ЭВМ немыслимо без программирования [programming], которое в самом простом понимании представляет собой создание программ. Более точно, программирование заключается в отображении в памяти ЭВМ цифровых данных о реальных объектах и в описании на машинном языке инструкций по управлению этими данными. Так как для восприятия человеком машинные языки неудобны, то для более эффективной работы были созданы различные языки программирования [programminglanguage]. Наиболее распространены так называемые процедурные языки программирования. Процедурный язык программирования предоставляет набор типов и операций с этими типами, а также средства для логической организации программы – операторы [statement]. Программа на процедурном языке выполняется поэтапно - оператор за оператором.
Наиболее распространёнными процедурными языками программирования являются: С, C++, Fortran, Pascal, Basic, VisualBasic, Ada.
Язык программирования Fortran был создан в 1956 г. и до 70-х годов использовался в подавляющем числе программных проектов. На сегодняшний день имеется огромное число прикладных программ, созданных на этом языке, поэтому практическое использование Fortran-a продолжается. Однако область использования этого языка программирования ограничена численными расчётами в области физики. Все суперЭВМ имеют в составе своего программного обеспечения средства для работы с Fortran-ом. Для Fortran-а имеется международный стандарт, что позволяет создавать хорошо переносимые программы.
Язык Basic представлял собой упрощённый Fortran и был создан в 1964 г. для начального обучения программированию. Однако со временем этот язык приобрёл популярность среди профессиональных разработчиков программ. Основной недостаток языка – это использования большого числа «правил по умолчанию», что затрудняет создание надёжных программ. Отсутствие общепринятого стандарта на язык также мешает его распространению и использованию в серьёзных программных разработках. Язык VisualBasic является объектно-ориентированной версией языка Basic, созданной фирмой Microsoft, и широко используется для разработки графического интерфейса прикладных программ.
Язык Pascal был создан в 1970 г. также для изучения программирования, однако, многочисленные положительные качества этого языка обусловили его широкое распространение как среди прикладных, так и среди системных программистов. Наибольшую популярность приобрела объектно-ориентированная версия этого языка, реализованная фирмой Borland в своей RAD-системе Delphi.
Язык С, созданный в 1972 г. получил распространение как язык системного программирования. На этом языке написаны операционные системы Unix и её многочисленные версии (Linux, IRIX, AIX), а также операционная система WindowsNT.
Язык С++, созданный в 1982 г., являясь принципиально иным языком, тем не менее сохранил совместимость с С, а, следовательно, возможность использования ранее созданных программ. Де-факто язык С++ стал стандартом для создания сложных программ как системных, так и прикладных.
Язык программирования Ada был разработан в 1979 г. по заказу Министерства обороны США и является обязательным для многих военных приложений. Основное назначение языка – создание больших программ для работы в реальном времени. Существенным недостатком языка является его громоздкость.
Из непроцедурных языков наиболее известными являются LISP и PROLOG.
Язык LISP создан в 1959 г. и рассматривается как основной язык программирования систем искусственного интеллекта.
Язык логического программирования PROLOG создан в 1978 г. и используется для работы с базами знаний, основанными на фактах и правилах. То есть программы, написанные на этом языке, должны обладать некоторой степенью «интеллектуальности».
В зависимости от того, насколько детально учитываются особенности ЭВМ в конкретном языке программирования, говорят об уровне программирования.
Язык С является низкоуровневым языком, так как может работать непосредственно с физическими адресами памяти ЭВМ. Языка Ada, LISP, C++ являются высокоуровневыми языками.







