| Скачать .docx |
Реферат: Компьютерная помощь для предприятий при проведении аттестации рабочих мест по условиям труда
к. т. н. О.И. Зимин (НИИОТ), д. т. н. Г.В. Попов (ИГЭУ), инженер Ю.Е. Курзин (ИГЭУ)
В основах законодательства аттестация рабочих мест является обязанностью работодателя, поэтому на многих предприятиях оценка состояния рабочих мест сегодня оказывается в числе первоочередных задач. Для широкого и качественного применения методов АРМ на предприятиях сотрудниками НИИОТ проведена работа по обучению более 2000 специалистов всех регионов РФ. В результате во многих городах были созданы центры охраны труда, что резко увеличило темпы проведения АРМ и в ряде субъектов РФ доля предприятий где проведена аттестация составляет 30% и более. Следует отметить, что интерес со стороны предприятий к АРМ и число специалистов, желающих выполнить ее самостоятельно постоянно растет. Однако в этом им приходится сталкиваться с рядом трудностей. Так, существует ряд проблем при оформлении результатов аттестации рабочих мест по условиям труда. Согласно последним требованиям документация на одно рабочее место должна содержать протоколы санитарно-гигиенической оценки и травмобезопасности рабочего места, протокол обеспеченности средствами индивидуальной защиты и карту аттестации рабочего места. В итоге общий объем документации на одно рабочее место может достигать 40 и более листов формата А4, а результат всей работы для среднего предприятия – несколько (10 и более) многостраничных томов. Таким образом, только оформление результатов обычно занимает несколько месяцев при условии, что исключительно этой деятельностью занимается несколько человек.
В этих условиях уместно напомнить, что компьютерная техника с момента ее возникновения всегда предназначалась для выполнения наиболее трудоемких и рутинных работ, связанных с переработкой информации. Оснащенность сейчас предприятий современными компьютерами во многих случаях вполне достаточна. Что же касается компьютерных технологий для проведения этих работ, то над их созданием в настоящее время активно работают в ряде специализированных организаций РФ. Вероятно, уже в ближайшие годы уровень автоматизации в решении данного вопроса удастся повысить весьма заметно. Ниже рассматривается отработанный на практике подход к автоматизации оформления результатов аттестации рабочих мест, уже сегодня позволяющий поднять производительность этой работы по сравнению с традиционными подходами в несколько раз.
Предлагаемый комплекс АТТЕСТАЦИЯ включает набор программ для автоматизированного формирования протоколов аттестации рабочих мест и специальную базу нормативных документов, необходимую для работы этих программ.
Следует отметить, что как сам комплекс, так и технология его применения создавались в ориентации на специалистов с минимальными навыками владения персональным компьютером.
АТТЕСТАЦИЯ обеспечивает ввод в интерактивном режиме и хранение необходимой информации для составления документации по аттестации рабочих мест (в соответствии с Положением о порядке проведения аттестации рабочих мест по условиям труда, утвержденным постановлением Министерства труда и социального развития Российской Федерации от 14 марта 1997 №12).
При создании программы авторы руководствовались следующими основными принципами:
совместимость с существующим на предприятии программным обеспечением (WINDOWS, MS WORD, и т.д.);
использование традиционных развитых средств обработки текстов;
возможность работы с базами данных и текстовыми файлами.
Итоговая документация по аттестации рабочих мест, как правило, имеет смешанную структуру, включая таблицы и поля текста (наборы текстовых строк), и, в принципе, поддается формализации, при которой акцент был сделан на декомпозицию текстовых документов (ТД), т.е.:
описание постоянных частей ТД таких, как заголовки, наименования разделов, структура таблиц, информация о размещении текстовых блоков в пределах документа и т.п.;
выделение текстовых блоков переменного содержания и структуризация их по различным признакам.
Форма ТД фиксируется в синтаксическом шаблоне, определяющем содержание постоянных и переменных частей. Определяемые с помощью шаблона документа блоки постоянного содержания переносятся из шаблона в выходной документ, образуя в совокупности неизменяемые, обязательные части документа. Шаблон определяет внешний вид документа и в определенной степени эквивалентен бланку документа в общепринятом смысле этого слова.
Каждый текстовый блок переменного содержания характеризуется набором определенных признаков, поэтому условно все блоки, содержащиеся в ТД можно разделить на следующие группы:
часто повторяющаяся информация, используемая в нескольких текстовых документах;
редко изменяемая или неизменяемая информация, характеризующая определенный вид документа;
информация, вводимая на основе нормативных данных;
информация, находящаяся в функциональной зависимости от заполненных данных.
На основе вышеприведенных групп формируются требования к программе для подготовки ТД. Так, сведения, повторяющиеся в нескольких документах, должны быть доступны для всех ТД, причем, изменение значения в одном документе должно повлечь точно такое же изменение во всех ТД, использующих эти сведения. Редко изменяемая информация должна фиксироваться в соответствующем шаблоне документа. Наиболее сложная ситуация состоит в заполнении ТД на основе нормативно-правовых актов (НПА). Причем, если конкретный нормативный документ или его фрагмент подчиняется структуризации в смысле представления в реляционном виде, то его хранение осуществляется в базе данных (БД), в противном случае информация хранится в виде текстовых файлов, образующих своеобразную базу файлов (БФ). Отсюда были выдвинуты следующие требования к комплексу АТТЕСТАЦИЯ: во-первых, должна поддерживаться работа с базами данных, во-вторых, обеспечиваться накопление, сортировка и быстрый поиск текстовой информации.
Под информацией, находящейся в функциональной зависимости от заполненных данных понимаются сведения, полученные в результате математических и логических операций над раннее занесенными данными. Например, вычисление среднесменных и эквивалентных значений при измерении опасных и вредных производственных факторов, определение класса условий труда на основе фактического и нормативного значений измеренного фактора и т.д. Автоматизированное заполнение таких данных ведется на основе специальных алгоритмов комплекса АТТЕСТАЦИЯ.
С целью сохранения привычного для пользователя интерфейса для решения выше отмеченных задач, было решено использовать распространенный текстовый редактор Microsoft WORD. К его основным достоинствам относится то, что он является открытым для подключения внешних программных модулей и имеет встроенный язык программирования, что позволяет реализовывать часть задач вычислительного и логического характера непосредственно в среде MS WORD. Это позволило создать программу, интегрирующую процесс обработки текстовой информации и комплекс средств по управлению БФ. Причем, в качестве средств создания текстового документа используется Microsoft WORD, а средства управления БФ реализованы в отдельном приложении. Для эффективного обмена данными между различными программными модулями была применена технология программирования объектов, позволяющая предоставлять управление своими объектами (абзацами, таблицами, ячейками и т.д.) другим приложениям.
Разработанная версия комплекса АТТЕСТАЦИЯ имеет три режима функционирования:
формирование протокола оценки травмобезопаности;
формирование протокола обеспеченности средствами индивидуальной защиты (СИЗ);
работа с базой нормативных документов.
Первый режим предназначен для автоматизированного формирования протокола травмобезопасности рабочего места в соответствии с требованиями постановления Минтруда "О порядке проведения аттестации рабочих мест по условиям труда" и методических указаний "Оценка травмобезопасности рабочих мест для целей их аттестации по условиям труда".
Первый режим предусматривает использование базы нормативно-правовых актов, в которой пользователь может при помощи встроенных функций поиска найти документы и пункты требований безопасности, необходимые для оценки состояния рабочего места.
Второй способ позволяет заполнять протокол с помощью базы протоколов, в которой профессии сгруппированы по виду используемого оборудования. База протоколов основана на результатах многолетней работы по оценке травмобезопасности рабочих мест коллектива специалистов Ивановского НИИ Охраны труда.
Для заполнения остальных разделов протокола сформирована база данных по следующим значениям:
наименование рабочего места;
Ф.И.О. лица проводящего оценку;
выводы по разделам протокола;
класс опасности.
Как уже говорилось, в базе НПА предусмотрена возможность поиска пунктов требований, необходимых для оценки травмобезопасности и их включение в требуемый раздел протокола. Для этих целей в БФ реализована следующая схема представления информации:
нормативные документы сгруппированы по видам;
реализован принцип гипертекстовой связи между текстовыми файлами;
предусмотрен поиск по контексту (во всей базе, в текущем разделе, в текущем документе);
предусмотрена возможность добавления новых нормативно-правовых актов по желанию пользователя.
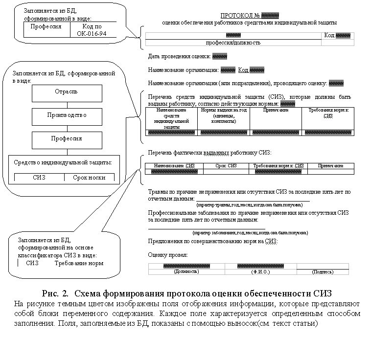
Протокол СИЗ предназначен для автоматизированного заполнения протокола оценки обеспечения средствами индивидуальной защиты.

Принцип формирования этого протокола основан на использовании баз данных, поставляемых на компакт-диске, для чего соответствующие записи предварительно сформированы на основе:
общероссийского классификатора профессий и должностей ОК-016-94;
типовых норм бесплатной выдачи специальной одежды, специальной обуви и других средств индивидуальной защиты для основных отраслей;
требований к средствам защиты (классификатор СИЗ).
Для заполнения протокола выбирается:
профессия (должность) из списка, сформированного на основе ОК-016-94 (код для профессии присваивается автоматически);
указывается отрасль, вид производства и профессию из списков сформированных для типовых норм выдачи спецодежды (в протоколе появится перечень СИЗ и сроки носки согласно действующим нормам);
на заключительном этапе определяются требования норм для каждого средства защиты на основе каталога средств защиты.
Также как и в предыдущем случае, предусматривается исключение ввода часто повторяющейся информации, для чего предусмотрена настройка шаблона протокола, где пользователь может заполнить информацию следующего содержания: атрибуты организации; организация или структурное подразделение, проводящее оценку; информация о лице проводящем оценку. Для просмотра норм выдачи по поясам или для работы с основополагающими документами предусмотрен вызов БФ.
Создание эффективных программных средств для формирования документации по аттестации стало возможным благодаря накоплению значительных информационных массивов, сформированных на основе различных нормативных документов и их структуризации в виде БД и БФ. В настоящее время сформированы следующие базы данных:
общероссийский классификатор профессий и должностей;
типовые нормы бесплатной выдачи спецодежды для основных отраслей производства;
классификатор средств индивидуальной защиты;
список профессий и должностей на дополнительный отпуск и сокращенный рабочий день;
перечень профессий и должностей на лечебно-профилактическое питание;
списки №1 и №2 на льготное пенсионное обеспечение.
Объем информации, как в БД, так и в БФ постоянно увеличивается.
В настоящее время ведутся работы по развитию комплекса АТТЕСТАЦИЯ в плане возможности формирования протоколов оценки других факторов производственной среды и расширения базы типовых протоколов оценки травмобезопасности, что также позволит повысить степень автоматизации при оформлении результатов аттестации по условиям труда. Информацию о разработках можно узнать на сайтах: http://tb-niiot.chat.ru и http://bjd.ispu.ru/. Для организаций заинтересованных в применении комплекса АТТЕСТАЦИЯ возможна разработка компакт-диска с конкретными требованиями к структуре НПА для своего предприятия или производственного процесса.