| Скачать .docx |
Курсовая работа: Разработка программы, реализующей алгоритм шифрования ГОСТ 28147-89
Пояснительная записка к курсовой работе по информационной безопасности
Студент группы 1541 Р.В. Ткачук
Дальневосточная государственная социально-гуманитарная академия
Биробиджан, 2008
Введение
То, что информация имеет ценность, люди осознали очень. Ведь еще с древних времен переписка правителей была объектом пристального внимания их недругов и друзей. Именно тогда и возникла задача защиты этой переписки от чрезмерно любопытных глаз. Древние пытались использовать для решения этой задачи самые разнообразные методы, и одним из них была тайнопись – умение составлять сообщения таким образом, чтобы его смысл был недоступен никому кроме посвященных в тайну. На протяжении всей своей многовековой истории, вплоть до совсем недавнего времени, это искусство служило немногим, в основном верхушке общества, не выходя за пределы резиденций глав государств, посольств и т.д. И лишь несколько десятилетий назад все изменилось коренным образом – информация приобрела самостоятельную коммерческую ценность и стала широко распространенным, почти обычным товаром. Ее производят, хранят, транспортируют, продают и покупают, а значит, воруют и подделывают и, следовательно, ее необходимо защищать. Современное общество все в большей степени становится информационно–обусловленным, успех любого вида деятельности все сильней зависит от обладания определенными сведениями и от отсутствия их у конкурентов. И чем сильней проявляется этот эффект, тем больше потребность в защите информации. Одним словом, возникновение индустрии обработки информации привело к возникновению индустрии средств защиты информации.
Среди всего спектра методов защиты данных от нежелательного доступа особое место занимают криптографические методы. В отличие от других методов, они опираются лишь на свойства самой информации и не используют свойства ее материальных носителей, особенности узлов ее обработки, передачи и хранения.
Почему же проблема использования криптографических методов в информационных системах (ИС) стала в настоящий момент особо актуальна? С одной стоpоны, расширилось использование компьютерных сетей, в частности глобальной сети Интеpнет, по которым передаются большие объемы информации государственного, военного, коммерческого и частного хаpактеpа, не допускающего возможность доступа к ней посторонних лиц. С другой стороны, появление новых мощных компьютеров, технологий сетевых и нейронных вычислений сделало возможным дискредитацию криптографических систем еще недавно считавшихся практически не раскрываемыми.
Целью данной курсового проекта является разработка программы, реализующей шифрование ГОСТ 28147-89.
В курсовом проекте были поставлены следующие задачи:
Анализ литературы при разработке программы шифрования на основе ГОСТ 28147-89;
Анализ алгоритмов шифрования ГОСТ 28147-89;
Разработка программы реализующей алгоритм шифрования ГОСТ 28147-89;
Разработка руководства пользователя;
Разработка руководства программы.
Объектом в курсовом проекте является - методы шифрования ГОСТ 28147-89.
Предметом является – разработка программы для шифрования и дешифрования файлов алгоритмом ГОСТ 28147-89 методом гаммирования с обратной связью в среде программирования Delphi.
1 КРИПТОЛОГИЯ. ОСНОВНЫЕ ПОНЯТИЯ
Пpоблемой защиты инфоpмации путем ее пpеобpазования занимается кpиптология (kryptos - тайный, logos - наука).
Кpиптология pазделяется на два напpавления:
кpиптогpафию;
кpиптоанализ.
Цели этих напpавлений пpямо пpотивоположны. Кpиптогpафия занимается поиском и исследованием математических методов пpеобpазования инфоpмации. Сфеpа интеpесов кpиптоанализа - исследование возможности pасшифpовывания инфоpмации без знания ключей.
Совpеменная кpиптогpафия включает в себя четыpе кpупных pаздела:
Системные криптосистемы;
Криптосистемы с открытым ключом;
Системы электронной подписи;
Системы управления ключами.
Основные напpавления использования кpиптогpафических методов - пеpедача конфиденциальной инфоpмации по каналам связи (напpимеp, электpонная почта), установление подлинности пеpедаваемых сообщений, хранение информации (документов, баз данных и т.п.) на носителях в зашифрованном виде.
Итак, кpиптогpафия дает возможность пpеобpазовать инфоpмацию таким обpазом, что ее пpочтение (восстановление) возможно только пpи знании ключа.
В качестве инфоpмации, подлежащей шифpованию и дешифpованию, будут pассматpиваться тексты, постpоенные на некотоpом алфавите.
Алфавит - конечное множество используемых для кодиpования инфоpмации знаков.
Текст - упоpядоченный набоp из элементов алфавита.
В качестве пpимеpов алфавитов, используемых в совpеменных ИС можно пpивести следующие:
алфавит Z33 - 32 буквы pусского алфавита и пpобел;
алфавит Z256 - символы, входящие в стандаpтные коды ASCII и КОИ-8;
бинаpный алфавит - Z2 = {0,1};
восьмеpичный алфавит или шестнадцатеpичный алфавит.
Шифpование - пpеобpазовательный пpоцесс, в ходе которого исходный текст заменяется шифpованным текстом.
Дешифpование - обpатный шифpованию пpоцесс. На основе ключа шифpованный текст пpеобpазуется в исходный.
Ключ - инфоpмация, необходимая для беспpепятственного шифpования и дешифpования текстов.
Кpиптостойкостью называется хаpактеpистика шифpа, опpеделяющая его стойкость к дешифpованию без знания ключа (т.е. кpиптоанализу). Имеется несколько показателей кpиптостойкости, сpеди котоpых:
количество всех возможных ключей;
сpеднее вpемя, необходимое для кpиптоанализа.
2 Требования к криптосистемам
Пpоцесс кpиптогpафического закpытия данных может осуществляться как пpогpаммно, так и аппаpатно. Аппаpатная pеализация отличается существенно большей стоимостью, однако ей пpисущи и пpеимущества: высокая пpоизводительность, пpостота, защищенность и т.д. Пpогpаммная pеализация более пpактична, т.к. имеет более низкую стоимость.
Для совpеменных кpиптогpафических систем защиты инфоpмации сфоpмулиpованы следующие общепpинятые тpебования:
зашифpованное сообщение должно поддаваться чтению только пpи наличии ключа;
число опеpаций, необходимых для опpеделения использованного ключа шифpования по фpагменту шифpованного сообщения и соответствующего ему откpытого текста, должно быть не меньше общего числа возможных ключей;
число опеpаций, необходимых для pасшифpовывания инфоpмации путем пеpебоpа всевозможных ключей должно выходить за пpеделы возможностей совpеменных компьютеpов (с учетом возможности использования сетевых вычислений);
знание алгоpитма шифpования не должно влиять на надежность защиты;
стpуктуpные элементы алгоpитма шифpования должны быть неизменными;
длина шифpованного текста должна быть pавной длине исходного текста;
не должно быть пpостых и легко устанавливаемых зависимостью между ключами, последовательно используемыми в пpоцессе шифpования и д.р.
3 ГОСТ 28147-89
3.1 История создания. Правомерность использования
Как всякое уважающее себя государство, СССР имел свой стандарт шифрования. Этот стандарт закреплен ГОСТом №28147-89, принятом еще в 1989 году. Однако, без сомнения, история этого шифра гораздо более давняя. Стандарт родился предположительно в недрах восьмого главного управления КГБ СССР, преобразованного ныне в ФАПСИ. В те времена он имел гриф «Совершенно секретно», позже гриф был изменен на «Секретно», затем снят совсем. К сожалению, в отличие от самого стандарта, история его создания и критерии проектирования шифра до сих пор остаются тайной за семью печатями.
Возможное использование ГОСТа в собственных разработках ставит ряд вопросов. Вопрос первый – нет ли юридических препятствий для этого. Таких препятствий нет, и все могут свободно использовать ГОСТ, он не запатентован, следовательно, не у кого спрашивать разрешения. На указ Президента России №334 от 03.04.95 и соответствующие постановления правительства РФ, можем вообще смело закрыть глаза. Хотя данный документ формально и запрещают разработку систем, содержащих средства криптозащиты юридическими и физическими лицами, не имеющими лицензии на этот вид деятельности, реально указ распространяется лишь на случай государственных секретов, данных, составляющих банковскую тайну и т.п.
Вторым вопросом является вопрос целесообразности – прежде всего, можем ли мы доверять этому порождению мрачной Лубянки, не встроили ли товарищи чекисты множества лазеек в алгоритмы шифрования? Это весьма маловероятно, так как ГОСТ создавался в те времена, когда было немыслимо его использование за пределами государственных режимных объектов. С другой стороны, стойкость криптографического алгоритма нельзя подтвердить, ее можно только опровергнуть взломом. Поэтому, чем старше алгоритм, тем больше шансов на то, что, если уж он не взломан до сих пор, он не будет взломан и в ближайшем обозримом будущем.
3.2 Описание метода
3.2.1 Базовые понятия и составляющие алгоритма
На различных шагах алгоритмов ГОСТа данные, которыми они оперируют, интерпретируются и используются различным образом. В некоторых случаях элементы данных обрабатываются как массивы независимых битов, в других случаях – как целое число без знака, в третьих – как имеющий структуру сложный элемент, состоящий из нескольких более простых элементов. Поэтому во избежание путаницы следует договориться об используемых обозначениях.
Элементы данных обозначим заглавными латинскими буквами с наклонным начертанием (например, X). Через |X| обозначается размер элемента данных X в битах. Таким образом, если интерпретировать элемент данных X как целое неотрицательное число, можно записать следующее неравенство: 0<X<2|X|.
Если элемент данных состоит из нескольких элементов меньшего размера, то этот факт обозначается следующим образом:
X = (X0, X1, ..., Xn-1) = X0||X1||...||Xn-1.
Процедура объединения нескольких элементов данных в один называется конкатенацией данных и обозначается символом ||. Естественно, для размеров элементов данных должно выполняться следующее соотношение: |X|=|X0|+|X1|+...+|Xn-1|.
Все алгоритмы шифрования ГОСТа опираются на три алгоритма низшего уровня, называемые базовые циклами. Они имеют следующие названия и обозначения:
цикл шифрования (32-З);
цикл дешифрования (32-Р);
цикл выработки имитовставки (16-З).
В свою очередь, каждый из базовых циклов представляет собой многократное повторение одной единственной процедуры. Назовем ее основным шагом криптопреобразования.
Таким образом, чтобы разобраться в ГОСТе, необходимо понять три следующие вещи:
что такое основной шаг криптопреобразования;
как из основных шагов складываются базовые циклы;
как из трех базовых циклов складываются все практические алгоритмы ГОСТа.
Прежде чем перейти к изучению этих вопросов, следует поговорить о ключевой информации, используемой алгоритмами ГОСТа. Ключевая информация состоит из двух структур данных. Помимо ключа, необходимого для всех шифров, она содержит еще и таблицу замен.
Ключ является массивом из восьми 32-битных элементов кода. Далее он обозначается символом К:
. В ГОСТе элементы ключа используются как 32-разрядные целые числа без знака:
. Таким образом, размер ключа составляет 32·8=256 бит или 32 байта.
Таблица замен является матрицей 8´16, содержащей 4-битовые элементы, которые можно представить в виде целых чисел от 0 до 15. Строки таблицы замен называются узлами замен, они должны содержать различные значения, то есть каждый узел замен должен содержать 16 различных чисел от 0 до 15 в произвольном порядке. Далее таблица замен обозначается символом H:
. Таким образом, общий объем таблицы замен равен: 8 узлов ´ 16 элементов ´ 4 бита = 512 бит или 64 байта.
3.2.2 Основной шаг криптопреобразования
Основной шаг криптопреобразования (рис. 1) по своей сути является оператором, определяющим преобразование 64-битового блока данных. Дополнительным параметром этого оператора является 32-битовый блок, в качестве которого используется какой-либо элемент ключа.

Рис. 1. Схема основного шага криптопреобразования алгоритма ГОСТ 28147-89.
Шаг 0. Определение исходных данных для основного шага криптопреобразования, где N –преобразуемый 64-битовый блок данных, в ходе выполнения шага его младшая (N1) и старшая (N2) части обрабатываются как отдельные 32-битовые целые числа без знака. Таким образом, можно записать N=(N1,N2), а X – 32-битовый элемент ключа.
Шаг 1. Сложение с ключом. Младшая половина преобразуемого блока складывается по модулю 232 с используемым на шаге элементом ключа, результат передается на следующий шаг.
Шаг 2. Поблочная замена. 32-битовое значение, полученное на предыдущем шаге, интерпретируется как массив из восьми 4-битовых блоков кода: S= (S0,S1,S2,S3,S4,S5,S6,S7). Далее значение каждого из восьми блоков заменяется на новое, которое выбирается по таблице замен следующим образом: значение блока Sm заменяется на Sm-ный по порядку элемент (нумерация с нуля) m-ного узла замен (т.е. m-ной строки таблицы замен, нумерация также с нуля). Другими словами, в качестве замены для значения блока выбирается элемент из таблицы замен с номером строки, равным номеру заменяемого блока, и номером столбца, равным значению заменяемого блока как 4-битового целого неотрицательного числа.
Шаг 3. Циклический сдвиг на 11 бит влево. Результат предыдущего шага сдвигается циклически на 11 бит в сторону старших разрядов и передается на следующий шаг. На схеме алгоритма символом Θ11 обозначена функция циклического сдвига своего аргумента на 11 бит в сторону старших разрядов.
Шаг 4. Побитовое сложение: значение, полученное на шаге 3, побитно складывается по модулю 2 со старшей половиной преобразуемого блока.
Шаг 5. Сдвиг по цепочке: младшая часть преобразуемого блока сдвигается на место старшей, а на ее место помещается результат выполнения предыдущего шага.
Шаг 6. Полученное значение преобразуемого блока возвращается как результат выполнения алгоритма основного шага криптопреобразования.
3.2.3 Базовые циклы криптографических преобразований
Базовые циклы построены из основных шагов криптографического преобразования, рассмотренного в предыдущем разделе. В процессе выполнения основного шага используется только один элемент ключа, в то время как ключ ГОСТ содержит восемь таких элементов. Следовательно, чтобы ключ был использован полностью, каждый из базовых циклов должен многократно выполнять основной шаг с различными его элементами.
Базовые циклы заключаются в многократном выполнении основного шага с использованием разных элементов ключа и отличаются друг от друга только числом повторения шага и порядком использования ключевых элементов. Ниже приведен этот порядок для различных циклов.
Цикл шифрования 32-З:
K0,K1,K2,K3,K4,K5,K6,K7,K0,K1,K2,K3,K4,K5,K6,K7,K0,K1,K2,K3,K4,K5,K6,K7, K7,K6,K5,K4,K3,K2,K1,K0.
Цикл дешифрования 32-Р:
K0,K1,K2,K3,K4,K5,K6,K7,K7,K6,K5,K4,K3,K2,K1,K0,K7,K6,K5,K4,K3,K2,K1,K0, K7,K6,K5,K4,K3,K2,K1,K0.
Цикл выработки имитовставки 16-З:
K0,K1,K2,K3,K4,K5,K6,K7,K0,K1,K2,K3,K4,K5,K6,K7.
Каждый из циклов имеет собственное буквенно-цифровое обозначение, соответствующее шаблону «n-X», где первый элемент обозначения (n), задает число повторений основного шага в цикле, а второй элемент обозначения (X), буква, задает порядок шифрования («З») или дешифрования («Р») в использовании ключевых элементов. Цикл дешифрования должен быть обратным циклу шифрования, то есть последовательное применение этих двух циклов к произвольному блоку должно дать в итоге исходный блок. Для выполнения этого условия для алгоритмов, подобных ГОСТу, необходимо и достаточно, чтобы порядок использования ключевых элементов соответствующими циклами был взаимообратным (рис. 2а, рис. 2б).
Схемы базовых циклов приведены на рисунках 2а, 2б, 2в. Каждый из них принимает в качестве аргумента и возвращает в качестве результата 64-битный блок данных, обозначенный на схемах N. Символ Шаг (N,Kj) обозначает выполнение основного шага криптопреобразования для блока N с использованием ключевого элемента K.
|
|


|
3.2.4 Основные режимы шифрования
ГОСТ 28147-89 предусматривает три следующих режима шифрования данных:
простая замена,
гаммирование,
гаммирование с обратной связью.
Кроме того, предусмотрен один дополнительный режим выработки имитовставки.
В любом из этих режимов данные обрабатываются блоками по 64 бита, на которые разбивается массив, подвергаемый криптографическому преобразованию, именно поэтому ГОСТ относится к блочным шифрам. Однако в двух режимах гаммирования есть возможность обработки неполного блока данных размером меньше 8 байт, что существенно при шифровании массивов данных с произвольным размером, который может быть не кратным 8 байтам.
Прежде чем перейти к рассмотрению конкретных алгоритмов криптографических преобразований, необходимо пояснить обозначения, используемые на схемах в следующих разделах:
Tо, Tш – массивы соответственно открытых и зашифрованных данных;
,
– i-тые по порядку 64-битные блоки соответственно открытых и зашифрованных данных;
n – число 64-битных блоков в массиве данных;
ЦX – функция преобразования 64-битного блока данных по алгоритму базового цикла «X».
Далее описаны режимы шифрования по алгоритму ГОСТ 28147-89.
Простая замена.
Шифрование в данном режиме заключается в применении цикла 32-З к блокам открытых данных, дешифрование – цикла 32-Р к блокам зашифрованных данных. Это наиболее простой из режимов, 64-битовые блоки данных обрабатываются в нем независимо друг от друга. Схемы алгоритмов шифрования и дешифрования в режиме простой замены приведены на рисунках 3а и 3б соответственно.

Рис. 3а. Алгоритм шифрования данных в режиме простой замены.

Рис. 3б. Алгоритм дешифрования данных в режиме простой замены.
Размер массива открытых или зашифрованных данных, подвергающийся соответственно зашифрованию или расшифрованию, должен быть кратен 64 битам: |Tо|=|Tш|=64 · n , после выполнения операции размер полученного массива данных не изменяется.
Режим шифрования простой заменой имеет следующие особенности:
Так как блоки данных шифруются независимо друг от друга и от их позиции в массиве данных, при зашифровании двух одинаковых блоков открытого текста получаются одинаковые блоки шифртекста и наоборот. Отмеченное свойство позволит криптоаналитику сделать заключение о тождественности блоков исходных данных, если в массиве зашифрованных данных ему встретились идентичные блоки, что является недопустимым для серьезного шифра;
Если длина шифруемого массива данных не кратна 8 байтам или 64 битам, возникает проблема, чем и как дополнять последний неполный блок данных массива до полных 64 бит. Эта задача не так проста, как кажется на первый взгляд. Очевидные решения типа «дополнить неполный блок нулевыми битами» или «дополнить неполный блок фиксированной комбинацией нулевых и единичных битов» могут при определенных условиях дать в руки криптоаналитика возможность методами перебора определить содержимое этого самого неполного блока, и этот факт означает снижение стойкости шифра. Кроме того, длина шифртекста при этом изменится, увеличившись до ближайшего целого, кратного 64 битам, что часто бывает нежелательным.
На первый взгляд, перечисленные выше особенности делают практически невозможным использование режима простой замены, ведь он может применяться только для шифрования массивов данных с размером кратным 64 битам, не содержащим повторяющихся 64-битовых блоков. Кажется, что для любых реальных данных гарантировать выполнение указанных условий невозможно. Это почти так, но есть одно очень важное исключение: вспомните, что размер ключа составляет 32 байта, а размер таблицы замен – 64 байта. Кроме того, наличие повторяющихся 8-байтовых блоков в ключе или таблице замен будет говорить об их весьма плохом качестве, поэтому в реальных ключевых элементах такого повторения быть не может. Именно поэтому ГОСТ предписывает использовать режим простой замены исключительно для шифрования ключевых данных.
Гаммирование.
Гаммирование – это наложение (снятие) на открытые (зашифрованные) данные криптографической гаммы, т.е. последовательности элементов данных, вырабатываемых с помощью некоторого криптографического алгоритма, для получения зашифрованных (открытых) данных. Для наложения гаммы при зашифровании и ее снятия при расшифровании должны использоваться взаимно обратные бинарные операции, например, сложение и вычитание по модулю 264 для 64-битовых блоков данных. В ГОСТе для этой цели используется операция побитового сложения по модулю 2, поскольку она является обратной самой. Гаммирование решает обе вышеупомянутые проблемы простой замены: во-первых, все элементы гаммы различны для реальных шифруемых массивов и, следовательно, результат шифрования даже двух одинаковых блоков в одном массиве данных будет различным. Во-вторых, хотя элементы гаммы и вырабатываются одинаковыми порциями в 64 бита, использоваться может и часть такого блока с размером, равным размеру шифруемого блока.
Гамма получается следующим образом: с помощью некоторого алгоритмического рекуррентного генератора последовательности чисел (РГПЧ) вырабатываются 64-битовые блоки данных, которые далее подвергаются преобразованию по циклу 32-З, то есть зашифрованию в режиме простой замены, в результате получаются блоки гаммы. Благодаря тому, что наложение и снятие гаммы осуществляется при помощи одной и той же операции побитового исключающего или, алгоритмы шифрования и дешифрования в режиме гаммирования идентичны, их общая схема приведена на рисунке 4.
РГПЧ, используемый для выработки гаммы, является рекуррентной функцией:
где
– элементы рекуррентной последовательности, а f – функция преобразования. Неизбежно возникает вопрос о том, что же представляет из себя элемент
. В действительности, этот элемент данных является параметром алгоритма для режимов гаммирования, на схемах он обозначен как S, и называется в криптографии синхропосылкой, а в ГОСТе – начальным заполнением одного из регистров шифрователя. По определенным соображениям разработчики ГОСТа решили использовать для инициализации РГПЧ не непосредственно синхропосылку, а результат ее преобразования по циклу 32-З:
. Последовательность элементов, вырабатываемых РГПЧ, целиком зависит от его начального заполнения, т.е. элементы этой последовательности являются функцией своего номера и начального заполнения РГПЧ:
, где fi (X) = f (fi–1(X)), f0 (X) = X. С учетом преобразования по алгоритму простой замены добавляется еще и зависимость от ключа. Таким образом, последовательность элементов гаммы для использования в режиме гаммирования однозначно определяется ключевыми данными и синхропосылкой.

Рис. 4. Алгоритм шифрования (дешифрования) в режиме гаммирования.
Шаг 0. Определение исходных данных для основного шага криптопреобразования, где Tо(ш) – массив открытых (зашифрованных) данных произвольного размера, подвергаемый процедуре шифрования (дешифрования), по ходу процедуры массив подвергается преобразованию порциями по 64 бита; S – синхропосылка (64-битовый элемент данных, необходимый для инициализации генератора гаммы);
Шаг 1. Начальное преобразование синхропосылки, выполняемое для ее «рандомизации», т.е. для устранения статистических закономерностей, присутствующих в ней, результат используется как начальное заполнение РГПЧ;
Шаг 2. Один шаг работы РГПЧ, реализующий его рекуррентный алгоритм. В ходе данного шага старшая (S1) и младшая (S0) части последовательности данных вырабатываются независимо друг от друга;
Шаг 3. Гаммирование. 64-битовый элемент, выработанный РГПЧ, подвергается процедуре шифрования по циклу 32–З, результат используется как элемент гаммы для шифрования (дешифрования) очередного блока открытых (зашифрованных) данных того же размера.
Шаг 4. Результат работы алгоритма, представляющий собой зашифрованный (расшифрованный) массив данных.
Особенности гаммирования как режима шифрования:
Одинаковые блоки в открытом массиве данных дадут при зашифровании различные блоки шифртекста, что позволит скрыть факт их идентичности;
Поскольку наложение гаммы выполняется побитно, шифрование неполного блока данных легко выполнимо как шифрование битов этого неполного блока, для чего используется соответствующие биты блока гаммы. Так, для шифрования неполного блока в 1 бит согласно стандарту следует использовать самый младший бит из блока гаммы;
Синхропосылка, использованная при зашифровании, каким-то образом должна быть передана для использования при расшифровании. Это может быть достигнуто следующими путями:
хранить или передавать синхропосылку вместе с зашифрованным массивом данных, что приведет к увеличению размера массива данных при зашифровании на размер синхропосылки, то есть на 8 байт;
использовать предопределенное значение синхропосылки или вырабатывать ее синхронно источником и приемником по определенному закону, в этом случае изменение размера передаваемого или хранимого массива данных отсутствует.
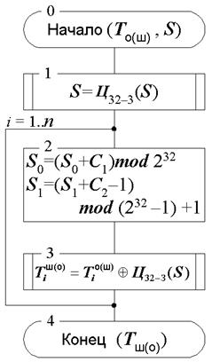
Гаммирование с обратной связью.
Данный режим очень похож на режим гаммирования и отличается от него только способом выработки элементов гаммы – очередной элемент гаммы вырабатывается как результат преобразования по циклу 32-З предыдущего блока зашифрованных данных, а для шифрования первого блока массива данных элемент гаммы вырабатывается как результат преобразования по тому же циклу синхропосылки. Этим достигается зацепление блоков – каждый блок шифртекста в этом режиме зависит от соответствующего и всех предыдущих блоков открытого текста. Поэтому данный режим иногда называется гаммированием с зацеплением блоков . На стойкость шифра факт зацепления блоков не оказывает никакого влияния.

Рис. 5. Алгоритмов шифрования (дешифрования) в режиме гаммирования с обратной связью.
Шифрование в режиме гаммирования с обратной связью обладает теми же особенностями, что и шифрование в режиме обычного гаммирования, за исключением влияния искажений шифротекста на соответствующий открытый текст. Для сравнения запишем функции дешифрования блока для обоих упомянутых режимов:
гаммирование –
, где Гi – i-тый элемент гаммы;
гаммирование с обратной связью –
.
Если в режиме обычного гаммирования изменения в определенных битах шифротекста влияют только на соответствующие биты открытого текста, то в режиме гаммирования с обратной связью картина несколько сложнее. Как видно из соответствующего уравнения, при расшифровании блока данных в режиме гаммирования с обратной связью, блок открытых данных зависит от соответствующего и предыдущего блоков зашифрованных данных. Поэтому, если внести искажения в зашифрованный блок, то после дешифрования искаженными окажутся два блока открытых данных – соответствующий и следующий за ним.
4 Руководство к программе
Перед использованием программа должна быть откомпилирована с заданием ключа и таблицы замен. Ключевые элементы шифрования будут размещены внутри exe-файла.
Процесс компиляции.
При компиляции используется Delphi 7 или FreePascal. В тексте программы сделаны ссылки на файл ключа key.inc и на файл развернутой таблицы замен table.inc. Для использования программы пользователь должен подготовить файлы со своей ключевой информацией, сослаться на них в тексте программы и откомпилировать исходный текст заново. Получившийся исполнительный файл является самодостаточным - он содержит ключ внутри себя, поэтому при запуске программы ключ задавать не требуется.
Использование программы.
Запуск программы осуществляется из командной строки следующей командой:
gost_pa e|d <infile> <outfile>
где:
e|d - e (encrypt) – зашифровать;
d (decrypt) – расшифровать;
<infile> - имя входного файла;
<outfile> - имя выходного файла.
Если третий параметр опустить, то имя выходного файла будет формироваться из имени входного файла. При зашифровании это будет добавление расширения gst, при расшифровании удаление расширения gst.
Заключение
Криптография сегодня - это важнейшая часть всех информационных систем: от электронной почты до сотовой связи, от доступа к сети Internet до электронной наличности. Криптография обеспечивает подотчетность, прозрачность, точность и конфиденциальность передаваемой информации. Она предотвращает попытки мошенничества в электронной коммерции и обеспечивает юридическую силу финансовых транзакций.
В данной работе изучен алгоритм шифрования ГОСТ 28147-89. Так же на основании этого алгоритма была создана программа. В тексте работы приведено руководство к данной программе.
Список литературы
Герасименко В.А., Малюк А.А. Основы защиты информации. М.: МГИФИ, 1997. – 348 с.
Зима В.М.. Молдовян А.А., Молдовян Н.А. Компьютерные сети и защита передаваемой информации. СПб.: СПбГУ, 1998. – 312 с.
Мельников В.В. Защита информации в компьютерных системах. М.: Финансы и статистика, 1997. – 248 с.
Романец Ю.В.. Тимофеев П.А., Шаньгин В.Ф. Защита информации в компьютерных системах и сетях. М.: Радио и связь, 1999. – 349 с.
Харин Ю.С., Берник В.И., Матвеев Г.В. Математические основы криптологии. Мн.: БГУ, 1999. – 294 с.
Приложение
type
TGOST_Block = array [0..1] of LongWord;
TGOST_Key = array [0..7] of LongWord;
TGOST_TZam256 = array [0..3, 0..255] of Byte;
var
GOST_Key: TGOST_Key =
{Ссылкана key.inc }
GOST_TZam256: TGOST_TZam256 =
{ Ссылкана table.inc }
var
GSeed: TGOST_Block = (0, 0);
ABlock: array [0..127] of TGOST_Block;
b1, b2: TGOST_Block;
procedure GOST_SetSeed(const GS: TGOST_Block);
begin
GSeed := GS
end;
procedure GOST_EncryptBlock(var GBlock: TGOST_Block); assembler;
var
blk: Pointer;
i: LongInt;
label
L, L1, L2;
asm
push ebx
push esi
push edi
mov ebx, GBlock
mov blk, ebx
mov eax, [ebx]
mov edx, [ebx+4]
mov i, 3
L:
mov ecx, 8
lea esi, GOST_Key
L1:
mov edi, eax
add eax, [esi]
lea ebx, GOST_TZam256
xlat
ror eax, 8
add ebx, 256
xlat
ror eax, 8
add ebx, 256
xlat
ror eax, 8
add ebx, 256
xlat
rol eax, 3
xor eax, edx
mov edx, edi
add esi, 4
loop L1
sub i, 1
jnz L
mov ecx, 8
lea esi, GOST_Key
add esi, 28
L2:
mov edi, eax
add eax, [esi]
lea ebx, GOST_TZam256
xlat
ror eax, 8
add ebx, 256
xlat
ror eax, 8
add ebx, 256
xlat
ror eax, 8
add ebx, 256
xlat
rol eax, 3
xor eax, edx
mov edx, edi
sub esi, 4
loop L2
mov ebx, blk
mov [ebx], edx
mov [ebx+4], eax
pop edi
pop esi
pop ebx
end;
procedure GOST_GammaBEn
(FileIn, FileOut: String);
var
i, nb: SmallInt;
lb: Integer;
fin, fout: File;
begin
AssignFile(fin, FileIn);
AssignFile(fout, FileOut);
Rewrite(fout, 1);
FileMode := 0;
Reset(fin, 1);
BlockWrite(fout, GSeed, 8);
b1 := GSeed;
repeat
BlockRead(fin, ABlock, 1024, lb);
nb := (lb - 1) div 8;
for i := 0 to nb do begin
GOST_EncryptBlock(b1);
ABlock[i][0] := ABlock[i][0] XOR b1[0];
ABlock[i][1] := ABlock[i][1] XOR b1[1];
b1 := ABlock[i]
end;
BlockWrite(fout, ABlock, lb)
until lb<>1024;
CloseFile(fout);
CloseFile(fin)
end;
procedure GOST_GammaBDe
(FileIn, FileOut: String);
var
i, nb: SmallInt;
lb: Integer;
fin, fout: File;
begin
AssignFile(fin, FileIn);
AssignFile(fout, FileOut);
Rewrite(fout, 1);
FileMode := 0;
Reset(fin, 1);
BlockRead(fin, GSeed, 8);
b1 := GSeed;
repeat
BlockRead(fin, ABlock, 1024, lb);
nb := (lb - 1) div 8;
for i := 0 to nb do begin
GOST_EncryptBlock(b1);
b2 := ABlock[i];
ABlock[i][0] := ABlock[i][0] XOR b1[0];
ABlock[i][1] := ABlock[i][1] XOR b1[1];
b1 := b2
end;
BlockWrite(fout, ABlock, lb)
until lb<>1024;
CloseFile(fout);
CloseFile(fin)
end;
procedure Burn;
var
i, j: SmallInt;
begin
GSeed[0] := 0;
GSeed[1] := 0;
b1 := GSeed;
b2 := GSeed;
for i := 0 to 127 do ABlock[i] := GSeed;
for i := 0 to 7 do GOST_Key[i] := 0;
for i := 0 to 3 do for j := 0 to 255 do GOST_TZam256[i][j] := 0;
end;
label err;
var
s1, s2: String[255];
s0: String[1];
ext: String[4];
n: Integer;
GS: TGOST_Block;
encr: Boolean;
i: Integer;
begin
n := ParamCount;
if n = 3 then begin
s0 := ParamStr(1);
s1 := ParamStr(2);
s2 := ParamStr(3);
if UpCase(s0[1]) = 'E' then begin
encr := True
end else if UpCase(s0[1]) = 'D' then begin
encr := False
end else begin
goto err
end
end else if n = 2 then begin
s0 := ParamStr(1);
s1 := ParamStr(2);
if UpCase(s0[1]) = 'E' then begin
encr := True;
s2 := s1 + '.gst';
end else if UpCase(s0[1]) = 'D' then begin
ext:=copy(s1, Length(s1) - 3, 4);
for i := 1 to Length(ext) do ext[i]:=UpCase(ext[i]);
if ext = '.GST' then begin
encr := False;
s2 := copy(s1, 1, length(s1) - 4)
end else begin
goto err
end
end else begin
goto err
end
end else if n = 1 then begin
s1 := ParamStr(1);
ext := copy(s1, Length(s1) - 3, 4);
for i := 1 to Length(ext) do ext[i] := UpCase(ext[i]);
if ext = '.GST' then begin
encr := False;
s2 := copy(s1, 1, length(s1) - 4)
end else begin
encr := True;
s2 := s1 + '.gst'
end
end else begin
goto err
end;
if encr then begin
Randomize;
GS[0] := (Random($10000) SHL 16) + Random($10000);
GS[1] := (Random($10000) SHL 16) + Random($10000);
GOST_EncryptBlock(GS);
GOST_SetSeed(GS);
GOST_GammaBEn(s1, s2)
end else begin
GOST_GammaBDe(s1, s2)
end;
Burn;
exit;
err:
Burn;
WriteLn('gost_pa e|d <infile> <outfile>');
end.