| Похожие рефераты | Скачать .docx |
Курсовая работа: Функциональное назначение программы Project Expert
СОДЕРЖАНИЕ
ВВЕДЕНИЕ
1. Общая характеристика методов оценки эффективности инвестиций
2. Программа Project Expert
2.1 Назначение и основные задачи, которые решает Project Expert
2.2 Инструментальные средства для работы пользователя.Основные программные модули и диалоги
2.3Возможности Project Expert для анализа инвестиционных проектов
3. Оценка эффективности инвестиций с использованием ProjectExpert
ЗАКЛЮЧЕНИЕ
СПИСОК ЛИТЕРАТУРЫ
ПРИЛОЖЕНИЕ
ВВЕДЕНИЕ
В современном мире многообразных и сложных экономических процессов и взаимоотношений между гражданами, предприятиями, финансовыми институтами, государствами на внутреннем и внешнем рынках острой проблемой является эффективное вложение капитала с целью его приумножения, или инвестирование. Экономическая природа инвестиций обусловлена закономерностями процесса расширенного воспроизводства и заключается в использовании части дополнительного общественного продукта для увеличения количества и качества всех элементов системы производительных сил общества.
Процесс инвестирования принято реализовывать с помощью разработки и последующего выполнения инвестиционного проекта. Важную роль при этом играет его правильная оценка, что определяет актуальность данной работы.
В последние годы XX в. появилось множество программных продуктов и средств, расширяющих возможности оценки эффективности инвестиционных проектов. Все они базируются на разработанных ЮНИДО методических подходах, которые постоянно совершенствуются при содействии множества стран, включая Россию. Отдать предпочтение какой-либо одной программе весьма сложно, поскольку каждая из них предназначена для определенных целей и условий реализации.
В данной курсовой работе мы будем рассматривать программу "ProjectExpert" фирмы Pro-investConsulting, которая разработана для планирования, расчета и сравнительного анализа инвестиционных проектов в целях выбора оптимальной формы финансирования.
Функциональные возможности включают следующее:
- использование современной методики расчета, основанной на имитации потока реальных денег;
- минимизацию ограничений на горизонт и шаг расчета;
- минимизацию ограничений на количество продуктов;
- широту набора финансовых экономических показателей, используемых для оценки проекта;
- разнообразие сценариев реализации проекта;
- возможность и способы учета инфляции, расчетов в неизменных и текущих ценах;
- возможность и способы учета неопределенности и рисков, возможность сохранения в памяти ЭВМ приемлемых вариантов расчета для последующего сравнения и окончательного отбора и др.
1. ОБЩАЯ ХАРАКТЕРИСТИКА МЕТОДОВ ОЦЕНКИ ЭФФЕКТИВНОСТИ ИНВЕСТИЦИЙ
Международная практика оценки эффективности инвестиций существенно базируется на концепции временной стоимости денег и основана на следующих принципах:
Оценка эффективности использования инвестируемого капитала производится путем сопоставления денежного потока (cash flow), который формируется в процессе реализации инвестиционного проекта и исходной инвестиции. Проект признается эффективным, если обеспечивается возврат исходной суммы инвестиций и требуемая доходность для инвесторов, предоставивших капитал.
Инвестируемый капитал равно как и денежный поток приводится к настоящему времени или к определенному расчетному году (который как правило предшествует началу реализации проекта).
Процесс дисконтирования капитальных вложений и денежных потоков производится по различным ставкам дисконта, которые определяются в зависимости от особенностей инвестиционных проектов. При определении ставки дисконта учитываются структура инвестиций и стоимость отдельных составляющих капитала.
Суть всех методов оценки базируется на следующей простой схеме: Исходные инвестиции при реализации какого-либо проекта генерируют денежный поток CF1, CF2, ... , CFn. Инвестиции признаются эффективными, если этот поток достаточен для :
· возврата исходной суммы капитальных вложений и
· обеспечения требуемой отдачи на вложенный капитал.
Наиболее распространены следующие показатели эффективности капитальных вложений:
1) дисконтированный срок окупаемости (DPB).
2) чистое современное значение инвестиционного проекта (NPV),
3) внутренняя норма прибыльности (доходности, рентабельности) (IRR),
Данные показатели равно как и соответствующие им методы, используются в двух вариантах:
— для определения эффективности независимых инвестиционных проектов (так называемая абсолютная эффективность), когда делается вывод о том принять проект или отклонить,
— для определения эффективности взаимоисключающих друг друга проектов (сравнительная эффективность), когда делается вывод о том, какой проект принять из нескольких альтернативных.
1) Метод дисконтированного периода окупаемости
DPB = -К + ∑ (Rt - Ct )/ Es (1)
где К – первоначальные инвестиции;
Rt – приток денег в t году;
Ct – отток денег в t году;
Es – норма дисконта.
Существенным недостатком метода дисконтированного периода окупаемости является то, что он учитывает только начальные денежные потоки, именно те потоки, которые укладываются в период окупаемости. Все последующие денежные потоки не принимаются во внимание в расчетной схеме.
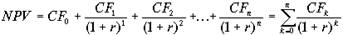
2) Метод чистого современного значения (NPV — метод)
Этот метод основан на использовании понятия чистого современного значения (Net Present Value)
(2)
где CFi — чистый денежный поток,
r — стоимость капитала, привлеченного для инвестиционного проекта.
Термин "чистое" имеет следующий смысл: каждая сумма денег определяется как алгебраическая сумма входных (положительных) и выходных (отрицательных) потоков. Например, если во второй год реализации инвестиционного проекта объем капитальных вложений составляет $15,000, а денежный доход в тот же год — $12,000, то чистая сумма денежных средств во второй год составляет ($3,000).
В соответствии с сущностью метода современное значение всех входных денежных потоков сравнивается с современным значением выходных потоков, обусловленных капитальными вложениями для реализации проекта. Разница между первым и вторым есть чистое современное значение, величина которого определяет правило принятия решения.
Процедура метода.
Шаг 1. Определяется современное значение каждого денежного потока, входного и выходного.
Шаг 2. Суммируются все дисконтированные значения элементов денежных потоков и определяется критерий NPV.
Шаг 3. Производится принятие решения:
- для отдельного проекта: если NPV больше или равно нулю, то проект принимается;
- для нескольких альтернативных проектов: принимается тот проект, который имеет большее значение NPV, если только оно положительное.
Для полноты представления информации, необходимой для расчета NPV, приведем типичные денежные потоки.
Типичные входные денежные потоки :
1. дополнительный объем продаж и увеличение цены товара;
2. уменьшение валовых издержек (снижение себестоимости товаров);
3. остаточное значение стоимости оборудования в конце последнего года инвестиционного проекта (так как оборудование может быть продано или использовано для другого проекта);
4. высвобождение оборотных средств в конце последнего года инвестиционного проекта (закрытие счетов дебиторов, продажа остатков товарно-материальных запасов, продажа акций и облигаций других предприятий).
Типичные выходные потоки :
1. начальные инвестиции в первый год(ы) инвестиционного проекта;
2. увеличение потребностей в оборотных средствах в первый год(ы) инвестиционного проекта (увеличение счетов дебиторов для привлечения новых клиентов, приобретение сырья и комплектующих для начала производства);
3. ремонт и техническое обслуживание оборудования;
4. дополнительные непроизводственные издержки (социальные, экологические и т. п.).
3) Внутренняя норма прибыльности (IRR)
По определению, внутренняя норма прибыльности (иногда говорят доходности) (IRR) — это такое значение показателя дисконта, при котором современное значение инвестиции равно современному значению потоков денежных средств за счет инвестиций, или значение показателя дисконта, при котором обеспечивается нулевое значение чистого настоящего значения инвестиционных вложений.
Экономический смысл внутренней нормы прибыльности состоит в том, что это такая норма доходности инвестиций, при которой предприятию одинаково эффективно инвестировать свой капитал под IRR процентов в какие-либо финансовые инструменты или произвести реальные инвестиции, которые генерируют денежный поток, каждый элемент которого в свою очередь инвестируется по IRR процентов.
Математическое определение внутренней нормы прибыльности предполагает решение следующего уравнения
(3)
где: CFj — входной денежный поток в j-ый период,
INV — значение инвестиции.
Решая это уравнение, находим значение IRR. Схема принятия решения на основе метода внутренней нормы прибыльности имеет вид:
· если значение IRR выше или равно стоимости капитала, то проект принимается,
· если значение IRR меньше стоимости капитала, то проект отклоняется.
Таким образом, IRR является как бы "барьерным показателем": если стоимость капитала выше значения IRR, то "мощности" проекта недостаточно, чтобы обеспечить необходимый возврат и отдачу денег, и следовательно проект следует отклонить.
2. ПРОГРАММА PROJECTEXPERT
2.1 НАЗНАЧЕНИЕ И ОСНОВНЫЕ ЗАДАЧИ, КОТОРЫЕ РЕШАЕТ PROJECT EXPERT
Планирование развития предприятия требует применения современных методик и инструментов, снижающих временные затраты. Эффективным, адекватным решаемым задачам методом является метод имитационного моделирования, основу которого составляет сценарный подход. Имитационные модели позволяют проигрывать различные варианты развития предприятия, состояния внешнего экономического окружения планируемые инвестиционные проекты. Они дают возможность проверить различные идеи, гипотезы и предположения относительно развития бизнеса, проанализировать последствия их реализации. Деятельность предприятия в модели воспроизводится посредством описания движения денежных потоков (поступлений и выплат, Cash-Flow) как событий, происходящих в различные периоды времени.
Названные подходы положены в основу аналитической системы Project Expert, базирующейся на методике оценки инвестиционных проектов UNIDO и ставшей стандартом де-факто в области бизнес-планирования и инвестиционного проектирования в странах СНГ и Балтии. Последовательно моделируя в системе планируемую деятельность нового или действующего предприятия и изменения в экономической среде, можно вести инвестиционное проектирование и финансовое планирование, создавать бизнес-планы, удовлетворяющие международным требованиям, а также оценивать эффективность реализации проектов. Project Expert позволяет проанализировать альтернативные варианты развития проекта и выбрать оптимальный путь развития предприятия, определить потребность предприятия в денежных средствах, подобрать оптимальную схему финансирования и условия кредитования, оценить запас прочности бизнеса, эффективность вложений для всех участников проекта, выбрать варианты производства, закупок и сбыта, а также вести контроль за реализацией проектов.
Система позволяет моделировать деятельность предприятий различных размеров - от небольшого частного предприятия до холдинговых структур. С ее помощью можно создавать проекты любой сложности - от расчета окупаемости нового оборудования до оценки эффективности диверсификации деятельности предприятия. Project Expert не требует ни глубокого знания математики, ни умения программировать - необходимо только хорошо знать описываемый бизнес.
Работа с системой на разных стадиях разработки, анализа и реализации инвестиционного проекта может быть описана в виде следующих основных шагов:
• построение модели компании и ее экономического окружения в рамках проекта ее развития;
• определение потребности в финансировании проекта во времени;
• разработка стратегии финансирования;
• анализ прогнозируемых финансовых результатов инвестиционного проекта;
• бизнес-планирование и создание бизнес-плана - документа, содержащего текстовую часть, необходимые итоговые таблицы, графики и диаграммы;
• анализ данных о текущем состоянии инвестиционного проекта в процессе его реализации.
Вот далеко не полный перечень задач, которые позволяет решать Project Expert:
– разработка альтернативных сценариев развития предприятия и выбор эффективной стратегии;
– разработка и анализ инвестиционных проектов (оценка их эффективности, чувствительности к воздействию внешних и внутренних факторов, анализ эффективности инвестиций, как для всего проекта, так и для каждого инвестора), в том числе подготовка бизнес-планов, соответствующих международным требованиям;
– определение потребности в денежных средствах на перспективу, разработка схем финансирования предприятия и выбор оптимальных источников и условий привлечения финансовых ресурсов;
– управление в рамках холдинга или компании группой инвестиционных проектов путем своевременного перераспределения ресурсов;
– оценка стоимости бизнеса (расчет будущей стоимости активов на основе потока денежных средств, который способно генерировать предприятие, в том числе в постпрогнозный период);
– управление реализацией проектов за счет отслеживания отклонений фактических показателей от плановых;
– оценка рисков при реализации проекта (анализ устойчивости проекта к воздействию факторов внешней экономической среды, оценка запаса прочности как меры риска, связанной с выбранным сценарием развития);
– анализ безубыточности выпуска каждого из видов продукции, оценка и прогнозирование прибыльности подразделений;
– анализ альтернативных управленческих решений, например, при выборе технологии или оборудования.
Входные и выходные данные системы ProjectExpert показаны на рисунке 1.

Рисунок 1. - Входные и выходные данные системы ProjectExpert
2.2 ИНСТРУМЕНТАЛЬНЫЕ СРЕДСТВА ДЛЯ РАБОТЫ ПОЛЬЗОВАТЕЛЯ. ОСНОВНЫЕ ПРОГРАММНЫЕ МОДУЛИ И ДИАЛОГИ
Пользовательский интерфейс Project Expert наглядно проводит пользователя через все этапы создания финансовой модели и составления бизнес-плана компании. Все это значительно сокращает время ознакомления специалиста с программой, и создает комфортную среду ее повседневной эксплуатации.
Развитая система справочной помощи, имеющаяся в распоряжении пользователя Project Expert, в отличие от ряда других пакетов не только дает необходимую технологическую поддержку ("что и как сделать"), но также обстоятельно разъясняет экономическую сущность расчетов и операций ("для чего и в связи с чем это необходимо").
Обзор основных элементов пользовательского интерфейса пакета Project Expert
В левой верхней части диалогового окна "Календарный план, расположена таблица этапов, отражающая все этапы календарного плана проекта и основные сведения о них. Видимость колонок и строк таблицы улучшается обычной прокруткой или растягиванием окна и столбцов. Полностью раскрытый заголовок таблицы этапов содержит поля: №, Наименование этапа, Длительность, Дата начала. Дата окончания, Ответственный, Стоимость (тыс. руб), Стоимость ($ US). В нижней части диалогового окна расположена специальная информационная панель, где вводятся длительность, даты начала и окончания каждого текущего этапа работы. В правой части окна "Календарный план" размещается диаграмма GANTT (график Ганта), где отображаются временные характеристики этапов календарного плана проекта и связи между ними.
В Project Expert календарный план работ тесно увязан с правилами представления работ в бухгалтерской документации. Это экономит время на подготовку расчета будущих амортизационных отчислений, затрат на обслуживание оборудования и другие статьи, связанные с инвестиционным этапом. При этом пользователь может выбирать: увязывать этапы инвестиционной и дальнейшей операционной деятельности или описывать их независимо. Если какие-то этапы подготовки производства связаны с постройкой зданий, приобретением оборудования, земли, или других основных средств, пользователь может сразу задать метод расчета амортизации этих активов и соответствующие им другие данные. Расчет амортизации производится далее автоматически с поддержкой любых методов расчета амортизации, распространенных в Украине и Европе.
Дублируя другие известные системы управления проектами Project Expert не ограничивает пользователя одним аспектом календарного планирования, и поддерживает обмен данными с системами MS Project и Primavera SureTrack, что позволяет использовать проекты, подготовленные в этих программах при создании бизнес-плана и, наоборот, переносить данные из бизнес-плана в системы, ориентированные на контроль выполнения проектов.
Модуль "Список активов" позволяет (без вхождения в модуль "Календарный план") редактировать список активов, тип актива, способ начисления амортизации, способ списания НДС, продажу актива, дополнительные инвестиции на реконструкцию актива. Для редактирования актива его следует выбрать из списка и нажать кнопку "Редактировать...". Активизация флажка "Ежемесячная переоценка активов" в нижней левой части диалога "Список активов" обеспечивает ежемесячную переоценку актива на основании данных, введенных в модуле.
Диалог с модулем "Текстовое описание" под заголовком "Инвестиционный план", т. е. текстовое описание к инвестиционному плану (диалог аналогичен текстовому описанию в разделе "Проект").
Модуль "Ресурсы" открывает быстрый доступ к редактированию ресурсов. Окно "Редактирование ресурсов"можно открыть двумя способами: через модуль "Календарный план" и прямо через модуль "Ресурсы".
Если в модуле "Календарный план" выделить один из этапов и затем щелкнуть на нем правой кнопкой мыши, то откроется контекстное меню опций (редактировать, вставить этап, вставить производство, удалить этап и др.). Опция "Редактировать" развернет окно "Редактирование этапа проекта", где среди средств изменения любых параметров этапа есть кнопка "Ресурсы", инициализирующая одноименный многофункциональный диалог, откуда кнопкой "Редактировать ресурсы" включают концевой диалог "Редактирование ресурсов".
В связи с очевидной сложностью доступа через модуль "Календарный план", за его пределами тот же диалог редактирования ресурсов напрямую (одним щелчком вместо шести) открывается через самостоятельную пиктограмму "Ресурсы" на панели модулей раздела "Инвестиционный план".
В зависимости от рабочей ситуации можно воспользоваться любым из вариантов.
Раздел "Операционный план" объединяет 6 модулей: План сбыта; План производства; Материалы и комплектующие; План по персоналу; Общие издержки; Текстовое описание. При построении полной финансовой модели пользователь описывает здесь стратегию операционной деятельности, вводит данные о сбыте произведенной продукции, описывает план продаж и план производства, вводит данные о постоянных и переменных издержках, относимых к периоду производственной деятельности предприятия.
При разработке стратегии сбыта продукции в условиях инфляции, широко известным методом стимулирования спроса являются льготные условия оплаты. Но известно, что это может негативно повлиять на результаты. В подобных случаях, чтобы не замедлить цикл оборота денежных средств. Project Expert автоматически выполняет изменения в производственном или маркетинговом плане компании, что соответственно изменяет и планируемые финансовые результаты.
Все разделы и модули, рассмотренные выше, логически объединяет то, что в технологии финансового планирования они поддерживают этап построения финансовой модели предприятия. Логически они образуют своеобразный "подготовительный класс" финансового планирования. Разделы и модули, обзор которых следует далее, могут эффективно использоваться лишь на основе созданной модели.
Раздел "Финансирование" имеет 9 модулей: Акционерный капитал, Займы, Лизинг, Инвестиции, Другие поступления. Другие выплаты. Распределение прибыли. Льготы по налогу на прибыль. Текстовое описание. К этому разделу можно приступать только тогда, когда закончен ввод всех данных о поступлениях и затратах (о денежных потоках) в проекте, а также проведен расчет потребности в капитале. После этого можно вводить данные о стратегии формирования капитала проекта, что позволит программно сформировать величину дефицита для дальнейшего выбора схемы финансирования и способа привлечения средств.
В программе Project Expert потребность в капитале определяется с учетом инфляции, что позволяет избежать грубых ошибок в планировании бюджета проекта.
После проведения расчета сформированы необходимые отчеты, в т. ч. Отчет о движении денежных средств (Cash-Flow, или План денежных потоков), последняя (сальдовая) строка которого показывает прогнозируемое в различные периоды состояние расчетного счета предприятия.
Назначение опций команды Результаты
• Прибыли-убытки - открытие отчета о Прибылях-убытках.
• Кэш-фло - открытие таблицы Кэш-фло (отчет о движении денежных средств).
• Баланс - открытие отчета "Баланс".
• Финансовые показатели - открытие таблицы финансовых показателей.
• Эффективность инвестиций - отображение показателей эффективности инвестиций.
• Графики - активизация диалога построения графиков.
• Детализация результатов - активизация диалога "Детализация результатов".
• Таблица пользователя - активизировать диалог "Таблица пользователя".
• Пересчет (F9) - пересчет проекта с учетом внесенных изменений.
Можно также использовать дополнительные комбинации клавиш для команд:
• Alt+BkSp - отменить ранее введенные данные;
• Shift+Del - копировать с удалением выделенной строки;
• Ctrl+Ins - копировать выделенную строку;
• Shift+Ins - вставить скопированную строку;
• Shift+F2 - сохранить внесенные изменения;
• F5 - открыть отчет о прибылях-убытках;
• F6 - открыть отчет о движении денежных средств;
• F7 - открыть балансовый отчет;
• F8 - отобразить значения показателей эффективности инвестиций;
• F9 - пересчитать проект с учетом внесенных изменений;
• F11 - активизировать диалог "Детализация результатов";
• F 12 - активизировать диалог "Таблица пользователя";
• Shift+F4 - разместить открытые окна в мозаичном порядке;
• Shift+F5 - разместить открытые окна каскадом.
Ниже строки главного меню расположена инструментальная панель, имеющая 17 кнопок, с помощью которых можно выполнять некоторые из описанных выше действий, не обращаясь к командам меню. По сравнению с краткими подсказками, которые возникают на экране при наведении указателя мыши на кнопку, в справке дается несколько более подробное описание назначения этих кнопок.
2.3 ВОЗМОЖНОСТИ PROJECT EXPERT ДЛЯ АНАЛИЗА ИНВЕСТИЦИОННЫХ ПРОЕКТОВ
После того как система сформирует таблицы, содержащие ожидаемые финансовые результаты деятельности предприятия, представленные в виде прогнозных отчетов: отчет о прибылях и убытках, Баланс, Отчет о движении денежных средств, - автоматически производится расчет планируемых финансовых показателей и показателей эффективности инвестиций. Для оценки и корректировки инвестиционного проекта все эти финансовые данные подвергаются анализу. Project Expert позволяет проводить анализ показателей эффективности инвестиций, анализ чувствительности, статистический анализ, анализ безубыточности. Вы также можете создать в системе собственные аналитические таблицы и применять к ним необходимые методы анализа.
Помимо оценки эффективности вложения в проект в целом в Project Expert успешно решается так называемая "задача инвестора". Вы определяете, удовлетворяют ли финансовые результаты участия в проекте требованиям всех заинтересованных в нем сторон - владельцев предприятия, инвесторов, кредиторов и госструктур, анализируя рассчитанные системой основные финансовые показатели и показатели эффективности инвестиций.
Project Expert формирует также таблицы показателей эффективности инвестиций и финансовых показателей, включающие следующие группы данных:
Показатели ликвидности - текущая ликвидность, быстрая ликвидность, чистый рабочий капитал и другие показатели, отражающие способность компании удовлетворять претензии держателей краткосрочных долговых обязательств.
Показатели рентабельности - набор коэффициентов, показывающих, насколько прибыльна деятельность компании и насколько эффективно использование различных типов ресурсов.
Показатели деловой активности - позволяют проанализировать, насколько эффективно предприятие использует свои средства, включают набор показателей оборачиваемости различных типов средств, обязательств и т.п.
Показатели устойчивости - характеризуют финансовую независимость и платежеспособность компании, включают различные представления соотношений между источниками финансирования (коэффициент финансовой независимости, коэффициент покрытия процентов и т.п.).
Инвестиционные критерии, характеризующие стоимость и доходность акций предприятия (прибыль на акцию, P/E, коэффициент покрытия дивидендов и т.п.).
Показатели эффективности инвестиций (дисконтированные Cash-Flow критерии) - чистый приведенный доход, период окупаемости проекта, внутренняя норма рентабельности и другие показатели, используемые для комплексного анализа проекта.
Модуль "Детализация результатов" предоставляет возможность детализировать результаты расчета проекта. Всего можно использовать до 30 стандартных таблиц, отображающих состояние и результаты проекта.
Если это окажется недостаточным или появится необходимость в отчетах другого формата, вы легко создадите их в разделе "Таблицы пользователя".
Оформление и просмотр выходных данных, подготовленных программой, выполняются в разделе "Результаты". Эти материалы вместе с пояснительным текстом входят в бизнес-план, формирование которого обеспечивает вам Project Expert.
Помимо оценки эффективности инвестиционных проектов на основе интегральных показателей программа обеспечивает:
· анализ чувствительности,
· анализ безубыточности
· сценарный анализ
Анализ чувствительности - одной из задач проектного анализа является определение чувствительности финансовой модели предприятия к изменениям различных параметров. Чем шире диапазон параметров, в котором показатели эффективности остаются в пределах приемлемых значений, тем выше запас прочности проекта, тем лучше он защищен от колебаний различных факторов, оказывающих влияние на результаты реализации проекта. Система Project Expert позволяет вам изучить, как будут изменяться финансовые показатели проекта в зависимости от изменения общего уровня инфляции, ставок налогов, затрат на персонал, величины сбыта и других исходных данных проекта (рис. 2).

Рис.2 - Анализ чувствительности. График
Исследование чувствительности показателей эффективности к изменению ставки дисконтирования позволяет вам определить устойчивость проекта к колебаниям конъюнктуры финансового рынка и возможным изменениям макроэкономических условий деятельности.
Анализ безубыточности - в системе анализируются взаимосвязи между издержками и доходами при различных объемах производства.
В Project Expert вы решаете задачу определения точки безубыточности для каждого вида продукции в любом расчетном периоде и рассчитываете объем продаж, покрывающий все издержки на его производство и реализацию.
На основании данных о структурных подразделениях компании и видах выпускаемой продукции, издержки можно распределить по видам продукции и по подразделениям компании не только в соответствии с фиксированной долей в общих затратах или пропорционально обороту, но и по сложной схеме, пропорционально различным базам распределения. Эту возможность также обеспечивает механизм "Формула".
При проведении в Project Expert анализа безубыточности используется метод, основанный на вкладе на покрытие. Помимо количественного и стоимостного значений точки безубыточности, в системе определяется запас финансовой прочности и оценивается влияние выбранной структуры издержек на прибыль - рассчитывается операционный рычаг. Это позволяет вам определять предел безопасности и уровень предпринимательского риска, как на каждый период, так и за ряд периодов в числовом и в графическом виде.

Рис.3. – Безубыточность
Создаваемые системой сводные таблицы позволяют проводить на определенную дату анализ безубыточности для группы продуктов, определять средневзвешенные значения коэффициента вклада на покрытие, анализировать значения операционного рычага и запас финансовой прочности, как по каждому продукту, так и по компании в целом (рис. 3, 4). Подобный анализ потребуется и для прогноза изменения прибыли при изменении объема продаж, и для введения корректировок в планы производства продукции.

Рис.4 - Точка безубыточности - График
При описании в Project Expert компании мы отразили ее структуру. Теперь мы можете не только спрогнозировать финансовые результаты каждого подразделения, но и проанализировать их деятельность и оценить, какие подразделения рентабельны, а какие нет.
Сценарный анализ сравнение вариантов развития - помимо анализа проекта в пакете Professional имеется дополнительный модуль, позволяющий вести многовариантный сценарный анализ и получать ответы на вопросы "Что будет, если?" (рис.5).

Рис 5 - WhatIf & PlanFact
При создании проекта задачей аналитика является поиск наилучшего варианта развития. В Project Expert предусмотрена возможность быстрого создания нескольких вариантов развития предприятия для их сравнения и выбора наилучшего. Для создания нового варианта достаточно задать в процентах величину отклонений исходных данных проекта, например объемов продаж различных продуктов, их цены, ставок налогов и т.п. Вы можете создать любое число вариантов развития и провести их сравнительный анализ не только по финансовым показателям и показателям эффективности инвестиций, но и по всему спектру данных финансовых отчетов, таблиц пользователя, детализации и анализа вариантов. Результаты анализа могут быть представлены в виде графиков.
Анализ группы проектов - В зависимости от величины и структуры компании ее экономическая деятельность может проводиться путем реализации не одного, а нескольких направлений, финансируемых из общего бюджета. В этом случае представляет интерес совместный анализ всех реализуемых компанией проектов, учет их возможной синергии, создание займовой мощности. При использовании широких хозяйственно-экономических связей кооперации может возникнуть необходимость совместного анализа группы проектов разных компаний, связанных по каким-либо критериям (рис.6).

Рис.6 - Консолидация. Эффективность инвестиций
Для работы по объединению проектов в пакете Project Expert Professional предназначен отдельный модуль - Project Integrator.
В Project Integrator пользователь определяет эффективность инвестиций в группу проектов по интегральным показателям, рассчитанным на основе консолидированных прогнозных финансовых отчетов. При работе с группой проектов система позволяет не просто суммировать их данные, но и создавать с использованием математических зависимостей различные формы консолидированной отчетности. Для этого предназначены таблицы пользователя. При создании отчетности в Integrator можно использовать данные из итоговых таблиц и таблиц пользователя, а также детальные результаты проведенных в системе расчетов любого интересующего вас проекта.
Под группой проектов в Project Integrator подразумевается некоторое множество взаимосвязанных проектов, разработанных при помощи Project Expert. Критерии, по которым проекты объединяются в группу, определяет пользователь. Отметим, что проекты, добавляемые в группу, должны иметь одинаковые основные валюты и валюты для расчетов на внешнем рынке, а также единицы их измерения. Суммарная длительность проектов не должна превышать 100 лет.
Оценка рисков
Статистический анализ - как оценить влияние ряда неопределенных факторов: инфляции, курса валют, цен поставщиков и других? Имитационная модель денежных потоков обеспечивает возможность проведения анализа проекта с учетом рисков и неопределенностей его выполнения (рис. 7).
Мощное, оптимизированное вычислительное ядро системы, способное производить тысячи пересчетов проекта, позволяет использовать для такого моделирования более эффективный, чем упрощенный однопараметрический метод анализа чувствительности, метод Монте-Карло.

Рис. 7- Статистический анализ (метод Монте-Карло)
В Project Expert оценивается степень воздействия случайных факторов на показатели эффективности инвестиций в проект. Вы определяете, какие факторы рассматривать как неопределенные, указываете допустимый диапазон случайного изменения значений для каждого из них, задаете количество пересчетов проекта со случайными значениями указанных факторов. В качестве факторов стоит выбрать некоррелирующие между собой показатели, например, или цену или объем продаж отдельных продуктов, ставки налогов, статьи затрат, объемы капитальных вложений и другие исходные данные проекта.
Далее Project Expert позволяет вам проанализировать полученную совокупность результатов статистическими методами, и вы определяете степень риска, связанную с реализацией проекта. При использовании неопределенных данных вы получаете не только оценку эффективности проекта, но и возможный интервал ее колебаний, количественные характеристики неопределенности и устойчивости проекта.
Учет рисков в ставке дисконтирования - Project Expert позволяет учесть риски проекта и в ставке дисконтирования – рассчитать ее по одной из трех моделей – WACC (средневзвешенной стоимости капитала), CAPM (модели оценки капитальных активов), CCM (модели кумулятивного построения).
3. ОЦЕНКА ЭФФЕКТИВНОСТИ ИНВЕСТИЦИЙ С ИСПОЛЬЗОВАНИЕМ PROJECTEXPERT
Будем оценивать проект на примере предприятия ООО "Монитор" по выпуску микропроцессорных спирографов СП02(предназначенные для измерения функции внешнего дыхания в отделениях функциональной диагностики, пульмонологии лечебно-профилактических учреждений). Инвестиционный план разработан в аналитической системе Project Expert.
Аналитическая система Project Expert – система поддержки принятия решений для разработки и выбора оптимального плана развития бизнеса, создания финансовых планов и инвестиционных проектов. Project Expert позволяет моделировать деятельность предприятий различных масштабов – от небольшого частного предприятия до холдинговых структур.
Начнем вносить данные в раздел "Проект"( рис. А1).
Раздел "Проект" предназначен для ввода общей информации о проекте, настройки параметров расчета и отображения данных. Создание нового проекта обычно начинается с формирования данных в этом разделе программы.
В заголовок внесем дату начала проекта 01.03.2005. Продолжительность проекта – 1 год.
В список продуктов внесем спирограф СП02. Предполагаемая дата начала выпуска продукции – 25.03.2005.
Модуль "Отображение данных" предназначен для указания масштаба представления данных проекта и настройки параметров отображения итоговых таблиц. Данные отображаем помесячно.
Диалог "Настройка расчета" предназначен для задания параметров определения показателей эффективности проекта и степени детализации результатов. Выставим ставку дисконтирования в размере 10%.
При моделировании деятельности предприятия и создании проекта необходимо учесть влияние факторов внешней среды: налогового окружения, инфляции, колебаний курсов валют, используемых предприятием для денежных расчетов. В разделе "Окружение" описывается финансово-экономическая среда, в которой планируется реализация проекта. Здесь вводятся данные, определяющие внешние условия хозяйственной деятельности предприятия.
Модуль "Инфляция" обеспечивает ввод данных, характеризующих инфляционные факторы внешней среды, в которой реализуется проект. В данном диалоге предусмотрены процедуры ввода показателей инфляции по пяти группам объектов инфляции, которые характеризуют изменения стоимости поступлений и выплат по основным статьям проекта:
сбыт (продукция или услуги),
прямые издержки (материалы, комплектующие и другие переменные издержки кроме заработной платы),
общие издержки (операционные, торговые, административные издержки),
заработная плата,
недвижимость (здания, сооружения, оборудование).
Спрогнозируем инфляцию на уровне 10% в год.
ProjectExpert помогает отразить особенности налоговой системы. Расходы на налоговые платежи составят 40% от объема продаж.
Перейдем к разделу "Инвестиционный план".
В разделе "Инвестиционный план" можно составить календарный график начальных капитальных вложений и подготовительных работ. Здесь можно определить этапы работ, указать ресурсы, необходимые для выполнения этих этапов и их стоимость, установить взаимосвязи между этапами, сформировать активы предприятия, описать способы и сроки амортизации активов.
Календарный план – главный модуль раздела (рис.А2). Здесь производится формирование календарного плана, списка активов, составляется описание используемых ресурсов, определяются другие характеристики начальных инвестиций и подготовки производства.
Предынвестиционная и инвестиционная фазы любого проекта требуют тщательной проработки графика работ и перечня привлекаемых ресурсов. Система Project Expert формирует календарный график первоначальных капитальных вложений и подготовительных работ – диаграмму GANTT.
Система достаточно гибко подходит к представлению данных о проекте, позволяя либо увязывать все этапы инвестиционной и дальнейшей операционной деятельности, либо описывать эти стадии проекта независимо. В системе ProjectExpert упор сделан на финансовые аспекты подготовки проекта – стоимость подготовительных работ, используемые ресурсы и особенности учета инвестиций.
Система помогает определить этапы работ, указать используемые ресурсы, необходимые для выполнения этих этапов, и порядок их оплаты, установить взаимосвязи между этапами и сформировать активы предприятия.
Планируются следующие мероприятия:
· закупка оборудования для производства стоимостью 100000 руб. (01.03.2005-20.03.2005);
· закупка комплектующих стоимостью 900000 руб. (07.03.2005-21.03.2005) и 1800000 руб. (01.08.2005-20.08.2005);
· выплата заработной платы персоналу (2 техника по 7500 руб. в месяц);
· маркетинговые акции – 100000 руб.
Амортизацию производственного оборудования будем считать линейным методом. Период ликвидации – 100 мес.
План основной деятельности, предусмотренной проектом, опирается на прогноз объема сбыта продукции или услуг, который, в свою очередь, основывается на результатах исследования рынка(рис.А3). За исследуемый период планируется сбыть 400 шт. спирографов СП02. Стоимость одного спирографа – 21000 руб.
Помесячно сбыт планируется следующим образом:
· апрель 2005 – 3 шт.;
· май 2005 – 7 шт.;
· июнь 2005 – 22 шт.;
· июль 2005 – 30 шт.;
· август 2005 – 38 шт.;
· сентябрь 2005 – 45 шт.;
· октябрь 2005 – 50 шт.;
· ноябрь 2005 – 65 шт.;
· декабрь 2005 – 60 шт.;
· январь 2006 – 40 шт.;
· февраль 2006 – 40 шт.
Любой проект развития предприятия неосуществим без решения проблемы финансирования. К разработке схемы финансирования проекта можно приступать лишь после завершения формирования инвестиционного плана и производственной программы предприятия, когда определены все источники поступлений и затрат.
В системе Project Expert заложена возможность моделирования и выбора схемы финансирования. Аналитическая система Project Expert автоматически определяет, какой объем денежных средств будет достаточен для покрытия дефицита капитала в каждый расчетный отрезок времени. При создании проекта выбираются объемы и условия его финансирования: привлечение акционерного капитала, заемных денежных средств, государственное финансирование, заключение лизинговых сделок. При описании финансирования проекта система также позволяет использовать различные комбинации этих способов. Преимущество Project Expert состоит в том, что потребность в капитале определяется с учетом инфляции, что позволяет избежать ошибок в планировании бюджета проекта.
Project Expert позволяет решить задачу управления свободными денежными средствами, генерируемыми проектом. Достаточно указать принципы дивидендной политики, и реальные суммы будут рассчитаны системой. Можно смоделировать и собственную схему процесса размещения средств на различных условиях на депозиты или в альтернативные проекты.
Для организации производства спирографов СП02 привлекаются инвестиции в сумме 1200000 руб. под 5% годовых. Срок погашения задолженности – 6 месяцев.
Результаты моделирования деятельности предприятия отражаются в финансовых отчетах, таблицах и графиках. Оформление и просмотр выходных данных, подготовленных программой, выполняются в разделе "Результаты".
Таблица 1 - Планируемая чистая прибыль от выполнения инвестиционного проекта
| Месяц, год | Чистая прибыль, руб. |
| март 2005 | -918333,33 |
| апрель 2005 | -874350,36 |
| май 2005 | -744703,56 |
| июнь 2005 | -291459,02 |
| июль 2005 | 338790,92 |
| август 2005 | -724080,37 |
| сентябрь 2005 | 241571,78 |
| октябрь 2005 | 1325935,24 |
| ноябрь 2005 | 2754618,24 |
| декабрь 2005 | 4081921,28 |
| январь 2006 | 4965097,31 |
| февраль 2006 | 5855323,88 |
В разделе "Анализ проекта" выдаются показатели эффективности инвестиций (рис.А4). Получены следующие данные:
Таблица 2 - Эффективность инвестиций
| Показатель | Значение |
| Ставка дисконтирования, % | 10 |
| Период окупаемости РВ, мес. | 7 |
| Дисконтированный период окупаемости DPB, мес. | 7 |
| Средняя норма рентабельности ARR, % | 275,79 |
| Чистый приведенный доход, NPV | 5293568 |
| Индекс прибыльности, PI | 2,63 |
| Внутренняя норма рентабельности IRR, % | 742,8 |
| Модифицированная внутренняя норма рентабельности MIRR, % | 187,49 |
В ходе анализа инвестиционного проекта на примере ООО "Монитор" по выпуску спирографа СП02 вносится предложение об осуществлении данного проекта.
ЗАКЛЮЧЕНИЕ
В ходе проделанной работы сделаны следующие выводы:
Инвестиционный проект – развернутая во времени совокупность мероприятий, направленных на существенное обновление отдельных компонент деятельности предприятия или его положения в окружающей социально-экономической или природной среде и требующих для своей реализации значимых финансовых средств (инвестиций).
В основе оценки эффективного использования инвестиций – сравнение денежного потока, образующегося в результате реализации инвестиционного проекта, и исходных инвестиций. Существуют следующие методы анализа:
· дисконтированный срок окупаемости (DPB);
· чистое современное значение инвестиционного проекта (NPV);
· внутренняя норма прибыльности (доходности, рентабельности) (IRR).
Project Expert является инструментом, с помощью которого можно провести разносторонний анализ влияния финансовых рисков на эффективности инвестиционных проектов. Результаты такого анализа необходимы руководству предприятия для принятия решения о реализации проекта, для представления проекта акционерам, в кредитных учреждениях, федеральных и региональных государственных органах в целях получения средств на реализацию проекта.
Изучая рассчитанные системой Project Expert показатели оценки финансовых рисков на эффективность инвестиций, пользователь может определить: максимальный объем убытка по данному риску; сопоставить его с объемом вкладываемого капитала; сравнить его со всеми собственными финансовыми ресурсами и определить, не приведет ли финансовый риск к банкротству инвестора.
"Общая" оценка эффективности инвестиций в проект производится на основе рассчитываемых системой показателей, таких, как период окупаемости, дисконтированный период окупаемости, средняя и внутренняя нормы рентабельности, модифицированная внутренняя норма рентабельности, показатель чистого приведенного дохода и индекс прибыльности проекта. Система Project Expert позволяет изучить, как будут изменяться показатели эффективности инвестиций проекта в зависимости от изменения степени финансового риска и других исходных данных проекта.
Программа Project Expert – российская финансовая программа, официально признанная Министерством Экономики и Европейским Банком реконструкции и развития. Программа Project Expert является одним из немногих примеров российского экспортного продукта, продающегося в Польше, Чехии, Германии, США, Великобритании.
Неудивительно, что пользователями этой программы являются несколько тысяч российских организаций и предприятий, составляющих бизнес-планы в соответствии с международными стандартами финансовой отчетности.
СПИСОК ЛИТЕРАТУРЫ
1. Бузова И. А., Маховикова Г. А., Терехова В. В. Коммерческая оценка инвестиций /под ред. Есилова В. Ф.— СПб.: Питер, 2004. — 386-412 с
2. ФЗ "Об инвестиционной деятельности в Российской Федерации, осуществляемой в форме капитальных вложений" в ред. от 02.01.2000г. № 22
3. ProjectExpert–программа подготовки бизнес-плана и анализа инвестиционного проекта //http://www.expertsystems.com/rus/service/financial/pe/index.htm.
4. Алиев В.С. Практикум по бизнес-планированию с использованием программы Project Expert. – М.: ФОРУМ – ИНФРА-М, 2007. – 272 с.
5. Аньшин В.М. Инвестиционный анализ. – М.: Дело, 2004. – 280 с.
6. Бронштейн Е.М., Черняк Д.А. Сравнительный анализ показателей эффективности инвестиционных проектов // Экономика и математические методы. – 2005. – №2. – С. 21–29.
7. Бочаров В.В. Инвестиции. – СПб.: Питер, 2004. – 288 с.
8. Идрисов А.Б. Планирование и анализ эффективности инвестиций.- Про-Инвест-ИТ, 2001.
9. Косяченко С.А. Сравнительный анализ программ для разработки и оценки инвестиционных проектов: "Альт – Инвест", "ProjectExpert", "ТЭО – Инвест" // http://webinvest.ipu.rssi.ru/news/rrr.htm.
ПРИЛОЖЕНИЕ А

Рис. А1 - Главное меню Project Expert.

Рис. А2 - Календарный план в Project Expert

Рис. А3 - Описание схемы сбыта

Рис. А4 - Оценка эффективности инвестиций и финансовые показатели
Похожие рефераты:
Управление рисками инвестиционных проектов в пищевой промышленности
Разработка автоматизированной информационной системы для управления портфелем реальных инвестиций
Оценка эффективности инвестиционного проекта
Оценка инвестиционной привлекательности предприятия
Инвестиционная деятельность ОАО "Энергомашстрой"
Экономическая оценка инвестиций
Совершенствование методов экономической эффективности инвестиционных проектов
Анализ инвестиционных проектов на примере ОАО "Уфимский Хлебозавод №7"
Инвестиционное проектирование в системе управления на примере ООО "Юрстрой"
Теоретические основы анализа инвестиционных проектов
Система проведения анализа инвестиционного проекта
Анализ окупаемости инвестиционного проекта по налаживанию прямых продаж IT-оборудования