| Скачать .docx |
Реферат: Поліграфічний синтез кольорових зображень
Поліграфічний синтез кольорових зображень
1. Загальна схема процесу перетворення кольорового зображення в репродукційній системі
Якщо розглядати процес виготовлення кольорової репродукції з погляду основних етапів її формування, то незалежно від технології переробки образотворчої інформації його можна розділити на три послідовні стадії: аналітичну, перехідну або градаційну і синтетичну.
Перша стадія – аналітична, яка зветься кольороподільною, полягає в тому, що модульований оригіналом світловий потік розділяється на три частини відповідно до трьох зон спектра: синьої, зеленої та червоної. Це відбувається або у фотоапараті, де оригінал послідовно експонується крізь три світлофільтри: синій, зелений і червоний на фотографічний матеріал відповідної чутливості, або в сканері, де отримані сигнали реєструються за допомогою фотоелектричних приймачів.
Внаслідок кольороподілення одержують три кольороподілених зображення – відповідно для жовтої, пурпурної і блакитної фарб. Щоб отримати друкарський відбиток, необхідно мати три друкарських форми, за допомогою яких друкарські елементи відновлять кольори оригіналу різною кількістю основних фарб. Кількість тієї або іншої фарби визначається розміром растрового елемента.
На аналітичній стадії здійснюють різні перетворення зображення для виправлення недоліків подальших процесів і одержання оптимального кінцевого результату: масштабування, корекцію зображення (вилучення небажаних деталей, згладжування контурів, додавання або усунення елементів зображення та ін.), кольорокорекцію та растрування.
Друга частина процесу відтворення кольорового зображення зветься перехідною або градаційною і полягає в тому, що з отриманих під час кольороподілення фотоформ послідовно виготовляється ряд проміжних допоміжних тонових і растрових негативів і діапозитивів. У кінці цієї стадії здійснюють копіювання на формному матеріалі растрової копії й одержують друкарські форми.
Процеси градаційної стадії мають менше можливостей впливу на кольоровий відбиток і не можуть істотно змінювати співвідношення щільностей, отриманих у результаті кольороподілення. Як правило, всі градаційні перетворення мають нормативний характер і їхнє виконання вимагає чіткого дотримання технологічних інструкцій.
Третя частина – синтез кольору друкарськими засобами. Його результати залежать від перетворень образотворчої інформації, здійснених на попередніх стадіях, а також від оптичних і колірних характеристик паперу і тріади друкарських фарб, способу і технологічних параметрів друкарського процесу. Узагальненою характеристикою умов кольорового синтезу є кольоровий охват фарб. Перед здійсненням тиражного друку необхідно перевірити якість проведених перетворень шляхом синтезу кольорової репродукції за допомогою пробного друку.
2. Автотипний синтез кольору
Відповідно до трикомпонентної теорії колір будь-якого відтінку може бути отриманий змішуванням деяких трьох основних. У моніторі, наприклад, усе різноманіття кольорів забезпечується адитивним змішуванням варіацій інтенсивностей випромінювань червоного, зеленого і синього (Ч3С) люмінофорів.
Субтрактивний синтез багатофарбового поліграфічного друку використовує блакитну, пурпурну і жовту (ГПЖ) фарби, що послідовно (якщо друкарські елементи кольороподільних зображень перекривають один одного) або одночасно (якщо елементи розташовані на відбитку поруч) поглинають із зовнішнього освітлення відповідно червону, зелену і синю спектральні складові.
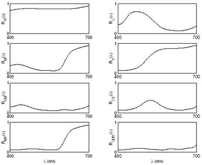
Якщо в однофарбовому друці автотипним способом передаються лише градації яскравості, то на багатофарбовій репродукції відносні площі елементів, віддрукованих блакитною, пурпурною і жовтою фарбами визначають ще і колірний тон, а також чистоту кольору. Автотипний метод дозволяє передати всю колірну палітру, незважаючи на те, що, як ілюструє рис. 1, мікроструктуру растрової ілюстрації утворюють усього лише вісім (назвемо них базовими) кольорів:
· колір підкладки (паперу);
· блакитний, пурпурний і жовтий кольори одинарних шарів фарб;
· червоний, зелений і синій кольори їхніх подвійних накладень;
· чорний колір потрійного накладення.

Рисунок 1 – Вісім базових кольорів тріадного автотипного синтезу на одиничній площі відбитка
Від одиничної частини відбитка до спостерігача надходить або один відбитий світловий потік результуючого кольору, або кілька різнофарбових потоків (рис. 2). В останньому випадку має місце згадане вище адитивне просторове змішування кольору вже в зоровому аналізаторі. Тому, незважаючи на те, що всі базові кольори отримані субтрактивно, механізм утворення результуючого колірного відчуття більш складний у силу цієї специфіки автотипного синтезу.

Рисунок 2 – Відчуття кольору виникає в результаті злитного сприйняття відбиваних різнозафарбованих світлових потоків, і від одного, пофарбованого в результуючий колір, з урахуванням спектральних складових освітлення
Отже, світлову реакцію рецепторів зорової системи людини на випромінювання
, відбите від деякої поверхні, можна в загальному вигляді навести виразом
, (1)
де
– спектральна чутливість рецептора;
– спектральний коефіцієнт відбивання зразка; L – постійний коефіцієнт. Отже, сприймана оком інформація про колір визначається трьома компонентами: характером освітлення, чутливістю зорової системи і спектральним коефіцієнтом відбивання задрукованої поверхні.
3. Рівняння Нейгебауера
Колір одиничної частини відбитка залежить від значень відносних площ, задрукованих кожним з основних кольорів, і в загальному випадку описується рівнянням Нюберга-Нейгебауера
(2)
де
– візуальний коефіцієнт відбивання автотипної частини відбитка;
– спектральні коефіцієнти відбивання восьми колірних складових Нейгебауера. Вони показані на рис. 3.

Рисунок 3 – Спектральні коефіцієнти відбивання восьми базових кольорів
Площі s, зайняті кожним з базових кольорів на різних дільницях, можуть істотно відрізнятися. Так, якщо точки трьох фарб однакові і точно накладаються одна на одну, то колір визначається лише першим і останнім доданками виразу (2). Якщо ж ці елементи не перекриваються, то не приймаються до уваги чотири останні члени цієї суми.
Більш коректно колір описується аналогічними рівняннями, де кількість S базових кольорів виражено імовірностями їхнього утворення через відносні площі растрових точок трьох фарб SГ , SП , SЖ.

(3)
Наведені формули можна використовувати для знаходження зональних щільностей або для визначення кольорових координат, наприклад, у системі (X, Y, Z)
(4)
Рівняння Нейгебауера широко використовуються в поліграфії для визначення характеристик кольорової репродукції. Однак ці рівняння справедливі лише для опису ідеалізованого растрового синтезу. В реальних процесах внаслідок розтискування растрових точок, поглинання фарби папером і неповним переходом фарб на попередньо зафарбовані поверхні, закономірності кольоровідтворення істотно відрізняються від описаних цими рівняннями.
4. Друкарські фарби
Загальні ідеї тріадного поліграфічного синтезу кольору зручно ілюструвати, прийнявши допущення, практично прийнятні лише для так званих ідеальних фарб, що характеризуються П-подібними спектральними кривими (рис. 4а) та рівномірно поглинають світлову енергію в одній зоні спектра і відбивають її в двох інших.
Колірні значення, одержані такими фарбами, підкоряються виразу (2) незалежно від того, в якій послідовності накладені блакитна, пурпурна і жовта фарби й в якому ступені різнофарбові елементи перекривають один одного.
Відносні поглинання реальних фарб (рис. 4 в) нерівномірно розподілені за основними зонами всередині них. Якщо в одній із зон вони є корисними, то в двох інших, де за самим змістом субтрактивного синтезу їх не має бути – шкідливими.
Для кількісної оцінки реальну фарбу зручно розглядати як суміш трьох ідеальних. Такий підхід дозволяє порівнювати спектральну чистоту фарб. З цією метою зразки вимірюють денситометром за трьома широкосмуговими зональними фільтрами, одержуючи східчасту криву поглинання з трьома значеннями DK , D3 , Dc (рис. 4в). За цими значеннями визначають дві характеристики: колірне зрушення Н – відхилення колірного тону у відношенні ідеальної фарби

Рисунок 4 – Спектральні поглинання ідеальних фарб (а); їхніх попарних накладень (б); реальних поліграфічних фарб (в) і їхніх триступінчастих інтерпретацій (….) за широкосмуговими спектрозональними фільтрами
(5)
і ахроматичність G («сірість») – ступінь забруднення нейтральним, сірим кольором
, (6)
де
– мінімальне, середнє і максимальне з зазначених вище виміряних значень інтегральної оптичної щільності за основними зонами спектра. Ці параметри узагальнює ще одна кількісна характеристика фарби – ефективність кольору
. (7)
Поряд з індикацією самої оптичної щільності значення цих параметрів безпосередньо відображуються дисплеєм сучасного цифрового денситометра.
Колірне охоплення друкарських фарб, як правило, поступається колірній гамі образотворчих оригіналів і, зокрема, фотографічних, оскільки спектральні характеристики кольорових фотоемульсій у зазначеному змісті менш відрізняються від ідеальних.
Ефективність впливу тієї самої кількості фарби на результуючий колір залежить від того, на який шар вона наноситься: на папір або на попередній шар фарби. Цей вплив називається захопленням (сприйняттям) фарби
. (8)
Фарба захоплюється на сто відсотків попереднім фарбовим шаром оптичної щільності d1 , якщо щільність D3 накладених один на одного шарів дорівнює сумі щільностей d1 і D2 одинарних шарів на чистому папері. На папір і раніше нанесений шар у цьому випадку переходить однакова кількість фарби. Через меншу адгезію захоплення фарбовим шаром, особливо вологим, як правило, нижче ста відсотків. Оскільки товщина кожного наступного фарбового шару в пробілах елементів, надрукованих у попередніх краскопрогонах, виявляється більшою, ніж на самих елементах, незначні коливання в приведенні спричиняють колірний дисбаланс.
Для однозначної оцінки оптичної щільності вологих і висохлих відбитків на практиці використовують денситометри, оснащені поляризаційними фільтрами.
5. Зображення чорної фарби
Використання четвертої чорної фарби додатково до фарб друкарської тріади має такі цілі:
- економію кольорових фарб за рахунок заміни їх чорною;
- збільшення загального контрасту ілюстрації.
На дільницях, що містять растрові елементи всіх кольорових фарб тріадного синтезу, колірний тон визначає лише визначена кількість двох з них. Інша кількість блакитної, пурпурної і жовтої характеризує насиченість і може бути замінена четвертою, чорною фарбою. Мінімізація кількості кольорових фарб шляхом заміни ахроматичної складової тріадного синтезу чорною фарбою одержала назву операції «УЦК» («Удаление Цветной Краски из-под черной» – видалення кольорової фарби з-під чорної) за аналогією з англійським терміном UCR (Under Color Removal). Зміст цієї процедури й одного з її показників – обсягу УЦК схематично пояснюють діаграми на рис. 5. Обсягу «УЦК», який дорівнює 50%, відповідає кількість чорної фарби (рис. 5 б), що дорівнює половині мінімального з їхніх трьох вихідних значень на рис. 5 а. Для граничного «УЦК» обсягом 100% на ілюстрації присутні лише елементи, віддруковані не більш, ніж трьома з чотирьох фарб: двома кольоровими і чорною. Такий синтез одержав умовну назву «бінарний + чорний» і припускає повну відсутність фарб тріади на сірих дільницях зображення.

Рисунок 5 – Варіанти кількості фарб для деякого кольору при обсягах «УЦК»: 0% (а), 50% (б), 100% (в); під час використання п'ятої жовтогарячої фарби (г)
Другим параметром процедури «УЦК» є її діапазон, тобто область тонів оригіналу, в якій забезпечується той або інший обсяг УЦК. Керування цим параметром «УЦК» в зарубіжній літературі та практиці відносять до процедури GCR (Grey Component Replacement), хоча за визначеннями деяких авторів UCR і GCR означають те саме.
Обидва параметри пояснює рис. 6, графіки якого відображають варіанти співвідношення відносних площ точок трифарбового сірого до і після операції «УЦК». Так, графіку 1 відповідають нульові значення обох параметрів «УЦК», коли сірий колір передається в усьому його інтервалі тільки кольоровими фарбами.
Відповідно до графіка 2, обсяг «УЦК» зменшується від 40% до нуля під час переходу від глибоких тіней до ахроматичних тонів середніх значень. У цьому випадку на дільницях ілюстрації з відносною площею точок тріадного синтезу менше 50% чорна фарба також відсутня.
За графіком 3 однаковий і рівний 40% обсяг «УЦК» забезпечується по всьому інтервалу, а за графіком 4 обсяг «УЦК» збільшується від 60% до 100% під час переходу від тіней до середніх тонів. В останньому випадку на сірих дільницях, де відносна площа растрових точок тріадного синтезу змінювалася б від 0% до 50%, кольорові фарби взагалі відсутні, а кольоровим частинам оригіналу відповідає синтез «бінарний + чорний».
Нарешті, за графіком 5, що збігається з віссю абсцис, синтез кольору «бінарний + чорний» і передача ахроматичної складової винятково чорною фарбою мають місце в усьому інтервалі градацій оригіналу. В цьому випадку й обсяг, і діапазон «УЦК» оцінюються 100%.

Рисунок6 – Зміна відносних площ друкарських елементів ахроматичної складової тріадного синтезу при різних обсягах і діапазонах операції «УЦК»:
1 – при нульовому обсязі «УЦК» по всьому градаційному діапазону; 2 – при обсязі «УЦК» 40%, що знижується до нуля, в інтервалі значень вихідної тріадної ахроматичної складової 100% – 50%; 3 – при обсязі «УЦК» 40% однаковому у всьому діапазоні; 4– при обсязі «УЦК» 100% у вихідному інтервалі 0% – 50% (синтез «бінарний + чорний») і знижується до 60% в інтервалі 50% – 100%; 5 – при обсязі «УЦК» 100% в усьому інтервалі вихідних значень
У способах швидкісного друку «по вологому» сумарна відносна площа друкарських елементів трьох кольорових фарб не може складати 300% через відмарування. Подібне обмеження для всіх чотирьох фарб з урахуванням ефективності їхнього закріплення на папері в друкарському процесі знаходиться в межах 250% – 350%. Трохи виправити положення дозволяє четверта форма чорної фарби з друкарськими елементами лише в тінях зображення, хоча такий спосіб посилення загального контрасту здатний викликати менш точну передачу темно-коричневих відтінків.
Роль чорної фарби враховувалася вище як допоміжна, що забезпечує деякий додатковий зоровий, технологічний або техніко–економічний ефект. Однак цілком можливий протилежний порядок розгляду, в якому ця фарба є як би основною, а кольорові лише «розфарбовують» зображення. Їхнє використання мінімізується при цьому не тільки на ахроматичних дільницях, але також на контурах, дрібних деталях, у тінях, скрізь, де вимога передачі ступеней яскравості переважає над точністю відтворення колірних відтінків. Розподіл за шкалою додаткового, трифарбового ахроматичного може бути таким, що в тінях до 95 або 100% відносної площі растрових елементів чорної фарби кольорові елементи будуть додані з сумарною відносною площею, яка з урахуванням згаданих раніше обмежень складе 140 – 150% (рис. 7). Площі кольорових і чорних точок можуть монотонно зростати по всьому інтервалу шкали, як пояснює графік на рис. 7.

Рисунок 7 – Використання нейтральної суміші фарб тріади для підвищення контрасту ахроматичних кольорів у чотирифарбовому друці
Такий підхід до збільшення інтенсивності чорного одержав у зарубіжній літературі назву процедури UCA – Under Color Addition (за аналогією з «УЦК» назвемо її додаванням кольорових фарб до чорного («Дополнение Цветной Краской») – «ДЦК»).
6. Формування градації нейтрально сірих тонів сполученням кольорових і чорних зображень
Зменшення кількості чорної фарби може компенсуватися збільшенням кількості хроматичних і навпаки. Серед можливої кількості чорної фарби для кожного кольору існує деяка максимальна кількість, перевищення якої не дозволяє одержати точного відтворення ні за якої кількості кольорових фарб. Цю максимально припустиму кількість фарби вигідно використовувати як міру для оцінки реальних чорних зображень. Схема утворення гранично чорного зображення наведена на рис. 8.

Рисунок 8 – Схема утворення гранично чорного зображення: а) криві поглинання трьох фарб субтрактивного синтезу й їхньої суміші; б) криві спектрального поглинання: 1 – нейтрально сірого зразка; 2 – суміші трьох барвників (Ж, П, Г), які утворять нейтрально сіре поле; в) криві спектрального поглинання: 1 – гранично чорного зображення, 2 – пурпурної і 3 – блакитної, утворюючих у суміші з гранично чорним зображенням необхідну криву спектрального розподілу оригінального зразка
Криві спектрального поглинання трьох типових барвників субтрактивного синтезу й їхня сумарна дія (жовтий барвник додається в найменшій кількості) наведені на рис. 8 (а).
Нанесення трьох фарб (Ж, П, Г) у кількості, що наведена на рис. 8 (б), призводить до утворення нейтрально сірого поля з кривою спектрального поглинання 2, що приблизно можна замінити щільністю нейтрально сірого зразка.
На рис. 8 (в) показано, як шляхом додавання кривих спектрального поглинання гранично чорного зображення 1, пурпурної 2 і блакитної 3 отримуємо необхідну криву спектрального розподілу оригінального зразка
Треба відзначити, що такий розподіл кольорових зображень не завжди найкращий у відношенні збереження безперервності колірних переходів. Тому замість вище зазначеного гранично чорного зображення використовують менш контрастне.
За даними експериментальних досліджень для офсетного друку оптична щільність нейтрально сірого зображення D, сформованого за допомогою трьох кольорових фарб з оптичною щільністю D1 і чорної фарби з оптичною щільністю D2 , визначається за такою приблизною формулою:
, (9)
де k – постійний коефіцієнт, величина якого змінюється в межах 0,35…0,5; причому вищі значення відповідають гіршим сортам паперу.
7. Методика аналізу відтворення нейтрально сірої тонової шкали для чотирифарбової кольорової репродукції
Необхідною умовою правильного відтворення кольорового зображення є забезпечення балансу під час відтворення нейтрально сірих тонів. Кількісною характеристикою взаємодії складених фарбових зображень є еквівалентна нейтрально сіра оптична щільність. Суть цього поняття в тому, що кожному значенню зональної оптичної щільності кольорових фарбових зображень наводиться у відповідність оптична щільність нейтрально сірого поля, що отримане при сумісному друці даної кількості фарби з необхідною кількістю двох інших. На рис. 9 наведений приклад таких залежностей, отриманих для фарб Європейської тріади.

Рисунок 9 – Залежність еквівалентних нейтрально сірих оптичних щільностей Dс від величин зональних оптичних щільностей блакитного, пурпурного і жовтого фарбових зображень Dj (j = б, п, ж)
З графіків, наприклад, випливає, що для одержання нейтрально сірого відтінку з оптичною щільністю Dс
= 1 необхідно провести сумісний друк блакитного, пурпурного і жовтого фарбових зображень із зональними оптичними щільностями, які відповідно дорівнюють Dж
= 0,55, Dп
= 0,65,
Dг
= 0,85.
Вимір еквівалентної нейтрально сірої оптичної щільності Dc засновано на візуальному порівнянні нейтрально сірих полів спеціальних модельних оригіналів з відповідними зображеннями, надрукованими фарбами досліджуваної тріади.
Для одержання залежностей еквівалентних нейтрально сірих оптичних щільностей Dс від величини відносних растрових площ блакитного, пурпурного і жовтого фарбових зображень Dj необхідно кожному значенню зональних оптичних щільностей фарбових зображень Dj на рис. 9 поставити у відповідність відносні растрові площі. Це можна здійснити шляхом побудови ланцюга кривих методом Джонса.
8. Система градаційних кривих
Від оригіналу до друкарського відбитка зображення перетворюється, переходячи з одного носія інформації на іншій. Мета керування процесом передачі градацій від оригіналу до відбитка полягає у формуванні заздалегідь заданої градаційної кривої, що забезпечить одержання репродукції високої якості.
Передача градацій у друкарському процесі пов'язана зі збільшенням розмірів растрових точок на відбитку
в порівнянні з друкарською формою
. Цей зв'язок описується градаційною кривою друкарського процесу.
Перенесення інформації з фотоформи на друкарську форму також пов¢язано зі змінами розмірів растрових точок. Ці зміни описуються градаційними кривими, що відбивають зв'язок відносних розмірів растрових точок друкарської форми
від відносних розмірів растрових точок фотоформи
. Ці два види системних перекручувань градацій потрібно компенсувати на додрукарській стадії.
Взаємозв'язок між перерахованими величинами відбиває система градаційних кривих (рис. 10).
У першому квадранті наведена градаційна характеристика як функція щільностей на відбитку від щільностей оригіналу. Другий квадрант містить градаційну характеристику друкарського процесу, як функцію щільностей відбитка від відносної площі растрових точок на фотоформі. Крива в четвертому квадранті може бути розрахована по кривих трьох інших квадрантів. Вона являє собою необхідну зміну відносних площ растрових точок на фотоформі в залежності від щільностей оригіналу. Ця градаційна крива четвертого квадранта має бути відтворена на репродукційній стадії додрукарських процесів за допомогою спеціальних фототехнічних плівок, способів експонування тощо.

Рисунок 10 – Схема побудови залежності відносної площі растрових елементів кольороподільних діапозитивів від оптичної щільності оригіналу
9. Передача загального контрасту й інтервалу оптичних щільностей
Градаційний зміст напівтонових оригіналів досить різний. Оригінали можуть розрізнятися за контрастом, межеві значення щільностей можуть також істотно відрізнятися, а весь їхній інтервал бути зміщений вліво або вправо.
За можливістю точне суміщення інтервалу щільностей оригіналу з ефективним інтервалом щільностей растрового відбитка показано на рис. 11 (залежність 1). Під час відсутності такого суміщення, як правило, втрачаються перепади (деталі) яскравості або у світлих (2), або в темних (3) тонах або невиправдано зменшується і без того менший, ніж в оригіналі, контраст ілюстрації (4), що також призводить до втрати яскравостних перепадів, але вже по всьому інтервалу.

Рисунок 11 – Приклади суміщення інтервалів оптичної щільності оригіналу та відбитка (1, 5) і помилок в установці рівнів «білого – чорного»: втрата деталей у світах (2); 3 – втрата деталей у тінях (3); зниження загального контрасту ілюстрації і втрата деталей малого контрасту (4)
Далеко не завжди можливо хоча б незначно поширити зменшений стосовно оригіналу інтервал ілюстрації, привласнивши, як показує графік 5, мінімальній щільності оригіналу Domin щільність Dnp незадрукованого паперу відбитка. У високому друці через рельєфний характер її форми протяжні дільниці з відсутніми друкарськими елементами заповнюються фарбою. Тому нульове значення площі точок відображається стовідсотковим на відбитку. В плоскому друці для наведеного раніше прикладу це означає втрату декількох полів у світлій частині шкали. Тому слідом за першим полем (щільність паперу) на ілюстрації буде відтворено четверте або п'яте, а точніше, саме те поле, щільності якого відповідають DТmin (рівню «білого»), наприклад п¢ятивідсоткові, тобто досить надійно і стабільно відтворені растрові точки.
Установка мінімальної щільності на рівні «біліше білого» правомірна для сюжетів, які містять відблиски. Відблиск сонця на склі окулярів може бути без погіршення якості ілюстрації переданий дільницею, що не містить друкарських елементів, оскільки на зображенні більш немає дільниць з оптичними щільностями, значення яких знаходяться між рівнем відблиску і рівнем «білого». В іншому випадку, коли відблиск передають мінімальними растровими точками (щільність дільниці відбитка DТmin ), невиправдано зменшується загальний контраст ілюстрації.
Ці загальні ідеї покладені в основу привласнення оригіналу граничних «растрових» щільностей у різних додрукарських системах, хоча сама техніка установки і контролю рівнів «білого» і «чорного» може істотно відрізнятися.
10. Форма градаційної кривої
Другий етап побудови характеристики тонопередачі полягає у пошуку оптимального закону зміни оптичних щільностей растрового відбитка всередині установленого вище діапазону. Для правильної організації цього зв'язку необхідно насамперед визначитися в характері репродукційної задачі, що можуть бути досить різними:
- факсимільне або об'єктивне тоновідтворення;
- суб'єктивно-тотожна передача градацій;
- редагування (корекція) градаційного змісту оригіналу.
Факсимільне тоновідтворення, при якому виміряні денситометром оптичні щільності відбитка дорівнюють щільностям відповідних частин оригіналу, нечасто зустрічається на практиці. Воно можливо лише для малоконтрастних, в основному непрозорих оригіналів з інтервалом, який не перевищує ефективний інтервал відбитка. Графік тонопередачі є прямою лінією 1, що проходить через початок координат (рис. 12).

Рисунок 12 – Криві об'єктивно-тотожної тонопередачі (1); лінійного (2), суб'єктивно-тотожного (3) і редакційного (4, 5) стиснення інтервалу щільностей оригіналу
Суб'єктивно-тотожна передача припускає збереження відбитком співвідношення світлості деталей яскравості, одержуваних під час розглядання оригіналу. В цьому випадку мова йде лише про суб'єктивне або психовізуально подібне відтворення, що створює у спостерігача ілюзію тотожності відбитка оригіналу. Для створення ілюзії тотожності відбитка оригіналу в умовах стиснення інтервалу щільностей необхідно враховувати огрубіння порога зорового сприйняття в області найбільших і особливо найменших яскравостей. Якщо в стандартних умовах спостереження для більшої частини градаційного діапазону цьому порогу відповідає 0,01 од. оптичної щільності, то в глибоких тінях 0,04 од. і більше.
Важливим у відношенні візуальної тотожності оригіналу в умовах стиснення інтервалу є збереження контурів як основних носіїв інформації. Пріоритет правильної передачі сили і геометрії контурів над передачею монотонних змін яскравості усередині протяжних частин підтверджується всім досвідом образотворчого мистецтва.
Під редагуванням градаційного змісту оригіналу розуміють такий підхід до організації тонопередачі, при якому задача градаційної відповідності відбитка оригіналу взагалі не ставиться. Закон тонопередачі встановлюють, намагаючись досягти візуальної відповідності не оригіналу, а уявлюваному об'єкту, що лише намагається передати даний оригінал. Подібні випадки мають, наприклад, місце, коли ілюстраційний оригінал явно неякісний, має погрішності через недостатнє освітлення сцени, що знімалася, помилки у фотохімічній обробці плівки, великий термін і погані умови збереження або інші причини.
Зразкові характеристики такої тонопередачі наведені на рис. 12 графіками 4 і 5. Перша з них дозволяє підвищити контраст бляклого «недотриманого» оригіналу, а друга освітлює «передержаний», занадто темний оригінал.
Інший випадок «редакційного» підходу – навмисне перекручування співвідношення світлостей оригіналу. Найбільший нахил додають відрізку кривої, що відноситься до деталей яскравості, які, на думку замовника, оператора або художнього редактора найбільш важливі для даного зображення. Локальний контраст тієї або іншої деталі може бути навмисно посилений непропорційно контрастам інших, якщо в тексті автор приділяє їй особливу увагу. При цьому підсилити контрасти сюжетно важливих (інформативних) фрагментів оригіналу можливо лише за рахунок зниження градієнтів інших відрізків градаційної кривої.
Частковим випадком «редакційної» тонопередачі є і лінійне стиснення інтервалу оптичних щільностей, що відповідає графіку 2. У цьому випадку непропорційно сильно передаються контрасти в середніх тонах за рахунок згадуваної втрати деталей у тінях.