| Скачать .docx |
Курсовая работа: Разработка программного модуля
Кафедра «Автоматизированные системы управления»
Курсовая работа
по дисциплине ВТиП
Разработка программного модуля
Введение
Целью данной курсовой работы является разработка программного модуля, с помощью которого можно задать размерность квадратной матрицы, заполнить матрицу случайными целыми числами от 0 до 6 и вычислить:
- сумму элементов, находящихся под главной диагональю,
- сумму элементов, составляющих главную диагональ.
Для разработки программы использован табличный процессор Excel и язык программирования Visual Basic for Application.
В первом разделе, который называется «Постановка задачи», приведена математическая модель задачи, описаны входные и выходные данные, описана обработка ошибок.
Во втором разделе, «Проектирование программного модуля», изображена структурная диаграмма программного модуля, разработана схема программного модуля и пользовательский интерфейс.
В разделе «Реализация программного модуля» описан код программы, произведено описание используемых операторов и функций.
Тестирование программного модуля приведено в четвертом разделе.
Кроме того, дано заключение и приведён список использованных источников.
1. Постановка задачи
1.1 Математическая модель задачи
Определение квадратной матрицы: квадратной матрицей n-го порядка называется матрица, состоящая из m строк и m столбцов. Главной диагональю квадратной матрицы называется диагональ, составленная из элементов a11 a22 … amm .
Способ нахождения суммы элементов квадратной матрицы, лежащих под главной диагональю:
![]()
Необходимый результат получается при суммировании элементов в следующем порядке: а21
+ а31
+ а32
+…+ аi1
+ ai2
+ ai3
+ ai(j-1)
– суммируются элементы, начиная со второй строки, и, при увеличении строки на 1, число столбцов, содержащих нужные элементы, также увеличивается на 1. В кратком виде этот цикл выглядит так: i=f…m, где начальное f=2; j=1…(m-b), где начальное b=m-1. При каждой последующей итерации значение f увеличивается на 1, а значение b на 1 уменьшается.
Сумму элементов диагонали матрицы можно получить при суммировании элементов, лежащих на пересечении одинаковых строки и столбца, т.е. если i=j.
1.2 Входные данные
В данном курсовом проекте к входным данным относится размерность квадратной матрицы (значение m).
Требования к входным данным:
- значение m должно вводиться в числовой форме;
- значение m должно быть целым, положительным числом больше нуля.
1.3 Выходные данные
К выходным данным относятся:
- вывод заполненной матрицы на форму;
- вывод заполненной матрицы на лист Excel;
- сумма элементов, находящихся под главной диагональю;
- сумма элементов, составляющих главную диагональ.
Требования к выходным данным:
- выходные данные выводятся в числовом виде.
1.4 Обработка ошибок
При выполнении программного модуля произведена обработка следующих ошибок:
- в поле ввода размерности матрицы вводится нечисловое значение. В этом случае появляется сообщение об ошибке, которое имеет вид, представленный на рисунке 1:

Рисунок 1 - Сообщение об ошибке, в случае нечислового ввода размерности матрицы
- в поле ввода вводится дробное числовое значение. В этом случае появляется сообщение об ошибке, которое имеет вид, представленный на рисунке 2:
Рисунок 2 - Сообщение об ошибке, в случае ввода дробного значения размерности матрицы
- в поле ввода вводится отрицательное число, либо число равное нулю. В этом случае появляется сообщение об ошибке, которое имеет вид, представленный на рисунке 3:

Рисунок 3 - Сообщение об ошибке, в случае ввода отрицательного, либо нулевого значения размерности матрицы
После уведомления пользователя об ошибке поле ввода очищается, и курсор возвращается в это поле.
2. Проектирование программного модуля
2.1 Структурная диаграмма программного модуля
Программа имеет структуру, показанную на рисунке 4:
Рисунок 4 - Структурная диаграмма программного модуля
В данной диаграмме UserForm_Initialize() – процедура инициализации пользовательской формы. CommandButton1_Click() – процедура, срабатывающая при нажатии кнопки «Заполнить матрицу», которая производит проверку правильности ввода размерности матрицы, заполнение матрицы и вывод её на пользовательскую форму. CommandButton2_Сlick() – процедура, срабатывающая при нажатии кнопки «Очистить», которая очищает форму. CommandButton3_Сlick() – процедура, срабатывающая при нажатии кнопки «Выйти», позволяющая пользователю завершить работу с программой. CommandButton4_Click() – процедура, срабатывающая при нажатии кнопки «О программе», которая даёт краткие сведения о программе и её разработчике. CommandButton5_Сlick() – процедура, срабатывающая при нажатии кнопки «Работать с Excel», позволяющая пользователю переключиться на работу с листом Excel. OptionButton1_Click() – процедура-переключатель, при выборе которого вычисляется сумма элементов, находящихся под главной диагональю. OptionButton2_Click() – процедура-переключатель, при выборе которого вычисляется сумма элементов, составляющих главную диагональ.
2.2 Разработка схемы программного модуля и ее описание
Блок-схема процедуры заполнения квадратной матрицы представлена на рисунке 5:
![]() |
1
2
3
4
5
6
7
8
9
Рисунок 5 – Схема программного модуля (Заполнение матрицы)
Описание блок-схемы:
1 – ввод размера массива;
2 – проверка того, что введённый размер массива является числом;
3 – проверка того, что введённый размер массива является положительным числом, отличным от нуля;
4 – проверка того, что введённый размер массива является целым числом;
5 – задание динамического массива;
6 – цикл, который пробегает значения строк от 1 до заданного размера массива, с шагом равным по умолчанию 1;
7 – цикл, который пробегает значения столбцов от 1 до заданного размера массива, с шагом равным по умолчанию 1;
8 – тело цикла, которое заполняет массив случайными числами от 0 до 6;
9 – вывод результата в поле, предназначенное для вывода квадратной матрицы.
Блок-схема процедуры для первого переключателя представлена на рисунке 6:
![]() |
1
2
3
4
5
6
Рисунок 6 – Схема программного модуля (первый переключатель)
Описание блок-схемы:
1 – задание начальных параметров для вычисления суммы элементов матрицы;
2 – цикл, который пробегает значения строк от f до заданного размера массива, с шагом равным по умолчанию 1;
3 – цикл, который пробегает значения столбцов от 1 до m-b, с шагом равным по умолчанию 1;
4 – вычисление суммы элементов, лежащих под главной диагональю;
5 – увеличение параметра f на 1 и уменьшение параметра b на 1, после окончания цикла для столбцов (блок 3), и переход к циклу для строк (блок 2);
6 – вывод результата в поле вывода суммы элементов.
Блок-схема процедуры для второго переключателя представлена на рисунке 7:
![]() |
1
2
3
4
5
6
Рисунок 7 – Схема программного модуля (второй переключатель)
Описание блок-схемы:
1 – задание начальных параметров для вычисления суммы элементов матрицы;
2 – цикл, который пробегает значения строк от 1 до заданного размера массива, с шагом равным по умолчанию 1;
3 – цикл, который пробегает значения столбцов от 1 до заданного размера массива, с шагом равным по умолчанию 1;
4 – проверка условия i = j. В случае выполнения данного условия происходит переход к блоку 5, в противном случае – к блоку 3;
5 – вычисление суммы элементов, составляющих главную диагональю;
6 – вывод результата в поле вывода суммы элементов.
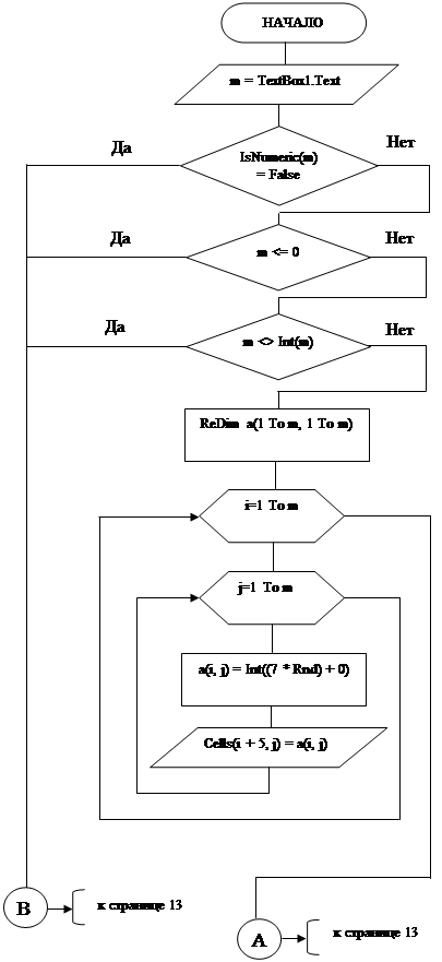
Блок-схема процедуры для работы с листом Excel представлена на рисунке 8:
![]() |
1
2
3
4
5
6
7
8
9
10
11
12
13
14
15
16
17
18
19
20
21
Рисунок 8 – Схема программного модуля (Работа с листом Excel)
Описание блок-схемы:
1 – ввод размера массива;
2 – проверка того, что введённый размер массива является числом;
3 – проверка того, что введённый размер массива является положительным числом, отличным от нуля;
4 – проверка того, что введённый размер массива является целым числом;
5 – задание динамического массива;
6 – цикл, который пробегает значения строк от 1 до заданного размера массива, с шагом равным по умолчанию 1;
7 – цикл, который пробегает значения столбцов от 1 до заданного размера массива, с шагом равным по умолчанию 1;
8 – тело цикла, которое заполняет массив случайными числами от 0 до 6;
9 – вывод массива на лист Excel;
10 – задание начальных параметров для вычисления суммы элементов матрицы, расположенных под главной диагональю;
11 – цикл, который пробегает значения строк от f до заданного размера массива, с шагом равным по умолчанию 1;
12 – цикл, который пробегает значения столбцов от 1 до m-b, с шагом равным по умолчанию 1;
13 – вычисление суммы элементов, лежащих под главной диагональю;
14 – увеличение параметра f на 1 и уменьшение параметра b на 1, после окончания цикла для столбцов (блок 12), и переход к циклу для строк (блок 11);
15 – вывод суммы элементов, лежащих под главной диагональю на лист Excel;
16 – задание начальных параметров для вычисления суммы элементов матрицы, составляющих главную диагональ;
17 – цикл, который пробегает значения строк от 1 до заданного размера массива, с шагом равным по умолчанию 1;
18 – цикл, который пробегает значения столбцов от 1 до заданного размера массива, с шагом равным по умолчанию 1;
19 – проверка условия i = j. В случае выполнения данного условия происходит переход к блоку 5, в противном случае – к блоку 3;
20 – вычисление суммы элементов, составляющих главную диагональю;
21 – вывод суммы элементов, составляющих главную диагональ на лист Excel.
2.3 Разработка пользовательского интерфейса.
Пользовательский интерфейс (ПИ) программы - это совокупность элементов, позволяющих пользователю программы управлять ее работой и получать требуемые результаты, т.е. это диалог между компьютером и пользователем.
Интерфейс для программного модуля, разработанного в данном курсовом проекте представлен на рисунке 9:
![]() |
|
Рисунок 9 - Вид пользовательской формы: 1 – поле для ввода размерности квадратной матрицы; 2 – поле для вывода суммы элементов матрицы, в зависимости от выбранного переключателя; 3 – переключатель, при выборе которого вычисляется сумма элементов матрицы, находящихся под главной диагональю; 4 – переключатель, при выборе которого вычисляется сумма элементов матрицы, составляющих главную диагональ; 5 – кнопка, при нажатии которой происходит заполнение матрицы; 6 – кнопка, которая осуществляет очистку всех полей формы; 7 – кнопка, осуществляющая выход из программы; 8 – кнопка, при нажатии которой появляется краткая информация о программе; 9 – кнопка, позволяющая пользователю переключиться на работу с листом Excel; 10 - поле для вывода заполненной матрицы
3. Реализация программного модуля
3.1 Код программы
Dim summa1 As Double
Dim summa2 As Double
Dim a() As Double
Dim m As Variant
‘задаём начальные параметры при инициализации формы:
Private Sub UserForm_Initialize()
Application.Visible = False
UserForm1.Caption = "Курсовой проект"
CommandButton1.Default = True
TextBox1.SetFocus
End Sub
‘процедура заполнения матрицы:
Private Sub CommandButton1_Click()
m = TextBox1.Text
If IsNumeric(TextBox1.Text) = False Then
MsgBox "Размерность матрицы должна задаваться числом", 16, "Ошибка ввода"
TextBox1.Text = ""
TextBox1.SetFocus
Exit Sub
End If
If m <= 0 Then
MsgBox "Размерность матрицы задаётся положительным числом отличным от нуля ", 16,
"Ошибка ввода"
TextBox1.Text = ""
TextBox1.SetFocus
Exit Sub
End If
m = CDbl(m)
If m <> Int(m) Then
MsgBox " Размерность матрицы должна задаваться целым числом ", 16, " Ошибка ввода "
TextBox1.Text = ""
TextBox1.SetFocus
Exit Sub
End If
ReDim a(1 To m, 1 To m)
For i = 1 To m
For j = 1 To m
a(i, j) = Int((7 * Rnd) + 0)
Next j
Next i
With ListBox1
ColumnCount = m
List = a
End With
End Sub
'процедура очистки пользовательской формы:
Private Sub CommandButton2_Click()
OptionButton1.Value = False
OptionButton2.Value = False
TextBox1.Text = ""
TextBox2.Text = ""
ListBox1.Clear
TextBox1.SetFocus
End Sub
'процедура выхода из программы:
Private Sub CommandButton3_Click()
UserForm1.Hide
Application.Quit
End Sub
' вызов краткой информации о программе:
Private Sub CommandButton4_Click()
MsgBox "Программа для заполнения случайными числами" & Chr(13) & _
"от 0 до 6 квадратной матрицы, размерностью" & Chr(13) & _
"задаваемой пользователем, и вычисления суммы" & Chr(13) & _
"элементов матрицы, в зависимости от выбрано-" & Chr(13) & _
"го переключателя." & Chr(13) & _
" Разработчик: Логунов А.П..", 48, "О программе"
End Sub
'процедура вычисления суммы элементов, расположенных под главной диагональю:
Private Sub OptionButton1_Click()
summa1 = 0
f = 2
b = m - 1
For i = f To m
For j = 1 To m - b
summa1 = summa1 + a(i, j)
Next j
f = f + 1
b = b - 1
Next i
TextBox2.Text = summa1
End Sub
'процедура вычисления суммы элементов, составляющих главную диагональ:
Private Sub OptionButton2_Click()
summa2 = 0
For i = 1 To m
For j = 1 To m
If i = j Then
summa2 = summa2 + a(i, j)
End If
Next j
Next i
TextBox2.Text = summa2
End Sub
'процедура для работы с Excel:
Private Sub CommandButton5_Click()
Application.Visible = True
Cells.Select
Selection.ClearContents
Range("A1").Select
UserForm1.Hide
m = InputBox("Задайте размерность матрицы", "Окно ввода")
If IsNumeric(m) = False Then
MsgBox ""Размерность матрицы должна задаваться числом", 16, "Ошибка ввода"
Exit Sub
End If
If m <= 0 Then
MsgBox "Размерность матрицы задаётся положительным числом отличным от нуля ", 16,
"Ошибка ввода"
Exit Sub
End If
m = CDbl(m)
If m <> Int(m) Then
MsgBox " Размерность матрицы должна задаваться целым числом ", 16, " Ошибка ввода "
Exit Sub
End If
Cells(5, 1) = "Матрица размерностью n=" & m & ":"
ReDim a(1 To m, 1 To m)
For i = 1 To m
For j = 1 To m
a(i, j) = Int((7 * Rnd) + 0)
Cells(i + 5, j) = a(i, j)
Next j
Next i
summa1 = 0
f = 2
b = m - 1
For i = f To m
For j = 1 To m - b
summa1 = summa1 + a(i, j)
Next j
f = f + 1
b = b - 1
Next i
Cells(2, 1) = "Сумма элементов под главной диагональю =" & summa1
summa2 = 0
For i = 1 To m
For j = 1 To m
If i = j Then
summa2 = summa2 + a(i, j)
End If
Next j
Next i
Cells(3, 1) = " Сумма элементов составляющих главную диагональ =" & summa2
Select Case MsgBox("Вернуться к UserForm?", vbYesNo, "Окно возврата")
Case vbYes
Application.Visible = False
TextBox1.SetFocus
UserForm1.Show
Case vbNo
End Select
End Sub
3.2 Описание использованных операторов и функций
Dim Имя_переменной As Тип_переменной – синтаксис описания типа переменной;
Private – указывает, что процедура Sub доступна для всех других процедур только того модуля, в котором она описана;
If Условие Then [Инструкция] [Else Инструкции_else] – оператор условного перехода. Если условие принимает значение True, то выполняется инструкция Then, если False, то выполняется инструкция_else. Ветвь Else является необязательной;
IsNumeric(переменная) – функция, проверяющая является ли переменная числовым значением;
MsgBox (сообщение, [кнопка], [заголовок])- выводит на экран диалоговое окно, содержащее сообщение;
CDbl() – функция преобразования считываемых данных в числовой формат типа Double, т.к. числа, вводимые в текстовую область формы, воспринимаются как текст, а не как число.
Int() – функция, которая возвращает целые числовые значения;
ReDim <имя массива>(<задаётся размерность массива>) – функция задания динамического массива;
For Счетчик = Начало To Конец [Step Шаг]
[Инструкции]
Next Счетчик – повторяет выполнение группы инструкций, пока Счетчик изменяется от начального значения до конечного с указанным шагом. Если шаг не указан, то он полагается равным 1;
Rnd – функция, которая служит для генерации случайных чисел;
With Объект
[инструкции]
End With – позволяет выполнить последовательность инструкций над Объектом не повторяя его имени;
ColumCount – устанавливает число столбцов в списке;
Clear – очистка;
SetFocus – возвращает курсор в указанное поле;
InputBox () – выводит на экран диалоговое окно, содержащее сообщение и поле ввода, устанавливает режим ожидания ввода текста пользователем или нажатия кнопки, а затем возвращает значение типа String, содержащее текст, введенный в поле;
Select Case Выражение
Case список выражений
[инструкции]
Case Else
[инструкции Else]
End Select – выполняет одну из нескольких групп инструкций в зависимости от некоторого выражения.
4. Тестирование программного модуля
Ниже приведён пример работы программного модуля. Для этого ввели в поле ввода размерность матрицы равную 5. При нажатии кнопки «Заполнить матрицу» в окне вывода появилось квадратная матрица пятого порядка, заполненная случайными числами от 0 до 6, что представлено на рисунке 10:
![]() |
Рисунок 10 - Вид пользовательской формы с заполненной матрицей
При выборе первого переключателя определяется сумма элементов, находящихся под главной диагональю матрицы. При выборе второго переключателя – сумма элементов матрицы, составляющих главную диагональ.
При нажатии кнопки «о программе» появляется сообщение с краткой информацией о программе.
При нажатии кнопки «Работать с Excel» появляется диалоговое окно, в котором задаётся размерность матрицы.
При нажатии кнопки «Оk» на листе Excel появляется результат, который представлен на рисунке 11:

Рисунок 11 – Лист Excel с результатом
Диалоговое окно «окно возврата» позволяет пользователю вернуться к работе с пользовательской формой.
Как видно из приведенного примера программа является полностью работоспособной.
Заключение
В данном курсовом проекте с помощью языка программирования Visual Basic for Application был разработан программный модуль, который позволяет: задавать квадратную матрицу и программно заполнять её случайными числами от 0 до 6; вычислять сумму элементов находящихся под главной диагональю; вычислять сумму элементов составляющих главную диагональ. Был предусмотрен режим работы с листом Excel.
В программе произведена обработка возможных ошибок, что облегчает пользователю работу с программой.
В ходе тестирования программа показала себя полностью работоспособной. Следовательно, поставленную задачу можно считать выполненной.
Список использованных источников
1. Гарнаев А.Ю. Самоучитель VBA. – СПб.: БХВ – Санкт-Петербург, 2000. – 512 с.
2. Гарнаев А.Ю. Самоучитель VBA. – СПб, БХВ – Санкт-Петербург, 2002.
3. MS OfficeXP: Разработка приложений / Под редакцией Ф.А. Новикова. СПб.: БХВ – Санкт-Петербург, 2003.





