| Скачать .docx |
Курсовая работа: Оценка характеристик и возможностей сетей X25 и Frame Relay
Содержание
Перечень условных обозначений
Введение
1. Глобальные сети с коммутацией пакетов
1.1 Общие сведения
1.2 Сети X.25
1.3 Сети Frame Relay
2. Принципы построения и возможности сетей X.25 и Frame Relay
2.1 Принцип коммутации пакетов с использованием техники виртуальных каналов в сетях X.25 и Frame Relay
2.1.1 Реализация техники виртуальных каналов в сетях X.25
2.1.2 Реализация техники виртуальных каналов в сетях Frame Relay
2.2 Характеристики и особенности сетей X.25
2.2.1Особенности сетей Х.25
2.2.2 Структура сети Х.25
2.2.3 Адресация в сетях Х.25
2.2.4 Стек протоколов сети Х.25
2.2.4.1 Протокол канального уровня LAP-B
2.2.4.2 Протокол сетевого уровня X.25/3
2.2.5 Характеристики и возможности коммутаторов сетей X.25
2.3 Характеристики и особенности сетей Frame Relay
2.3.1 Особенности сетей Frame Relay
2.3.2 Стек протоколов сетей Frame Relay
2.3.3 Сквозная коммутация
2.3.4 Механизм управления потоками
2.3.5 Концепция согласованной скорости передачи информации
2.3.6 Интеграция речи
2.3.7 Средства защиты от сбоев
3. Оценка преимуществ и недостатков сетей X.25 и Frame Relay
4. Решение задачи анализа и синтеза сети передачи данных
Заключение
Список используемых источников
Перечень условных обозначений
1. ОС – операционная система.
2. ПО – программное обеспечение.
Введение
В 1976 году был принят стандарт X.25, который стал основой всемирной системы PSPDN (Packet-Switched Public Data Networks), базирующейся на 7-уровневой модели ISO OSI(Open System Interconnection). Стандарт X.25 был усовершенствован в 1984. Рекомендация Х.25 определяет интерфейс "пользователь-сеть" для сети PSPDN. Более точно: Х.25 определяет двухточечный, специализированный (выделенная линия), полнодуплексный интерфейс между пакетным терминальным оборудованием пользователя (Data Terminal Equipment, DTE) и оконечным оборудованием линии передачи данных (Data Circuit terminating Equipment, DCE) в сети PSPDN. Интерфейс Х.25 содержит три протокольных уровня, которые примерно соответствуют трем нижним уровням эталонной модели OSI. [1]
Со временем все большие и большие объемы трафика передавались по глобальным сетям. Трафик, порождаемый клиент-серверными приложениями, написанными для локально-сетевых сред, имеет, как правило, чрезвычайно неравномерный характер: значительная пропускная способность требуется в течение коротких интервалов времени. Передача такого трафика по выделенным линиям или по сети с временным разделением каналов не эффективна, поскольку большую часть времени доступная емкость расходуется впустую: временные слоты резервируются вне зависимости от того, передается информация или нет.
Х.25 и технологии, связанные с сетью PSPDN, постепенно заменялись более новыми технологиями (такими как ретрансляция кадров и ATM) и ровесниками интерфейса Х.25, переживающими свое возрождение (такими как TCP/IP)
Основными требованиями к такой технологии являются:
· высокая скорость:
· низкие задержки;
· разделение портов и
· разделение полосы пропускания на основе виртуальных каналов.
X.25-коммутация пакетов обладает последними двумя. Ретрансляция кадров, разработанная, как новая форма коммутации пакетов, как утверждается, обладает всеми четырьмя характеристиками. Эта технология носит название Frame Relay.
Но технология Х.25 важна по причинам, выходящим за пределы чисто технических вопросов. С точки зрения стандартизации, рекомендация Х.25 и родственные с ней представляют одно из самых полных решений, когда-либо построенных на основе стандартов. Фактически это законченные стандарты сети PSPDN, которые дали толчок всем операторам связи по всему миру к строительству сетей PSPDN и связыванию их в действительно глобальную сеть передачи данных.
Цель курсовой работы – провести оценку характеристик и возможностей сетей X.25 и Frame Relay.
Задачи данной работы – ознакомиться с основами технологий X.25 и Frame Relay, с принципами их построения и функционирования, провести оценку возможностей данных технологий, их преимуществ и недостатков, а также решить задачу анализа и синтеза для сети передачи данных.
Курсовая работа структурирована следующим образом. В разделе 1 рассмотрены типы глобальных сетей с коммутацией пакетов, произведен краткий обзор технологий X.25 и Frame Relay. Раздел 2 посвящён рассмотрению основных возможностей, принципов построения и функционирования сетей X.25 и Frame Relay. В разделе 3произведена оценка преимуществ данных технологий, а так же их недостатков. В разделе 4 произведено решение задачи анализа и синтеза сети передачи данных.
1. Глобальные сети с коммутацией пакетов
1.1 Общие сведения
Глобальные сети характеризуются двумя типами технологий соединений:
· сеть "точка - точка" (point-to-point);
· сеть "облако" (cloud).
В сети с технологий "точка - точка" каждым двум узлам выделяется отдельная линия, а для объединения N узлов требуется N(N - 1)/2 линий связи. В этом случае получаем высокую пропускную способность и большие расходы на линии связи и интерфейсное оборудование.
Более экономичной технологией сетей WAN(Wide Area Networks) являются сети типа "облако". В этом случае для подключения одного узла требуется только одна линия.
По принципу коммутации технология "облако" разделяется на:
· коммутацию каналов (в телефонных линиях связи);
· коммутацию сообщений (в E-mail);
· коммутацию пакетов (в сетях IP, X.25), кадров (в сетях Frame Relay), ячеек (в сетях ATM).
В сетях с коммутацией каналов обеспечивается прямое физическое соединение между двумя узлами только в течение сеанса связи. Достоинством сетей коммутации каналов является возможность передачи аудиоинформации и видеоинформации без задержек.
Кроме того, преимуществом этой технологии является простота ее реализации (образование непрерывного составного физического канала), а недостатком - низкий коэффициент использования каналов, высокая стоимость передачи данных, повышенное время ожидания других пользователей (в узлах коммутации образуются очереди).
В сетях с пакетной коммутацией (Packet-Switched Network, PSN) осуществляется обмен небольшими пакетами фиксированной структуры, поэтому в узлах коммутации не создаются очереди. К достоинствам сетей с коммутацией каналов относятся: эффективность использования сети, надежность, быстрое соединение. [2]
Основным недостатком сетей с пакетной коммутацией является временные задержки пакетов в узлах сети (промежуточном коммуникационном оборудовании), что затрудняет передачу аудиоинформации и видеоинформации, которые чувствительные к задержкам. Технология коммутации кадров (ретрансляция кадров), а особенно коммутация ячеек устраняют эти недостатки сетей с коммутацией пакетов и обеспечивают качественную передачу данных, аудио - и видеоинформации.
Сети с коммутацией каналов представляют для сетей с коммутацией пакетов услуги физического уровня. Аналоговые и цифровые линии применяются в качестве магистралей сетей с коммутацией пакетов, сообщений и кадров. К глобальным сетям с коммутацией пакетов относятся: сети IP; X.25; Frame Relay; ATM.
Коммутация пакетов в сетях PSN осуществляется двумя способами:
Первый способ ориентирован на предварительное образование виртуальных каналов. Существуют два типа виртуальных каналов: коммутируемые и постоянные. Виртуальным каналом называется логическое соединение, осуществляемое по различным существующим физическим каналам, которое обеспечивает надежный двухсторонний обмен данными между двумя узлами.
Коммутируемый виртуальный канал обмена данными требует установления (устанавливается динамически), поддержания и завершения сеанса связи каждый раз при обмене данными между узлами. Постоянный виртуальный канал устанавливается вручную и не требует сеанса связи, узлы могут обмениваться данными в любой момент, так как постоянное виртуальное соединение всегда активно.
Второй способ основан на технологии дейтограмм, т.е. на самостоятельном продвижении пакетов в пакетных сетях без установления логических каналов. В сетях с передачей дейтограмм маршрутизация пакетов осуществляется на пакетной основе. Пакеты снабжены адресом назначения, и они независимо друг от друга движутся в узлы назначения. Таким образом, множество пакетов, которые принадлежат одному сообщению, могут перемещаться к узлу назначения различными маршрутами.
Маршрутизация в глобальных сетях TCP/IP осуществляется на основе IP-протокола, т.е. основана на самостоятельном продвижении пакетов. Принцип маршрутизации в глобальных сетях: X.25, Frame Relay, ATM основан на предварительном образовании виртуального канала и передаче в пункт назначения пакетов, кадров или ячеек по этому каналу, т.е. по одному маршруту. [4]
1.2 Сети X.25
Сети Х.25 являются первой сетью с коммутацией пакетов и на сегодняшний день самыми распространенными сетями с коммутацией пакетов, используемыми для построения корпоративных сетей. Сетевой протокол X.25 предназначен для передачи данных между компьютерами по телефонным сетям. Сети Х.25 разработаны для линий низкого качества с высоким уровнем помех (для аналоговых телефонных линий) и обеспечивают передачу данных со скоростью до 64 Кбит/с. Х.25 хорошо работает на линиях связи низкого качества благодаря применению протоколов подтверждения установления соединений и коррекции ошибок на канальном и сетевом уровнях.
Стандарт Х.25 определяет интерфейс "пользователь - сеть" в сетях передачи данных общего пользования или “интерфейс между оконечным оборудованием данных и аппаратурой передачи данных для терминалов, работающих в пакетном режиме в сетях передачи данных общего пользования”. Другими словами Х.25 определяет двухточечный интерфейс (выделенную линию) между пакетным терминальным оборудованием DTE и оконечным оборудованием передачи данных DCE.
На рисунке 1 представлена структурная схема сети X.25, где изображены основные элементы:
1. DTE (data terminal equipment) – аппаратура передачи данных (кассовые аппараты, банкоматов, терминалы бронирования билетов, ПК, т.е. конечное оборудование пользователей).
2. DCE (data circuit-terminating equipment) – оконечное оборудование канала передачи данных (телекоммуникационное оборудование, обеспечивающее доступ к сети).
3. PSE (packet switching exchange) – коммутаторы пакетов.

Рисунок 1 – Структурная схема сети X.25
Интерфейс Х.25 обеспечивает:
1. доступ удаленному пользователю к главному компьютеру;
2. доступ удаленному ПК к локальной сети;
3. связь удаленной сети с другой удаленной сетью.
Интерфейс Х.25 содержит три нижних уровня модели OSI: физический, канальный и сетевой. Особенностью этой сети является использование коммутируемых виртуальных каналов для осуществления передачи данных между компонентами сети. Установление коммутируемого виртуального канала выполняется служебными протоколами, выполняющими роль протокола сигнализации. [3-5]
Физический уровень
На физическом уровне Х.25 используются аналоговые выделенные линии, которые обеспечивают двухточечное соединение. Могут использоваться аналоговые телефонные линии, а также цифровые выделенные линии. На сетевом уровне нет контроля достоверности и управления потоком. На физическом уровне Х.25 реализуется один из протоколов X.21 или X.21bis.
Канальный уровень
На канальном уровне сеть Х.25 обеспечивает гарантированную доставку, целостность данных и контроль потока. На канальном уровне поток данных структурируется на кадры. Контроль ошибок производится во всех узлах сети. При обнаружении ошибки выполняется повторная передача данных. Канальный уровень реализуется протоколом LAP-B, который работает только с двухточечными каналами связи, поэтому адресация не требуется.
Сетевой уровень
Сетевой уровень Х.25 реализуется протоколом уровня пакета(Packet-Layer Protocol, PLP). На сетевом уровне кадры объединяются в один поток, а общий поток разбивается на пакеты. Протокол PLP управляет обменом пакетов через виртуальные цепи. Сеанс связи устанавливается между двумя устройствами DTE по запросу от одного из них. После установления коммутируемой виртуальной цепи эти устройства могут вести полнодуплексный обмен информации. [1]
1.3 Сети Frame Relay
Сеть Frame Relay является сетью с коммутацией кадров или сетью с ретрансляцией кадров, ориентированной на использование цифровых линий связи. Первоначально технология Frame Relay была стандартизирована как служба в сетях ISDN со скоростью передачи данных до 2 Мбит/с. В дальнейшем эта технология получила самостоятельное развитие. Frame Relay поддерживает физический и канальный уровни OSI. Технология Frame Relay использует для передачи данных технику виртуальных соединений (коммутируемых и постоянных).
Стек протоколов Frame Relay передает кадры при установленном виртуальном соединении по протоколам физического и канального уровней. В Frame Relay функции сетевого уровня перемещены на канальный уровень, поэтому необходимость в сетевом уровне отпала. На канальном уровне в Frame Relay выполняется мультиплексирование потока данных в кадры.
Frame Relay - осуществляет мультиплексирование в одном канале связи нескольких потоков данных. Кадры при передаче через коммутатор не подвергаются преобразованиям, поэтому сеть получила название ретрансляции кадров. Таким образом, сеть коммутирует кадры, а не пакеты. Скорость передачи данных до 44 Мбит/с, но без гарантии целостности данных и достоверности их доставки.
Frame Relay ориентирована на цифровые каналы передачи данных хорошего качества, поэтому в ней отсутствует проверка выполнения соединения между узлами и контроль достоверности данных на канальном уровне. За счет этого сети Frame Relay обладают высокой производительностью.
Технология Frame Relay в основном используется для маршрутизации протоколов локальных сетей через общие (публичные) коммуникационные сети. Frame Relay обеспечивает передачу данных с коммутацией пакетов через интерфейс между оконечными устройствами пользователя DTE (маршрутизаторами, мостами, ПК) и оконечным оборудованием канала передачи данных DCE (коммутаторами сети типа "облако").
Коммутаторы Frame Relay используют технологию сквозной коммутации, т.е. кадры передаются с коммутатора на коммутатор сразу после прочтения адреса назначения, что обеспечивает высокую скорость передачи данных.
На рисунке 2 представлена структурная схема сети Frame Relay, где изображены основные элементы:
1. DTE (data terminal equipment) – аппаратура передачи данных (маршрутизаторы, мосты, ПК).
2. DCE (data circuit-terminating equipment) – оконечное оборудование канала передачи данных (телекоммуникационное оборудование, обеспечивающее доступ к сети).

Рисунок 2 – Cтруктурная схема сети Frame Relay
Физический уровень Frame Relay
На физическом уровне Frame Relay используют цифровые выделенные каналы связи, протокол физического уровня I.430/431.
Канальный уровень Frame Relay
Канальный уровень реализуется протоколом LAP-F. Протокол LAP-F имеет два режима работы: основной и управляющий. В основном режиме кадры передаются без преобразования и контроля.[3-5]
2. Принципы построения и возможности сетей X.25 и Frame Relay
2.1 Принцип коммутации пакетов с использованием техники виртуальных каналов в сетях X.25 и Frame Relay
Смысл создания виртуального канала состоит в том, что маршрутизация пакетов между коммутаторами сети на основании таблиц маршрутизации происходит только один раз — при создании виртуального канала (имеется в виду создание коммутируемого виртуального канала, поскольку создание постоянного виртуального канала осуществляется вручную и не требует передачи пакетов по сети).
После создания виртуального канала передача пакетов коммутаторами происходит на основании так называемых номеров или идентификаторов виртуальных каналов(Virtual Channel Identifier, VCI). Каждому виртуальному каналу присваивается значение VCI на этапе создания – это значение имеет локальный характер — каждый коммутатор самостоятельно нумерует новый виртуальный канал. Кроме нумерации виртуального канала, каждый коммутатор при создании этого канала автоматически настраивает так называемые таблицы коммутации портов — эти таблицы описывают, на какой порт нужно передать пришедший пакет, если он имеет определенный номер VCI. Так что после прокладки виртуального канала через сеть коммутаторы больше не используют для пакетов этого соединения таблицу маршрутизации, а продвигают пакеты на основании номеров VCI небольшой разрядности.
Сами таблицы коммутации портов также включают обычно меньше записей, чем таблицы маршрутизации, так как хранят данные только о действующих на данный момент соединениях, проходящих через данный порт. [7]
2.1.1 Реализация техники виртуальных каналов в сетях X.25
На Сетевом уровне для вышележащих уровней сервис с установлением соединений обеспечивает протокол Х.25 уровня пакета(Packet-Layer Protocol, PLP). Поэтому на данном уровне определены процедуры установления виртуальных данных по виртуальным соединениям и разрыва виртуальных соединений. В протоколе PLP виртуальные соединения идентифицируются номером логического канала (Logical Channel Number, LCN), записанным в заголовке каждого пакета, относящегося к определенному вызову. Протокол Х.25 PLP является статически мультиплексируемым протоколом, т.е. через один канал связи протокола LAP-B канального уровня может быть одновременно установлено множество виртуальных соединений. Виртуальные соединения отличаются друг от друга уникальным I номером LCN.
Протокол PLP определяет следующие режимы:
Установление соединения используется для организации коммутируемой виртуальной цепи между DTE. Соединение устанавливается следующим образом. DTE вызывающей стороны посылает запрос своему локальному устройству DCE, которое включает в запрос адрес вызывающей стороны и неиспользованный адрес логического канала для использования его соединением. DCE определяет PSE, который может быть использован для данной передачи. Пакет, передаваемый по цепочке PSE, достигает конечного удаленного DCE, где определяется DTE узла назначения, к которому пакет и доставляется. Вызывающий DTE дает ответ своему DCE, а тот передает ответ удаленному DCE для удаленного DTE. Таким образом, создается коммутируемый виртуальный канал.
Режим передачи данных, который используется при обмене данными через виртуальные цепи. В этом режиме выполняется контроль ошибок и управление потоком.
Режим ожидания используется, когда коммутируемая виртуальная цепь установлена, но обмен данными не происходит.
Сброс соединения используется для завершения сеанса, осуществляется разрыв конкретного виртуального соединения.[8]
2.1.2 Реализация техники виртуальных каналов в сетях Frame Relay
Также как и в сети X.25, основу Frame Relay составляют виртуальные каналы (virtual circuits). Виртуальный канал в сети Frame Relay представляет собой логическое соединение которое создается между двумя устройствами DTE в сети Frame Relay и используется для передачи данных. В сети Frame Relay используется два типа виртуальных каналов — коммутируемые (Switched Virtual Circuit, SVC) и постоянные (Permanent Virtual Circuit,PVC).
Коммутируемые виртуальные каналы представляют собой временные соединения, которые предназначены для передачи импульсного трафика между двумя устройствами DTE в сетях Frame Relay. Процесс передачи данных с использованием SVC состоит из четырёх последовательных фаз:
· Установление вызова (Call Setup) – на этом этапе создается виртуальное соединение между двумя DTE;
· Передача данных(Data Transfer) – фаза непосредственной передачи данных;
· Ожидание(Idle) – виртуальное соединение ещё существует, однако передача данных через него уже не производится. В том случае, если период ожидания превысит установленное значение тайм-аута, соединение может быть завершено автоматически;
· Завершение вызова(Call Termination) – на этом этапе выполняются операции, которые необходимы для завершения соединения;
Несмотря на то, что использование SVC придает определенную гибкость сетевым решениям, этот механизм не получил большого распространения в сетях Frame Relay.
Постоянные каналы PVC представляют собой постоянное соединение, которое обеспечивает информационный обмен между двумя DTE устройствами в сети Frame Relay. Процесс передачи данных по каналу PVC имеет всего две фазы:
· Передача данных – фаза непосредственной передачи данных;
· Ожидание – виртуальное соединение существует, однако передача данных через него не производится. В отличие от SVC, постоянный канал PVC не может быть автоматически разорван в том случае, если он не используется для передачи данных.
Идентификаторы виртуальных каналов
Для обозначения виртуальных каналов в сети Frame Relay используется аппарат DLCI (Data-Link Connection Identifier). По своему назначению в сетях Frame Relay идентификатор DLCI совпадает со назначением номера логического канала в сетях X.25. DLCI определяет номер виртуального порта для процесса пользователя. Устройство FRAD LAN1(Frame Relay Access Device) использует виртуальный канал DLCI 101 для организации обмена данными с сетью LAN 2 и виртуальный канал DLCI 102 для организации обмена данными с сетью LAN 3. Для организации обмена данными с сетью LAN 1 устройство FRAD LAN 2 использует виртуальный канал DLCI 200. Обычно идентификатор DLCI имеет только локальное значение и не является уникальным в пределах сети. Конкретные значения DLCI для каждого пользователя определяются провайдером сервиса Frame Relay.(рисунок 3)[ 12]

Рисунок 3 – Идентификаторы виртуальных каналов
2.2 Характеристики и особенности сетей X.25
2.2.1 Особенности сетей Х.25
Технология Х.25 имеет несколько существенных признаков, отличающих ее от других технологий. Наличие в структуре сети специального устройства — PAD (Packet Assembler Disassembler), предназначенного для выполнения операции сборки нескольких низкоскоростных потоков байт от алфавитно-цифровых терминалов в пакеты, передаваемые по сети и направляемые компьютерам для обработки.[10-11]
Наличие трехуровневого стека протоколов с использованием на канальном и сетевом уровнях протоколов с установлением соединения, управляющих потоками данных и исправляющих ошибки.
Ориентация на однородные стеки транспортных протоколов во всех узлах сети — сетевой уровень рассчитан на работу только с одним протоколом канального уровня и не может подобно протоколу IP объединять разнородные сети. Сеть Х.25 состоит из коммутаторов (Switches, S), расположенных в различных географических точках и соединенных высокоскоростными выделенными каналами. Выделенные каналы могут быть как цифровыми, так и аналоговыми.
2.2.2 Структура сети Х.25
Ниже на рисунке 4 приведена структура сети Х 25.
Асинхронные старт-стопные терминалы подключаются к сети через устройства PAD. Они могут быть встроенными или удаленными. Встроенный PAD обычно расположен в стойке коммутатора. Терминалы получают доступ ко встроенному устройству PAD по телефонной сети с помощью модемов с асинхронным интерфейсом. Встроенный PAD также подключается к телефонной сети с помощью нескольких модемов с асинхронным интерфейсом. Удаленный PAD представляет собой небольшое автономное устройство, подключенное к коммутатору через выделенный канал связи Х.25.

Рисунок 4 – Структура сети X.25
К основным функциям PAD, определенных стандартом Х.З, относятся:
· сборка символов, полученных от асинхронных терминалов, в пакеты;
· разборка полей данных в пакетах и вывод данных на асинхронные терминалы;
· управление процедурами установления соединения и разъединения по сети Х.25 с нужным компьютером;
· передача символов, включающих старт-стопные сигналы и биты проверки на четность, по требованию асинхронного терминала;
· продвижение пакетов при наличии соответствующих условий, таких как заполнение пакета, истечение времени ожидания и др.
Терминалы не имеют конечных адресов сети Х.25. Адрес присваивается порту PAD, который подключен к коммутатору пакетов Х.25 с помощью выделенного канала.
2.2.3 Адресация в сетях Х.25
Если сеть Х.25 не связана с внешним миром, то она может использовать адрес любой длины (в пределах формата поля адреса) и давать адресам произвольные значения. Максимальная длина поля адреса в пакете Х.25 составляет 16 байт.
Рекомендация Х.121 CCITT определяет международную систему нумерации адресов для сетей передачи данных общего пользования. Если сеть Х.25 хочет обмениваться данными с другими сетями Х.25, то в ней нужно придерживаться адресации стандарта Х.121.
Адреса Х.121 (называемые также International Data Numbers, IDN) имеют разную длину, которая может доходить до 14 десятичных знаков. Первые четыре цифры IDN называют кодом идентификации сети (Data Network Identification Code, DNIC). DNIC поделен на две части; первая часть (3 цифры) определяет страну, в которой находится сеть, а вторая — номер сети Х.25 в данной стране. Таким образом, внутри каждой страны можно организовать только 10 сетей Х.25. Если же требуется перенумеровать больше, чем 10 сетей для одной страны, проблема решается тем, что одной стране дается несколько кодов. Остальные цифры называются номером национального терминала (National Terminal Numbe, NTN). Эти цифры позволяют идентифицировать определенный DTE в сети Х.25. [10-11]
Международные сети Х.25 могут также использовать международный стандарт нумерации абонентов ISO 7498.
2.2.4 Стек протоколов сети Х.25
Стандарты сетей Х.25 описывают 3 уровня протоколов. На рисунке 5 показан стек протоколов сети Х.25.[1,13]

Рисунок 5 – Стек протоколов сети Х.25
2.2.4.1 Протокол канального уровня LAP-B
На канальном уровне обычно используется протокол LAP-B. Этот протокол обеспечивает сбалансированный режим работы, то есть оба узла, участвующих в соединении, равноправны. По протоколу LAP-В устанавливается соединение между пользовательским оборудованием DТЕ (компьютером, IP- или IPX-маршрутизатором) и коммутатором сети. Хотя стандарт это и не оговаривает, но по протоколу LAP-B возможно также установление соединения на канальном уровне внутри сети между непосредственно связанными коммутаторами.. Кадр LAP-B содержит одно однобайтовое адресное поле (а не два — DSAP и SSAP), в котором указывается не адрес службы верхнего уровня, а направление передачи кадра — 0x01 для направления команд от DTE к ВСЕ (в сеть) или ответов от ВСЕ к DTE (из сети) и 0x03 для направления ответов от DTE к ВСЕ или команд от ВСЕ к ВТЕ. Поддерживается как нормальный режим (с максимальным окном в 8 кадров и однобайтовым полем управления), так и расширенный режим (с максимальным окном в 128 кадров и двухбайтовым полем управления).[14]
2.2.4.2 Протокол сетевого уровня X.25/3
Сетевой уровень Х.25/3 (в стандарте он назван не сетевым, а пакетным уровнем) реализуется с использованием 14 различных типов пакетов, по назначению аналогичных типам кадров протокола LAP-B. Так как надежную передачу данных обеспечивает протокол LAP-B, протокол Х.25/3 выполняет функции маршрутизации пакетов, установления и разрыва виртуального канала между конечными абонентами сети и управления потоком пакетов.
После установления соединения на канальном уровне конечный узел должен установить виртуальное соединение с другим конечным узлом сети. Для этого он в кадрах LAP-B посылает пакет Call Request протокола Х.25.

Рисунок 6 – Формат пакета Call Request
Поля, расположенные в первых трех байтах заголовка пакета, используются во всех типах кадров протокола Х.25. Признаки Q и D и Modulo расположены в старшей части первого байта заголовка. Признак Q предназначен для распознавания на сетевом уровне типа информации в поле данных пакета. Признак D означает подтверждение приема пакета узлом назначения.
Признак «Modulo» говорит о том, по какому модулю - 8 или 128 -ведется нумерация пакетов. Значение 10 означает модуль 128, а 01- модуль 8.
Поле Номер логической группы (Lodical Group Number, LGN) содержит значение номера логической группы виртуального канала. Каналы образуют логические группы по функциональному признаку.
Поле Номер логического канала (Logical Channel Number, LCN) содержит номер виртуального канала, назначаемый узлом-источником (для коммутируемых виртуальных каналов) или администратором сети (для постоянных виртуальных каналов). Максимальное количество виртуальных каналов, проходящих через один порт, равно 256.
Поле Tim (Tyре) указывает тип пакета. Например, для пакета Call Request отведено значение типа, равное ОхОВ.
Следующие два поля определяют длину адресов назначения и источника (DA и SA) в пакете. Сами адреса назначения и источника занимают отведенное им количество байт в следующих двух полях.
Поля Длина поля услуг (Facilities length) и Услуги (Facilities) нужны для согласования дополнительных услуг, которые оказывает сеть абоненту.
Пакет Call Request принимается коммутатором сети и маршрутизируется на основании таблицы маршрутизации, прокладывая при этом виртуальный канал. Начальное значение номера виртуального канала задает пользователь в этом пакете в поле LCN (аналог поля VCI, упоминавшегося при объяснении принципа установления виртуальных каналов). Протокол маршрутизации для сетей Х.25 не определен.
Для сокращения размера адресных таблиц в коммутаторах в сетях Х.25 реализуется принцип агрегирования адресов. Все терминалы, имеющие общий префикс в адресе, подключаются при этом к общему входному коммутатору подсети, соответствующей значению префикса. Маски в коммутаторах не используются, а младшие разряды адреса, которые не нужны при маршрутизации, просто опускаются.
После установления виртуального канала конечные узлы обмениваются пакетами другого формата — формата пакетов данных (пакет Data). Этот формат похож на описанный формат пакета Call Request — первые три байта в нем имеют те же поля, а адресные поля и поля услуг отсутствуют. [1,14]
2.2.5 Характеристики и возможности коммутаторов сетей X.25
Коммутаторы сетей Х.25 представляют собой гораздо более простые и дешевые устройства по сравнению с маршрутизаторами сетей TCP/IP. Это объясняется тем, что они не поддерживают процедур обмена маршрутной информацией и нахождения оптимальных маршрутов, а также не выполняют преобразований форматов кадров канальных протоколов. По принципу работы они ближе к коммутаторам локальных сетей, чем к маршрутизаторам. Однако работа, которую выполняют коммутаторы Х.25 над пришедшими кадрами, включает больше этапов, чем при продвижении кадров коммутаторами локальных сетей. Коммутатор Х.25 должен принять кадр LAP-B и ответить на него другим кадром LAP-B, в котором подтвердить получение кадра с конкретным номером. При утере или искажении кадра коммутатор должен организовать повторную передачу кадра. Если же с кадром LAP-B все в порядке, то коммутатор должен извлечь пакет Х.25, на основании номера виртуального канала определить выходной порт, а затем сформировать новый кадр LAP-В для дальнейшего продвижения пакета. Коммутаторы локальных сетей такой работой не занимаются и просто передают кадр в том виде, в котором он пришел, на выходной порт.[16]
В результате производительность коммутаторов Х.25 оказывается обычно невысокой — несколько тысяч пакетов в секунду. Для низкоскоростных каналов доступа, которыми много лет пользовались абоненты этой сети (1200-9600 бит/с), такой производительности коммутаторов хватало для работы сети.
Гарантий пропускной способности сеть Х.25 не дает. Максимум, что может сделать сеть, — это приоритезировать трафик отдельных виртуальных каналов. Приоритет канала указывается в запросе на установление соединения в поле услуг.
Протоколы сетей Х.25 были специально разработаны для низкоскоростных линий с высоким уровнем помех. Именно такие линии составляют пока большую часть телекоммуникационной структуры нашей страны, поэтому сети Х.25 будут по-прежнему еще долго являться наиболее рациональным выбором для многих регионов
2.3 Характеристики и особенности сетей Frame Relay
2.3.1 Особенности сетей Frame Relay
Сети Frame Relay - сравнительно новые сети, которые гораздо лучше подходят для передачи пульсирующего трафика локальных сетей по сравнению с сетями Х.25, правда, это преимущество проявляется только тогда, когда каналы связи приближаются по качеству к каналам локальных сетей, а для глобальных каналов такое качество обычно достижимо только при использовании волоконно-оптических кабелей.
Преимущество сетей Frame Relay заключается в их низкой протокольной избыточности и дейтаграммном режиме работы, что обеспечивает высокую пропускную способность и небольшие задержки кадров. Надежную передачу кадров технология Frame Relay не обеспечивает. Сети Frame Relay специально разрабатывались как общественные сети для соединения частных локальных сетей. Они обеспечивают скорость передачи данных до 2 Мбит/с.
Особенностью технологии Frame Relay является гарантированная поддержка основных показателей качества транспортного обслуживания локальных сетей - средней скорости передачи данных по виртуальному каналу при допустимых пульсациях трафика.[1,10-12]
Технология Frame Relay требует:
· оконечных устройств, оснащенных интеллектуальными протоколами высоких уровней;
· виртуальных, свободных от ошибок каналов связи;
· прикладных средств, способных осуществлять различные передачи.
Данная технология не только очень подходит для управления пульсирующими трафиками между ЛВС и между ЛВС и территориальной сетью, но и адаптируется для передачи такого чувствительного к передаче трафика, как голос.
2.3.2 Стек протоколов сетей Frame Relay
Структура стека (рисунок 7) хорошо отражает происхождение технологии Frame Relay в недрах технологии ISDN, так как сети Frame Relay заимствуют многое из стека протоколов ISDN, особенно в процедурах установления коммутируемого виртуального канала.

Рисунок 7 – Стек протоколов Frame Relay
Основу технологии составляет протокол LAP-F core, который является весьма упрощенной версией протокола LAP-D. Протокол LAP-F (стандарт Q.922 ITU-T) работает на любых каналах сети ISDN, а также на каналах типа Т1/Е1. Терминальное оборудование посылает в сеть кадры LAP-F в любой момент времени, считая что виртуальный канал в сети коммутаторов уже проложен.
Формат кадра Frame Relay приведен на рисунке 8.

Рисунок 8 – Формат кадра Frame Relay
Кадр имеет различную длину, а заголовок коммутируемого кадра содержит 10-битовый номер, идентификатор соединения канала данных (Data Link Connection Identifier - DLCI).
Приведем назначение полей заголовка кадра Frame Relay:
DLCI - идентификатор соединения;
C/R - поле прикладного назначения, не используется протоколом Frame Relay и передается по сети прозрачно;
EA - определяет 2-х, 3-х или 4-х байтовое поле адреса;
FECN - информирует узел назначения о заторе;
BECN - информирует узел-источник о заторе;
DE - идентифицирует кадры, которые могут быть сброшены в случае затора.
Используя DLCI, DCE направляет данные от DTE через сеть в следующей последовательности:
Frame Relay DTE инкапсулирует пришедший пакет или кадр в Frame Relay -кадр. DTE задает корректный DLCI-адрес, который берется из специальной таблицы рандеву (look-up table), в которой определено соответствие между локальным адресом пакета и соответствующим номером DLCI.
DCE проверяет целостность кадра, используя контрольную последовательность FCS и в случае обнаружения ошибки сбрасывает кадр.
DCE ищет номер DLCI в таблице перекрестных соединений (Cross-Connect Table) и, в случае если для указанного DLCI не определена связь кадр сбрасывается.
DCE отправляет кадр к узлу назначения, через выталкивание кадра в порт, специфицированный в таблице перекрестных ссылок.[1,10-11]
По сравнению со своим предшественником, X.25, Frame Relay имеет значительные преимущества в производительности. Во время разработки X.25 соединения в глобальных сетях создавались по большей части на основе менее надежной аналоговой технологии. Поэтому, чтобы пакеты прибывали к получателю без ошибок и по порядку, X.25 требует от каждого промежуточного узла между отправителем и получателем подтверждения целостности пакета и исправления любой обнаруженной ошибки. Связь с промежуточным хранением замедляет передачу пакетов, так как каждый узел проверяет FCS каждого поступающего пакета и только затем передает его дальше. Таким образом, в сети с каналами низкого качества возникают нерегламентированные непостоянные по величине задержки передаваемых данных. Поэтому невозможно передавать по сетям X.25 чувствительный к задержкам трафик (например, оцифрованную речь) с удовлетворительным качеством.
С появлением высоконадежных цифровых каналов такая проверка стала излишней. Поэтому в Frame Relay, использование которого подразумевает наличие цифровой инфраструктуры, не включены функции поиска и коррекции ошибок. Коммутаторы Frame Relay используют технологию сквозной коммутации, при которой каждый пакет направляется на следующий транзитный узел сразу же по прочтении адресной информации, что исключает неравномерные задержки. Если случается какая-либо ошибка, коммутаторы Frame Relay отбраковывают кадры. Функция исправления ошибок возлагается на межконцевой протокол более высокого уровня (например TCP или SPX). При таком подходе накладные расходы по обработке в расчете на кадр снижаются, что значительно повышает пропускную способность и делает ее регламентируемой.[17]
2.3.4 Механизм управления потоками
Технология Frame Relay имеет специальный механизм управления потоками, позволяющий обеспечивать более гибкое мультиплексирование разнородного трафика.
Управление потоком - это процедура регулирования скорости, с которой маршрутизатор подает пакеты на коммутатор. Если принимающий коммутатор не в состоянии принять еще какие-либо пакеты (например, из-за перегрузки), то при помощи данного протокола можно потребовать приостановить отправку пакетов с маршрутизатора и, после разгрузки, продолжить ее. Этот процесс гарантирует, что принимающему коммутатору не надо отбраковывать кадры. Frame Relay не поддерживает этот протокол в полной мере; если у коммутатора Frame Relay не достаточно буферного пространства для приема поступающих кадров, то он отбраковывает кадры с установленным флагом DE - разрешение на отбраковку. Однако, маршрутизатор может инициализировать процедуру восстановления данных, что может привести к еще большему затору.
Решение этой проблемы возлагается частично на протоколы верхлежащего уровня, например, - TCP/IP, который поддерживает некоторую степень механизма управления потоками, а также на использование битов FECN, BECN - флагов явного извещения о перегрузке в прямом и обратном направлениях причем последние являются особенностями FR.
Информационные биты FECN и BECN выставляются в момент попадания кадра в затор трафика. Маршрутизаторы с интерфейсом Frame Relay могут расшифровать значения этих битов и активизировать управление потоком на базе протокола верхлежащего уровня, например, - TCP/IP.[17]
Надо отметить, что представленный механизм не вписался бы в концепцию регламентирования пропускной способности сети, поддерживаемую Frame Relay, без введения соглашения о согласованной скорости передачи информации (Committed Information Rate, CIR).
2.3.5 Концепция согласованной скорости передачи информации
CIR - минимальная пропускная способность, гарантированная каждому PVC или SVC. Эта скорость (измеряется в битах в секунду) выбирается клиентом сети Frame Relay в соответствии с объемом данных, которые он собирается передавать по сети, и гарантируется она оператором сети Frame Relay или администратором. На текущий момент скорость варьируется от 16 Кбит/с до 44,8 Мбит/с. Если пакетные посылки не превосходят скорость порта подключения клиента и пропускная способность сети Frame Relay в данный момент имеет свободные ресурсы, то клиент может превысить согласованное значение CIR. Скорость, с которой клиент посылает данные при наличии достаточной пропускной способности, называется оverscription rate.[18]
В случае перегруженности сети, коммутаторы отбрасывают избыточные (выходящие за пределы CIR) кадры. Поле разрешения на отбраковку (DE) в кадре Frame Relay позволяет регулировать этот процесс. Для каждого кадра, пересылаемого по сети, коммутатор Frame Relay устанавливает бит DE, если данный кадр превышает спецификацию CIR клиента. В случае затора кадры, с установленным флагом DE могут быть отбракованы.
Реально, в сетях Frame Relay, наряду с CIR используется усредненная за определенный промежуток времени Tc (скажем, за одну секунду) скорость, которую сеть "обязуется" поддерживать по соединению PVC или SVC.
Усреднение по времени играет здесь важную роль. Предположим, что через линию доступа с пропускной способностью 64 Кбит/с пользователь определяет одно виртуальное соединение с CIR, равной 32 Кбит/с. Это значит, что приняв, например, в первые полсекунды 32 Кбит, коммутатор вправе отвергнуть все остальные биты, пришедшие за остальные полсекунды. Поэтому вводится понятие согласованного импульсного объема передаваемой информации (Committed Burst Size - Bc ) - максимального объема данных, который сеть "обязуется" передавать за время Tc . Это время вычисляют следующим образом: Tc =Bc /CIR, а по своей сути оно пропорционально неравномерности трафика.
Если кадры не укладываются в рамки, задаваемые параметрами CIR и Bc , то они передаются с установленным битом DE. При этом часто используют еще один параметр - избыточный импульсный объем передаваемой информации (Excess Burst Size - Be ). Он определяет максимальный объем данных сверх Bc (избыточные данные), который коммутатор попытается передать в течение времени Тс. Вероятность доставки данных Ве , передающихся с установленным флагом DE, очевидно, ниже вероятности доставки данных Bc . Все данные, превышающие объем Ве , коммутатор отбраковывает. Пропускная способность линии доступа делится на три зоны:
· согласованные данные, с гарантированной передачей;
· избыточные данные (с установленным битом DE), которые передаются в зависимости от доступных сети ресурсов;
· все данные сверх избыточных, которые коммутатор автоматически отбрасывает.
Реализация этих правил может существенно различаться как в оборудовании Frame Relay различных производителей, так и в сетях компаний - поставщиков услуг Frame Relay. Широко используется случай предоставления пользователю выбора только одного параметра соединения - скорости CIR. При этом граница избыточных данных передвигается "вверх" и приравнивается скорости порта доступа. Таким образом устраняется "мертвая зона", при попадании в которую данные автоматически сбрасываются.
Концепция согласованной скорости передачи - это механизм согласования со стандартом Frame Relay (предлагающим регламентированную пропускную способность), предназначенный для разрешения заторов в сети, посредством определения класса сервиса для Frame Relay DTE и контроля доступа оборудования пользователя к пропускной способности сети. Для этого, при конфигурировании соединения PVC определяются следующие параметры CIR:
Bc (Committed Burst Size) - объем данных, передаваемый гарантированно за время Tc ;
Be (Excess Burst Size) - объем данных над Bc , передаваемый в случае достаточности ресурсов полосы пропускания;
DE (Discard Eligibility) - флаг разрешения на отбраковку;
Tc (sampling interval) временной интервал для измерения Bc и Be , равный Bc /CIR.
Как уже было отмечено, технология Frame Relay позволяет использовать для передачи чувствительного к задержкам трафика (речь и т.п.) механизм резервирования полосы канала, близкий к тому, который применяется при временном разделении каналов, а для обычных данных - статистическое приоритетное мультиплексирование. Все это в совокупности с некоторыми другими механизмами позволяет обеспечить постоянный темп передачи речевых пакетов.
Современное оборудование Frame Relay, помимо компрессии речи (в 10-15 раз), обычно реализует ряд специальных алгоритмов ее обработки, которые позволяют в еще большей степени использовать особенности трансляции кадров.
Одним из механизмов является подавление пауз. Как правило, телефонные собеседники говорят по очереди. При разговоре по обычному телефону с ‘молчащей’ стороны передается специальный шумовой сигнал. Кроме того, существуют паузы между словами и предложениями. По статистике во время телефонных переговоров более 60% полосы пропускания канала используется на передачу тишины. При автоматическом определении отсутствия полезного сигнала всю полосу канала можно использовать для передачи данных. На приемной стороне в это время генерируется ‘розовый’ шум, для того чтобы у пользователя не создавалось впечатления ‘мертвой’ линии.
Еще одним интересным механизмом является ‘переменная скорость оцифровки’. Определяется наименьшая (базовая) скорость оцифровки, которая обеспечивает минимально приемлемое качество передачи речи, и формируется поток ‘базовых’ кадров, а при наличии свободной полосы канала - ‘дополнительные’ пакеты, улучшающие качество речи. Такой алгоритм обработки телефонного трафика легко реализуется (подробно рассмотренными выше) средствами Frame Relay (использование флага DE в кадрах, передающих ‘дополнительную’ информацию, что дает возможность сети сбросить эти кадры в случае перегрузки).
2.3.7 Средства защиты от сбоев
Осуществление соединения по глобальной сети связано с некоторой неопределенностью, т.к вы не владеете этой сетью и, таким образом, не имеете контроля над трактами. В подобных ситуациях соединения по глобальной сети, должны быть чрезвычайно отказоустойчивы. Frame Relay отвечает этому требованию благодаря обеспечению динамической ремаршрутизации в случае отказа PVC.
Физически сети Frame Relay образуют ячеистую структуру коммутаторов. Одно из преимуществ такой ячеистой конфигурации состоит в том, что она обеспечивает определенную степень отказоустойчивости. Если из-за выхода из строя какого либо узла PVC становится недоступным, то соседний коммутатор перенаправит соединение по альтернативному информационному каналу. В результате характеристики передачи лишь несколько ухудшатся. Кроме того, благодаря такой ячеистой конфигурации коммутаторы могут направлять кадры в обход других коммутаторов, если те испытывают значительную перегрузку.
Для защиты от сбоев на уровне узла операторы или администраторы Frame Relay предлагают две опции: запасные и резервные PVC. В случае запасного соединения (standby PVC) PVC устанавливается и активизируется в запасном узле; этот канал имеет существенно меньшую скорость CIR, чем основное PVC. Если вдруг узел пострадает от землетрясения или пожара, то запасное PVC будет активизировано практически немедленно.
В случае резервного соединения (backup PVC) PVC устанавливается на запасной площадке, но не активизируется. Если функционирование основного узла невозможно, PVC будет активизировано. Запасное PVC подходит для наиважнейших приложений благодаря тому, что его емкость может быть временно увеличена для предоставления более высокой пропускной способности; администратору сети достаточно только программного вмешательства в конфигурацию сети и будет предоставлена дополнительная пропускная способность до тех пор, пока основной канал не будет восстановлен.
3. Оценка преимуществ и недостатков сетей X.25 и Frame Relay
Метод коммутации пакетов, лежащий в основе сетей X.25, определяет основные преимущества таких сетей, или другими словами, их область применения. Рассматриваемые сети позволяют в режиме реального времени разделять один и тот же физический канал нескольким абонентам в отличие например от случая использования пары модемов, соединенных через канал того или иного типа. Благодаря реализованному в сетях X.25 механизму разделения канала одновременно между несколькими пользователями во многих случаях оказывается экономически выгодней для передачи данных пользоваться сетью X.25, производя оплату за каждый байт переданной или полученной информации, а не оплачивать время использования телефонной линии. Особенно ощутимо это преимущество может быть для международных соединений.[1,4-5]
Метод разделения физического канала между абонентами в сетях X.25 называют еще мультиплексированием канала, точнее "логическим" или "статистическим" мультиплексированием, изображенные на рисунке 9. Термин "логическое" мультиплексирование" вводится, чтобы отличить этот метод от временного разделения канала, например. При временном разделении канала каждому из разделяющих его абонентов выделятся в рамках каждой секунды строго определенное количество миллисекунд для передачи его информации. При статистическом разделении канала нет строго регламентированной степени загрузки каждым из абонентов канала в каждый определенный момент времени. Эффективность использования статистического мультиплексирования зависит от статистических или вероятностных характеристик мультиплексируемого потока информации. Известно, что использование сети X.25 эффективно для широкого спектра задач передачи данных. Среди них и обмен сообщениями между пользователями, и обращение большого количества пользователей к удаленной базе данных, а также к удаленному хосту электронной почты, связь локальных сетей (при скоростях обмена не более 512 Кбит/с), объединение удаленных кассовых аппаратов и банкоматов. Другими словами, все приложения, в которых трафик в сети не является равномерным во времени.

Рисунок 9 - Метод разделения физического канала между абонентами
Одно из самых важных достоинств сетей построенных на протоколах, описанных в рекомендации X.25, состоит в том что они позволяют передавать оптимальным образом данные по каналам телефонной сети общего пользования (выделенным и коммутируемым). Под "оптимальностью" имеется в виду достижение максимально возможных на указанных каналах скорости и достоверности передачи данных.
При улучшении качества каналов становится возможным переход к сетям, базирующимся на других протоколах. Чтобы лучше понять это, можно рассмотреть пример протоколов, являющихся в определенном смысле дальнейшим развитием протоколов X.25, а именно протоколе Frame Relay.
Протокол Frame Relay рассчитан на каналы существенно более высокого качества, поэтому в них меньшее внимание уделяется защите от ошибок при передаче. Переповтор искаженных пакетов происходит только на всем участке: точка входа в сеть - точка выхода из сети. Если же искаженный кадр обнаруживается при приеме кадра на одном из внутренних участках сети, то этот кадр просто стирается без запроса его повторной передачи. Ясно, что в том случае, когда ошибок много, такой протокол обеспечит более низкие скорости передачи, чем протоколы X.25.
Большинство фирм, выпускающих сегодня оборудование сетей X.25, выпускает также и оборудование сетей Frame Relay. Часто в одном и том же изделии часть каналов может работать по стандарту X.25, а часть - по стандарту Frame Relay. Это очень удобно при создании магистральной сети, работающей скажем на оптоволоконных или спутниковых каналах связи и сопряжении ее с периферийной сетью, базирующейся на обычных телефонных каналах.
Эффективным механизмом оптимизации процесса передачи информации через сети X.25 является механизм альтернативной маршрутизации. Возможность задания помимо основного маршрута альтернативных, т.е. резервных, имеется в оборудовании X.25, производимом практически всеми фирмами. Различные образцы оборудования отличаются по алгоритму перехода к альтернативному маршруту, а также по количеству альтернативных маршрутов. В некоторых типах оборудования например переход к альтернативному маршруту происходит только в случае полного отказа одного из звеньев основного маршрута. В других переход от одного маршрута к другому происходит динамически в зависимости от загруженности маршрутов и решение принимается на основании многопараметрической формулы. За счет альтернативной маршрутизации могут быть значительно увеличена надежность работы сети. Однако это означает, что между любыми двумя точками подключения пользователя к сети должно быть по крайней мере два различных маршрута. В связи с этим построение сети по звездообразной схеме можно считать вырожденным случаем. К сожалению, такая топология сети еще достаточно часто используется в тех городах, в которых есть только один узел сети X.25, установленный в рамках той или иной сети общего пользования.
Когда X.25 создавался, преобладали аналоговые системы передачи данных и медные линии связи. Стремясь нивелировать невысокое качество каналов того времени, стандарт использует систему обнаружения и коррекции ошибок, что существенно повышает надежность связи, но зато замедляет общую скорость передачи данных. Кроме того, каждый коммутатор, через который проходит пакет информации, выполняет анализ его содержимого, что также требует времени и больших процессорных мощностей. С появлением оптоволоконных сетей столь высокие требования надежности, реализуемые X.25, стали излишними – достоинство протокола превратилось в его недостаток. Скорость передачи по протоколу Х.25 не превышает 64 Кб/с.
Можно сделать вывод, что основным недостатком сетей X.25 являются значительные задержки передачи пакетов, поэтому ее невозможно использовать для передачи голоса и видеоинформации.[11]
Протоколом, призванным исправить недостатки X.25, стал Frame Relay. Он использует тот же принцип виртуальных каналов, однако анализ ошибок осуществляется только на пограничных точках сети, что привело к существенному увеличению скорости (в настоящее время – до 45 Мб/с). Существенным достоинством протокола стала возможность приоритезации разнородного трафика (включая данные, голос и видео), то есть пакетам различных приложений могут предоставляться различные классы обслуживания, благодаря чему пакеты с более высоким приоритетом доставляются "вне очереди". Основными недостатками технологии Frame Relay являются:
- высокая стоимость качественных каналов связи;
- не обеспечивается достоверность доставки кадров.
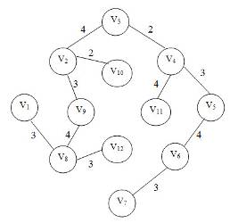
4. Решение задачи анализа и синтеза сети передачи данных
Структурная схема сети передачи данных:![]()

Задача анализа сети состоит в расчете параметров сети в целом или отдельных ее фрагментов с целью определения степени соответствия характеристик сети заданным нормативам:
1) построим матрицу смежности V12×12 = {vij };

2) показатель связности сети определим по формуле:
α = 
где R = ||V|| = 36;
3) рассчитаем диаметр структуры и нагрузку сети d = extri,j dij :


;


![]()


;


![]()


![]()

![]()

![]()


Аналогично находим:
|
|
|
|
zmax = max[z1 , z2 , z3 , z4 ,…, z65 ,z66 ]
z1
=
= 43,90;
Аналогично находим:
|
|
|
|
|
zmax = z17 = 102,10;
1. индекс центральности структуры рассчитаем по формуле:
β=
= 1,09.
2. показатель сложности структуры определим по формуле:
ρ=![]()
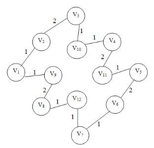
Задача синтеза сети состоит в выборе структуры, алгоритмики и разработке технических комплексов сети ПД, обеспечивающих выполнение за-данных нормативов к обмену сообщениями между абонентами сети и оптимизирующих некоторую целевую функцию. Воспользуемся алгоритмом алгоритмом Гомори-Ху:
1) строим дерево доминирующих потоков T. Для построения дерева доминирующих потоков Т используем алгоритм Краскала, при условии, что в графе веса ребер берем с противоположными знаками.
2) Производим последовательно разложение дерева доминирующих потоков Т на деревья с равномерными потоками:

|

|
|


1) Синтез циклов. Каждое поддерево заменяется циклом, проходящим через его вершины.
2) Построение результирующей сети G. Результирующая сеть синтезируется с помощью геометрического положения всех циклов, при этом веса ребер графа равны сумме весов соответствующих ребер в циклах:

Можно показать, что полученная сеть, синтезированная таким образом, удовлетворяет требованиям по обмену сообщениями и имеет минимальную пропускную способность.
Заключение
По результатам выполнения данной курсовой работы можно сделать следующие выводы:
1) Техника виртуальных каналов, лежащая в основе построения сетей X.25 и Frame Relay заключается в разделении операций маршрутизации и коммутации пакетов. Первый пакет таких сетей содержит адрес вызываемого абонента и прокладывает виртуальный путь в сети, настраивая промежуточные коммутаторы. Остальные пакеты проходят по виртуальному каналу в режиме коммутации на основании номера виртуального канала, который является локальным адресом для каждого порта каждого коммутатора. Преимуществами являются: ускоренная коммутация пакетов по номеру виртуального канала, а также сокращение адресной части пакета, а значит, и избыточности заголовка. К недостаткам следует отнести невозможность распараллеливания потока данных между двумя абонентами по параллельным путям, а также неэффективность установления виртуального пути для кратковременных потоков данных.[1]
2) Сети Х.25 относятся к одной из наиболее старых и отработанных технологий глобальных сетей. Трехуровневый стек протоколов сетей Х.25 хорошо работает на ненадежных зашумленных каналах связи, исправляя ошибки и управляя потоком данных на канальном и пакетном уровнях.
3) Сети Х.25 поддерживают групповое подключение к сети простых алфавитно-цифровых терминалов за счет включения в сеть специальных устройств PAD, каждое из которых представляет собой особый вид терминального сервера.
4) На надежных волоконно-оптических каналах технология Х.25 становится избыточной и неэффективной, так как значительная часть работы ее протоколов ведется «вхолостую».
5) Сети Frame Relay работают на основе весьма упрощенной, по сравнению с сетями Х.25, технологией, которая передает кадры только по протоколу канального уровня - протоколу LAP-F. Кадры при передаче через коммутатор не подвергаются преобразованиям, из-за чего технология и получила свое название.
6) Важной особенностью технологии Frame Relay является концепция резервирования пропускной способности при прокладке в сети виртуального канала. Сети Frame Relay создавались специально для передачи пульсирующего компьютерного трафика, поэтому при резервировании пропускной способности указывается средняя скорость трафика CIR и согласованный объем пульсаций Вс .
7) Сеть Frame Relay гарантирует поддержку заказанных параметров качества обслуживания за счет предварительного расчета возможностей каждого коммутатора, а также отбрасывания кадров, которые нарушают соглашение о трафике, то есть посылаются в сеть слишком интенсивно.
8) Большинство первых сетей Frame Relay поддерживали только службу постоянных виртуальных каналов, а служба коммутируемых виртуальных каналов стала применяться на практике только сравнительно недавно.
Список используемых источников
1. Олифер В.Г., Олифер Н.А. Компьютерные сети: Принципы, технологии, протоколы: Учебник для вузов изд. 2-е. Спб.: Питер, 2005. 864 с.
2. Брейман А.Д. Сети ЭВМ и телекоммуникации. Глобальные сети. Учебное пособие. М.: МГУПИ, 2006. 116 с.
3. Савостицкий Ю.А. История развития глобальных компьютерных сетей. Учебное пособие. М.: МИС, 2006. 512 с.
4. Шакин В.Н., Лившиц В.М. Принципы построения глобальных сетей и анализ их характеристик: Учебное пособие для слушателей ФПКП. М.: МИС, 2006. 375 с.
5. Вишневский В.М. Теоретические основы проектирования компьютерных сетей. М.: Техносфера, 2003. 219 с.
6. Платонов В. Глобальная информационная сеть. - М.: Проспект, 2006
7. Бройдо, Владимир Львович. Вычислительные системы, сети и телекоммуникации. СПб.: Питер, 2003. 688 с.
8. Репкин Д.Е. Глобальные сети как средство человеческого общения. - М.: АНО «ИТО», 2007. 75 с.
9. Зингеренко Ю.А. Основы построения телекоммуникационных систем и сетей. Спб.: СпбГУ ИТМО, 2005. 143 с.
10. Мур М., Притеки Т., Риггс К., Сауфвик П. Телекоммуникации. Руководство для начинающих. СПб.: БХВ-Петербург, 2005. - 624 с.
11. Глобальные сети // lectures.net.ru: сервер технологий сетей ЭВМ и телекоммуникаций. 2009. URL: http://lectures.net.ru/wan/(дата обращения: 5.11.2009)
12. ГОСТ Р ИСО/МЭК 7498-1. Информационная технология. Взаимосвязь открытых систем. Базовая эталонная модель. Часть 1. Базовая модель. M., 2000. 62 c.
13. Семенов Ю.А. Телекоммуникационные технологии // book.itep.ru: сервер телекоммуникационных технологий. 2008. URL: http://book.itep.ru (дата обращения 15.11.2009)
14. Компьютерные сети и телекоммуникации. Онлайн учебник // lessons-tva.info: сервер дистанционного обучения. 2009. URL: http://lessons-tva.info/edu/telecom.html (дата обращения 15.11.2009)
15. Голден Телеком: Услуги передачи данных: Учебное пособие для слушателей ФПКП. М.: МИС, 2007. 200 с.
16. Медведовский И.Д. Локальные и глобальные сети. - СПб.: «Мир и семья-95», 2007. 115 с.
17. Ибе О. Сети и удаленный доступ. Протоколы, проблемы, решения. М.: ДМК Пресс, 2002. 224 с.