| Скачать .docx |
Реферат: Операционные усилители и их применение
Федеральное агентство по образованию Российской Федерации
Ишимбайский нефтяной колледж
Р Е Ф Е Р А Т
по электронике на тему:
«Операционные усилители и их применение»
Выполнил: студент группы ЭП11-10
Халитов А. М.
Проверил: преподаватель Брылякова Е.А.
Ишимбай – 2010 год
СОДЕРЖАНИЕ ׃
Введение..................................................................................................................3
1. Типы операционных усилителей.......................................................................4
2. Отличительные особенности оптронов ...........................................................6
3. Обобщенная структурная схема.....................................................................10
4. Применение........................................................................................................10
Заключение.............................................................................................................11
Литература..............................................................................................................12
Введение
Операционный усилитель – универсальный функциональный элемент, широкоиспользуемый в современных схемах формирования и преобразованияинформационных сигналов различного назначения как в аналоговой, так и вцифровой технике.
Наименование «операционный усилитель» обусловлено тем, что, преждевсего такие усилители получили применение для выполнения операцийсуммирования сигналов, их дифференцирования, интегрирования, инвертированияи т. д. Операционные усилители были разработаны как усовершенствованныебалансные схемы усиления.
Усложнение схем операционных усилителей (современные операционныеусилители включают десятки, а иногда и сотни элементарных ячеек: регистров,диодов, транзисторов, конденсаторов), использование генераторов стабильныхтоков и ряд других усовершенствований существенно расширили сферу возможныхприменений операционных усилителей.
Операционный усилитель (ОУ) предназначен для выполнения математическихопераций в аналоговых вычислительных машинах. Первый ламповый ОУ K2W былразработан в 1942 году Л.Джули (США). Первые ОУ на транзисторах появились впродаже в 1959 году. Р.Малтер (США) разработал ОУ Р2, включавший семьгерманиевых транзисторов и варикапный мостик. Требования к увеличениюнадежности, улучшению характеристик, снижению стоимости и размеровспособствовали развитию интегральных микросхем, которые были разработаны в лаборатории фирмы Texas Instruments (США) в 1958 г. Первый интегральный ОУmА702, имевший рыночный успех, был разработан Р.Уидларом (США) в 1963 году.В настоящее время номенклатура ОУ насчитывает сотни наименований. Этиусилители выпускаются в малогабаритных корпусах и очень дешевы, чтоспособствует их массовому распространению.ОУ представляют собой усилители медленно изменяющихся сигналов с низкимизначениями напряжения смещения нуля и входных токов и с высоким коэффициентом усиления. По размерам и цене они практически не отличаются ототдельного транзистора. В то же время, преобразование сигнала схемой на ОУпочти исключительно определяется свойствами цепей обратных связей усилителяи отличается высокой стабильностью и воспроизводимостью. Кроме того,благодаря практически идеальным характеристикам ОУ реализация различныхэлектронных схем на их основе оказывается значительно проще, чем надискретных элементах. ОУ почти полностью вытеснили отдельные транзисторы вкачестве элементов схем ("кирпичиков") во многих областях аналоговойсхемотехники.
1. Типы операционных усилителей В настоящее время в мире изготавливаются сотни наименований интегральныхОУ. Все это многообразие можно разделить на группы, объединенные общейтехнологией и схемотехникой, точностными, динамическими илиэксплуатационными характеристиками, причем эти группы могут пересекаться,т.е. включать общие элементы. С точки зрения внутренней схемотехники операционные усилители можноразделить на биполярные, биполярно-полевые и КМОП (на комплементарныхполевых транзисторах с изолированным затвором). В биполярно-полевых ОУполевые транзисторы с управляющим p-n переходом или МОП-транзисторы обычноиспользуются в качестве входных в дифференциальном входном каскаде. За счетэтого достигается высокое входное сопротивление и малые входные токи. Большая часть номенклатуры ОУ относится к усилителям общего назначения.Это дешевые усилители среднего быстродействия, невысокой точности и малой выходной мощности. Обычные параметры: KU = 20 000 - 200 000; Uсм = 0,1 - 20мВ; fт = 0,1 - 10 МГц. Типичные примеры: 140УД6, 140УД8, 153УД6, LF411. Быстродействующие усилители при средних точностных параметрах имеютвысокие динамические характеристики (fт = 20 - 1000 МГц, r = 10 - 1000В/мкс). Быстродействие ОУ ограничивает два обстоятельства. Во-первых, в cостав входного дифференциального усилителя входят p-n-p-транзисторы,относительно низкочастотные из-за меньшей подвижности дырок по сравнению сосвободными электронами. Во-вторых, скорость нарастания ограничена скоростьюзаряда корректирующего конденсатора Ск. Влияние первого фактора устраняют,используя во входном каскаде более быстродействующие р-канальные полевыетранзисторы. Увеличить скорость заряда Ск можно либо увеличив токдифференциального каскада, либо уменьшив емкость Ск. В первом случаеувеличивается ток потребления ОУ, а во втором ухудшается устойчивость.Повысить устойчивость можно, вводя дополнительные фазоопережающие звенья в схему усилителя или вне его. Как следствие, быстродействующие ОУ склонны кнеустойчивости. Типичные примеры: 140УД10, 574УД3, 154УД4, ОРА634. Прецизионные усилители имеют высокий дифференциальный коэффициентусиления по напряжению, малое напряжение смещения нуля и малый входной токобычно при низком или среднем быстродействии. Увеличение KU возможно путемусовершенствования каскадов усиления по напряжению или применениемтрехкаскадной схемы (например, 551УД1), что усложняет частотную коррекцию.Радикально уменьшить смещение нуля позволяе применение модуляции-демодуляции (МДМ), либо периодическая компенсация дрейфа (прерывание).Типичные примеры: 140УД26, МАХ400М, ОРА227 (без прерывания), ICL7652,140УД24, МАХ430 (с прерыванием). Микромощные усилители используются в приборах, получающих питание от гальванических или аккумуляторных батарей. Эти усилители потребляют оченьмалый ток от источников питания (например, ОУ МАХ406 потребляет ток неболее 1,2 мкА). Все другие параметры (особенно быстродействие) у них обычноневысокие. Для того, чтобы дать возможность проектировщику найти компромиссмежду малым потреблением и низким быстродействием некоторые моделимикромощных ОУ выполняют программируемыми. Программируемый ОУ имеетспециальный вывод, который через внешний резистор соединяется с общейточкой или источником питания определенной полярности. Сопротивлениерезистора задает ток системы токовых зеркал усилителя, которые выполняютфункции генераторов стабильного тока и динамической нагрузки каскадовусилителя. Уменьшение этого резистора приводит к увеличению быстродействияОУ и увеличению потребляемого тока. Увеличение - к обратному результату.Типичные примеры: 140УД12, 1407УД2, ОР22. Обычная величина тока потреблениядля микромощных и программируемых ОУ - десятки микроампер. Микромощные ОУ,как правило, допускают питание от весьма низких напряжений. Например, ОУ типа МАХ480 допускает работу от источников с напряжением от +/-0,8 до +/-18В при токе потребления 15 мкА.Если источник сигнала - однополярный (например, фотодиод), целесообразноиспользовать операционный усилитель с однополярным питанием. Это позволитпитать усилитель от одной батареи или даже элемента, например, от литиевогоэлемента напряжением 3 вольта. Основное требование, предъявляемое к ОУ соднополярным питанием, - диапазон входного синфазного сигнала долженпростираться ниже отрицательного напряжения питания (обычно привязанного кпотенциалу земли), а размах выходного напряжения должен быть ограниченснизу практически напряжением питания (потенциалом земли). Существуютусилители, диапазоны входных и выходных напряжений которых почти достигаюти верхней и нижней границы питания (так называемые, rail-to-rail вход ивыход), причем входные напряжения могут даже заходить за эти границы.Типичные примеры: МАХ495, потребляющий от однополярного источника ток 150 мкА, LMV321, потребляющий ток 145 мкА, от источника 1,8 В. Многие фирмы выпускают многоканальные усилители. Это микросхемы, имеющиена одном кристалле два, три или четыре однотипных ОУ. Например, ИМС типа140УД20 имеет в своем составе два ОУ 140УД7. Микросхемы МАХ406/407/409 иОРА227/2227/4227 включают, соответственно, один, два и четыре однотипныхусилителя. Мощные и высоковольтные операционные усилители. Большинство типов ОУрассчитаны на напряжение питания +/-15 В. Некоторые допускают питание отисточников вплоть до +/-22 В. Этого недостаточно для управления, например,пьезоэлектрическими преобразователями, для некоторых физических ибиологических исследований. Поэтому промышленность производитвысоковольтные ОУ, допускающие более высокие питающее и выходноенапряжения. К высоковольтным относят операционные усилители, имеющиеразность положительного и отрицательного питающих напряжений свыше 50вольт. Проблема повышения напряжений в интегральных полупроводниковых(монолитных) ОУ связана с трудностью создания интегральных высоковольтныхтранзисторов и прочной изоляции между элементами в кристалле. Поэтомубольшинство ОУ с напряжением питания свыше 100 В изготавливаются в видегибридных ИМС. В то же время, фирма Apex Microtechnology (США) производитполупроводниковые интегральные ОУ РА90, PA92 и РА94, с номинальнымнапряжением питания +/-200 В, выходным напряжением +/-170 В и выходнымтоком до 14 А. Операционные усилители общего применения обычно допускают выходной ток до5 мА. Для управления мощной нагрузкой применяются мощные ОУ. К мощнымобычно относят усилители, допускающие выходной ток свыше 500 мА. Примеромполупроводникового интегрального мощного ОУ может служить LM12 с выходнымтоком до 10 А и рассеиваемой мощностью до 90 Вт. Фирма Apex Microtechnologyвыпускает сверхмощный гибридный ОУ РА30, допускающий выходной ток до 100 Аи способный отдать в нагрузку мощность до 2000 Вт при жидкостномохлаждении. Дальнейшее увеличение выходной мощности усилителей возможнопутем использования режима класса D. Рекордными являются характеристики гибридного усилителя фирмы Apex SA08 с широтно-импульсной модуляцией начастоте 22 кГц: 10 кВт при напряжении до 500 В и токе до 20 А. При этом КПДусилителя достигает 98%.2. Основные параметры ОУ
Интегральный ОУ имеет следующие основные параметры:Коэффициент усиления напряжения Kуи - отношение изменения выходного напряжения. В общем случае, коэффициент усиления ОУ, не охваченного обратной связью, равен произведению Kуи всех его каскадов. В настоящее время Kу некоторых усилителей по постоянному току превышает 3*106. Однако его значение уменьшается с ростом частоты входного сигнала, при этом суммарная амплитудно-частотная характеристика (АЧХ) имеет столько изломов, сколько усилительных каскадов в ОУ. Каждый каскад на высоких частотах вносит фазовый сдвиг, который влияет на устойчивую работу ОУ, охваченного отрицательной обратной связью (ООС). Устойчивой работы усилительных каскадов ОУ добиваются введением частотной коррекции - внешних нагрузочных RC-цепей. Для стабилизации двухкаскадного усилителя обычно требуется одна цепь, трехкаскадного - две. Многие ОУ последних выпусков не требуют внешних цепей коррекции, так как в их схему уже введены необходимые элементы.
2. Частота единичного усиления f1 - значение частоты входного сигнала, при котором значение коэффициента усиления напряжения ОУ падает до единицы. Этот параметр определяет максимально реализуемую полосу усиления ОУ. Выходное напряжение на этой частоте ниже, чем для постоянного тока примерно в 30 раз.
3. Максимальное выходное напряжение Uвых.макс - максимальное значение выходного напряжения, при котором искажения не превышают заданного значения. В отечественной практике этот параметр измеряется + Uвых.макс относительно нулевого потенциала как в положительную, так и в отрицательную сторону. В зарубежных каталогах приводят значение максимального диапазона выходных напряжений, который равен 2Uвых. Выходное напряжение измеряется при определенном сопротивлении нагрузки. При уменьшении сопротивления нагрузки величина Uвых.макс уменьшается.
4. Скорость нарастания выходного напряжения VUвых - отношение изменения Uвых от 10 до 90% от своего номинального значения ко времени, за которое произошло это изменение. Параметр характеризует скорость отклика ОУ на ступенчатое изменение сигнала на входе; при измерении ОУ охвачен ООС с общим коэффициентом усиления от 1 до 10 .
5. Напряжение смещения Uсм - значение напряжения, которое необходимо подать на вход ОУ, чтобы на выходе напряжение было равно нулю. Операционный усилитель реализуется в виде микросхемы со значительным числом транзисторов, характеристики которых имеют разброс по параметрам, что приводит к появлению постоянного напряжения на выходе в отсутствие сигнала на входе. Параметр Uсм помогает разработчикам рассчитывать схемы устройств, подбирать номиналы компенсационных резисторов.
6. Входные токи Iвх - токи, протекающие через входные контакты ОУ. Эти токи обусловлены базовыми токами входных биполярных транзисторов и токами утечки затворов для ОУ с полевыми транзисторами на входе. Входные токи, проходя через внутреннее сопротивление источника сигнала, создают падения напряжений, которые могут вызвать появление напряжений на выходе в отсутствие сигнала на входе.
7. Разность входных токов . Входные токи могут отличаться друг от друга на 10…20% . Зная разность входных токов, можно легко подобрать номинал балансировочного резистора.
Все параметры ОУ изменяют свое значение - дрейфуют с изменением температуры. Особенно важными дрейфами являются:
8. Дрейф напряжения смещения DUсм
9. Дрейф разности входных токов DIвх.
10. Максимальное входное напряжение Uвх - напряжение, прикладываемое между входными контактами ОУ, превышение которого ведет к выходу параметров за установленные границы или разрушению прибора.
11. Максимальное синфазное входное напряжение Uвх.сф - наибольшее значение напряжения, прикладываемого одновременно к обоим входным выводам ОУ относительно нулевого потенциала, превышение которого нарушает работоспособность прибора. В отечественной документации приводят модуль величины Uвх.сф , а в зарубежной - диапазон.
12. Коэффициент ослабления синфазного сигнала Кос.сф - отношение коэффициента усиления напряжения, приложенного между входами ОУ, к коэффициенту усиления общего для обоих входов напряжения.
13. Выходной ток - максимальное значение выходного тока ОУ, при котором гарантируется работоспособность прибора. Это значение определяет минимальное сопротивление нагрузки. Очень важно при расчете комплексного сопротивления нагрузки учитывать, что при переходных процессах включения (выключения) ОУ значения емкостной или индуктивной составляющей сопротивления нагрузки резко изменяются, и при неправильном подборе нагрузки схема может выйти из строя.
Часто вместо значения Iвых в документации приводят минимальное значение сопротивление нагрузки Rн.мин . Большая часть ОУ, разработанных в последнее время, имеет каскад, ограничивающий величину входного тока при внезапном замыкании выходного контакта на шину источника питания или нулевой потенциал. Предельный выходной ток при этом - ток короткого замыкания Iк.з равен 25 мА .
Конструкторы и технологи микросхем ОУ постоянно ищут способы улучшения основных параметров приборов: увеличения f1,VUвых и др. Применяя схемотехнические решения и вводя новые технологические приемы, стараются снизить значения “паразитных” параметров Uсм, Iвх, DIвх и их дрейфов, а также мощность, потребляемую прибором. Как правило, достичь максимального значения для всех параметров невозможно. Достижение максимального значения одного параметра часто осуществляется за счет ухудшения другого. Так, увеличение коэффициента усиления по напряжению влечет за собой снижение частотных свойств и наоборот.
Как результат поисков и эволюции схемотехнических и технологических решений был создан ряд ОУ, который согласно квалификации по ГОСТ 4465-86 делится на:
универсальные (общего применения), у которых Куu=103…105; f1=1.5…10 Мгц;
прецизионные (инструментальные) с Куu>0.5*106 и гарантированными малыми уровнями Uсм 0.5 мВ и его дрейфа;
быстродействующие со скоростью нарастания выходного напряжения VUвых 20 В/мкс ;
регулируемые (микромощные) с током потребления Iпот<1 мА .
В зависимости от условий подачи на вход ОУ усиливаемого сигнала, а также с учетом подключения внешних компонентов можно получить инвертирующее и неинвертирующее включения усилителя. Любое схемотехническое решение с применением ОУ содержит одно из таких включений. На рис. 2а приведена модель инвертирующего включения ОУ. Так как усиление ОУ очень велико, то с небольшой ошибкой будем считать такую модель идеальной, что соответствует выполнению условийKu®Ґ и Ki®0 , где Ku и Ki - коэффициенты усиления по напряжению и току без обратной связи, а такжеRвх®Ґ и Rвых®Ґ . В этом случае коэффициент ОУ будет равен:

Знак “-“ в уравнении указывает на инвертирование фазы (полярности) выходного сигнала.
На рис. 2б приведена модель неинвертирующего ОУ. Принимая во внимание модель ОУ идеальной, как и в предыдущем случае Ku®Ґ и Ki®Ґ , Rвх®Ґ и Rвых®0 , для данной схемы

В данном случае знак “-“ отсутствует, так как фаза (полярность) выходного сигнала совпадает с фазой входного сигнала.
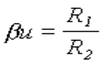
Входное сопротивление реального инвертирующего усилителя с учетом наличия обратной связи велико:
,
где Rвх.м - собственное входное сопротивление микросхемы;
Ku - коэффициент усиления микросхемы без обратной связи.

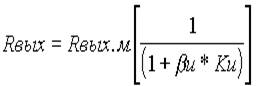
Выходное сопротивление реального неинвертирующего усилителя мало
,
где Rвых.м - собственное выходное сопротивление микросхемы
3. Схемы включения ОУ
Принципиальная схема разрабатываемого усилителя может быть выполнена с использованием дифференциальных микросхем следующих серий: К140, К153, К154, К544, К574 и др. Данные цепей частотной коррекции и цепей баланса взяты из справочной литературы по практическому применению микросхем.
Цепи частотной коррекции предотвращают самовозбуждения усилителя, а цепи баланса при большом коэффициенте усиления позволяют в отсутствии входного сигнала установить на выходе микросхемы напряжение равное нулю.
4. Применение операционных усилителей
В настоящее время в электронике широкое распространение получила цифровая обработка сигналов. Цифровые методы, основывающиеся на использовании микропроцессоров, проникли во множество областей радиоэлектроники и привели к созданию совершенно новых способов обработки сигналов. Одновременно наблюдается развитие аналоговой электроники, поскольку по мере развития систем цифровой обработки повышаются требования к качеству входных и выходных аналоговых сигналов. Операционный усилитель является базовым элементом устройств аналоговой обработки сигналов. Поэтому разработчик систем сбора, передачи и обработки измерительной информации должен обладать знаниями параметров ОУ (схем их включения и умением проектировать устройства на основе ОУ).
Заключение
Спроектированный и рассчитанный выше усилитель удовлетворяет всем требованиям технического задания.
Усилитель имеет коэффициент усиления около 70 дБ.
Коэффициент нелинейных искажений порядка 7 %.
Необходимо помнить, что микрофонный усилитель усиливает звуки, приходящие со всех сторон, и если соотношение сигнал/шум будет недостаточным, то нужно применять пространственные направляющие системы. При прослушивании человеческой речи за стенами, панелями, перегородками достаточно поместить микрофон в основание параболического рефлектора.
Дистанционное звуковое прослушивание необходимо вести с помощью дистанционных направленных микрофонов, имеющих узкую диаграмму направленности.
Литература
1. АЛЕКСЕЕВ А.Г., ВОЙШВИЛЛО Г.В. Операционные усилители и их применение. - Москва, Радио и связь, 2000 г.
2. БОЛТАЕВ А.В., ГАДЗИКОВСКИЙ В.И. и др. Усилительные устройства на интегральных микросхемах. - Свердловск, издание УПИ, 2001 г.
3. ГОЛОВИН О.В., КУБИЦКИЙ А.А. Электронные усилители. Москва, Радио и связь, 2000 г.
4. НОГИН В.Н. Аналоговые электронные устройства. - Москва, Радио и связь, 2001 г.
5. ОСТАПЕНКО Г. С. Усилительные устройства. - Москва, Радио и связь, 2003 г.
6. Проектирование усилительных устройств. Под редакцией ТЕРПУГОВА Н.В. - Москва, Высшая школа, 1999 г.
7. ЦЫКИНА А.В. Проектирование транзисторных усилителей низкой частоты. - Москва, Связь, 2003 г.
8. Транзисторы для аппаратуры широкого применения. Справочник. Под редакцией ПЕРЕЛЬМАНА Б.Л. - Москва, Радио и связь, 2000 г.
9. ТЕРЕЩУК Р.М., ТЕРЕЩУК К.М. и др. Малогабаритная радиоаппаратура. Справочник радиолюбителя. - Киев, Наукова думка, 2003 г.