| Скачать .docx |
Курсовая работа: Защита информации от несанкционированного доступа
МИНИСТЕРСТВО ОБРАЗОВАНИЯ И НАУКИ УКРАИНЫ
ПОЯСНИТЕЛЬНАЯ ЗАПИСКА
к курсовому проекту
на тему: "Защита информации от несанкционированного доступа"
по курсу "Кодирование и защита
информации"
АННОТАЦИЯ
Пояснительная записка содержит описание разработанной программы и руководство по ее использованию. Также в ней приводится описание используемых методов шифрования информации.
СОДЕРЖАНИЕ
АННОТАЦИЯ
ВВЕДЕНИЕ
1 Постановка задачи
2 Основные понятия
3 Выбор методов шифрования
4 Программная реализация
Общее описание
Дополнительные модули
5 Руководство пользователя
ЗАКЛЮЧЕНИЕ
БИБЛИОГРАФИЧЕСКИЙ СПИСОК
ПРИЛОЖЕНИЕ А
В настоящее время большое внимание уделяется информации, недаром наш век называют «информационным». Во время того, как люди познают технологии хранения и передачи информации, встает вопрос о ее защите от несанкционированного доступа. Для решения этой проблемы было разработано большое количество разнообразных методов кодирования информации, которые могут быть реализованы программно. Данная разработка представляет собой программный модуль, обеспечивающий шифрование и расшифровывание информационных блоков.
Необходимо разработать программу для шифрования и расшифровывания файлов на основе настроек пользователя. Для шифрования использовать ГОСТ 28147-89. Разработать удобный интерфейс общения с пользователем. Поставить программу на платформу Windows, что обеспечит ее расширение, дополнение и удобство использования.
В данной работе будет рассматриваться защита информации, хранящейся в электронном виде, от несанкционированного доступа. Для обеспечения секретности информации используются следующие методы:
- хранение на съемном носителе;
- ограничение доступа к системе;
- хранение в зашифрованном виде;
Комбинированием этих средств защиты можно добиться относительно хорошей защищенности информации. Невозможно абсолютно защитить информацию от несанкционированного доступа (взлома). Любой из этих способов поддается взлому в некоторой степени. Вопрос в том, будет ли выгодно взламывать или нет. Если затраты ресурсов на защиту (стоимость защиты) больше чем затраты на взлом, то система защищена плохо.
Данная разработка является криптографической частью системы защиты – она зашифровывает и расшифровывает информацию, поэтому ниже будут приведены только основные понятия криптографии.
Шифр – последовательность операций, проводимых над открытыми (закрытыми) данными и ключом с целью получения закрытой (открытой) последовательности.
Ключ – конкретное для каждого нового кода значение каких-нибудь характеристик алгоритма криптографической защиты.
Гамма шифра – это некоторая псевдослучайная последовательность заданной длины, используемая для шифрования.
Гаммирование – процес наложения гаммы шифра на открытые данные.
Зашифровывание – процесс преобразования открытых данных в закрытые с помощью шифра и ключа.
Расшифровывание – процедура преобразования закрытых данных в открытые с помощью шифра и ключа.
Шифрование – зашифровывание и (или) расшифровывание.
Дешифрование – совокупность действий по преобразованию закрытых данных в открытые без знания ключа и (или) алгоритма зашифровывания.
Имитозащита – защита от ложной информации. Осуществляется по собственным алгоритмам, с помощью выработки имитовставки.
Имитовставка – последовательность данных определенной длины, полученных специальными методами гаммирования из открытых исходных данных. Содержимое имитовставки является эталоном для проверки всей остальной информации.
Для шифрования информации в программу встроены следующие алгоритмы:
- ГОСТ 28147-89 - стандарт шифрования Российской Федерации. В программе используется два режима кодирования – режим простой замены и режим гаммирования. Данные кодируются по 64 бита (8 байт) с помощью 256-битного (32-байтного) ключа.
- Два простых метода, вложенных как пример построения модулей для программы. Кодирование по 64 бит, ключ – 64 бит.
Программа может быть дополнена алгоритмами кодирования, т.е. рекомпилирована с дополнительными модулями. В дальнейших версиях предполагается создание модульных расширений (plug-in) для программы, которые будут содержать дополнительные алгоритмы криптографических преобразований.
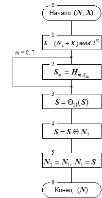
Рассмотрим подробнее алгоритм криптографического преобразования ГОСТ 28147-89. Ключ состоит из восьми 32-битных элементов, рассматриваемых как беззнаковые целые числа. Таким образом, ключ составляет 256 бит или 32 байта. При шифровании используется таблица замен, являющейся матрицей 8х16, содержащей 4-битовые элементы (числа от 0 до 15). Основной шаг криптопреобразования – оператор, определяющий преобразование 64-битового блока. Дополнительным параметром этого оператора является 32-битный блок, в качестве которого используется какой – либо элемент ключа.
Алгоритм основного шага криптопреобразования
Рисунок 3.1 Схема основного шага криптопреобразования алгоритма ГОСТ 28147-89. |
Шаг 0. Определяет исходные данные для основного шага криптопреобразования: N –преобразуемый 64-битовый блок данных, в ходе выполнения шага его младшая (N1 ) и старшая (N2 ) части обрабатываются как отдельные 32-битовые целые числа без знака. Таким образом, можно записать N=(N1 ,N2 ). X – 32-битовый элемент ключа;
Шаг 1. Сложение с ключом. Младшая половина преобразуемого блока складывается по модулю 232 с используемым на шаге элементом ключа, результат передается на следующий шаг;
Шаг 2. Поблочная замена. 32-битовое значение, полученное на предыдущем шаге, интерпретируется как массив из восьми 4-битовых блоков кода: S=(S0 ,S1 ,S2 ,S3 ,S4 ,S5 ,S6 ,S7 ). Далее значение каждого из восьми блоков заменяется на новое, которое выбирается по таблице замен следующим образом: значение блока Si заменяется на Si -тый по порядку элемент (нумерация с нуля) i-того узла замен (т.е. i-той строки таблицы замен, нумерация также с нуля). Другими словами, в качестве замены для значения блока выбирается элемент из таблицы замен с номером строки, равным номеру заменяемого блока, и номером столбца, равным значению заменяемого блока как 4-битового целого неотрицательного числа.
Шаг 3. Циклический сдвиг на 11 бит влево. Результат предыдущего шага сдвигается циклически на 11 бит в сторону старших разрядов и передается на следующий шаг. На схеме алгоритма символом 11 обозначена функция циклического сдвига своего аргумента на 11 бит в сторону старших разрядов.
Шаг 4. Побитовое сложение: значение, полученное на шаге 3, побитно складывается по модулю 2 со старшей половиной преобразуемого блока.
Шаг 5. Сдвиг по цепочке: младшая часть преобразуемого блока сдвигается на место старшей, а на ее место помещается результат выполнения предыдущего шага.
Шаг 6. Полученное значение преобразуемого блока возвращается как результат выполнения алгоритма основного шага криптопреобразования.
Базовые циклы:
- цикл выработки имитовставки (0123456701234567)
Для каждого элемента данных выполняется основной шаг криптографического преобразования с элементами ключа, порядок Базовые циклы построены из основных шагов криптографического преобразования. Существует всего три базовых цикла, различающиеся порядком следования ключевых элементов:
- цикл зашифрования (01234567012345670123456776543210)
- цикл расшифрования (01234567765432107654321076543210)
следования которых приведен выше. Для циклов шифрования левая и правая половины блока меняются местами, для цикла выработки имитовставки – нет.
Предусматривается три режима шифрования данных: простая замена, гаммирование, гаммирование с обратной связью и один дополнительный редим формирования имитовставки.
Рис. 4. Алгоритм зашифрования (расшифрования) данных в режиме гаммирования. |
Режим простой замены – наиболее простой. Блоки данных по 64 бит проходят базовый цикл зашифрования (расшифрования). Результат – зашифрованная (расшифрованная информация). При таком режиме блоки независимы.
Режим гаммирования – чтобы блоки информации были зависимы друг от друга используется рекуррентный генератор последовательности чисел, который инициализируется синхропосылкой, прошедшей цикл зашифрования. Схема алгоритма шифрования в режиме гаммирования приведена на рисунке 3.2, ниже изложены пояснения к схеме:
Шаг 0. Определяет исходные данные для основного шага криптопреобразования: Tо(ш) – массив открытых (зашифрованных) данных произвольного размера, подвергаемый процедуре зашифрования (расшифрования), по ходу процедуры массив подвергается преобразованию порциями по 64 бита; S – синхропосылка, 64-битный элемент данных, необходимый для инициализации генератора гаммы;
Шаг 1. Начальное преобразование синхропосылки, выполняемое для ее «рандомизации», то есть для устранения статистических закономерностей, присутствующих в ней, результат используется как начальное заполнение РГПЧ;
Шаг 2. Один шаг работы РГПЧ, реализующий его рекуррентный алгоритм. В ходе данного шага старшая (S1 ) и младшая (S0 ) части последовательности данных вырабатываются независимо друг от друга;
Шаг 3. Гаммирование. Очередной 64-битный элемент, выработанный РГПЧ, подвергается процедуре зашифрования по циклу 32–З, результат используется как элемент гаммы для зашифрования (расшифрования) очередного блока открытых (зашифрованных) данных того же размера.
Шаг 4. Результат работы алгоритма – зашифрованный (расшифрованный) массив данных.
Для разработки программы были выбраны языки программирования Delphi 5.0 (ObjectPascal) – разработка удобного интерфейса и встроенный ассемблер – для написания, собственно, алгоритмов шифрования.
Проект состоит из девяти модулей:
GOST, K1, K2 – реализация алгоритмов ГОСТ 28147-89 и тестовых методов шифрования.
CodingTools, CodingUnit – модули, реализующие вспомогательные алгоритмы и типы данных.
OptionsUnit, ProgressUnit, TestUnit – модули, описывающие интерфейс с пользователем.
Hazard – основной модуль программы. Создает окна и запускает программу.
Программа использует три формы (окна), созданные с помощью среды Delphi.
Основная форма TestForm, содержит список файлов и кнопки запуска процесса шифрования, выхода, вызова окна настроек, добавления и очистки списка (рисунок 4.1).
Окно настроек содержит списки поддерживаемых и применяемых методов шифрования, поле описания метода и поле ввода ключа (рисунок 4.2).
Третье окно – ProgressForm появляется при запуске процесса кодирования и состоит из двух надписей и двух индикаторов.

Рисунок 4.1 – Интерфейс программы

|
Модуль CodingTools содержит описание типов для 64,48 и 32-разрядных чисел и процедуры их обработки: сложение по модулю 2, &, |, кодирование по таблице, разложение на числа меньшей разрядности. Также он содержит описания параметров кодирования и тип-шаблон функции шифрования.
Модуль CodingUnit содержит список встроенных алгоритмов и общие функции: обработка командной строки, подбор функции шифрования, шифрование файла, процедуры поиска функций по имени или индексу, поиск ошибок и оповещение.
Модули методов экспортируют каждый по две процедуры – шифрование и дешифрацию блоков по 64К.
5. Руководство пользователя
Программа работает под управлением ОС Windows 95/98/ME и требует правильной инсталляции. После инсталляции программу можно запустить из меню «Пуск» либо из командной строки эмуляции MS-DOS.
Командная строка имеет следующий вид:
Hazard.exe [/D] [путь к файлу [путь к файлу […]]]
/D – дешифрование
Чтобы запустить программу в режиме шифрования или дешифрования из графической оболочки Windows нужно воспользоваться соответствующими ярлыками из меню «Программы».
Чтобы добавить файлы в список шифрования/дешифрования можно воспользоваться соответствующей кнопкой на главной панели программы, либо «перетащить» их из окна проводника Windows.
Чтобы выбрать алгоритм шифрования нужно нажать кнопку «Настройки». Появится окно со списками поддерживаемых и применяющихся методов и полем ввода ключа.
После выбора методов программа рассчитает окончательный ключ, который может быть использован для расшифровывания файлов. Можно не запоминать окончательный ключ, в таком случае необходимо запомнить ключи каждого из выбранных методов и при расшифровывании сделать соответствующие настройки.
При нажатии на кнопку запуска появится индикатор прогресса, который отобразит состояние процесса шифрования текущего файла и процесса шифрования в общем.
При дешифровании следует учитывать, что программа расшифровывает файлы только с расширением .crf.
В результате курсовой работы была разработана первая версия программы, осуществляющей шифрование информации. В дальнейшем предполагается разработка и усовершенствование комплекса программ, обеспечивающих защиту информации от несанкционированного доступа. В процессе разработки были закреплены навыки шифрования информации по ГОСТ 28147-89 и программирования на ассемблере.
1. Конспект лекций по курсу «Кодирование и защита информации»
2. Андрей Винокуров. «Алгоритм шифрования ГОСТ 28147-89, его использование и реализация для компьютеров платформы Intelx86»
3. Михаил Гук. «Процессоры PentiumII, PentiumPro и просто Pentium», Санкт-Петербург «Питер», 1999 г.
program Hazard;
uses
Windows,
Messages,
SysUtils,
Forms,
TestUnit in 'TestUnit.pas' {MainForm},
CodingUnit in 'CodingUnit.pas',
OptionsUnit in 'OptionsUnit.pas' {OptionsForm},
K1 in 'K1.pas',
K2 in 'K2.pas',
K3 in 'K3.pas',
ProgressUnit in 'ProgressUnit.pas' {ProgressForm},
GOST in 'GOST.pas';
{$R *.RES}
{$R Laynik.res}
function AlreadyRunning: boolean;
begin
Result:=False;
if FindWindow('TMainForm','Кодирование')<>0 then
Result:=True;
end;
begin
Decode:=false;
If not AlreadyRunning then
begin
Application.Initialize;
Application.Title := '[LG] Hazard';
Application.CreateForm(TMainForm, MainForm);
Application.CreateForm(TOptionsForm, OptionsForm);
Application.CreateForm(TProgressForm, ProgressForm);
MainForm.DoCommandLine(String(system.CmdLine));
Application.Run;
end else
begin
MessageBox(0,'Приложениеужезапущено','Ошибка',MB_ICONSTOP+MB_OK);
end
end.
unit K1;
interface
uses CodingTools;
function Coding_K1(Buf: Pointer; Size: LongWord; Param: TCodingParameters):Integer;
function DeCoding_K1(Buf: Pointer; Size: LongWord; Param: TCodingParameters):Integer;
implementation
const
FShTable: TConvertTable64 =
(57,49,41,33,25,17, 9, 1,59,51,
43,35,27,19,11, 3,61,53,45,37,
29,21,13, 5,63,55,47,39,31,23,
15, 7,56,48,40,32,24,16, 8, 0,
58,50,42,34,26,18,10, 2,60,52,
44,36,28,20,12, 4,62,54,46,38,
30,22,14, 6);
LShTable: TConvertTable64 =
(39, 7,47,15,55,23,63,31,38,6,
46,14,54,22,62,30,37, 5,45,13,
53,21,61,29,36, 4,44,12,52,20,
60,28,35, 3,43,11,51,19,59,27,
34, 2,42,10,50,18,58,26,33, 1,
41, 9,49,17,57,25,32, 0,40, 8,
48,16,56,24);
procedure K1Coding64bits(A: word64; var R: word64; K1:word64);
begin
convert(A,FShTable,R);
asm
push esi
mov esi,DWORD[R]
mov eax,DWORD[K1]
xor [esi],eax
add esi,4
mov eax,DWORD[K1+4]
xor [esi],eax
pop esi
end;
end;
procedure K1DeCoding64bits(A: word64; var R: word64; K1:word64);
begin
asm
mov eax,DWORD[K1]
xor DWORD[A],eax
mov eax,DWORD[K1+4]
xor DWORD[A+4],eax
end;
convert(A,LShTable,R);
end;
function Coding_K1(Buf: Pointer; Size: LongWord; Param: TCodingParameters):Integer;
var
i,j,l:integer;
a,r: ^word64;
k: word64;
begin
for i:=0 to 7 do
k.v8[i]:=BYTE(Param.Key[i]);
convert(K,LshTable,K);
l:=Size div 8;
for i:=1 to Param.WayCount do
begin
for j:=0 to l-1 do
begin
a:=Pointer(LongWord(Buf)+j*8);
r:=a;
K1Coding64bits(A^,R^,K);
end;
end;
result:=0;
end;
function DeCoding_K1(Buf: Pointer; Size: LongWord; Param: TCodingParameters):Integer;
var
i,j,l:integer;
a,r:^word64;
k: word64;
begin
for i:=0 to 7 do
k.v8[i]:=BYTE(Param.Key[i]);
convert(K,LshTable,K);
l:=Size div 8;
for i:=1 to Param.WayCount do
begin
for j:=0 to l-1 do
begin
a:=Pointer(LongWord(Buf)+j*8);
r:=a;
K1DeCoding64bits(A^,R^,K);
end;
end;
result:=0;
end;
end.
unit K2;
interface
uses CodingTools;
function Coding_K2(Buf: Pointer; Size: LongWord; Param: TCodingParameters):Integer;
function DeCoding_K2(Buf: Pointer; Size: LongWord; Param: TCodingParameters):Integer;
implementation
const
FShTable: TConvertTable64 =
(57,49,41,33,25,17, 9, 1,59,51,
43,35,27,19,11, 3,61,53,45,37,
29,21,13, 5,63,55,47,39,31,23,
15, 7,56,48,40,32,24,16, 8, 0,
58,50,42,34,26,18,10, 2,60,52,
44,36,28,20,12, 4,62,54,46,38,
30,22,14, 6);
LShTable: TConvertTable64 =
(39, 7,47,15,55,23,63,31,38,6,
46,14,54,22,62,30,37, 5,45,13,
53,21,61,29,36, 4,44,12,52,20,
60,28,35, 3,43,11,51,19,59,27,
34, 2,42,10,50,18,58,26,33, 1,
41, 9,49,17,57,25,32, 0,40, 8,
48,16,56,24);
procedure K2Coding64bits(A: word64; var R: word64; B: byte);
begin
convert(A,FShTable,R);
asm
push esi
mov esi,DWORD[R]
mov cl,[b]
ror dword[esi],cl
add esi,4
mov cl,[b]
ror dword[esi],cl
pop esi
end;
end;
procedure K2DeCoding64bits(A: word64; var R: word64; B: Byte);
begin
asm
mov cl,[b]
rol DWORD[A],cl
mov cl,[b]
rol DWORD[A+4],cl
end;
convert(A,LShTable,R);
end;
function Coding_K2(Buf: Pointer; Size: LongWord; Param: TCodingParameters):Integer;
var
i,j,l:integer;
a,r: ^word64;
k: word64;
b: byte;
begin
b:=0;
for i:=0 to 7 do
k.v8[i]:=BYTE(Param.Key[i]);
convert(K,LshTable,K);
for i:=0 to 7 do b:=b xor K.v8[i];
l:=Size div 8;
for i:=1 to Param.WayCount do
begin
for j:=0 to l-1 do
begin
a:=Pointer(LongWord(Buf)+j*8);
r:=a;
K2Coding64bits(A^,R^,B);
end;
end;
result:=0;
end;
function DeCoding_K2(Buf: Pointer; Size: LongWord; Param: TCodingParameters):Integer;
var
i,j,l:integer;
a,r:^word64;
k: word64;
b: byte;
begin
b:=0;
for i:=0 to 7 do
k.v8[i]:=BYTE(Param.Key[i]);
convert(K,LshTable,K);
for i:=0 to 7 do b:=b xor K.v8[i];
l:=Size div 8;
for i:=1 to Param.WayCount do
begin
for j:=0 to l-1 do
begin
a:=Pointer(LongWord(Buf)+j*8);
r:=a;
K2DeCoding64bits(A^,R^,B);
end;
end;
result:=0;
end;
end.
unit K3;
interface
uses CodingTools;
function Coding_K3(Buf: Pointer; Size: LongWord; Param: TCodingParameters):Integer;
function DeCoding_K3(Buf: Pointer; Size: LongWord; Param: TCodingParameters):Integer;
implementation
uses SysUtils;
const
FShTable: TConvertTable64 =
(57,49,41,33,25,17, 9, 1,59,51,
43,35,27,19,11, 3,61,53,45,37,
29,21,13, 5,63,55,47,39,31,23,
15, 7,56,48,40,32,24,16, 8, 0,
58,50,42,34,26,18,10, 2,60,52,
44,36,28,20,12, 4,62,54,46,38,
30,22,14, 6);
LShTable: TConvertTable64 =
(39, 7,47,15,55,23,63,31,38,6,
46,14,54,22,62,30,37, 5,45,13,
53,21,61,29,36, 4,44,12,52,20,
60,28,35, 3,43,11,51,19,59,27,
34, 2,42,10,50,18,58,26,33, 1,
41, 9,49,17,57,25,32, 0,40, 8,
48,16,56,24);
procedure K3Coding64bits(A: word64; var R: word64; B: byte);
begin
convert(A,FShTable,R);
asm
push esi
mov esi,DWORD[R]
mov cl,[b]
ror dword[esi],cl
add esi,4
mov cl,[b]
ror dword[esi],cl
pop esi
end;
end;
procedure K3DeCoding64bits(A: word64; var R: word64; B: Byte);
begin
asm
mov cl,[b]
rol DWORD[A],cl
mov cl,[b]
rol DWORD[A+4],cl
end;
convert(A,LShTable,R);
end;
function Coding_K3(Buf: Pointer; Size: LongWord; Param: TCodingParameters):Integer;
var
i,j:integer;
a,r: ^word64;
k: word64;
b: byte;
begin
b:=0;
k.v32[0]:=0;
k.v32[1]:=0;
for i:=0 to StrLen(Param.Key)-1 do
k.v8[i]:=BYTE(Param.Key[i]);
convert(K,LshTable,K);
for i:=0 to 7 do b:=b xor K.v8[i];
for i:=1 to Param.WayCount do
begin
for j:=0 to Size-8 do
begin
a:=Pointer(LongWord(Buf)+j);
r:=a;
K3Coding64bits(A^,R^,B);
end;
end;
result:=0;
end;
function DeCoding_K3(Buf: Pointer; Size: LongWord; Param: TCodingParameters):Integer;
var
i,j:integer;
a,r:^word64;
k: word64;
b: byte;
begin
b:=0;
k.v32[0]:=0;
k.v32[1]:=0;
for i:=0 to StrLen(Param.Key)-1 do
k.v8[i]:=BYTE(Param.Key[i]);
convert(K,LshTable,K);
for i:=0 to 7 do b:=b xor K.v8[i];
for i:=1 to Param.WayCount do
begin
for j:=Size-8 downto 0 do
begin
a:=Pointer(LongWord(Buf)+j);
r:=a;
K3DeCoding64bits(A^,R^,B);
end;
end;
result:=0;
end;
end.
unit OptionsUnit;
interface
uses
Windows, Messages, SysUtils, Classes, Graphics, Controls, Forms, Dialogs,
StdCtrls, Buttons, Spin, ExtCtrls;
type
TOptionsForm = class(TForm)
UsedMethodsBox: TListBox;
MethodsBox: TListBox;
Label1: TLabel;
Label2: TLabel;
BitBtn1: TBitBtn;
BitBtn2: TBitBtn;
BitBtn3: TBitBtn;
BitBtn4: TBitBtn;
BitBtn5: TBitBtn;
KeyEdit: TEdit;
Label3: TLabel;
DirectionGroup: TRadioGroup;
WayCountEdit: TSpinEdit;
Label4: TLabel;
DescMemo: TMemo;
procedure BitBtn5Click(Sender: TObject);
procedure FormCreate(Sender: TObject);
procedure BitBtn4Click(Sender: TObject);
procedure BitBtn3Click(Sender: TObject);
procedure BitBtn2Click(Sender: TObject);
procedure BitBtn1Click(Sender: TObject);
procedure UsedMethodsBoxClick(Sender: TObject);
procedure DirectionGroupExit(Sender: TObject);
procedure KeyEditExit(Sender: TObject);
procedure WayCountEditExit(Sender: TObject);
procedure EnableKeys(B: Boolean);
procedure FormClose(Sender: TObject; var Action: TCloseAction);
private
{ Private declarations }
public
{ Public declarations }
end;
var
OptionsForm: TOptionsForm;
implementation
{$R *.DFM}
uses CodingUnit, TestUnit;
procedure TOptionsForm.EnableKeys;
begin
DirectionGroup.Enabled:=B;
KeyEdit.Enabled:=B;
WayCountEdit.Enabled:=B;
end;
procedure TOptionsForm.BitBtn5Click(Sender: TObject);
begin
Close;
MainForm.GenerateKey;
end;
procedure TOptionsForm.FormCreate(Sender: TObject);
var i: integer;
begin
for i:=1 to QolMethods do
begin
MethodsBox.Items.Add(Methods[i].MethodName);
Used[i]:=false;
end;
UsedMethodsBox.Clear;
EnableKeys(False);
DescMemo.Clear;
end;
procedure TOptionsForm.BitBtn4Click(Sender: TObject);
var
i: integer;
begin
UsedMethodsBox.Clear;
for i:=1 to QolMethods do Used[i]:=false;
EnableKeys(False);
DescMemo.Clear;
end;
procedure TOptionsForm.BitBtn3Click(Sender: TObject);
begin
If UsedMethodsBox.ItemIndex=-1 then exit;
Used[MethodIndex(UsedMethodsBox.Items.Strings[UsedMethodsBox.ItemIndex])]:=false;
UsedMethodsBox.Items.Delete(UsedMethodsBox.ItemIndex);
If UsedMethodsBox.Items.Count=0 then EnableKeys(False);
DescMemo.Clear;
end;
procedure TOptionsForm.BitBtn2Click(Sender: TObject);
begin
If MethodsBox.ItemIndex=-1 then exit;
if UsedMethodsBox.Items.IndexOf(Methods[MethodsBox.ItemIndex+1].MethodName)=-1 then
begin
UsedMethodsBox.Items.Add(Methods[MethodsBox.ItemIndex+1].MethodName);
Used[MethodsBox.ItemIndex+1]:=true;
EnableKeys(True);
UsedMethodsBox.ItemIndex:=UsedMethodsBox.Items.Count-1;
UsedMethodsBox.OnClick(Self);
end;
end;
procedure TOptionsForm.BitBtn1Click(Sender: TObject);
var i: integer;
begin
UsedMethodsBox.Clear;
for i:=1 to QolMethods do
begin
UsedMethodsBox.Items.Add(Methods[i].MethodName);
Used[i]:=true;
end;
EnableKeys(True);
end;
procedure TOptionsForm.UsedMethodsBoxClick(Sender: TObject);
var
i: integer;
begin
If (UsedMethodsBox.ItemIndex=-1)or
(UsedMethodsBox.Items.Count=0) then
begin
EnableKeys(False);
DescMemo.Clear;
Exit;
end else
begin
EnableKeys(True);
end;
i:=MethodIndex(UsedMethodsBox.Items.Strings[UsedMethodsBox.ItemIndex]);
if i=0 then exit;
DirectionGroup.ItemIndex:=UsedMethods[i].Direction-1;
KeyEdit.MaxLength:=Methods[i].KeyMaxLength;
KeyEdit.Text:=String(UsedMethods[i].Key);
WayCountEdit.Value:=UsedMethods[i].WayCount;
DescMemo.Clear;
DescMemo.Lines.Append(Methods[i].MethodDescription);
end;
procedure TOptionsForm.DirectionGroupExit(Sender: TObject);
var
i: integer;
begin
If (UsedMethodsBox.ItemIndex=-1)or
(UsedMethodsBox.Items.Count=0) then Exit;
i:=MethodIndex(UsedMethodsBox.Items.Strings[UsedMethodsBox.ItemIndex]);
if i=0 then exit;
UsedMethods[i].Direction:=DirectionGroup.ItemIndex+1;
end;
procedure TOptionsForm.KeyEditExit(Sender: TObject);
var
i: integer;
begin
If (UsedMethodsBox.ItemIndex=-1)or
(UsedMethodsBox.Items.Count=0) then
Exit;
i:=MethodIndex(UsedMethodsBox.Items.Strings[UsedMethodsBox.ItemIndex]);
if i=0 then exit;
StrPCopy(UsedMethods[i].Key,KeyEdit.Text);
end;
procedure TOptionsForm.WayCountEditExit(Sender: TObject);
var
i: integer;
begin
If (UsedMethodsBox.ItemIndex=-1)or
(UsedMethodsBox.Items.Count=0) then
Exit;
i:=MethodIndex(UsedMethodsBox.Items.Strings[UsedMethodsBox.ItemIndex]);
if i=0 then exit;
UsedMethods[i].WayCount:=WayCountEdit.Value;
end;
procedure TOptionsForm.FormClose(Sender: TObject;
var Action: TCloseAction);
var
i: integer;
begin
Action:=caHide;
for i:=1 to QolMethods do
begin
if Used[i] then
begin
if StrLen(UsedMethods[i].Key)<Methods[i].KeyMinLength then
begin
ShowMessage(Methods[i].MethodName+': '+Methods[i].KeyMinMessage);
Action:=caNone;
Exit;
end else
if StrLen(UsedMethods[i].Key)>Methods[i].KeyMaxLength then
begin
ShowMessage(Methods[i].MethodName+': '+Methods[i].KeyMaxMessage);
Action:=caNone;
Exit;
end;
end;
end;
end;
end.
unit ProgressUnit;
interface
uses
Windows, Messages, SysUtils, Classes, Graphics, Controls, Forms, Dialogs,
ComCtrls, StdCtrls;
type
TProgressForm = class(TForm)
Label1: TLabel;
PBOne: TProgressBar;
PBAll: TProgressBar;
Label2: TLabel;
private
{ Private declarations }
public
Current: integer;
procedure UpdateProgress(fn: String;perc:integer;Cap:String);
procedure InitProgress(qol:integer;Cap:String);
procedure EndProcess;
{ Public declarations }
end;
var
ProgressForm: TProgressForm;
implementation
{$R *.DFM}
procedure TProgressForm.EndProcess;
begin
inc(current);
end;
procedure TProgressForm.UpdateProgress;
begin
ProgressForm.Caption:=Cap+' - '+inttostr(round(PBAll.Position*100/PBAll.Max))+'%';
Label1.Caption:=Cap+fn;
PBOne.Position:=perc;
PBAll.Position:=100*Current+perc;
end;
procedure TProgressForm.InitProgress;
begin
Caption:=Cap;
Label1.Caption:='Подготовка...';
PBOne.Position:=0;
PBOne.Max:=100;
PBAll.Position:=0;
PBAll.Max:=qol*100;
Current:=0;
end;
end.
unit TestUnit;
interface
uses
Windows, Messages, SysUtils, Classes, Graphics, Controls, Forms, Dialogs,
StdCtrls, ActnList, ExtCtrls, ComCtrls, ToolWin, Grids, Outline, DirOutln,
Buttons, ShellApi, Registry;
type
TMainForm = class(TForm)
Label1: TLabel;
RecurseBox: TCheckBox;
BitBtn1: TBitBtn;
StaticText1: TStaticText;
MainKey: TEdit;
BitBtn2: TBitBtn;
Open: TOpenDialog;
BitBtn3: TBitBtn;
BitBtn4: TBitBtn;
BitBtn5: TBitBtn;
BitBtn6: TBitBtn;
files: TListBox;
procedure FileDrop(var Msg: TWMDropFiles); message WM_DROPFILES;
procedure AddCmdLine(var msg: TMessage); message WM_USER;
procedure FormCreate(Sender: TObject);
procedure BitBtn1Click(Sender: TObject);
procedure DoCommandLine(S: String);
procedure StopDblClick(Sender: TObject);
procedure GoDblClick(Sender: TObject);
procedure GenerateKey;
function DecodeKey: integer;
procedure BitBtn2Click(Sender: TObject);
procedure BitBtn3Click(Sender: TObject);
procedure BitBtn6Click(Sender: TObject);
private
{ Private declarations }
public
end;
var
MainForm: TMainForm;
Decode: boolean;
implementation
uses CodingUnit, OptionsUnit, ProgressUnit;
{$R *.DFM}
procedure TMainForm.GenerateKey;
var
i,k,l: integer;
s: string;
begin
for i:=1 to QolMethods do
begin
If Used[i] then
begin
k:=random(9)+1;
s:=concat(s,Methods[i].MethodKey);
s:=concat(s,IntToStr(k));
l:=strlen(UsedMethods[i].Key)+k*6;
s:=concat(s,Format('%2d',[l]));
s:=concat(s,StrPas(UsedMethods[i].Key));
s:=concat(s,Format('%2d',[strlen(UsedMethods[i].Key)+k*5+UsedMethods[i].Direction]));
s:=concat(s,Format('%2d',[strlen(UsedMethods[i].Key)+k*4+UsedMethods[i].WayCount]));
end;
end;
for i:=1 to length(s) do if s[i]=' ' then s[i]:='-';
MainKey.Text:=S;
end;
function TMainForm.DecodeKey;
var
i,k,l,t: integer;
s: string;
begin
Result:=0;
s:=MainKey.Text;
for i:=1 to length(s) do if s[i]='-' then s[i]:='0';
try
while s<>'' do
begin
t:=MethodByChar(s[1]);
Used[t]:=true;
delete(s,1,1);
k:=strtoint(copy(s,1,1));
delete(s,1,1);
l:=strtoint(copy(s,1,2))-k*6;
delete(s,1,2);
StrPCopy(UsedMethods[t].Key,copy(s,1,l));
delete(s,1,l);
UsedMethods[t].Direction:=strtoint(copy(s,1,2))-l-k*5;
delete(s,1,2);
UsedMethods[t].WayCount:=strtoint(copy(s,1,2))-l-k*4;
delete(s,1,2);
end;
except
on E:Exception do Result:=1;
end;
end;
Procedure TMainForm.DoCommandLine(S: String);
var
i: integer;
tmp: string;
begin
System.CmdLine:=PChar(S);
tmp:=ParamStr(1);
if CompareText(tmp,'/D')=0 then
begin
// декодирование
Decode:=true;
StaticText1.Caption:='Введите ключ';
MainKey.Color:=clWindow;
MainKey.ReadOnly:=false;
MainKey.Text:='';
if ParamCount>1 then
begin
for i:=2 to ParamCount do
begin
Files.Items.Add(ParamStr(i));
end;
end;
end else
begin
//кодирование
if ParamCount>0 then
for i:=1 to ParamCount do
begin
Files.Items.Add(ParamStr(i));
end;
Decode:=False;
end;
end;
procedure TMainForm.AddCmdLine(var msg: TMessage);
//var
// P: array[0..1024]of char;
begin
// GlobalGetAtomName(msg.WParam,p,1023);
// GlobalDeleteAtom(msg.WParam);
// DoCommandLine(String(P));
end;
procedure TMainForm.FormCreate(Sender: TObject);
begin
Caption:='Кодирование';
DragAcceptFiles(Handle,TRUE);
if Decode then BitBtn1.Enabled:=false;
end;
procedure TMainForm.BitBtn1Click(Sender: TObject);
begin
OptionsForm.ShowModal;
end;
procedure TMainForm.StopDblClick(Sender: TObject);
begin
Close;
end;
procedure ValidateFiles;
var
i,k: integer;
begin
with MainForm.Files do
begin
i:=0;
while i<=Items.Count-2 do
begin
k:=i+1;
while k<=Items.Count-1 do
begin
if CompareText(Items.Strings[i],Items.Strings[k])=0 then
begin
Items.Delete(k);
continue;
end;
inc(k);
end;
inc(i);
end;
end;
end;
procedure TMainForm.FileDrop(var msg:TWMDropFiles);
var
i,count: integer;
p: pchar;
s: string;
attr:LongWord;
begin
msg.Result:=0;
count:=DragQueryFile(Msg.Drop,$ffffffff,nil,0);
getmem(p,1024);
for i:=0 to count-1 do
begin
DragQueryFile(msg.Drop,i,p,1024);
s:=StrPas(p);
attr:=GetFileAttributes(PCHAR(s));
if attr<>$ffffffff then
begin
if (attr and FILE_ATTRIBUTE_DIRECTORY) = 0 then
begin
if Decode then
begin
if Pos('.crf',lowercase(s))<>0 then
files.Items.Add(s);
end else
begin
if Pos('.crf',lowercase(s))=0 then
files.Items.Add(s);
end;
end;
end;
end;
freemem(p,1024);
DragFinish(msg.Drop);
ValidateFiles;
end;
function NoMethods:Boolean;
var
i:integer;
begin
result:=true;
for i:=1 to QolMethods do if used[i] then result:=false;
end;
procedure TMainForm.GoDblClick(Sender: TObject);
var
i: integer;
begin
if files.Items.Count=0 then
begin
ShowMessage('Список файлов пуст');
Exit;
end;
ValidateFiles;
if Decode then
begin
if MainKey.Text='' then begin
ShowMessage('Вы забыли ввести ключ');
exit;
end;
if DecodeKey<>0 then begin
ShowMessage('Введен неправильный ключ');
Exit;
end;
if NoMethods then begin
ShowMessage('Невыбранониодногометода');
Exit;
end;
ProgressForm.InitProgress(files.Items.Count,'Декодирование');
ProgressForm.Show;
for i:=0 to files.items.count-1 do
begin
DoDecoding(files.items.strings[i]);
end;
ProgressForm.Hide;
end else
begin
if NoMethods then begin
ShowMessage('Невыбранониодногометода');
Exit;
end;
ProgressForm.InitProgress(files.Items.Count,'Кодирование');
ProgressForm.Show;
for i:=0 to files.items.count-1 do
begin
DoCoding(files.items.strings[i]);
end;
ProgressForm.Hide;
end;
end;
procedure TMainForm.BitBtn2Click(Sender: TObject);
var
T: TRegistry;
begin
T:=TRegistry.Create;
T.RootKey:=HKEY_LOCAL_MACHINE;
T.OpenKey('\Software\Laynik Group\[LG] Hazard Encrypter 2000',True);
Open.InitialDir:=T.ReadString('Lastpath');
if Open.Execute then
begin
files.Items.AddStrings(Open.files);
validatefiles;
T.WriteString('Lastpath',ExtractFileDir(Open.Files.Strings[Open.Files.Count-1]));
end;
T.Free;
end;
procedure TMainForm.BitBtn3Click(Sender: TObject);
begin
if (files.Items.Count=0) or (files.ItemIndex=-1) then exit;
files.Items.Delete(files.ItemIndex);
end;
procedure TMainForm.BitBtn6Click(Sender: TObject);
begin
files.clear;
end;
end.
unit CodingUnit;
interface
uses Classes,SysUtils,Dialogs,CodingTools,K1,K2,K3,GOST;
Const
PIECE_LENGTH = $FFFF;
// Direction constants
diForward = 1;
diBackward = 0;
// ERROR VALUES
CL_ERROR_EMPTYLINE = -1;
CL_ERROR_NOFILENAME = -2;
function Coding_Kir(Buf: Pointer; Size: LongInt; Param: TCodingParameters): Integer;
function DeCoding_Kir(Buf: Pointer; Size: LongInt; Param: TCodingParameters): Integer;
function DoCoding(S: String): integer;
function DoDecoding(S: String): integer;
function MethodIndex(const S: String):integer;
function MethodByChar(const C: Char):integer;
const
QolMethods = 4;
Methods:array[1..QolMethods] of TCodingFunction =
((MethodName:'ГОСТ 28147-89 (ПЗ)';MethodKey:'G';MethodProc:Coding_GOST;MethodDecProc:Coding_GOST;
KeyMinLength:32;KeyMaxLength:32;KeyMinMessage:'Ключ должен быть длиной 32 символa';KeyMaxMessage:'Ключ должен быть длиной 32 символa';
MethodDescription:'Кодирование по ГОСТ 28147-89 (простая замена)'),
(MethodName:'ГОСТ 28147-89 (Г)';MethodKey:'G';MethodProc:Coding_GOST;MethodDecProc:Coding_GOST;
KeyMinLength:32;KeyMaxLength:32;KeyMinMessage:'Ключ должен быть длиной 32 символa';KeyMaxMessage:'Ключ должен быть длиной 32 символa';
MethodDescription:'Кодирование по ГОСТ 28147-89 (гаммирование)'),
(MethodName:'К1';MethodKey:'K';MethodProc:Coding_K1;MethodDecProc:DeCoding_K1;
KeyMinLength:8;KeyMaxLength:8;KeyMinMessage:'Ключ должен быть длиной 8 символов';KeyMaxMessage:'Ключ должен быть длиной 8 символов';
MethodDescription:'Сумма по модулю два'),
(MethodName:'К2';MethodKey:'L';MethodProc:Coding_K2;MethodDecProc:DeCoding_K2;
KeyMinLength:3;KeyMaxLength:8;KeyMinMessage:'Минимальная длина ключа - 3 символа';KeyMaxMessage:'Ключ должен быть длиной менее 9 символов';
MethodDescription:'Циклический сдвиг'));
UsedMethods:array[1..QolMethods] of TCodingParameters =
((Key:'';WayCount:1;Direction:1),
(Key:'';WayCount:1;Direction:1),
(Key:'';WayCount:1;Direction:1),
(Key:'';WayCount:1;Direction:1));
Used: array[1..QolMethods] of boolean = (false,
false,
false,
false);
implementation
uses TestUnit, ProgressUnit;
function MethodIndex(const S: String):integer;
var
i: integer;
begin
Result:=0;
for i:=1 to QolMethods do
begin
if CompareStr(S,Methods[i].MethodName)=0 then
Result:=i;
end;
end;
function MethodByChar(const C: Char):integer;
var
i: integer;
begin
Result:=0;
for i:=1 to QolMethods do
begin
if C=Methods[i].MethodKey then
Result:=i;
end;
end;
function GenerateFileName(s:string):string;
begin
Result:=concat(s,'.crf');
end;
function GenerateDecFileName(s:string):string;
begin
If Pos('.CRF',UpperCase(s))<>0 then delete(s,Pos('.CRF',uppercase(s)),4);
s:=concat(s,'.dec');
Result:=s;
end;
function DoCoding(S: String): integer;
var
j,i,ks,ls,size,res,fs,pr: integer;
f,outp: file;
buf: pointer;
S1: String;
begin
result:=0;
GetMem(buf,$10000);
fillchar(buf^,$10000,0);
if buf=nil then begin
ShowMessage('Не хватает памяти под буфер');
Result:=1;
exit;
end;
AssignFile(f,s);
s1:=GenerateFileName(s);
AssignFile(outp,s1);
{$I-}
Reset(f,1);
fs:=filesize(f);
Rewrite(outp,1);
{$I+}
if IOResult=0 then
begin
ProgressForm.UpdateProgress(s1,0,'Кодирование ');
size:=$10000;
while size=$10000 do
begin
BlockRead(f,buf^,$10000,size);
for i:=1 to QolMethods do
begin
ks:=0;
if (size mod 8)<>0 then
begin
ls:=(8*((size div 8)+1));
ks:=ls-size;
for j:=size to ls-1 do PCHAR(buf)[j]:=#0;
end else ls:=size;
if Used[i] then Methods[i].MethodProc(buf,ls,UsedMethods[i]);
if fs<>0 then pr:=round(filepos(f)*100 / fs) else pr:=round((100*i) / qolmethods);
ProgressForm.UpdateProgress(s1,pr,'Кодирование ');
end;
BlockWrite(outp,buf^,ls,res);
end;
if ks<>0 then blockwrite(outp,ks,1);
end
else ShowMessage('Ошибка обращения к '+S);
CloseFile(f);
CloseFile(outp);
FreeMem(buf,$10000);
ProgressForm.EndProcess;
end;
function DoDecoding(S: String): integer;
var
ks,pr,i,size,res,fs: integer;
f,outp: file;
buf: pointer;
s1: string;
begin
result:=0;
GetMem(buf,$10000);
fillchar(buf^,$10000,0);
if buf=nil then begin
ShowMessage('Не хватает памяти под буфер');
Result:=1;
exit;
end;
AssignFile(f,s);
s1:=GenerateDecFileName(s);
AssignFile(outp,s1);
{$I-}
Reset(f,1);
fs:=filesize(f);
Rewrite(outp,1);
{$I+}
if IOResult=0 then
begin
ProgressForm.UpdateProgress(s1,0,'Декодирование ');
size:=$10000;
while size=$10000 do
begin
BlockRead(f,buf^,$10000,size);
for i:=QolMethods downto 1 do
begin
if Used[i] then Methods[i].MethodDecProc(buf,size,UsedMethods[i]);
if fs<>0 then pr:=round(filepos(f)*100 / fs) else pr:=round((100*i) / qolmethods);
ProgressForm.UpdateProgress(s1,pr,'Декодирование ');
if (size mod 8)<>0 then
begin
ks:=byte(PCHAR(Buf)[size-1])+1;
end else ks:=0;
end;
BlockWrite(outp,buf^,size,res);
end;
Seek(outp,filepos(outp)-ks);
Truncate(outp);
end
else ShowMessage('Ошибка обращения к '+S);
CloseFile(f);
CloseFile(outp);
FreeMem(buf,$10000);
ProgressForm.EndProcess;
end;
function Coding_Kir;
begin
Result:=0;
end;
function DeCoding_Kir;
begin
Result:=0;
end;
end.
unit GOST;
interface
uses
SysUtils,
CodingTools;
function coding_GOST(Buf: Pointer; Size: LongWord; Param: TCodingParameters):Integer;
function coding_GOSTSE(Buf: Pointer; Size: LongWord; Param: TCodingParameters):Integer;
implementation
var
Key: array [0..7] of LongWord;
const
ExchTable: array [0..7,0..15] of byte =
((2,5,3,7,12,1,15,14,9,4,6,8,10,0,11,13),
(8,3,1,9,10,15,2,14,13,5,11,7,0,12,4,3),
(15,1,14,2,13,3,12,4,11,5,10,0,6,9,7,8),
(1,3,5,7,9,2,4,6,8,10,11,13,15,12,14,0),
(1,4,7,10,13,2,5,8,11,0,14,3,6,9,12,15),
(1,5,9,13,2,6,10,0,14,3,7,11,15,4,8,12),
(1,6,11,2,7,12,0,3,8,13,4,9,14,5,10,15),
(1,7,0,13,2,8,14,3,9,15,4,10,5,11,6,12));
C1 = $1010101;
C2 = $1010104;
procedure BaseStep(var N:word64; X: longword);
var
i:integer;
s:word64;
begin
s.v32[0]:=(N.v32[0] + X) mod $100000000;
fori:=0 to 3 do
begin
//Замена по таблице младшие или старшие 4 бита
s.v8[i]:=(ExchTable[i*2,(s.v8[i] and $0F)]) or (ExchTable[i*2+1,((s.v8[i] shr 4) and $0F)] shl 4);
end;
asm
push ecx
mov cl,11
rol DWORD[s.v32[0]],cl
pop ecx
end;
s.v32[0]:=s.v32[0] xor N.v32[1];
N.v32[1]:=N.v32[0];
N.v32[0]:=s.v32[0];
end;
procedure SEcoding64bits(var N:word64);
var
k,j: integer;
s:LongWord;
begin
for k:=1 to 3 do
for j:=0 to 7 do BaseStep(N,Key[j]);
for j:=7 downto 0 do BaseStep(N,Key[j]);
s:=N.v32[0];
N.v32[0]:=N.v32[1];
N.v32[1]:=s;
end;
procedure SEdecoding64bits(var N:word64);
var
k,j: integer;
s:LongWord;
begin
for j:=0 to 7 do BaseStep(N,Key[j]);
for k:=1 to 3 do
for j:=7 downto 0 do BaseStep(N,Key[j]);
s:=N.v32[0];
N.v32[0]:=N.v32[1];
N.v32[1]:=s;
end;
procedure GOST_G_coding(var T: pointer; S:word64; Size:word);
var
i:integer;
begin
SEcoding64bits(S);
for i:=1 to (Size div 8) do
begin
S.v32[0]:=(S.v32[0]+C1) mod $100000000;
S.v32[1]:=((S.v32[1]+C2-1) mod ($ffffffff)) +1;
word64(Pointer(LongWord(T)+LongWord((i-1)*8))^).v32[0]:=
word64(Pointer(LongWord(T)+LongWord((i-1)*8))^).v32[0] xor S.v32[0];
word64(Pointer(LongWord(T)+LongWord((i-1)*8))^).v32[1]:=
word64(Pointer(LongWord(T)+LongWord((i-1)*8))^).v32[1] xor S.v32[1];
end;
end;
function coding_GOST(Buf: Pointer; Size: LongWord; Param: TCodingParameters):Integer;
var
i: integer;
s: word64;
begin
s.v32[0]:=0; s.v32[1]:=0;
for i:=0 to 7 do
begin
Key[i]:=(BYTE(Param.Key[i*4+3]) shr 24) or (BYTE(Param.Key[i*4+2]) shr 16) or
(BYTE(Param.Key[i*4+1]) shr 8) or (BYTE(Param.Key[i*4]));
s.v32[i mod 2]:=s.v32[i mod 2]+Key[i];
end;
GOST_G_coding(Buf,s,Size);
end;
function coding_GOSTSE(Buf: Pointer; Size: LongWord; Param: TCodingParameters):Integer;
var
i: integer;
begin
for i:=0 to 7 do
begin
Key[i]:=(BYTE(Param.Key[i*4+3]) shr 24) or (BYTE(Param.Key[i*4+2]) shr 16) or
(BYTE(Param.Key[i*4+1]) shr 8) or (BYTE(Param.Key[i*4]));
end;
for i:=1 to (Size div 8) do
begin
SEcoding64bits(word64(Pointer(LongWord(Buf)+LongWord((i-1)*8))^));
end;
end;
var
i: integer;
begin
for i:=0 to 7 do Key[i]:=0;
end.

