| Скачать .docx |
Реферат: Табличный процессор Excel Система управления базой данных MS Access Векторный редактор CorelDraw
Оглавление
1. Табличный процессор Excel
1.1 Каково назначение и основные функциональные возможности табличного процессора Excеl?
1.2 Перечислить и пояснить типы входных данных, которые могут быть введены в ячейки электронной таблицы.
1.3 Что такое ссылка? Какими способами можно вводить в электронную таблицу и использовать ссылку? Какого типа ссылки используются в Excel?
1.4 Объяснить значения следующих понятий:
- Блок ячеек
- Графические возможности
- Правило относительной ориентации ячеек
2. Система управления базой данных MSAccess
2.1 Понятие и назначение базы данных и систем управления БД
2.2 Структурные элементы БД (поле, запись, файл). Логическая структура записи файла БД
2.3 Запросы. Типы запросов MS Access. Создание простого запроса
2.4 Объяснить значение следующих ключевых понятий:
- Ключ
- Форма
- Сетевая модель данных
4. Векторный редактор CorelDraw
5. Итоговые функции MSExcel
6. Табулирование заданной функции
1. Табличный процессор Excel
1.1 Каково назначение и основные функциональные возможности табличного процессора Excal ?
Назначение и область применения электронных таблиц:
-бухгалтерский и банковский учет;
-планирование распределение ресурсов;
-проектно-сметные работы;
-инженерно-технические расчеты;
-обработка больших массивов информации;
-исследование динамических процессов.
Основные функциональные возможности:
-анализ и моделирование на основе выполнения вычислений и обработки данных;
-оформление таблиц, отчетов;
-форматирование содержащихся в таблице данных;
-построение диаграмм требуемого вида;
-создание и ведение баз данных с возможностью выбора записей по заданному критерию и сортировки по любому параметру;
-перенесение (вставка) в таблицу информации из документов, созданных в других приложениях, работающих в среде Windows;
-печать итогового документа целиком или частично;
-организация взаимодействия в рабочей группе (коллективное использование, то есть распространение и просмотр электронных таблиц всеми участниками рабочей группы.
1.2 Перечислить и пояснить типы входных данных, которые могут быть введены в ячейки электронной таблицы
Существует два типа данных, которые можно вводить в ячейки листа Excel - константы и формулы. Константы в свою очередь подразделяются на: числовые значения, текстовые значения, значения даты и времени, логические значения и ошибочные значения. Числовые значения. Числовые значения могут содержать цифры от 0 до 9, а также спецсимволы + - Е е ( ) . , $ % /. Для ввода числового значения в ячейку необходимо выделить нужную ячейку и ввести с клавиатуры необходимую комбинацию цифр. Вводимые цифры отображаются как в ячейке, так и в строке формул. По завершению ввода необходимо нажать клавишу Enter. После этого число будет записано в ячейку. По умолчанию после нажатия Enter активной становится ячейка, расположенная на строку ниже, но командой "Сервис"-"Параметры" можно на вкладке "Правка" установить необходимое направление перехода к следующей ячейке после ввода, либо вообще исключить переход. Если после ввода числа нажать какую-либо из клавиш перемещения по ячейкам (Tab, Shift+Tab…), то число будет зафиксировано в ячейке, а фокус ввода перейдет на соседнюю ячейку.
1.3 Что такое ссылка? Какими способами можно вводить в электронную таблицу и использовать ссылку? Какого типа ссылки используются в Excel ?
Ссылка в Microsoft Excel — адрес ячейки или связного диапазона ячеек. В каждом листе Excel может быть 256 столбцов и 65536 строк. Адрес ячейки определяется пересечением столбца и строки, как в шахматах или морском бое, например: A1, C16. Адрес диапазона ячеек задается адресом верхней левой ячейки и нижней правой, например: A1:C5.
Есть два вида представления ссылок в Microsoft Excel:
Классический;
Стиль ссылок R1C1 (здесь R — row (строка), C — column (столбец)).
Включить стиль ссылок R1C1 можно в настройках «Сервис» --> «Параметры» --> закладка «Общие» --> галочка «Стиль ссылок R1C1»
Ссылки в Excel бывают 3-х типов:
Относительные ссылки (пример: A1);
Абсолютные ссылки (пример: $A$1);
Смешанные ссылки (пример: $A1 или A$1, они наполовину относительные, наполовину абсолютные).
1.4 Объяснить значения следующих понятий
-Блок ячеек
Блок это один из основных объектов, над которыми производятся действия в электронных таблицах, являются ячейки и блоки ячеек.
Блок - одна ячейка, строка, столбец или любая прямоугольная область таблицы. Адрес блока задается так: адрес верхней левой ячейки блока, двоеточие, адрес правой нижней ячейки блока.
Примеры блоков: А1 (ячейка); А1:А9 (столбец); В2:Z2 (строка); С3:Е8 (прямоугольная область).
Графические возможности
Среди задач, решаемых с помощью процессоров электронных таблиц, особое место занимает графическое представление хранимой информации и результатов ее обработки. Наглядность и легкость восприятия диаграмм позволяет принять быстрое и обоснованное решение по дальнейшей обработке данных числового типа, так как даже самые простые диаграммы могут помочь оценить имеющиеся данные лучше, чем изучение каждой ячейки рабочего листа. Графическое представление также может помочь обнаружить ошибку в данных и даже на первом этапе изучения данных поможет раскрыть важные зависимости, скрытые в больших массивах чисел.
Существенным достоинством Excel как современного программного инструмента является то, что при работе с ним при изменении исходных данных, по которым построены график. С помощью Excel можно строить диаграммы разных типов. Некоторые из них могут быть "объемными" (они выглядят очень эффектно и помогают подчеркнуть различия между разными наборами данных).
Удобным средством для создания графических представлений в Excel является Мастер диаграмм, который вызывается специальной кнопкой на панели Стандартная или из меню Вставка > Диаграмма.
Правило относительной ориентации ячеек
При копировании или переносе формул автоматически изменяются адреса ячеек в формулах. Поясним это на следующем примере:

В ячейку В3 (столбец В, строка 3) занесена формула =А1+А2, то есть нужно сложить числа, находящиеся в предыдущем (левом) столбце А и двух предыдущих строках, 1 и 2. При копировании ячейки В3, например, в ячейку Е5 соотношение в формуле сохраняется: автоматически складываются числа, находящиеся в предыдущем левом столбце D и двух предыдущих строках, 3 и 4. Аналогично, при копировании ячейки В3 в ячейку В7 формула изменяется на =А5+А6.
2. Система управления базой данных MS Access
2.1 Понятие и назначение базы данных и систем управления БД
База данных – это информационная модель, позволяющая упорядоченно хранить данные о группе объектов, обладающих одинаковым набором свойств.
Программное обеспечение, предназначенное для работы с базами данных, называется система управления базами данных (СУБД). СУБД используются для упорядоченного хранения и обработки больших объемов информации.
СУБД организует хранение информации таким образом, чтобы ее было удобно:
-просматривать,
-пополнять,
-изменять,
-искать нужные сведения,
-делать любые выборки,
-осуществлять сортировку в любом порядке.
Системы управления базами данных позволяют объединять большие объемы информации и обрабатывать их, сортировать, делать выборки по определенным критериям и т. п. Современные СУБД дают возможность включать в них не только текстовую и графическую информацию, но и звуковые фрагменты и даже видеоклипы. Простота использования СУБД позволяет создавать новые базы данных, не прибегая к программированию, а пользуясь только встроенными функциями. СУБД обеспечивают правильность, полноту и непротиворечивость данных, а также удобный доступ к ним.
2.2 Структурные элементы БД (поле, запись, файл). Логическая структура записи файла БД
Понятие базы данных тесно связано с такими понятиями структурных элементов, как поле, запись, файл. Поле, - элементарная единица логической организации данных, которая соответствует неделимой единице информации - реквизиту. Для описания поля используются следующие характеристики:
-Имя, например. Фамилия, Имя, Отчество, Дата рождения;
-Тип, например, символьный, числовой, календарный;
-Длина, например, 15 байт, причем будет определяться максимально возможным количеством символов.
-Точность, для числовых данных, например два десятичных знака для отображения дробной части числа.
Запись - совокупность логически связанных полей. Экземпляр записи - отдельная реализация записи, содержащая конкретные значения ее полей.
Файл (таблица) - совокупность экземпляров записей одной структуры.
Описание логической структуры записи файла содержит последовательность расположения полей записи и их основные характеристики.

В структуре записи файла указываются поля, значения которых являются ключами: первичными (ПК), которые идентифицируют экземпляр записи, и вторичными (ВК), которые выполняют роль поисковых или группировочных признаков (по значению вторичного ключа можно найти несколько записей).
2.3 Запросы. Типы запросов MS Access. Создание простого запроса
Как правило, нет необходимости в отображении всей информации, которая хранится в той или иной таблице БД. Существует средство обработки данных в одной или нескольких таблицах, которое позволяет отображать нужную информацию, соответствующую указанным требованиям. Например, в БД Образование необходимо найти всех студентов, которые имеют отличные оценки, или отобразить фамилии всех студентов, которые сдавали физику. Для этих целей в Access используются запросы.
Существует несколько типов запросов:
1 На выборку,
2 На обновление,
3 На добавление,
4 На удаление,
5 Перекрестный,
6 Создание таблицы.
Наиболее распространенным является запрос на выборку. При его выполнении создается множество записей, в которых содержатся указанные данные, например, определенные поля из одной или нескольких таблиц. При этом отображаемую в запросе информацию можно изменять так же, как и при работе с обычной таблицей. Однако следует отметить, что указанный набор записей создается временно, только во время выполнения запроса, и не хранится в БД, в отличие от содержимого таблиц.
Чтобы создать новый запрос, необходимо нажать кнопку Запросы в окне БД Образование и после этого выбрать режим создания запроса: с использованием конструктора или мастера. Также для создания запроса можно воспользоваться кнопкой Создать, после чего выбрать режим создания нового запроса.
2.4 Объяснить значение следующих ключевых понятий
-Ключ
В структуре записи файла указываются поля, значения которых являются ключами: первичными (ПК), которые идентифицируют экземпляр записи, и вторичными (ВК), которые выполняют роль поисковых или группировочных признаков (по значению вторичного ключа можно найти несколько записей).
-Форма
Работа с данными в БД непосредственно осуществляется в таблицах и запросах. В Access имеются широкие возможности по созданию интерфейса пользователя при помощи форм. Создавая форму в БД, обычно преследуется одна из не скольких целей.
-Отображение и изменение данных;
-Ввод данных;
-Печать;
-Сообщения.
Формы в Access являются главным средством разработки пользовательского интерфейса. В зависимости от того, с какой целью создается форма, разработчик определяет параметры ее внешнего вида. Существует несколько основных видов форм.
-Сетевая модель данных
Сетевой подход к организации данных является расширением иерархического подхода. В иерархических структурах запись-потомок должна иметь в точности одного предка; в сетевой структуре данных у потомка может иметься любое число предков.
Сетевая БД состоит из набора записей и набора связей между этими записями, а точнее, из набора экземпляров каждого типа из заданного в схеме БД набора типов записи и набора экземпляров каждого типа из заданного набора типов связи.
Тип связи определяется для двух типов записи: предка и потомка. Экземпляр типа связи состоит из одного экземпляра типа записи предка и упорядоченного набора экземпляров типа записи потомка. Для данного типа связи L с типом записи предка P и типом записи потомка C должны выполняться следующие два условия:
-каждый экземпляр типа записи P является предком только в одном экземпляре типа связи L;
-каждый экземпляр типа записи C является потомком не более чем в одном экземпляре типа связи L.
На формирование типов связи не накладываются особые ограничения; возможны, например, следующие ситуации:
-тип записи потомка в одном типе связи L1 может быть типом записи предка в другом типе связи L2 (как в иерархии);
-данный тип записи P может быть типом записи предка в любом числе типов связи;
-данный тип записи P может быть типом записи потомка в любом числе типов связи;
-может существовать любое число типов связи с одним и тем же типом записи предка и одним и тем же типом записи потомка; и если L1 и L2 - два типа связи с одним и тем же типом записи предка P и одним и тем же типом записи потомка C, то правила, по которым образуется родство, в разных связях могут различаться;
-типы записи X и Y могут быть предком и потомком в одной связи и потомком и предком – в другой;
-предок и потомок могут быть одного типа записи.
3 . Система управления базами данных MS Access
Создать базу данных вакансий рабочих мест Вашей фирмы (предприятия, организации). Задать структуру базы данных, выбрав необходимые тип и размер полей (полей должно быть не менее 8, обязательно присутствие числового, денежного, календарного и логического типов полей). Внести в базу данных информацию не менее, чем на 10 специальностей. Отсортировать список специальностей по алфавиту, создать отчет и распечатать на листе формата А4, включив все поля. Сделать пять различных выборок работников, причем две из них сложных. Распечатать все выборки на листах формата А4. Базу данных представить на дискете.









4. Векторный редактор CorelDraw
Создайте визитную карточку. Для создания логотипа вашей фирмы (предприятия, офиса) можно воспользоваться готовым символом из библиотеки символов CorelDraw или подготовить иллюстрацию с помощью простейших графических примитивов, при этом следует выполнить не менее 5-и вариантов, а для каждого варианта необходимо изготовить как минимум 10 различных по виду картинок. Текст с надписью названия фирмы разместите вдоль кривой и добавьте эффект выдавливания или тени. Для задания фона визитной карточки воспользуйтесь линейной градиентной заливкой. Распечатать все логотипы на листах формата А4. Описать этапы выполнения работы. Ход работы со всеми возможными вариантами данных представить на дискете.

5. Итоговые функции MS Excel
Используя приведенную ниже таблицу выполнить следующие действия и заполнить все пустые поля таблицы:
1. Определить итоговые значения по всем параметрам, приведенным в таблице.

Формула:
=СУММ(C4:C9)
2. Определить максимальные и минимальные значения каждого параметра по всем водохранилищам.

Формула:
=МАКС(C4:C9)
=МИН(C4:C9)
3. Определить какое место занимает каждое водохранилище по каждому параметру.

Формула:
=НАИБОЛЬШИЙ(C$4:C$9;$A4)
=ПОИСКПОЗ(C4;C$17:C$22;0)
4. Определить средние величины для каждого параметра.

Формула:
=СРЗНАЧ(C4:C9)
5. Определить какую часть составляет объем отдельного водохранилища от общего объема воды во всех водохранилищах.

Формула: =E4/E$13
6. Вычислить площадь каждого водохранилища исходя из среднего значения.
7. Определить процентное отношение напора каждого водохранилища к максимальной величине напора. Результат показать на графике.

Формула: =(F4/F$10)

8. Сравнить на круговой диаграмме объём водохранилищ

9. Сравнить на диаграмме места, которые занимает каждый бассейн по каждому параметру

10.Выделить заливкой водохранилища, которые имеют максимальные и минимальные значения

11.

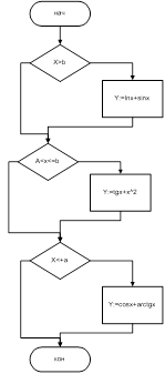
6. Табулирование заданной функции
Задание: Выполнить табулирование заданной функции с использованием стандартных функций рабочего листа Excel и с использованием программы TurboPascal.
1. Составить блок схему порядка табулирования заданной функции в соответствии с заданием.
2. Используя функцию ЕСЛИ рабочего листа Excel, составить формулу табулирования заданной функции.
3. Используя команды интерпретатора команд QBasic, составить подпрограмму вычисления значения заданной функции.
4. Построить графики по результатам вычислений.

для
, при a = 0, b = 0,6,
= 0,2.

2. Формула:
=ЕСЛИ(A4>B$2;(LN(A4)+SIN(A4)))+ЕСЛИ(И(A$2<A4;A4<=B$2);(TAN(A4)+СТЕПЕНЬ(A4;2)))+ЕСЛИ(A4<=A$2;(COS(A4)+ATAN(A4)))
3.
Function z(a, b, x)
If x > b Then
z = Log(x) + Sin(x)
End If
If a < x And x <= b Then
z = Tan(x) + x ^ 2
End If
If x <= a Then
z = Cos(x) + Atn(x)
End If
End Function

4.
