| Скачать .docx |
Реферат: Изучение возможностей экспертных систем
ФЕДЕРАЛЬНОЕ АГЕНТСТВО ПО ОБРАЗОВАНИЮ
СТАРООСКОЛЬСКИЙ ТЕХНОЛОГИЧЕСКИЙ ИНСТИТУТ (ФИЛИАЛ)
МОСКОВСКОГО ГОСУДАРСТВЕННОГО ИНСТИТУТА
СТАЛИ И СПЛАВОВ
(ТЕХНОЛОГИЧЕСКОГО УНИВЕРСИТЕТА)
Лабораторная работа №1
По дисциплине: «Интеллектуальные и информационные системы»
«Изучение возможностей экспертных систем»
Выполнила:
Морева Л.Н.
ИС-07-1в
Проверил:
Глущенко А.И.
Старый Оскол, 2011
Цель работы: целью является проектирование и разработка фрагмента экспертной системы.
Предметная область:
Автосервис. Диагностика неисправностей автомобилей
Краткое описание предметной области:
Ни для кого не секрет, что без диагностики автомобиля сегодня, невозможно произвести его качественный ремонт, соответственно для этих целей необходимо качественное диагностическое оборудование. И такое оборудование должно присутствовать на любой серьезной станции технического обслуживания. Диагностическое оборудование для автомобилей позволяет быстрее и точнее найти неисправность в автомобиле, особенно в ходовой его части, в двигателе, трансмиссии, электронике. По сути, быстрая и точная диагностика, и как следствие оперативный и качественный ремонт и являет собой качественный сервис, которого так жаждут как владельцы дорогих авто, так и те, кто ездит на машинах среднего класса.
Для удобства анализа предметной области данные сведены в таблицу.
1. В ней столбцы обозначены названиями неисправности, а строки - названиями причин неисправности. На пересечении соответствующих столбцов и строк стоит знак "+", если причина действительно принадлежит исследуемой неисправности. Одни и те же причины могут являться признаками одной и той же неисправности, поэтому некоторые из них (причин) перекрываются.
Продукционная модель
Объект® Атрибут¯ |
1. Топливная система | 2. Снижение производительности топливного насоса | 3. Засорение топливного фильтра | 4. Засорение (деформация) сливного топливопровода | 5. Не герметичность системы |
| 1. Повышение расхода топлива | + | - | - | + | + |
2. Затрудненный пуск |
+ | + | + | + | - |
| 3. Неустойчивый холостой ход | + | - | + | + | + |
4. Подтеки топлива |
+ | - | - | - | + |
5. Запах в салоне |
- | - | - | - | + |
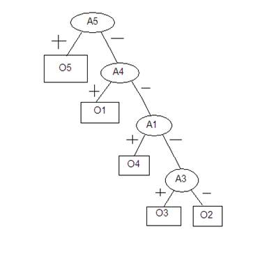
Семантическая модель
Программа:
#include<iostream.h>
#include<conio.h>
main ()
{
int z;
clrscr();
cout<<"\nvvedite nomer polomki ot 1 do 5";
cin>>z;
switch(z)
{
case 5:cout<<"05";break;
case 4:cout<<"01";break;
case 1:cout<<"04";break;
case 3:cout<<"03";break;
case 2:cout<<"02";break;
default:cout<<("polomok net");
}
getch();
return 0;
}
Контрольные вопросы
1. Что Вы понимаете под экспертной системой?
2. Дайте определение базы знаний экспертной системы?
3. Что представляет собой подсистема вывода экспертной системы?
4. Чем отличается прямой и обратный порядок логического вывода?
5. Дайте понятие фреймовой модели представления знаний.
6. Какие модели представления знаний Вы знаете?
7. Какие функции выполняет инженер по знаниям?
8. Чем отличается база данных от базы знаний?