| Скачать .docx |
Реферат: Программирование Рascal
Вариант 2
Задания
1. Дано c, d.
Вычислить
. Если
, то вычислить и отпечатать
. Если
, напечатать «y=0», иначе вычислить ![]()
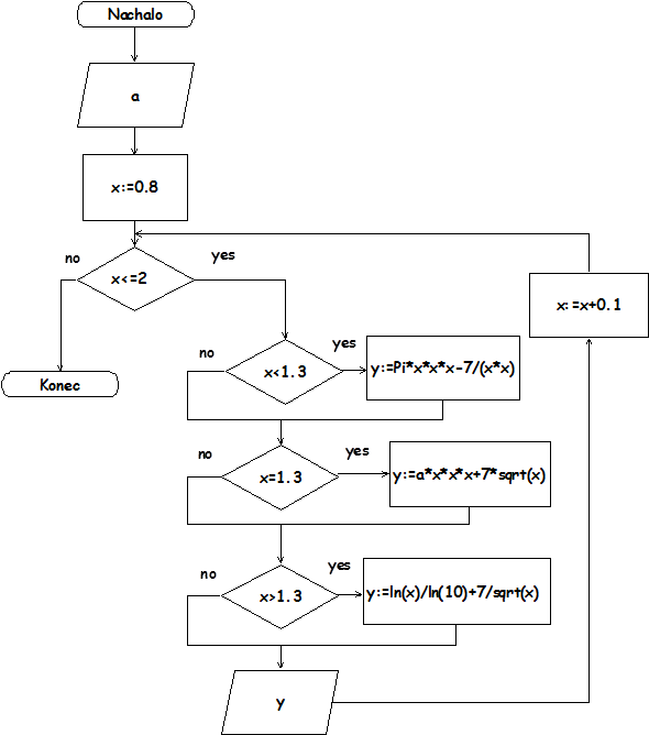
2. Дано a. Вычислить значение функции

где
изменяется в интервале от 0,8 до 2 с шагом 0,1. Вывести на печать значения функции
.
3. В заданном одномерном массиве
определить
количество положительных элементов, равных первому положительному элементу. Если такие элементы в массиве есть, то вычислить сумму положительных элементов, рассматривая массив с конца. Если таких элементов нет, то напечатать об этом сообщение.
1
Блок-схема

Программа
program v2_1;
uses crt;
var
c,d,x,y,z:real;
BEGIN
clrscr;
writeln('vvedite c');
readln(c);
writeln('vvedite d');
readln(d);
y:=exp(d)+sin(c/(1+sqrt(d*d+1)))/cos(c/(1+sqrt(d*d+1)));
if y>0 then
begin
z:=c*y+d*y+c*d;
writeln('z= ',z:5:2);
end;
if y=0 then
writeln('y=0');
if y<0 then
begin
x:=arctan(y/sqrt(1-y*y))+sin(d/2)/cos(d/2);
writeln('x= ',x:5:2);
end;
readln;
END.
Тестовый пример
2 Блок-схема

Программа
program v2_2;
uses crt;
var
x,y,a:real;
BEGIN
clrscr;
writeln('vvedite a');
readln(a);
x:=0.8;
while x<=2 do
begin
if x<1.3 then
y:=Pi*x*x*x-7/(x*x);
if x=1.3 then
y:=a*x*x*x+7*sqrt(x);
if x>1.3 then
y:=ln(x)/ln(10)+7/sqrt(x);
if y>0 then
writeln('y= ',y:5:2);
x:=x+0.1;
end;
readln;
END.
Тестовый пример
3 Блок-схема

Программа
program v2_3;
uses crt;
var
r:array [1..60] of integer;
i,n,k,l,m,sum :integer;
BEGIN
clrscr;
writeln('vvedite N<=60');
readln(n);
m:=0;
k:=0;
for i:=1 to n do
begin
writeln('vvedite ',i,' element');
readln(r[i]);
if (r[i]=l)and(m=1) then
k:=k+1;
if (r[i]>0)and(m=0) then
begin
l:=r[i];
m:=1;
end;
end;
if k=0 then
writeln('net elementov ravnyh 1 polozhitelnomy elementu')
else
begin
sum:=0;
for i:=n downto 1 do
begin
if r[i]>0 then
sum:=sum+r[i];
end;
writeln('summa polozhitelnyh elementov ravna ',sum);
end;
readln;
END.
Тестовый пример