| Скачать .docx |
Реферат: Операционные системы 8
Федеральное агентство по образованию Государственное образовательное учреждение высшего профессионального образования
«Тверской государственный университет»
Факультет управления и Социологии
Реферат по дисциплине «Информатика»
«Операционные системы»
Выполнила: Кирикова К.В. группа 11
Приняла: стар. преп.
Тверь 2010г.
Содержание.
Введение……………………………………………………………….............3 1. Назначение и основные функции операционной системы…….........5 1.1. Процесс. Управление процессами…………………………….…...6 1.2. Типы операционных систем………………………………….…….8 1.3. Файловая система…………………………………………….……..10 1.3.1. Основные свойства файлов. ………………………...….……10 1.3.2. Основные свойства файловых систем…………..…….……13 1.4. Конструкция ОС…………………………………………………....19 2. Семейство Microsoft Windows ………………………………………….20 2.1. Первые версии Windows ……………………………………………20 2.2. Поколение 9 X ……………………………………………………..…20 2.3. Поколение NT …………………………………………………….…24 Заключение…………………………………………………………………32 Список литературы……………………………………………….………34 |
Введение
Трудно назвать другую сферу человеческой, которая развивалась бы столь стремительно и порождала бы такое разнообразие проблем, как информатизация и компьютеризация общества. История развития информационных технологий характеризуется быстрым изменением концептуальных представлений, технических средств, методов и сфер их применения.
В современных реалиях весьма актуальным для большинства людей стало умение пользоваться промышленными информационными технологиями. Проникновение компьютеров во все сферы жизни общества убеждает в том, что культура общения с компьютером становится общей культуры человека.
При включении компьютера операционная система загружается в память раньше остальных программ и затем служит платформой и средой для их работы. Без операционной системы невозможно представить работу с компьютером. Знание операционной системы необходимо для успешного пользования современными компьютерами.
Предшественником ОС следует считать служебные программы (такие, как загрузчики), а также библиотеки часто используемых подпрограмм, начавшие разрабатываться с появлением универсальных компьютеров 1-го поколения (конец 1940-х годов). Служебные программы минимизировали физические манипуляции оператора с оборудованием, а библиотеки позволяли избежать многократного программирования одних и тех же действий (осуществления операций ввода-вывода, вычисления математических функций и т. п.).
На сегодняшний момент операционная система Windows фирмы Microsoft во всех ее проявлениях, бесспорно, считается самой распространенной операционной системой на ПК. Очевидно, что ознакомление с ПК необходимо начинать с ознакомления с Windows, ведь без нее работа на ПК немыслима для большинства пользователей.
Целью данной работы является анализ общих основ операционных систем и характеристика развития самой популярной ОС — Windows.
В реферате будут рассмотрены основные сущности операционных систем, такие как процесс и файл, управление ими и их основные свойства. Развитие системы Windowsбудет рассматриваться на различных модификациях, начиная с первых графических надстроек на ОС MS-DOS, заканчивая самой последней версией – WindowsVista.
Информационными основами для этого реферата послужили учебные и справочные пособия по информатике, материалы веб-сайтов и Интернет изданий, посвящённые компьютерным технологиям.
1. Назначение и основные функции операционной системы
Операционная система – это комплекс взаимосвязанных системных программ, функциями которого является контроль использования и распределения ресурсов вычислительной системы и организация взаимодействия пользователя с компьютером.
Операционная система (ОС) играет роль связующего звена между аппаратурой компьютера и выполняемыми программами, а также пользователем.
Операционные системы, развиваясь вместе с ЭВМ, прошли длинный путь от простейших программ в машинных кодах размером всего в несколько мегабайт до современных, написанных на языках высокого уровня, размер которых исчисляется гигабайтами. Такой значительный рост размера операционных систем обусловлен, главным образом, стремлением разработчиков «украсить» операционную систему, расширить ее возможности, добавить возможности, изначально несвойственные операционным системам, а также сделать интерфейс пользователя интуитивным. Все эти попытки дали свои результаты, и положительные, и отрицательные. Главным результатом стало усложнение настройки и программного интерфейса при упрощении пользовательского.
MS-DOS — одна из первых операционных систем и одна из самых известных. Пик популярности этой операционной системы приходится на 90-е годы, сейчас эта операционная система используется редко. Наибольшей популярностью в мире на данный момент пользуются операционные системы фирмы Microsoft. Их доля составляет около 90% среди всех операционных систем. Наиболее устойчивые системы этой фирмы основаны на технологии NT (WindowsNT/XP/Vista).
Однако Windows, естественно, не единственная современная операционная система. У других современных ОС, например Linux, UNIX, OS/2, имеют свои преимущества и недостатки. Linux предоставляет наиболее совершенную защиту, чем Windows, и имеет более продуманный интерфейс; UNIX применяется там, где требуется высокая надежность систем. Большим недостатком OS/2 и UNIX является довольно скудный выбор программных средств, и здесь Windowsвыигрывает у остальных операционных систем.
Важной особенностью многих ОС является способность их взаимодействия друг с другом, посредством сети, что позволяет компьютерам взаимодействовать друг с другом, как в рамках локальных вычислительных сетей (ЛВС), так и в глобальной сети Интернет.
Любая операционная система оперирует некоторыми сущностями, которые вместе со способами управления ими во многом характеризуют ее свойства. К таким сущностям могут относиться понятия процесса, объекта, файла и т.д. Каждая ОС имеет свой набор таких сущностей. К примеру, в ОС Windows к таким сущностям можно отнести понятие объекта, и уже через управление этой сущностью предоставляются все возможные функции.
1.1. Процесс. Управление процессами
Процесс — это некоторая сущность, которая присутствует практически во всех ОС, это программа, использующая множество ресурсов. Рассмотрим две программы (то есть код и данные, которые используются) и рассмотрим все те ресурсы, которые принадлежат программе (это могут быть: пространство оперативной памяти, данные на внешнем запоминающем устройстве, права владения линиями связи и тд). Если множества ресурсов, принадлежащих двум программам, совпадают, то в этом случае мы не можем говорить об этих программах, как о двух процессах, - это один процесс. Если у каждой программы есть свое множество ресурсов, причем, эти множества могут пересекаться, но не совпадать, то мы говорим о двух процессах.
В том случае, когда множества ресурсов нескольких процессов имеют непустое пересечение, то у нас возникает вопрос об использовании, так называемых, разделяемых ресурсов. Может быть несколько процессов, каждый из которых имеет в качестве своего ресурса устройство и в каждый момент времени может обратиться к этому ресурсу с заказом на какое-то действие. Синхронизация работы процессов иллюстрирует одну из функций ОС, заключающуюся в управлении функционированием процессов. Под управление процессами понимается:
1) Управление использованием времени центрального процессора. Это ещё иногда называют планированием ЦП, то есть управление тем, в какой момент времени какая из задач или какой из процессов будет владеть активностью ЦП: на какой из процессов будет работать ЦП.
2) Управление «подкачкой» и буфером ввода. Процессором обрабатывается несколько процессов, и перед нами стоит задача освободить реальную оперативную память для других задач. В этом случае возникает необходимость какие-то из обрабатываемых задач откачать на внешнее запоминающее устройство. Как более или менее выгодно организовать процесс откачки является одной из задач ОС. Если в системе образовывается масса задач, то вся вычислительная система не может принять для работы в мультипрограммном режиме все задачи. В этом случае образуется, так называемый, буфер ввода задач, или буфер ввода процессов, то есть буфер, в котором аккумулируются те процессы, которые ожидают начала своей обработки процессором. Возникает проблема очередности выбора процессов из этого буфера для начала обработки. Это задача планирования буфера.
3) Управление разделяемыми ресурсами. Имеется набор ресурсов, доступ к которым в определенные моменты времени организуется от имени различных процессов. Одна из функций, которая во многом определяет свойства ОС, это функция, обеспечивающая организацию взаимодействия процессов и использования общих ресурсов. Проблема с простым устройством легко решается, а вот если две программы имеют общий фрагмент оперативной памяти, то управление таким разделяемым ресурсом - сложная задача.
1.2. Типы операционных систем
Если ЦП выделен одному из процессов, то этот процесс будет занимать ЦП до наступления одной из следующих ситуаций:
1. Обращение к внешнему устройству.
2. Завершение процесса.
3. Зафиксированный факт зацикливания процесса.
4. Исчерпание выделенного данному процессу времени Dt.
Как только наступила одна из этих ситуаций, управление передается другому процессу. Количество передач управления от одного процесса к другому минимизировано. Так как при передаче управления с одного процесса на другой ОС должна выполнить набор некоторых действий, а это потеря времени, то здесь эти потери минимизированы. Такой режим работы ОС называется пакетным режимом. ОС, которая работает в таком режиме, называется пакетной ОС .
При наступлении одного из упомянутых событий планировщик ОС выбирает из процессов, готовых к выполнению, некоторый процесс и передает ему ресурсы ЦП. А выбирает он этот процесс в зависимости от того алгоритма планирования, который был использован в данной конкретной ОС. Например, процесс может выбираться случайно. Второй способ заключается в том, что происходит как бы последовательный обход процессов, то есть мы взяли в работу сначала один из процессов, затем он освободился, и время ЦП будет предоставлено следующему по порядку процессу из готовых к выполнению. Третьим критерием, по которому отбирается очередная задача, может быть время, которое данный процесс не обслуживался ЦП. В этом случае система может выбирать процесс, у которого такое время самое большое. Эти алгоритмы должны быть реализованы в ОС, а значит, они должны быть простыми, иначе система будет работать неэффективно, сама на себя (хотя такие системы есть: в частности, этим страдает семейство Windows). Такой тип ОС называется ОС разделения времени . Она работает в режиме, при котором минимизируется время реакции системы на запрос пользователя. В идеале, за счет того, что время ответа на запрос минимально, у пользователя должна создаваться иллюзия, что все ресурсы системы предоставлены только ему.
Предположим, у нас система разделения времени. Одним из качеств системы разделения времени является неэффективность за счет того, что в системе предусмотрено большое количество переключений с процесса на процесс, а эта функция достаточно трудоемка. Для решения такого рода задач нужны свои средства планирования. В этом случае используются, так называемые, ОС реального времени , основным критерием которых является время гарантированной реакции системы на возникновение того или иного события из набора заранее предопределенных событий. То есть в системе есть набор событий, на которые система в любой ситуации прореагирует и обработает их за некоторое наперед заданное время. Для ОС этого класса используются достаточно простые алгоритмы.
1.3. Файловая система
Каждая из операционных систем оперирует некоторыми сущностями, одной из которых является процесс. Есть вторая сущность, которая также важна - это понятие файла. Файловая система - это компонент операционной системы, обеспечивающий организацию создания, хранения и доступа к именованным наборам данных. Эти именованные наборы данных называются файлами .
1.3.1. Основные свойства файлов
1. Файл - это некий объект, имеющий имя, и позволяющий оперировать с содержимым файла через ссылку на это имя. Обычно имя - это последовательность некоторых символов, длина которой зависит от конкретной операционной системы.
2. Независимость файла от расположения . Для работы с конкретным файлом не требуется иметь информацию о местоположении этого файла на внешнем устройстве.
3. Набор функций ввода/вывода. Практически каждая операционная система однозначно определяет набор функций, обеспечивающий обмен с файлом. Обычно, этот набор функций состоит из следующих запросов:
1. Открыть файл для работы . Открыть можно либо уже существующий, либо новый файл. Может возникнуть вопрос - зачем открывать файл? Почему нельзя сразу читать и писать в этот файл? На самом деле, это есть средство, для того чтобы централизованно объявить операционной системе, что файл будет работать с конкретным процессом. А она уже из этих сведений может принять какие-то решения (например, блокирование доступа в этот файл для других процессов).
2. Чтение/запись . Обычно обмен с файлами может организовываться некоторыми блоками данных. Блок данных, с которым происходит обмен, несет двоякую сущность. С одной стороны, для любой вычислительной системы известны размеры блоков данных, которые наиболее эффективны для обмена, то есть это программно-аппаратные размеры. С другой стороны, эти блоки данных при реальном обмене могут варьироваться достаточно произвольно программистом. В функциях чтения/записи обычно фигурирует размер блока данных для обмена и количество блоков данных, которые необходимо прочесть или записать. От выбранного размера блока данных может зависеть эффективность реальных обменов. Здесь есть элементы неэффективности, хотя они могут сглаживаться «умной» операционной системой.
3. Управление файловым указателем . Практически с каждым открытым файлом связывается понятие файлового указателя. Этот указатель, в каждый момент времени показывает на следующий относительный адрес по файлу, с которым можно произвести обмен. После обмена с данным блоком указатель переносится на позицию через блок. Для организации работы с файлом требуется уметь управлять этим указателем. Имеется функция управления файловым указателем, которая позволяет произвольно (в пределах доступного) перемещать указатель по файлу. Указатель есть некоторая переменная, доступная программе, которая связана с функцией открытия файла (создающей эту переменную).
4. Закрытие файла . Эта операция может осуществляться двумя функциями: закрыть и сохранить текущее содержимое файла либо уничтожить файл.
4. Защита данных . Многие стратегические решения повторяются как на аппаратном уровне, так и на уровне операционной системы. Если мы вспомним мультипрограммный режим, то одним из необходимых условий его существования является обеспечение защиты (памяти и данных). Если мы рассмотрим файловую систему, то она так же, как и операционная система, может быть однопользовательской. В этом случае проблемы защиты данных не существует, потому что человек, который работает с этой операционной системой, является хозяином всех файлов. Примеры однопользовательских систем - MS-DOS или Windows 95. Можно загрузить машину и уничтожить все файлы других пользователей, которые размещены на диске, потому что в этих системах защиты нет никакой. Многопользовательская система обеспечивает корректную работу многих пользователей. MS-DOS также может работать в режиме мультипрограммирования, но он не достаточно корректен, потому что ошибка в одном процессе может привести к затиранию операционной системы и соседнего процесса. Также и в операционной системе Windows 95 может работать много пользователей, но эта работа некорректна, потому что эта операционная система не обеспечивает все права защиты. Итак, многопользовательская система должна обеспечивать защиту информации от несанкционированного доступа. На самом деле, проблема защиты связана не только с файловой системой. Реально операционная система обеспечивает защиту данных во всех областях: это и файлы, и процессы, и ресурсы, принадлежащие процессам, запущенным от имени одного пользователя. Во всех последних версиях ОС поддерживаются многопользовательские режимы, и соответственно обеспечена защита файловых систем.
1.3.2. Основные свойства файловых систем
Файловая система естественно включает в себя все те свойства, которые были перечислены для файлов, но добавляет еще некоторые. Эти свойства связаны со структурной организацией файловой системы.
Одноуровневая организация файлов непрерывными сегментами.
Термин «одноуровневая» означает, что система обеспечивает работу с файлами уникально именованными.В пределах пространства запоминающего устройства выделяется некоторая область для хранения данных, которая называется каталог. Каталог имеет следующую структуру:
| имя | начальный блок | конечный блок |
«Начальный блок» ссылается на некоторый относительный адрес пространства запоминающего устройства, с которого начинается файл с заданным именем. «Конечный блок» определяет последний блок данного файла. Функция открытия файла сводится к нахождению в каталоге имени файла и определении его начала и конца (реально данные могут занимать несколько меньше места, об этом будет сказано позже). Это действие очень простое, к тому же каталог можно хранить в памяти операционной системы, и тем самым уменьшить количество обменов. Если создается новый файл, то он записывается на свободное место. Аналогично каталогу имен может иметься таблица свободных пространств (фрагментов).
Чтение/запись происходит почти без дополнительных обменов, так как при открытии мы получаем диапазон размещения данных. Чтение происходит в соответствии с этой блочной структурой и никакая дополнительная информация не требуется, соответственно обмен происходит очень быстро.
Что будет, когда нужно записать в такой файл дополнительную информацию, а свободного пространства за этим файлом нет? В этом случае система может поступить двояко. Первое, она скажет, что нет места и вы должны сделать что-то сами, например, запустить некий процесс, который перенесет этот файл в другое место и добавит нужную информацию. Этот перенос - функция достаточно дорогостоящая по времени и загрузке процессов. Вторая возможность - в обмене будет отказано. Это означает, что при открытии файла нужно было заранее зарезервировать дополнительное место; при этом файловая система проверяет размер свободного буфера, и если его мало, то ищет свободное место там, где этот файл разместится.
Итак, мы видим, что эта организация проста, при обменах эффективна, но в случае нехватки пространства для файла начинается неэффективность. К тому же, при долговременной работе такой файловой системы на диске случается то же, что случается с оперативной памятью - фрагментация. То есть ситуация, когда есть свободные фрагменты, но среди них нет такого, куда можно было бы разместить файл. Борьба с фрагментацией для такой организации файловой системы - это периодическая компрессия, когда запускается долгий, тяжелый и опасный для содержимого файловой системы процесс, который прижимает все файлы плотно друг к другу.
Такая организация может быть пригодна для однопользовательской файловой системы, потому что при большом количестве пользователей очень быстро произойдет фрагментация, а постоянный запуск компрессии - смерть для системы. С другой стороны, система проста и не требует почти никаких накладных расходов.
Файловая система с блочной организацией файлов.
Пространство запоминающего устройства разделено на блоки (те самые блоки, которые эффективны для обмена). В общем случае, с каждым именем файла связан набор номеров блоков устройства, в которых размещены данные этого файла. Причем, номера этих блоков имеют произвольный порядок, то есть блоки могут быть разбросаны по всему устройству в произвольном порядке. При такой организации нет фрагментации, хотя могут быть потери кратные блоку (если файл занял хотя бы один байт в блоке, то весь блок считается занятым). Следовательно, нет проблем компрессии, и эта система может использоваться при многопользовательской организации.
В этом случае с каждым файлом связан набор атрибутов: имя файла, имя пользователя, по которым происходит доступ к файлу. Такая организация позволяет уйти от уникальности имен, которая требовалась в предыдущем случае. В такой системе требуется уникальность имен лишь среди файлов одного пользователя.
Организация таких файлов может быть через каталог. Структура каталога может быть следующая. Каталог содержит строки; каждая i-тая строка соответствует i-тому блоку файловой системы. В этой строке содержится информация о том, является ли этот блок свободным или занятым. Если он занят, то в этой строке указывается имя файла (либо ссылка на него), имя пользователя, и может находиться какая-то дополнительная информация.
При обмене система может действовать по-разному. Либо при открытии файла система пробегает по всему каталогу и строит таблицу соответствия логических блоков файла, их размещению на диске. Либо при каждом обмене осуществляется поиск этого соответствия.
Такая организация файловой системы является одноуровневой в рамках одного пользователя, то есть все файлы связаны в группы по принадлежности к какому-то пользователю.
![]() |
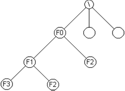
Иерархическая файловая система.
Все файлы файловой системы построены в структуру, которая называется деревом. В корне дерева находится, так называемый, корень файловой системы. Если узел дерева является листом, то это файл, который может содержать данные пользователя, либо являться файлом-каталогом. Узлы дерева отличные от листа являются файлами-каталогами. Именование в такой иерархической файловой системе может происходить разными способами. Первый тип - именование файла относительно ближайшего каталога, т. е. если мы посмотрим файлы, которые являются ближайшими для каталога F0, - это файл F1, который является также каталогом, и файл F2. Для успешного именования в такой системе на одном уровне не могут повторяться имена. С другой стороны, так как все файлы связаны с помощью дерева, мы можем говорить о, так называемом, полном имени файла, которое составляется из всех имен файлов, которые составляют путь от корня файловой системы к конкретному файлу. Полное имя файла F3 будет обозначаться так: /F0/F1/F3. Такая организация хороша тем, что она позволяет работать как с коротким именем файла (если системно подразумевается, что мы работаем в данном каталоге), так и с полным именем файла. Полные имена файлов есть пути, а в любом дереве от его корня до любого узла существует единственный путь, следовательно, этим решается проблема унификации имен. Первый раз такой подход был использован в операционной системе Multix, которая разрабатывалась в университете Беркли в конце 60-х годов. Это решение применяется в большинстве операционных систем. Согласно этой иерархии, каждому из файлов можно привязывать какие-то атрибуты, связанные с правами доступа. Правами доступа могут обладать как пользовательские файлы, так и каталоги. Структура этой системы хороша для организации многопользовательской работы, за счет отсутствия проблемы именования, и такая система может очень хорошо наращиваться.
Персонификация и защита данных в файловой системе.
Персонификация - это возможность операционной системы идентифицировать конкретного пользователя и в соответствии с этим принимать те или иные действия, в частности, по защите данных.
В операционной системе MS-DOS, не было понятия пользователя со всеми вытекающими последствиями - она однопользовательская.
Второй уровень операционных систем - это операционные системы, которые позволяют регистрировать пользователей, но все пользователи представляются в виде единого набора некоторых субъектов и не связаны друг с другом никак. Примером таких операционных систем могут служить некоторые операционные системы фирмы IBM для mainframe-компьютеров. При такой одномерной персонификации обеспечиваются все функции, о которых говорилось, но такая организация пользователей не предполагает образования групп пользователей.
Соответственно, аналогично файловой системе, появляется иерархическая организация пользователей. То есть существуют отдельные понятия «все пользователи» и «группа пользователей». В группе есть реальные пользователи. Такая иерархическая организация персонификации влечет за собой следующие моменты. При регистрации какого-то пользователя необходимо сначала привязать его к какой-то группе. Так как пользователи объединены в группы, то появляется возможность разделения прав доступа к ресурсам пользователей. То есть пользователь может, например, заявить, что все его ресурсы доступны для всех пользователей группы. Такая схема может быть многоуровневой (группы делятся на подгруппы и т.д.) с соответственным распределением прав и возможностей. Также существуют операционные системы (например современные версии Windows), в которых права доступа могут определяться не только такой иерархической структурой, но и могут быть более сложными, т. е. права доступа можно добавлять, нарушая эту иерархию.
1.4. Конструкция ОС
Практически любая ОС имеет понятие ядра. Ядром ОС обычно является ее резидентная часть, то есть та часть ОС, которая не участвует в процессах подкачки (она всегда присутствует в оперативной памяти) и работает в режиме ОС. В ядро входят базовые средства управления основными сущностями, характерными для данной ОС, а также может входить набор программ, обеспечивающих управление некоторыми физическими устройствами. В функции ядра, в частности, входит обработка прерываний.
Программы, управляющие ресурсами, иногда называют драйверами устройств (физических или логических). К примеру, в ядро ОС должен входить драйвер оперативного запоминающего устройства.
Далее, вокруг ядра наращиваются программы управления ресурсами вычислительной системы. Первый уровень в основном состоит из драйверов физических устройств. Следующий уровень - управление логическими устройствами и так далее. Таких уровней может быть достаточно много. Вовсе не обязательно, что все компоненты работают в режиме ОС. Многие из компонентов, которые логически достаточно удалены от ядра, могут работать в обыкновенном пользовательском режиме. Так же не обязательно, чтобы все эти компоненты ОС работали в резидентном режиме. Обычно, для многих функций это не требуется.
Одной из главных частей ОС является интерфейс — универсальный механизм управления любым приложением ОС, независимо от его назначения и предметной области. Интерфейс является удобная оболочкой, с которой общается пользователь. Именно на неё обращают внимание при выборе ОС, - о ядре же, главной части ОС, вспоминают во вторую очередь. Поэтому нестабильная и ненадёжная с точки зрения ядра ОС, как, например, Windows 95, и пользовалась успехом благодаря красивой обёртке-интерфейсу.
2. Семейство Microsoft Windows
2.1. Первые версии Windows
Первая версия Windows вышла в свет в конце 80-х годов и осталась совершенно незамеченной. Аналогичная участь постигла и следующую версию — лишь версия Windows 3.0 (1992) сумела пробить себе дорогу и стать «продуктом года». А еще через два года были выпущены версии 3.1 и 3.11 (последняя включала такой значительный элемент, как полную поддержку мультимедиа и работу в локальной сети — потому и носила уточняющее название WindowsForWorkgroups), окончательно утвердившие господство Windows.
Хотя вопрос о том, а были ли первые версии Windowsполноценными операционными системами, до сих пор остается открытым. Ведь устанавливалась Windows поверх уже имеющейся на компьютере ОС DOS и лишь расширяла ее возможности. Фактически, она представляла собой лишь графическую оболочку, настройку над установленным на компьютере комплектом MS-DOS. Однако корпорация Microsoft с самого начала предпочитала позиционировать Windows как ОС.
2.2. Поколение 9х
Windows 95. Выход новой ОС, должен было состояться еще в 1994 году — именно тогда появились официальные сообщения о завершении разработки новой ОС, получившей название Chicago. Однако время представления «Чикаго» постоянно откладывалось, корпорация Microsoft делала обнадеживающее заявление за заявлением. В августе 1995 года. Windows 95 все-таки вышла в свет. Причем сделала это с грандиозной, невиданной ранее рекламной.
Windows превратилась из графической надстройки для DOS в полноценную операционную систему. По крайней мере, так заявляли ее разработчики. На самом же деле все было сложнее: в качестве основы в Windows 95 по-прежнему использовалась добрая старая DOS. Чуть модернизированная, конечно, и не заявленная в качестве отдельного продукта. Впрочем, большинство потребителей такой вариант устраивал. Ведь у них оставалась возможность работать в привычном DOS-режиме, не загружая графическую оболочку Windows, — и, следовательно, не расставаться с привычными DOS-программами.
Более того — новая операционная система стала 32-разрядной. Все предыдущие версии DOS и Windows были 16-разрядными и, стало быть, не могли в полной мере использовать возможности даже процессоров семейства 386 и уж тем более — новых процессоров Pentium. Конечно, в этом достоинстве крылись и некоторые неудобства — специально под Windows пользователям пришлось заменять все свои Windows-программы на новые, 32-разрядные версии. Однако на практике переход оказался сравнительно легким — уже в течение года были выпущены новые версии всех популярных программных продуктов. Но и старые 16-разрядные версии могли работать с новой ОС без всяких проблем.
Теперь Windows 95 абсолютно новым графическим интерфейсом — более элегантным, удобным и просто красивым по сравнению с «внешностью» Windows 3.1. Многое Microsoft заимствовала из операционных систем конкурентов — OS/2, MacOS, Motif и т. д.
В течение двух лет, последовавших со дня выпуска Windows 95, вышло еще несколько промежуточных версий этой ОС. Летом 1996 года свет увидела новая версия Windows под названием OSR2 (ОЕМ Service Release), предназначенная только для поставки вместе с готовыми компьютерами (ОЕМ). В OSR2 были исправлены многие ошибки Windows 95, добавлена поддержка нескольких новых устройств. А самое главное — новая версия Windows внесла серьезные изменения в способ расположения файлов на жестком диске (файловую систему) — вместо устаревшей FAT16 пользователи OSR2 могли использовать файловую систему FAT32, позволяющую сэкономить место на диске.
Windows 98 и 98 se . К работе над новой версией WindowsMicrosoft приступила сразу же после выхода Windows 95. Ожидалось, что новая ОС увидит свет в конце 1996 года и будет называться Memphis. Но этого не произошло ни в 1996, ни в 1997 годах. Только 25 июня 1998 года новая ОС Microsoft поступила в магазины. А примерно через месяц вышла в свет и русскоязычная версия Windows 98.
Основные изменения коснулись интерфейса — теперь «Рабочий Стол» Windows 98 стал еще красивее, а главное — он полностью интегрирован со средой Интернет. В новой ОС окончательно была стерта разница между файлами и папками на компьютере и объектами Всемирной Информационной Паутины (WorldWideWeb). Основным средством работы с файлами и папками в обоих случаях служит программа Internet Explorer.
Другое важное отличие Windows 98 от Windows 95 заключается в расширенных возможностях управления интерфейсом. Но есть и более важные для нас изменения — во внутреннем устройстве ОС. Хотя основная начинка ОС осталась прежней, Windows 98 выигрывала у своей предшественницы за счет корректной работы с новыми комплектующими — процессором Pentium II, графическим портом AGP, шиной USB, новыми моделями видеокарт, материнских плат, модемов и т. д. Наконец, Windows 98 содержала массу новых программ и утилит — в первую очередь полный комплект программного обеспечения для работы в Интернет и утилиту конвертации файловой системы FAT16 в более новую версию FAT32.
В конце 1999 года в продаже появилась русскоязычная версия нового комплекта Windows 98 — Windows 98 SE. От предыдущей версии новая Windows отличается тем, что в ее состав включена последняя (пятая) версия браузера Internet Explorer, обновленная система соединения с Интернет, а также многочисленные исправления ошибок и новая библиотека драйверов устройств.
Windows ME. Microsoft Windows Millennium Edition (Windows ME) - последняя эволюция операционных систем класса Windows 95-98, запущенная в серийное производство в 2000 году. Русская локализация Windows ME появилась на рынке программного обеспечения в ноябре 2000 года.
Windows Millennium Edition значительно отличается от семейства системных платформ Windows 9X, прежде всего тем, что в этой реализации Windows полностью отсутствует поддержка MS DOS - корректно запустить на компьютере, работающем под управлением этой системы, некоторые приложения DOS - уже весьма сложная задача. Windows ME тесно интегрирована с Internet Explorer 5.0, что сделало ее еще более ресурсоемкой, в комплект поставки по умолчанию включена большая часть элементов Microsoft Plus для Windows 98, базовый набор игр расширен новыми программами, позволяющими пользователю играть в сети Интернет с живыми соперниками, добавлен Windows Media Player 7.0, поддерживающий воспроизведение файлов множества новых аудио- и видеоформатов. Интерфейс Windows Millennium Edition практически полностью совпадает с внешним оформлением Windows 2000 Professional, включая системные иконки и обновленное диалоговое окно выключения/перезагрузки компьютера, но почти все базовые элементы настройки Windows 98 сохранились на своих прежних местах.
Для запуска Windows ME требует минимум 32 Мб оперативной памяти (рекомендуется 64) и в минимальной конфигурации занимает на диске чуть больше 500 Мб. Windows ME действительно стала последней ОС семейства Windows 9X, поскольку все последующие операционные системы Windows как для домашних компьютеров, так и для рабочих станций, создаются на платформе NT.
2.3. Поколение NT
Windows NT (New Technology). 32-разрядная WindowsNT, первая версия которой появилась на рынке в 1993-м, а последняя – в 1998 году, с самого начала создавалась как сверхстабильная, надёжная система, рассчитанная, прежде всего, на работу. И в этом смысле Windows 98/ME может ей только позавидовать: случаи ошибок, крахов и «зависаний» при работе в WindowsNT встречаются крайне редко. Происходит это потому, что в WindowsNTразработано надёжное разделение работающих под её управлением программ, не дающее им «соревноваться» за ресурсы. В Windows 3.1/95/98/ME каждая из загруженных программ чувствовала себя в оперативной памяти полновластным хозяином. Нередко программы перезагружали процессор запросами на ресурсы, в результате чего ОС «зависала».
В отличие от Windows 98/ME, WindowsNT запрещает безоговорочный доступ к ресурсам компьютера любым программам, пытающимся работать с «железом» напрямую. Это позволяет системе избежать конфликтов, однако в результате под NT отказываются любые программы, написанные под DOS, и многие созданные под Windows 95.
Следует учитывать и тот факт, что большая часть работы с NT проявляется лишь в сетевом режиме работы – т. е. в связке с другими компьютерами.
Windows 2000. Появившаяся на рынке в начале 2000 года операционная система Microsoft Windows 2000 представляет собой второе поколение операционных систем, построенных согласно архитектуре Windows NT. Она производится в трех модификациях: Windows 2000 Professional для ноутбуков, настольных систем и рабочих станций, Windows 2000 Server для серверных компьютеров и Windows 2000 Datacenter Server для больших серверных систем, рабочих станций крупных корпоративных сетей и специализированных банковских и файловых серверов.
Благодаря использованию усовершенствованной технологии NT, сочетающейся с объективной простотой интерфейса Windows 9.X, Windows 2000 обладает высокой надежностью и стабильностью, также она значительно легче поддается настройке и конфигурированию, чем предыдущие версии Windows. Разграничение доступа к системе реализовано на высоком уровне, что позволяет обеспечить безопасность хранения данных на дисках, если за компьютером работает более одного пользователя. Это система Windowsбыла признана одной из лучших, и до сих пор используется на многих компьютерах, несмотря на выход более новых версий ОС Windows.
Windows XP. Операционная система Microsoft Windows XP (от англ. eXPerience — опыт), известна также под кодовым наименованием Microsoft Codename Whistler. Первоначально в планы корпорации Microsoft входила разработка двух независимых операционных систем нового поколения. Первый проект получил рабочее название Neptune, эта ОС должна была стать очередным обновлением Windows Millennium Edition, новой системой линейки Windows 9X. Второй проект, называвшийся Odyssey, предполагал создание ОС на платформе Windows NT, которая должна была придти на смену Windows 2000. Однако руководство Microsoft посчитало нецелесообразным рассредоточивать ресурсы на продвижение двух разных ОС, вследствие чего оба направления разработок были объединены в один проект - Microsoft Whistler. Возможно, именно благодаря этому решению Windows XP объединяет в себе достоинства уже знакомых пользователям операционных систем предыдущих поколений: удобство, простоту в инсталляции и эксплуатации ОС семейства Windows 98 и Windows ME, а также надежность и многофункциональность Windows 2000. В настоящее время Windows XP для настольных ПК и рабочих станций выпускается в трех модификациях: Home Edition для домашних персональных компьютеров, Professional Edition — для офисных ПК и, наконец, Microsoft Windows XP 64bit Edition — это версия Windows XP Professional для персональных компьютеров, собранных на базе 64-битного процессора Intel Itanium с тактовой частотой более 1 ГГц.
Для запуска Microsoft Windows XP необходим персональный компьютер, отвечающий следующим минимальным системным требованиям: процессор — Pentium-совместимый, тактовая частота от 233 МГц и выше; объем оперативной памяти — 64 Мбайт; свободное дисковое пространство — 1,5 Гбайт.
Если сравнить Windows XP с более ранними версиями Microsoft Windows, в новой операционной системе легко обнаружить множество значительных отличий. Несмотря на то, что эта ОС была разработана на основе уже хорошо знакомой российским пользователям платформы NT и, на первый взгляд, по своим характеристикам во многом схожа с Microsoft Windows 2000, фактически Windows XP относится к принципиально иному поколению операционных систем семейства Windows. Теперь пользователь Windows не привязан к какому-либо стандартному интерфейсу, устанавливаемому в системе по умолчанию. Если вам не нравится традиционный вид окон, элементов управления и Панели задач, доставшийся новой ОС «в наследство» от Windows 2000, то вы можете без труда изменить их, загрузив из Интернета любой из сотен специально разработанных "Тем". Традиционное Главное меню, открывающее доступ к установленным на компьютере программам, хранящимся на дисках документам и настройкам операционной системы, также претерпело ряд значительных изменений. Теперь при нажатии кнопки Пуск появляется динамическое меню, содержащее значки лишь пяти программ, которыми пользуется наиболее часто. Благодаря этому можно начать работу с нужными приложениями значительно быстрее. Здесь же расположены значки браузера Microsoft Internet Explorer 6 и почтового клиента Outlook Express 6, кнопки Выход из системы (Log Off) и Выключение компьютера (Turn Off Computer).
В среде Microsoft Windows пользователю часто приходится одновременно работать с несколькими документами или набором различных программ. При этом неактивные приложения сворачиваются в Панель задач, вследствие чего она рано или поздно переполняется значками, и переключение между задачами становится затруднительным. Для того чтобы разгрузить Панель задач и освободить больше рабочего пространства для отображения значков запущенных приложений, в Windows XP используется так называемый алгоритм группировки задач, согласно которому однотипные программы, работающие на компьютере одновременно, объединяются в логическую визуальную группу.
В состав Windows XP включен специальный механизм - быстрое переключение сеансов (Fast User Switching), с применением которого можно быстро, без регистрации подключать к работе с операционной системой новых пользователей и групп пользователей. Появилась также возможность переключаться между несколькими сеансами работы без необходимости сохранять данные или перезагружать систему. При этом каждый из пользователей может самостоятельно изменять настройки Windows и работать с собственными файлами и документами, создавать, изменять и сохранять какие-либо данные независимо от других пользователей Windows XP. Для каждого нового сеанса работы операционная система отводит специальный участок верхней памяти в размере 2 Мбайт, однако этот объем никак не ограничивает количество прикладных программ, которые могут быть запущены пользователем. В частности, механизм Fast User Switching дает возможность пользователю, работающему, например, с текстовым редактором, ненадолго отлучиться от компьютера, а во время его отсутствия другой пользователь может открыть собственный сеанс Windows и поработать в Интернете или загрузить игру. При этом текст, редактируемый отсутствующим пользователем, по-прежнему хранится в памяти: вернувшись к компьютеру, пользователь может продолжить работу с документом с того места, где она была прервана, не перезагружая систему и не запуская заново соответствующую программу. На предварительной презентации бета-версии Microsoft Whistler, состоявшейся 13 февраля 2001 года в Сиэтле, председатель правления корпорации Microsoft Билл Гейтс сообщил прессе, что данная версия Windows, на создание и тестирование которой затрачено свыше 1 млрд долларов США - важнейшая разработка Microsoft с момента выпуска на рынок Windows 95, а вице-президент корпорации Джим Оллчин добавил: «Windows XP - это не просто апгрейд Windows, это - апгрейд стиля жизни».
Windows NET. Microsoft Windows.NET - это семейство серверных операционных систем, разработанных корпорацией Microsoft на основе Windows XP, которые пришли на смену Windows 2000 Server, Advanced Server и Datacenter Server. Windows.NET поставляетсяввариантах Windows NET Server, Windows NET Advanced Server и Windows NET Datacenter Server. Соответственно, технические возможности этих версий операционных систем различны: например, Windows NET Server может адресовать четырехпроцессорные системы, Windows NET Advanced Server «умеет» работать с восьмипроцессорными компьютерами, а Windows NET Datacenter Server поддерживает машины, аппаратная конфигурация которых включает до 32 синхронно работающих процессоров.
Windows Vista . Эта версия Windowsявляется самой новой ОС и вышла осень 2006 года, хотя бета- и пиратские версии стали появляться ещё с конца 2005 года. Всего выпущено семь вариантовWindowsVista, которые можно разбить на две группы - Home и Business.
Windows Vista Starter Edition доступна лишь на развивающихся рынках (как и XP Starter) и только в 32-битном варианте. Эта ОС допускает параллельную работу лишь трех приложений (окон), работу в сети Интернет (но без входящих сетевых соединений) и не представляет возможности входа под другим паролем. Эта версия не пользуется популярностью, потому что большинство современных компьютеров поддерживают более развитые версии этой ОС.
Vista Home Basic ориентирована на массового пользователя и включает все основный компоненты, такие как Windows Firewall, Windows Security Center, Windows Movie Maker, фото библиотеку, Windows Media Player, Microsoft Office Outlook Express P2P Messenger, и многое другое.
Версия Windows Vista Home Premium рассчитана на продвинутых домашних пользователей и пользователей ноутбуков. Эта ОС, помимо всего перечисленного для Home Basic, поддерживает создание DVD видео, возможность создания конференций через P2P, автоматическую настройку Wi-Fi и роуминга, синхронизацию PC-2-PC, технологию Internet File Sharing. Также в Home Premium будет реализована поддержка HDTV, Tablet PC, Microsoft Mobility Center и других "мобильных" технологий. Для ПК это версия WindowsVistaявляется самой популярной.
Windows Vista Pro занимает туже нишу, что и XP Pro, и предназначена для использования в компаниях любых размеров и типов организации. Здесь присутствует поддержка сетевых протоколов от "не-Microsoft", Encrypting File System (EFS)и многих других функций. Эта ОС ориентирован в первую очередь на разработчиков бизнес решений, ИТ менеджеров и управляющих.
Вариант Vista Small Business представляет собой расширенную версию Vista Pro, включающую в свой состав утилиты резервирования данных, работы с факсом и сканером.
Высшей ступенью развития Pro-версии стала Windows Vista Enterprise , в состав которой входят компоненты Virtual PC, Multilanguage User Interface (MUI) и передовые технологии обеспечения безопасности.
Но при этом выпущен гибрид версии Home и Pro – Windows Vista Ultimate . Она стала самой "навороченной" из всех операционных систем когда-либо выпускавшихся для ПК. Она включает в себя утилиту Game Performance Tweaker, обеспечивающую более продуктивную работу программ, занимающих большое количество оперативной памяти, и поддерживает клубные онлайн сервисы. Эта версия ОС разрабатывается для наиболее продвинутых пользователей, геймеров, энтузиастов в сфере цифровых технологий и студентов, увлекающихся этой областью знаний.
Согласно опубликованным документам, Vista стала "стартовой площадкой" к массовому применению для таких технологий как Media Center и Tablet PC. Также Windows следующего поколения станет последней ОС, поддерживающей одновременно как платформу x86 (32-bit), так и x64 (64-bit). Все последующие версии Windows будут лишь x64. Windows Vista своим появлением ознаменовала начало официального перехода с 32-битных систем на 64-битные.
Windows CE . Самая молодая из операционных систем Microsoft стоит особняком среди своих собратьев, хотя бы потому, что предназначена она исключительно для установки на «карманные» компьютеры (palm-top). Такие мини-компьютеры, появившиеся в конце 90-х годов, всего за несколько лет сумели завоевать популярность. Сегодня «электронными органайзерами» пользуются и деловые люди, постоянно находящиеся в разъездах, и студенты.
В небольшой ОС интегрированы все необходимые приложения для работы с мини-компьютером — простой текстовый редактор, записная книжка, электронная таблица и система электронной почты. Владельцы персональных компьютеров вряд ли столкнутся с этой ОС, а вот владельцы разнообразных бытовых устройств—вполне возможно. По замыслу Microsoft, Windows СЕ вскоре будет устанавливаться даже на бортовые компьютеры некоторых моделей автомобилей. В данный момент на рынке наладонных компьютеров Windows СЕ не является лидером, уступая PalmOS и другим конкурирующим продуктам.
Заключение
Современная операционная система - сложный комплекс программных средств, предоставляющих пользователю не только стандартизированный ввод-вывод информации и управление программами, но и упрощающий работу с компьютером. Программный интерфейс операционных систем позволяет уменьшить размер конкретной программы, упростить ее работу со всеми компонентами вычислительной системы.
В результате анализа в реферате были определены основные сущности операционной системы: процесс и файл. С управлением процессами связаны функции операционных систем: управление использованием времени центрального процессора, «подкачкой» и буфером ввода, разделяемыми ресурсами. Основными типами операционных систем, связанных с управлением процессов являются пакетная ОС, ОС разделения времени и ОС реального времени.
Каждая операционная система однозначно определяет набор функций, обеспечивающий обмен с файлом, состоящий из запросов на открытие, чтение, управление и закрытие файла.
Для организации работы с файлами используются различные файловые системы: одноуровневые, блочные, иерархические.
Операционная система Windows— наиболее распространенная операционная система, и для большинства пользователей она наиболее подходящая ввиду своей простоты, неплохого интерфейса, приемлемой производительности и огромного количества прикладных программ для нее. Из графической надстройки в полноценную операционную систему Windows превратилась с выходом версии Windows 95.
Windows 98 окончательно закрепился переход от устаревшей системы расположения файлов на жестком диске (файловой системы) на систему FAT32, позволяющую сэкономить место на диске. В этой же версии была стерта разница между файлами и папками на компьютере и объектами Всемирной Информационной Паутины (WorldWideWeb). Основным средством работы с файлами и папками в обоих случаях служит программа Internet Explorer.
WindowsMillennium стала промежуточной версией, обозначившей переход от поколения 9X к новому поколению NT, в котором разработано надёжное разделение работающих под её управлением программ, не дающее им «соревноваться» за ресурсы и уменьшающее вероятность «зависания».
Версия Windows XP на данный момент является самой распространённой и объединяет в себе достоинства уже знакомых пользователям операционных систем предыдущих поколений, а также надежность и многофункциональность Windows 2000.
Самая новая версия WindowsVista, вышедшая осенью 2006 г., ознаменовала переход с 32-битных систем на 64-битные. Из-за высоких системных требований этой версии (особенно 1 Гб RAM), большинство используемых компьютеров не могут производительно работать под WindowsVista. Выход этой версии, по-видимому, будет способствовать обновлению парка персональных компьютеров.
Список литературы
1. Леонтьев В.П. Новейшая энциклопедия персонального компьютера - М: Изд. ОЛМА-ПРЕСС, 2003.
2. Таненбаум Э. Современные операционные системы – СПб.: Изд. Питер, 2002.
3. Шафрин Ю. А. Информационные технологии: В 2 ч. – М.: Лаборатория Базовых Знаний, 2001.
4. Журнал «Инфо – Net - ПОИСК» http://oso.rcsz.ru/InfoNet/inf_mn.htm
5. Журнал «Upgrade» http://www.upweek.ru/
6. Журнал «Hard'n'Soft» http://www.hardnsoft.ru/
7. Портал «IZone» http://www.izcity.com/
