| Скачать .docx |
Дипломная работа: Управение проектами средствами Microsoft Project
Введение
Актуальность . С развитием информационных технологий и телекоммуникаций наша жизнь становится все более мобильной и информативной, новые технологии прочно входят в различные отрасли хозяйствования, сферы жизни и несут новые нормы в них. В связи с реформирование экономики Российской Федерации, с взятием курса на инновационное развитие экономики, всё чаще и чаще в повседневной работе в большинстве предприятий и организаций используют различные средства информационно вычислительной техники и соответственно программного обеспечения. Но необходимо заметить, что спонтанное, не спланированное развитие в любой деятельности малоэффективно.
Опираясь на данное утверждение и выбрана данная тематика выпускного квалификационного исследования.
Управление проектами за последнее время завоевало признание как наилучший метод планирования и управления реализацией инвестиционных проектов. По американским оценкам применение методологии управления проектами обеспечивает высокую надежность достижения целей проекта и на 10–15% сокращает затраты на его реализацию.
В мире накоплен огромный опыт применения управления проектами. В частности, эта методология применяется во всех крупных компаниях мира. Программные средства управления проектами установлены во всем мире на миллионах компьютерах – только пакет Microsoft Project установлен более чем на двух миллионах компьютеров. Ассоциация управления проектами Project Management Institute (Институт Управления Проектами) объединяет около 40 тысяч членов и имеет отделения на всех континентах кроме Антарктиды. Недавно было образовано его Московское отделение. [1] Теперь и в нашей стране все больше организаций применяет технологию управления проектами и интерес к этой технологии непрерывно возрастает.
Так же при исследовании технологии управления проектами мы не забываем и о действительности, о том, что живем в России, где свои законы развития. Для российской экономики, переживающей переходный период и претерпевающей значительные изменения данное направление не теряет актуальности. Согласно классическому подходу, управление проектами понимается как управление изменениями. Отсюда следует, во-первых, актуальность управления проектами для современной российской экономики, и, во-вторых, широкие возможности для применения проектного подхода.
Проблема исследования заключается в низком уровне грамотности современного российского управленца (менеджера) и недостаточной методической проработки вопросов применения информационных технологий в планировании и управлении, а отсюда и низкой экономической эффективности принимаемых решений.
К основным изменениям, которые создают потенциал для применения управления проектами в России, можно выделить:
· Изменение отношений собственности: приватизация, акционирование и т.д.; бурное развитие акционерных форм хозяйствования в негосударственном секторе экономики;
· Изменения рынка: формирование относительного баланса предложения и платежеспособного спроса;
· Изменение и развитие организационных форм в соответствии с указанными изменениями отношений собственности и рынка;
· Изменение производственной системы: необходимость реструктуризации и создания принципиально новой системы управления производственным комплексом;
· Изменение методов и средств управления.
Важной предпосылкой является советский метод управления, а следственно широкое распространение в отечественной экономике идеологии программно-целевого управления.
Основной формой программного управления выступают целевые комплексные программы. Переход на программные методы связан с ликвидацией системы, основанной на планово-распределительных методах управления.
Обычно с помощью таких программ решаются важные и насущные проблемы, которые нельзя отдавать на откуп естественному ходу вещей.
Кроме этого важно отметить, что в исследовании рассматривается не сама философия управления проектами, а именно управление проектами при помощи современных информационных средств.
Нами выбрано конкретный программный комплекс управления проектами Microsoft Project, разработанный и продаваемый корпорацией Microsoft – мировым лидером в области программного обеспечения.
Целью выпускной квалификационной работы является исследование эффективности управления проектами при помощи Microsoft Project.
Объектом исследования выступает программа Microsoft Project 2007. Предметом исследования управление проектами.
Для достижения поставленной цели необходимо решить следующие задачи:
· Исследовать методологию управления проектами;
· Проанализировать информационные технологии в управлении проектами;
· Выявить и систематизировать возможности, предоставляемые программой Microsoft Project для реализации планирования проектов;
· Повести экономический анализ эффективности управления проектами в среде Microsoft Project.
В проекте применяются методы анализа данных по данной тематике, обобщение и классификация изученного материала.
Теоретическая значимость работы выражается в системном представлении возможностей информационных технологий в управлении проектами. Практическая значимость – в готовой работе для обоснования эффективности применения Microsoft Project в планировании и реализации проектов.
Программное обеспечение Microsoft Project 2007 было предоставлено Егорьевским филиалом МГГУ им. М.А. Шолохова, который имеет MSDN подписку у компании Microsoft.
Выпускная квалификационная работа представлена, как последовательная по содержанию, жирным шрифтом выделены понятия с последующим их определением. Структура выпускного квалификационного проекта включает введение, три главы, заключение, список литературы и приложения.
1. Глава 1
1.1 Основные понятия и методы управления проектами
Прежде чем обосновать применение современных информационных технологий в области управления проектами необходимо определить и «разложить по полочкам» все составляющие этой деятельности. Все мы постоянно осуществляем проекты в своей повседневной жизни. Вот простые примеры: подготовка к юбилею, ремонт в квартире, проведение исследований, написание книги, в конце концов написание данной выпускной квалификационной работы. Все эти виды деятельности имеют между собой целый ряд общих признаков, делающих их проектами:
· они направлены на достижение конкретных целей;
· они включают в себя координированное выполнение взаимосвязанных действий;
· они имеют ограниченную протяженность во времени, с определенным началом и концом;
· все они в определенной степени неповторимы и уникальны.
В общем случае, именно эти четыре характеристики отличают проекты от других видов деятельности[9].
Проектом называется совокупность распределенных во времени мероприятий или работ, направленных на достижение поставленной цели. Примерами проектов являются строительство зданий, комплексов, предприятий, освоение выпуска нового вида продукции, проведение модернизации производства, разработка программного продукта и т.д.
Результат проекта – это некоторая продукция или полезный эффект, создаваемые в ходе реализации проекта. В качестве результата, в зависимости от цели проекта, могут выступать: научная разработка, новый технологический процесс, программное средство, строительный объект, реализованная учебная программа, реструктурированная компания, сертифицированная система качества и т.д. Об успешности проекта судят по тому, насколько его результат соответствует по своим затратным, доходным, инновационным, качественным, временным, социальным, экологическим и другим характеристикам запланированному уровню.
Управление проектами – это приложение знаний, опыта, методов и средств к работам проекта для удовлетворения требований, предъявляемых к проекту, и ожиданий участников проекта. Чтобы удовлетворить эти требования и ожидания необходимо найти оптимальное сочетание между целями, сроками, затратами, качеством и другими характеристиками проекта[12].
Управление проектами представляет из себя четкую структуру, которая связывает между собой различные области знаний и процессы управления проектами.
Прежде всего, у проекта обязательно имеются одна или несколько целей. Под целями понимается не только конечные итоги проекта, но и выбранные пути достижения этих результатов (например, применяемые в проекте технологии, система управления проектом).
Достижение целей проекта может быть реализовано различными способами. Для сравнения этих способов необходимы критерии успешности достижения поставленных целей. Обычно, в число основных критериев оценки различных вариантов исполнения проекта входят сроки и стоимость достижения результатов. При этом запланированные цели и качество обычно служат основными ограничениями при рассмотрении и оценки различных вариантов. Конечно, возможно использование и других критериев и ограничений – в частности, ресурсных.
Для управления проектами необходимы рычаги. Влиять на пути достижения результатов проекта, цели, качество, сроки и стоимость исполнения работ можно, выбирая применяемые технологии, состав, характеристики и назначения ресурсов на выполнение тех или иных работ. Таким образом, применяемые технологии и ресурсы проекта можно отнести к основным рычагам управления проектами. Кроме этих основных существуют и вспомогательные средства, предназначенные для управления основными. К таким вспомогательным рычагам управления можно отнести, например, контракты, которые позволяют привлечь нужные ресурсы в нужные сроки. Кроме того, для управления ресурсами необходимо обеспечить эффективную организацию работ. Это касается структуры управления проектом, организации информационного взаимодействия участников проекта, управления персоналом[19].
Информация, используемая в управлении проектами, обычно не бывает стопроцентно достоверной. Учет неопределенности исходной информации необходим и при планировании проекта и для грамотного заключения контрактов. Анализу и учету неопределенностей посвящен анализ рисков.
Любой проект в процессе своей реализации проходит различные стадии, называемые в совокупности жизненным циклом проекта. Для реализации различных функций управления проектом необходимы действия, которые называются процессами управления проектами.
Процессы управления проектами могут быть разбиты на шесть основных групп, реализующих различные функции управления:
· процессы инициации – принятие решения о начале выполнения проекта;
· процессы планирования – определение целей и критериев успеха проекта и разработка рабочих схем их достижения;
· процессы исполнения – координация людей и других ресурсов для выполнения плана;
· процессы анализа – определение соответствия плана и исполнения проекта поставленным целям и критериям успеха и принятие решений о необходимости применения корректирующих воздействий;
· процессы управления – определение необходимых корректирующих воздействий, их согласование, утверждение и применение;
· процессы завершения – формализация выполнения проекта и подведение его к упорядоченному финалу[11].
Эти этапы достаточно условны, но стоит отметить возросшую роль данное направления у среднего менеджмента современных компаний. Практически методология управления проектами помогает:
· обосновать целесообразность инвестиций;
· разработать оптимальную схему финансирования работ;
·составить план работ, включающий сроки исполнения работ, потребление ресурсов, необходимые затраты;
·оптимально организовать исполнение работ и взаимодействие участников проекта;
· осуществлять планирование и управление качеством;
· осуществлять анализ и управление проектными рисками;
· оптимально планировать и управлять контрактами;
· анализировать отклонения фактического хода выполнения работ от запланированного и прогнозировать последствия возникающих отклонений;
· моделировать корректирующие воздействия на информационных моделях проектов и принимать обоснованные управленческие решения;
· вести архивы проектов и анализировать опыт их реализации, который может быть использован в других проектах, и т.д.
Эффективное управление проектами – это интеграция информационных систем планирования с управленческими процедурами и организационной структурой. При этом покупка удачного программного обеспечения не равносильна успешной постановке управления проектами в организации. Именно качество внедрения системы определяет различие между «хорошим» и «плохим» пакетом[10].
Управляемыми параметрами на стадии реализации проекта являются:
1. объемы и виды работ;
2. стоимость, издержки, расходы по проекту;
3. временные параметры, включающие сроки, продолжительности и резервы выполнения работ и этапов проекта, а также взаимосвязи между работами;
4. ресурсы, требуемые для осуществления проекта, в том числе человеческие или трудовые, финансовые, материально-технические, а также ограничения по ресурсам;
5. качество проектных решений, применяемых ресурсов, компонентов проекта и прочее[19].
Данные параметры необходимо регулировать при достижении главной цели проекта – конечного результата, который измерим для понимания результативности выполнения. Задачами управления проекта выступают:
1. определение цели проекта и проведение его обоснования;
2. создание структуры проекта (подцели, основные этапы работы, которые предстоит выполнить);
3. определение необходимых объемов и источников финансирования;
4. подбор команды исполнителей, подготовка и заключение контрактов со сторонними исполнителями;
5. определение сроков выполнения проекта:
6. составление графика его реализации:
7. расчет необходимых для проекта материальных ресурсов, заключение контрактов с поставщиками;
8. расчет сметы и бюджета проекта:
9. планирование и учет рисков;
10. обеспечение контроля за ходом выполнения проекта.
Управление проектом – характеризуется, как процесс, связанный с планированием, организацией и управлением работами и ресурсами, направленный на достижение поставленной цели, как правило, в условиях ограничений на время, имеющиеся ресурсы или стоимость работ[24].
Управление проектом можно представить в виде трех основных этапов реализации:
1. формирование плана проекта,
2. контроль за реализацией плана и оперативная его коррекция,
3. завершение проекта.
На первом этапе осуществляется обоснование проекта, составляется перечень работ и имеющихся ресурсов, производится распределение ресурсов по работам и оптимизация плана по критериям времени завершения проекта, суммарной стоимости проекта, равномерного распределения ресурсов, минимизации рисков. Здесь же производится заключение всех необходимых договоров со сторонними исполнителями, подрядчиками и поставщиками. Второй этап предполагает контроль выполнения проекта с целью своевременного выявления и устранения наметившихся отклонений от первоначального плана. При значительных отклонениях первоначальный план перерабатывается и составляется новый. Завершение проекта означает выполнение определенных регламентированных действий, необходимых для завершения и прекращения работ по проекту. Например, подписание акта приемки / сдачи выполненных работ[24].
Сегодня, чтобы преуспеть в конкурентной борьбе, необходимо обеспечить оптимальное сочетание отлаженных бизнес-процессов в структурах управления с динамичными и нацеленными на конечный результат проектными подходами.
Оптимизация проектной деятельности в организации возможна за счет:
· Систематизации проектной деятельности – внедрение Систем Управления Проектами.
· Использования современных инструментов и методов планирования и контроля проектов.
· Применения знаний и мирового опыта управления проектами.
Более или менее формализованная практика управления проектами существует сегодня в большинстве российских компаний. Однако опыт показывает, что при отсутствии формализованной системы управления руководитель и участники проекта неизбежно сталкиваются с проблемами, связанными с конфликтами целей, приоритетов, сроков, назначений, ресурсов и отчетности и несогласованности действий.
Проектный подход к организации достижения целей позволяет:
· выделять конкретные, значимые для компании, достижимые в обозримый период цели;
· определять потребности и эффективно планировать выделение ресурсов для достижения целей;
· организовывать взаимодействие исполнителей проекта;
· осуществлять оперативный контроль за достижением целей, выявлять негативные тенденции и своевременно принимать управленческие решения по их устранению;
· повысить ответственность руководителей и исполнителей за достижение конечных, а не промежуточных целей[10].
Для успешной реализации проектов на предприятии создается система управления проектами.
Цели создания системы управления проектами:
· Выделение специальных процедур по управлению проектом, в рамках которых производится согласование и корректировка целей и результатов проектов.
·Повышение точности планирования проектов за счет формализации и описания опыта компании по реализации отдельных процедур проекта, применения специальных инструментальных средств календарного планирования.
· Повышение эффективности взаимодействия подразделений и сотрудников компании за счет описания функциональных обязанностей, распределения ответственности участников проекта, определения принципов взаимодействия и разрешения конфликтов на задачах проекта.
· Повышение эффективности работы сотрудников компании по задачам проектов за счет разработки методик выполнения стандартных процедур, создания механизма накопления «лучших практик» в ходе деятельности компании по реализации проектов.
· Обеспечение минимизации рисков реализации проектов за счет разработки специальных методик и процедур выявления, оценки и управления рисками в ходе планирования и реализации проектов.
· Оптимизация финансовых затрат компании в рамках реализации проектов за счет применения специальных процедур бюджетирования этапов и работ проекта (планирование, выделение и контроль за расходованием денежных средств), использования инструментальных средств.
· Улучшение контроля со стороны руководителя проекта и руководства компании исполнения одного или группы проектов, возможность выявления негативных тенденций в реализации проектов и принятия обоснованных решений на ранних стадиях за счет применения инструментальных средств календарного планирования и финансового анализа[10].
Основу системы управления проектами составляет:
· Организационная структура, специально созданная для эффективного управления проектом.
·

Рисунок 1 Организационная структура
· Взаимоувязанный, формализованный набор процедур, обеспечивающих процессы управления проектом (рис. 1).

Рисунок 2 Этапы выполнения проекта
· Нормативно – регламентная база, обеспечивающая статус системы управления проектом.

Рисунок 3 Программы
· Инструментальные системы (программное обеспечение) поддержки процессов управления и реализации проектов.
1.2 Обзор систем управления проектами
Системы управления проектами образуют отдельный сектор программного обеспечения, который достаточно широко представлен на российском рынке. Появление подобных систем способствовало преобразованию искусства управления проектами в науку, в которой имеются четкие стандарты, методы и технологии.
1. Стандарт, разработанный Институтом управления проектами (Project Management Institute) принят в качестве национального стандарта в США (стандарт ANSI).
2. Стандарт по качеству в управлении проектами ISO 10006.
Применение этих технологий способствует своевременной реализации проектов в рамках выделенных бюджетов и с требуемым качеством.
Системы управления проектами используются для решения следующих основных задач.
1. Структуризация и описание состава и характеристик работ, ресурсов, затрат и доходов проекта.
2. Расчет расписания исполнения работ проекта с учетом всех имеющихся ограничений.
3. Определение критических операций и резервов времени для исполнения других операций проекта.
4. Расчет бюджета проекта и распределение запланированных затрат во времени.
5. Расчет распределения во времени потребности проекта в основных материалах и оборудовании.
6. Определение оптимального состава ресурсов проекта и распределения во времени их плановой загрузки.
7. Анализ рисков и определение необходимых резервов для надежной реализации проекта.
8. Определение вероятности успешного исполнения директивных показателей.
9. Ведение учета и анализ исполнения проекта.
10. Моделирование последствий управленческих воздействий с целью принятия оптимальных решений.
11. Ведение архивов проекта.
12. Получение необходимой отчетности.
На российском рынке в настоящее время наиболее популярными являются несколько систем управления проектами.
Microsoft Office Project 2007 – это комплексное решение корпорации Microsoft по управлению корпоративными проектами, которое позволяет управлять проектами любой сложности и включает в себя семейство следующих программных продуктов:
1. MS Office Project Standart – пакет начального уровня для управления простыми проектами;
2. MS Office Project Professional – пакет для профессионального управления проектами любой сложности на любом уровне управления;
3. MS Office Project Server – серверный продукт, который используется для взаимодействия менеджеров проекта при управлении распределенными проектами;
4. MS Office Project Web Access – веб-интерфейс MS Project, позволяющий участникам проектов получить доступ к проектной информации через Internet Explorer.
Spider Project Professional (также существуют версии Desktop и Lite, разработчик «Технологии управления Спайдер») – пакет управления проектами, спроектированный и разработанный с учетом практического опыта, потребностей, особенностей и приоритетов Российского рынка. Этот пакет – единственная отечественная разработка среди популярных в России систем управления проектами.
Данный пакет в отличие от западных аналогов, имеет следующие особенности:
1. встроенная система анализа рисков и управления резервами по срокам и стоимости работ;
2. возможность создания, хранения и включения в проекты типовых фрагментов проектов;
3. оптимизированная для российских условий организация групповой работы и мультипроектного управления.
Программные продукты компании Primavera Inc :
1. Primavera Project Planner Professional – профессиональная версия, предназначенная для автоматизации процессов управления проектами в соответствии с требованиями PMI (Project Management Institute) и стандартами ISO. В первую очередь этот пакет предназначен для использования в составе корпоративной информационной системы, хотя вполне может работать и автономно, помогая решать задачи календарно-сетевого планирования, определения критического пути, выравнивания ресурсов, и других задач моделирования проектов, групп проектов, портфелей и программ.
2. SureTrack Project Manager ориентирован на контроль выполнения небольших проектов или фрагментов крупных проектов. Может работать как самостоятельно, так и совместно с Project Planner в корпоративной системе управления проектами[23].
Open Plan (разработчик Welcom Software Technology, сейчас Deltek) обеспечивает полномасштабное мультипроектное управление, планирование по методу критического пути и оптимизацию использования ресурсов в масштабах предприятия. Может эффективно использоваться на всех уровнях контроля и управления проектами – от высшего руководства и менеджеров проектов, до начальников функциональных подразделений и рядовых исполнителей.
Open Plan позволяет руководителям разного уровня выполнять следующие функции:
1. создавать оперативные планы проектов с учетом различных ограничений;
2. определять уровень приоритетности проектов;
3. задавать относительную степень важности проектов для распределения ресурсов;
4. минимизировать риски;
5. проводить анализ хода выполнения работ.
Welcom предлагает использовать профессиональную и «облегченную» версию продукта в совокупности (OpenPlan Professional + OpenPlan Desktop), так как они полностью интегрированы[1].
Для создания компьютерной модели проекта с использованием одной из упомянутых систем, необходимо проделать следующие шаги.
1. Укрупненно описать проект – создать иерархическую структуру работ.
2. Задать, какие составляющие стоимости будут использованы для финансового анализа и управления проектом.
3. Составить перечень операций (работ, задач) проекта и задать их характеристики.
4. Составить перечень ресурсов проекта и задать их характеристики,
5. Задать взаимосвязи (ограничения на порядок исполнения) операций проекта.
6. Назначить ресурсы на исполнение операций проекта.
7. Назначить стоимости операциям, ресурсам и назначениям проекта.
8. Задать ограничения на финансирование, поставки, сроки исполнения операций[1].
9. Составить расписание исполнения работ проекта с учетом всех ограничений.
10. Оптимизировать состав используемых ресурсов.
11. Определить бюджет и распределение во времени плановых затрат проекта.
12. Определить и промоделировать риски и неопределенности.
13. Определить необходимые резервы, стоимости и потребности в материалах для исполнения запланированных показателей с заданной надежностью.
14. Представить плановую информацию руководству и исполнителям.
В процессе исполнения проекта данные системы позволяют отслеживать множество операций, которые ранее производились лишь вручную, как шутят проектные менеджеры: «Чертились на простынях» (большинство проектов выполнялись на ватманах). Главное, что в итоге позволяют данные системы это:
1. Вести учет.
2. Анализировать отклонения исполнения от запланированного.
3. Прогнозировать будущие параметры проекта.
4. Моделировать управленческие воздействия.
5. Вести архивы проекта.
1.3 Методика выбора и внедрения корпоративной системы управления проектами
Прежде всего, нужно определить понятие корпоративной системы управления проектами. В этом случае речь идет о корпоративных стандартах по управлению проектами.
Система управления проектами создается для каждого проекта с учетом его особенностей. Однако быстрое и эффективное построение системы управления конкретным проектом возможно лишь в том случае, если основные элементы данной системы разработаны и утверждены в корпорации, имеется обученный персонал, информационная инфраструктура и культура применения методов управления проектами.
Повышение эффективности системы управления проектами достигается за счет разумной формализации процедур подготовки, принятия и организации исполнения управленческих решений, форм взаимодействия участников проекта, контроля и отчетности[2].
Корпоративная система управления проектами (КСУП) предполагает, что инициация, организация и исполнение любого проекта опирается на использование корпоративных стандартов организационной структуры проекта, управленческих процедур, отчетности и информационного обеспечения участников проекта. Действия участников проектов регламентируются в соответствии с их ролями и этапами проекта, и подкрепляются принятыми в рамках единых корпоративных стандартов методиками, инструкциями, шаблонами нормативных документов и инструментарием.
Следующие элементы системы управления проектами могут быть стандартизованы:
· элементы организационной структуры реализации проектов;
· роли, права и ответственность участников проектов;
· процедуры планирования, организации и контроля;
· процедуры подготовки и принятия решений;
· информационные формы и правила их заполнения;
· информационные потоки;
· контракты, процедуры взаимодействия и отчетности;
· методики и инструментальные средства;
· типовые решения и фрагменты проектов;
· нормативная база;
· процедуры подбора и подготовки специалистов[5].
В основе КСУП лежит корпоративная модель системы управления проектами, которая обеспечивает менеджеров проектов средствами быстрого и эффективного создания системы управления каждым конкретным проектом. Корпоративная модель утверждается положением по управлению проектами в корпорации и включает:
· классификацию проектов;
· формализованное описание стандартных процедур управления проектами, структурированных по типам проектов, уровням принятия решения и стадиям жизненного цикла проектов;
· корпоративные стандарты по управлению проектами (перечни методик, инструкций, шаблонов нормативных документов, рекомендуемых к использованию на разных этапах жизненного цикла проектов);
· формальное описание ролевых функций участников проектов в привязке к процессам управления проектами, методикам их выполнения и нормативным документам;
· описание функциональности и руководства по применению инструментальных средств поддержки процессов управления проектами.
Для реализации нашего проекта используется MicrosoftProject 2007.

Рисунок 4 Основные элементы окна Microsoft Project
Окно MicrosoftOfficeProject 2007 изображено на рис. 4 и состоит из следующих элементов:
1. строка меню;
2. панели инструментов;
3. строка ввода;
4. панель представлений;
5. рабочая область;
6. строка состояния.
Строка меню, панели инструментов и строка состояния являются стандартными для всех Windows-приложений, и приемы работы с ними такие же, как и в Microsoft Office[9].
Строка ввода предназначена для ввода и редактирования данных в ячейки таблиц (наподобие строки формул в Excel).
Панель представлений используется для переключения между представлениями рабочей области окна. Все данные о проекте хранятся в единой базе данных, состоящей из большого количества полей. Представление – это способ отображения части связанных между собой данных из общей базы данных проекта. В системе реализовано достаточно большое количество представлений – диаграмма Ганта, сетевой график, календарь, график ресурсов и т.д. При желании можно изменять стандартные представления, добавляя или удаляя отображаемые в их таблицах поля данных.
При первом запуске программы панель представлений может отсутствовать. Для ее отображения следует выбрать пункт меню Вид / Панель представлений. Переключение между представлениями производится щелчком мыши по значку нужного представления.
Рабочая область предназначена для отображения выбранного представления. Она может содержать таблицы, диаграммы, графики, формы и используется как для просмотра, так и для редактирования данных проекта. Приемы работы с рабочей областью зависят от представления и будут рассмотрены в следующих лекциях.
Для создания нового проекта следует выбрать пункт меню Файл / Создать. Будет создан пустой проект с пустой базой данных.
Прежде всего необходимо задать ключевые параметры проекта в окне сведений о проекте (пункт меню Проект / Сведения о проекте), изображенном на рис. 5. Установки этого пункта имеют определяющее значение для всего последующего процесса планирования.
Рисунок 5 Окно сведений о проекте
В системе возможно два варианта планирования проекта, задаваемых полем Планирование.
1. Значение даты начала проекта означает, что фиксируется начальная дата проекта. Эта дата становится директивной датой начала первой работы. Остальные работы планируются как можно раньше, т.е. для них назначаются самые ранние из возможных сроки начала работ. Дата окончания проекта является вычисляемой величиной и не может быть изменена вручную.
2. Значение даты окончания проекта позволяет зафиксировать конечную дату проекта. Эта дата становится директивной датой завершения последней работы. Остальные работы планируются как можно позже, т.е. для них назначаются самые поздние из возможных сроков окончания работ. Дата начала проекта является вычисляемой и не может быть изменена вручную.
Поле Календарь устанавливает календарь (график) рабочего времени, используемый по умолчанию при планировании работ. В качестве такового следует использовать календарь, по которому работает большинство сотрудников, занятых в проекте.
В системе предопределены три базовых календаря:
1. стандартный – соответствует обычной 40-часовой рабочей неделе с часовым перерывом и выходными в субботу и воскресенье. Рабочим считается время с 9 до 18 часов;
2. 24 часа – непрерывный календарь рабочего времени без перерывов и выходных. Используется для планирования непрерывных технологических процессов (например, выплавка стали);
3. ночная смена – календарь, в котором используется 40-часовая рабочая неделя, но рабочим считается время с 23 до 8 часов с часовым перерывом.
Предопределенные календари могут не соответствовать графику работы организации, поэтому менеджер проекта имеет возможность изменить предопределенный календарь или создать свой собственный.
Поле Дата отчета устанавливает дату, для которой будут рассчитываться характеристики проекта при формировании системой различных форм отчетности. В основном, этот параметр влияет на показатели проекта, относящиеся к этапу его реализации, что будет рассматриваться в соответствующем разделе.
Для сохранения нового проекта следует выбрать пункт меню Файл / Сохранить как и задать в открывшемся диалоге сохранения файла папку, тип файла – проект и имя файла.
Сохранение существующего проекта выполняется пунктом меню Файл / Сохранить. В этом случае все параметры расположения файла проекта уже известны. Поэтому диалог не открывается и сохранение происходит автоматически.
Для загрузки проекта нужно выбрать пункт меню Файл / Открыть и в появившемся диалоге открытия файла выбрать ранее сохраненный файл проекта.
Как уже отмечалось выше, в системе предопределены три базовых календаря. В качестве календаря по умолчанию используется календарь Стандартный. Он соответствует 40-часовой рабочей неделе с пятью рабочими днями (с понедельника по пятницу) и рабочим временем с 9 до 18 часов (с перерывом с 13 до 14 часов).
Стандартный календарь не учитывает официальные праздники и выходные дни, принятые в конкретной организации. Кроме того, график работы организации в течение рабочего дня может не совпадать со стандартным. Поэтому первым этапом работы с проектом является настройка семейства календарей проекта[9].
Семейство календарей проекта состоит из календарей трех видов: базовые, календари ресурсов и календари задач.
Базовый календарь – некоторая заготовка календаря, которая соответствует графику рабочего времени организации, подразделения, сотрудников, совместителей, подрядчиков, отдельных работ проекта. Один из базовых календарей (Стандартный) должен соответствовать наиболее распространенному в организации графику рабочего времени и используется как календарь по умолчанию.
Календарь ресурса – задает график работы отдельных исполнителей или групп исполнителей. Этот календарь должен учитывать конкретные особенности рабочего времени сотрудников: отпуска, командировки, отгулы, пропуски по больничным листам и т.п. В качестве календаря ресурса используется один из предварительно созданных базовых календарей.
Календарь задачи – индивидуальный календарь реализации некоторой задачи (работы) проекта, отличающийся от стандартного. Календарь задачи должен учитывать ее специфику и особенности. Он назначается из перечня предварительно созданных базовых календарей.
Создание и редактирование базовых календарей происходит в пункте меню Сервис / Изменить рабочее время. Окно для работы с календарем изображено на рис. 3.3.
Это окно имеет следующие основные элементы.
1. Поле со списком Для календаря. Используется для выбора базового календаря, подлежащего редактированию.
2. Кнопка Создать новый календарь. Предназначена для создания нового базового календаря. При этом новый календарь может быть создан копированием уже существующего базового календаря.
3. Таблица календаря. Отображает график рабочего времени выбранного календаря. Слева от таблицы в виде легенды изображены способы отображения различных фрагментов календаря: рабочее, нерабочее и измененное рабочее время, дни исключений и нестандартных рабочих недель. Справа от таблицы отображается график рабочего времени для выбранного дня таблицы (на рис. 6 для даты 28.07.08 рабочими часами являются промежутки 9:00–13:00 и 14:00–18:00).
Рисунок 6 Окно настройки календарей
1. Вкладка Исключения. Отображает список исключений, добавленных в календарь. Исключения предназначены для ввода данных о нерабочих днях (праздники, отпуска, отгулы и т.п.) и для создания рабочих дней с нестандартным графиком (предпраздничные дни и т.п.). Исключение задается отдельной строкой списка, в которую заносятся название, даты начала и окончания исключения. Для удаления строки из списка предназначена кнопка Удалить, а для редактирования параметров исключения – кнопка Подробности. Для ввода подробностей открывается отдельное окно, изображенное на рис. 7. Здесь заданы параметры исключения Отпуск длительностью 28 календарных дней с 28.07.08 по 24.08.08. Параметры окна позволяют задать указанный период нерабочим (переключатель Нерабочее время) или нестандартным рабочим временем (переключатель и список Рабочие часы); шаблон повторения (группа полей Повторить) с интервалом день, неделя, месяц, год; границы исключения (группа полей Пределы повторения).
Рисунок 7 Окно сведений об исключении
2. Вкладка Рабочие недели. Содержит список описаний видов используемых в проекте рабочих недель. Рабочая неделя задает рабочий график по дням недели (с понедельника по воскресенье). В проекте можно использовать рабочие недели разных видов: обычные (нормальный график), «штурмовые» для экстренных случаев (все дни недели являются рабочими, рабочий день длится 10 часов), «облегченные» (рабочий день длится до обеда) и т.д. В системе предопределен не удаляемый вид По умолчанию, срок действия которого неограничен. Он используется для описания нормального рабочего графика, принятого в организации. Все остальные описания рабочих недель уточняют этот график в заданный период времени и не должны пересекаться между собой. Описание рабочей недели состоит из названия, дат начала и окончания ее действия, а также графиком работы, который задается в окне сведений, открываемом кнопкой Подробности. Это окно изображено на рис. 3.5. Список Выберите дни используется для выбора дней, для которых требуется изменить график работы. Щелчок мыши с удерживанием нажатой клавиши Ctrl позволяет выделить сразу несколько дней. Переключатель Использовать для этих дней значения времени по умолчанию задает для выбранных дней стандартный график (9:00–13:00 и 14:00–18:00). Чтобы сделать день недели нерабочим, нужно установить переключатель Задать нерабочие дни. Для использования нестандартного графика предназначен переключатель Задать дни для использования этих рабочих часов, при использовании которого следует заполнить таблицу промежутков рабочего времени. Так на рис. 8 для всей недели с понедельника по пятницу устанавливается нестандартный график 8:00–12:00 и 13:00–17:00.
Рисунок 8 Окно сведений о рабочей неделе
3. Кнопка Параметры. Открывает окно параметров календаря, которые используются системой в процессе планирования. Это окно изображено на рис. 3.6. Его также можно открыть из меню: Сервис / Параметры вкладка Календарь. Установки этого окна не изменяются автоматически при изменении параметров рабочей недели По умолчанию и должны изменяться пользователем самостоятельно. Так, при использовании графика работы согласно рис. 3.5 следует соответственно изменить Время начала по умолчанию на 8:00, а Время окончания по умолчанию на 17:00. Эта система выбрана нами, так как имеет следующие особенности.
Работы проекта могут быть нескольких видов:
1. обычная работа (в дальнейшем обозначается словом работа или задача);
2. веха;
3. фаза;
4. суммарная задача проекта.
Работа обозначает какие-то действия, направленные на выполнение некоторой части проекта. Веха – это работа нулевой длины. Вехи предназначены для фиксации в плане проекта контрольных точек, в которых происходят важные с точки зрения управления проектом события. Например, завершение одного этапа работ и начало другого. Обычно вехи используются для обозначения начала и окончания проекта, а также для обозначения конца каждой фазы.
Фаза – это составная работа, состоящая из нескольких работ и завершаемая вехой. Фаза описывает определенный логически законченный этап проекта и может состоять как из работ, так и из других фаз.
Для разграничения работ и фаз в системе принято следующее правило. Все работы разделены на уровни, задающие их иерархию. Любая работа, имеющая подчиненные работы низшего уровня, является фазой. Все остальные работы фазами не являются.
Суммарная задача проекта – это искусственно создаваемая системой работа, длительность которой равна длительности всего проекта. Эта работа используется для вычисления, отображения и анализа обобщенных данных о проекте, используемых им ресурсах и его стоимостных характеристиках.
Связь между задачами определяет, каким образом время начала или окончания одной задачи влияет на время окончания или начала другой. В Microsoft Project существует четыре типа связей:
1. окончание–начало;
2. начало–начало;
3. окончание–окончание;
4. начало–окончание.
Связь типа окончание–начало – это наиболее распространенный случай связи между работами. При такой связи работа В не может начаться раньше, чем закончится работа А. Этот тип связи изображен на рис. 9а.
Связь типа начало–начало означает, что работа В не может начаться, пока не начнется работа А . При помощи такой связи обычно объединяются задачи, которые могут выполняться параллельно. Например, обучение персонала работе с программой и ввод данных в программу могут проходить одновременно, но ввод данных не может начаться, пока не начнется обучение персонала. Связь начало–начало изображена на рис. 9б.
Связь окончание–окончание обозначает зависимость, при которой задача В не может закончиться до тех пор, пока не закончится задача А. Обычно такой связью объединяются работы, которые выполняются одновременно, но при этом одна не может закончиться раньше другой. Например, ввод в эксплуатацию программы и ее тестирование и отладка могут выполняться параллельно. В процессе ввода в эксплуатацию происходит обучение персонала, подготовка и ввод данных. Однако ввод в эксплуатацию не может быть завершен, пока не завершено тестирование и исправление найденных в программе ошибок. Связь окончание–окончание изображена на рис. 9в.
Связь типа начало–окончание обозначает зависимость, при которой работа В не может закончиться, пока не началась работа А . Например, А – ввод программы в промышленную эксплуатацию, начало которого намечено на строго определенную дату. В- опытная эксплуатация программы, которая не может быть закончена, пока не начнется ввод программы в промышленную эксплуатацию. При этом увеличение длительности задачи А не влечет увеличение длительности задачи В . Связь начало–окончание изображена на рис. 9г.
Рисунок 9 Типы связей между работами
На этом рисунке прямоугольником изображена длительность работы. Левая сторона прямоугольника соответствует началу работы, а правая – окончанию. Взаимное расположение сторон, связанных стрелками, характеризует зависимость между началом и окончанием работ.
При планировании реальных проектов часто оказывается, что изображенных на рис. 3.7 связей между работами оказывается недостаточно. Например, работы «тестирование программного комплекса и исправление ошибок» и «составление программной документации» не обязательно должны строго следовать друг за другом. Составление документации может быть начато, не дожидаясь окончания тестирования.
Для таких случаев в Microsoft Project предназначены задержки и опережения . На рис. 10 изображено их влияние на связи типа окончание–начало (а), начало–начало (б), окончание–окончание (в) и начало–окончание (г). Левый рисунок соответствует задержке, а правый – опережению.
Нередко некоторые работы проекта нужно привязать к реальной календарной дате. Например, представитель заказчика приезжает 15 сентября для ознакомления с разрабатываемой программой. Поэтому работа «Подготовка демонстрационной версии» должна быть закончена не позднее 15 сентября. Подобная привязка работы к дате называется ее ограничением .
Альтернативой ограничениям являются крайние сроки. Крайний срок – это дата, позже которой задача не может быть завершена. Однако, в отличие от ограничения, наличие крайнего срока не оказывает влияния на процесс планирования. Система лишь сигнализирует соответствующими индикаторами о наличии или нарушении установленного крайнего срока[16].
Рисунок 10 Действие задержки и опережения
В первой главе нами рассмотрены основные системы по управлению проектами. Дан краткий анализ подобных систем и выбрана удовлетворяющая заданным критериям – Microsoft Office Project 2007. Также сделан экскурс в предметную область по проектной деятельности.
Рассмотрено понятие проекта и управления проектами. Под проектом называется совокупность распределенных во времени мероприятий или работ, направленных на достижение поставленной цели. Примерами проектов являются строительство зданий, комплексов, предприятий, освоение выпуска нового вида продукции, проведение модернизации производства, разработка программного продукта и т.д. Управление проектами – это приложение знаний, опыта, методов и средств к работам проекта для удовлетворения требований, предъявляемых к проекту, и ожиданий участников проекта. Чтобы удовлетворить эти требования и ожидания необходимо найти оптимальное сочетание между целями, сроками, затратами, качеством и другими характеристиками проекта.
Рассмотрены основные компоненты приложения Microsoft Office Project 2007, его функционал и возможности. Сделан вывод о совместимости программы и требований по выполнению проектом.
2. Глава 2
2.1 Краткая характеристика проекта
Для обоснования экономической эффективности применения приложений по проектному менеджменту мы возьмем, как пример, внедрение бухгалтерской системы на государственном предприятии.
Данный проект можно разбить на несколько укрупненных этапов (таблица 1).
Таблица 1. Этапы работ
| № | Название работы | Длительность |
| 1 | Начало проекта | - |
| 2 | Выбор системы | 15 |
| 3 | Приобретение программного обеспечения | 7 |
| 4 | Составление проекта сети | 7 |
| 5 | Приобретение компьютеров и сетевого оборудования | 15 |
| 6 | Обучение администратора и программиста | 30 |
| 7 | Монтаж локальной сети | 20 |
| 8 | Установка ПО на компьютеры | 5 |
| 9 | Установка сетевого ПО, настройка сети | 25 |
| 10 | Ввод начальных данных в информационную базу | 40 |
| 11 | Обучение персонала | 30 |
| 12 | Передача в эксплуатацию | 5 |
| 13 | Конец проекта | - |
Так как некоторые работы зависят от степени выполнения других, то для нас следует выделить связи между работами (таблица 2).
Таблица 2. Работы предшественники
| № | Название работы | Предшественники |
| 1 | Начало проекта | - |
| 2 | Выбор системы | 1 |
| 3 | Приобретение программного обеспечения | 2 |
| 4 | Составление проекта сети | 2 |
| 5 | Приобретение компьютеров и сетевого оборудования | 2 |
| 6 | Обучение администратора и программиста | 4 |
| 7 | Монтаж локальной сети | 4; 5 |
| 8 | Установка ПО на компьютеры | 3; 5 |
| 9 | Установка сетевого ПО, настройка сети | 6; 7; 8 |
| 10 | Ввод начальных данных в информационную базу | 9 |
| 11 | Обучение персонала | 9 |
| 12 | Передача в эксплуатацию | 10; 11 |
| 13 | Конец проекта | - |
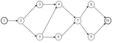
Каждая из работ в таблице 2 соответствует вершине на сетевом графике и обозначается кружком, в который заносится ее номер. Кружки соединяются стрелками. Стрелка соответствует одному из чисел столбца Предшественники и соединяет работу-предшественник с работой-последователем. Результат изображен на рисунке 9.
Рисунок 11 Сетевой график проекта
Сетевой график представляет собой традиционный ориентированный граф, соответственно к нему применимы следующие направления к вычислению кратчайших путей и рисков[20].
Также необходимо для описания проекта описать исполнителей данных работ (таблица 3).
Таблица 3. Распределение обязанностей
| № работы | Название работы | Исполнитель |
| 1 | Начало реализации проекта | - |
| 2 | Постановка задачи | Постановщик |
| 3 | Разработка интерфейса | Программист1 |
| 4 | Разработка модулей обработки данных | Программист1 |
| 5 | Разработка структуры базы данных | Программист2 |
| 6 | Заполнение базы данных | Программист2 |
| 7 | Отладка программного комплекса | Программист1 Программист2 |
| 8 | Тестирование и исправление ошибок | Программист1 Программист2 Постановщик |
| 9 | Составление программной документации | Постановщик |
| 10 | Завершение проекта | - |
2.2 Календарное управление проектом с помощью Microsoft Office Project 2007
Для календарного управления проектом необходимо исследовать сетевой график.
Сетевой график позволяет по заданным значениям длительностей работ найти критические работы проекта и его критический путь.
Критической называется такая работа, для которой задержка ее начала приведет к задержке срока окончания проекта в целом. Такие работы не имеют запаса времени. Некритические работы имеют некоторый запас времени, и в пределах этого запаса их начало может быть задержано.
Критический путь – это путь от начальной к конечной вершине сетевого графика, проходящий только через критические работы. Суммарная длительность работ критического пути определяет минимальное время реализации проекта.
Нахождение критического пути сводится к нахождению критических работ и выполняется в два этапа.
1. Вычисление раннего времени начала каждой работы проекта. Эта величина показывает время, раньше которого работа не может быть начата.
2. Вычисление позднего времени начала каждой работы проекта. Эта величина показывает время, позже которого работа не может быть начата без увеличения продолжительности всего проекта.
Критические работы имеют одинаковое значение раннего и позднего времени начала, которые вычисляются по формулам 1,2.
Обозначим i – время выполнения работы i, Tp (i) – раннее время начала работы i, Tп (i) – позднее время начала работы i. Тогда
Tp (i) = max(Tp (j)+tj ) (1)
где j– множество работ, непосредственно предшествующих работе i. Раннее время начальной работы проекта принимается равным нулю.
Поскольку последняя работа проекта – это веха нулевой длительности, раннее время ее начала совпадает с длительностью всего проекта. Обозначим эту величину T. Теперь Tпринимается за позднее время начала последней работы, а для остальных работ позднее время начала вычисляется по формуле:
Tп (i) = max(Tп (j) – tj ) (2)
Здесь j– множество работ, непосредственно следующих за работой i. Схематично вычисление раннего и позднего времени выглядит так (рисунок 12,13).
Рисунок 12 Вычисление раннего времени начала работ
Рисунок 13 Вычисление позднего времени начала работ
Основываясь на этих данных получаем, что критический путь проекта равен 39 дней (рисунок 14)

Рисунок 14 Критический путь
Построение календарного графика для проекта «Разработка программного комплекса» будет проходить по следующей схеме. Прежде всего нужно определиться с ресурсами, которые будут использоваться этим проектом. Предположим, что в качестве ресурсов выступают только исполнители, и они распределены между работами согласно таблице 3.
Календарный график (диаграмма Ганта) изображен на рисунке 15, где ромбиками обозначены вехи, сплошными линиями – продолжительность работ, сплошными линиями со стрелками – резерв времени работ, пунктирными линиями – связь между окончанием предшествующих и началом последующих работ[11].
Рисунок 15 Диаграмма Ганта
Данный график посвящен работам и их взаимосвязи, на рисунке 16 изображено, как загружены ресурсы. На основании диаграммы Ганта может быть построен график загруженности ресурсов. Этот график показывает процент загрузки конкретного трудового ресурса в ходе выполнения проекта. По оси абсцисс откладывается временной интервал проекта, а по оси ординат – суммарный процент загруженности исполнителя по всем задачам проекта, которые он выполняет в текущий момент времени.
Обычно исполнитель целиком занят решением некоторой задачи и по ее завершении переходит к следующей. Это соответствует 100% загрузки. Однако, в некоторых случаях он может быть параллельно задействован в 2 или более задачах, выделяя для их решения часть рабочего времени. Например, две задачи по 50% каждая, то есть по половине рабочего дня на задачу. График загруженности ресурса позволяет в этом случае контролировать суммарную занятость исполнителя и выявить возможные периоды перегрузки, когда ему запланировано больше работы, чем он может выполнить в течение рабочего дня. Об этом свидетельствует суммарная загруженность более 100%.
Рисунок 16 Загруженность ресурсов
Ресурс – это трудовая, материальная, финансовая, техническая или иная единица, которая используется для выполнения задач проекта. В Microsoft Project ресурсы могут быть трех видов.
· Трудовые – это работники или коллективы, выполняющие запланированные в рамках проекта работы.
· Материальные – материалы, которые потребляются при выполнении работ проекта.
· Затратные – различные виды денежных расходов сопряженных с работами проекта, которые напрямую не зависят от объема, длительности работ и потребляемых ими трудовых или материальных ресурсов. Например, стоимость железнодорожных или авиационных билетов, командировочные расходы и т.п.[9].
Основными характеристиками трудового ресурса являются.
1. График доступности. Задает периоды времени, когда ресурс может быть задействован для выполнения работ проекта. Этот график может учитывать отпуска, командировки, занятость ресурса в других проектах и т.п.
2. Индивидуальный календарь рабочего времени. Задает график рабочего времени ресурса.
3. Стоимость. Она складывается из двух составляющих: повременной оплаты (стандартная и сверхурочная ставки), которая начисляется пропорционально длительности работы ресурса в проекте, и стоимости использования, которая является разовой фиксированной суммой, не зависящей от времени работы;
4. Максимальное количество единиц доступности. Устанавливает максимальный процент рабочего времени, которое ресурс может ежедневно выделять для выполнения работ данного проекта. Например, 50% – половина рабочего времени установленного в день по календарю. Данная величина не препятствует планированию большего процента участия ресурса в проекте, но используется для контроля его перегруженности. Так для ресурса с 50% максимальной доступности можно запланировать все 100% использования, но при этом он будет считаться перегруженным на 50%.
2.3 Экономический расчет проекта
Основной задачей систем управления проектами является наглядное представление всех составляющих проекта. В предыдущей главе были показаны способы расчета времени и ресурсов проекта, это очень сложные процессы для проектов, в большинстве из них огромное количество задач и ресурсов, необходимых для выполнения. Мониторинг и слежение за ними является очень трудоемким занятием. Здесь на помощь приходят системы управления проектами. На рисунке 17 представлена диаграмма Ганта, созданная в программе MicrosoftProject. При простоте создания она отличается и большей наглядностью по сравнению с рукотворной.

Рисунок 17 диаграмма Ганта
Система также сама автоматически выстраивает сетевой график виде ориентированного графа. В системе имеется два представления для сетевого графика: сетевой график и сетевой график с описанием. Отличаются они тем, что второй имеет внутри блоков информацию о ходе фактического выполнения задач.

Рисунок 18 Сетевой график
На сетевом графике задачи обозначаются прямоугольниками, вехи – шестиугольниками, а фазы (суммарные задачи) – параллелограммами. Внутри фигур размещаются параметры задачи. Блок задачи, выполнение которой начато, зачеркнут одной линией. Блок завершенной задачи зачеркнут двумя линиями.
Представление График ресурсов изображено на рисунке 19. Каждый его лист соответствует одному из ресурсов. По умолчанию на графике в виде гистограммы изображено распределение пиковой занятости ресурса. Значение 100% соответствует полной занятости в соответствии с индивидуальным календарем. Области перегрузки выделены красным цветом. При помощи контекстного меню области графика можно выбрать другой параметр, распределение которого будет изображено на графике (название отображаемого параметра написано в нижнем левом углу):
1. трудозатраты – гистограмма распределения абсолютных значений трудозатрат,
2. совокупные трудозатраты – график трудозатрат ресурса нарастающим итогом с начала проекта,
3. превышение доступности – на графике отображается только гистограмма распределения трудозатрат, превышающих максимально допустимый объем назначения,
4. процент загрузки – график загруженности ресурса в процентах от максимально допустимого объема его участия в проекте,
5. оставшаяся доступность – распределение свободных объемов трудозатрат, которые могут быть назначены ресурсу без его перегрузки,
6. затраты – график распределения затрат ресурса в ходе выполнения проекта,
7. совокупные затраты – график накопления затрат нарастающим итогом с начала проекта,
8. доступность по трудоемкости – график допустимой трудоемкости, которую можно назначить ресурсу, без учета уже выполненных назначений
9. доступность в единицах – график распределения максимально допустимого процента использования ресурса[9].

Рисунок 19 Представление График ресурсов
Система позволяет отобразить календарные графики и других показателей:
1. Фактические трудозатраты – объем трудозатрат, которые были фактически отработаны при исполнении задачи;
2. Совокупные трудозатраты – график распределения трудозатрат нарастающим итогом с начала задачи, фазы или проекта в целом;
3. Базовые трудозатраты – график распределения трудозатрат, сохраненный в базовом плане проекта;
4. Затраты – график распределения финансирования задач проекта;
5. Фактические затраты – график распределения фактически произведенных затрат при исполнении проекта.
![]()

Рисунок 20 Представление Использование ресурсов
Левая таблица содержит список задач, которым еще не назначены ресурсы (к таким относятся вехи и фазы), и список ресурсов с указанием их суммарных трудозатрат по проекту. Под каждым ресурсом перечислены все задачи, в выполнении которых он участвует, и его запланированные трудозатраты на эти задачи. Правая таблица – это сводный календарный график трудозатрат ресурсов по проекту. При помощи ее контекстного меню состав данных этой таблицы может быть изменен и помимо трудозатрат включить следующие показатели:
6. Фактические трудозатраты – объем трудозатрат, которые были фактически отработаны при исполнении задачи;
7. Совокупные трудозатраты – график распределения трудозатрат нарастающим итогом с начала задачи, фазы или проекта в целом;
8. Превышение доступности – график распределения трудозатрат, которые превосходят максимально допустимый объем использования ресурса (информативными являются суммарные строки ресурсов, в которых и отображается значение превышения);
9. Затраты – график распределения финансирования задач проекта;
10. Оставшаяся доступность – календарный график распределения оставшегося объема трудозатрат, который можно назначить ресурсу без перегрузки.
Отличительной особенностью представления Использование ресурсов является выделение факта перегрузки ресурсов:
· в левой таблице красным цветом шрифта отмечается суммарная строка перегруженного ресурса (Постановщик на рисунке 20);
· в правой строке красным цветом отмечаются трудозатраты в те дни, когда имеется перегрузка.
Вопрос оценки длительности задачи имеет важное значение с точки зрения качества планирования проекта. При заниженной длительности исполнителям не хватит времени для ее успешного завершения, в результате фактическая длительность и затраты превысят плановые показатели. Это, в конечном счете, приведет к более позднему завершению проекта и увеличению его бюджета. Завышенная длительность приведет к недозагруженности ресурсов, их нерациональному использованию и неэффективной растрате бюджета[7].
Чтобы правильно оценить длительность задачи, менеджер должен обладать некоторым опытом в области планирования и управления релевантными проекту технологическими процессами. Однако, для некоторых задач существует способ ее оценки, опирающийся на некоторые показатели или характеристики этих задач. Например, длительность кладки стены зависит от количества кирпича (или площади стены), настила полов – от площади пола, ввода данных – от количества элементов данных и т.д. Для таких случаев и используется параметрический анализ длительности.

Рисунок 21 временной анализ
Стоимость проекта складывается из стоимости входящих в него задач по схеме, изображенной на рисунке 22. Стоимость задачи определяется двумя составляющими: стоимостью всех ее назначений и фиксированной стоимостью.

Рисунок 22 Составляющие стоимости проекта
Фиксированная стоимость задачи вводится в таблице Затраты представления Диаграмма Ганта в столбце Фиксированные затраты: Эта стоимость определяет затраты на задачу, которые не зависят от используемых ею ресурсов.
Стоимость назначения – это стоимость ресурса при выполнении данной задачи. Это может быть зарплата сотрудников, стоимость материалов, затрат и т.п. Для трудовых ресурсов эта величина складывается из оплаты за затраченное время по утвержденному рабочему графику (в соответствии со стандартной ставкой), оплаты за сверхурочные работы сверх графика, и стоимости использования, которая не зависит от времени работы[9].
Для материальных ресурсов используется только стандартная ставка, которая задает стоимость единицы материала, и стоимость использования, не зависящая от количества потребляемых задачей единиц.
Для затратных ресурсов стоимость назначения равна сумме введенных затрат. При анализе всех ресурсов мы получаем следующие финансовые показатели проекта рисунок 23.

Рисунок 23Таблица Затраты
Эта же таблица используется для анализа стоимости проекта . В ней отражены:
1. стоимости отдельных задач;
2. стоимости фаз (этапов);
3. стоимость всего проекта.
Для анализа стоимости назначений используется представление Использование задач, которое помимо перечисленных данных содержит стоимость каждого используемого ресурса для каждой задачи проекта.
Вариантами стоимостного анализа проекта являются:
1. анализ стоимости задач разного вида;
2. анализ стоимости ресурсов разного вида;
3. анализ сверхурочных затрат.
Для анализа стоимости ресурсов разного вида используется аналогичный метод.
1. Создать настраиваемое поле типа Текст и для каждого ресурса ввести в него название его вида.
2. Переключиться в представление Использование ресурсов, выбрать таблицу Затраты и добавить в столбец с созданным полем.
3. Установить группировку по этому полю.
4. Данные о стоимости ресурсов разного типа находятся в заголовочных записях группировок.
Пример таблицы с выполнением данного вида анализа приведен на рисунке 24http://www.intuit.ru/department/itmngt/pmmsproject/class/free/6/pmmsproject_6.html - image.6.13. Здесь для разделения ресурсов используется тип ресурса: трудовой, материальный или затратный. Как видно из таблицы, львиную долю затрат по проекту составляет заработная плата сотрудников, которая составляет 231500 р.
Рисунок 24 Анализ стоимости ресурсов разного вида
Также немаловажна в MicrosoftProject возможность анализировать и предсказывать риски. Риск – это возможность изменения плановых показателей проекта в худшую сторону в процессе его реализации по причинам, не зависящим от менеджера проекта. Примерами рисков могут быть болезнь или увольнение ценного сотрудника, задействованного в важных задачах, задержка поставки материалов, задержка финансирования и т.п.
К сожалению, величина и возможность возникновения риска не поддается формальному описанию. Поэтому анализ рисков при планировании проекта заключается в поиске наиболее «узких», с точки зрения опыта менеджера, мест в плане и корректировке плана с целью минимизации их количества.
В этом разделе мы опишем наиболее общие примеры рисков, которые далеко не полностью исчерпывают весь перечень рисков, но демонстрируют подходы к их анализу.
Риски проекта можно разделить на три основные группы:
1. риски в расписании – возможность ошибочной оценки длительности задачи менеджером проекта,
2. ресурсные риски – потенциальная возможность превышения ресурсом запланированных трудозатрат, необходимых для выполнения задачи, или возможность задержки задачи из-за внезапной недоступности ресурса,
3. бюджетные риски – возможность превышения запланированного бюджета проекта.
К рискам в расписании относятся следующие виды рисков:
1. наличие задач с предварительными длительностями;
2. наличие задач со слишком короткой длительностью;
3. наличие слишком длинных задач, в которых задействовано большое количество ресурсов;
наличие задач с календарными ограничениями.
К ресурсным рискам (рисунок 25) относятся следующие виды рисков:
1. привлечение к работам неопытных сотрудников;
2. трудовые ресурсы с большим объемом трудозатрат;
3. ресурсы со сверхурочной работой.

Рисунок 25 выявление ресурсных рисков
Для уменьшения рисков существуют следующие подходы:
1. разработка плана сдерживания рисков, который предполагает вставку в проект задач, выполнение которых уменьшает тот или иной вид риска (например, обучение неопытного сотрудника приведет к уменьшению соответствующего вида риска);
2. разработка плана реакции на риски, который включает совокупность мероприятий, которые будут выполнены при возникновении той или иной неблагоприятной ситуации (например, болезнь ценного сотрудника);
3. вставка в план проекта временных резервов – фиктивных работ, создающих временной буфер между реальными работами (особенно критическими).
После выявления писков проекта можно увидеть его слабые места. Например для нашего проекта это трудовой ресурс постановщик (рисунок 26).

Рисунок 26 Риск
Теперь к нему мы можем применить выравнивание ресурсов. Выравнивание ресурсов – это процесс реорганизации плана проекта с целью ликвидации перегруженности его ресурсов.
Для выравнивания применяются следующие основные приемы.
1. Уменьшение объема назначения ресурса на некоторую задачу. Это может привести к увеличению ее длительности пропорционально ежедневному уменьшению трудозатрат. Например, если при работе по 8 ч в день (объем назначения 100%) работник выполняет задачу за 5 дней, то при уменьшении объема назначения до 4 ч в день (50%) ему понадобится 10 дней для этой же задачи.
2. Реорганизация сетевого графика работ. В результате параллельные задачи, на которые назначен перегруженный ресурс, становятся последовательными и перегруженность преодолевается. Это может привести к удлинению проекта в целом, особенно если реорганизуемые задачи расположены на критическом пути;
3. Замена перегруженного ресурса другим свободным ресурсом или несколькими свободными. Это может привести к снижению качества работ. При первоначальном планировании менеджер обычно назначает задачам самых опытных и квалифицированных сотрудников. Замена их другими приведет к преодолению перегрузки за счет использования менее квалифицированного персонала. В результате повышаются риски снижения качества и увеличения длительности задачи.
4. Вставить перерывы в задачах или назначениях для ликвидации их пересечений. Наличие перерыва позволяет высвободить один или все ресурсы задачи, которые перестают быть перегруженными. Результат – увеличение длительности задачи. Если же она является критической, это приводит к увеличению длительности всего проекта.
5. Учесть сверхнормативные трудозатраты ресурсов как сверхурочные. Сверхурочные трудозатраты назначаются сотрудникам в разумных пределах (не более 2 – 3 часов в сутки). При этом следует учитывать фактор усталости, который снижает эффективность труда. Задача, использующая сверхурочные трудозатраты, может потерять в качестве и имеет риск увеличения фактической длительности[9].
Любой из перечисленных методов может привести к ухудшению показателей проекта-либо к увеличению длительности, либо к повышению стоимости, либо и к тому и к другому. Поэтому не существует никаких общих рекомендаций по выравниванию, которое в каждом конкретном случае выполняется в зависимости от индивидуальных особенностей проекта и ресурсов, а качество выравнивания существенно зависит от опыта менеджера проекта.
Последним этапом по управлению проектами является отчетность, что также предусмотрено системой. Их виды предоставлены на рисунке 27.

Рисунок 27 Отчетность по проекту
Основными параметрами, влияющими на отчет:
1. Название – название создаваемого отчета.
2. Период – задает временной интервал, в котором исчисляются периоды формирования строк отчета. В качестве интервала используются: весь проект, годы, полугодия, кварталы, месяцы, декады, недели, дни.
3. Число единиц – задает количество заданных периодов, которое будет использовано для формирования строки (каждая строка будет соответствовать заданному здесь числу периодов).
4. Таблица – определяет таблицу представления, на основе которой формируется отчет.
5. Фильтр – задает фильтр для вывода данных только по задачам, удовлетворяющим ему.
6. Выделяющий фильтр – установленный фильтр используется в режиме выделения (только выделяет жирным шрифтом соответствующие ему задачи).
7. Показывать суммарные задачи – включает в отчет суммарные задачи.
8. Полосы-разделители дат – разделяет линиями строки с данными каждой даты.

Рисунок 28 Наглядный отчет
Помимо предопределенных можно создать свой собственный отчет, воспользовавшись кнопкой Создать отчет окна рисунок 28. В процессе создания требуется:
1. выбрать систему (Excel или Visio);
2. выбрать куб данных, на основании которого строится отчет: Использование назначений, Использование задач, Использование ресурсов, Сводка по ресурсам, Сводка по задачам, Сводка по назначениям;

Рисунок 29 Пример отчета
3. выбрать поля куба, которые включаются в отчет;
4. создать макет перекрестной таблицы в Excel, перетащив из списка названия полей в области заголовков строк, заголовков столбцов и область данных.
Данные виды отчетов интегрированы с другими приложения Microsoftи легки в понимании рисунок 29, 30.
Рисунок 30 отчет с регулируемыми полями
Каждый отчет относится к определенной группе и при правильном планировании позволяет отследить большинство компонентов проекта. Надо отметить, что это является немаловажной составной частью проектной деятельности.
Система позволяет собрать полную статистику по проекту:
1. Начало и окончание проекта в соответствии с текущим, базовым и фактическим планом;
2. Отклонение фактических дат начала и окончания проекта от дат по базовому плану;
3. Длительность, трудозатраты и стоимость по текущему и базовому плану:
4. Длительность фактически выполненных работ, фактически выполненные трудозатраты и понесенные при этом фактические затраты;
5. Длительность оставшихся работ, оставшиеся суммарные трудозатраты и стоимость оставшейся части проекта;
6. Процент завершения проекта по длительности и по трудозатратам[9].
Таким образом, в руках проектного менеджера оказывается большие ресурсы и возможности виде системы MicrosoftProject.
Управление проектами при помощи программы MicrosoftProject является необходимым и достаточным условием правильного его планирования. Данная система позволяет реализовать на начальной стадии инициации проекта провести его описание.
На стадии планирования построить основные элементы проектного управления, такие как наглядная и точная диаграмма Ганта, удобный и автоматически составляемый сетевой график и множество других представлений.
Стоит также отметить, что в системе отлично реализовано управление ресурсами и их отслеживание. Ресурсы представлены тремя видами: затратные, материальные и трудовые.
При правильном описании и планировании проекта возможно отследить риски, которые могут возникнуть при его исполнении. Рисковый менеджмент представляет множество алгоритмов, таких как параметрический анализ, PERT-анализ и многое другое.
Заключение
Для эффективного управления проектом создания корпоративной системы финансово-экономического управления необходимо преобразовать проект в последовательность действий имеющих четко определенные цели, ограниченных во времени и допускающих независимые процедуры верификации.
Проводя данное исследование мы предложили перечень действий обеспечивающий успешное ведение проекта:
· сформировать управляющий комитет проекта с задачами, которые описаны в работе;
· принимать решения по утверждению вышеперечисленных в данной выпускной квалификационной работе стандартов;
· принимать оперативные решения в процессе производства работ на основе строго вымеренных факторов;
· оценивать деятельность групп на местах и при необходимости делать оргвыводы.
Приложения по управлению проектами позволяют существенно повысить эффективность его исполнения, причем повышается она на стадии исполнения проекта, а закладывается на стадиях инициации и планирования, так как позволяют заранее спланировать все проектные риски.
MicrosoftProject является идеальной системой для управления проектами.
· Во-первых в системе предусмотрены большинство необходимых функций.
· Во-вторых, MicrosoftOffice является самым распространенным офисным приложением не только в России, но и в мире. Это очень важно например для интеграции приложений.
Еще важной деталью управления проектами при помощи автономных приложений является получение конкурентных преимуществ, по отношению ко времени реагирования на изменения в проекты. Теперь нет необходимости иметь сильное профильное образование (оно конечно не помешает), система сама решит все проблемы, которые возникают в ходе планирования. Такие проблемы как знание теории графов, множества, теория вероятностей многое другое.
Наш вывод по данной системы – пять баллов. Она смогла провести финансовое планирование, рассчитать все затраты, особенно мелочи, которые будут произведены. Выявить риски, что позволяет заранее отреагировать на них. Причем риски, как финансовые, так и самые важные – трудовые. Эту область планирования в системе стоит отметить отдельно, так как нет подобных аналогов больше ни в одной программе, на момент написания исследования.
1. www.cfin.ru/ Сайт «Корпоративный менеджмент» является зарегистрированным электронным средством массовой информации (Cвидетельство о регистрации: Эл №77–6549)
2. www.pmmagazine.ru/ Журнал Управление Проектами
3. www.pmpractice.ru/ Обучение управлению проектами Методология и стандарты управления проектами IT-решения в управлении проектами.
4. www.pmprofy.ru/ Ведущий интернет-ресурс в области проектного менеджмента
5. www.sovnet.ru/ Ассоциация Управления проектами (СОВНЕТ)
6. Алехина Г.В. Информационные технологии в экономике/М.: Московский международный институт эконометрики, информатики, финансов и права, 2003. – 259 с.
7. Архипова З.В., Пархомов В.А. Информационные технологии в экономике: Учеб. Пособие. Иркутск: Изд-во БГУЭП, 2003–184 с.
8. Архитектура компьютерных систем и сетей: учеб. пособ./Т.П. Барановская, В.И. Лойко, М.И. Семенов, А.И. Трубилин; Под ред. В.И. Лойко. – М: Финансы и статистика, 2003. – 256 с. ил.
9. Богданов В.В. Управление проектами в Microsoft Project 2007 / Учебный курс. СПб.: Питер, 2008. – 592 с.: ил.
10. Грабауров В.А. Информационные технологии для менеджеров. – 2-е изд., перераб. и доп. – М.: Финансы и статистика, 2005. – 512 с.: с ил. – (Прикладные информационные технологии).
11. Грей Клиффорд Ч., Ларсон Эрик У. Управление проектами Project management/Практическое руководство Пер. с англ. 2003. – 521 с.: ил.
12. Информационные технологии управления. Учебное пособие / Под ред. Ю.М. Черкасова. – М.: ИНФРА-М. 2001. – 218 с. ил.
13. Информационные технологии управления: Учеб. пособие для вузов /Под ред. проф. Г.А. Титоренко. – 2-е изд., доп. – М.: ЮНИТИ-ДАНА, 2003. – 439 с.
14. Кокурин Д.Н. Инновационная деятельность. – М.: Экзамен, 2001. – 658 с
15. Либерзон В.И. Основы управления проектами/М.: Нефтяник, 1997. – 150 с. Для менеджеров.
16. МармелЭлейн. Microsoft Office Project 2007. Библия пользователя / Пер. с англ. – М.: ООО «И.Д. Вильямс», 2008. – 800 с.
17. Разу М.Л. Управление проектом: Основы проектного управления/ Учебник, 2006. – 380 с.: ил.
18. Русинов Ф., Минаев Н. Система отбора и оценки инновационных проектов. – Консультант директора. №23, 1996. 20 с.
19. Сергей Колесников «Управление проектами при создании информационных систем», версия для печати 14.09.1999 г.
20. Сетевая экономика: учеб. пособие/В.Н. Бугорский. – М.: Финансы и статистика, 2007. – 256.: ил.
21. Теория организаций и организационное проектирование (пособие по неклассической методологии): Учебное пособие / Под ред. Т.П. Фокиной, Ю.А. Корсакова, Н.Н. Слонова. – Саратов: Издательство Саратовского университета, 1997. – 240 с.
22. Товб А. С, Ципес Г.Л. Управление проектами: стандарты, методы, опыт. – М.: ЗАО «Олимп–Бизнес», 2003. – 240 с: ил.
23. Трофимов В.В., Иванов В.Н., Казаков М.К., Евсеев Д.А., Карпова В.С. Управление проектами с Primavera/Учебное пособие. СПб.: Изд-во СПбГУЭФ, 2005. – 180 с.: ил.
24. Управление проектами./И.И. Мазур, В.Д. Шапиро и др. Справочное пособие / Под редакцией И.И. Мазура и В.Д. Шапиро. – М.: Высшая школа, 2001 – 875 с.: илл.
25. Юджин Б.Л.Г. Финансовый менеджмент – Санкт – Петербург, 1997. – с. 208–228












