| Скачать .docx |
Реферат: Отчет по учебной практике по Информатике и компьютерной технике
Министерство образования и науки Украины
Национальный Горный Университет
Институт экономики
Кафедра ЭКИТ
Отчет по учебной практике по дисциплине:
“Информатика и компьютерная техника”
Вариант №10
Выполнила: ст.гр. ЭЕ-06-1
Морарица А.В.
Проверила: ст. препод.
Резник Е.П.
Днепропетровск
2007
Содержание
1.Вступление
2. Задание №1
3. Задание №2
4. Задание №3
5. Задание №4
6. Вывод
7. Список литературы
Вступление
Цель данной учебной практики состоит в углублении полученных знаний и практических навыков работы при решении экономико-математических задач на персональных компьютерах в среде Windows в офисных приложениях Word, Exel и оформление результатов работы в электронном виде с использованием технологии Ole и приложений PowerPoint, Binder, WinRar, WinZIP.
Программа данной учебной практики включает в себя выполнение задания в соответствии с индивидуальным вариантом.
Задание №1
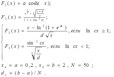
Суть этого задания состояла в построении таблицы значений и графиков функций, арифметических и логических выражений, в вычислении определенных интегралов этих функций с помощью формул трапеций и Симпсона.
Формула трапеций:
![]() |
Формула Симпсона:
Вариант индивидуального задания:

Задание №2
![]()
При выполнении данного задания необходимо было сформировать матрицы А и С размерностью n*n, вектор В, каждый последующий элемент которого является суммой элементов каждой последующей строки матрицы С. Затем решить заданное вариантом индивидуального задания матричное уравнение (найти вектор Х), выполнить проверку полученного результата.
Вариант индивидуального задания:
| ур-ние: |
(A-1)X=CB => |
Х=CB(A-1)-1 |
Задание №3
Выполнение задания №3 предусматривало составление и формирование базы данных(списка), в котором находилось заданное количество записей, что имели такие поля: порядковый номер записи, ФИО вкладчика, номер банковского счета, сумма на счету, категория вкладчика. Необходимо было произвести сортировку списка по категориям и за алфавитом, вычислить промежуточные результаты (суммы) по категориям.
Вариант индивидуального задания
Количество записей в списке = 20
Задание №4
В задании №4 необходимо было, используя приложения «Подбор параметра» и «Поиск решения», решить такие задания:
· Систему линейных уравнений
· Нелинейное (трансцендентное) уравнение
· Систему нелинейных (трансцендентное) уравнений.
А также необходимо было построить график трехмерной поверхности, которая отвечает одной из функций двух переменных.
Вариант индивидуального задания:
![]() |
Система линейного уравнения:
Нелинейное (трансцендентное) уравнение:
Система нелинейных (трансцендентных):
Вывод
За время выполнения мной летней учебной практики я действительно не только закрепила, но и углубила полученные знания и навыки в решении экономико-математических задач на персональном компьютере в среде Windows с помощью офисных приложений Word, Exel.
Мое индивидуальное задание состояло из четырех заданий разнообразного характера.
В первом задании необходимо было построить таблицу значений и графики функций, арифметических и условных выражений. Вычислить определенные интегралы этих функций с помощью формул трапеций и Симпсона.
Во втором задании я формировала матрицы и вектора, находила решение матричного уравнения.
Третье задание состояло в формировании и составлении базы данных (списка), в котором находилось заданное количество записей, что имели такие поля, как: порядковый номер записи, ФИО вкладчика, номер банковского счета, сумма на счету, категория вкладчика. В этом задании я научилась производить сортировку списка по категориям и за алфавитом, вычислять промежуточные результаты (суммы) по категориям.
В четвертом задании я, используя приложения «Подбор параметра» и «Поиск решений», научилась решать такие задания:
· Систему линейных уравнений
· Нелинейное (трансцендентное) уравнение
· Систему нелинейных (трансцендентное) уравнений.
А также необходимо было построить график трехмерной поверхности, которая отвечает одной из функций двух переменных.
Таким образом, прохождение этой практики оказало очень хорошее влияние на углубление и пополнение моих знаний в сфере решения экономико-математических заданий. Надеюсь успешно применить полученные мною за это время знания в дальнейшем.
Список літератури
1. Симонович С.В.,Каратыгин С.А., Тихонов А.Ф., Долголаптев В.Г. і ін. Електронний офіс: у 2-х томах. М., Біном, 1997.
2. Додж М., Кината ДО, Стинсон К. Ефективна робота з Microsoft Excel 97. Санкт-Петер, Питер, 1998.
3. Носситер Дж. Використання Excel 97. К.,Діалектика, 1997.
4. Гаркаев А.Ю. Використання MS Excel в економіці і фінансах. Спб,БХВ, Санкт-Петер., 2000.
5. Имери В. Як зробити бізнес у Internet. К., Діалектика,1998.
6. Стинсон К.Ларсон М. Створення Web-сторінок за допомогою МS Office 97. М. Біном, 1998.
7. Вуд Л. Web-графіка. Санкт-Петер., Питер, 1998.
8. Уэлс Э., Хешбаргер С. Excel 97. Розробка додатків. Санкт-Петер., 1998.
9. Microsoft Office 2000. Розробка додатків. Санкт-Петер., 2000.

