Похожие рефераты Скачать .docx Скачать .pdf

Дипломная работа: Сущность правового регулирования общественных отношений в области оценочной деятельности

Введение

Актуальность исследования. Преобразования, произошедшие в экономике Республики Казахстан, требуют пристального внимания ученых-правоведов к новым явлениям экономической и правовой действительности. В особенности это касается гражданско-правовых институтов, обслуживающих предпринимательские отношения.

Упорядоченность общественных отношений, их системность и динамизм, являются необходимыми условиями функционирования и развития общества. На сегодняшний день важной сферой предпринимательства стала оценочная деятельность. Применение оценки требуется в достаточно широкой области: для определения стоимости имущества при совершении с этим имуществом различных сделок, передаче его в доверительное управление или аренду, использовании в качестве залога, вклада в уставный капитал и т.д. В целом можно говорить о появлении в Республике Казахстан рынка оценочных услуг как сферы проявления экономических отношений между субъектами - оценщиками и потребителями их услуг (заказчиками).

Проблема изучения оценочной деятельности на долгое время утратила актуальность. Однако с середины 90-х годов XX века независимая оценка стала явлением хозяйственной жизни. Потребность в независимой оценке появляется из необходимости разрешить и устранить субъективные противоречия участников имущественных отношений посредством обращения к объективному квалифицированному мнению независимого лица для определения стоимости неденежного вклада в уставный капитал и размера доли участника при его выходе или наследовании, установления рыночной стоимости акций при их выкупе акционерным обществом, совершении обществом крупной сделки, при ипотечном кредитовании в случае спора о величине стоимости предмета ипотеки, а также определения стоимости объектов собственности в целях их приватизации, передачи в доверительное управление либо передачи в аренду, при использовании объектов в качестве предмета залога, определения рыночной стоимости имущества для его реализации в порядке исполнительного производства и др.

Актуальность научно-концептуальных, законотворческих и правоприменительных проблем, связанных с гражданско-правовым институтом оценочной деятельности, вызвана относительной новизной независимой оценки для отечественной правовой системы.

Данные вопросы имеют не только юридический аспект, но в значительной степени и экономический. Однако, если в объяснении процессов оценивания и ценообразования современной экономической наукой исходным пунктом определяется истолкование мотивов поведения участников обмена, производства и потребления, то цель юридической науки состоит, прежде всего, в определении сущности, понятия и признаков оценочной деятельности в их значении для построения системы правовых норм, регулирующих отношения между лицами, причастными к проведению независимой оценки.

Правовые основы оценочной деятельности определены Закон Республики Казахстан от 30 ноября 2000 года № 109-II «Об оценочной деятельности в Республике Казахстан» [1]. Практика его применения выявляет ряд вопросов и проблем, требующих своего осмысления и выработки соответствующих рекомендаций. К ним, в частности, следует отнести вопросы сущности обязательства по осуществлению оценочной деятельности, его юридической природы, применения норм, гарантирующих независимость и достоверность результата оценки.

Научная новизна дипломной работы.Содержащиеся в работе теоретические положения и выводы представляют собой научную концепцию развития оценочных правоотношений.

В исследовании выявлены теоретические и практические проблемы правового регулирования отношений, возникающих при оценке, и внесены предложения, направленные на совершенствование законодательства и правоприменительной практики в исследуемой сфере отношений.

Практическая значимость дипломной работы. Основные выводы дипломной работы могут быть использованы в научно-исследовательской деятельности, для преподавания курса гражданского права, в деятельности правоприменительных органов, в том числе для практикующих юристов.

Оценка современного состояния научной проблемы. Актуальность темы дипломной работы обусловлена недостаточной ее научной проработанностью. Вопросы, связные с правовым регулированием оценочной деятельности, еще не стали предметом пристального внимания ученых-правоведов. До настоящего времени в Республике Казахстан отсутствуют монографические исследования, посвященные изучению правового регулирования оценочной деятельности в свете происходящих социально — экономических реформ. Правовые аспекты оценочной деятельности как вида предпринимательства отражены в научных работах таких правоведов, как П.В. Бахарев, А.В. Верхозина, И.В.Ершова, Н.П.Кареева, Т.В.Кравченко, В.В.Курило, Г.В.Петрова, Б.Соколов, А.А. Ялбулганов и др.

Вместе с тем, труды указанных выше и других авторов охватывают далеко не все проблемы правового регулирования оценочной деятельности в Республике Казахстан как вида предпринимательства, а лишь отдельные вопросы. Теоретико-правовой аспект исследуемой проблематики в работах затрагивался весьма незначительно. В связи с изменением законодательства, регулирующего оценочную деятельность, часть публикаций уже устарела. В связи с этим появилась необходимость проведения теоретического исследования по проблемам правового регулирования оценочной деятельности.

Таким образом, актуальность темы исследования обуславливается, по крайней мере, двумя обстоятельствами: существенным возрастанием значения оценки в гражданско-правовых отношениях, а также потребностью совершенствования правового регулирования оценочной деятельности.

Объектом исследoвaния выступает сфера отношений в области независимой оценки, порожденных осуществлением оценочной деятельности.

Пpедметoм исследoвaния является комплекс проблем теоретического и практического порядка, связанных с правовым регулированием общественных отношений в области оценочной деятельности. Однако рассмотрение вопросов правового регулирования оценочной деятельности невозможно без определения сущности, понятия и признаков оценочной деятельности в их значении для построения системы правовых норм, регулирующих отношения между лицами, причастными к проведению независимой оценки, выявления правовой природы обязательства по проведению оценки, рассмотрения его основных свойств, чему уделено достаточно большое место.

Целью данной дипломной работы является раскрытие сущности правового регулирования общественных отношений в области оценочной деятельности.

Для реализации этой цели в дипломной работе были поставлены следующие задачи:

- ознакомиться с понятиемоценочной деятельности;

- ознакомиться с возникновением и развитием независимой оценки и законодательства об оценочной деятельности;

- рассмотреть зарубежный опыт оценочной деятельности;

- раскрыть общую характеристику правового статуса оценщика и принципов оценочной деятельности;

- провести оценку основных направлений правового регулирования оценочной деятельности в РК;

- проанализировать основные нормативно-правовые документы, относящиеся к законодательству об оценочной деятельности;

- разработать мероприятия по совершенствованию оценочной деятельности в Республике Казахстан.

Методологическая основа дипломной работы. Методологической основой исследования являются методы логического анализа, сравнительного правоведения и обобщения результатов исследования. Логическому анализу были подвергнуты нормы действующего законодательства Республики Казахстан, специальная монографическая и теоретическая литература. В работе также использованы специальные (частнонаучные) методы исследования: функциональный, формально-юридический, системный.

Теоретическая значимость исследования состоит в научном обоснованиисовременного подхода к решению актуальных проблем, связанных с правовым регулированием оценочной деятельности, решение которых имеет существенное значение для науки гражданского и предпринимательского права и дальнейших научных исследований в Республике Казахстан.

Теоретическую основу исследования составили теоретические и практические разработки ученых: М.М. Агаркова, С.С. Алексеева, О.С. Иоффе, А.К. Кравцова, О.А. Красавчикова, Л.А. Лунца, И.Б.Новицкого, О.Н.Садикова, А.П.Сергеева, Е.А.Суханова, Ю.К.Толстого, Р.О. Халфиной, Г.Ф. Шершеневича, В.Ф. Яковлева, В.Ф. Яковлевой, М.И.Брагинского, В.В.Витрянского и других.

Практическая база написания дипломной работы. В ходе написания работы использовались нормативные акты РК, статистические данные, работы зарубежных и отечественных авторов, специальные исследования в данной области.


1. Общие положения об оценочной деятельности

1.1 Понятие оценочной деятельности

Выделение цивилистической категории, как и любой другой научной категории, требует выяснения того специального смысла, тех признаков, которые позволяют отделить её от иных явлений.

Для исследования понятия оценочной деятельности требуется последовательно определиться по двум вопросам. Во-первых, необходимо уяснить научное понятие оценочной деятельности, а, во-вторых, проанализировать какое содержание вкладывают в эту категорию правовые нормы.

Поскольку право оперирует категориями, доведенными до уровня формально-логической определенности и официально зафиксированных в юридических установлениях, для определения понятия оценочной деятельности необходимо использовать формально-логические и специальные юридические методы определения понятий.

Понятие, как известно, - это форма мышления, отражающая предметы в их существенных признаках [2, 45]. Для определения содержания научного понятия оценочная деятельность необходимо определить возможные значения входящих в данное понятие терминов и ограничить их лишь необходимыми значениями.

В рамках данной дипломной работы особое значение приобретает термин «оценка», составляющая смысл оценочной деятельности. Этимологическое значение термина «оценка» связывается с глаголом «оценить» [3, 45]. «Оценить» («оценивать») означает «полагать, назначить чему цену, определить стоимость чего» или «составить представление, суждение о ком-, чем-либо, определить значение, характер, роль и т.п. кого-, чего-либо» [3, 46].

Следовательно, в лингвистическом смысле под оценкой понимаются действия, содержание которых определяется по значению глагола «оценить»: «оценка имущества, оценка знаний»; а также «мнение, суждение о качестве, достоинстве и т.п. кого-либо, чего-либо, принятое обозначение степени знаний и поведения учащихся, отметка» [2, 46].

Категория оценка исследуется разными науками: философией, социологией, экономикой, юриспруденцией и др. Это обстоятельство указывает на то, что оценка многогранна и является общенаучной категорией. Но у каждой науки в соответствии с ее целями, предметом, методами изучения сложилось свое представление о категории оценки, поскольку «... смысл слов, которыми пользуются в технике каждой из этих наук различен» [4, 114]. Верно утверждение, что с точки зрения формально-логического метода познания различное понимание социальными науками существа одной категории требует либо унификации трактовок, либо установления их соотношения, следовательно, признания того, что речь идет о разных категориях [5, 134]. Возникают вопросы. Какова сущность оценки? Корректно ли различное понимание существа одной категории разными науками? Попытаемся выявить существо общенаучной категории оценка.

Поясним смысл, связываемый с «оценкой» философией.

Понятие «оценка» соотносима с понятием «ценность». В этом своем значении понятие «оценка» употребляется в аксиологии и гносеологии [2, 54].

Существующее философское учение о ценностях - аксиология (греч. axia — ценность и logos - учение, слово) представлена несколькими теориями ценностей [2, 63]. Общность теоретических концепций заключается в том, что оценка представляет собой определение субъектом социальной значимости явлений для его жизни, она ориентирует человека в мире явлений, направляет его деятельность. Таким образом, в аксиологическом смысле с оценкой связан процесс ориентации на ценность.

Гнесиология, являясь философским учением о познании, изучает взаимоотношение субъекта и объекта познания в процессе познавательной деятельности, отношение познания к действительности, критерии истинности и достоверности знания [2, 65].

Оценка складывается из акта сравнения (собственной оценки) и рекомендаций к отбору (выбору) того, что признается ценностью. Тот, кто оценивает, формулирует суждения о полезности или вредности, правильности или неправильности, необходимости или ненужности того, что оценивается [6, 24]. Таким образом, оценка базируется на знании, а познание на оценке.

Категория «оценка» известна и социологической науке. Сведения из социологического энциклопедического словаря дают двойственное значение понятию «оценка». Так, кроме уже известного «определение цены чего-либо», первым представлено другое значение: «соотнесение какого-либо объекта с принятым критерием, образцом, нормой» и, собственно, оно соотносимо с аксиологическим смыслом оценки, характеризует поведенческую сторону оценки.

Оценочная деятельность как объект правового регулирования представляет с одной стороны услугу оценщиков – независимых экспертов по определению рыночной стоимости, с другой стороны – юридическим фактом, устанавливающим стоимость объекта оценки для определенных в договоре об оценке (или иного основания проведения оценки) цели (целях). Поэтому оценка, проведенная в соответствии с законодательством РК может повлечь за собой определенные правовые последствия.

С развитием в Казахстане рыночных отношений категория стоимости имущества из объекта планового регулирования переросла в рыночную категорию. Стоимость имущества определяет намного большее число факторов, по сравнению с плановой экономикой. Определение стоимости, в экономике, где основным фактором цены товара является соотношение спроса и предложения, представляет сложный процесс, осуществление которого требует серьезного экспертного исследования.

Экспертное установление стоимости имущества необходимо во многих ситуациях делового оборота, а отчет о стоимости, составленный экспертом оценщиком должен иметь доказательственное значение. В целях упорядочивания деятельности экспертов-оценщиков, а также в целях установления их правового статуса Республика Казахстан установила ряд законов и других нормативно-правовых актов, регулирующих оценочную деятельность. Если широко определить понятие оценочной деятельности, то оценка представляет собой суждение кого-либо обладающего специальными знаниями об объекте окружающей действительности.

Оценка в рамках законодательства РК об оценочной деятельности рассматривается в контексте установления суждения о стоимости объекта оценки.

Оценочная деятельность - предпринимательская деятельность, осуществляемая оценщиками, направленная на установление в отношении объектов оценки рыночной или иной стоимости на определенную дату, если иное не предусмотрено законами Республики Казахстан.

Исходя из логики законодательства об оценке, деятельность, направленная на установление рыночной стоимости, осуществляемая не субъектами оценки, не подпадает под регулирование законодательства об оценочной деятельности. Отчет, составленный не оценщиками, не может иметь доказательственного значения и такая стоимость не является рекомендуемой для совершения сделок с имуществом. Однако, оценка, не соответствующая требованиям законодательства не запрещена законом. На практике инвестиционные, аналитические компании, другие юридические и физические лица, государственные органы определяют и анализируют стоимость отдельных видов имущества. Даже на бытовом уровне мы часто анализируем стоимость различных товаров, услуг, объектов недвижимости и прочих. И всё-таки, суждение о стоимости, не подпадающие под сферу правового регулирования законодательства об оценке, не может являться независимым экспертным заключением о стоимости объекта оценки, и не имеет законного доказательственного значения. Таким образом, одним из существенных условий признания доказательственной силы суждения о стоимости является осуществление этой деятельности субъектами оценочной деятельности в соответствии с законодательством.

Оценочная деятельность – это сфера самостоятельного предпринимательства, направленная на оценку природных ресурсов, финансовых активов, бизнеса, инвестиционных проектов, интеллектуальной собственности, основных фондов, движимого и недвижимого имущества, в частности, земли.

Предметом оценочной деятельности является установление рыночной, инвестиционной, ликвидационной и других видов стоимости объектов оценки. Данный вид деятельности, как и профессия, связанная с ним, - профессия оценщика, является новым для Республики Казахстан видом бизнеса.

Субъектами оценочной деятельности являются оценщики - юридические лица и индивидуальные предприниматели, получившие лицензию на право оценки, с одной стороны, и заказчики - юридические лица, граждане, государство в лице уполномоченных органов, с другой стороны.

В то же время, оценочная деятельность - это и область научной деятельности со своим предметом, методами, принципами и стандартами.

Оценочная деятельность - это полноправный раздел экономической науки - прикладной экономический анализ, тесно связанный с другими экономическими науками: экономикой отрасли, бухучетом, анализом хозяйственной деятельности с финансовой математикой, финансовым менеджментом.

Оценочная деятельность необходима как органам государственной власти с целью налогообложения, так и физическим и юридическим лицам для нужд гражданского оборота. Необходимо различать правовое регулирование сферы недвижимости и правовое регулирование оценочной деятельности.

Рассмотрим несколько признаков оценочной деятельности, характеризующих ее как вид профессиональной деятельности:

- получение профессиональных знаний в области оценочной деятельности в соответствии с образовательными программами высшего профессионального образования, дополнительного профессионального образования или программами профессиональной переподготовки специалистов в области оценочной деятельности;

- соблюдение правил деловой и профессиональной этики, установленных саморегулируемой организацией оценщиков.

Профессиональную оценочную деятельность вправе осуществлять лица, относящиеся к категории субъектов оценочной деятельности.

Результатом оценки является итоговая величина стоимости объекта оценки. Результат оценки может использоваться при определении сторонами цены для совершения сделки или иных действий с объектом оценки, в том числе при совершении сделок купли-продажи, передаче в аренду или залог, страховании, кредитовании, внесении в уставный (складочный) капитал, для целей налогообложения, при составлении финансовой (бухгалтерской) отчетности, реорганизации и приватизации предприятий, разрешении имущественных споров, принятии управленческих решений и иных случаях.

Оценочная деятельность предполагает использование следующих видов стоимости объекта оценки: рыночная стоимость, инвестиционная стоимость, ликвидационная стоимость и кадастровая стоимость. Таким образом, осуществление оценочной деятельности связано с определением стоимости объекта.

Существует много видов стоимости. Они необходимы в силу различных потребностей заказчика и целей оценки. Однако, в общем стоимость может быть разделена на две большие категории: стоимость в обмене и стоимость в пользовании.

Стоимость в пользовании (стоимость использования) – стоимость вещи с точки зрения конкретного пользователя, использующего или собирающегося использовать эту вещь определенным образом для удовлетворения собственных потребностей. Она устанавливается одним лицом (пользователем), поэтому является субъективной.

Стоимость в обмене (стоимость обмена) – стоимость, рассматриваемая в связи с отчуждением вещи и проявляющаяся в форме цены при обмене этой вещи на деньги. В определении имеется в виду цена, которая будет преобладать на свободном, открытом и конкурентном рынке не основе равновесия, устанавливаемого факторами предложения и спроса. Поэтому стоимость в обмене является объективной. Она рассматривается как обобщенная характеристика привлекательности вещи как предмета обмена с позиций неопределенного числа ее потенциальных обладателей, в совокупности называемых рынком [7].

Наиболее ярким примером стоимости в обмене является рыночная стоимость. Некоторые специалисты считают, что рыночная стоимость является краеугольным камнем оценочной деятельности. Это связано с тем, что чаще всего целью оценки является определение рыночной стоимости объекта оценки.

Следовательно, рыночная стоимость является результатом справедливой сделки, осуществляемой при соблюдении ряда условий:

1) открытость рынка, на котором совершается сделка;

2) конкурентность рынка;

3) типичная мотивация сторон;

4) разумная информированность сторон;

5) достаточное время, в течение которого объект оценки предлагается на рынке для продажи;

6) использование типичных средств платежа;

7) отсутствие необычных финансовых условий сделки [8].

Кроме рыночной стоимости в стандартах оценки приводится ряд видов стоимости, которые могут применяться для целей оценки:

а) стоимость объекта оценки с ограниченным рынком – стоимость объекта оценки, продажа которого на открытом рынке невозможна или требует дополнительных затрат по сравнению с затратами, необходимыми для продажи свободно обращающихся на рынке товаров;

б) стоимость замещения объекта оценки - сумма затрат на создание объекта, аналогичного объекту оценки, в рыночных ценах, существующих на дату проведения оценки, с учетом износа объекта оценки;

в) стоимость воспроизводства объекта оценки - сумма затрат в рыночных ценах, существующих на дату проведения оценки, на создание объекта, идентичного объекту оценки, с применением идентичных материалов и технологий, с учетом износа объекта оценки;

г) стоимость объекта оценки при существующем использовании - стоимость объекта оценки, определяемая исходя из существующих условий и цели его использования;

д) инвестиционная стоимость объекта оценки - стоимость объекта оценки, определяемая исходя из его доходности для конкретного лица при заданных инвестиционных целях;

е) стоимость объекта оценки для целей налогообложения - стоимость объекта оценки, определяемая для исчисления налоговой базы и рассчитываемая в соответствии с положениями нормативных правовых актов (в том числе инвентаризационная стоимость);

ж) ликвидационная стоимость объекта оценки - стоимость объекта оценки в случае, если объект оценки должен быть отчужден в срок меньше обычного срока экспозиции аналогичных объектов;

з) утилизационная стоимость объекта оценки - стоимость объекта оценки, равная рыночной стоимости материалов, которые он в себя включает, с учетом затрат на утилизацию объекта оценки;

и) специальная стоимость объекта оценки - стоимость, для определения которой в договоре об оценке или нормативном правовом акте оговариваются условия, не включенные в понятие рыночной или иной стоимости, указанной в стандартах оценки.

На стоимость объекта оценки оказывает влияние многообразие факторов внешней и внутренней среды.

Экономические факторы:

- спрос на объект оценки;

- доход объекта оценки от эксплуатации и перепродажи;

- продолжительность получения доходов;

- риск, связанный с объектом;

- степень контроля над объектом (наличие имущественных прав);

- степень ликвидности объекта оценки;

- ограничения, наложенные государством или другими лицами на объект;

- затраты на создание аналогичных объектов;

- соотношение спроса и предложения на аналогичные объекты и др.

Социальные факторы:

- наличие и развитость инфраструктуры;

- демографическая ситуация и др.

Политические факторы:

- состояние законодательства в области оценки, собственности, налогообложения и т.д.;

- политико-правовая ситуация в стране.

Географические факторы, состояние окружающей среды.


1.2 Возникновение и развитие независимой оценки и законодательства об оценочной деятельности

Мировой опыт свидетельствует, что зарождение рыночных механизмов хозяйствования сопровождается становлением и развитием оценочной деятельности. Вот и в нашей республике появились первичный и вторичный рынки имущества, продолжают совершенствоваться законодательная и нормативная базы в этой сфере, появились лицензированные оценщики.

Формирование профессии оценщика в Казахстане началось в 1995 году, когда было создано Государственное агентство по регистрации и оценке недвижимости с территориальными подразделениями во всех областях республики. В этом же году наряду с государственной оценкой появились первые общественные объединения профессиональных оценщиков.

7 августа 1997 года приказом Министерства труда и социальной защиты населения Республики Казахстан в нашей стране были утверждены квалификационные требования для лиц, профессионально занимающихся оценкой имущества, тем самым была официально признана новая профессия [9].

В 1997 году законодательно в лицензируемые виды была введена оценочная деятельность и образован уполномоченный орган по оценочной деятельности. В это же время была создана Казахстанская Ассоциация Оценщиков (КАО), которая добилась в 1998 году принятия Казахстана в Международный комитет по стандартам оценки и инициировала разработку и принятие Закона «Об оценочной деятельности в Республике Казахстан», который был принят в ноябре 2000 года. На первом этапе развития оценочной деятельности с 1998 по 2000 год лицензии получили всего 117 юридических и 343 физических лиц.

Несмотря на то, что начиная с 2000 года, были разработаны и утверждены нормативные правовые акты в области оценочной деятельности, качество оценки начало отставать от бурного роста численности оценщиков. Как показала выборочная проверка, различие в стоимости одного и того же объекта, оцененного практически в одно и тоже время разными оценщиками, очень часто могло расходиться в два и более раза. Основной причиной участившихся случаев недостоверной оценки стал низкий уровень квалификации оценщиков, т.к. выдача лицензий производилась заочно на основании документов об образовании, без проведения квалификационного экзамена. Кроме того, принятые в 2002 году Правила оценки были не конкретны, они разрешали оценщикам пользоваться устаревшими справочниками, такими как УПВС, выпущенные еще в СССР в 1069 году. В органах статистики не отслеживалась информация о ценах на различные виды имущества, показателях риска и внутренней нормы доходности различных категорий бизнеса, так как единый заказчик на эту информацию отсутствует. Проводимые уполномоченным органом плановые проверки оценочной деятельности не могли кардинально улучшить положение дел, так как ежегодно составлялось около миллиона отчетов, ревизия многих из которых невозможна без специальных знаний, которыми обладают только профессиональные оценщики высшей квалификации. По существу проверка отчетов была сведена к формальной процедуре рассмотрения их структуры, наличия в ней всех требуемых Правилами разделов и сведений.

Именно с 2002 года оценочная деятельность получила развернутое законодательное регулирование и развитие, была сформулирована модель, основанная исключительно на государственном контроле оценочной деятельности.

Вместе с тем, как показывает международный опыт, в государствах с развитой рыночной экономикой предпочтение постепенно отдается механизмам саморегулирования, а в развивающихся странах заметно возрастает регулирующая роль государства. Основы законодательного регулирования и история зарождения института оценочной деятельности также различны.

К примеру, в странах Европы и США профессия оценщика формировалась в основном путем саморегулирования. Практикующие оценщики объединялись в соответствующей профессиональной корпорации, созданной по типу объединений лиц других свободных профессий (адвокатов, юристов, аудиторов и т. д.). Данная форма регулирования принята в большинстве государств. В некоторых из них, в частности в Великобритании, функция контроля за деятельностью оценщиков законодательно закреплена за профессиональными организациями.

На туманном Альбионе первоначально оценочная деятельность возникла в рамках профессии сюрвейера (от англ. surveyor – землемер) в середине XIX столетия. В 1981 году король предоставил профессиональным сюрвейерам Хартию на право саморегулирования [10].

В США существует развитая система профессионального саморегулирования оценочной деятельности, где с середины 30-х годов действует Институт оценки, в настоящее время объединяющий более 15 тыс. членов. В последнее десятилетие введено лицензирование оценочной деятельности. До этого же оценщиком мог стать каждый. Причиной для перехода к государственному лицензированию стали убытки американских кредитно-сберегательных институтов в результате некомпетентной и некачественной оценки.

Во Франции в основном регулируется оценка недвижимости для суда, а также оценка сельскохозяйственных земель и лесных массивов. В связи с этим еще в 1990 году Французский институт оценки недвижимости (IFEI) обратился к крупнейшим профессиональным организациям с предложением о внедрении общих принципов деятельности членов профессиональных организаций оценщиков. А в 1993 году впервые издана Хартия оценщиков недвижимости (Charter of real EstateValuers) [10].

В Германии к практике оценочной деятельности предъявляются многочисленные требования, законодательно закреплено требование к ведению сборников цен купли-продажи, в которых регистрируются и оцениваются сделки с земельными участками.

В Китае с активизацией экономических реформ возросла потребность в независимой оценке имущества. В 1989 году при содействии правительства в КНР официально появилась профессия – оценщик. Основным документом, регулирующим оценочную деятельность в Поднебесной, является положение об оценке государственной собственности, изданное Государственным советом в 1991 году [10].

В результате всего вышеперечисленного появились первые признаки деградации оценочной деятельности как высококвалифицированной профессии. На ней начали действовать лица предлагающие оценить имущество по любой цене, которую назначит заказчик, оплачивающий эту работу. С каждым годом количество таких лицензированных псевдооценщиков становилось все больше, что сформировало в обществе устойчивое недоверие к результатам их работы. В этих условиях банки и другие субъекты реальных рыночных отношений начали создавать свои службы оценки, которые в силу корпоративных интересов старались завысить стоимость залогового имущества, что и явилось первопричиной развития ипотечного кризиса.

Следует отметить, что уже в преддверии кризиса начала появляться потребность в объективной оценке, в связи, с чем встал вопрос о повышении достоверности отчетов, а осуществить даже выборочную экспертизу отчета уполномоченному органу без помощи квалифицированны оценщиков, стало физически невозможно. Если на первом этапе лицензирования уполномоченный орган мог в течение 2-3 лет проверить работу всех оценщиков с выездом на место, то на сегодня для этого не хватит и 10 лет.

Следует отметить, что, помимо национальных законодательств, оценочная деятельность регулируется международно-правовыми нормами. Глобальные стандарты оценки разрабатываются Международным комитетом по стандартам оценки (IVSC), который объединяет профессиональные организации оценщиков более чем 50 стран [11].

В государствах СНГ, в том числе и в Казахстане, оценочная деятельность переживает период становления. Для гармонизации законодательств стран Содружества по инициативе ряда национальных организаций в области оценки создан и уже действует Координационный совет оценщиков.

С течением времени правоприменительная практика по оценочной деятельности в рамках рыночных процессов и результатов форсированного развития строительного сектора в нашей республике предопределила необходимость пересмотра оценочной деятельности, в том числе и на институциональном уровне. Так, в ноябре 2010 года Парламент принял поправки в законы, целью которых является совершенствование и упорядочение системы рынка оценочной деятельности. В целях имплементации позитивного опыта в области оценочной деятельности установлен постепенный переход от государственного контроля оценки имущества к саморегулированию оценочной деятельности субъектами оценки. В связи с этим на первоначальном этапе законодательно закреплены основы оценочной деятельности путем консолидирования разрозненных субъектов – оценщиков в предлагаемые саморегулируемые палаты, осуществляющие организацию данной деятельности на рынке соответствующих услуг.

Для повышения качества оценочных услуг законом вводится обязательная экзаменация претендента на занятие оценочной деятельности с целью проверки уровня его знаний. За уполномоченным органом закреплена компетенция по разработке и утверждению стандартов оценки, которые будут обязательными для оценщиков. Правда, оценщики вправе использовать и международные стандарты оценки.


1.3 Зарубежный опыт оценочной деятельности

Ни на мировом, ни на европейском уровне нет сегодня единства в подходах и методах оценки. В этом отношении интересна как сама немецкая система по регулированию оценочной деятельности, так и опыт Германии по ее изменению. Немецкие оценщики считают свою модель максимально соответствующей рынку и доказательство этому находят в стабильности цен и прозрачности рынка недвижимости, отвечающей интересам государства, бизнеса и граждан. Германия традиционно относится к группе стран с четко выдержанной социальной ориентацией экономики. Среди прочего это означает широкие возможности государства по регулированию земельного и других рынков, в том числе путем формирования стандартов и правил осуществления оценочной деятельности. Сфера регулирования оценочной деятельности отнесена к градостроительному законодательству, а непосредственно со стороны федеральных ведомств за нее отвечает Федеральное министерство транспорта, строительства и развития городов.

19 мая 2010 года Федеральное Правительство Германии на основании §199 Градостроительного кодекса Германии (Baugesetzbuch) после необходимого согласования с Верхней палатой Парламента (Bundesrat) утвердило новую редакцию Правил определения рыночной стоимости земельных участков (опубликовано 27 мая 2010 года в BGB), которые вступили в действие с 1 июля 2010 года. Одновременно аналогичное Постановление Правительства от 6 декабря 1988 года (с изменениями от 18 августа 1997 года) утрачивает силу [12].

Причины принятия нового Постановления:

- необходимость корректировки системы через совершенствование методов оценки  и требований к исходной информации, возникшая вследствие мирового кризиса на рынке недвижимости;

- глобализация рынка недвижимости в соответствии с интересами международных  инвесторов. В частности, этим определяется указание в §1 на понятия «стоимости в обмене» и «рыночной стоимости» объектов недвижимости как синонимов «Verkehrswerte (Marktwerte)». Данное определение соответствует понятию «market value» в RIGS в отличие от ранее применявшегося понятия «open market value» (best price);

- изменение смежного законодательства, в частности переход на взимание налога  на наследование в зависимости от рыночной стоимости его составляющих.

Данное Постановление распространяется на все возможные действия на различных этапах определения стоимости для различных целей.

Объектом оценки являются как непосредственно земельные участки (земельный участок и другие объекты недвижимости по российскому законодательству), так и права на них, права на права, а также такие объекты оценки, для которых нет рынка. Последний вид объектов является новым в отличие от ранее действовавшей редакции. В данном случае стоимость определяется на основе рыночно ориентированной модели с учетом всех экономических преимуществ и недостатков.

Постановление вводит необходимость учета будущего развития, например, изменения вида использования земельного участка, но только в случае ее достаточной достоверности на основе конкретных фактов. При этом требуется учесть предполагаемый срок (срок ожидания) до вступления в действие правовых и реальных условий для реализации этих изменений. Учет будущих изменений должен быть проведен с достаточной достоверностью и без спекулятивных ожиданий. Часто немецкой системе оценки ставится в упрек то, что она основана на прошлых фактах, а не на будущем развитии рынка. Но ошибки в прогнозировании обусловливают приверженность требованию, что только достаточная достоверность оценок будущего развития может гарантировать точность оценки на текущую дату. ImmoWertV четко и недвусмысленно дистанцируется от прогнозных оценок и ориентируется на реальные трансакции.

Новое Постановление более твердо разделяет необходимость учета внешних факторов, связанных с ситуацией на рынке недвижимости, капитала (а также общей экономической и демографической ситуацией в регионе) и учета внутренних факторов, связанных с самим объектом оценки. В основе разрешенного учета будущих обстоятельств в Германии продолжает оставаться понятие «срок остаточной экономической жизни объекта оценки», который может измениться из-за модернизации объекта или недостатков при его эксплуатации.

Высокий уровень оценки недвижимости в Германии базируется на требовании исходить из достаточного количества реальных рыночных цен. Это достигается уникальной в мировой практике деятельностью муниципальных экспертных комиссий, систематизирующих все сделки с недвижимостью, на основе чего выводятся показатели корректировок, применяемых практикующими оценщиками:

- ориентировочные (выровненные) цены на землю;

- индексы инфляции по каждому сегменту рынка;

- коэффициенты градостроительной ценности; 

- факторы сравнения по недвижимости; 

- ставки капитализации по недвижимости; 

- факторы учета рыночной ситуации [13]. 

В целом, большинство изменений в Постановлении фактически формализуют развитие практики оценки в последние годы. При этом Германии не потребовалось кардинально менять требования к проведению оценки рыночной стоимости. Это объясняет тот факт, что теперь само Постановление содержит разделы, которые полностью воспроизводят структуру предыдущей редакции, а не ее части, как ранее. Единственное – исключены ранее действующие параграфы, регулирующие оценку стоимости земельного участка в случае проведения санации или мероприятий по развитию территорий, в случае потерь в стоимости участков, а также в части определения размеров участия собственников участков в финансировании градостроительных мероприятий. Данное сокращение вызвано отсутствием необходимости специально обращать внимание на особенности оценки для данных целей, так как эти особенности уже отражены в соответствующих параграфах Градостроительного кодекса Германии.

Одновременно вводятся новые определения как в части новых понятий, так и путем изменения содержания уже действующих определений.

Например, во вводной части Постановления это касается следующих базовых вопросов – дата и объект оценки.

«День определения состояния развития земельного участка» – день определения вида использования и других параметров разрешенного использования земельного участка в случае его отличия по правовым или другим основаниям от даты оценки (дня определения стоимости), например, в случае изъятия земельных участков для госнужд.

Сокращено число различных уровней (стадий) состояния развития земельного участка. Теперь их 4:

1. Сельскохозяйственные и лесные угодья;

2. Территории перспективной застройки;

3. Участки, подготавливаемые к застройке;

4. Подготовленные под застройку участки.

В итоге обозначение уровня, близкое по смыслу казахстанскому понятию «особо ценные продуктивные сельхозугодия», в этом списке будет отсутствовать. По мнению немецких экспертов, это может привести к неминуемому росту рыночных цен на все сельскохозяйственные угодья [13].

Сами подходы к оценке рыночной стоимости земельных участков не изменились – это, по-прежнему, сравнительный, затратный и доходный подходы. Выбор их применения должен быть определен практикой делового оборота на соответствующих сегментах рынка и особенностями самого объекта оценки. Ранее был уклон на использование сравнительного подхода к оценке рыночной стоимости как незастроенных, так и застроенных участков. Теперь, в новой редакции, сравнительный подход остался только для оценки собственно земли, прежде всего – незастроенных земельных участков. Но Постановление не исключало и не исключает возможность использования других методов определения стоимости, прямо не описанных в нем. Это не означает, что любые методы можно применять или модифицировать на практике – методы должны соответствовать целям оценки. Причем последнее требование зафиксировано в ряде судебных решений, в том числе в Федеральном административном суде. Например, на практике в качестве дополнительных методов в случаях недостаточности сделок со сравнительными земельными участками используются техники остатка.

Теперь, согласно Постановлению, любой метод определения стоимости после выведения промежуточного результата должен дополнительно учесть общую ситуацию на локальном рынке недвижимости и особенности самого объекта оценки (строительные недостатки, отличие от обычного уровня эксплуатации, особенности установления отдельных доходов от объекта и другие условия, влияющие на стоимость). Это должно исключить использование «сырых» исходных данных. В итоге применения каждого из подходов должны быть получены результаты исходя из состояния типового аналогичного объекта недвижимости в обычном деловом обороте, а перед выведением окончательных результатов – сделаны соответствующие корректировки на состояние рынка и особенности самого объекта. Итоговое присваивание весов происходит на основе степени достоверности результата по каждому методу. Таким образом, хотя ImmoWertV не оперирует с понятием «промежуточный результат» по каждому из методов, все их результаты без учета ситуации на рынке носят предварительный характер. Учет специфики самого объекта происходит после, и на основе учета рыночной ситуации. Последнее – очевидная необходимость, так как, например, типичная ставка капитализации в рамках доходного подхода и нормативы затрат в рамках затратного подхода не могут учитывать индивидуальные особенности самого объекта оценки. В качестве основы для рассмотрения обычной рыночной ситуации или типичного объекта в отчете требуется сделать ссылку на соответствующее доказательство [13].

Очень важно отметить, что оговоренная последовательность существенным образом влияет на итоговую стоимость.

Сравнительный подход в новом Постановлении подвергся минимальным корректировкам. Оценка земли должна осуществляться преимущественно по сравнительному подходу. Рыночные цены застроенных земельных участков должны выводиться из цен сделок с незастроенными участками. Но если ранее можно было вместо цен продаж использовать ориентировочные (выровненные) цены земли, которые на начало каждого года в соответствии с §196 Градостроительного кодекса систематизируются муниципальными экспертными комиссиями по ценовым зонам и видам использования, то теперь эти цены, с учетом необходимых корректировок на рыночную ситуацию и особенности объекта оценки, могут только дополнять данные по рыночным сделкам, а не использоваться вместо них. Ранее, например, такие цены часто использовались как основа определения цен реверсии.

Причины такого решения:

1. Необходимость дополнительной проверки обоснованности для конкретного случая определения стоимости этих усредненных показателей.

2. Усреднение цен сделок с земельными участками не основано на единой методике. Но роль усредненных показателей будет усиливаться для определения налогов.

3. Ориентировочные цены земли основаны исключительно на свойствах незастроенных участков, а для определения рыночной стоимости застроенных участков необходимо брать факторы сравнения. Применение ориентировочных цен земли для оценки застроенных участков означало бы упор на эти факторы, а не на собственно цены сделок с самими аналогами.

4. Анализ и использование ориентировочных цен земли вместо цен рыночных сделок имело бы последствием чрезмерную бюрократизацию оценки, что не соответствует интересам ни немецкого государства, ни рынка [13].

Однако такая новелла может привести к снижению интереса к развитию теории и практики определения ориентировочных (выровненных) цен земли, что всегда считалось одним из преимуществ информационного обеспечения рынка недвижимости Германии. При этом требование об определении границ ценовых зон в интервале 20% колебания цен вокруг средней – ориентировочной цены земли – закреплены Конституционным судом Германии (например, в решении от 7 ноября 2006 г.) в рамках дел, связанных с установлением налогов на наследство. Предпринятая в период кризиса попытка верхней палаты Парламента определить 30%-ное отклонение в выровненных ценах земли по ценовым зонам как приемлемое для этих целей в силу необходимости использовать в качестве исходной информации значительное число сделок по каждой ценовой зоне не нашла понимания в Правительстве (из-за необходимости применения этих цен для принятия мотивированных судебных решений).

Кроме того, теперь от оценщика требуется произвести скидку на обесценение земли застроенного земельного участка в размере обычных затрат на освобождение участка от улучшений, если это соответствует обычной практике делового оборота. Это позволяет избежать искусственного вздутия цен. Существенной нормой стал учет отклонения объема фактического использования и застройки или местоположения оцениваемого земельного участка от обычных для делового оборота условий, от разрешенных норм или обычных размеров застройки аналогичных участков в данном месте. Ранее такая норма была ориентирована на оценку в рамках мероприятий по санированию территорий. Это означает существенное сближение рыночной стоимости земли и ее стоимости по фактическому использованию при значительном сроке дальнейшей эксплуатации застройки:


LV = LVфакт + (LVразр./обычн. – LVфакт) × 1 // (1+p)n (1)

где LV – рыночная стоимость всего земельного участка;

LVфакт – стоимость земли на основе фактического использования;

LVразр./обычн. – стоимость земли на основе разрешенного или обычного использования;

p – ставка капитализации;

n – остаточный срок жизни застройки.

Пример:

LVфакт при плотности застройки 800 м2 на стандартном участке 10 соток = 244 €/м2.

LV разр./обычн. при плотности застройки 1200 м2 на стандартном участке 10 сот. = 300 €/м2

p = 5%

n = 20 лет

Итог: LV = 244 €/м2 +56 €/м2 x 1/ 1,05 20.

Учет расходов на подготовку земельного участка под застройку (прежде всего на снос существующей застройки), если по физическим или экономическим причинам такой снос является ожидаемым в обычной практике, становится для оценщиков обязательным.

Сама рыночная стоимость земельного участка, как свободного, должна быть уменьшена на приведенные затраты по освобождению участка от застройки с учетом срока ее дальнейшей эксплуатации (по ставке капитализации для соответствующего вида использования участка в данной местности). Расходы на это освобождение должны соответствовать их рыночному (обычному в деловом обороте) уровню на дату оценки. Рост или скидки на данные мероприятия трудно прогнозировать, т.к. возможно, что к концу срока эксплуатации застройки требования к очистке грунтов могут быть существенно увеличены. Для практики Германии характерно то, что дополнительные риски, связанные с загрязнением почвы, являются существенными. В итоге рыночная стоимость земельного участка при особенно плохом состоянии участка и застройки может составлять нулевую величину. Заставить собственника снести строение закон позволяет только в случае угрозы безопасности и порядку. Но даже в этом случае у собственника есть возможность отсрочить такое решение. В итоге оценщик обязан предусмотреть реальный срок принятия решения о сносе строительных и иных улучшений [13].

Правила применения доходного подхода к оценке единого объекта недвижимости в новом Постановлении получили более серьезные изменения. Принципиально они полностью соответствуют требованиям ранее действовавших редакций 1988 и 1998 гг. Но новое Постановление определяет три метода, которые при правильном применении должны давать совпадающие результаты. Кроме того, при оценке доходным подходом, особенно больших застроенных земельных участков, необходимо условно выделить из общего участка часть, которая не требуется для существующей застройки и может, исходя из местных условий, нормативных требований и своего фактического состояния, использоваться самостоятельно. Данная часть участка должна быть оценена в рамках оценки земельных участков.

Методы, определяемые новым Постановлением:

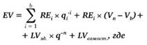
1. Двухстадийный метод (назван в Постановлении общим методом доходного подхода):

EV = (RE – p × LVзд.) × V+ LVвсего, (2)

где EV – стоимость в рамках доходного

подхода;

RE – чистый операционный доход от эксплуатации объекта оценки;

p – ставка капитализации по недвижимости;

q = (1+p)

V – фактор текущей стоимости аннуитета с учетом срока экономической жизни застройки;

LVвсего – стоимость всего земельного участка как свободного;

LVзд. – часть участка, относящаяся к текущей застройке.

2. Одноэтапный метод

Упрощенный метод – хорошо работает при сроке дальнейшей эксплуатации зданий не менее 40–50 лет:

EV = RE x V+LVсамост.+ LVзд. / qn, (3)

где LVсамост. – часть участка, возможного уже на дату оценки к самостоятельному использованию.

n – число периодов получения доходов от застройки.

3. Многопериодный метод можно использовать при предполагаемых существенных отклонениях от обычных для данного рынка доходах:

(4)

i – конкретный период (год) в диапазоне до n лет;

Vn– фактор стоимости аннуитета за период n, при n >b.;

Vb – фактор стоимости аннуитета за период b.

Первый и второй методы названы методами доходного подхода на основе обычных для данного рынка получаемых доходах. Однако и 3-й метод обязан основываться на достоверной информации о периодически получаемых доходах в расчетный период и стоимости реверсии в конце него. При этом существует вопрос, как в этом случае провести четкую границу между достаточной достоверностью на основе объективных фактов и собственно прогнозом как субъективной деятельностью? Теперь в основу расчетов по доходному подходу должны ложиться данные по «обычно получаемым рыночным доходам» вместо ранее действующего понятия «стабильные доходы». В общем виде при всех методах доходного подхода необходимо капитализировать доходы через ставку капитализации по данному типу недвижимости, как обычные для данного сегмента рынка чистые доходы, так и отклонения в чистом доходе при использовании многопериодного метода. Тем самым ожидаемое изменение доходности должно рассчитываться на основе действующей ставки капитализации, а не на методах прогнозирования, как при применении DCF. По мнению большинства немецких оценщиков, метод DCF при всей видимости математической корректности вводит в заблуждение [13].

Причины этого следующие:

1. В теории и на практике под DCF понимается метод доходного подхода, при котором исходной информацией являются не обычные на дату определения стоимости доходы, а прогнозируемые. Эти доходы не капитализируются необычными ставками капитализации (all over capitalization rate), а особой ставкой дисконтирования, ориентированной на рынок капитала. В итоге речь идет о признанном методе оценки бизнеса или об определении инвестиционной стоимости.

2. Так как в настоящее время нет приведенных DCF именно к оценке объектов недвижимости, то и немецкое экспертное сообщество не признает его адаптированным для этих целей. На практике использование данного метода не исключено, однако немецкие суды такие методы не подтверждают, поскольку прежде всего самим пользователям таких оценок сделанные вычисления представляются непонятными и необоснованными [13].

В случае если на дату оценки действующие ставки аренды (доходы) отклоняются от обычных доходов для данного состояния рынка, это должно приводиться в соответствие с рыночной ситуацией путем корректировок ставки капитализации, а также дальнейшей корректировкой через скидку/накидку на индивидуальные особенности объекта оценки путем анализа нормативных требований применительно к данной сфере. При этом многопериодный метод позволяет учесть данные отклонения непосредственно путем использования фактически действующих ставок, а в двух других методах данное отклонение должно определяться путем капитализации различий в обычных и фактических договорных отношениях.

Доходный подход предполагает обязательность учета при определении чистого операционного дохода рисков непоступления или снижения арендных платежей, в том числе из-за временного простоя помещений, а также риска роста непредвиденных расходов на решение всех связанных с арендными договорами правовых вопросов. Здесь необходимо указать, что длительный простой помещений должен уменьшать и сам размер извлекаемых валовых доходов. На практике это определяет необходимость при анализе получаемых доходов по-разному учитывать эти два основания снижения чистых доходов.

Учет обязательных платежей и взносов, прежде всего платы за подключение при использовании доходного подхода, заключается в том, что распределение доходов на долю земли и долю застроенной части осуществляется как для земли – без необходимости внесения платы за подключение, а собственно земельный участок оценивается как требующий внесения платы за подключение. Это существенно снижает итоговую рыночную стоимость объекта недвижимости, рассчитанную доходным подходом, так как при длительном сроке дальнейшей эксплуатации объекта эта разница приближается к размеру самой платы за подключение («общий» доходный метод). В случае одноэтапной («упрощенной») модели разница несущественна, если ожидается длительный срок эксплуатации.

Если земельный участок ожидает изменение застройки, то обычные расходы на очистку участка и снос сооружений обязательно берутся во внимание. В отличие от использования затратного подхода, в этом случае (метод I и II доходного подхода) расходы на очистку не учитывают ожидаемый срок наступления, даже если они потребуются через длительный срок. При небольшом сроке дальнейшей эксплуатации необходимо учесть пониженные затраты на техническое обслуживание зданий и сооружений.

Затратный подход по-прежнему складывается из стоимости строительных сооружений, прочих сооружений и оборудования, а также стоимости собственно земли. При этом обязательно учитывается устаревание из-за возраста, а также ситуация на рынке недвижимости и особенности самого объекта оценки. Исходными данными на практике служат нормативы обычных затрат на строительство (NHK). В настоящее время действуют в Германии NHK-2000. Попытка перейти одновременно с изменениями в Постановлении об оценке к новым нормативным затратам была признана Федеральным министерством по транспорту, строительству и развитию городов очень проблематичной не только из-за несовершенства их содержательной части, но и в силу общих настроений. Применение аналогичных затрат по фактически сложившимся затратам уже невозможно (исключение такой возможности связано с некритическим переносом оценщиком данных из литературы и периодической печати в отчеты), необходимо четко ссылаться на каталог NHK, определяющий основные строительные затраты. При этом сами каталоги не лишены недостатков. За последние десять лет это уже третий каталог (первый – 1995 г., второй – 2000 г., проект – 2005 г.). Резкий рост накладных расходов (было 16%, стало 22,5%) вызывал у профессионалов рост заложенной инфляции между справочниками NHK 2000 и 2005 гг. В итоге различные справочники даже дают разные стоимости при их применении в рамках затратного подхода к аналогичным объектам. В итоге в 2009 г. Немецкая Палата Архитекторов (BKI) признала необходимость использовать NHK-2000.

Одновременно нововведения не коснутся изменений в модели потерь стоимости из-за возраста по отдельным элементам зданий. Доказано, что при правильной эксплуатации здания независимо от сроков обновления его отдельных частей объект недвижимости можно эксплуатировать. Основополагающим фактором служит изменение требований к самим объектам, а не к их отдельным частям. Оценка земельной составляющей мало изменилась. Она должна быть основана на цене сделок с участками со сравнимыми характеристиками.

Изменения затронули следующее.

Как и во всех других методах, произошла некоторая смена определений – главное, что затратный подход, как и другие подходы, не будет ориентирован только на затраты, а в большей степени, чем раньше, будет требовать учета ситуации на рынке, точнее, «согласования с рынком». При этом в новом Постановлении согласование с рынком должно основываться на заключении местной экспертной комиссии, а не каком-то другом мнении.

Фактически вводится линейный принцип снижения стоимости из-за возраста строительного сооружения. Это позволит сделать затратный подход более сравнимым на практике работы отдельных оценщиков и экспертных комиссий. Строительные недоделки и недостатки должны быть учтены специальным расчетом. Нововведением является невозможность использования индивидуальных строительных норм, как это было ранее. Теперь используются только обычные нормы для данного типа строительства в расчете на единицу площади. Кроме того:

1. Отсутствует понятие «стоимость воспроизводства», только – «строительные затраты».

2. Вводится единый фактор «уторговывания» на рыночную ситуацию.

3. Отдельно не выделяется особенное производственное оборудование, которое теперь относится к составной части – принадлежности строительных сооружений [13].

При расчетах потерь стоимости из-за строительных недостатков одновременно делается скидка на уменьшение сроков службы здания, валового дохода и применяется увеличенная ставка капитализации (на 0,5%). В затратном подходе необходимые затраты по устранению физических недостатков зданий и сооружений берутся с учетом аналогичного срока жизни этих новых частей, как и всего здания (то есть необходимо и к ним применить скидку на устаревание).

В целом, можно указать на эффективную стратегию регулятора оценочной деятельности в Германии, позволяющего оперативно найти консенсус между правовыми требованиями и передовой национальной и мировой практикой оценки различных объектов недвижимости, а также успешно решать основную задачу по развитию прозрачности рынка недвижимости для всех инвесторов. Быстрый срок принятия новых Правил оценки (первый вариант данного Постановления был представлен 1.04.2009 г.) свидетельствует об оперативном реагировании на комплекс проблем, возникших в последние годы на рынке недвижимости. Такая оперативность должна быть хорошим примером казахстанскому оценочному сообществу, нуждающемуся в современных качественных стандартах оценки объектов недвижимости.


2. Правовой режим оценочной деятельности в Республике Казахстан

2.1 Общая характеристика правового статуса оценщика и принципов оценочной деятельности

В настоящее время необходимость оценки земель, зданий и сооружений, а, следовательно, и подготовки экспертов - оценщиков крайне актуальна. В современной экономике функцией оценщика является не просто определение стоимости имущества, но и подготовка профессионального заключения о варианте наилучшего и наиболее эффективного использования собственности, т.е. рекомендаций по совершенствованию управления анализируемыми активами бизнеса. В этом контексте оценщик является одновременно и экспертом по эффективному управлению имуществом. Сейчас начинается новый этап развития оценочной деятельности - разработка и упорядочивание законодательства по оценочной деятельности.

Оценщик - физическое или юридическое лицо, имеющее лицензию на осуществление оценочной деятельности и обязательно являющееся членом одной из палат оценщиков.

Основными принципами оценочной деятельности являются объективность и достоверность.

Субъектами оценочной деятельности являются оценщики, заказчики и третьи лица.

Оценщики - физические лица вправе заниматься оценочной деятельностью в соответствии с Законом Республики Казахстан от 30 ноября 2000 года № 109-II «Об оценочной деятельности в Республике Казахстан» на основании трудового договора с юридическим лицом, осуществляющим оценочную деятельность, либо самостоятельно в качестве индивидуального предпринимателя на основании лицензии в соответствии с законодательством Республики Казахстан о лицензировании [1].

Оценщики - юридические лица вправе заниматься оценочной деятельностью на основании лицензии в соответствии с законодательством Республики Казахстан о лицензировании.

К объектам оценки относятся:

1) отдельные материальные объекты (вещи), в том числе бесхозяйное, выморочное имущество;

2) совокупность вещей, составляющих имущество лица, в том числе имущество определенного вида (движимое или недвижимое);

3) право собственности и иные вещные права на имущество или отдельные вещи из состава имущества;

4) право требования обязательства (долги);

5) работы, услуги, информация;

6) объекты права интеллектуальной собственности;

7) иные объекты гражданских прав [1].

В оценочной деятельности выделяется четыре направления:

1. Оценка стоимости недвижимого имущества.

2. Оценка стоимости машин, оборудования и транспортных средств.

3. Оценка стоимости нематериальных активов и интеллектуальной собственности.

4. Оценка стоимости предприятия (бизнеса) [14, 234].

В соответствии с этим лицензирующий орган выдает лицензии на осуществление следующих работ (услуг) в области оценочной деятельности:

1. Оценка стоимости права собственности, иных вещных прав, обязательств (долгов) и работ (услуг) в отношении недвижимого имущества за исключением предприятий как имущественных комплексов, подлежащих государственной регистрации воздушных и морских судов, судов внутреннего плавания, космических объектов.

2. Оценка стоимости права собственности, иных вещных прав, обязательств (долгов) и работ (услуг) в отношении движимого имущества (за исключением денег и ценных бумаг), а также подлежащих государственной регистрации воздушных и морских судов, судов внутреннего плавания, космических.

3. Оценка стоимости права собственности, иных вещных прав, обязательств (долгов) и работ (услуг) в отношении результатов интеллектуальной деятельности, в том числе исключительных прав на них (интеллектуальной собственности), а также конфиденциальной информации, имеющей коммерческую ценность.

4. Оценка стоимости права собственности, иных прав, обязательств (долгов) и работ (услуг) в отношении ценных бумаг, паев, долей (вкладов) в уставных (складочных) капиталах, а также предприятий как имущественных комплексов.

Видами оценки являются обязательная и инициативная.

Обязательная оценка в соответствии с законодательными актами Республики Казахстан проводится:

1) для налогообложения объектов недвижимости физических лиц, не используемых в предпринимательской деятельности, а также для определения кадастровой (оценочной) стоимости земельных участков крестьянских (фермерских) хозяйств;

2) для приватизации, передачи в доверительное управление либо в аренду (аренду с последующим выкупом);

3) для ипотечного кредитования;

4) для выкупа и изъятия имущества у собственника для государственных нужд;

5) для определения стоимости имущества должника, когда он или взыскатель возражают против произведенной судебным исполнителем оценки;

6) для определения стоимости имущества, поступившего в государственную собственность;

7) в иных случаях.

Организация работы по оценке имущества, поступившего в республиканскую собственность, производится государственным органом, определяемым Правительством Республики Казахстан [1].

Организация работы по оценке имущества, поступившего в коммунальную собственность, проводится органом, уполномоченным распоряжаться коммунальной собственностью.

Инициативная оценка проводится на основании волеизъявления заказчика по проведению оценщиком оценки любого объекта оценки в соответствии с настоящим Законом и другими нормативными правовыми актами Республики Казахстан.

Право на проведение оценки объекта оценки является безусловным и не зависит от установленного законодательством порядка осуществления бухгалтерского учета и отчетности.

Данное право распространяется и на проведение повторной оценки объекта оценки. Результаты проведения оценки объекта оценки могут быть использованы для корректировки данных бухгалтерского учета и отчетности.

Принципы оценки.

Каким образом оценщик оценивает стоимость объекта оценки? Какие факторы должны изменить или повлиять на величину стоимости?

Профессиональные оценщики разработали логический и системный подход к определению стоимости собственности. Он реализуется через серию последовательных шагов, позволяющих принять во внимание все важные и сколько-нибудь значимые факты, которые могут повлиять на стоимость собственности.

Теоретической основой процесса оценки является единый набор оценочных принципов.

Принципы оценки могут быть объединены в четыре группы:

1. Принципы, основанные на представлениях собственника (пользователя).

2. Принципы, связанные с эксплуатацией собственности.

3. Принципы, обусловленные действием рыночной среды.

4. Принципы наилучшего и наиболее эффективного использования.

К принципам, основанным на представлениях пользователя относятся:

- полезность;

- замещение;

- ожидание (предвидение).

Принцип полезности объект обладает стоимостью только в том случае, если он полезен какому-либо потенциальному собственнику. Полезность – это способность собственности удовлетворять потребности пользователя в данном месте и в течение данного периода времени.

Принцип замещения гласит, что рациональный покупатель не заплатит за объект оценки больше минимальной цены, взимаемой за другую собственность, обладающей такой же полезностью.

Принцип ожидания. Стоимость объекта оценки определяется не столько факторами, существующими сегодня, сколько ожидаемыми событиями. Полезность объекта оценки связана со стоимостью прогнозируемых выгод.

Принцип ожидания заключается в определении текущей стоимости дохода или других выгод, которые могут быть получены в будущем от владения данным объектом оценки.

К принципам, связанным с эксплуатацией оценки, относятся:

- остаточная продуктивность;

- вклад;

- сбалансированность;

- возрастающие и уменьшающиеся доходы (предельная производительность);

- экономическая величина;

- экономическое разделение.

Остаточная продуктивность может быть результатом того, что земля дает возможность пользователю извлекать максимальные доходы или до предела уменьшать затраты. Собственность может быть оценена выше, если земельный участок позволяет обеспечить более высокий доход или его расположение позволяет минимизировать затраты.

Экономическая теория утверждает, что любой вид экономической деятельности обычно требует наличия некоторых факторов производства: труд, земля, капитал, предпринимательская деятельность. Остаточная продуктивность измеряется как чистый доход, отнесенный к земле, после того как были оплачены затраты на труд, капитал и предпринимательство.

Принцип вклада основывается на следующем: включение любого дополнительного фактора в объект оценки экономически целесообразно, если получаемый прирост стоимости больше затрат на приобретение или строительство этого фактора. Указанный прирост стоимости и является вкладом.

Принцип сбалансированности утверждает, что максимальный доход от объекта оценки можно получить при соблюдении оптимальных величин факторов производства. Иными словами факторы производства должны находиться в пропорциональном соотношении друг с другом, чтобы обеспечить максимальные доходы владельцу объекта оценки.

Принцип возрастающих и уменьшающихся доходов. Исходя из предыдущего принципа изменение того или иного фактора производства приведет к изменению стоимости объекта оценки. Принцип возрастающих и уменьшающихся доходов гласит, что по мере добавления ресурсов к основным факторам производства чистые доходы будут увеличиваться более быстрыми темпами по сравнению с темпами роста затрат вплоть до той точки, начиная с которой общие доходы хотя и растут, однако уже замедляющимися темпами. Это замедление происходит до тех пор, пока прирост стоимости не станет меньше, чем затраты на добавленные ресурсы.

Принцип экономической величины (экономического размера) – это оптимальный характерный размер объекта оценки, который наилучшим способом соответствует рыночным предпочтениям, преобладающим на данном рынке. Отклонение от экономического размера, как правило, приводит к снижению привлекательности и стоимости объекта.

Если земельный участок или предприятие слишком малы или слишком велики относительно требований рынка, то они могут потерять в стоимости.

Принцип экономического разделения – это такое сочетание имущественных прав, связанных с объектом оценки, при котором обеспечивается оптимальная структура текущих и ожидаемых выгод и как следствие максимальная стоимость. Имущественные права могут быть различными способами распределены во времени и пространстве.

К принципам, связанным с действием рыночной среды, относят:

- принцип спроса и предложения;

- принцип конкуренции;

- принцип соответствия;

- принцип зависимости;

- принцип изменения.

Предложение и спрос – это ведущий фактор, влияющий на ценообразование в рыночной экономике. Закон предложения и спроса это экономическая закономерность, связывающая объем спроса, объем предложения и цены товаров на рынке. Когда объем предложения и спроса сбалансированы, то рыночная цена как правило отражает затраты производства на оцениваемую собственность. Если рыночные цены больше затрат на производство, то объем предложения будет расти, пока не наступит равновесие. Если рыночные цены ниже затрат, то объем предложения будет падать. Цена находится в прямой зависимости с объемом предложения и в обратной с объемом спроса. Взаимодействие спроса и предложения формирует рыночные цены на собственность.

Конкуренция. Прогнозируя объем ожидаемых выгод, приносимых собственностью, аналитику нужно помнить, что конкуренция стимулирует постоянный переток ресурсов в те отрасли и сферы, где их использование приносит максимальную отдачу и способствует выравниванию доходов.

Принцип соответствия. Объект оценки, характеристики которого не соответствуют рыночным потребностям, скорее всего будет оценен ниже среднего уровня. К характеристикам можно отнести уровни удобств и услуг, технологии, оснащенность производства и т.д.

С принципом соответствия связаны принципы регрессии и прогрессии. Регрессия имеет место, когда оцениваемый объект оценки характеризуется улучшением. Рыночная цена такого объекта не будет отражать его реальную стоимость и может быть даже меньше затрат не его производство. Эффект регрессии может проявляться в случае, когда оцениваемый объект существенно отличается в лучшую сторону от окружающих его по назначению и масштабу. Эффект прогрессии это положительное воздействие несоответствия на стоимость. То есть когда стоимость среднего по качеству объекта оценки завышается благодаря благоприятному окружению.

Принцип изменения. Объекты оценки постепенно изнашиваются. Изменение политических, экономических и социальных сил влияет на конъюнктуру рынка, уровень цен и стоимость объектов. Стоимость объекта оценки, поэтому оценивается на определенную дату, которая указывается в отчете об оценке.

Принцип зависимости. Стоимость объекта оценки зависит от многих факторов внешней и внутренней среды, поэтому их необходимо тщательно изучать и использовать в оценке. Например, в оценке недвижимости существенную роль играет местоположение объекта, в оценке машин и оборудования – фактор износа.

Принцип наилучшего и наиболее эффективного использования – синтез всех трех групп принципов, рассмотренных ранее. Наилучшим и наиболее эффективным использованием (ННЭИ) называется вариант, который:

- отвечает всем правовым требованиям и ограничениям;

- физически осуществим;

- экономически эффективен;

- максимально продуктивен.

То есть обеспечит объекту оценки наивысшую текущую стоимость. ННЭИ чаще всего используется в оценке недвижимости для определения наилучшего варианта использования земельного участка или участка с постройками, используется также при определении наилучшего варианта реструктуризации в оценке бизнеса и в других случаях.

Основанием для проведения оценки является договор на проведение оценки, заключенный между оценщиком и заказчиком в соответствии с гражданским законодательством Республики Казахстан.

По договору на проведение оценки оценщик обязуется выполнить услуги для установления рыночной или иной стоимости объектов оценки, а заказчик обязуется оплатить эти услуги.

В случаях, предусмотренных законодательными актами, оценка объекта, в том числе повторная, должна быть произведена на основании решения суда или уполномоченного органа.

К договору на проведение оценки применяются нормы Гражданского кодекса Республики Казахстан о договоре возмездного оказания услуг.

Договор на проведение оценки должен содержать:

1) реквизиты заказчика и оценщика:

- для физического лица — фамилию, имя, отчество (при его наличии), место жительства;

- для юридического лица — наименование, место нахождения (почтовый адрес), банковские реквизиты;

2) наименование и (или) место нахождения объекта (объектов) оценки, вид определяемой стоимости;

3) вид оценки;

4) вид объекта оценки;

5) сроки проведения оценки;

5-1) указание на стандарты оценки, которые будут применяться при проведении оценки;

6) условия, порядок и размер оплаты за оказываемые услуги;

7) права, обязанности и ответственность сторон;

8) реквизиты документа, подтверждающего право собственности заказчика на объект оценки, либо иные основания, предоставляющие право заказчику на заключение договора об оценке;

9) реквизиты лицензии на право осуществления деятельности по оценке имущества (номер и дату выдачи лицензии с указанием органа, выдавшего ее).

По результатам проведенной оценки составляется отчет об оценке в двух экземплярах, один из которых хранится у заказчика, второй — у оценщика. Требования к форме и содержанию отчета об оценке устанавливаются в нормативных правовых актах в области оценочной деятельности.

Отчет, составленный оценщиком, являющимся индивидуальным предпринимателем, подписывается им и заверяется его личной печатью.

Отчет юридического лица, имеющего лицензию на осуществление оценочной деятельности, подписывается оценщиком — физическим лицом, утверждается руководителем юридического лица либо уполномоченным им лицом и заверяется печатью.

В случае, если оценка проводилась несколькими оценщиками по разным объектам оценки, входящим в состав оцениваемого объекта оценки, отчет подписывается каждым оценщиком с указанием объектов оценки, по которым он проводил оценку.

В отчете об оценке должны быть указаны:

1) наименование (фамилия, имя, отчество (при его наличии) оценщика;

2) номер и дата выдачи лицензии на право осуществления деятельности по оценке имущества;

3) вид определяемой стоимости;

4) дата составления отчета и дата оценки;

5) наименование и (или) место нахождения и описание объекта (объектов) оценки;

6) подходы к оценке и методы оценки, используемые при проведении оценки;

7) стандарты оценки, используемые при проведении оценки;

8) фактические данные, используемые при проведении оценки, с указанием источника их получения;

9) обоснование расчета;

10) результат оценки;

11) иные сведения, необходимые для полного и однозначного толкования результата проведенной оценки.

Оценка не может проводиться оценщиком, если:

- в отношении объекта оценки оценщик имеет либо приобретает вещные или обязательственные права вне договора;

- оценщик является акционером, учредителем, работником, собственником, участником, кредитором, дебитором, спонсором юридического лица - заказчика, либо оценщик - физическое лицо является близким родственником или свойственником с заказчиком - физическим лицом;

- оценщик - юридическое лицо, в котором руководитель либо уполномоченное им лицо состоит в близких родственных или свойственных связях с заказчиком - физическим лицом и (или) руководителем либо уполномоченным им лицом юридического лица [1].

Не допускается вмешательство заказчика либо иных заинтересованных лиц в деятельность оценщика, если это может негативно повлиять на достоверность результата проведения оценки, в том числе ограничение круга вопросов, подлежащих выяснению при проведении оценки.

Размер оплаты оценщику за проведение оценки не может выражаться в процентном отношении к определяемой стоимости объекта оценки и устанавливается по соглашению сторон до выполнения работ.

Страхование гражданско-правовой ответственности оценщика является одним из условий, обеспечивающих защиту интересов потребителей услуг оценщика.

Страхование гражданско-правовой ответственности оценщика, возникающей вследствие причинения вреда в результате проведения оценки, осуществляется в порядке, определенном законодательными актами Республики Казахстан.

Стандартами оценки в Республике Казахстан признаются стандарты оценки, разработанные в соответствии с законодательством Республики Казахстан и утвержденные уполномоченным органом [15, 16, 17, 18, 18, 19, 20, 21, 22].

Оценщики при осуществлении оценочной деятельности имеют право использовать международные стандарты в области оценочной деятельности, не противоречащие законодательству Республики Казахстан.

Стандарты оценки являются общеобязательными для всех субъектов оценочной деятельности и распространяют свое действие на всей территории Республики Казахстан.

Стандарты оценки не относятся к нормативным документам по стандартизации, принятие которых осуществляется в соответствии с законодательством Республики Казахстан о техническом регулировании.

Оценщик имеет право:

1) самостоятельно применять методы оценки и подходы к оценке в соответствии со стандартами оценки и (или) с международными стандартами с указанием источника;

2) требовать от заказчика при проведении оценки обеспечения доступа к объекту, а также в полном объеме к документации, необходимой для осуществления оценки;

3) получать у заказчика разъяснения и дополнительные сведения, необходимые для осуществления оценки;

4) привлекать по мере необходимости на договорной основе к участию в проведении оценки иных оценщиков либо других специалистов;

5) отказаться от проведения оценки в случаях, если заказчик нарушил условия договора, не обеспечил предоставление необходимой информации об объекте оценки;

6) запрашивать в письменной или устной форме у третьих лиц информацию, необходимую для проведения оценки, за исключением сведений, составляющих государственные секреты, коммерческую и иную охраняемую законом тайну.

В случае, если отказ в предоставлении указанной информации существенным образом влияет на достоверность результатов оценки, оценщик указывает это в отчете.

Оценщик обязан:

1) соблюдать при осуществлении оценочной деятельности требования настоящего Закона, стандартов оценки, а также иных нормативных правовых актов Республики Казахстан;

1-1) соблюдать правила деловой и профессиональной этики, утвержденные палатой оценщиков, членом которой он является;

1-2) состоять членом только одной палаты оценщиков;

2) сообщать заказчику о невозможности своего участия в проведении оценки вследствие возникновения обстоятельств, препятствующих проведению объективной оценки;

3) обеспечивать сохранность и конфиденциальность документов, получаемых от заказчика и третьих лиц в ходе проведения оценки;

4) предоставлять по требованию представителя уполномоченного органа и заказчика лицензию на осуществление деятельности по оценке имущества;

5) не разглашать конфиденциальную информацию, полученную от заказчика и третьих лиц в ходе проведения оценки, за исключением случаев, предусмотренных законодательными актами;

6) осуществлять непосредственное обследование объекта и представлять заказчику отчет об оценке;

7) вести книгу отчетов проведения оценки с указанием нумерации договоров на проведение оценки в хронологическом порядке;

8) хранить составленные отчеты об оценке в течение 5 лет;

9) в случаях, предусмотренных законодательными актами Республики Казахстан, предоставлять копии хранящихся отчетов об оценке или информацию государственным органам по их законному требованию [1].

Оценщик несет ответственность за:

1) нарушение требований нормативных правовых актов в области оценочной деятельности, а также стандартов оценки, правил деловой и профессиональной этики;

2) разглашение сведений, составляющих государственные секреты, коммерческую тайну;

3) недостоверную оценку;

4) сохранность и целостность документов и другой информации, предоставляемой ему для проведения оценки;

5) не предоставление копий отчетов об оценке или информации государственным органам в случаях, установленных законодательными актами Республики Казахстан [1].

2.2 Основные направления правового регулирования оценочной деятельности в Республике Казахстан

Государственная политика в области оценочной деятельности определяет основные требования к оценщикам и оценочной деятельности, устанавливает правовые основы регулирования и саморегулирования оценочной деятельности.

Целью Концепции развития оценочной деятельности на 2010-2020 годы является изложение основ государственной политики в области развития оценочной деятельности на современном этапе [23].

Основные задачи Концепции заключаются в следующем:

- обеспечение защиты прав собственности на имущество за счет объективной рыночной оценки его стоимости;

- формирование и развитие цивилизованного саморегулируемого рынка оценочных услуг;

- разработка, внедрение и поддержание единых правил добросовестной конкуренции на отечественном рынке оценки;

- совершенствование системы подготовки и переподготовки кадров профессиональных оценщиков;

- формирование и поддержание нормативно-правовой базы оценочной деятельности как одного из стержневых элементов казахстанской экономики;

- совершенствование государственного контроля за деятельностью оценщиков;

- создание системы общественного контроля субъектов оценочной деятельности;

- защита интересов оценочного сообщества от непредусмотренного законодательством вмешательства государственных органов и должностных лиц;

- обеспечить эволюционный переход от лицензирования к саморегулированию оценочной деятельности [23].

Для достижения намеченных целей необходимо решить следующие задачи:

- разработать и утвердить государственную программу развития оценочной деятельности в Республике Казахстан на среднесрочный период;

- создать системы и организационную структуру саморегулирования оценочной деятельности;

- совершенствовать нормативную правовую базу оценочной деятельности;

- создать постоянно действующий Межведомственный совет по оценочной деятельности;

- разработать механизм эффективного контроля качества оценочных работ;

- реорганизовать РГП Центры по регистрации недвижимости, исключив из их функций деятельность по оценке имущества, т.к. в большинстве случаев для оформления технического паспорта они требуют обязательной оценки недвижимости и выполняют эту работу по лицензии, выданной их учредителем;

- обеспечить переход от лицензирования к саморегулированию эволюционно - без потерь для субъектов оценочной деятельности – как потребителей услуг оценочной деятельности, так и самих оценщиков;

- не допустить возникновения недобросовестной конкуренции, как между оценщиками, так и между объединениями оценщиков;

- обеспечить меры по поддержанию качества оценочных услуг, в частности, за счет неукоснительности соблюдения требований Закона и Стандартов, а в дальнейшем, и повышения требований к оценщикам за счет разработки и внедрения единой системы сертификации;

- добиться протекционистских мер по защите отечественных производителей оценочных услуг, подобных осуществляемым в банковской и страховой сферах (задача-максимум). Добиться на отечественном рынке равных условий с западными оценщиками (задача-минимум);

- создать единую систему обучения и переподготовки оценщиков для чего ввести аккредитацию ВУЗов и учебных центров и утверждение (согласование) программ обучения и переподготовки оценщиков;

- исключить из законодательства понятие «оценщик - юридическое лицо» и установить, что оценщик – это только физическое лицо, которое несет личную ответственность за недостоверную оценку. Оценочная компания, заключившая договор с заказчиком в соответствии с ГК РК несет ответственность за ненадлежащее исполнение договора, но персональную ответственность должен нести оценщик;

- создать системы досудебного регулирования споров и массовой оценки недвижимости, путем создания экспертных советов и третейских судов;

- принять меры по расширению рынка оценочных услуг, что в свою очередь будет способствовать развитию рыночных отношений в различных сферах деятельности и повышению их эффективности. Включить следующие виды объектов оценки: инвестиционные проекты, кадастровая оценка земли, налоговая оценка имущества физических лиц, ломбарды, интеллектуальная собственность, материальный и моральный ущерб, которые должны выполнять оценщики.

- осуществить переход всех сфер деятельности на рыночную стоимость (налоги, аренда госсобственности, контракты на недропользование, оценка инвестиционных проектов, и т.д.);

- разработать нормативные правовые акты, регулирующие взаимоотношение между оценщиками и аудиторами, банками, страховыми компаниями, финансовыми институтами и т.д.

- создать систему информационного обеспечения оценочной деятельности;

- создать условия для организации научных исследований в области оценки имущества в рамках программы инновационного развития Казахстана (гранты, госзаказ) [23].

Оценщик в соответствии с терминологией Международных стандартов – это физическое лицо, обладающее необходимой квалификацией и являющееся членом профессиональной организации. Для того, чтобы привести положения закона «Об оценочной деятельности в РК» в соответствие с МСО 2007, необходимо исключить термин: оценщик - юридическое лицо. В настоящее время юридическое лицо имеет право получить лицензию, если в его штате числится и работает не менее 2-х лицензированных оценщиков - физических лиц. Кроме того, в приказ (приложение к лицензии) включаются и другие лица, имеющие право осуществлять оценку. Такая система не позволяет осуществить учет и подсчитать, сколько же физических лиц в Казахстане имеет право заниматься оценочной деятельностью. Кроме того, физические лица часто переходят из одного юридическое лицо в другое, и проконтролировать этот процесс сложно. Есть случаи, когда оценочную фирму организовывает и возглавляет лицо, не имеющее лицензии, но являющееся родственником (свойственником) руководителя банка или другого крупного заказчика. Так как физические лица и юридические лица не обязаны сообщать о перемене своего почтового адреса, в настоящее время связь с ними у уполномоченного органа полностью утрачена. После отмены лицензирования положение еще более усугубится.

Внесенные изменения в Закон «Об оценочной деятельности в РК» требуют, чтобы все профессиональные оценщики, а также юридические лица, в обязательном порядке стали членами одной из Палат оценщиков. То есть тем самым законодательно будет введено обязательное двойное членство оценщиков физических лиц и юридических лиц, которое будет ликвидировано с отменой лицензирования. Обязательное членство всех физических лиц позволит, наконец, наладить их учет, но чтобы принять в члены физическое лицо не имеющих лицензию, а работающих по списку, приложенному к лицензии юридическое лицо, они должны сами иметь лицензию. Необходимо за установленный 9-ти месячный период всех их аттестовать и лицам, подтвердившим свою квалифицикацию выдать лицензии [23].

Каждое лицо имеет право выбора, в какую палату ему вступать. Работники юридического лица могут вступить вместе со своей организацией в одну палату, а могут выбрать разные палаты. Этот конституционный принцип права выбора, создаст конкуренцию между палатами и позволит лучшим из них стать настоящими саморегулируемыми организациями. Оценщики выберут те саморегулируемые организации, которые имеют собственную материальную, методическую и информационную базу, необходимую для повышения квалификации и оценки. За период до отмены лицензирования в Казахстане на базе объединения региональных палат должно образоваться 3-4 саморегулируемые организации с численностью оценщиков физических лиц не менее 300 человек.

В течение 9 месяцев оценщики обязаны вступить в одну из региональных палат. При их приеме Палаты имеют право провести аттестацию своих членов, если включат этот пункт в Правила приема. При этом они имеют право присвоить им категории, как это сделано в странах ближнего и дальнего зарубежья. В квалификационном свидетельстве палаты должны быть указаны виды объектов оценки, которые может профессионально оценивать данное физическое лицо, и категория его квалификации:

- Оценщик – высшее образование, бакалавр по специальности «Оценка» или экономическим и техническим специальностям с дополнительной подготовкой по профилю оценочной деятельности, без предъявления требований к стажу работы. Данный уровень квалификации позволяет оценщику участвовать в осмотре объекта оценки и выполнять простейшие расчеты совместно со специалистами более высокой квалификации.

- Оценщик II категории – высшее образование, бакалавр по специальности «Оценка» или экономическим и техническим специальностям с дополнительной подготовкой в области оценочной деятельности, стаж работы по специальности не менее 3 лет. Данный уровень квалификации позволяет оценщику производить оценку отдельных объектов движимого и недвижимого имущества и подписывать отчет в качестве исполнителя.

- Оценщик I категории – высшее образование, бакалавр по специальности «Оценка» или экономическим и техническим специальностям с дополнительной подготовкой в области оценочной деятельности, стаж работы по специальности не менее 5 лет. Данный уровень квалификации позволяет оценщику производить оценку всех активов предприятий, включая объекты интеллектуальной собственности.

- Главный оценщик – высшее образование, бакалавр по специальности «Оценка» или экономическим и техническим специальностям с дополнительной подготовкой в области оценочной деятельности, стаж работы по специальности более 5-ти лет. Данный уровень квалификации позволяет оценщику производить оценку всех видов имущества и проводить экспертизу отчетов своей организации.

- Магистр оценки – высшее образование, магистр, магистр делового администрирования, доктор PhD, кандидат или доктор экономических наук и дополнительная подготовка в области оценочной деятельности, стаж работы по специальности более 5-ти лет. Данный высший уровень квалификации позволяет оценщику производить оценку всех видов имущества, проводить экспертизу любых отчетов и повышать квалификацию оценщиков в качестве преподавателя на семинарах.

Оценщик – физическое лицо обязан регулярно повышать свою квалификацию. Повышение квалификации производится по инициативе оценщика, либо в обязательном порядке. В обязательном порядке должны повысить свою квалификацию или подтвердит имеющий уровень квалификации:

- Оценщик – не реже одного раза в два года;

- Оценщик II категории – не реже одного раза в три года;

- Оценщик I категории, Главный оценщик - не реже одного раза в 5 лет;

- Магистр оценки не обязан проходить переподготовку (он сам учит оценщиков) [24].

После аттестации и наличии в палате достаточного количества высококвалифицированных оценщиков, проводится конференция, на которой избираются коллегиальные органы. В период массового приема в члены палат, нет необходимости в создании коллегиального органа, принимающего решение о членстве, т.к. отказать в приеме лицензированному оценщику палата не имеет права.

Палата на своей конференции избирает Президиум, Экспертный и дисциплинарный совет, а также ревизионную комиссию (ревизора).

Палата разрабатывает и доводит до всех своих членов Стандарты организации и Кодекс поведения, которые все члены обязаны выполнять.

Основные принципы перехода на саморегулирование оценочной деятельности:

- максимальная независимость саморегулируемых организаций от государственных структур;

- прозрачность процессов саморегулирования;

- независимая и стабильная финансовая обеспеченность процессов саморегулирования;

- соблюдение принципа повышения компетентности при аккредитации и сертификации организаций, аттестации и сертификации персонала (специалистов-оценщиков);

- гармонизация стандартов и правил осуществления оценочной деятельности;

- объединение в составе палаты не менее 200 оценщиков;

- наличие опубликованных правил и стандартов оценочной деятельности, обязательных для выполнения всеми участниками (членами) саморегулируемой организации;

- наличие у саморегулируемой организации оценщиков механизмов обеспечения ответственности ее участников (членов) перед потребителями;

- наличие функционально специализированных органов, осуществляющих контроль выполнения правил и стандартов оценочной деятельности участниками (членами) саморегулируемой организации и рассмотрение дел о наложении на ее участников (членов) мер ответственности.

Система контроля качества оценки.

В целях совершенствования действующей системы регулирования и организации проведения экспертизы отчетов об оценке предлагается:

- четко сформулировать перечень единых (обязательных для всех субъектов рынка) требований к оформлению и содержанию отчета об оценке с учетом специфики оцениваемого объекта (при этом, каждый конкретный потребитель оценочных услуг вправе их только расширить).

- сформировать единый порядок проведения экспертизы, перечень, состав и глубину этапов и элементов проверки, максимально формализовать проверяемые параметры, по которым осуществляется оценка отчета.

- унифицировать форму экспертного заключения и возможные выводы по результатам экспертизы.

- сформировать унифицированные квалификационные требования к экспертам.

Все указанные элементы необходимо сформулировать на уровне обязательных нормативных требований.

Важнейшими условиями создания институциональной структуры экспертной деятельности являются:

- четкое разделение функций заказчика и эксперта (т. е. проверки отчета потребителями услуг, в том числе и госструктурами, на предмет соответствия отчета предъявляемым заказчиком требованиям экспертизой не является).

- исключение возможности осуществления экспертизы отчетов об оценке субъектами предпринимательской деятельности на рынке оценки.

- исключение возможности монополизации рынка экспертизы.

- формирование ответственных экспертных органов исключительно на базе саморегулируемых организаций или уполномоченного органа (т. е. экспертное заключение должно носить характер официального документа, заверенного подписью уполномоченного лица, и отражать официальное мнение организации, а не специалиста-эксперта).

- обеспечение коллегиальности и объективности экспертного заключения (т. е. наличие формализованной и документальной процедуры оценки отдельных элементов отчета об оценке, формирования, оформления и утверждения итогового экспертного заключения для каждого экспертного органа).

- обеспечение ответственности экспертного органа за сформированное заключение, создание механизма и процедуры апелляции.

- формирование механизма подготовки и аттестации экспертов.

- формирование в рамках саморегулируемых организаций третейских судов, в том числе рассматривающих претензии по экспертным заключениям.

- формирование третейского суда в региональных палатах, а при несогласии с ним в Республиканской палате, решения которой носят характер последней инстанции и обязательны для всех субъектов рынка.

2.3 Анализ нормативных правовых актов, регулирующих оценочную деятельность

Оценочная деятельность в Казахстане сформировалась в начале 90-х годов, хотя в большинстве развитых стран такая специальность существует более полувека. Официальное признание специальность получила с принятием в 2000 году Закона «Об оценочной деятельности в РК», который регулирует отношения, возникающие при осуществлении оценочной деятельности с целью установления рыночной или иной стоимости объектов оценки, определяет права и обязанности субъектов оценочной деятельности, где основными принципами являются объективность и достоверность [1].

Дальнейшее развитие законодательная база оценочной деятельности получила в 2002 году с принятием следующих правил:

- Правила по применению субъектами оценочной деятельности требований к методам оценки предприятия‚ как имущественного комплекса [26];

- Правила по применению субъектами оценочной деятельности требований к содержанию и форме отчета об оценке [27];

- Правила по применению субъектами оценочной деятельности требований к методам оценки недвижимого имущества (за исключением предприятий как имущественных комплексов) [28];

- Правила по применению субъектами оценочной деятельности требований к методам оценки движимого имущества (за исключением объектов индустриальной собственности) [29];

- Правила по применению субъектами оценочной деятельности требований к качеству выполнения работ по оценке‚ используемым принципам оценки [30];

- Правила по применению субъектами оценочной деятельности требований к методам оценки объектов интеллектуальной собственности [31].

Правила по применению субъектами оценочной деятельности требований к качеству выполнения оценочных работ‚ используемым принципам оценки‚ раскрывают основные принципы оценки и устанавливают обязательные требования к качеству выполнения оценочных работ с учетом региональных факторов и специфических условий ценообразования в соответствии с положениями нормативных правовых актов Республики Казахстан.

Правила по применению субъектами оценочной деятельности требований к методам оценки объектов интеллектуальной собственности определяют требования к методам оценки объектов интеллектуальной собственности в случаях, когда необходимость такой оценки определена договором между заказчиком и оценщиком в соответствии с законодательством Республики Казахстан.

Правила по применению субъектами оценочной деятельности требований к содержанию и форме отчета об оценке раскрывают основные понятия и устанавливают основные требования к содержанию и форме отчета об оценке. Отчет об оценке – передаваемое заказчику письменное сообщение оценщика о результатах работы по оценке‚ по форме‚ установленной Правилами по применению субъектами оценочной деятельности требований к содержанию и форме отчета об оценке‚ и соответствующего требованиям законодательства. Правила по применению субъектами оценочной деятельности требований к содержанию и форме отчета об оценке предназначены для применения оценщиками‚ специалистами‚ занимавшимися разработкой методологии определения рыночной или иной стоимости объекта‚ осуществляющими контрольные функции и регулирование оценочной деятельности на территории Республики Казахстан‚ а также лицами‚ принимающими решения‚ направленные на установление‚ изменение или прекращение имущественных прав и обязанностей‚ другими заинтересованными в оценке сторонами.

Правила по применению субъектами оценочной деятельности требований к методам оценки недвижимого имущества раскрывают основные понятия и устанавливают обязательные требования к методам оценки недвижимого имущества с учетом региональных факторов‚ специфических условий ценообразования и отражения их в учете и отчетности‚ в соответствии с положениями нормативных правовых актов Республики Казахстан.

Правила по применению субъектами оценочной деятельности требований к методам оценки движимого имущества раскрывают основные понятия и устанавливают обязательные требования к оценке движимого имущества с учетом региональных факторов‚ специфических условий ценообразования и отражения их в учете и отчетности‚ в соответствии с положениями нормативных правовых актов Республики Казахстан.

Правила по применению субъектами оценочной деятельности требований к методам оценки предприятия‚ как имущественного комплекса устанавливают основные требования к методам оценки и порядок определения рыночной или иной стоимости предприятия‚ как имущественного комплекса‚ с учетом региональных факторов‚ специфических условий ценообразования‚ отражения активов и обязательств в учете и отчетности‚ в соответствии с положениями нормативных правовых актов Республики Казахстан.

В 2003 году были разработаны и утверждены следующие нормативные документы.

Приказом Министра финансов РК от 31 марта 2003 г. №130 были утверждены «Рекомендации по применению методов оценки стоимости объектов республиканской государственной собственности». Рекомендации по применению методов оценки стоимости объектов республиканской государственной собственности устанавливают основные положения к применению методов оценки и особенности определения рыночной или иной стоимости объектов республиканской государственной собственности с учетом региональных факторов‚ специфических условий ценообразования‚ отражения активов и обязательств в учете и отчетности в соответствии с нормативными правовыми актами Республики Казахстан. Рекомендации предназначены для применения оценщиками‚ привлекаемыми в установленном законодательством порядке‚ при оценке объектов республиканской государственной собственности на территории Республики Казахстан [32].

В целях реализации Закона Республики Казахстан от 1 июля 2003 года «Об обязательном страховании гражданско-правовой ответственности владельцев транспортных средств», Правление Агентства Республики Казахстан по регулированию и надзору финансового рынка и финансовых организаций утвердило Правила аккредитации физического или юридического лица, имеющего лицензию на осуществление оценочной деятельности, в которых был определен порядок проведения аккредитации [33].

Постановление правительства РК от 02.09.2003г. №890 «Об установлении базовых ставок платы за земельные участки при предоставлении в частную собственность, при сдаче государством или государственными землепользователями в аренды, а также размера платы за продажу права аренды земельных участков» установило:

- базовые ставки платы за земельные участки при их предоставлении в частную собственность;

- базовую ставку платы за земельные участки при сдаче государством или государственными землепользователями в аренду в размере земельного налога, исчисленного по земельному участку в соответствии с налоговым законодательством Республики Казахстан, при этом размер ежегодной аренды платы за земельный участок устанавливается в пределах 100-120% от базовой ставки платы за земельный участок при сдаче в аренду;

- размер платы за продажу права аренды земельных участков в процентах от кадастровой (оценочной) стоимости земельного участка по срокам [34].

Приказом Председателя Агентства Республики Казахстан по управлению земельными ресурсами от 28 декабря 2004 года № 105-П утверждена «Инструкция по определению кадастровой (оценочной) стоимости земельных участков». Инструкция по определению кадастровой (оценочной) стоимости земельных участков разработана в целях обеспечения единого подхода по определению кадастровой (оценочной) стоимости земельных участков и сопоставимости ее результатов на территории Республики Казахстан [35].

Инструкция по определению кадастровой (оценочной) стоимости земельных участков устанавливает порядок по определению кадастровой (оценочной) стоимости земельных участков в соответствии с Земельным кодексом Республики Казахстан от 20 июня 2003 года № 442-II ЗРК [36] и постановлением Правительства Республики Казахстан от 2 сентября 2003 года № 890 «Об установлении базовых ставок платы за земельные участки при их предоставлении в частную собственность, при сдаче государством или государственными землепользователями в аренду, а также размера платы за продажу права аренды земельных участков» [34].

Кадастровая (оценочная) стоимость конкретного земельного участка определяется территориальным органом по управлению земельными ресурсами в соответствии с базовыми ставками платы за земельные участки, предоставляемые на возмездной основе в частную собственность государством, с применением к ним поправочных (повышающих или понижающих) коэффициентов и оформляется территориальным органом по управлению земельными ресурсами актом определения кадастровой (оценочной) стоимости земельного участка.

Базовые ставки платы за земельные участки, предоставляемые в частную собственность в населенных пунктах (поселки и сельские населенные пункты), расположенных в пригородной зоне городов Астаны, республиканского значения, областных центров и курортной зоне, увеличиваются в два раза.

Конкретные размеры поправочных (повышающих или понижающих) коэффициентов применяемых к базовым ставкам платы устанавливаются в составе землеустроительного проекта (дела). При этом они определяются:

- в пределах границ населенных пунктов, на основании данных утвержденных местными представительными органами в соответствии с пунктом 1 статьи 11 Земельного кодекса Республики Казахстан;

- за пределами границ населенных пунктов, на основании земельно-кадастровых карт, материалов почвенного, геоботанического, почвенно-мелиоративного и других изысканий с учетом норм пунктов 3-5 статьи 11 Земельного кодекса Республики Казахстан [34].

Приказом Председателя Агентства Республики Казахстан по регулированию естественных монополий от 21 июля 2005 года № 226-ОД утверждены «Правила проведения переоценки основных средств субъектами естественных монополий» [37]. Правила проведения переоценки основных средств субъектов естественных монополий разработаны в соответствии с законами Республики Казахстан «О естественных монополиях», «О бухгалтерском учете и финансовой отчетности», «Об оценочной деятельности». Основной целью разработки Правил проведения переоценки основных средств субъектами естественных монополий является определение принципов проведения, порядка организации и осуществления субъектами естественных монополий переоценки основных средств.

Переоценка основных средств проводится Субъектом по согласованию с уполномоченным органом. Основаниями необходимости проведения переоценки основных средств являются:

1) приведение стоимости основных средств к справедливой стоимости;

2) несоответствие нормативного срока службы основных средств по технической документации завода-изготовителя фактическому сроку использования;

3) моральный износ в результате научно-технического прогресса, изменение условий хозяйственной деятельности, воздействие экономических факторов;

4) воздействие других неблагоприятных, непредвиденных факторов, приводящих к ухудшению технических характеристик основных средств [37].

Нормативное постановление Верховного Суда Республики Казахстан от 25 декабря 2006 года № 8 «О некоторых вопросах применения судами законодательства об изъятии земельных участков для государственных надобностей» [38]. В связи с необходимостью единообразного применения судами законодательства при рассмотрении гражданских дел об изъятии, в том числе путем выкупа, у частного собственника или землепользователя земельных участков для государственных надобностей пленарное заседание Верховного Суда Республики Казахстан постановляет: при разрешении дел об изъятии (выкупе) земельных участков для государственных надобностей судам необходимо иметь в виду, что законодательство по указанным правоотношениям основывается на Конституции Республики Казахстан и состоит из Гражданского кодекса Республики Казахстан, Земельного кодекса Республики Казахстан, Закона Республики Казахстан «О жилищных отношениях», а также законов Республики Казахстан «О местном государственном управлении в Республике Казахстан», «Об индивидуальном жилищном строительстве», «Об архитектурной, градостроительной и строительной деятельности в Республике Казахстан», «Об оценочной деятельности в Республике Казахстан», «О статусе столицы Республики Казахстан», «Об особом статусе города Алматы» и других нормативных правовых актов.

При исследовании отчетов, письменных консультаций специалистов и других документов, связанных с оценочной деятельностью, судам следует проверить их на соответствие положениям нормативных правовых актов, предусматривающих порядок и методику оценки по рыночной стоимости земельного участка (права землепользования), домостроения, других объектов недвижимости, а также другого имущества, подлежащего оценке. При этом следует иметь в виду, что размер денежной компенсации за изымаемый земельный участок не может определяться исходя из его нормативной либо кадастровой цены, поскольку они не отражают рыночную стоимость земельного участка. Документы, связанные с оценочной деятельностью, не имеют заранее установленной силы и подлежат оценке судом наряду с другими доказательствами по делу. Если в предоставленных сторонами оценочных документах имеются разногласия, в результате которых не представляется возможным выяснить размер компенсации за изымаемое имущество, то судом может быть привлечен специалист в области оценочной деятельности для дачи письменных консультаций.

Судам также необходимо учитывать, что оценщик должен иметь лицензию на осуществление оценочной деятельности и вправе самостоятельно применять методы оценки в соответствии с требованием законодательства.

Оценка не может проводиться оценщиком, если:

- в отношении объекта оценки оценщик имеет либо приобретает вещные или обязательственные права вне договора;

- оценщик является акционером, учредителем, работником, собственником, участником, кредитором, дебитором, спонсором юридического лица - заказчика;

- оценщик - физическое лицо, является близким родственником или свойственником с заказчиком - физическим лицом.

В судебных актах должны быть указаны доводы, по которым суды принимают оценочный документ в качестве доказательства или отвергают его.

В 2007 году законодательство в области оценочной деятельности получило дальнейшее развитие.

Были утверждены правила лицензирования деятельности по оценке имущества (за исключением объектов интеллектуальной собственности, нематериальных активов) и оценке интеллектуальной собственности, стоимости нематериальных активов, которые устанавливали порядок выдачи лицензий на право осуществления деятельности по оценке имущества (за исключением объектов интеллектуальной собственности, стоимости нематериальных активов) и оценке интеллектуальной собственности, стоимости нематериальных активов.

Приказом Министра финансов Республики Казахстан от 21 июня 2007 года № 217 утвержден «Национальный стандарт финансовой отчетности № 2» [39]. Приказом Министра финансов Республики Казахстан от 21 июня 2007 года № 218 утвержден «Национальный стандарт финансовой отчетности № 1» [40]. оценочный стоимость имущество экспертный

Национальный стандарт финансовой отчетности № 2 разработан в соответствии с Законом Республики Казахстан «О бухгалтерском учете и финансовой отчетности», с целью определения порядка ведения бухгалтерского учета и составления финансовой отчетности субъектами малого предпринимательства и среднего предпринимательства, определяемыми в соответствии с Законом Республики Казахстан «О частном предпринимательстве»; некоммерческими организациями, филиалами и представительствами иностранных юридических лиц, зарегистрированными на территории Республики Казахстан в соответствии с законодательством Республики Казахстан; государственными предприятиями, основанными на праве оперативного управления (казенные предприятия).

Национальный стандарт финансовой отчетности № 1 разработан в соответствии с Законом Республики Казахстан «О бухгалтерском учете и финансовой отчетности», с целью определения порядка ведения бухгалтерского учета и составления финансовой отчетности субъектами малого предпринимательстваопределяемых в соответствии с Законом Республики Казахстан «О частном предпринимательстве», применяющие согласно налоговому законодательству Республики Казахстан специальные налоговые режимы для крестьянских или фермерских хозяйств, юридических лиц – производителей сельскохозяйственной продукции, а также на основе упрощенной декларации.

Справедливая стоимость - сумма, на которую может быть обменен актив, по которой может быть погашено обязательство или на которую может быть обменен предоставленный долевой инструмент при совершении операции между хорошо осведомленными, желающими совершить такую операцию, независимыми сторонами.

Постановлением Правления Агентства Республики Казахстан по регулированию и надзору финансового рынка и финансовых организаций от 25 июня 2007 года № 176 утверждены Правила аккредитации физического или юридического лица, имеющего лицензию на осуществление оценочной деятельности

Приказом и.о. Министра финансов Республики Казахстан от 6 декабря 2007 года № 445 утверждены Правила определения объектов налогообложения и объектов, связанных с налогообложением, на основе косвенных методов (активов, обязательств, оборота, затрат, расходов). Правила разработаны в соответствии с пунктом 1 статьи 76 Кодекса Республики Казахстан «О налогах и других обязательных платежах в бюджет» (Налоговый кодекс). В случае нарушения порядка ведения учета, при утрате или уничтожении учетной документации органы налоговой службы определяют объекты налогообложения и объекты, связанные с налогообложением, на основе косвенных методов (активов, обязательств, оборота, затрат, расходов) в порядке, определенном Правилами [41].

Для целей Правил определения объектов налогообложения и объектов, связанных с налогообложением, на основе косвенных методов (активов, обязательств, оборота, затрат, расходов) под нарушением порядка ведения учета, утратой или уничтожением учетной документации понимается отсутствие документов, являющихся основанием для определения объектов налогообложения и объектов, связанных с налогообложением, а также для исчисления налоговых обязательств. Непредставление налогоплательщиком документов, являющихся основанием для определения объектов налогообложения и объектов, связанных с налогообложением, для исчисления налоговых обязательств, а также документов, запрашиваемых на основании требований органов налоговой службы в соответствии с пунктом 4 статьи 535 Налогового кодекса, для целей Правил определения объектов налогообложения и объектов, связанных с налогообложением, на основе косвенных методов (активов, обязательств, оборота, затрат, расходов) признается отсутствием (утратой) документов.

Под косвенными методами определения объектов налогообложения и объектов, связанных с налогообложением, понимается определение сумм налогов и других обязательных платежей в бюджет на основе оценки активов, обязательств, оборота, расходов, а также оценки других объектов налогообложения и объектов, связанных с налогообложением, принимаемых для расчета налогового обязательства относительно конкретного налога и другого обязательного платежа в бюджет в соответствии с Налоговым кодексом. Оценка объектов налогообложения и объектов, связанных с налогообложением, осуществляется на основании информации, полученной из источников, иных, нежели налоговая отчетность или первичные учетные документы.

Постановлением Правительства Республики Казахстан от 2 апреля 2008 года № 312 утверждены «Правила использования приоритетного права покупки стратегического объекта». Правила использования приоритетного права покупки стратегического объекта разработаны в соответствии со статьей 193-1 Гражданского кодекса Республики Казахстан (Общая часть) от 27 декабря 1994 года и определяют порядок использования приоритетного права покупки стратегических объектов. В случае нахождения стратегического объекта в частной собственности и намерения собственника продать данный объект Правительство Республики Казахстан через уполномоченный им орган обладает приоритетным правом покупки стратегического объекта по рыночной стоимости. Рыночная стоимость стратегического объекта определяется в соответствии с законодательством об оценочной деятельности [42].

Закон Республики Казахстан от 09.11.2009 N 197-4 «О внесении изменений и дополнений в некоторые законодательные акты Республики Казахстан по вопросам оценочной деятельности» был дополнен следующими статьями: статья 157-1. Нарушение законодательства Республики Казахстан об оценочной деятельности; статья 10-2. Стандарты оценки, а также дополнен главой 3-1. Палаты оценщиков [43].

Статья о нарушении законодательства Республики Казахстан об оценочной деятельности, которая гласит: «Составление оценщиком недостоверного отчета об оценке имущества, а равно осуществление оценки имущества в случаях, запрещенных законодательством Республики Казахстан об оценочной деятельности, - влекут штраф на индивидуальных предпринимателей в размере пятидесяти, на юридических лиц, являющихся субъектами малого или среднего предпринимательства или некоммерческой организацией, - в размере семидесяти, на юридических лиц, являющихся субъектами крупного предпринимательства, - в размере ста двадцати месячных расчетных показателей с приостановлением действия лицензии на право осуществления оценочной деятельности [43].

Действия, предусмотренные частью первой 157 статьи Закона «Об оценочной деятельности в Республике Казахстан», совершенные повторно в течение года после наложения административного взыскания, - влекут штраф на индивидуальных предпринимателей в размере семидесяти, на юридических лиц, являющихся субъектами малого или среднего предпринимательства или некоммерческой организацией, - в размере девяноста, на юридических лиц, являющихся субъектами крупного предпринимательства, - в размере ста восьмидесяти месячных расчетных показателей с лишением лицензии на право осуществления оценочной деятельности».

Стандартами оценки в Республике Казахстан признаются стандарты оценки, разработанные в соответствии с законодательством Республики Казахстан и утвержденные уполномоченным органом.

Оценщики при осуществлении оценочной деятельности имеют право использовать международные стандарты в области оценочной деятельности, не противоречащие законодательству Республики Казахстан.

Стандарты оценки являются общеобязательными для всех субъектов оценочной деятельности и распространяют свое действие на всей территории Республики Казахстан.

Стандарты оценки не относятся к нормативным документам по стандартизации, принятие которых осуществляется в соответствии с законодательством Республики Казахстан о техническом регулировании.

Палата оценщиков

Палата оценщиков является некоммерческой профессиональной самофинансируемой организацией, объединяющей в своем составе оценщиков.

Деятельность палаты оценщиков регулируется законодательством Республики Казахстан, учредительным договором и уставом.

На территории соответствующей области, города республиканского значения, столицы может быть создана и действовать только одна палата оценщиков.

Оценщику не может быть отказано в приеме в члены палаты оценщиков при признании им учредительного договора и устава палаты и выполнении условий вступления в членство палаты оценщиков. Отказ в приеме в членство палаты оценщиков может быть обжалован в судебном порядке.

Палаты оценщиков вправе объединяться в Республиканскую палату оценщиков в форме ассоциации (союза) и вступать в международные объединения оценщиков.

Функции палаты оценщиков

Функциями палаты оценщиков являются:

1) разработка и утверждение правил деловой и профессиональной этики оценщика;

2) обучение и переподготовка оценщиков;

3) разработка и утверждение правил и условий приема в члены палаты оценщиков с указанием оснований приема и исключения из членов палаты;

4) представление интересов своих членов в их отношениях с государственными органами, органами местного самоуправления, а также с международными профессиональными организациями оценщиков;

5) обеспечение соблюдения своими членами требований законодательства об оценочной деятельности, стандартов оценки, правил деловой и профессиональной этики;

6) ведение реестра членов палаты оценщиков и предоставление информации, содержащейся в этом реестре, заинтересованным лицам в порядке, установленном уполномоченным органом;

7) организация информационного и методического обеспечения своих членов;

8) рассмотрение обращений, ходатайств, жалоб оценщиков палаты, потребителей услуг в области оценочной деятельности на оценщика палаты;

9) представление в уполномоченный орган ходатайства о возбуждении дела об административном правонарушении по приостановлению или лишению лицензии члена палаты оценщиков в соответствии с законодательством Республики Казахстан об административных правонарушениях;

10) делегирование представителей для включения в состав квалификационной комиссии.

Республиканская палата оценщиков

Республиканская палата оценщиков является некоммерческой профессиональной самофинансируемой организацией, объединяющей в своем составе более половины от общего числа палат оценщиков, зарегистрированных на территории Республики Казахстан.

Наименование юридического лица, незарегистрированного в качестве Республиканской палаты оценщиков в соответствии с законодательством Республики Казахстан, не может включать в себя слова «Республиканская палата оценщиков».

Деятельность Республиканской палаты оценщиков регулируется настоящим Законом, учредительным договором и уставом.

На территории Республики Казахстан образуется одна Республиканская палата оценщиков.

Функциями Республиканской палаты оценщиков являются:

1) разработка предложений по совершенствованию государственной политики в области оценочной деятельности;

2) представление интересов палат оценщиков в государственных органах, органах местного самоуправления, а также в международных профессиональных организациях оценщиков;

3) защита прав и законных интересов палат оценщиков;

4) участие в разработке стандартов оценки;

5) участие в разработке программ профессиональной переподготовки оценщиков;

6) разработка рекомендаций о порядке прохождения стажировки;

7) рассмотрение обращений, ходатайств, жалоб палат оценщиков, потребителей услуг в области оценочной деятельности на палаты оценщиков;

8) ведение реестра членов Республиканской палаты оценщиков и предоставление информации, содержащейся в этом реестре, заинтересованным лицам в порядке, установленном уполномоченным органом.

Лицензирование оценочной деятельности в Республике Казахстан

Лицензирование оценочной деятельности осуществляется в соответствии с законодательством Республики Казахстан о лицензировании.

Физические лица, претендующие на право занятия оценочной деятельностью, проходят квалификационный экзамен в целях выявления их квалификационного уровня.

Для приема квалификационного экзамена образуется квалификационная комиссия, в состав которой должно входить нечетное число членов, в составе не менее пяти человек. В обязательном порядке в состав квалификационной комиссии включаются представители палат оценщиков, численность которых должна составлять не менее одной второй от общей численности состава комиссии.

К экзамену допускаются лица, имеющие высшее образование по специальности «оценка» и (или) высшее техническое или экономическое образование.

Лица, прошедшие экзамен, в течение трех рабочих дней со дня его сдачи получают решение уполномоченного органа о прохождении квалификационного экзамена.

Правила проведения квалификационного экзамена лиц, претендующих на право занятия оценочной деятельностью, утверждаются Правительством Республики Казахстан.

В 2010 году исполнилось 15 лет развития профессиональной оценке в Казахстане и 10 лет со дня принятия закона «Об оценочной деятельности в Республике Казахстан».

Как отмечено, в Концепции правовой политики Республики Казахстан на 2010-2020 годы, оценочная деятельность является важным инструментом рыночной экономики, которая требует постоянного внимания и совершенствования [44].

Именно в целях совершенствования в Закон «Об оценочной деятельности в РК» от 2000 года внесены изменения и дополнения, посвященные правовому положению и полномочиям палат оценщиков, занимающейся разработкой и утверждением правил деловой и профессиональной этики оценщика, обучением и переподготовкой, обеспечением соблюдения оценщиками требований законодательства об оценочной деятельности, стандартов оценки, правил деловой и профессиональной этики.

Кроме того, предусмотрено обязательное членство оценщика в одной из созданных палат оценщиков. Данные новшества позволит закрепить основы оценочной деятельности путем объединения оценщиков в палаты оценщиков, осуществляющие организацию оценочной деятельности.

Приказом Министра юстиции Республики Казахстан от 28 января 2010 года № 26 утвержден Стандарт оценки «Основные термины и определения» [15]. Настоящий стандарт устанавливает основные термины и их определения в области оценки имущества, а также их условные обозначения. В соответствии с пунктом 2 статьи 10–2 Закона Республики Казахстан от 30 ноября 2000 № 109 «Об оценочной деятельности в Республике Казахстан» настоящие стандарты оценки являются общеобязательными для всех субъектов оценочной деятельности и распространяют свое действие на всей территории Республики Казахстан. Термины и определения, а также их условные обозначения, установленные стандартом, обязательны для применения во всех видах документации и литературы, входящих в сферу работ по оценке имущества или использующих результаты этих работ. Целью стандарта является установление единой терминологии и условных обозначений терминов, показателей и нормативов для обеспечения единообразия составления отчета об оценке. Дополнительные термины устанавливаются в отдельных стандартах, раскрывающих различные аспекты оценочной деятельности.

Постановлением Правительства Республики Казахстан от 15 апреля 2010 г. № 317 утверждены Правила проведения квалификационного экзамена лиц, претендующих на право занятия оценочной деятельностью [45]. Правила проведения квалификационного экзамена лиц, претендующих на право занятия оценочной деятельностью разработаны в соответствии с Законом Республики Казахстан от 30 ноября 2000 года «Об оценочной деятельности в Республике Казахстан» и определяют порядок и условия проведения квалификационного экзамена лиц, претендующих на право занятия оценочной деятельностью.

Постановлением Правительства Республики Казахстан от 15 апреля 2010 г. № 318 «О внесении дополнений и изменений в постановление Правительства Республики Казахстан от 25 мая 2007 года № 419» внесены дополнения и изменения в Правила лицензирования деятельности по оценке имущества (за исключением объектов интеллектуальной собственности, стоимости нематериальных активов) и оценке интеллектуальной собственности, стоимости нематериальных активов [46].

Необходимость лицензирования оценочной деятельности связано, прежде всего, со сложностью оценки:

1) недвижимого имущества;

2) движимого имущества;

3) интеллектуальной собственности, стоимости нематериальных активов;

4) бизнеса.

Для получения лицензии требуется наличие соответствующего высшего образования и двухлетнего опыта работы по специализации с предоставлением подтверждающих документов.

В настоящее время в связи с новыми экономическо-правовыми отношениями возникает необходимость в усиленном контроле оценочной деятельности. Это связано с реформой ипотечного кредитования, банковской деятельностью, развитием системы интеллектуальной собственности, вопросами недропользования и т.д. Рынок данных услуг достаточно обеспечен специалистами и контроль государства в этом направлении необходим для обеспечения законных прав и интересов населения и государства. Так, государством ведется правовой кадастр, который создан для учета субъектов оценочной деятельности, и он должен носить объективный характер.

Оценочная деятельность нужна для обеспечения судебной защиты законных прав и интересов граждан и юридических лиц.

В случае отмены лицензирования деятельности по оценке имущества пострадают финансовый сектор (банки, кредитные и страховые организации), строительство (ипотека жилья), и в первую очередь интересы простых граждан, пользующихся услугами оценщиков. По мнению ряда казахстанских сообществ оценщиков, лицензирование на данном этапе является наиболее оправданным способом регулирования оценочной деятельности, поскольку их структура в настоящее время до конца не сформирована и не является в полной мере саморегулируемой организацией.

Совместный приказ и.о. Министра юстиции Республики Казахстан от 23 апреля 2010 года № 138 и Министра экономического развития и торговли Республики Казахстан от 29 апреля 2010 года № 17 утвердил Критерии оценки степени рисков в сфере деятельности по оценке имущества. При отнесении субъектов по степеням риска субъекты перераспределяются в зависимости от качественных критериев оценки степени рисков в области оценочной деятельности. Оценка риска производится путем систематического использования имеющейся информации [47].

Совместным приказом Министра юстиции Республики Казахстан от 23 апреля 2010 года № 139 и Министра экономического развития и торговли Республики Казахстан от 29 апреля 2010 года № 18 утверждены формы проверочного листа по проверкам в сфере деятельности по оценке имущества [48].

Правила ведения реестра членов Республиканской палаты оценщиков и предоставления информации, содержащейся в этом реестре, заинтересованным лицам разработаны в соответствии со статьей 13-3 Закона Республики Казахстан «Об оценочной деятельности в Республике Казахстан». Правила определяют порядок ведения реестра членов Республиканской палаты оценщиков и предоставления информации, содержащейся в этом реестре, заинтересованным лицам. Сведения о палате оценщиков вносятся в Реестр в течение трех рабочих дней со дня ее принятия в члены Республиканской палаты. Палата исключается из Реестра на основании решения Республиканской палаты оценщиков. Республиканская палата оценщиков не позднее дня, следующего за днем принятия решения о прекращении членства в палате, размещает протокол решения на своем интернет-ресурсе, вносит в реестр соответствующую запись и письменно уведомляет члена Палаты, в отношении которого принято решение об исключении.

Приказом и.о. Министра юстиции Республики Казахстан от 9 декабря 2010 года № 325 утвержден Стандарт оценки «Оценка стоимости движимого имущества». Стандарт оценки стоимости движимого имущества раскрывает основные понятия и устанавливает обязательные требования к оценке движимого имущества с учетом региональных факторов, специфических условий ценообразования и отражения их в учете и отчетности, в соответствии с положениями нормативных правовых актов Республики Казахстан. Действие Стандарта распространяется на оценку всех типов материального движимого имущества.

Приказом и.о. Министра юстиции Республики Казахстан от 9 декабря 2010 года № 326 утвержден Стандарт оценки «Оценка стоимости недвижимого имущества». Стандарт оценки стоимости недвижимого имущества разработан на основании Закона Республики Казахстан «Об оценочной деятельности в Республике Казахстан» в соответствии с международными стандартами оценки, устанавливает основные требования к методам оценки недвижимого имущества и обязателен для применения на территории Республики Казахстан. Методы, установленные в Стандарте, используются для оценки полных прав собственности на недвижимое имущество, расположенное на территории Республики Казахстан.

Приказом и.о. Министра юстиции Республики Казахстан от 9 декабря 2010 года № 327 утверждены «Требования к форме и содержанию отчета об оценке». Требования к форме и содержанию отчета об оценке разработанына основании Закона Республики Казахстан «Об оценочной деятельности в Республике Казахстан» с использованием международных стандартов оценкии устанавливает требования к форме и содержанию отчета об оценке, информации, используемой в отчете об оценке, а также к описанию в отчете об оценке, применяемой методологии и расчетам.

Также был утвержден Стандарт оценки «Требования к проверке качества выполнения работ по оценке и экспертизе отчета». Данный стандарт устанавливает основные правила проверки качества оценки имущества и проведения экспертизы отчетов об оценке имущества, обязательные для применения при осуществлении оценочной деятельности на территории Республики Казахстан. Целью стандарта оценки «Требования к проверке качества выполнения работ по оценке и экспертизе отчета» является создание условий для проверки достоверности оценки.

В соответствии со статьей 19 Закона Республики Казахстан «Об оценочной деятельности в Республике Казахстан» была утверждена Программа профессиональной переподготовки специалистов в области оценочной деятельности. Программа состоит из модулей «Общие дисциплины» и «Блок специализаций». Модуль «Общие дисциплины» обязателен для переподготовки по всем видам специализаций. Модуль «Блок специализаций» содержит три дисциплины:

1) оценка недвижимого имущества;

2) оценка движимого имущества;

3) оценка интеллектуальной собственности, стоимости нематериальных активов и предприятия как имущественного комплекса.

Стандарт «Оценка стоимости объектов интеллектуальной собственности и нематериальных активов» разработан на основании Закона «Об оценочной деятельности в Республики Казахстан в соответствии с Международными стандартами оценки, устанавливает основные требования к методам оценки объектов интеллектуальной собственности и нематериальных активов. Стандарт обязателен для оценки всех видов объектов ИС и НМА на территории Республики Казахстан. Действие этого стандарта распространяется на оценку имущественных прав на следующие объекты ИС:

1) Объекты права промышленной собственности;

2) Объекты авторского права;

3) Объекты смежных прав.

Стандарт «Оценка стоимости бизнеса» разработан в соответствии с Законом Республики Казахстан «Об оценочной деятельности в Республике Казахстан», Международными стандартами оценки и является обязательным к применению субъектами оценочной деятельности на территории Республики Казахстан. Стандарт предназначен для оценки бизнеса, т.е. действующего предприятия, как целостного имущественного комплекса в следующих случаях:

1) создание, ликвидация и реорганизация предприятия

2) продажа предприятия как имущественного комплекса

3) акционирование

4) приватизация

5) получение кредита

6) продажа пакета акций

9) в иных случаях предусмотренных законодательством

Согласно международным стандартам оценки (МСО) понятия «дисконтированная стоимость», «инвестиционная стоимость», «ликвидационная стоимость», «первоначальная стоимость», «текущая стоимость» и «учетная (балансовая) стоимость» и «стоимость реализации» разделены и определены в рамках соответствующих стандартов «Рыночная стоимость как база оценки» (МСО 1) и «Базы оценки, отличные от Рыночной стоимости» (МСО 2). Понятие и определение «иной стоимости» в некоторой степени совпадают с понятиями, определенными в МСО 2. Итак, МСО 2 определяет как «нерыночную» следующие виды стоимости - «стоимость в использовании», «инвестиционная стоимость», «стоимость действующего предприятия», «страховая стоимость», «налогооблагаемая стоимость», «утилизационная стоимость», «ликвидационная стоимость», «специальная стоимость» и «залоговая стоимость».

В свою очередь, МСО 1 определяет «Рыночную стоимость» и разъясняет все составляющие этого определения. Основная идея заключается в том, что все данные, используемые в процессе определения стоимости объекта оценки, должны быть засвидетельствованными показаниями рынка.

Несмотря на то, что в большинстве случаев при принятии решений используется рыночная стоимость, некоторые ситуации требуют применения баз оценки, отличных от рыночной стоимости. Принципиально важным является то, чтобы как оценщики, так и пользователи результатов оценки, ясно понимали отличие. А оценщики должны заботиться о том, чтобы выбирались подходящие базы оценки, избегая ситуаций, которые могут ввести в заблуждение общественность.

Время от времени на практике возникают недоразумения, касающиеся терминов и методов оценки, особенно в процессе оценки в целях учета и финансовой отчетности.

В основном оценка в целях отчетности согласно МСФО требует определения «справедливой стоимости». МСО 1 и вступительный раздел МСО «Общие понятия и принципы оценки» отождествляют «справедливую стоимость» основных средств с «рыночной стоимостью». Приложение 1 МСО «Оценка в целях финансовой отчетности» разъясняет принципы оценки в этих целях, сравнивает понятия и определения, используемые в МСО и МСФО, и приводит следующий список МСФО, согласно которым может возникнуть потребность в оценке:

МСБУ 16 «Основные средства»,

МСБУ 40 «Инвестиционная недвижимость»,

МСБУ 36 «Обесценение активов»,

МСБУ 2 «Запасы»,

МСФО 3 «Объединение предприятий»,

МСФО 5 «Долгосрочные активы, предназначенные для продажи, и прекращенная деятельность»,

МСБУ 17 «Аренда»,

МСБУ 41 «Сельское хозяйство».

Следует отметить, что и в стандартах учета и финансовой отчетности встречаются термины и понятия стоимости, подпадающие под категорию «нерыночной» (или «иной») стоимости. Например, «стоимость в использовании», употребляемая в рамках МСБУ 36 при определении «возмещаемой суммы» актива. В этих целях обычно проводится тест на обесценение для выявления превышения «справедливой стоимости» актива или «генерирующей единицы» над его «стоимостью в использовании». В данном случае определение «стоимости в использовании» в рамках МСБУ 36 должно быть осуществлено согласно МСО 2 , т.е. база оценки отличается от рыночной стоимости, так как «стоимость в использовании» - это стоимость специфического актива/имущества конкретного владельца/пользователя со специфической целью использования.

Общеизвестны три подхода оценки - затратный, доходный и рыночный. Определения этих подходов согласно нормативным актам в области оценочной деятельности, действующим в Казахстане, очень близки к определениям по МСО. Оценка независимо от цели и типа стоимости, определяемой в результате оценки, требует применение одного или нескольких подходов.

Каждый из подходов имеет альтернативные методы оценки. Оценщик, полагаясь на свой профессиональный опыт и суждения с учетом требований и возможности рынка, а также требований местного законодательства, определяет методы, применимые в конкретном случае. Например, оценка активов в целях отчетности согласно МСБУ 16 может ограничиться затратным или доходным подходом: «В отсутствие рыночных индикаторов справедливой стоимости ввиду специфического характера объекта основных средств и из-за того, что подобные активы редко продаются отдельно от всего действующего предприятия, организации-покупателю, возможно, потребуется оценить справедливую стоимость исходя из дохода или амортизированной восстановительной стоимости» (МСБУ 16.33, «МСФО 2006, Русский перевод ЗАО «Аскери-АССА»). Хотелось бы обратить внимание на некоторую неточность перевода на русский язык и на то, что последняя часть утверждения должна читаться, ссылаясь на оригинальную версию МСФО 2006 на английском языке, как «исходя из доходного подхода или подхода/метода амортизированной восстановительной стоимости».

Метод «амортизированной восстановительной стоимости» (метод АВС) является одним из методов оценки, широко используемых в рамках затратного подхода оценки. Поскольку этот метод часто используется оценщиками нашей страны, с одной стороны, и на этот метод ссылается МСФО, согласно требованиям которых часто проводится оценка, с другой стороны, далее более подробно рассматриваются основные положения МСО относительно данного метода.

Существует специальное руководство 8 по применению МСО (РПП 8), которое предназначено для содействия в интерпретации сути и применения этого метода в целях отчетности. Согласно РПП 8, 4.1 (пункт 4.1 РПП 8) этот метод используется для определения «рыночной стоимости» там, где имеет место недостаточность рыночных данных. Определение «рыночной стоимости» достигается в данном случае посредством подтверждений, основанных на данных, диктуемых рынком, т.е. методология ссылается на концепцию и принципы определения «рыночной стоимости».

МСО в части применения метода АВС требует от оценщика определения восстановительной стоимости актива и корректировки полученной стоимости на физический, функциональный (или технический) и экономический износ в части определения экономического износа РПП 8, 5. 10 устанавливает необходимость проведения теста на доходность в отношении всех активов предприятия или генерирующей единицы. Проведение теста на доходность является ответственностью предприятия. Результаты теста должны быть проанализированы и использованы оценщиками в их отчете об определении рыночной стоимости объекта оценки.

В настоящее время оценочная деятельность функционирует как самостоятельная сфера экономики и является важнейшим элементом инфраструктуры общественных отношений. Наличие высокопрофессиональных специалистов выступает одним из определяющих факторов успешного управления собственностью. Эксперты-оценщики могут работать как в государственных учреждениях, так и в частных фирмах, в банках, страховых и аудиторских компаниях.

В рамках рынка здоровой конкуренции само регулируемые палаты должны обеспечивать приток квалифицированных специалистов-оценщиков, обеспечивать повышение уровня профессиональных знаний своих членов, осуществлять информационное и методическое обеспечение их деятельности. Таким образом, назрела объективная необходимость перехода от института оценки, функционирующего по формальным признакам, к механизму, ориентиром которого является профессионализм.

Более того, установлена общеобязательность соблюдения на территории республики всеми субъектами оценочной деятельности стандартов оценки, утверждаемых уполномоченным органом. Наряду со стандартами оценки допускается использование международных стандартов оценки.

Внесенные поправки также коснулись закона «О частном предпринимательстве». В функции государственного контроля и надзора в пункте 24 приложения к этому закону за органами юстиции дополнительно закреплен контроль в области оценочной деятельности. Переходные положения закона касаются приведения оценщиками и оценочными палатами своей деятельности в соответствие с законом.

Практика показала, что в большинстве случаев основанием для проведения внеплановых проверок деятельности лицензиатов оценочной деятельности служат обращения юридических и физических лиц, государственных органов, оспаривающих результаты оценок, а также определения судов в отношении оценщиков по выявленным в ходе судебного процесса нарушением законодательства.

При осуществлении проверки, органами юстиции могут привлекаться специалисты Палаты оценщиков, членами которой является субъект проверки. Необходимость совместной работы вызвана тем, что в соответствии с пунктом 5 статьи 13-2 Закона «Об оценочной деятельности в РК» одной из основных функции Палат оценщиков является обеспечение соблюдения своими членами требований законодательства об оценочной деятельности, стандартов оценки, правил деловой и профессиональной этики. Кроме того, палатам дано право направлять в уполномоченный орган ходатайства о возбуждении дела об административном правонарушении по приостановлению или лишению лицензии члена палаты оценщиков в соответствии с законодательством Республики Казахстан об административных правонарушениях.

Следует обратить внимание, что все оценщики - физические лица, в том числе и ранее работавшие в оценочной организации на основании приказа о выдаче лицензии юридическому лицу, где указывалась их фамилия, в соответствии с внесенными изменениями в законодательство об оценочной деятельности должны иметь персональные лицензии. Физические лица, работающие в оценочной организации, являющейся членом одной из Палат оценщиков, обязаны персонально быть членами этой или другой Палаты оценщиков. В то же время, следует подчеркнуть, что для обеспечения свободы выбора объединений, оценщики - физические и юридические лица, не обязаны вступать в Палату, зарегистрированную в той области, в которой данный оценщик состоит на налоговом учете как индивидуальный предприниматель или юридическое лицо. Таким образом, Законом «Об оценочной деятельности в РК» оценщик имеет право оценивать объект на всей территории Казахстана и состоять в палате, расположенной в любом областном центре, городе республиканского значения или столице республики.


3. Мероприятия по совершенствованию оценочной деятельности в Республике Казахстан

3.1 Проблемы нормативно-правового регулирования оценочной деятельности

На сегодняшний день уже ни у кого не вызывает сомнения, что оценочная деятельность в Казахстане является составной частью общего процесса реформирования экономики и создания правового государства. Оценочная деятельность обеспечивает информационную основу структурной перестройки экономики и формирования конкурентной рыночной среды, призвана давать объективную информацию для принятия хозяйственных управленческих решений.

Можно выделить некоторые особенности и принципы, объективно присущие оценочной деятельности.

Оценочная деятельность является самостоятельным видом предпринимательской деятельности и самостоятельным научным направлением, со своей методологией, терминологией, принципами исследований.

Оценочная деятельность имеет межведомственный и междисциплинарный характер. Развитие оценочной деятельности желательно на основе общего правового, методологического и информационного пространства. Создание возможных специфических, специализированных нормативных и других документов должно основываться на общероссийской системе оценки.

Мероприятия по развитию оценочной деятельности должны отвечать текущим потребностям проводимых экономических реформ.

Необходимо создавать и развивать национальную систему оценки, учитывающую богатый зарубежный опыт. Но недопустимо как полное копирование западных методик, так и изобретение национального «велосипеда».

Важнейшие направления применения оценочной деятельности:

- Оценка для целей повышения эффективности управления государственной собственностью и собственностью субъектов Республики Казахстан.

- Оценка и переоценка основных фондов.

- Оценка земли и недвижимости, оценка для целей ипотечного кредитования.

- Оценка нематериальных активов, включая интеллектуальную собственность.

- Оценка бизнеса, оценка активов и капитализации действующих предприятий, оценка стоимости акций, оценка неденежных взносов в уставный капитал.

- Оценка для целей финансового оздоровления, реструктуризации предприятий или банкротства.

- Оценка ущерба при чрезвычайных ситуациях.

- Оценка для целей налогообложения, исполнительного производства, ареста имущества и судопроизводства.

Из существенных проблем оценочной деятельности, которые необходимо решить в ближайшее время, можно отметить следующие:

- Необходимость гармонизации системы оценки с системами бухгалтерского учета и налогообложения, в том числе международными системами бухучета.

- Отработка взаимодействия оценщиков, аудиторов и специалистов по финансовому консалтингу.

- Определение роли и места государственных и частных оценщиков в системе оценочной деятельности.

Современное состояние оценочной деятельности позволяет следующим образом сформулировать цели развития оценочной деятельности.

Ближнесрочная цель - завершение создания нормативно-правовой базы, обеспечивающей полноценное включение оценочной деятельности в социально-экономические процессы;

Стратегическая цель - создание в Республике Казахстан саморазвивающейся и адаптивной к внешним условиям системы оценочной деятельности, обеспечивающей качественные услуги по оценке стоимости, признаваемые и используемые всеми субъектами права, в том числе и международными.

Как отмечается в Стратегии территориального развития Республики Казахстан до 2015 года, для привлечения иностранных инвестиций в экономику страны, необходимо иметь достоверную информацию о рыночной стоимости сырьевых ресурсов, которыми мы обладаем. Чтобы оценить эффективность инвестиций необходимо произвести оценку добавленной стоимости каждого проекта. А объективной положительной оценкой результата любой хозяйственной деятельности может служить только факт увеличения стоимости собственного капитала. Именно по этой причине в Международных стандартах финансовой отчетности была признана необходимость учета активов на балансе предприятий не по исторической, а по справедливой рыночной стоимости, которую определяет профессиональный оценщик.

Только достоверная оценка имущества и адекватная компенсация его порчи или изъятия могут быть реальным механизмом защиты права собственности, которое гарантировано Конституцией Республик Казахстан.

Таким образом, основной целью государственной политики на предстоящий период является принятие организационно-правовых мер для обеспечения достоверности оценки, расширения сферы применения рыночной стоимости в целях повышения эффективности использования производственных и природных ресурсов. Концепция государственной политики в области оценки имущества призвана содействовать осуществлению государственной стратегии Республики Казахстан по обеспечению устойчивого культурного и социально-экономического развития страны.

Система регулирования оценочной деятельности.

На текущий момент на регулирование оценочной деятельности оказывают влияние, с одной стороны, система государственного регулирования оценочной деятельности, с другой стороны, системы добровольных сертификации качества услуг по оценке, стандартов по оценке различных общественных объединений и ассоциаций оценщиков и участников рынка.

О методах оценки и требованиях к оценщикам можно говорить очень много, и, естественно, что в рамках одной статьи невозможно обсудить все те подробности процесса оценки, которые могут интересовать как оценщиков, так и пользователей. Международный комитет по стандартам оценки осознает сложность процедур профессиональной оценки, трудность интерпретации процесса оценки другими профессиональными дисциплинами. В связи с этим стандарты оценки подвергаются изменениям и развиваются с учетом опыта и профессиональных суждений оценщиков более тридцати стран для обеспечения лучшей согласованности между различными профессиональными дисциплинами и для уменьшения трудностей, связанных с применением различных методов оценки. Например, седьмая редакция МСО (действующая на данный момент, МСО 2005) включает первоначальные рекомендации по оценке на так называемых развивающихся рынках.

Особые экономические, правовые и институциональные характеристики развивающихся рынков представляют собой специфические проблемы для оценщиков, осуществляющих оценочную деятельность на таких рынках. Эти характеристики могут наблюдаться и в развитых рынках, но в развивающихся рынках они преобладают и включают:

- слабую или неадекватную законодательную базу;

- недостаток (или отсутствие) опубликованной информации или трудности в получении информации относительно сделки и других данных;

- более высокую неустойчивость рынка имущества;

- устаревшие стандарты оценки;

- внешнее давление на оценщиков, вызванное слабостью или отсутствием контроля вопросов оценки;

- чрезмерное или недостаточное вмешательство государства;

- возрастающую важность нематериальных активов.

Многие из них, как видно, характерны и для Казахстана. Развитие оценочной деятельности на таких рынках требует комплексного подхода и активных действий всех участников рынка.

3.2 Перспективы развития оценочной деятельности в Республике Казахстан

Концепция развития оценочной деятельности на среднесрочный период разработана в целях реализации основных направлений Концепции правовой политики Республики Казахстан, утвержденной Указом Президента Республики Казахстан № 858 от 24 августа 2009 года, а также закона Республики Казахстан «О внесении изменений и дополнений в некоторые законодательные акты Республики Казахстан по вопросам оценочной деятельности».

В концепции правовой политики Республики Казахстан на 2010 - 2020 годы отмечается, что «Важным инструментом рыночной экономики является оценочная деятельность, правовое регулирование которой требует постоянного внимания и совершенствования». Оценка имущества - это один из тех механизмов, с помощью которых работает рынок. Без института оценки рыночная экономика просто не может существовать. С другой стороны становление и развитие оценки возможно только в условиях рыночных отношений при четком определении роли и места государства в вопросах ценообразования и правового регулирования предпринимательской деятельности. Рынок – это механизм саморегулирования экономических процессов, поэтому все его институты, в том числе и оценка, могут эффективно действовать в рыночной среде только в условиях саморегулирования.

Основные направления развития оценочной деятельности:

1. Совершенствование законодательной и нормативно-справочной базы

В целях завершения формирования нормативной правовой базы по оценке всех видов имущественных прав необходимо:

- разработать и утвердить стандарты в области оценки имущества;

- максимально унифицировать понятийный аппарат и терминологию, применяемую в оценочной деятельности, с понятийным аппаратом и терминологией бухгалтерского и первичного учета, налогообложения, регистрации объектов оценки в Республике Казахстан, а также с понятийным аппаратом и терминологией международных стандартов оценки;

- утвердить государственные требования к программам профессиональной переподготовки оценщиков;

- утвердить порядок аттестации и аккредитации оценщиков;

- законодательно определить функции, права и обязанности саморегулируемых организаций профессиональных оценщиков и создать условия для их работы;

- привести систему налоговой отчетности в соответствие с МСФО, не облагать налогом прирост стоимости активов, вызванный их переоценкой в целях перехода системы бухгалтерского учета на МСФО, пересмотреть систему учета амортизации при расчете величины налогооблагаемого дохода;

- устранить на законодательном уровне пробелы, связанные с оборотом результатов интеллектуальной деятельности, земельных, лесных ресурсов, полезных ископаемых и других специализированных активов;

- произвести амнистию нематериальных активов (технологий), которые фактически используются в процессе производства, но не стоят на балансе.

Кроме этого требуется организовать разработку нормативной, информационной и методической базы оценки имущества, включающей в себя:

- методики оценки всех видов имущества для различных целей;

- затратные справочники;

- базы данных о ценах на основное производственное оборудование, инструменты и инвентарь;

- информационную базу о ценах предложения, продажи и реальных сделок с имуществом;

- информационную базу о показателях доходности и риска по различным видам бизнеса.

- следует провести ревизию всех нормативных актов в сфере оценочной деятельности и отменить все положения, согласно которых методы оценки, порядок заключения договоров на оценку и процедура оценки рыночной и иной стоимости установлены не уполномоченным органом.

- подготовить нормативный акт, в котором запретить проведение аккредитации оценщиков любыми органами, кроме уполномоченного органа.

- при наделении территориальных органов юстиции контрольными функциями, проверку производить совместно с территориальной палатой оценщиков и палатой, членом, которой является данный оценщик. Периодичность проверки установить в соответствии с утвержденным положением по управлению рисками.

- для создания базы данных о ценах на недвижимое имущество создать и постоянно обновлять базу данных на основе анализа договоров купли-продажи, регистрируемых в Центрах недвижимости.

- разработать и опубликовать Комментарий к закону «Об оценочной деятельности в Республике Казахстан»

2. Уполномоченный орган и Межведомственный совет

Уполномоченным органом по регулированию оценочной деятельности является Министерство юстиции РК. В тоже время официально выполнение данной функции не проучена ни одному из комитетов Министерства юстиции РК. Ее отчасти выполняет отдел лицензирования оценочной деятельности Комитета регистрационной службы и оказания правовой помощи. Так как в этом отделе всего три сотрудника, которые перегружены своей основной работой, то у них не хватает времени на выполнение функций установленных законодательством для уполномоченного органа по регулированию оценочной деятельностью. Кроме того в Министерстве юстиции РК имеется комитет по интеллектуальной собственности, который частично занимается и вопросами оценки нематериальных активов. В связи с тем, что оценка имущества является чрезвычайно важной сферой правового регулирования, считали бы целесообразным создать для выполнения этих функции отдельный Комитет имущественных отношений Министерства юстиции РК. В России для этих целей создано специальное Министерство имущественных отношений.

Концепция развития оценочной деятельности в Республике Казахстан, должна в первую очередь корреспондировать с общей концепцией развития экономики, поскольку вопросы оценки являются вопросами межведомственными и выходят за рамки одного или нескольких ведомств. Являясь уполномоченным органом, Министерство юстиции Республики Казахстан должно не только осуществлять контроль за деятельностью оценщиков, но и выполнять функции координатора работ по оценке в Казахстане, а Межведомственный совет, по сути, должен стать основным аналитическим органом, призванным вырабатывать решения по вопросам оценочной деятельности.

Отсутствие Межведомственного совета затягивает рассмотрение проектов законодательных актов в области оценочной деятельности. Так Методика оценки недвижимости при изъятии для государственных нужд согласовывалась более двух лет, пока эта проблема чрезвычайно не обострилась. Законопроект «О внесении изменений и дополнений в некоторые законодательные акты Республики Казахстан по вопросам оценочной деятельности» согласовывался в Министерствах и рассматривался в Парламенте более 4-х лет.

3. Стандарты оценки

Система стандартов оценки, как и любых стандартов в мире, должна состоять из трех уровней:

1) Международные стандарты – для Казахстана это МСО 2007. Они устанавливают что обязан делать оценщик. Использование других зарубежных стандартов (TEGONA, RICS, USPAP, РОО и т.д.) на территории Республики Казахстан законом «Об оценочной деятельности в РК» не разрешено. В этой связи отметим, что оценщики так называемой «большой четверки», используют на территории Казахстана свои стандарты, что не законно. Более того, имеются факты, когда стоимость государственного пакета акций высоко рентабельных предприятий рассчитанная по этим стандартам может стоить всего один доллар. Поэтому следует обратить внимание всех заказчиков не необоснованность требования выполнить оценку по стандартам RICS или большой четверки, а также предоставления оценщиками рекомендательных писем от этих компаний.

2) Национальные стандарты оценки, утверждаемые уполномоченным органом

Они кратко излагают основные правила, как нужно составлять отчет и как рассчитывать стоимость основных видов имущества. Они должны быть составлены по типу существующих Правил оценки. Можно использовать опыт России, там тоже эти стандарты достаточно лаконичные. Это еще важно тем, что необходимо будет сделать перевод на государственный язык. Так как в законе «Об оценочной деятельности в РК», в отличие от закона «О техническом регулировании» о Стандартах организации (т.е. стандартах Палат) ничего не сказано, то в национальных стандартах должна быть отсылка на эти стандарты. Например, что методы доходного подхода следует применять в соответствии с соответствующим стандартом Палаты оценщиков

Предлагается следующая структура национальных стандартов:

- НСО 1 – «Основные термины и определения». В этом стандарте указать только те термины, которые не будут даны в следующих стандартах. Кроме того, предлагается закрепить в данном стандарте условные обозначения различных показателей применяемых в оценке;

- НСО 2 – «Назначение оценки, порядок ее проведения и виды стоимости». Так как в пункте 14 статьи 2 закона «Об оценочной деятельности в РК» указано, что виды стоимости устанавливаются стандартами оценки, то в данном стандарте следует все их перечислить с указанием к в каких случаях их следует применять;

- НСО 3 – «Составление отчета об оценке»;

- НСО 4 – «Оценка недвижимости;

- НСО 5 – «Оценка автотранспорта;

- НСО 6 – «Оценка машин и оборудования;

- НСО 7 – «Оценка нематериальных активов и объектов интеллектуальной собственности;

- НСО 8 – «Оценка бизнеса»;

- НСО 9 – «Оценка для ипотечного кредитования»;

- НСО 10 – «Оценка (переоценка) активов предприятий для подготовки финансовой отчетности»;

- НСО 11 – «Массовая оценка для налогообложения имущества»;

- НСО 12 – «Оценка прав недропользования, аренды и других финансовых интересов».

Стандарты не должны дублировать Международные стандарты оценки, а лишь раскрывать суть описанных там методов, чтобы оценщик смог понять не только ЧТО надо делать, о чем подробно описано в МСО 2007, но КАК производить оценку в каждом конкретном случае.

3) Стандарты Палат оценщиков

Каждая палата оценщиков разрабатывает стандарты своей организации. Все они должны соответствовать международным и национальным стандартам оценки. Отличие в них может заключаться в установлении более жестких требований к качеству и точности оценки. То есть в величине вариации стоимости полученной разными подходами, и даже, разными оценщиками (от 10% до 33%). Но чтобы повысить единообразие результатов, стандарт должен содержать различные справочные материалы и детально разработанные методики расчетов.

Чтобы сделать Стандарты организации официальным документом, т.к. закон «О техническом регулировании», где данный вид стандартов описан, не распространяется на стандарты оценки, предлагается в национальных стандартах указать, что этими следует пользоваться членом палаты оценщиков.

4. Сотрудничество Республики Казахстан с международными организациями и иностранными государствами

Важной сферой международного сотрудничества Республики Казахстан явилось участие Казахстана в работе Международного комитета по стандартам оценки (МКСО) с 1998 года в качестве наблюдателя, а с 2005 года как полноправного члена этой авторитетной международной организации.

Развивая интеграционные связи в области оценочной деятельности между странами СНГ и ЕВРАЗЭС, по инициативе казахстанских оценщиков в 1998 году был создан Координационный совет оценщиков СНГ, а затем в 2002 году Совета объединений оценщиков СНГ (СОО СНГ), куда вошли ассоциации оценщиков следующих государств: Азербайджан, Белоруссия, Казахстан, Кыргызстан, Молдова, Россия, Украина. Эта организация создана для решения следующих первоочередных задач:

1. Совершенствования законодательства в области оценочной деятельности с целью развития независимой от государства системы оценочной деятельности, как необходимого условия функционирования рыночной экономики.

2. Разработке национальной системы стандартов оценки на основе международных стандартов оценки и внедрении их в практику хозяйственных отношений.

3. Обеспечению гармонизации основных положений в нормативных актах и оценочных стандартах стран СНГ.

4. Налаживанию либо оптимизации взаимовыгодного сотрудничества органов государственной власти и управления с профессиональными объединениями оценщиков, осуществляющих деятельность на территории соответствующих стран.

Перед казахстанскими оценщиками в области международного сотрудничества стоят следующие задачи:

1. Принять участие в обсуждении изменений и дополнений в Международные стандарты МСО 2007

2. Подать заявку на вступление в члены европейской группы оценщиков TEGoVA

3. Регулярно принимать участие в международных конференциях, организуемых IVSC.

5. Развитие инфраструктуры оценочной деятельности.

1. Подготовка оценщиков является одним из основных условий развития рынка оценки. Первоочередным шагом должно стать принятие Государственных требований к программам профессиональной переподготовки оценщиков в Республике Казахстан для основных четырех специализаций «Оценка стоимости недвижимости», «Оценка стоимости машин, оборудования и транспортных средств», «Оценка стоимости нематериальных активов и интеллектуальной собственности», «Оценка стоимости предприятия (бизнеса)».

Необходимо также завершить разработку программ повышения квалификации оценщиков в Республике Казахстан.

В целях повышения качества обучения оценщиков и ответственности учебных заведений предлагается ввести систему аккредитации ВУЗов, которым уполномоченный орган предоставляет право выдачи сертификатов, являющихся основанием для выдачи лицензии.

2. Развитие оценочной деятельности связано с проведением научных и методологических исследований. В качестве первоочередной задачи научных исследований в области оценочной деятельности рассматривается разработка следующих направлений:

- совершенствование регламентации, порядка проведения и методологии переоценки основных средств в связи с переходом на МСФО;

- развитие методик определения стоимости акционерного капитала; взаимосвязь оценки и управления стоимостью предприятия;

- особенности оценки стоимости финансово-кредитных институтов;

- оценка объектов интеллектуальной собственности, в том числе созданных за счет средств государственного бюджета;

- особенности оценки для целей приватизации;

- совершенствование методологии и системы определения восстановительной стоимости объектов недвижимости с учетом текущих цен и расценок;

- развитие методологии и нормативной базы определения средних сроков полезного использования объектов основных средств;

- определение методов расчета всех видов износа для различных видов имущества, в том числе использующих методы инструментального контроля и измерения;

- применение методов математической статистки применительно к задачам оценки;

- совершенствование методов расчета рисков при анализе доходности объектов оценки;

- развитие методик расчета ущерба при стихийных бедствиях и техногенных авариях;

- определение основных методологических принципов оценки природных ресурсов;

- изучение методологических проблем, связанных с использованием статистических данных в практике оценочной деятельности и в методических материалах по оценке и реструктуризации активов предприятий; создание и внедрение экспертных систем в оценке имущества.

Перечисленные задачи научных исследований не исчерпывают всего круга вопросов, требующих проведения специальных научных исследований, однако, проведение исследований по перечисленным проблемам является приоритетным. Целесообразно объединить усилия специалистов экономических ведомств, оценщиков, сотрудников соответствующих научных организаций в решении научно-методических вопросов по развитию оценочной деятельности.

3. Процесс оценки стоимости связан с проведением анализа больших массивов информации. Основные текущие затраты при проведении конкретных оценок связаны с поиском и обработкой различной информации, необходимой для реализации цели оценки. Поэтому развитие информационного обеспечения работы оценщиков является одним из важнейших факторов успешной реализации перспективной цели Концепции.

Необходимо обеспечить участие министерств и ведомств, в том числе Агентства Республики Казахстан по статистике в информационном обеспечении деятельности по оценке, а именно, в представлении необходимой информации о ценах в инвестиционной сфере, наличии и состоянии основных средств и других составных элементов национального богатства, инвестиционном климате, сводных характеристиках деятельности предприятий, другой необходимой информации.

Поскольку потенциальными потребителями таких информационных систем могут явиться как государственные, так и негосударственные структуры, необходимо разработать перечень информационных баз данных и согласовать этот перечень с возможными потенциальными потребителями. Необходимо провести ревизию уже существующих информационных баз.

Важнейшим вопросом является актуализация данных. Поэтому на этапе формирования перечня разрабатываемых информационных баз необходимо определять порядок их постоянного обновления.

Для создания информационных систем требуются не только финансовые и интеллектуальные ресурсы, но и законодательные решения по использованию той или иной информации. Недопустимо, чтобы информационные базы, разрабатываемые на протяжении многих лет, были «приватизированы» теми или иными ведомствами. Следует определить регламент, по которому с одной стороны был бы обеспечен равноправный доступ к информации, не являющейся государственной или иной тайной для всех участников оценочного процесса, а с другой стороны, информация, используемая в процессе оценки, могла быть проверена на достоверность всеми заинтересованными сторонами. Следует определить головную организацию, которая будет осуществлять создание и ведение перечня информационных баз, используемых для целей оценки.

6. Механизмы реализации Концепции

Концепция предполагает развитие оценочной деятельности на предстоящие 10 лет, определяет основные направления и задачи, выполнение которых возлагается на исполнительные органы Республики Казахстан. Для реализации этих целей предполагается:

- вести постоянную работу по совершенствованию законодательной, нормативной правовой базы в области оценочной деятельности;

- с учетом перспективы развития оценочной деятельности разработать Программу по реализации Концепции;

- осуществлять целенаправленную подготовку и переподготовку специалистов, занимающихся оценкой имущества и прав собственности;

- на основе двусторонних и многосторонних межгосударственных и межведомственных договоров обеспечить обмен опытом работы в сфере оценки имущества;

- через принятие нормативных правовых документов усилить совместную работу государственных органов, заинтересованных в осуществлении объективной рыночной оценке для целей приватизации, налогообложения, финансовой отчетности, оценки инновационных проектов и т.п.;

- определить источники финансирования для выполнения отдельных положений Концепции, привлекая при этом финансовые средства международных организаций и отдельных инвесторов, а также средства госбюджета.


Заключение

По мере разностороннего развития и модернизации международного бизнеса переход на международные стандарты в различных аспектах деятельности является объективным процессом общемирового развития экономики. Деловое общество в любой стране мира заинтересовано в качественной и сопоставимой информации, которая базирована на единых стандартах.

В отличие от многих других стран СНГ наша республика намного раньше делала попытки перехода на международные стандарты. В результате в Республике Казахстан действуют международные стандарты аудита, принятые в качестве национальных, уже с 2000 года; а переход на международные стандарты финансовой отчетности (МСФО) начался в 2003 году. Эти и другие изменения привели к повышению роли оценщиков нашей страны и требуют от них более глубоких знаний, опыта и подготовленности к новым требованиям, возникающим у потенциальных заказчиков. Знание основных подходов и методов оценки и профессиональное применение этих методов являются немаловажным фактором в развитии экономики нашей страны в целом, так как принятие решений деловым обществом базируется кроме всего прочего и на результатах работы оценщиков. Принципы и методика оценки были установлены во многих странах до 1940-х годов, но лишь во второй половине века начал развиваться подход к понятию оценки как к профессии. До 1980-х годов этот процесс наблюдался во многих развитых и развивающихся странах, не выходя, тем не менее, на международный уровень.

В конце 1970-х стало ясно, что развитие международных финансовых структур и глобализация рынков достигли такой стадии, что международные стандарты оценки просто необходимы. Возможность путаницы и ошибок была очевидна без соглашений относительно применяемых стандартов оценки. Одновременно серьёзные изменения в среде бизнеса и экономике как отдельных стран, так и всего мира, привели к признанию важности профессии оценщика и требованию к знаниям и опыту оценщиков.

В Казахстане оценочная деятельность берет свое начало с принятия Закона об оценочной деятельности в 2000 году. А в последние годы отмечается растущий спрос на услуги оценщиков, отчасти связанный с переходом (на данный момент) всех субъектов на МСФО.

Целью оценочной деятельности, как установлено в Законе «Об оценочной деятельности в Республике Казахстан», является «определение возможной рыночной или иной стоимости объекта оценки». Следует отметить, что «иная стоимость» определяется согласно этому же закону как «иная, кроме рыночной, стоимость объекта оценки». При этом согласно другим нормативным актам в области оценочной деятельности под «иной стоимостью» понимается «дисконтированная стоимость», «инвестиционная стоимость», «ликвидационная стоимость», «первоначальная стоимость», «текущая стоимость» и «учетная (балансовая) стоимость» и «стоимость реализации».

За прошедшие пятнадцать лет оценочная деятельность в Казахстане прошла большой путь от официального признания профессии «оценщик» и создания первой в стране общественной организации оценщиков до формирования общегосударственной системы оценки стоимости имущества. Сформулированы и утверждены основные методологические процедуры оценки, учитывающие современный мировой опыт и традиционно сложившиеся в Казахстане нормативно-методические подходы и разработки. Создана система независимой оценки. Утвержден Государственный образовательный стандарт специальности «Оценка» и во многих вузах страны ведется обучение профессиональных оценщиков. Введено лицензирование оценочной деятельности. Внесены изменения в Закон «Об оценочной деятельности в Республике Казахстан», устанавливающие основы саморегулирования оценочной деятельности. Образованы региональные палаты оценщиков, которые объединились и создали единую Республиканскую палату оценщиков (РПО).

Свидетельством успешного развития оценочной деятельности в Республике Казахстан и ее признания на международном уровне является участие членов РПО в основных международных профессиональных объединениях оценщиков: IVSC (Международный Совет по стандартам оценки) и СОО СНГ (Совет объединений оценщиков СНГ).

Представительство казахстанских оценщиков в этих организациях, постоянный обмен информацией, официальное признание Международных стандартов оценки, участие в международных научных конференциях создает прочный фундамент развития национальной системы оценки в Республике Казахстан.

В концепции развития оценочной деятельности на среднесрочный период, разработанной в целях реализации основных направлений Концепции правовой политики Республики Казахстан, утверждены основные направления развития оценочной деятельности:

1. Совершенствование законодательной и нормативно-справочной базы;

2. Уполномоченный орган и Межведомственный совет

3. Стандарты оценки

4. Сотрудничество Республики Казахстан с международными организациями и иностранными государствами

5. Развитие инфраструктуры оценочной деятельности.

6. Механизмы реализации Концепции

Концепция развития оценочной деятельности на 2010-2020 годы предполагает развитие оценочной деятельности на предстоящие 10 лет, определяет основные направления и задачи, выполнение которых возлагается на исполнительные органы Республики Казахстан. Для реализации этих целей предполагается:

- вести постоянную работу по совершенствованию законодательной, нормативной правовой базы в области оценочной деятельности;

- с учетом перспективы развития оценочной деятельности разработать Программу по реализации Концепции;

- осуществлять целенаправленную подготовку и переподготовку специалистов, занимающихся оценкой имущества и прав собственности;

- на основе двусторонних и многосторонних межгосударственных и межведомственных договоров обеспечить обмен опытом работы в сфере оценки имущества;

- через принятие нормативных правовых документов усилить совместную работу государственных органов, заинтересованных в осуществлении объективной рыночной оценке для целей приватизации, налогообложения, финансовой отчетности, оценки инновационных проектов и т.п.;

- определить источники финансирования для выполнения отдельных положений Концепции, привлекая при этом финансовые средства международных организаций и отдельных инвесторов, а также средства госбюджета.

Система саморегулирования, действующая в странах с развитой рыночной экономикой, повышает эффективность деятельности механизмов взаимодействия участников экономического процесса, поддерживает необходимый уровень их репутации, снижает финансовые затраты на обмен информацией о существующих стандартных требованиях и качестве предлагаемых товаров, работ и услуг. Благодаря постоянному взаимодействию с потребителем и немедленному реагированию на изменения в его запросах, саморегулируемые организации способны осуществлять постоянный контроль качества предлагаемых товаров и услуг и оперативно реагировать на запросы рынка, предотвращая его падение и способствуя развитию экономики.

Использование богатого иностранного опыта с учетом практики казахстанского рынка позволяет последовательно и планомерно формировать саморегулируемые организации в различных секторах экономики.

Специфическая особенность деятельности саморегулируемых организаций в Казахстане – это необходимость создания благоприятных условий перекрестного взаимодействия в различных профессиональных областях деятельности, что даст возможность приблизить процесс саморегулирования к насущным потребностям рынка и позволит вести краткосрочное и долгосрочное планирование экономического развития страны.


Список использованной литературы

1 Закон Республики Казахстан от 30 ноября 2000 года № 109-II «Об оценочной деятельности в Республике Казахстан» //www.zakon.kz

2 Лагута О.Н. Логика и лингвистика. – Новосибирск, 200. – 116 с.

3 Соловьев М.М. Оценочная деятельность. - Учебное пособие. М.: ГУ ВШЭ, 2006. – 224 с.

4 Саватье Р. Теория обязательств. Экономический и юридический очерк.. – М.: Прогресс, 1972. – 440 с.

5 Михайлов С.М. Категория интереса в гражданском (частном) праве. – Дисс. … канд. юрид.наук. - М., 2000. - 255 с.

6 Оценка рыночной стоимости недвижимости: Учебное пособие/ под ред. Зарубина В.Н., Рутгайзера В.М.- М.: Дело, 2004. – 384 с.

7 Инвестирование и биржевое дело // http://www.market-pages.ru/index.htm

8 Попов Г.В. Основы оценки недвижимости. - М.: Финстатинформ, 2005. – 120 с.

9 Приказ Министерства труда и социальной защиты населения Республики Казахста от 7 августа 1997 года «Об утверждении квалификационных требований для лиц, профессионально занимающихся оценкой имущества» // www.zakon.kz.

10 Жумабаев Е. Смикшировать международный опыт. Кардинальные изменения в общественно-политической жизни страны обусловили зарождение института оценочной деятельности в Казахстане // http://thenews.kz/2009/12/11/ 193395.html

11 Международные стандарты оценки. 8-е издание. 2007 / Пер. с англ. И.Л. Артеменкова, Г.И. Микерина, И.Л. Артеменкова; Под ред. Г.И. Микерина, И.Л. Артеменкова. – М.: Саморегулируемая общероссийская организация «Российское общество оценщиков», 2009. – 422 с. (Энциклопедия оценки).

12 Постановление Федерального Правительства Германии от 19 мая 2010 года на основании §199 Градостроительного кодекса Германии (Baugesetzbuch) Об утверждении Правил определения рыночной стоимости земельных участков // BGB. - 27 мая 2010 года.

13 Волович Н. Зарубежный опыт: оценка рыночной стоимости земельных участков в Германии // http://smao.ru/ru/magazine/2010/02/4.html

14 Родин А.Ю. Правовые основы оценочной деятельности. - М.: Московская финансово-промышленная академия, 2005. - 265 с.

15 Стандарт оценки Республики Казахстан «Основные термины и определения» // www.zakon.kz

16 Стандарт оценки Республики Казахстан «Требования к содержанию и форме отчета об оценке» // www.zakon.kz

17 Стандарт оценки Республики Казахстан «Оценка стоимости недвижимого имущества» // www.zakon.kz

18 Стандарт оценки Республики Казахстан «Оценка стоимости движимого имущества» // www.zakon.kz

19 Стандарт оценки Республики Казахстан «Оценка стоимости бизнеса» // www.zakon.kz

20 Стандарт оценки Республики Казахстан «Оценка стоимости ОИС и НМА» // www.zakon.kz

21 Стандарт оценки Республики Казахстан «База стоимости и ее виды» // www.zakon.kz

22 Стандарт оценки Республики Казахстан «Требования к проверке качества выполнения работ по оценке и экспертизе» // www.zakon.kz

23 Концепция развития оценочной деятельности на 2010-2020 годы // http://www.po-akmo.kz/index.php/component/content/article/34-osnova/46-mpage

24 Постановление Правления Агентства Республики Казахстан по регулированию и надзору финансового рынка и финансовых организаций от 25 июня 2007 года № 176 «Об утверждении Правил аккредитации физического или юридического лица, имеющего лицензию на осуществление оценочной деятельности» // www.zakon.kz

25 Совместный приказ и.о. Министра юстиции Республики Казахстан от 23 апреля 2010 года № 138 и Министра экономического развития и торговли Республики Казахстан от 29 апреля 2010 года № 17 «Об утверждении Критериев оценки степени рисков в сфере деятельности по оценке имущества» // www.zakon.kz

26 Совместный приказ Министра Юстиции РК от 21 ноября 2002 г. № 171 и Министра финансов РК от 02 декабря 2002 г. № 597. Зарегистрирован в МЮ РК 05 декабря 2002 г. № 2067. «Об утверждении правил по применению субъектами оценочной деятельности требований к методам оценки предприятия‚ как имущественного комплекса» // www.zakon.kz

27 Совместный приказ Министра Юстиции РК от 21 ноября 2002 г. № 172 и Министра финансов РК от 02 декабря 2002 г. № 598. Зарегистрирован в МЮ РК 05 декабря 2002 г. № 2068. «Правила по применению субъектами оценочной деятельности требований к содержанию и форме отчета об оценке» // www.zakon.kz

28 Совместный приказ Министра Юстиции РК от 21 ноября 2002 г. № 173‚ Министра финансов РК от 02 декабря 2002 г. № 600 и министра индустрии и торговли РК от 26 ноября 2002 г. № 96 и председателя Агентства РК по управлению земельными ресурсами от 23 ноября 2002 г. № 90. Зарегистрирован в МЮ РК 05 декабря 2002 г. № 2069. «Об утверждении правил по применению субъектами оценочной деятельности требований к методам оценки недвижимого имущества (за исключением предприятий как имущественных комплексов)» // www.zakon.kz

29 Совместный приказ Министра Юстиции РК от 21 ноября 2002 г. № 174‚ Министра финансов РК от 02 декабря 2002 г. № 599 и Министра транспорта и коммуникаций РК от 25 ноября 2002 г. № 391-1. Зарегистрирован в МЮ РК 05 декабря 2002 г. № 2070. «Об утверждении Правил по применению субъектами оценочной деятельности требований к методам оценки движимого имущества (за исключением объектов индустриальной собственности)» // www.zakon.kz

30 Приказ Министра Юстиции от 23 ноября 2002 г. № 179‚ зарегистрированный в МЮ РК 05 декабря 2002 г. № 2071. «Правила по применению субъектами оценочной деятельности требований к качеству выполнения работ по оценке‚ используемым принципам оценки» // www.zakon.kz

31 Приказ Министра юстиции РК от 2 декабря 2002 года № 184, зарегистрированный в МЮ РК 5 декабря 2002г. № 2076. «Правила по применению субъектами оценочной деятельности требований к методам оценки объектов интеллектуальной собственности» // www.zakon.kz

32 Приказом Министра финансов РК от 31 марта 2003 г. №130 были утверждены «Рекомендации по применению методов оценки стоимости объектов республиканской государственной собственности» // www.zakon.kz

33 Постановление Правления Агентства Республики Казахстан по регулированию и надзору финансового рынка и финансовых организаций от 25.06.2007 № 176 «Об утверждении Правил аккредитации физического или юридического лица, имеющего лицензию на осуществление оценочной деятельности, в которых был определен порядок проведения аккредитации» // www.zakon.kz.

34 Постановление правительства РК от 02.09.2003г. №890 «Об установлении базовых ставок платы за земельные участки при предоставлении в частную собственность, при сдаче государством или государственными землепользователями в аренды, а также размера платы за продажу права аренды земельных участков» // www.zakon.kz

35 Приказ Председателя Агентства Республики Казахстан по управлению земельными ресурсами от 28 декабря 2004 года № 105-П «Инструкция по определению кадастровой (оценочной) стоимости земельных участков» // www.zakon.kz

36 Земельным кодексом Республики Казахстан от 20 июня 2003 года № 442-II ЗРК// www.zakon.kz

37 Приказ Председателя Агентства Республики Казахстан по регулированию естественных монополий от 21 июля 2005 года № 226-ОД утверждены «Правила проведения переоценки основных средств субъектами естественных монополий» // www.zakon.kz.

38 Нормативное постановление Верховного Суда Республики Казахстан от 25 декабря 2006 года № 8 «О некоторых вопросах применения судами законодательства об изъятии земельных участков для государственных надобностей». // www.zakon.kz

39 Приказ Министра финансов Республики Казахстан от 21 июня 2007 года № 217 «Национальный стандарт финансовой отчетности № 2» // www.zakon.kz

40 Приказ Министра финансов Республики Казахстан от 21 июня 2007 года № 218 утвержден «Национальный стандарт финансовой отчетности № 1» // www.zakon.kz.

41 Приказом и.о. Министра финансов Республики Казахстан от 6 декабря 2007 года № 445 утверждены Правила определения объектов налогообложения и объектов, связанных с налогообложением, на основе косвенных методов (активов, обязательств, оборота, затрат, расходов) // www.zakon.kz.

42 Постановление Правительства Республики Казахстан от 2 апреля 2008 года № 312 утверждены «Правила использования приоритетного права покупки стратегического объекта» // www.zakon.kz.

43 Закон Республики Казахстан от 09.11.2009 N 197-4 «О внесении изменений и дополнений в некоторые законодательные акты Республики Казахстан по вопросам оценочной деятельности» // www.zakon.kz

44 Указ Президента Республики Казахстан от 24.08.2009 № 858 «О Концепции правовой политики Республики Казахстан на период с 2010 до 2020 года» // www.zakon.kz

45 Постановление Правительства Республики Казахстан от 15 апреля 2010 г. № 317 «Об утверждении Правил проведения квалификационного экзамена лиц, претендующих на право занятия оценочной деятельностью» // www.zakon.kz

46 Постановление Правительства Республики Казахстан от 15 апреля 2010 г. № 318 «О внесении дополнений и изменений в постановление Правительства Республики Казахстан от 25 мая 2007 года № 419» // www.zakon.kz

47 Совместный приказ и.о. Министра юстиции Республики Казахстан от 23 апреля 2010 года № 138 и Министра экономического развития и торговли Республики Казахстан от 29 апреля 2010 года № 17 «Об утверждении Критериев оценки степени рисков в сфере деятельности по оценке имущества» // www.zakon.kz

48 Совместный приказ Министра юстиции Республики Казахстан от 23 апреля 2010 года № 139 и Министра экономического развития и торговли Республики Казахстан от 29 апреля 2010 года № 18 «Об утверждении формы проверочного листа по проверкам в сфере деятельности по оценке имущества» // www.zakon.kz

Похожие рефераты:

Оценка бизнеса

Оценка стоимости земельных участков

Земельно-имущественные отношения

Организация и проведение торгов по продаже земельных участков

Законодательные основы муниципального регулирования земельных отношений в Российской Федерации

Государственное и муниципальное управление

Эффективность внешнеэкономического взаимодействия Китайской Народной Республики и Республики Казахстан в условиях глобализации

Земельные ресурсы Казахстана

Национальная экономическая безопасность и проблемы её обеспечения в Республике Казахстан в условиях глобализации мировой экономики

Разработка теоретико-методологических подходов к анализу правовых и экономических особенностей договора купли-продажи недвижимости

История оценочной деятельности в России

Оценка жилой недвижимости

Оценка жилой недвижимости для целей ипотечного кредитования

Земельный кадастр как инструмент регулирования социально-экономического развития города (на примере г. Екатеринбурга)

Отчет о прибылях и убытках: строение, содержание и анализ

Направления развития гражданского общества в Республике Казахстан на современном этапе

Становление оценочной деятельности в РФ

Современное состояние и развитие ипотечного кредитования в Республике Казахстан