| Скачать .docx | Скачать .pdf |
Реферат: Вопросы по геологии
Негосударственное образовательное учреждение среднего профессионального образования «Пермский горный техникум»
Контрольная работа № 1
по учебной дисциплине математика
Студента Кичигина Сергея Васильевича
Специальность 131003 Бурение нефтяных и газовых скважин (базовый уровень)
Вариант № 2 Дата проверки______________
Дата регистрации_______________ Оценка____________________
___________________________
(подпись преподавателя)
2010/2011 учебный год
1. Понятие о процессе метаморфизма, типы метаморфизма
Под метаморфизмом понимают изменение и преобразование горных пород под влиянием различных эндогенных геологических процессов, вызывающих значительные изменения термодинамических условий (прежде всего температуры и давления). Все преобразования в горных породах при процессах метаморфизма происходят путем их перекристаллизации в твердом состоянии. Метаморфизму могут подвергаться горные породы любого происхождения - осадочные, магматические и ранее существовавшие метаморфические. Степень изменения первичных горных пород (степень метаморфизма) может быть самой различной - от незначительных преобразований до полного изменения состава и облика пород.
Главными причинами, или факторами метаморфизма горных пород, являются температура, давление и химически активные вещества - растворы и летучие соединения.
Температура. Процессы метаморфизма, по мнению большинства исследователей, совершаются в интервале температур от 250 - 300╟ до 800╟ С. Повышение температуры всего на 10╟ С вдвое увеличивает скорость химических реакций, а на 100╟ С примерно в 1000 раз. В условиях земной коры повышение температуры вызывается двумя основными причинами:
погружением горных пород на большие глубины, что ведет к возрастанию температуры благодаря геотермическому градиенту (в среднем 1 ╟ на 33 мм.); тепловым воздействием магматических расплавов, внедряющихся в земную кору. Повышение температуры также может вызываться поступлением глубинных флюидов, местным возрастанием внутреннего теплового потока и некоторыми другими причинами.
Давление. Различают давление петростатическое (всестороннее) и боковое (одностороннее) или стресс.
Петростатическое давление является функцией глубины, и возрастание его обычно связано с погружением горных пород в глубь литосферы. Петростатическое давление также повышает температуру плавления минералов.
Боковое давление (стресс) возникает при интенсивных тектонических движениях дислокационного характера. Оно приводит к деформации, вызывает появление закономерностей пространственной ориентировки их в горной породе. Так, например, пластинчатые минералы располагаются плоскостями спайности перпендикулярно к направлению давления, в результате чего формируются так называемые сланцевые текстуры горных пород.
Химически активные вещества (вода, углекислота, водород, соединения хлора, серы и др.) являются катализаторами, облегчающими реакции между кристаллами, участвуют в образовании новых минералов, входя в их структуру и производя замещение старых минеральных ассоциаций новыми.
Существенная роль принадлежит фактору времени, ибо все это очень длительные процессы, осуществляющиеся в масштабах геологического времени.
Если же метаморфические преобразования сопровождаются значительным приносом и выносом, происходит замещение одних минеральных ассоциаций другими, изменяется химический состав горных пород. Такой метаморфизм называется метасоматическим.
По преобладающей роли в процессе тех или иных факторов, а также в зависимости от масштабов явлений метаморфизма в пространстве выделяют отдельные виды, или типы метаморфизма. Основными типами метаморфизма являются региональный, контактовый и динамометаморфизм.
Региональный метаморфизм является наиболее распространенным и важным видом метаморфизма, поскольку охватывает огромные площади или целые регионы. Он проявляется в условиях, когда отдельные участки земной коры испытывают длительное прогрессивное погружение, в результате чегогорные породы перемещаются из верхних горизонтов земной коры в более глубокие. Обычно прогибание компенсируется осадконаполнением и в качестве главных факторов регионального метаморфизма, таким образом, выступает петростатическое давление и температура, постепенное повышение которой обусловлено геотермическим градиентом; существенную роль также может играть односторонне боковое давление и химически активные вещества.
В глубинных зонах земной коры может проявляться особая стадия регионального метаморфизма, называемая ультраметаморфизмом. Расплавы, возникающие при ультраметаморфизме и имеющие обычно гранитный состав, проникают во вмещающие породы, пронизывают их, образуя своеобразные породы смешанного состава - мигматиты. Широко развиты мигматиты в пределах древних щитов - Балтийского, Украинского, Алданского.
Контактовый метаморфизм проявляется на контактах магматических расплавов, внедряющихся в земную кору, с вмещающими породами. Вблизи контакта образуется ореол метаморфических пород, который обычно захватывает как окружающее магматическое тело породы, так и краевые части самого магматического тела. Ширина зоны контактового изменения (контактового ореола) может изменяться от сантиметров до первых километров. Основными причинами изменения горных пород в зонах контактов являются температура, возрастающая благодаря тепловому воздействию магматических масс на вмещающие породы, и химически активные газовые и жидкие растворы, выделяемые магматическими расплавами.
Процесс замещения одних минералов другими, протекающий при участии газовых и жидких растворов и сопровождающийся изменением химического состава минеральных образований называется метасоматозом, а разновидность метаморфизма - контактово - метасоматическим. В зависимости от агрегатного состояния растворов различают пневматолитовый и гидротермальный контактово - метасоматический метаморфизм. Наиболее распространенным контактово - метасоматическими горными породами являются скарны и грейзены.
Динамометаморфизм (катакластический, дислокационный метаморфизм) проявляется, главным образом, в верхних частях земной коры, в зонах развития тектонических движений дислокационного характера. Часто локализуется вдоль разрывных тектонических нарушений. Таким образом, основной причиной, вызывающей его, является одностороннее давление. При динамометаморфизме изменяются в основном структурно - текстурные особенности горных пород. Происходит их дробление, а в более глубоких зонах в связи с повышением температуры механическое разрушение сменяется пластическими деформациями. В породах появляется полосчатость, заключающаяся в чередовании слоев различных по форме зерен и окраске минералов, возникает кристаллизационная сланцеватость.
2. Гипотеза неорганического происхождения нефти
В 1805 г. знаменитый немецкий естествоиспытатель Александр фон Гумбольдт высказал предположение, что нефть образуется на больших глубинах в магматических породах. Он наблюдал, как нефть сочилась из таких пород в Южной Америке, Венесуэле.
В 1866 французский химик M Бертло высказал предположение, что нефть образуется в недрах Земли при воздействии углекислоты на щелочные металлы.
В 1871 французский химик Г. Биассон выступил с идеей о происхождении нефти путем взаимодействия воды, CO2, H2S с раскаленным железом.
В 1877 Д. И. Менделеев предложил минеральную (карбидную) гипотезу, согласно которой возникновение нефти связано с проникновением воды в глубь Земли по разломам, где под воздействием ее на "углеродистые металлы" - карбиды - образуются углеводороды и окись железа.
В 1889 В. Д. Соколов изложил гипотезу космического происхождения нефти. По этой гипотезе исходным материалом для возникновения нефти служили углеводороды, содержавшиеся в газовой оболочке Земли ещё во время её звёздного состояния. По мере остывания Земли углеводороды поглотились расплавленной магмой. Затем, с формированием земной коры, углеводороды проникли в осадочные породы в газообразном состоянии, конденсировались и образовали нефть.
В 50-60-е гг. 20 века различными учеными: H. А. Кудрявцев, В. Б. Порфирьев, Г. H. Доленко, Ф. Хойл и другие возрождаются различные гипотезы неорганического (космического, вулканического, магматогенного) происхождения нефти. Однако на 6-м (1963), 7-м (1967) и 8-м (1971) Международных нефтяных конгрессах неорганические гипотезы не получили поддержки
3. Давление в нефтяных и газовых залежах
Пластовое и забойное давление при разработке залежей
Энергетические ресурсы залежи на каждом этапе ее разработки характеризуются значением пластового давления Рпл .
С началом эксплуатации залежи в результате отбора из нее нефти (газа) в зоне отбора происходит снижение пластового давления. В последующем в зависимости от режима работы залежи, годовых объемов добычи и т.д. в изменении пластового давления могут наблюдаться различные тенденции.
Пластовое давление в продуктивном горизонте на какую-либо дату, устанавливающееся при работе практически всего фонда скважин, называют текущим или динамическим пластовым давлением. В процессе разработки на одних участках залежи давление может снижаться, на других — стабилизироваться, на третьих — возрастать. Рост давления после некоторого периода его снижения может быть обусловлен уменьшением отбора жидкости из пластов или искусственным воздействием на пласты. Выявление этих, иногда противоположных тенденций на фоне различных, обусловленных глубинами залегания горизонта значений начального давления в разных частях залежи, встречает значительные трудности. Поэтому при контроле за энергетическим состоянием залежи обычно пользуются значениями приведенного пластового давления.
Приведенное пластовое давление — это давление, замеренное в скважине и пересчитанное на условно принятую горизонтальную плоскость. Обычно это плоскость, соответствующая значению средней абсолютной отметки начального ВНК или ГВК. В некоторых случаях могут быть использованы и другие горизонтальные плоскости, например, при большой высоте залежи — плоскость, делящая объем залежи пополам. Положение поверхности приведения сохраняется постоянным до завершения разработки. Приведенное давление Рпл.пр. вычисляют по формуле:
Рпл.пр=Рпл.з±rgh, где Рпл.з — замеренное в скважине пластовое давление; h— расстояние между точкой замера и условной плоскостью; r — плотность воды, нефти или газа (в зависимости от того, в какой скважине — нагнетательной, добывающей нефтяной или газовой — сделан замер), g – ускорение свободного падения.
Поправку rgh вычитают при положении точки замера давления ниже условной плоскости и прибавляют при ее положении выше этой плоскости. На рис. 1 в законтурных водяных скв. 1 и 2 замеры давления произведены ниже условной плоскости, поэтому поправка должна вычитаться из замеренной величины. В водяной законтурной скв. 3 замер по техническим причинам выполнен выше условной плоскости, поэтому поправка прибавляется к значению замеренного давления. В этих трех скважинах поправку определяют с учетом плотности пластовой воды. По всем остальным скважинам замеры выполнены выше условной плоскости, поэтому поправку прибавляют к замеренным значениям, при этом учитывают плотность: по скв. 4, где пласт обводнен в процессе разработки, — воды, по скв. 5 — нефти.

Характер распределения приведенного текущего пластового давления в пределах залежи можно показать в виде схематического профиля. На рис. 2 горизонтальная линия 1 соответствует приведенному начальному пластовому давлению, имеющему одинаковые значения по площади залежи. При вводе в эксплуатацию первой скважины в пласте происходит радиальное движение жидкости или газа к ней, и вокруг скважины образуется локальная (местная) воронка депрессии давления. В пределах воронки давление изменяется по логарифмической кривой 2. При этом начальное пластовое давление остается практически постоянным. Линия 2 в сочетании с линией 1 отражает распределение давления в пласте после ввода первой скважины.

Давление в пласте у забоя скважины при ее работе называют забойным давлением Pзаб. По мере разбуривания залежи, дальнейшего ввода скважин в эксплуатацию и увеличения таким путем общего отбора жидкости из залежи воронки депрессии давления на забоях скважин сближаются, одновременно происходит постепенное снижение пластового давления в залежи в целом. Образуется общая для залежи воронка депрессии давления, осложненная локальными воронками скважин.
Повышенное положение точек на кривой давления между действующими скважинами соответствует значению текущего (динамического) пластового давления. Кривая 3 на рис. 2, проходящая через эти точки, характеризует текущее пластовое давление в залежи. Видно, что приведенное текущее пластовое давление снижается от контура питания к центральной части залежи.
Характер распределения в пласте давления при внутриконтурном нагнетании в пласт воды или другого рабочего агента (в приведенном случае — при разрезании залежи на блоки) показан на рис. 3. Локальные воронки действующих нагнетательных скважин обращены вершинами вверх.
Динамическое пластовое давление вблизи нагнетательных скважин обычно превышает начальное пластовое давление на 15—20%, а иногда и более. Положение каждого разрешающего ряда соответствует искусственному контуру питания.
Динамическое пластовое давление в различных частях залежи можно определить путем замера его в имеющихся отдельных простаивающих скважинах и в специально останавливаемых единичных скважинах (при сохранении фонда ближайших к ним скважин в работе). Замеренное в остановленной скважине давление будет соответствовать динамическому при условии, что замер выполнен после прекращения движения жидкости в прискважинной зоне и стволе скважины.
Значения забойного давления в скважине определяют в период установившегося режима ее работы, пластового — после продолжительной остановки скважин (от нескольких часов до суток и более). Для получения данных о забойном и пластовом давлении глубинный манометр спускают в скважину к середине пласта и в течение некоторого времени фиксируют забойное давление. Затем скважину останавливают, после чего перо манометра регистрирует выполаживающуюся кривую восстановления давления (КВД)

Рис. 3. Схематический профиль приведенного пластового давления залежи при внутриконтурном нагнетании воды.
Скважины: 1 — нагнетательные, 2 — добывающие; части пласта: 3 - нефтенасыщенные, 4 — промытые водой, 5 — динамическое пластовое давление (общие воронки депрессии давления); 6 — локальные воронки депрессии (репрессии); Рпл.нач - начальное пластовое (приведенное) давление; забойное давление: Рзаб.д - в нагнетательной скважине, Рзаб.наг. — в добывающей скважине от забойного до динамического пластового. Характер КВД в добывающей и нагнетательной скважинах показан на рис. 4. По окончании исследования скважину вводят в эксплуатацию. При наличии достаточного опыта, когда становится известной необходимая в конкретных геологических условиях продолжительность остановки скважины для восстановления давления, замер динамического пластового давления можно проводить, спуская манометр в конце остановки, без снятия КВД.

Динамическое пластовое давление залежи в целом освещается замерами его в скважинах, останавливаемых в последовательности, обеспечивающей неизменность условий дренирования залежи в районе исследуемой скважины. Не следует допускать одновременной остановки близко расположенных друг к другу скважин, поскольку при этом давление на исследуемом участке залежи восстановится до значений выше динамического, сформировавшегося при работе всех скважин. В то же время для оценки состояния пластового давления залежи на определенную дату данные о нем должны быть получены в возможно большем количестве скважин в короткий срок.
Контроль за изменением пластового давления в продуктивном пласте в целом в процессе разработки залежи проводят с помощью карт изобар. Картой изобар называют нанесенную на план расположения забоев скважин систему линий (изобар) с равными значениями динамического пластового давления на определенную дату. Эта карта отображает особенности общего распределения динамического пластового давления в залежи, без учета локальных воронок депрессии каждой скважины.
При построении карты используют данные о приведенном пластовом давлении. Для решения некоторых специальных задач могут быть построены карты абсолютного (замеренного у пласта) динамического пластового давления. При построении карты на установленную дату следует использовать замеры давления в скважинах, максимально приближенные во времени к этой дате. Однако на практике в связи с необходимостью поочередной остановки скважин для замера выполнение нужного количества измерений требует значительного времени — до одного-двух месяцев, а иногда и более. При использовании данных о давлении, полученных значительно раньше даты составления карты, необходимо в замеренные значения давления вносить поправку на время. Это можно приближенно выполнить с учетом общей тенденции снижения давления, выявленной по данным прошлых карт изобар (рис. 5, сплошная линия) и проявляющейся в периоде накопления последних данных (штрихпунктирная линия). Интервал между изобарами на карте выбирают исходя из общего диапазона значений давления в пределах залежи.


Карта изобар (рис. 6) служит основой для определения среднего динамического пластового давления на определенную дату по залежи (или отдельным ее частям).
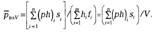
Среднее динамическое пластовое давление в залежи можно представить как давление, которое установилось бы в ней после прекращения эксплуатации залежи и полного его перераспределения и выравнивания (в условиях изоляции залежи от окружающей среды). Среднее динамическое пластовое давление залежи определяют с помощью карты изобар как среднее взвешенное по ее площади или объему.
Среднее взвешенное давление по площади
находят по формуле
![]()
где pi — среднее арифметическое значение давления в пределах i-го элемента залежи между соседними изобарами; fi — площадь i-го элемента залежи, замеряемая по карте; F -площадь залежи; n — количество элементов площади залежи с разными средними значениями давления.
Для определения среднего взвешенного давления по объему залежи
последовательно выполняют следующие операции.
1. Строят карту равных значений нефте(газо)насыщенной толщины пласта h и по ней определяют значения fi, и hi, для элементов площади между отдельными изопахитами.
2. Строят карту равных значений произведения ph, где р — приведенное пластовое давление. Значения этого произведения в разных точках пласта могут быть получены одним из двух способов: путем совмещения карты нефтегазонасыщенной толщины с картой изобар и определения значений ph в точках пересечения изолиний этих карт; по данным замеренных значений р и h по скважинам.
3. По карте равных значений произведения ph определяют площади элементов s, между соседними изолиниями и соответствующие элементам площади средние значения (ph)i
4. Находят среднее значение
по формуле
![]()
где V — нефте(газо)насыщенный объем залежи; n — количество элементов площади с разными средними значениями ph; т — количество элементов площади залежи с разными средними значениями h.
По нефтяным залежам среднее пластовое давление определяют как среднее взвешенное по площади при относительно небольшой толщине продуктивных пластов (единицы и первые десятки метров), как среднее взвешенное по объему — при большой средней толщине (многие десятки и сотни метров). Поскольку залежам газа свойственна обычно значительная толщина продуктивных пластов, для них определяют среднее пластовое давление как среднее взвешенное по объему.
Средние значения давления определяют не только для залежи в целом, но при необходимости и для различных ее зон и участков, представляющих самостоятельный интерес.
С помощью карт изобар можно выявлять степень связи залежи с законтурной зоной, определять фильтрационную характеристику пластов. Они дают наглядное представление об энергетических возможностях залежи в целом и отдельных ее частей. Совместное рассмотрение карт изобар, составленных на несколько дат, позволяет судить об эффективности принятой системы разработки и отдельных технологических мероприятий по совершенствованию процесса разработки. Карты изобар можно использовать для прогнозирования поведения давления и перемещения контуров нефтеносности.
Перепады давления в пласте при добыче нефти и газа. комплексные показатели фильтрационной характеристики пластов
Как уже указывалось, при разработке залежи в продуктивном пласте образуются воронки депрессии давления — общая по залежи в целом и локальные в районе каждой добывающей и нагнетательной скважины. Перепад давления, соответствующий локальной воронке, применительно к добывающей скважине называют депрессией на забое скважины DРскв.д, применительно к нагнетательной скважине — репрессией на забое скважины DРскв.д. В качестве обобщающего термина (для добывающих и нагнетательных скважин) наиболее часто применяют термин перепад давления в скважине.
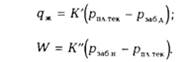
В добывающей скважине забойное давление DРзаб.д меньше текущего пластового давления DРпл.тек величину депрессии, в нагнетательной скважине DРзаб.н больше DРпл.тек на величину репрессии. Соответственно перепады давления в добывающей и нагнетательной скважинах определяются выражениями:
![]()
При установившейся фильтрации жидкости депрессия на забое добывающей скважины и репрессия на забое нагнетательной скважины находятся в прямой связи соответственно с дебитом по жидкости qж и приемистостью W:

Здесь К' и К"— коэффициент продуктивности и коэффициент приемистости скважины, выражаемые соответственно в (т/сут)/0,1 MПа и в (м3/сут)/0,1 МПа и характеризующие изменение дебита и приемистости скважины на единицу изменения перепада давления в скважине. Коэффициенты К' и К." для одной и той же скважины обычно имеют разные значения. Поэтому для скважины, сначала дававшей нефть, а затем переведенной под нагнетание воды с целью совершенствования системы воздействия, эти коэффициенты должны определяться самостоятельно при добыче нефти и при закачке рабочего агента.
Дебит скважины по жидкости qж и приемистость скважины W при установившейся фильтрации жидкости определяют по уравнениям:

где kпр — проницаемость пласта; h — толщина пласта; DРскв.д(н) =Рпл-Рзаб в добывающей (нагнетательной) скважине; Rк — радиус условного контура питания скважины: rпр — приведенный радиус скважины; и m,— соответственно вязкость нефти и воды.
Радиус условного контура питания скважины Rк принимают равным половине расстояния между скважинами.
Приведенный радиус скважины rпр — радиус условной совершенной скважины, принимаемой в качестве эквивалента реальной скважины, несовершенной по качеству и степени вскрытия пласта, но имеющей те же дебит и депрессию.
Соответственно: коэффициенты продуктивности и приемистости представляют собой комплексные характеристики соответственно добывных возможностей и приемистости скважины.

На практике коэффициент продуктивности (приемистости) определяют путем исследования скважины методом установившихся отборов. Метод основан на измерении дебита и забойного давления при нескольких стабилизировавшихся режимах работы скважины. Полученные результаты выражают в виде зависимости между дебитом и депрессией на забое скважины (индикаторной диаграммы) (рис. 7). При фильтрации жидкости индикаторные линии обычно прямолинейны по всей длине или на начальном участке.

Рис. 7. Индикаторные диаграммы добывающих (а) и нагнетательных (б) скважин:
q„ — дебит скважин по нефти; W — приемистость скважин; Др — депрессия (репрессия) на забое скважины
По добывающим скважинам при больших значениях дебита они могут быть изогнутыми в результате нарушения линейного закона фильтрации вблизи скважины, уменьшения проницаемости в связи со смыканием трещин при значительном снижении забойного давления. По нагнетательным скважинам основной причиной искривления индикаторных линий является раскрытие микротрещин в пласте по мере увеличения забойного давления.
Уравнение прямолинейной индикаторной линии добывающей нефтяной скважины имеет вид.
При прямолинейном характере индикаторной кривой коэффициент K'(K'') остается постоянным в интервале исследованных режимов и численно равен тангенсу угла между кривой и осью перепада давления.
На искривленном участке индикаторной кривой коэффициент продуктивности (приемистости) изменчив и для каждой точки кривой определяется как отношение дебита (приемистости) к соответствующему перепаду давления. Значение коэффициента продуктивности (приемистости) используют для прогноза дебитов (приемистости) скважины при перепадах давления, допустимых в рассматриваемых геологических и технических условиях.
В промыслово-геологической практике часто пользуются удельным коэффициентом продуктивности (приемистости) Куд, характеризующим значение коэффициента продуктивности (приемистости) К' ( К") на 1 м работающей толщины пласта h:
Этот показатель используют при обосновании кондиционных значений параметров продуктивных пластов, при сравнении фильтрационной характеристики пластов разной толщины и в других случаях.
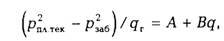
Дебит газа qг в скважине при установившейся фильтрации прямо пропорционален разности квадратов значений давления P2пл - P2заб
![]()
где kпр — коэффициент проницаемости; h — эффективная толщина; Тст = 273 К; Тст - (273 - tпл); Pат = 105 Па; m -вязкость пластового газа; Z — коэффициент сверхсжимаемости газа; Rк – условный радиус контура питания; rпр – приведенный радиус скважины.
В отличие от уравнения притока нефти к скважине в уравнении притока газа дробь в его правой части не является коэффициентом продуктивности, так как в связи с нелинейностью фильтрации газа дебит его пропорционален не депрессии, а некоторой нелинейной функции давления. Этот коэффициент пропорциональности может быть определен с помощью индикаторной линии, построенной в координатах qг и (P2пл.тек – Р2заб)/ qг. Уравнение индикаторной линии имеет вид
, где А и В— коэффициенты фильтрационного сопротивления, зависящие от параметров пласта в призабойной зоне (А) и от конструкции скважины (В).
Коэффициент А численно равен значению (P2пл.тек – Р2заб)/ qг в точке пересечения индикаторной линии с осью ординат. Дробь в правой части уравнения соответствует 1/А, т.е. ![]()
По данным исследования скважин (по методу установившихся отборов) оценивается основная фильтрационная характеристика пласта — коэффициент проницаемости, а также комплексные характеристики пластов, учитывающих одновременно два-три основных свойства продуктивных пластов, оказывающих влияние на разработку залежей.
4. Характеристика Тимано-Печорской нефтегазоносной провинции
Тимано-Печорский ТПК - один из крупнейших территориально- производственных комплексов России.
Тимано-Печорский ТПК расположен в Северном экономическом районе. Комплекс охватывает восточную часть территории Архангельской области ( Ненецкий АО ) и северную часть Республики Коми.
Развитию Тимано-печорского ТПК способствовали следующие факторы: обеспеченность энергетическими, лесными, водными, и другими ресурсами. наличие свободных территорий, удобных для строительства промышленных объектов и жилых комплексов.
Коми республика - единственный на Севере район, являющийся крупным производителем важных и дефицитных энергоносителей - энергетических и коксующихся углей, нефти, газа. Недра республики Коми богаты минеральными ресурсами: каменным углем (Печорский бассейн, Воркутинское, Юнь-Янгинское , Хальмер-Юское , Интинское и др.) , нефтью и природным газом: Тимано-Печорская нефтегазоносная провинция ( Вуктылское , Пашненское , Усинское и другие месторождения ) , горючими сланцами , асфальтитами , титановыми рудами ( Ярегское месторождение) , бокситами , известняком.
Республика Коми богата лесными ресурсами (общие запасы древесины оцениваются в 1,2 млрд. м3). На основе этих ресурсов и формируется Тимано-Печорский ТПК. Его опорными пунктами являются Воркута и Инта (добыча угля), Ухта (добыча нефти и ее переработка), Усинск(добыча нефти), Вуктыл (добыча газа) и др.
Освоение местных нефтяных ресурсов началось в середине 17 века горнопромышленником Ф.С. Прядуновым. Добыча нефти велась на реке Ухте. Здесь же в 1745 году был построен первый в мире нефтеперегонный завод, перерабатывающий нефть на осветительное масло. Однако развитие нефтяных промыслов на юге России привело к сокращению, а затем к окончательному прекращению добычи нефти на Европейском Севере. Царское правительство не уделяло должного внимания развитию этого района, считая, что он беден и осваивать его нет смысла. Только в 1920 году в районе Ухты была произведена пробная добыча нефти. Однако ее промышленная добыча началась только в послевоенное время. Кроме нефти в недрах комплекса есть значительные запасы природного газа и газоконденсата. Газовый конденсат содержит до 94 % метана и другие ценные компоненты.
Удельный вес Тимано-Печорского ТПК в нефтедобывающей промышленности России составляет около 3 % .Надо отметить, что также, как и любой другой отрасли, нефтяной промышленности нужны крупные инвестиции для дальнейшего функционирования и развития.
Важное значение для развития Тимано-Печоского ТПК имеют месторождения каменных углей Печорского бассейна. О наличии угля на реке Печоре было известно еще в 17 веке. Однако основное открытие угля приходится на советский период. Геологические экспедиции проводились под руководством известного геолога А.А. Чернова. Главное открытие в этом районе сделано в 1930 году - было обнаружено. Воркутинское месторождение. С 1934 года началась промышленная добыча угля. Печорский бассейн имеет геологические запасы угля более 300 млрд. тонн. Наибольшую ценность представляют коксующиеся угли. Они сосредоточены в северо-восточной части бассейна. Низкое содержание серы, отсутствие фосфора и хорошая спекаемость обеспечивают производство из печорских углей высококачественного кокса. Запасы энергетического угля выявлены в южной части бассейна, где эксплуатируется крупное Интинское месторождение.
В пределах комплекса расположен Тиманский бокситоносный район, где обнаружено более 30 залежей бокситов, которые служат сырьем для получения алюминия. Бокситовые руды Среднего Тимана залегают близко к поверхности земли, средняя мощность рудного тела от 6 до 9 метров. Качество руд высокое, с большим содержанием глинозема при неглубоком залегании. Тиманские бокситы отличаются низким содержанием кальция, что определяет их ценность не только для производства глинозема, но и электрокорунда. На их основе намечается создать в районе г.Ухты крупное глиноземное производство, мощностью в 1,3 млн. тонн, построить железную дорогу длиной 150 км от месторождения бокситов до Ухты. Комплексное освоение территории Среднего Тимана весьма экономично и позволяет дополнительно получить ряд необходимых народному хозяйству продуктов: строительных материалов, деловой древесины.
На территории ТПК сосредоточены значительные ресурсы титанового сырья, железных, медных руд и редких металлов. Особо следует отметить Ярегское месторождение титановых руд, которое является одним из крупнейших в стране. Освоение его в перспективе существенно повлияет на отраслевую структуру промышленности Тимано-Печорского ТПК. Разведаны также новые месторождения титана на реках Ухте и Пижме, имеющие благоприятные горно-геологические условия для открытой добычи.
Комплекс также богат месторождениями различных строительных материалов и химического сырья. Наибольшее значение имеют известняки, пригодные для использовании в металлургии и получения цементов высоких марок. Среди химического сырья выделяется Сереговское месторождение каменной соли и ,безусловно, месторождения нефти. В верховьях Печоры есть еще один соленосный бассейн, где , кроме каменной, имеется и поваренная соль.
В формировании Тимано-Печорского ТПК видное место принадлежит запасам древесины. Здесь находится основной лесозаготовительный район европейской части России. Основная часть лесных ресурсов приходится на ценные хвойные породы, главным образом ель и сосну. Общие лесосырьевые ресурсы (1,2 млрд. куб. м.) позволяют сформировать крупный лесопромышленный комплекс с углубленной химической и химико-механической переработкой древесины.
Немаловажное значение для развития комплекса имеет хорошая обеспеченность водными ресурсами, что способствует созданию здесь водоемких производств. Наряду с пресными водами имеются большие запасы минеральных вод, которые могут быть использованы не только в лечебных целях, но и в промышленности.
Для комплекса характерен повышенный показатель урбанизации. На его территории насчитывается свыше 40 городских поселений. Наиболее крупные города комплекса: Воркута, Ухта, Печора, Инта, Нарьян-Мар. Быстро растет город Усинск. Национальный состав Тимано-Печорского ТРК неоднороден. Коми, ненцы - проживают в своих автономных образованиях (Коми - в республике, Ненцы - в автономном округе).
Характеристика отраслей специализации хозяйства комплекса. На территории Тимано-Печорского ТПК до недавнего времени был почти создан достаточный экономический потенциал, способствующий ускоренному развитию его хозяйства. Комплекс, несмотря на неблагоприятную экономическую ситуацию в стране, все еще играет важную роль по производству такой продукции, как нефтебитумы, низкотемпературные масла, специальные лаки, стройматериалы, клееная фанера. Велика его доля по заготовке деловой древесины (крупный лесопромышленный комплекс находится в г.Сыктывкаре), в общероссийской добыче нефти, угля. К ведущим отраслям, определяющим народнохозяйственную специализацию комплекса относятся топливная и лесная промышленности. На их долю приходится свыше 50 % производимой продукции.
Все больше сокращается добыча каменного угля, которая 10 лет назад здесь занимала главенствующее положение. Добыча каменного угля, которая достигла в 1990 году около 30 млн. тонн, в 1997 году составляет 21,7 млн.тонн. Здесь добывается коксующийся и энергетический уголь. Коксующимися углями Печорский бассейн обеспечивает Центральную металлургическую базу.
Все большее значение приобретает нефтяная и газовая промышленность. Добыча нефти в 1997 году увеличилась по сравнению с 1995 годом на 11% , объемы первичной обработки нефти на 12% , что выглядит весьма оптимистично и эта отрасль промышленности в Тимано-Печорском ТПК имеет большие перспективы развития. Нефть Тимано-Печорской нефтегазоносной провинции отличается высоким качеством. Вообще, нефти Тимано-Печорского ТПК очень широкого спектра. Не редкость, когда на месторождении встречается от 1 до 11 залежей, причем в разных залежах присутствуют нефти с различными характеристиками — сернистые и бессернистые, высоковязкие и низковязкие. Встречаются тяжелые, но есть и такие легкие, которые по своему составу и свойствам приближаются к конденсату — на некоторых месторождениях извлеченным сырьем заправляли автомобили. Очень легкие виды нефти добываются на о.Колгуеве. Как уже было сказано, одно из свойств тимано-печорской нефти — вязкость. Это делает невыгодным ее добычу из скважин и требует применения шахтного метода. Тяжелая нефть идет на производство редких сортов масел, высококачественного дорожного битума. Смазочные масла и дизельное топливо, получаемые из тяжелой нефти, не замерзают при низких температурах, поэтому их производство имеет большое значение в условиях Севера. Наряду с тяжелой нефтью ведется добыча и легкой. Годовая добыча нефти в 1997 году составила 7,5 млн. тонн. Следует отметить, что по объему ежегодного прироста добычи нефти в стране Тимано-печорский ТПК уступает лишь Западной Сибири. Несмотря на сложные природно-климатические условия, затраты на добычу 1 тонны нефти здесь ниже, чем в Поволжье, благодаря малой глубине залегания нефтяных пластов и высокому дебиту скважин.
Часть добываемой нефти транспортируется на нефтеперерабатывающие заводы в Центральный район по нефтепроводу Усинск - Ухта - Ярославль -Москва. Переработка нефти осуществляется также и на Ухтинском нефтеперерабатывающем заводе, где из нее получают свыше 20 видов продукции.
Относительно стабильным выглядит положение в газовой промышленности. Добыча и переработка природного газа в 1997 году по сравнению с 1996 годом увеличилась на 0,5 % и составила около 3,5 млрд. куб. м. В Сосногорске на газоперерабатывающем заводе ( ГПЗ ) получают гелий, технический углерод и сжиженный газ. На базе этого завода в Ухте работает предприятие по ремонту автопокрышек. Уникальной продукцией завода является термическая сажа, так как Ухтинский ГПЗ - единственный ее производитель а стране. От Вуктылского месторождения газа берет свое начало газопровод «Сияние Севера». По территории Тимано-печорского ТПК проходит также трасса газопровода Уренгой - Надым - Вуктыл - Грязовец -Центр, которая была построена в 1981 году и входит в число крупнейших магистралей газопроводов Западная Сибирь — Центр. Это позволяет с минимальными дополнительными затратами подключить газовые месторождения Тимано-Печорской провинции к трубопроводам из Сибири.
Важной проблемой развития комплекса является использование попутного газа, часть которого из-за недостатка мощностей по его переработке приходится сжигать.
Для природно-климатических условий комплекса характерны продолжительная суровая зима, короткое лето, низкое естественное плодородие сельскохозяйственных культур, преобладание подзолистых почв, преходящих на севере в тундровые. Поэтому сельское хозяйство специализируется на молочном, молочно-мясном скотоводстве, в южных районах - на производстве картофеля и овощей. Развито птицеводство на промышленной основе, откормочное свиноводство, а в северных районах - оленеводство. В силу природно-климатических условий сельское хозяйство Тимано-Печорского ТПК не получило большого развития.
В условиях большой протяженности Тимано-Печоского ТПК важная роль принадлежит транспорту. Транспортная сеть, представленная всеми видами транспорта, развита еще недостаточно и не полностью обеспечивает потребность народного хозяйства комплекса в перевозках.
Главной дорогой является Печорская (Воркута - Котлас), которая была построена в годы Великой Отечественной войны и пересекает территорию комплекса с юго-запада на северо-восток на 900 км и соединяет все основные промышленные узлы. Имеются также ответвления от транспортных артерий к ресурсным единицам комплекса для их связи с остальными элементами ТПК. В будущем при хорошей социально-экономической ситуации в стране транспорт ожидает бурное развитие вследствие развития самого комплекса: Тимано-Печорскому ТПК необходимы устойчивые транспортные связи с другими регионами, также актуальна транспортная связь и внутри комплекса. Разработка нефтяных и газовых месторождений способствовала возникновению нового вида транспорта - трубопроводного.
Формирование Тимано-Печорского ТПК - важная задача комплексного хозяйственного освоения природных ресурсов Европейского Севера. Перспективы дальнейшего развития Тимано-Печорского ТПК, его масштабы и структура хозяйства определяются в значительной мере величиной природных ресурсов, их ролью в экономике страны. Ведущее место по- прежнему будут занимать отрасли топливной промышленности: угольная, нефтяная, газовая, а также лесная и деревообрабатывающая промышленность.

Рисунок 2 - Центры нефтедобычи Тимано-Печорской нефтегазоносной провинции
Рисунок 2 демонстрирует результат оконтуривания ЦНД Тимано-Печорской провинции в целом. Показаны все участвующие в моделировании объекты и ЦНД - 13 действующих и 1 перспективный центр Приразломного месторождения. Цветовая палитра контуров ЦНД соответствует виду транспорта отгрузки нефти с пункта товарного учета – морскому, трубопроводному и железнодорожному. На побережье Печорского моря действуют морские центры – Варандейский и Колгуевский, На крупные узлы Усу и Ухту Северных магистральных трубопроводов ориентированы развитые центры Харьяго-Усинский, Хасырейский, Тэбукский. Между Усой и Ухтой вдоль трассы магистрального нефтепровода и Северной железной дороги располагаются центры Леккерско-Лемьюской группы и недавно сформировавшийся железнодорожный центр Лузского месторождения. Войвожский и Ярегский центры поставляют сырье на НПЗ Ухтанефтепереработка. Задачи стратегического планирования развития нефтяного комплекса, которые решаются путем моделирования ЦНД, весьма разнообразны. Остановимся на тех, которые могут быть осуществлены по результатам пространственного анализа объектов средствами геоинформационных систем. Выделение ЦНД позволяет моделировать качество смеси нефти, поступающей с различных месторождений на единый пункт сдачи и решать задачи управления качеством. Рассчитывая плотность и содержание серы смеси в зависимости от «вклада» каждого месторождения, мы можем оценить по качеству тот региональный сорт нефти, который формируется в пределах ЦНД. В этом регионе пространственное освоение ресурсов, сопровождавшееся строительством транспортной инфраструктуры, в течение более чем 30 лет шло с учетом не только поддержания уровня добычи, но и поддержания качества сырья, поставляемого на обособленные морские и являющиеся конечными пунктами подводных нефтепроводов береговые терминалы. В пределах Тимано-Печорской провинции в целях поддержания качества сырья также происходит обособление ЦНД. Упоминавшийся центр Лузского месторождения выделился из трубопроводного в железнодорожный с использованием альтернативного трубопроводному вида транспорта, так как качество нефти месторождения значительно превышает те же характеристики смеси Лемьюского ЦНД, в состав которого оно входило ранее.
5. Особенности разведки газовых и газоконденсатных месторождений
Разведочные организации, независимо от ведомственной подчиненности, при разведке газовых и газоконденсатных месторождении должны обеспечить щенку запасов газа и конденсата со степенью достоверности, достаточной для передачи их в разработку или опытно-промышленную эксплуатацию, в соответствии с действующими положениями, на момент производства разведочных работ и получить другие исходные данные, необходимые для проектирования опытно-промышленной эксплуатации и разработки месторождений при наиболее оптимальных экономических показателях.
Подсчет запасов газа и конденсата газовых и газоконденсатных месторождений производится объемным методом или по падению давления по данным опытно-промышленной эксплуатации.
Степень разведанности газовых и газоконденсатных месторождений, подлежащих промышленному освоению и опытно-промышленной эксплуатации, должна удовлетворять необходимому соотношению категорий запасов газа и конденсата, предусмотренному действующими инструкциями и положениями на момент подсчета запасов.
При разведке газовых и газоконденсатных месторождений (залежей) и подготовке их к разработке должно быть обеспечено получение следующих данных:
а) доказано наличие или отсутствие нефтяной оторочки промышленного значения;
б) проведены полноценные опробования и исследования по нескольким скважинам с целью получения остовных параметров залежи;
в) определены основные параметры коллекторов, достаточно полно характеризующие продуктивные горизонты как по разрезу, так и по площади;
г) определено положение контактов газовых и газонефтяных залежей;
д) определены характерные структурные и геометрические особенности строения залежи.
При разведке газовых и газоконденсатных месторождений необходимым условием является максимальное сокращение сроков разведки, получение необходимых показателей для подготовки месторождений к опытно-промышленной эксплуатации и последующей передачи их в разработку, что должно обеспечиваться
а) совмещением этапов разведки и проектирования разработки; это достигается тем, что после получения промышленных притоков газа в поисковых скважина: заложение разведочных скважин производится по проекту разведки или до разведки с учетом вероятного расположения будущих эксплуатационных скважин;
б) выбором конструкции скважин, отвечающей требованиям их эксплуатации;
в) выделением этапов разведки многопластовых месторождений с учетом их разработки;
г) определением газо-водяного контакта расчетным путем;
д) осуществлением бурения скважин для доказательства отсутствия нефтяных оторочек промышленного значения;
е) применением наиболее рациональных комплексов промысловых и геолого-геофизических исследований скважин, обеспечивающих получение необходимых пара метров для проектирования опытно-промышленной эксплуатации и разработки газовых и газоконденсатных месторождений.
По разведочным скважинам производится:
а) изучение литолого-стратиграфического разреза;
б) выявление в разрезе продуктивных горизонтов;
в) определение основных характеристик продуктивных горизонтов: мощности, физических свойств коллекторов — пористости, проницаемости, связанной воды, нефти и др. — по промыслово-геофизическим, лабораторным и гидродинамическим исследованиям;
г) изучение покрышек;
д) определение начального положения газо-водяного и газо-нефтяного (в нефтегазовых залежах) контактов;
е) определение продуктивности скважин.
С целью изучения данных для подсчетов запасов газа и проектирования разработки месторождения необходим в намеченных проектом разведки скважинах сплошной или выборочный отбор керна из продуктивных горизонтов с таким расчетом, чтобы практически выносимым керном была обеспечена достаточно полная характеристика физических свойств продуктивных пластов и вмещающих их отложений.
Во всех разведочных скважинах проводится полный комплекс промысловых геофизических исследований, включая определение кривизны и азимута ствола скважин. Проходка без каротажа, замера кривизны и азимута не должна превышать 200 м.
Объем и виды геолого-промысловых исследований при бурении разведочных скважин устанавливаются геолого-техническим нарядом, утвержденным в соответствии с проектами разведки и опытно-промышленной эксплуатации месторождения.
Во всех случаях после цементажа колонны обязательно определять высоту подъема цемента за колонной, а также качество цементажа цементомером или другими методами.
На каждой разведочной площади необходимо определить геотермический градиент в специально подготовленных для этого скважинах.
В случае получения притока воды вместе с газом необходимо определить место притока специальными исследованиями при помощи электротермометра, резистивиметра или другими методами.
На скважинах, давших газ, проводится:
а) замер статического давления на устье (образцовыми манометрами) и определение пластового давления (как правило, глубинными манометрами и в исключительных случаях расчетом);
б) определение дебита газа и конденсата минимум на 5—7 режимах работы скважины;
в) замер динамического давления на устье (образцовыми манометрами) и определение забойного давления (глубинными манометрами или расчетом) при различных режимах работы скважины;
г) снятие кривых стабилизации давления и кривой нарастания давления;
д) замер температуры на забое и по стволу скважины при различных дебитах газа;
е) определение количества состава выносимой воды и твердых примесей при различных дебитах газа;
ж) отбор проб газа и конденсата для определения их химического состава, изучения условий выпадения конденсата, а также определения наличия коррозионных компонентов (сероводорода, углекислоты — в газе, органических кислот — в жидкой фазе);
з) при необходимости работы по увеличению дебита скважины (интенсификация).
На скважинах, давших воду (законтурных и внутриконтурных), производится:
а) откачка воды до постоянства химического состава;
б) замеры пластового давления (глубинными мало- метрами), статического уровня, снятие индикаторной кривой и кривых восстановления давления;
в) отбор глубинных проб воды для химического анализа и определения количества и состава растворенного газа.
На скважинах с признаками нефти или давших нефть проводится комплекс исследований, предусмотренный правилами разработки нефтяных месторождений.
Планы и сроки проведения исследований (опытная эксплуатация) по разведочным скважинам согласовывается с территориальными органами госгортехнадзора.
6. Анализ состояния разработки залежей нефти и газа
Под регулированием разработки нефтяных месторождений понимают целенаправленное поддержание и изменение условий эксплуатации залежей в рамках ранее принятых технологических решений (при проектировании и анализах разработки) с целью достижения возможно высоких технологических (коэффициент нефтеотдачи, темп отбора нефти) и экономических показателей разработки. Принятие решений по выбору метода регулирования и установлению эффективности процесса разработки основывается на данных контроля и анализа .
По мере накопления данных периодически, а также перед составлением каждого проектного документа выполняют анализ процесса разработки, включающий комплекс исследований, расчетов и логических выводов . Информация должна включать весь перечень необходимых для анализа сведений.
В результате анализа должны быть вскрыты главные тенденции развития явлений в залежи, причины сформировавшегося течения процесса и обоснованы методы его регулирования.
Важная часть анализа — сопоставление фактических показателей разработки с данными проекта, предыдущего анализа, выяснение причин изменения каждого показателя, выявление взаимосвязи и влияния основных факторов.
Круг задач анализа определяется в основном режимом работы пласта и стадией процесса разработки.
При водонапорном режиме анализ процесса разработки может включать следующие анализы:
Анализ геологической модели месторождения: уточнение геологического строения месторождения, свойств коллектора и флюидов.
Анализ технологических показателей разработки (по месторождению, отдельным объектам и участкам): а) динамики добычи жидкости, нефти и газа (сопоставление добычи флюидов с закачкой воды, текущих и накопленных отборов с гидропроводностью пласта); фондов добывающих и нагнетательных скважин (с установлением динамики добычи флюидов и фонда скважин по способам эксплуатации); распределения добычи флюидов по площади и толщине пласта (соотношения накопленной и текущей добычи и закачки по месторождению и пласту с выделением характерных участков месторождения по интенсивности их разработки); б) энергетического состояния месторождения (сопоставление динамики пластового давления с динамикой добычи нефти и закачки воды, фактического и расчетного пластовых давлений с установлением характера распределения фонда нагнетательных скважин и количества закачиваемой воды по площади и толщине пласта, количества перетекающей жидкости в другие пласты и за контур нефтеносности, взаимодействия пластов, месторождения с соседними месторождениями и скважин, характерных участков месторождения по распределению пластового давления, степени охвата пласта влиянием закачки); в) состояния обводненности месторождения (определение влияния текущих темпов разработки на обводненность продукции; изучение степени и характера обводнения скважин по площади и толщине месторождения, влияния отборов и закачки жидкости на перемещение и скорость продвижения контуров нефтеносности; оценка степени обводненности продукции в зависимости от отобранных запасов; получение зависимости обводненности продукции от отбора нефти и закачки воды); г) состояния выработки запасов нефти (определение текущего коэффициента нефтеотдачи по промысловым данным и картам изохрон обводнения, потерь нефти в зависимости от плотности сетки скважин, коэффициента охвата и начальных балансовых, извлекаемых и текущих запасов по участкам).
Анализ состояния техники добычи: а) фонда скважин по способам эксплуатации (разбивка скважин на группу по наиболее рациональному способу их эксплуатации и определение условий и времени прекращения фонтанирования скважин, ожидаемого изменения фонда скважин по способам эксплуатация); б) применяемых методов обработки призабойной зоны (выявление осложнений при работе оборудования в добывающих скважинах, вызываемых песком, парафином, агрессивными жидкостями, и определение технического состояния призабойной зоны; установление наиболее рациональных применяемых методов обработки и крепления призабойной зоны); в) применяемых способов, технологии и техники эксплуатации скважин и состояния наземного и подземного оборудования (установление возможности применения различных способов эксплуатации и оборудования для предотвращения образования песчаных пробок, отложения парафина, вредного влияния газа; технического состояния и добывных возможностей применяемого оборудования при механизированном способе добычи; выявление наиболее эффективных и экономичных способов добычи и оборудования для подъема жидкости и повышения к.
Анализ экономических показателей: а) себестоимости (установление динамики, оценка по факторам изменения и по статьям затрат); б) капитальных вложений (установление динамики, оценка по направлениям промыслового обустройства и по удельной величине); в) производительности труда (установление динамики производительности труда, численности персонала по категориям и цехам, удельной численности работников, в том числе рабочих); г) рентабельности предприятия (выявление путей повышения рентабельности добычи нефти).
Заключительной составной частью анализа следует рассматривать прогноз процесса разработки, связанный с предсказанием течения технологических процессов в будущем как при неизменных условиях, так и при проведении работ по регулированию.
Статистическое прогнозирование становится важным разделом теории проектирования и анализа разработки нефтяных месторождений, особенно на поздней стадии.
В отдельных случаях рекомендуется проводить специальный анализ разработки залежи с целью выявления причин искривления прямолинейных зависимостей (остановки обводнившихся или ввод новых добывающих скважин, изменение системы воздействия на пласт и др.
Они позволяют изучать распределение температуры в длительно простаивающей (геотерма) и в работающей (термограмма) скважине, по которому можно определять геотермический градиент, выявлять работающие и обводненные интервалы пласта, осуществлять анализ температурных процессов в пласте (при тепловом воздействии, закачке холодной воды) и выработки запасов нефти при заводнении, контролировать техническое состояние скважин и работу подземного скважинного оборудования.
Геотерма и термограммы используются при проектировании и анализе эксплуатации скважин.
Принципы учета получаемой информации при проектировании, анализе и регулировании разработки нефтяного месторождения рассмотрены в предыдущих главах.
Эксплуатационные объекты выделяют на основе геологического, технологического и экономического анализов в период проектирования разработки.