| Скачать .docx | Скачать .pdf |
Реферат: Измерение длин линий мерными лентами и рулетками
26
8.1. Измерение длин линий мерными лентами и рулетками
Мерные приборы. Расстояния в геодезии измеряют мерными приборами и дальномерами. Мерными приборами называют ленты, рулетки, проволоки, которыми расстояние измеряют путём укладки мерного прибора в створе измеряемой линии. Дальномеры применяют оптические и светодальномеры.
Мерные ленты типа ЛЗ изготавливают из стальной полосы шириной до 2,5 см и длиной 20, 24 или 50 м. Наиболее распространены 20-метровые ленты. На концах лента имеет вырезы для фиксирования концов втыкаемыми в землю шпильками. На ленте отмечены метровые и дециметровые деления. Для хранения ленту наматывают на специальное кольцо. К ленте прилагается комплект из шести (или одиннадцати) шпилек.
Рулетки – узкие (до 10 мм) стальные ленты длиной 20, 30, 50, 75 или 100 м с миллиметровыми делениями. Для высокоточных измерений служат рулетки, изготовленные из инвара – сплава (64% железа, 35,5% никеля и 0,5% различных примесей), имеющего малый коэффициент линейного расширения. Для измерений пониженной точности применяют тесьмяные и фиберглассовые рулетки.
Компарирование . До применения мерных приборов их компарируют. Компарированием называется сравнение длины мерного прибора с другим прибором, длина которого точно известна.
Для компарирования ленты ЛЗ на ровной поверхности (например, досчатой, каменной) с помощью выверенной образцовой ленты отмеряют отрезок номинальной длины (20 м) и укладывают на том же месте проверяемую рабочую ленту. Совместив нулевой штрих ленты с началом отрезка, закрепляют конец ленты в этом положении. Затем ленту растягивают и линеечкой измеряют величину несовпадения конечного штриха ленты с концом отрезка, то есть отличие Dl длины ленты от номинала. В последующем эту величину используют для вычисления поправок за компарирование . Ими исправляют результаты измерений лентой. Если Dl не превышает 1-2 мм, поправкой за компарирование пренебрегают.
Для компарирования ленты в полевых условиях на ровной местности закрепляют концы базиса. Базис измеряют более точным прибором (светодальномером, рулеткой или лентой, проверенной на стационарном компараторе), а затем компарируемой лентой. Из сравнения результатов измерений получают поправку Dl . Измерения выполняют несколько раз и за окончательный результат принимают среднее.
Рулетки, предназначаемые для высокоточных измерений, компарируют на стационарных компараторах, где по результатам проверки длины ленты при разных температурах выводят уравнение её длины:
l = l 0 + Dl + a l 0 (t- t 0 ). (8.1)
Здесь l - длина ленты при температуре t ; l 0 - номинальная длина; Dl - поправка к номинальной длине при температуре компарирования t 0 ; a - температурный коэффициент линейного расширения. Для новых рулеток уравнение длины указывают в паспорте прибора.
Вешение линии. Перед измерением длины линии на её концах устанавливают вехи. Если длина линии превышает 100 м или на каких-то её участках не видны установленные вехи, то в их створе ставят дополнительные вехи (створом двух точек называют проходящую через них вертикальную плоскость). Вешение обычно ведут «на себя». Наблюдатель становится на провешиваемой линии у вехи A (рис. 8.1, а ), а рабочий по его указаниям ставит веху 1 так, чтобы она закрыла собой веху B . Таким же образом последовательно устанавливают вехи 2, 3 и т. д. Установка вех в обратном порядке, то есть «от себя», является менее точной, так как ранее выставленные вехи закрывают видимость на последующие.
![]() |
Рис. 8.1. Вешение линии: а – “на себя”; б – через препятствие; в – то же (вид в плане). |
Если точки A и B недоступны или между ними расположена возвышенность (рис. 8.1, б , в ), то вехи ставят примерно на линии AB на возможно большем расстоянии друг от друга, но так, чтобы в точке C увидеть вехи B и D , а в точке D - вехи A и C . При этом рабочий в точке C по указаниям рабочего в точке D ставит свою веху в створ линии AD . Затем рабочий в точке D по указаниям рабочего в точке C переносит свою веху в точку D 1 , то есть в створ точек C и B . Затем из точки С веху переносят в точку С 1 и так далее до тех пор, когда обе вехи окажутся в створе AB .
Измерение длин линий лентой. Ориентируясь по выставленным вехам, два мерщика откладывают ленту в створе линии, фиксируя концы ленты втыкаемыми в землю шпильками. По мере продвижения измерений задний мерщик вынимает из земли использованные шпильки и использует их для подсчета числа отложенных лент. Измеренное расстояние равно D= 20n+r , где n - число отложенных целых лент и r – остаток (отсчет по последней ленте, меньший 20 м).
Длину измеряют дважды - в прямом и обратном направлениях. Расхождение не должно превышать 1/2000 (при неблагоприятных условиях - 1/1000). За окончательное значение принимают среднее.
Введение поправок. Измеренные расстояния исправляют поправками за компарирование, за температуру и за наклон.
Поправка за компарирование определяется по формуле
Dk = n Dl ,
где Dl - отличие длины ленты от 20 м и n - число уложенных лент. При длине ленты больше номинальной – поправка положительная, при длине меньше номинальной – отрицательная. Поправку за компарирование вводят в измеренные расстояния, если Dl > 2 мм.
Поправка за температуру определяется по формуле
Dt = aD (t -t 0 )
гдеa - термический коэффициент расширения (для стали a = 0,0000125); t и t 0 - температура ленты во время измерений и при компарировании. Поправку Dt учитывают, если ½t -t 0 ½>10°.
Поправка за наклон вводится для определения горизонтального проложения d измеренного наклонного расстояния D
d = D cosn , (8.2)
где n - угол наклона. Вместо вычисления по формуле (8.2) можно в измеренное расстояние D ввести поправку за наклон: d =D +Dn, где
Dn
= d - D = D
(cosn -
1) = -2D
sin2
. (8.3)
По формуле (8.3) составляют таблицы, облегчающие вычисления.
Поправка за наклон имеет знак минус. При измерениях лентой ЛЗ поправку учитывают, когда углы наклона превышают 1°.
Если линия состоит из участков с разным уклоном, то находят горизонтальные проложения участков и результаты суммируют.
Углы наклона, необходимые для приведения длин линий к горизонту, измеряют эклиметром или теодолитом.
Эклиметр имеет внутри коробки 5 (рис. 8.2, а) круг с градусными делениями на его ободе. Круг вращается на оси и под действием укреплённого на нём груза 3 занимает положение, при котором нулевой диаметр круга горизонтален. К коробке прикреплена визирная трубка с двумя диоптрами - глазным 1 и предметным 4.
![]() |
|
Рис. 8.2. Эклиметр: а – устройство; б – измерение угла наклона
Для измерения угла наклона n в точке B (рис. 8.2, б) ставят веху с меткой M на высоте глаза. Наблюдатель (в точке A ), глядя в трубку 2 эклиметра, наводит её на точку M и нажатием кнопки 6 освобождает круг. Когда нулевой диаметр круга примет горизонтальное положение, против нити предметного диоптра 4 берут отсчёт угла наклона. Точность измерения угла эклиметром 15 - 30¢.
Поверку эклиметра выполняют измерением угла наклона одной и той же линии в прямом и обратном направлениях. Оба результата должны быть одинаковы. В противном случае надо переместить груз 3 в такое положение, при котором отсчёт будет равен среднему из прямого и обратного измерений.
Точность измерений лентой в разных условиях различна и зависит от многих причин - неточное укладывание ленты в створ, ее непрямолинейность, изменения температуры ленты, отклонения угла наклона ленты от измеренного эклиметром, неодинаковое натяжение ленты, ошибки фиксирования концов ленты, зависящие от характера грунта и др.
Приближённо точность измерений лентой ЛЗ считают равной 1:2000. При благоприятных условиях она в 1,5 – 2 раза выше, а при неблагоприятных – около 1:1000.
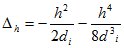
Измерение расстояний рулетками . Измерения рулеткой, выполняемые для составления плана местности, аналогичны измерениям лентой ЛЗ. Для измерений с более высокой точностью, необходимой, например, в разбивочных работах, выполняемых при строительстве сооружений, измеряемую линию расчищают, выравнивают и разбивают на отрезки по длине рулетки, забивая в створе линии до уровня земли колья и отмечая створ втыкаемыми в них иглами или ножами. При неровной поверхности на неё укладывают доски или даже делают мостки. Для измерения пролёта между соседними иглами (ножами) рулетку укладывают вдоль пролёта и натягивают с той же силой (50 или 100 H ), что и при компарировании, используя для этого динамометр. Отсчёты по рулетке берут одновременно по команде против двух игл (лезвий ножей). Длину пролёта di определяют по формуле
di = П-З,
где П и З - передний (больший) и задний отсчёты по шкале рулетки. Полученный результат исправляют поправками за компарирование и температуру, используя уравнение длины рулетки (8.1).
Если линия имеет наклон, необходимо учесть поправку
,
где h - превышение между концами пролёта, измеряемое нивелиром.
Длина линии определится как сумма длин пролётов. Относительные ошибки расстояний при такой методике измерений 1:5000 - 1:10000.
27
8.3. Нитяный дальномер
Теория нитяного дальномера. Зрительные трубы многих геодезических приборов снабжены нитяным дальномером. Сетка нитей зрительной трубы, кроме основных штрихов (вертикальных и горизонтальных), имеет дальномерные штрихи a и b (рис. 8.4, а). Расстояние D от оси вращения прибора MM (рис. 8.4, б) до рейки AB равно
D = L + f + d ,
где L - расстояние от фокуса объектива до рейки; f - фокусное расстояние; d - расстояние между объективом и осью вращения прибора.
Лучи, идущие через дальномерные штрихи сетки a и b параллельно оптической оси, преломляются объективом, проходят через его фокус F и проецируют изображения дальномерных штрихов на точки A и B, так что дальномерный отсчёт по рейке равен n. Обозначив расстояние между дальномерными штрихами p, из подобных треугольников ABF и a¢b¢F находим L = n f / p. Обозначив f / p = K и f + d = c , получаем
D = K n + c ,
где K - коэффициент дальномера и c - постоянная дальномера.

Рис. 8.4. Нитяный дальномер: а) – сетка нитей; б) – схема определения расстояния
При изготовлении прибора f и p подбирают такими, чтобы K=100, а постоянная c была близкой к нулю. Тогда D = 100 n.
Точность измерения расстояний нитяным дальномером » 1/300.
Определение горизонтального проложения линии, измеренной нитяным дальномером. При измерении наклонной линии отсчёт по рейке это отрезок n = AB (рис. 8.5). Если бы рейку наклонить на угол n, то отсчёт был бы равен n0 = A0 B0 = n cosn и наклонное расстояние D=Kn0 +c = Kn×cosn+c.

Рис. 8.5. Измерение нитяным дальномером наклонного расстояния
Умножив наклонное расстояние D на cosn, получим горизонтальное расстояние d = K n cos2 n + c cos n.
Прибавив и отняв с× cos2 n, после преобразований получим
d = (Kn + с) cos2 n + 2c cosn sin2 (n¤2).
Вторым слагаемым по его малости пренебрежем. Получим
d = (Kn + с) cos2 n .
Вычисления упрощаются, если воспользоваться составленными с использованием этой формулы «Тахеометрическими таблицами».
28
Если препятствие (река, обрыв, здание) делает расстояние недоступным для измерения лентой, то его измеряют косвенным методом.
Так, для определения недоступного расстояния d измеряют лентой длину базиса b (рис. 8.3, а, б) и углы a и b . Из DABC находят
d = b sin a / sin (a + b),
гдеучтено, что sin g = sin (180°-a-b) = sin (a + b).

Рис. 8.3. Определение недоступного расстояния
Для контроля расстояние d определяют ещё раз из треугольника ABC 1 ипри отсутствии недопустимых расхождений вычисляют среднее.
29
Классификация ошибок
измерений. Св-ва случайных ошибок.
Под измерением физической величины X понимают процесс сравнения этой величины с другой, однородной с ней величиной q, принятой в качестве меры - единицы измерения. Например, длину отрезка линии местности сравнивают с единицей линейных измерений - метром; горизонтальный угол, образованный отрезками линий на местности, сравнивают с градусом, градом, радианом.
Измерения различают:
- прямые;
- косвенные;
- равноточные;
- неравноточные.
Под прямыми измерениями понимают такие, при которых определяемую величину получают путём непосредственного сравнения (сопоставления) её с единицей измерения или её производной. Например, длина отрезка линии измеряется стальной лентой или горизонтальный угол на местности измеряется теодолитом, а на бумаге транспортиром и т.д.
Косвенными называют измерения, определяемая величина в которых является функцией других непосредственно измеренных величин. Так, для определения длины окружности или площади круга необходимо непосредственно измерить радиус окружности.
Равноточными называют измерения, выполненные приборами одного класса точности, специалистами равной квалификации, по одной и той же технологии, в идентичных внешних условиях. При несоблюдении хотя бы одного из перечисленных условий измерения считаются нерав ноточными.
Результатом измерения 1 является число, показывающее, во сколько раз определяемая величина больше или меньше величины, с которой её сравнивали, т.е. величины, принятой за единицу измерения.
Результаты измерений подразделяют на необходимые и добавочные (или избыточные). Так, если одна и та же величина (длина линии, угол треугольника и т.п.) измерена n раз, то один из результатов измерений является необходимым, а (n-1) - добавочными. Добавочные измерения имеют весьма важное значение: их сходимость является средством контроля и позволяет судить о качестве результатов измерений; они дают возможность получить наиболее надежное значение искомой величины по сравнению с любым отдельно взятым результатом измерения.
Все используемые в геодезии величины получают из измерений
или из вычислений функций измеренных величин. Сравнение какой-либо величины с принятой единицей называют измерением, а полученное при этом численное значение - результатом измерения. В процессе измерения участвуют объект измерения, измерительный прибор, оператор (наблюдатель) и среда, в которой выполняют измерения. Из-за несовершенства измерительных приборов, оператора, изменения среды и измеряемого объекта во времени результаты измерений содержат ошибки. Ошибки подразделяют на грубые, систематические и случайные.
Грубые ошибки возникают вследствие неисправности прибора, небрежности наблюдателя или аномального влияния внешней среды. Контроль работ позволяет выявить и устранить грубые ошибки из результатов измерений.
Систематические ошибки являются результатом действия одного или группы факторов и могут быть выражены функциональной зависимостью между факторами и результатом измерения. Необходимо найти эту функциональную зависимость и с ее помощью определить и исключить основную часть систематической ошибки из результата измерения, чтобы остаточная ошибка была пренебрегаемо малой.
Случайные ошибки неизвестны для конкретного результата измерения, зависят от точности прибора, квалификации оператора, неучтенного влияния внешней среды; их закономерность проявляется в массе. Случайные ошибки не могут быть устранены из результата конкретного измерения, их влияние можно только ослабить путем повышения количества и качества измерений и соответствующей математической обработкой результатов измерений. Случайные ошибки имеют следующие свойства:
1) по абсолютной величине они не превосходят определенного предела;
2) положительные и отрицательные их значения равновозможны;
3) малые по абсолютной величине случайные ошибки встречаются чаще, чем большие;
4) среднее арифметическое значение случайных ошибок при неограниченном увеличении числа измерений стремится к нулю (свойство компенсации случайных ошибок), т.е.
![]()
7 Измерения,выполняемые в инженерной геодезии,их погрешности(ошибки).
Измерение-сравнение с эталоном принятым за едтин меры.
Измерения:непосредственные,косвенные,необходимые,избыточные.
Измерения в геодезии рассматриваются с двух точек зрения: количественной, выражающей числовое значение измеренной величины,и качественной — характеризующ её точность.Ошибка-отклонение измеряемой величины от истинного значения или отклонение от надежного знач. Если обозначить истинное значение измеряемой величины X а результат измерения L то истинная ошибка измерения ∆ опред из выражения ∆= L-X.Ошибки, происходящие от отдельных факторов, наз элементарными.По характеру действия ошибки бывают грубые систематические и случайные. По источнику происхождения различают ошибки приборов, внешние и личные.
8 Классификация погрешностей (ошибок).
Грубыми наз ошибки превосходящие по обсолютной величине некоторый, установленный для данных условий измерений предел. Ошибки которые по знаку или величине однообразно повторяются в многократных измерениях наз систематическими. Случайные ошибки — это ошибки, размер и влияние которых на каждый отдельный результат измерения остается неизвестным.По источнику происхождения различают ошибки приборов, внешние и личные. Ошибки приборов обусловлены их несовершенством, например, ошибка в угле, изм теодолитом, ось вращения которого неточно приведена в вертикальное положение. Внешние ошибки происходят из-зи влияния внешней среды, в которой протекают измерения. Личные ошибки связаны с особенностями наблюдателя.
9 Свойства случайных погрешностей. Средняя квадратическая погрешность.
Свойства случайных погрешностей:1они не превосходят определенного предела
∆≤3m,2равные по величине,но противоположные по знаку встречаются одинаково часто3малые погрешности чаще встречаются чем большие4среднее арифметическое стремится к 0 при неограниченном возрастание n.Cредняя квадратическая ошибка m, вычисл по формуле m= √(∆2 /n) где n число измерений данной величины. Эта формула применима для случаев, когда известно истинное значение измеряемо
17. Виды ошибок при измерениях.
Грубые погрешности
Систематические погрешности (лямбда) — которые в результаты измерений входят по определенной математической зависимости
Случайные погрешности — величину и знак которых предсказать точно до измерения невозможно:
1) В данных условиях измерений случайные погрешности по абсолютной величине не превышают определённого предела;
2) Положительные и отрицательные случайные погрешности равновозможны;
3) Малые по абсолютной величине случайные погрешности встречаются чаще, чем больше;
4) Средние арифметические из случайных погрешностей стремится к нулю при неограниченном числа измерений.
Виды погрешностей измерений, их классификация измерения в геодезии рассматриваются с двух точек зрения: количественной и качественной, выражающей числовое значение измеренной величины, и качественной — характер её точность. Из практики известно, что даже при самой тщательной и аккуратной работе много кратные измерения не дают одинаковых результатов. Если обозначить истинное значение измеряемой величины X а результат измерения l от истинная ошибка измерения дельтаопред из выражения дельта= l-X Любая ошибка результата измерения есть следствие действия многих факторов, каждый из которых порождает свою погрешность. Ошибки, происходящие от отдельных факторов, наз. элементарными.
Ошибки результата измерения яв. алгебраической суммой элементарных ошибок.
Математической основной теорией ошибок измерений являются теория вероятностей и математическая статистика. Ошибки измерений разделяют по двум признакам характеру их действия и источнику происхождения. По характеру — грубые систематические и случайные. Грубыми наз. ошибки превосходящие по абсолютной величине некоторый, установленный для данных условий измерений предел. Ошибки которые по знаку или величине однообразно повторяются в многократных измерениях наз. систематическими. Случайные ошибки — это ошибки, размер и влияние которых на каждый отдельный результат измерения остается неизвестным. По источнику происхождения различают ошибки приборов, внешние и личные. Ошибки приборов обусловлены их несовершенством, например, ошибка в угле, изм. теодолитом, ось вращения которого неточно приведена в вертикальное положение. Внешние ошибки происходят из-за влияния внешней среды, в которой протекают измерения.
Личные ошибки связаны с особенностями наблюдателя, напр., разные набл по разному наводят зрительную трубу на визирную цель. Т к грубые ошибки должен быть искл. из результатов измерений, а систематические исключ. или ослаблены до минимально допустимого предела, то проектирование измерений с необход. точностью, оценку результат выполн. измерений призводят, основываясь на свойства случайных ошибок.
30
10 Арифм средина,средняя квадрат ошибка Арифм средины.
Средне квадрат ошибка подчитывается по ф Бесселя m= √([ ∂2 ]/(n-1)) где ∂- отклонения отдельных значений измеренной величины от ариф середины, наз вероятнейшими ошибками. Точность ариф середины будет выше точности отдельного измерения. Её средняя квадратич ошибка M опред по ф-ле M=m/√n где m — средняя квадратич ошибка одного измерения.Для повышения контроля и точности опред величину измеряют дважды — в прямом и обратном направлении из двух полученных значений за окончательное принимается среднее из них. В этом случае средняя квадратическая ошибка одного измерения по формуле. m= √[d2 ]/2n А средний результат из двух измерений — по формуле M=1/2√ [d2 ]/n где d — разность измеренных величин, n- число разностей ( двойных измерений)
Общие понятия про среднюю
квадратическую ошибку, оценка
точности измерений.
Задачей оценки точности измерений
является получение объективного результата
измерений. Результат измерений представляет
собой интервал
x tm 0 ± ,
где 0 x - вероятнейшее значение измеряемой величины (среднее арифметическое
значение), t – степень доверия к результату; m – критерий точности результата измерений.
Критерий точности должен быть обобщенной точностной характеристикой всех
измерений, не зависеть от знаков погрешностей измерений и рельефно отображать
крупные погрешности.
Наиболее подходящей величиной для критерия точности, удовлетворяющей
изложенным требования, будет среднее квадратическое значение погрешностей
измерений.
Среднюю квадратическую погрешность измерений можно вычислить по
следующим формулам:
m
n
= ± i Σ Δ2
- формула Гаусса; (16)
m
v
n
= ± i
−
Σ 2
1
- формула Бесселя; (17)
m
d
n
= ± i
−
Σ 2
2 2
- формула по разностям двойных измерений, (18)
где Δ
i - истинная погрешность; v i - вероятнейшая погрешность; d i - разность двойных
измерений.
Коэффициент степени доверия к результату измерений для измерений технической
точности принимается равным 2 , а для высокоточных - t = 3 .
Таким образом, для получения объективного результата ряда равноточных
измерений вычисляют: среднее арифметическое значение из этих результатов; среднюю
квадратическую погрешность, принимают коэффициент степени доверия и результат
подставляется в виде:
x tm 0 ± . (19)
31
Понятие средней квадратичной ошибки. Средние квадратичные ошибки функций измеренных величин.
Чтобы судить о степени точности данного ряда измерений, надо вывести среднее значение погрешности измерения. При выборе критерия для оценки точности данного ряда измерений необходимо иметь в виду, что на практике результат считается одинаково ошибочным, будет ли он больше истинного значения или меньше на одну и ту же величину. Кроме того, чем крупнее в данном ряду отдельные погрешности, тем меньше его точность. Исходя из этих соображений, надо установить такой критерий для оценки точности измерений, который не зависел бы от знаков отдельных погрешностей и на котором наличие сравнительно крупных отдельных погрешностей было бы рельефнее отражено.
Таким требованиям удовлетворяет предложенная
Гауссом средняя квадратическая погрешность
![]()
т. е. квадрат средней квадратической погрешности принимается равным среднему арифметическому из квадратов истинных погрешностей.
32
33
Геометрическое нивелирование выполняют, используя нивелир и нивелирные рейки. Нивелир – прибор, в котором визирный луч приводится в горизонтальное положение. Отсчеты берут по шкалам устанавливаемых вертикально нивелирных реек. Оцифровка шкал на рейках возрастает от пятки рейки вверх. Если на пятке рейки расположен ноль шкалы, то отсчет по рейке равен расстоянию от пятки до луча визирования.
Геометрическое нивелирование выполняют двумя способами - “из середины” и “вперед”.
![]() |
|
| Рис. 9.1. Нивелирование: а - из середины; б - вперед; ee – исходная уровенная поверхность |
Нивелирование из середины – основной способ. Для измерения превышения точки B над точкой A (рис. 9.1 а ) нивелир устанавливают в середине между точками (как правило, на равных расстояниях) и приводят его визирную ось в горизонтальное положение. На точках А и В устанавливают нивелирные рейки. Берут отсчет a по задней рейке и отсчет b по передней рейке. Превышение вычисляют по формуле
h = a - b
Обычно для контроля превышение измеряют дважды – по черным и красным сторонам реек. За окончательный результат принимают среднее.
Если известна высота HA точки А , то высоту HВ точки В вычисляют по формуле
HB = HA + hAB . (9.1)
При нивелировании вперед (рис. 9.1 б ) нивелир устанавливают над точкой A и измеряют (обычно с помощью рейки) высоту прибора k . В точке B , высоту которой требуется определить, устанавливают рейку. Приведя визирную ось нивелира в горизонтальное положение, берут отсчет b по черной стороне рейки. Вычислив превышение
h = k – b ,
по формуле (9.1) находят высоту точки В .
На строительной площадке, где на земляных работах, укладке бетона или асфальта и пр. требуется с одной стоянки нивелира определить высоты многих точек, сначала вычисляют общую для всех точек высоту H ГИ горизонта инструмента, то есть высоту визирной оси нивелира
H ГИ = HA + k ,
а затем – высоты определяемых точек
H 1 = H ГИ - b 1 , H 2 = H ГИ - b 2 , …,
где 1, 2, … - номера определяемых точек.
Если точки А и В , расположены так, что измерить между ними превышение с одной установки нивелира невозможно, превышение измеряют по частям, то есть прокладывают нивелирный ход (рис. 9.2).

Рис. 9.2. Нивелирный ход
Превышения вычисляют по формулам (см. рис. 9.2):
h 1 = a 1 - b 1 ;
h 2 = a 2 - b 2 ;
h 3 = a 3 - b 3 ;
Превышение между конечными точками хода А и В равно сумме вычисленных превышений
hAB = h 1 + h 2 + h 3 ,
а высота точки В определится по формуле (9.1).
31 Классификация нивелиров. Устройство технических нивелиров.
В зависимости от устройств, применяемых для приведения визирной оси трубы в горизонтальное положение, нивелиры изготавливают двух видов - с цилиндрическим уровнем на зрительной трубе (рис.31) и с компенсатором углов наклона, т.е. беэ цилиндрического уровня.

Рис.31. Общая схема нивелира, название его частей и осей, поле зрения трубы
Нивелиры бывают трех классов точности:
1. Н-05, Н-1, Н-2 - высокоточные для нивелирования I и II классов;
2. Н-3 - точные для нивелирования III и IV классов;
3. Н-10 - технические для топографических съемок и других видов инженерных работ.
Число в названии нивелира означает среднюю квадратическую погрешность в мм нивелирования на 1 км двойного хода. Для обозначения нивелиров с компенсатором к цифре добавляется буква К,
а для нивелиров с горизонтальным лимбом - буква Л, например Н-10КЛ.
Для установки нивелира в рабочее положение его закрепляют на штативе становым винтом и вращением сначала двух, а затем третьего подъемных винтов приводят пузырек круглого уровня на середину. Отклонение пузырька от середины допускается в пределах второй окружности. В этом случае диапазон работы элевационного винта позволит установить пузырек цилиндрического уровня в нульпункт и установить визирную ось зрительной трубы в горизонтальное положение при соблюдении главного условия (для нивелира с цилиндрическим уровнем UU1 WW1). Приближенное наведение на нивелирную рейку выполняют с помощью мушки, расположенной сверху зрительной трубы. Более точное наведение осуществляют вращением наводящего винта зрительной трубы, которую перед отсчетом по рейке предварительно устанавливают по глазу (вращением окуляра) и по предмету (вращением кремальеры) для четкого совместного изображения сетки нитей и делений на нивелирной рейке. Перед отсчетом по средней нити тщательно совмещают концы пузырька цилиндрического уровня в поле зрения трубы, медленно вращая элевационный винт.
34
еханических, оптических и геометрических условий нивелира.
Поверки проводятся в два этапа. На первом этапе контролируется условие и если
условие не выполняется, то проводится второй этап - устранение недостатков.
К механическим условиям относятся.
1) Все механические узлы должны быть работоспособны.
2) Подвижные узлы должны вращаться свободно без задержек и скрипов.
3) Нивелир, установленный на штативе должен стоять жестко без люфтов.
Контроль механических условий осуществляется методом осмотра и при
необходимости нивелир направляется в ремонтную мастерскую.
К оптическим условиям относятся.
1) Изображение объектов, сетки нитей и пузырька уровня должны быть резкими.
2) Фокусировка трубы должна обеспечивать фокусирование объектов в пределах
диапазона, установленного техническим паспортом прибора.
3) Освещенность пузырька уровня должна быть равномерной.
Также как и механические условия, оптические проверяются методом осмотра.
Самостоятельная регулировка оптики категорически запрещается, следовательно, при
обнаружении нарушений в оптике приборов они должны быть направлены в ремонтную
мастерскую.
Геометрические условия - это соотношение его основных осей. Схема основных
осей нивелира приведена на рис. 43. Состав основных геометрических условий
следующий.
1) Ось KUKU ′ круглого уровня должна быть параллельной вертикальной оси ZZ ′
вращения нивелира.
2) Визирная ось VV ′ должна быть горизонтальна; для уровенных нивелиров
визирная ось должна быть параллельной оси
UU ′ цилиндрического уровня - главное
условие нивелира.
3) У нивелиров с компенсатором
диапазон работы компенсатора должен быть в
пределах нахождения пузырька круглого
уровня в большой окружности
Поверка круглого уровня
Ось круглого уровня должна быть
параллельна вертикальной оси вращения
нивелира. Порядок выполнения данной
поверки следующий.
1) Устанавливается нивелир,
приводится в рабочее положение.
2) Разворачивается труба нивелира таким образом, чтобы юстировочные винты
уровня u1080 и подъемные винты, занимали противоположное положение, рис. 44а. Выводится
пузырек уровня в нуль-пункт.
3) Разворачивается труба нивелира на
180 o, рис. 44б .
4) Если пузырек уровня вышел за
пределы большой окружности, то проводится
юстировка.
5) Для проведения юстировки, одним из
юстировочных винтов уровня смещается
пузырек уровня на половину величины отклонения, оставшаяся часть отклонения
пузырька компенсируется соответствующим подъемным винтом.
35
компенсируется соответствующим подъемным винтом.
Поверка главного условия нивелира
Ось цилиндрического уровня должна быть горизонтальной (для уровенных
нивелиров - ось цилиндрического уровня должна быть параллельной визирной оси
трубы). Данное условие является главным условием нивелира.
Намечаются на местности две точки на расстоянии порядка 100м друг от друга,
рис. 45.
В качестве точек необходимо выбрать жесткие точки с четкой и однозначной
верхней поверхностью, например, можно использовать характерную точку, взятую на
бордюрном камне. Если подходящих точек не найдено, то забиваются два колышка
длиной порядка 15см на три четверти их длины.
Измеряется расстояние между выбранными точками и находится точка,
расположенная строго посередине между ними. В данную точку устанавливается нивелир.
Δb’
b
b’
Δb
l
l’ 1 l’ 2
B
A h
a a’
l
Δa
Δa’ II
I
Рис. 45. Поверка главного условия
нивелира
Приводится нивелир в рабочее положение.
Устанавливается рейка на точку А и берутся отсчеты а ч и а к , контролируя разность
пяток, т.е. вычисляя разность а к - а ч .
Устанавливается рейка в точку В и берутся отсчеты b ч и b к , контролируя разность
пяток, т.е. вычисляя разность b к - b ч .
Вычисляется превышение h , равное
h ч = а ч - b ч ; h к = а к - b к , (38)
если | h ч - h к | < 5 мм, то вычисляется их среднее значение.
h=(h ч +h к )/2. (39)
При установке нивелира строго посередине между измеряемыми точками,
погрешности Δa и Δb за счет негоризонтальности линии визирования равны между собой.
Если имеем
h = a + Δa - b - Δb,
то при Δa = Δb , получим h = a - b, следовательно, даже если визирная ось трубы
негоризонтальная, а нивелир установлен посередине между измеряемыми точками
полученное превышение будет свободно от погрешностей за счет негоризонтальности
линии визирования.
Устанавливается нивелир на минимальном расстоянии от одной из точек и
аналогично измеряется превышение между этими же точками, получив величину h` . В
данном случае, , h ′ = a ′ + Δa ′ − b ′ − Δb ′ , но так как расстояние от нивелира до точки А мало
по сравнению с расстоянием от нивелира до точки В , то величина Δa ′ близка к нулю,
следовательно, погрешность Δb ′ полностью войдет в измеряемое превышение
h ′ = a ′ − b ′ − Δb ′. (40)
Условие считается выполненным, если разность |h - h`| < 5 мм; в противном случае
выполняется юстировка.
Юстировка выполняется следующим образом. При установке нивелира у одной из
точек (положение II, рис. 45) вычисляется отсчет на дальнюю рейку, равный Х = a` - h ,
где a` - отсчет по ближней рейке; h - превышение, измеренное со средины. Для уровенных
нивелиров, вычисленный отсчет Х устанавливается по рейке, вращая элевационный винт;
при этом пузырек цилиндрического уровня сойдет с нуль-пункта. Вращая юстировочные
винты уровня, приводится пузырек уровня в нуль-пункт.
В нивелирах с компенсатором, вращением юстировочный винтов сетки нитей,
устанавливается по рейке вычисленный отсчет Х .
Существует второй способ поверки, называемый двойными нивелирование. Между
двумя точками, рис. 46, дважды измеряется превышение в прямом и обратном
направлениях. Условие считается выполненным, если h h пр обр = , в противном случае
выполняется юстировка. Для чего вычисляется “правильное” превышение h
2
ПР ОБР h h h
+
= , (41)
дальнейший ход проведения юстировки аналогичен предыдущему способу поверки.
A
B
36
Геометрическое нивелирование выполняют, используя нивелир и нивелирные рейки. Нивелир – прибор, в котором визирный луч приводится в горизонтальное положение. Отсчеты берут по шкалам устанавливаемых вертикально нивелирных реек. Оцифровка шкал на рейках возрастает от пятки рейки вверх. Если на пятке рейки расположен ноль шкалы, то отсчет по рейке равен расстоянию от пятки до луча визирования.
Геометрическое нивелирование выполняют двумя способами - “из середины” и “вперед”.
![]() |
|
| Рис. 9.1. Нивелирование: а - из середины; б - вперед; ee – исходная уровенная поверхность |
Нивелирование из середины – основной способ. Для измерения превышения точки B над точкой A (рис. 9.1 а ) нивелир устанавливают в середине между точками (как правило, на равных расстояниях) и приводят его визирную ось в горизонтальное положение. На точках А и В устанавливают нивелирные рейки. Берут отсчет a по задней рейке и отсчет b по передней рейке. Превышение вычисляют по формуле
h = a - b
Обычно для контроля превышение измеряют дважды – по черным и красным сторонам реек. За окончательный результат принимают среднее.
Если известна высота HA точки А , то высоту HВ точки В вычисляют по формуле
HB = HA + hAB . (9.1)
При нивелировании вперед (рис. 9.1 б ) нивелир устанавливают над точкой A и измеряют (обычно с помощью рейки) высоту прибора k . В точке B , высоту которой требуется определить, устанавливают рейку. Приведя визирную ось нивелира в горизонтальное положение, берут отсчет b по черной стороне рейки. Вычислив превышение
h = k – b ,
по формуле (9.1) находят высоту точки В .
На строительной площадке, где на земляных работах, укладке бетона или асфальта и пр. требуется с одной стоянки нивелира определить высоты многих точек, сначала вычисляют общую для всех точек высоту H ГИ горизонта инструмента, то есть высоту визирной оси нивелира
H ГИ = HA + k ,
а затем – высоты определяемых точек
H 1 = H ГИ - b 1 , H 2 = H ГИ - b 2 , …,
где 1, 2, … - номера определяемых точек.
Если точки А и В , расположены так, что измерить между ними превышение с одной установки нивелира невозможно, превышение измеряют по частям, то есть прокладывают нивелирный ход (рис. 9.2).

Рис. 9.2. Нивелирный ход
Превышения вычисляют по формулам (см. рис. 9.2):
h 1 = a 1 - b 1 ;
h 2 = a 2 - b 2 ;
h 3 = a 3 - b 3 ;
Превышение между конечными точками хода А и В равно сумме вычисленных превышений
hAB = h 1 + h 2 + h 3 ,
а высота точки В определится по формуле (9.1).
37
Тригонометрическим Нивелирование определяют высоты пунктов триангуляции и полигонометрии . Оно широко применяется в топографической съёмке. Тригонометрическое Нивелирование позволяет определять разности высот двух значительно удалённых друг от друга пунктов, между которыми имеется оптическая видимость, но менее точно, чем геометрическое Нивелирование Точность его результатов в основном зависит от трудно учитываемого влияния земной рефракции.
При тригонометрическом нивелировании превышение между двумя точками местности определяют из решения прямоугольного треугольника по дайне линии и углу ее наклона к горизонту.
38
40 Теодолитная съемка, способы съемки ситуации.
Целью теодолитной (горизонтальной) съемки является составление контурного плана местности. Съемка элементов ситуации на местности производится относительно пунктов и сторон теодолитного хода съемочного обоснования. На рис.40 показан абрис теодолитной съемки по линии 1-2 теодолитного хода. Арабскими цифрами в кружках указаны точки, положение которых получено следующими способами съемки ситуации:
1 - прямоугольных координат;
2 - линейной засечки;
3 - угловой засечки;
4 - полярных координат;
5 - створа;
6 - обмера.
При съемке способом прямоугольных координат, положение точки 1 определено координатами Х = 72.4 м, У = 9.8 м от линии теодолитного хода 1-2. Приложив нулевой штрих рулетки к углу дома (точка 1), на ленту расположенную на линии 1-2 теодолитного хода опускают перпендикуляр и отсчитывают его длину по рулетке (9.8 м), по ленте - расстояние от пункта 1 съемочного обоснования до основания перпендикуляра (72.4 м). Перпендикуляры длиной до 4...8 в зависимости от масштаба съемки восстанавливаются визуально, а при использовании эккера могут быть увеличены примерно в пять раз. Эккер - прибор для построения на местности прямых углов.
Способом линейных засечек определено положение второго угла дома (точки 2). Для этого на местности измерено расстояния 10.6 и 9.8 м от опорных точек на линии с абсцисами соответственно 54.1 и 64.0. Угол дома на плане окажется в точке пересечения дуг с радиусами измеренных расстояний.
Способом угловой засечки на плане может быть получена точка 3. Для этого измерены теодолитом углы 33 35' и 65 05'.
Способ полярных координат предусматривает измерение на местности (точка 4) полярного угла (70 00') и его стороны (35.3 м).
Способ створа (вертикальная плоскость через две точки) использован при съемке точки пересечения ручьем линии теодолитного хода (точка 5). Расстояние (10.5 м) измерено по створу от пункта 1.
Способ обмера элементов ситуации применяют для контроля полевых измерений и графических построений на плане.
39
Тахеометрической называют топографическую съемку местности, выполняемую с помощью тахеометров. Съемке подлежат и ситуация, и рельеф.
Тахеометром называют прибор, сочетающий теодолит – для измерения углов и дальномер – для измерения расстояний. Простейшим тахеометром является любой теодолит, снабженный нитяным дальномером.
Тахеометрическую съемку применяют при съемке в крупных масштабах небольших участков местности, особенно незастроенных или малозастроенных. Ее применяют также при съемке трасс существующих и проектируемых линейных сооружений (автомобильных и железных дорог, ЛЭП, трубопроводов и т. п.).
Съемочной основой тахеометрической съемки чаще всего служат теодолитно-высотные ходы – теодолитные ходы, в которых измеряют ещё и вертикальные углы, что позволяет методом тригонометрического нивелирования вычислить высоты пунктов хода.
Другой вид съемочной основы – теодолитно-нивелирные ходы – теодолитные ходы, в которых высоты пунктов определяют геометрическим нивелированием, ходы которого прокладывают по сторонам теодолитных ходов.
Применяют также тахеометрические ходы , в которых длины линий измеряют нитяным дальномером, а превышения - методом тригонометрического нивелирования.
Съемку ситуации и рельефа выполняют тахеометром, в основном способом полярных координат.
Для выполнения съемки тахеометр устанавливают на точке съемочной сети, центрируют и горизонтируют. Измеряют высоту прибора над центром пункта.
Ориентируют горизонтальный круг, то есть устанавливают его в такое положение, чтобы при трубе, направленной по стороне хода, отсчет по горизонтальному кругу был равен 0° 00¢.
Определяют место нуля М0 вертикального круга.
Реечник устанавливает рейку на пикете. Наблюдатель наводит трубу прибора на рейку, читает по рейке высоту точки наведения и берет отсчеты: по нитяному дальномеру, по горизонтальному кругу, по вертикальному кругу (отсчет Л (лево) или П (право)).
Помощник наблюдателя записывает результаты измерений в полевой журнал и составляет схематический чертеж снимаемого участка местности -абрис .
Реечник переносит рейку на следующие пикеты, а наблюдатель вновь выполняет наведения и отсчеты.
Обработка результатов измерений , полученных теодолитом типа Т-30, выполняется по формулам:
-вычисление углов наклона v = Л - М0 (или v = М0 - П);
- вычисление горизонтальных расстояний d = s ·cos2 ν ,
- вычисление превышений h = ½ s ·sin(2ν ) + k – l
или h = d · tgν + k – l ,
- вычисление высоты съемочных пикетов Н п = H ст + h ,
где H ст – высота точки стояния прибора.
Составление плана местности включает:
вычисление координат x , y и высот Н точек хода;
разбивку на планшете сетки прямоугольных координат;
нанесение на план точек хода по координатам x , y ;
нанесение точек и рисовку контуров, используя записи в журнале и абрис;
рисовку горизонталей с заданной высотой сечения рельефа с использованием вычисленных высот точек и абриса;
оформление плана в соответствии с указаниями руководства "Условные знаки".
40
Определение горизонтального проложения линии, измеренной нитяным дальномером. При измерении наклонной линии отсчёт по рейке это отрезок n = AB (рис. 8.5). Если бы рейку наклонить на угол n, то отсчёт был бы равен n0 = A0B0 = ncosn и наклонное расстояние D=Kn0+c = Kn×cosn+c.
Рис. 8.5. Измерение нитяным дальномером наклонного расстояния
Умножив наклонное расстояние D на cosn, получим горизонтальное расстояние d = Kncos2 n + ccosn.
Прибавив и отняв с× cos2n, после преобразований получим
d = (Kn + с) cos2n + 2c cosn sin2(n¤2).
Вторым слагаемым по его малости пренебрежем. Получим
d = (Kn + с) cos2n .
Вычисления упрощаются, если воспользоваться составленными с использованием этой формулы «Тахеометрическими таблицами».
41
42
Закрепление и измерение углов. Выбранную трассу надёжно закрепляют на местности. Вершину угла, образуемого прямыми линиями трассы, закрепляют забиваемым вровень с поверхностью земли колом (рис. 15.1, а). На расстоянии 1 м от кола с внешней стороны угла на его биссектрисе устанавливают столб с затёсом. На затёсе, обращённом в сторону вершины угла, делают надпись, указывающую номер вершины угла, год, угол поворота трассы, радиус вписываемой в угол кривой, расстояние от начала трассы. Измеряют расстояния от вершины угла до расположенных вблизи приметных местных предметов (дерево, угол здания, валун и др.) и показывают их на абрисе - схеме, составляемой для облегчения отыскания вершины угла в последующем, особенно в случае разрушения опознавательного столба.
Над колом, закрепляющим вершину угла, устанавливают теодолит и измеряют лежащий справа по ходу трассы угол b между направлениями на соседние вершины углов. Измерение выполняют одним приёмом с точностью 0,5¢. Угол поворота трассы (рис. 15.2) вычисляют по формулам:
αпр = 180°- b2 (при повороте трассы вправо: b < 180°) или
αлев = b3 - 180° (при повороте трассы влево: b > 180°).
Для контроля буссолью измеряют магнитные азимуты линий.
2
б)
а)
2
1
1
Рис. 15.1 Закрепление точек на трассе:
а – закрепление вершины угла: 1 – кол; 2 – столб;
б – закрепление пикета и плюса: 1 – кол; 2 – сторожок
Рис. 15.2 Углы поворота трассы
Разбивка пикетажа и измерение длин линий. Расстояния между вершинами углов поворота трассы измеряют светодальномером или мерной лентой. Измерение выполняют дважды с предельной относительной погрешностью измерений не более 1:1000-1:2000. В ходе одного из измерений трассу разбивают на отрезки длиной 100 метров по горизонтальному проложению. Конец каждого отрезка - пикет; его закрепляют, забивая вровень с землёй кол. Впереди него по ходу трассы на расстоянии 20-25 см забивают второй, возвышающийся над поверхностью земли кол - сторожок (рис. 15.1, б). На сторожке надписывают порядковый номер пикета, например, ПК13, что означает: номер пикета - 13, расстояние от начала трассы - 1300 м.
Чтобы получить 100-метровые горизонтальные проложения, следует, учитывая наклон местности, увеличивать длину откладываемых наклонных отрезков. Поэтому в них вводят поправки за наклон со знаком плюс. Часто вместо введения поправок, натягивая мерную ленту, удерживают её в горизонтальном положении и проектируют отвесом её приподнятый конец на землю. Чтобы лента меньше провисала, поддерживают её в середине.
Кроме пикетов, колышком и сторожком закрепляют плюсовые точки (или просто "плюсы"), где на трассе изменяется наклон местности. На сторожке в этом случае пишут номер предыдущего пикета и расстояние от него в метрах, например ПК13+46, что означает 46 м после пикета № 13 или 1346 м от начала пикетажа.
Плюсовыми точками фиксируют также места пересечения трассой любых сооружений, дорог, линий связи, водотоков, границ угодий и т. д.
Поперечники. Там, где местность имеет заметный (более 1:5) поперечный уклон, на каждом пикете и плюсовой точке разбивают перпендикуляры к трассе, называемые поперечниками. Поперечники разбивают в обе стороны длиной 15-30 м с таким расчётом, чтобы обеспечить съёмкой всю ширину полосы местности под будущие сооружения дороги (земляное полотно, водоотводные устройства, здания и пр.). Конечные точки поперечника закрепляют точкой и сторожком, плюсовые точки, располагаемые в местах изменения наклона местности, - только сторожком. На сторожках пишут расстояние от оси трассы с буквой "П" (справа от оси трассы) или "Л" (слева от оси трассы).
Плановая привязка трассы. Начало и конец трассы привязывают к пунктам государственной геодезической сети, например, с помощью теодолитных ходов. В результате измеренные на трассе углы и расстояния совместно с ходами привязки образуют единый разомкнутый теодолитный ход. Это позволяет проконтролировать правильность выполненных линейных и угловых измерений и вычислить координаты вершин углов поворота трассы.
На длинной трассе привязку к государственной геодезической сети выполняют не реже чем через 25 км, а при удалении пунктов от трассы более чем на 3 км - не реже чем через 50 км.
Съёмка полосы местности. В ходе разбивки пикетажа выполняют съёмку ситуации в полосе местности шириной по 100 м в обе стороны от оси трассы. При этом полосу шириной 25 м вправо и влево снимают инструментально - главным образом, методом перпендикуляров, а дальше - глазомерно. Результаты съёмки в виде абриса масштаба 1:2000 заносят в пикетажный журнал, изготовляемый из листов миллиметровой бумаги размером 10´15 см.
По середине листа проводят вертикальную прямую, изображающую ось трассы. На ней штрихами отмечают положение пикетов и плюсов и рядом подписывают их значения. Каждая новая страница начинается с пикета, которым закончена предыдущая. В местах поворота трассы стрелкой показывают направление поворота и надписывают румб следующей прямой. На свободном месте пишут основные элементы кривой. Показывают расстояния от местных предметов до оси трассы и габариты строений. Делают записи о типе дорог, характеристике леса, карьерах - обо всём, что может иметь значение для предстоящего строительства.
43
Круговые кривые. Железнодорожные линии (также и автомобильные дороги) в плане состоят из прямолинейных участков, сопряжённых между собой кривыми. Наиболее простой и распространённой формой кривой является дуга окружности. Такие кривые носят название круговых кривых. На железных дорогах применяют круговые кривые со следующими радиусами: 4000, 3000, 2000, 1800, 1500, 1200, 1000, 800, 700, 600, 500, 400 и 300 м. Радиус кривой выбирают при проектировании дороги, руководствуясь конкретными техническими условиями.
Главными точками кривой, определяющими её положение на местности, являются вершина угла ВУ, начало кривой НК, середина кривой СК и конец кривой КК (рис. 15.3).
Рис. 15.3 Схема круговой кривой
Основные элементы кривой – её радиус R и угол поворота a. К основным элементам относятся также:
– тангенс кривой Т (или касательная) - отрезок прямой между вершиной угла и началом или концом кривой;
– кривая К - длина кривой от начала кривой до её конца;
– биссектриса кривой Б - отрезок от вершины угла до середины кривой;
– домер Д - разность между длиной двух тангенсов и кривой.
Во время изысканий угол a измеряют, а радиус R назначают. Остальные элементы вычисляют по формулам, вытекающим из прямоугольного треугольника с вершинами ВУ, НК, О (центр окружности):
Т = R×tg(a/2); К = R×a = p R a°¤180°; Б = R [sec(a/2) - 1], (15.1)
где a° - угол поворота в градусах.
Домер вычисляют по формуле
. (15.2)
Вместо вычислений по формулам можно воспользоваться таблицами для разбивки кривых на железных дорогах, где по заданным радиусу и углу поворота сразу находят значения Т, К, Б и Д.
В месте поворота трассы пикетаж ведётся по кривой. Пикетажное положение главных точек кривой определяют по формулам:
ПК НК = ПК ВУ - Т; ПК КК = ПК НК + К; ПК СК = ПК НК + К/2. (15.3)
Правильность вычислений контролируют по формулам:
ПК КК = ПК ВУ + Т - Д; ПК СК = ПК ВУ + Д/2. (15.4)
Пример.
Измерено a = 18°19¢ и задан радиус R = 600 м. Вершина угла расположена на пикете 6 + 36,00.
По формулам (15.1) и (15.2) или по таблицам находим элементы кривой: Т = 96,73 м; К = 191,81 м; Д = 1,65 м; Б = 7,75 м.
Вычислим пикетажное положение главных точек:
Контроль:
ПК ВУ 6 + 36,00 ПК ВУ 6 + 36,00
- Т 96,73 + Т 96,73
ПК НК 5 + 39,27 7 + 32,73
+ К 1 + 91,81 - Д 1,65
ПК КК 7 + 31,08 ПК КК 7 + 31,08
ПК НК 5 + 39,27 ПК ВУ 6 + 36,00
+ К/2 95,90 - Д/2 0,82
ПК СК 6 + 35,17 ПК СК 6 + 35,18
Переходные кривые. Непосредственное сопряжение прямого участка пути с круговой кривой приводит к тому, что во время движения поезда в месте сопряжения внезапно возникает центробежная сила F, прямо пропорциональная квадрату скорости движения v и обратно пропорциональная радиусу кривой . Чтобы обеспечить постепенное нарастание центробежной силы, между прямой и круговой кривой вставляют переходную кривую, радиус кривизны r которой плавно изменяется от ¥ до R. Если положить, чтобы центробежная сила менялась пропорционально расстоянию s от начала кривой, то получим
,
где s и r - текущие значения расстояния от начала переходной кривой и ее радиуса кривизны;
R – радиус кривизны в конце переходной кривой.
Индексом k отмечены значения переменных в конце переходной кривой.
Для радиуса кривизны переходной кривой в текущей точке i найдём:
r = lR/s, (15.5)
где через l обозначена длина переходной кривой sk. Кривая, описываемая уравнением (15.5), в математике называется клотоидой, или радиоидальной спиралью.
Угол поворота трассы на переходной кривой. На бесконечно малом отрезке кривой ds (рис. 15.4, а) происходит поворот трассы на угол
.
Подставляя выражение радиуса кривизны r из (15.5), получим
.
Выполним интегрирование от начала кривой НК, где j = 0 и s = 0, до текущей точки i:
,
откуда
Rlj = s2/2.
б)
а)
Рис. 15.4 Схема переходной кривой:
а – углы поворота трассы: φ – в текущей точке i, β – в конце
переходной кривой (точка КПК); б - приращения координат
Из полученного уравнения вытекают формулы:
; ; l = 2Rb, (15.6)
где b - угол поворота трассы в конце переходной кривой;
l - длина переходной кривой;
R - радиус кривизны в конце переходной кривой, равный радиусу следующей за нею круговой кривой.
Координаты точки переходной кривой. Совместим начало координат с началом переходной кривой и направим ось x по касательной к ней (см. рис. 15.4, а). Бесконечно малому приращению дуги кривой соответствуют бесконечно малые приращения координат (рис. 15.4, б):
dx = cosj×ds; dy = sinj×ds. (15.7)
Разложим синус и косинус в ряд и, удержав в разложениях по два члена, подставим в них выражения для j из (15.6):
cosj = 1-j2/2 = 1 - s4/(8R2l2);
sinj = j - j3/6 = s2/(2Rl) - s6/(48R3l3).
Подставляя полученные выражения в (15.7) и выполняя интегрирование, найдём:
; (15.8)
. (15.9)
Смещение начала кривой (сдвижка). На рис. 15.5 дуга НК-КПК представляет собой переходную кривую, переходящую после точки КПК в круговую. Продолжим круговую кривую до точки Q, где её направление, параллельно оси x. Обозначим через m смещение, параллельное оси x, начала переходной кривой относительно точки Q, в которой начиналась бы круговая кривая при отсутствии переходной. Через p обозначим смещение в перпендикулярном направлении. Из рис. 15.5 видно:
,
где xКПК и yКПК - координаты конца переходной кривой, вычисляемые по формулам (15.8) и (15.9) с аргументом s = l .
Сочетание круговой кривой с переходными. На рис. 15.6 показана кривая, поворачивающая трассу на угол a и состоящая из круговой части с радиусом R и двух переходных кривых одинаковой длины l.
Рис. 15. 5 Смещение начала переходной кривой
Рис. 15.6 Сопряжение круговой кривой
с переходными
Если бы не было переходных кривых, в образованный прямыми линиями трассы угол была бы вписана дуга окружности радиуса R, равная Q-СК-Q1 и имеющая длину K = Ra.
При наличии переходных кривых на каждой из них происходит поворот трассы на угол b, отчего на долю круговой кривой приходится поворот на угол a-2b. Поэтому суммарная длина кривой равна
Kc = R (a-2b) + 2l = Ra - 2Rb + 2l = K - l + 2l = K + l.
Тангенс и биссектриса определяются по формулам:
Тс = T + m + Tp; Бc = Б + Бp,
где Тp = ptg(a/2); Бp = psec(a/2).
Домер в этом случае равен
.
В полевых условиях значения m, Тp и Бp вычисляют на микрокалькуляторе или выбирают из таблиц для разбивки кривых на железных дорогах. Пикетажное положение главных точек кривой вычисляют по формулам, аналогичным (15.3) и (15.4).
44
ереходная кривая должна:
• обеспечивать плавный характер положения трассы постепенным изменением кривизны и тем самым осуществлять движение с постоянной скоростью при равномерном изменении возникающего при движении по ней центробежного ускорения;
• служить в качестве участка изменению поперечного уклона от прямой к круговой кривой;
• создавать оптически благоприятное положение трассы.
Применение переходной кривой необходимо на всех автомобильных дорогах.
Переходная кривая выполняется в виде клотоиды. При такой форме кривой кривизна изменяется линейно с ее длиной ( Приложение 4 RAS- L). Геометрическое выражение для клотоиды имеет вид
А2 = R • L, (3)
где А - параметр клотоиды, м;
R - радиус кривой в конце отрезка клотоиды, м;
L - длина клотоиды до точки с радиусом R, м.
Минимальные радиусы круговых кривых, при которых переходные кривые не применяются, приведены ниже.
V е, км/ч R, м
≤ 80 1500(1000)
> 80 3000 (2000)
В скобках даны значения, применяемые как исключительные при наличии местных ограничений.
Для круговых кривых при наличии отрицательного поперечного уклона становится необходимым назначение больших минимальных радиусов по табл.9 (п. 7.2.3). Переходную кривую можно не применять при угле поворота менее 10 гон или 9° (плоская кривая); однако в этом случае минимальная длина кривой Lmin (м), должна быть равной 2-кратной величине проектной скорости Ve (км/ч).
45
46
Разбивка здания в плане.
Строительство любого объекта начинается с разбивки его осей, под которой понимают перенесение проекта в натуру, т. е. закрепление на местности положения основных осей и точек сооружения, определяющих местоположение и размеры его по проекту. Точки выносят от ближайших пунктов геодезической основы чаще всего способом прямоугольных координат (рис. 114).
Рис. 114. Разбивка осей и точек зданий способом прямоугольных координат
Этот способ применяют при наличии на площадке строительной геодезической сетки. Вершины сетки, образующие фигуры в виде квадратов или прямоугольников, нумеруют на разбивочном чертеже. Длина сторон сетки от 50 до 400 м. При этом необходимо, чтобы оси разбиваемого здания или сооружения были параллельны сторонам строительной сетки. Расстояния Дх1, Ду1, Дх2, Ду2 указываются на чертеже.
Разбивку здания производят в следующем порядке. По створу между знаками 12 и 13 строительной сетки откладывают расстояние Ду1 и фиксируют на местности точку Р. От створа линии 12…13 у точки Р строят прямой угол. По перпендикуляру откладывают расстояние Дх1 и фиксируют точку А.
Аналогичные построения выполняют от знака 4 строительной сетки и фиксируют точку Б. По известным расстояниям между осями получают остальные точки (В и Г).
Подобным образом производят разбивки и от существующих зданий или от «красных» линий, т. е. границ застраиваемого участка (в проектах детальной планировки и застройки).
После переноса основных осей и характерных точек здания на местность устраивают обноски сплошную или в виде инвентарных скамеек по углам здания.
Для устройства обноски параллельно внешнему контуру здания на расстоянии 2…3 м от его сторон провешивают линии. В створе этих линий устанавливают на расстоянии З…3,5 м друг от друга деревянные либо инвентарные металлические стойки. Наружные грани стоек должны находиться в одной вертикальной плоскости. К стойкам с внешней стороны прикрепляют доски толщиной 40…50 мм, так чтобы их верх находился в одной горизонтальной плоскости. Вместо деревянной применяют также инвентарную металлическую обноску из труб.
На обноске закрепляют основные оси здания. Для этого устанавливают теодолит над какой-нибудь точкой, расположенной в створе оси, и по линии визирования наносят на обноске краской направление оси и номер. Закрепив основные оси, наносят промежуточные осевые линии (фундаментов, стен и колонн), отмеренные рулеткой по обноске от основных осей.
Разбивку осей на обноске проверяют, откладывая размеры в обратном направлении.
Наиболее важные оси закрепляют на местности. Для этого в их створе на расстоянии 5…10 м от будущего здания устанавливают контрольные временные знаки с осевыми рисками. По этим знакам контролируют разбивку осей в процессе производства работ. Оси можно закреплять и на сооружениях, расположенных вблизи от строящегося здания.
Вертикальная разбивка.
Для вертикальной разбивки недалеко от строящегося здания устанавливают рабочий репер, отметку которого определяют от ближайших реперов государственной нивелирной сети.
Рис. 115. Перенесение отметок с помощью нивелира: а — на обноску, б— на дно котлована; 1 — репер, 2 — рейка, 3 — нивелир, 4 — столб обноски; а1, а2 — отсчеты по рейкам, б1, б2 — горизонт инструмента
В строительстве отсчет высоты ведут от условной нулевой отметки — уровня пола первого этажа. Нулевая отметка по проекту должна иметь абсолютную отметку (т. е. от уровня моря). Допустим, что уровень нулевой отметки нужно закрепить на обноске (рис. 115, а). Абсолютная от метка нулевой точки по проекту равна 102,285, а отметка репера — 104,012. Следовательно, уровень нулевой отметки ниже уровня репера на 1,727 м. Чтобы перенести нулевую отметку на столб 4 обноски, между ним и репером устанавливают нивелир 3, на репер ставят рейку 2 и делают отсчет. Предположим, что отсчет по рейке равен 525 мм. Тогда отметка горизонта инструмента будет 104,012+0,525 = 104,537 м. За тем вычисляют разность между отметкой горизонта инструмента и абсолютной отметкой нулевой точки: 104,537—102,285 = 2,252 м. Эту разность должен дать отсчет по рейке, установленной на нулевой отметке. Визируя на рейку, ее устанавливают у столба обноски таким образом, чтобы отсчет по рейке был 2252 мм. Получив этот отсчет, по нижнему концу рейки на столбе обноски прочерчивают линию, которая служит уровнем нулевой отметки. Для закрепления этого уровня на столбе обноски забивают штырь или гвоздь.
При вертикальной разбивке зданий от нулевой отметки ведут все отсчеты вниз и вверх. Отметки выше условного уровня имеют знак плюс, ниже — знак минус. Например, пол второго этажа жилого дома будет находиться на отметке +3,000, а вход в дом —на —0,850.
От нулевой отметки можно легко выполнить вертикальную разбивку дна котлована (рис. 115,6), обреза фундамента, оконных и дверных проемов, междуэтажных перекрытий, карнизов. Для этого пользуются проектными отметками, указанными на чертежах вертикальных разрезов здания.
Разметка осей под надземную часть здания. До начала кладки или монтажа надземной части размечают оси на цоколе и перекрытии над подвалом.
Для перенесения осей здания для строительства надземной части теодолит устанавливают над знаком закрепления створа оси. Трубу теодолита ориентируют вдоль створа оси по знаку, расположенному с другой стороны корпуса, наводят на цокольную панель или перекрытие над подвалом и отмечают створ оси. Измерения выполняют двумя полуприемами, располагая трубу попеременно слева и справа от вертикального круга теодолита. При этом отмечают на конструкциях здания точки, на которые визируется пересечение осевых нитей теодолита. За ось принимают середину расстояния между двумя полученными рисками и фиксируют ее на цоколе карандашом, слева и справа наносят краской полоски шириной 8…10 мм.
На первый и последующие этажи оси переносят двумя способами: наклонным визированием теодолитом и отвесным визированием. Проектные и фактические расстояния и углы между осями не должны отличаться друг от друга больше, чем регламентировано Строительными нормами и правилами. Так, при строительстве 9-этажных 4-х секционных жилых зданий такое отличие допускается между продольными осями не более ±3 мм, а крайними поперечными — 20 мм. Отличие фактического расстояния от проектного между двумя смежными осями, как правило, не допускают более ±1 мм.
Для других типов зданий (промышленных, высотных) точность измерений может быть иной. Она назначается проектом и по ней определяют, допустимы или нет полученные отличия между измеренными и проектными значениями.
После переноса крайних секционных осей с помощью рулетки или мерной ленты на перекрытии намечают положение промежуточных осей. Для этого двое рабочих натягивают рулетку между секционными осями на расстоянии 50 см от продольных осей, а третий с помощью линейки по заранее составленной ведомости прочерчивает рисками положение граней поперечных внутренних стен, устанавливаемых на каждой оси.
Определение монтажного горизонта. После разметки мест установки панелей (колонн, блоков) мелом, цветным или плотничным карандашом намечают места расположения маяков (для колонн — место установки нивелирной рейки). Затем устанавливают нивелир вне пределов захватки и последовательно нивелируют места, отмеченные для маяков (места установки каждой колонны), записывая отсчеты по рейке. После этого, исходя из наивысшей точки и минимально допустимой толщины монтажного шва, определяют фактическую отметку уровня монтажного горизонта.
47




