| Скачать .docx | Скачать .pdf |
Дипломная работа: Применение горизонтальных скважин для повышения эффективности разработки месторождений на примере
ДИПЛОМНЫЙ ПРОЕКТ
на тему: Применение горизонтальных скважин для повышения эффективности разработки месторождений на примере 302–303 залежей Ромашкинского месторождения НГДУ «ЛН»
Введение
Структура сырьевой базы такова, что традиционный ввод месторождений с низкопроницаемыми коллекторами в разработку при разбуривании вертикальными скважинами (ВС) может быть экономически нецелесообразен, а иногда невозможен, вследствие чего значительный объем запасов окажется невовлеченным в промышленную разработку.
В этих условиях наиболее рациональное направление улучшения использования трудноизвлекаемых запасов – переход на принципиально новые системы разработки месторождений с применением ГС и РГС, которые, имея повышенную поверхность вскрытия пласта, снижают фильтрационное сопротивление в призабойных зонах и являются перспективным методом не только повышения производительности скважин, но и величины нефтеотдачи продуктивных пластов.
Особенно важно применять системы разработки с ГС и РГС на месторождениях с высокой геологической неоднородностью, разрозненностью, наличием многочисленных зон замещения продуктивных пластов и зон выклинивания.
Горизонтальная скважина (ГС) – это скважина конечной длины, ось которой проходит между кровлей и подошвой пласта с углом наклона 80–100° относительно вертикали. ГС особенно эффективны при разработке трещиноватых коллекторов горизонтальной проницаемостью; при освоении залежей углеводородного сырья ограниченной площадью для установки бурового оборудования; для повышения нефтеотдачи пластов при дораработке месторождений на поздней стадии эксплуатации; при разработке продуктивных коллекторов в условиях интенсивного образования газового и водного конусов; локальных залежей углеводородного вещества и др.
Следовательно, повышается степень охвата пласта дренированием, возникает возможность увеличить воздействие рабочим агентом.
Горизонтальные стволы, проходя по продуктивному пласту на сотни метров, а в отдельных случаях несколько сотен метров, могут открыть в неоднородном пласте участки трещиноватых зон с повышенной проницаемостью, что позволит получить по этим скважинам дебиты в несколько раз выше, чем по вертикальным. Появляется возможность разбурить газонефтяные залежи с обширными подгазовыми зонами и водонефтяные залежи значительно меньшим числом скважин и разрабатывать эти объекты при минимальных депрессиях.
Мировой и отечественный опыт проводки горизонтальных скважин свидетельствует о том, что их применение позволяет значительно улучшить текущие технологические показатели разработки низкопроницаемых коллекторов, а в ряде случаев перевести забалансовые запасы нефти в балансовые: в частности, темпы отбора нефти из систем ГС по сравнению с системами вертикальными скважин (ВС) повышаются в 3–5 раз, увеличиваются дебиты скважин, сокращаются сроки разработки. Можно предположить, что применение ГС в этих условиях позволит обеспечить темпы выработки запасов на уровне рентабельности. Годовой темп отбора может быть не менее 2–3%, в то время как при применении ВС этот показатель не превышает 1–1,5%. При этом необходимо отметить, что удельные извлекаемые запасы в расчете на одну ГС раза выше, чем для ВС.
Использование ГС требует за счет сокращения их общего числа на объектах значительно меньших (в 1,5–2 раза) капитальных вложений на бурение скважин при относительном росте (до 70%) стоимости каждой ГС за счет усложнения их конструкций. Однако, при массовом бурении ГС стоимость одного метра проходки, как показывает мировой опыт, может быть доведена до стоимости проходки ВС. Это создает еще более благоприятные предпосылки для повышения эффективности использования ГС.
При применении технологии разработки нефтяных месторождений с использованием ГС можно достичь стабильного коэффициента нефтеизвлечения,
равного 60–80%, за счет следующих факторов:
– ГС могут использоваться для разработки на любой стадии различных по типу и условиям залегания коллекторов;
– при проводке ГС можно обеспечить пересечение естественных вертикальных трещин в пласте, что позволит до максимума увеличить проницаемость пласта и отборы пластовых флюидов;
– для дренирования нефтяного коллектора нужно бурить в 4–5 раз меньше горизонтальных скважин, чем вертикальных. С помощью подобных скважин можно обеспечить разработку продуктивных пластов, залегающими под руслами рек, озерами, горами, городскими сооружениями и др.
В технологических схемах разработки 45 месторождений Татарстана рассмотрены варианты с использованием ГС, предложено бурение около 1600 добывающих и 190 нагнетательных горизонтальных скважин. Подавляющее количество скважин предусмотрено на башкирские и турнейские отложения.
Геологические условия Татарстана позволяют рекомендовать широкое применение горизонтальных и горизонтально – разветвленных скважин.
1. Геолого-физическая характеристика месторождения
1.1 Характеристика геологического строения
Тектоника
В тектоническом отношении основным структурным элементом, контролирующим в современном плане закономерности распределения промышленных скоплений нефти на площадях Ромашкинского месторождения является Южный купол Татарского свода – структура первого порядка. Купол представляет собой крупное платообразное поднятие изометрической формы размером около 100×100 км.
Структурный план отложений нижнего карбона
По кровле продуктивных отложений Серпуховского яруса четко прослеживается крупная структура второго порядка – Шугурово-Куакбашский вал. В пределах изогипс 550–555 м – это асимметричное поднятие, вытянутое в субмеридиальном направлении на 18–20 км, ширина изменяется от 1,5 до 6,0 км, постепенно сужаясь к переклинальным частям структуры. Наиболее приподнятая часть с амплитудой свыше 60 м находится в районе Шугуровского поднятия. Восточное крыло структуры, особенно на юге, круче западного.
С юга на север в границах вала выделяется ряд иногда довольно крупных поднятий третьего порядка: Ойкинское, Шугуровске, Сортоводское, Куакбашское. Размеры их колеблются от 60 до 15 метров. Последние в свою очередь осложняются большим количеством более мелких локальных поднятий и прогибов.
Ойкинское поднятие занимает юго-западную переклиналь. Она относительно небольшая (2,5×1,5 км), малоамплитудная (15 м).
Шугуровское поднятие в границах изогипсы 530 м приобретает в плане вытянутую с юга на север овальную форму с размерами длиной 7,5 –8,0 км, шириной 1,5 – 3,0 км. Сводовая часть имеет абсолютную отметку 486–490 метров.
Амплитуда поднятия до 60 метров. На север и юг поднятие заметно выхолаживается до 15 и менее метров.
Сортоводское поднятие занимает южную часть Куакбашской структуры, по изогипсе 530 метров объединяет ряд более мелких приподнятых участков. Размер поднятий 7,0×2,0 км, амплитуда до 20 метров. На юге намечается пологая зона перехода Соратоводской структуры в Шугуровскую.
В пределах Куакбашской структуры в пределах изогипсы 530–540 метров выделяют два замкнутых приподнятых участка с размером (3,0 – 3,5)×(0,5 – 2,0) км, и амплитуда 10 – 15 метров.
Рассмотренные поднятия отделены друг от друга и вышеописанной Сартоводской структуры широтными зонами прогибания с отметками более 535–540 метров.
Далее на север в приклинной части вала в пределах изогипсы 540 – 545 метров выделяется ряд мелких мелкоамплитудных (5–10 м), куполовидных локальных участков.
В пределах Зай – Каратаевской структуры в границах изогипсы 545 м выделяются малоамплитудные (5–10 м) поднятия широтного простирания с размерами 4,2×0,22 км.
Стратиграфия
В геологическом строении залежей 302–303 принимает участие кристаллический фундамент и платформенный чехол. Кристаллический фундамент сложен метаморфическими породами архейской группы. Осадочный чехол включает отложения девона, карбона, перми и четвертичной систем. На поверхность обнажаются четвертичные и верхнеказанские отложения. Более древние образования вскрыты многочисленными скважинами. Общая
мощность осадочного чехла около 2000 м. Из них 75% приходится на карбонатные и 25% на терригенные породы.
Каменноугольная система – С
В пределах 302–303 залежей отложения каменноугольной системы представлены карбонатными отложениями нижнего и среднего отделов.
Нижнекаменноугольный отдел – С1
Серпуховский ярус – С1 srp
В составе яруса выделяются тарусский, стешевский и протвинский горизонты. Литологически отложения представлены известняками и доломитами кристаллически зернистыми, часто кавернозными и трещиноватыми.
Верхняя граница яруса (протвинский горизонт) проводится по резкой смене нижнекаменноугольной фауны (фораминифер, брахиопод и кораллов) среднекаменноугольными.
Продуктивная часть серпуховского яруса – протвинский горизонт (залежь 303), представлена известняками и доломитами зернистыми, светло-серыми, сахаровидными. Толщина горизонта 36–57 м.
В основании яруса залегают плотные известняки и доломиты общей мощностью иногда до 25 м. Однако, не всегда подошва яруса отбивается достаточно четко. Толщина серпуховского яруса в целом составляет 116–157 м.
Среднекаменноугольный отдел – С2
Среднекаменноугольные отложения повсеместно залегают со стратиграфическим несогласием на породах серпуховского яруса. В среднем карбоне выделяют два яруса: башкирский и московский. Общая толщина среднекаменноугольных отложений 255–375 м.
Башкирский ярус – С2 bsch
По подошве башкирского яруса залегают плотные глинистые известняки и доломиты толщиной до 4–8 м. В литологическом отношении ярус, в основном, сложен известняками органогенными, органогенно-обломочными, микро-
зернистыми, брекчиевидными и доломитами, кавернозными и трещиноватыми.
Продуктивная часть разреза сложена пористыми известняками, толщина которых колеблется от 2 до 16 м. В кровельной части они перекрываются плотными глинистыми известняками (до 3 и более метров). В Шугуровском типе разреза пачка пористых известняков представлена в более сокращенном виде. Толщина яруса изменяется от 6 до 36 м.
1.2. Коллекторские свойства продуктивных пластов
В процессе геологической съемки, бурения структурно-поисковых, разведочных, эксплуатационных и нагнетательных скважин на территории Ромашкинского месторождения к 1980 г. было выявлено более 200 залежей и установлена нефтеносность 14 горизонтов. В том числе на рассматриваемых площадях Шугуровско-Куакбашской зоны доказано наличие промышленных скоплений нефти в терригенно-карбонатных коллекторах турнейского яруса, бобриковского горизонта, серпуховского и башкирского ярусов и верейского горизонта – отложений нижнего и среднего карбона.
В нижнее- и среднекаменноугольных отложениях Ромашкинского месторождения самые крупные залежи открыты в его юго-западной части на наиболее приподнятой части Миннибаевской террасы – Куакбашско-Шугуровской структуре, вытянутой в меридиональном направлении
Нефтепроявления в этом районе приурочены, в основном, к отложениям серпуховского и башкирского ярусов нижнего и среднего карбона, которые отличаются чрезвычайной неоднородностью и невыдержанностью по площади и по разрезу.
Нефтеносность отложений нижнего карбона (залежь 303)
Серпуховский ярус
Промышленная нефтеносность этих отложений (в объеме протвинского горизонта) впервые доказана в 1943 г. на Шугуровском месторождении. В
дальнейшем его продуктивность получила подтверждение на Ойкинском и, в основном, Шугуровско-Куакбашском поднятии.
Залежь в серпуховских отложениях до 1981 г. опробовали в 34 скважинах, в том числе в 11 совместно с башкирским ярусом. В 21 из них получили притоки нефти с дебитом от 0,1 до 30 т/сут. В остальных 10 – нефть с водой и в 3 скважинах – вода.
Имелись скважины, которые довольно стабильно работали в течение нескольких лет, что подтвердило наличие в серпуховских отложениях промышленных скоплений нефти. Продуктивная часть разреза на 303 залежи в основном представлена двумя пористо-трещиноватыми интервалами (пластами). Обладая довольно хорошими коллекторскими свойствами, они образуют единый природный резервуар, приподнятая часть которого представляет собой ловушку, где сформировались скопления нефти массивного типа.
Нефтеносность отложений среднего карбона (залежь 302)
Башкирский ярус
В настоящее время уже доказана его региональная нефтеносность не только в пределах рассматриваемой юго-западной части Ромашкинского месторождения, но и на многих других площадях Татарстана. Промышленная разработка залежи башкирского яруса ведется на месторождениях западного склона Южного купола. В плане залежь 302 совпадает с залежью 303 серпуховского возраста и также контролируемая крупной брахиантиклинальной структурой северо-восточного простирания – Шугуровско-Куакбашским валом.
Большинство положений по особенностям распределения коллекторов, покрышек, степени насыщения, определение ВНК и др., изложенные выше для серпуховских отложений, также характерны для залежей башкирского возраста. Стоит отметить, что 302 и 303 залежи обладаютвертикальной трещиноватостью и глинистая перемычка в кровле протвинского горизонта не может являться надежной изоляцией этих двух залежей друг от друга. Исходя из этого 302, 303 залежи являются одним объектом разработки.
Границы 302 и 303 залежей, приуроченных к данным отложениям, проведены по линии ВНК на отметках –540,1 м (скв. 410) в северной части и -540,0 м (скв. 533) в южной части. ВНК имеет наклонную плоскость с юга на север. Средняя абсолютная отметка ВНК по залежам составляет -543 м. При определении положения ВНК, главным образом, использовались данные испытания скважин. По большинству из них, с учетом характера распределения пористо-проницаемых пропластков в интервале перфорации и диапазона нефтеносности по данным геофизических исследований, этаж нефтеносности залежей достигает 70–90 м. Начальная средняя нефтенасыщенная толщина по 302 залежи – 6,4 м, по 303 – 12 м. Запасы нефти в башкирско-серпуховских отложениях распределены неравномерно и, в основном, сосредоточены в серпуховских отложениях. Коллекторские свойства по пористости и проницаемости представлены в табл. 1.
Таблица 1. Геолого-физические характеристики эксплутационных объектов
| Наименование | Залежь | |
| 302 | 303 | |
| Средняя глубина, м | 875 | 892 |
| Тип залежи | Массивная | |
| Тип коллектора | Порово-трещинный-кавернозный | |
| Площадь нефтегазоносности, тыс. м2 | 256938 | 152454 |
| Общая толщина средняя, м | 10,2 | 17,2 |
| Средне взвешанная нефтенасыщенная толщина, м | 5 | 8,8 |
| Пористость, доли ед. | 0,124 | 0,141 |
| Начальная нефтенасыщенность, доли ед. | 0,758 | 0,788 |
| Проницаемость нефтенасыщенная, мкм2 | 0,086 | 0,145 |
| Коэффициент песчанистости, доли ед. | 0,596 | 0,663 |
| Коэффициент расчлененности, доли ед. | 3186 | 5100 |
| Начальное пластовое давление, МПа | 7,1 | 7,4 |
1.3. Физико-химические свойства пластовых флюидов
Исследование физико-химических свойств пластовых нефтей проводилась по пластовым пробам в отделе исследования нефтей ТатНИПИнефть и в аналитической лаборатории ТГРУ. Ниже приводится краткая характеристика нефти, воды и газа по ярусам.
Башкирский ярус
Исследование свойств нефти башкирского яруса в пластовых условиях проводилось по 148 пробам, отобранным из 38 скважин. Среднее значение основных параметров нефти, полученных по результатам анализов проб следующие: давление насыщения – 1,4МПа, газосодержание – 5,9 м3 /т, объемный коэффициент – 1,034, динамическая вязкость составляет 43,63 мПа×с. Плотность пластовой нефти – 877 кг/м3 , пластовая температура – 23 °С. По данным анализов поверхностных проб нефти башкирского яруса относятся к группе тяжелых нефтей – плотность в поверхностных условиях составляет 908,6 кг/м3 .
По содержанию серы – 3,11% масс и парафина – 3,0% масс нефть является высокосернистой, парафинистой. Кинематическая вязкость при 20°С составляет 109,9 мПа×с.
По химическому составу подземные воды башкирских отложений хлоркальциевого типа. Общая минерализация вод колеблется от 7,5 до 258,6 г/л, плотность 1005,0–1180,0 кг/м
, вязкость 1,03–1,84мПа×с. (табл. 2)
Таблица 2. Физические свойства пластовых вод 302 залежи
| Наименование | Диапазон изменения | Среднее значение |
| Газосодержание, м |
0,13 | 0,13 |
| в т.ч. сероводорода, м |
0,006 | 0,006 |
| Вязкость, мПа×с | 1,03–1,8 | 1,1 |
| Общая минерализация, г/л | 7,5587–158,605 | 56,689 |
| Плотность, кг/м |
1005–1180 | 1040 |
Состав газа – азотный. Газонасыщенность 0,08–0,9 м3 /т. Присутствует сероводород в количестве 0,006 м3 /т, объемный коэффициент – 1,0001.
Серпуховский ярус
Исследования свойств нефти серпуховского яруса в пластовых условиях проводилось по 91 пробам, отобранным из 22 скважин. Среднее значение основных параметров нефти, полученных по результатам анализов проб следующие: давление насыщения – 1,3 МПа, газосодержание – 4,72 м3
/т, объемный коэффициент – 1,032, динамическая вязкость составляет 52,87 мПа×с. Плотностьпластовой нефти –883,8 кг/м
, сепарированной – 906,8 кг/м3
, пластовая температура 23°С. По данным анализов поверхностных проб нефти серпуховского
яруса относятся к группе тяжелых нефтей – плотность в поверхностных условиях составляет917,3 кг/м3 . По содержанию серы – 2,6% масс и парафина – 5% масс нефть является высокосернистой, парафинистой. Кинематическая вязкость при 20 0 С составляет 109,4 мПа×с. Подземные воды серпуховских отложений представлены двумя типами: сульфатно-натриевыми и хлоркальциевыми (по В.А. Сулину).
Сульфатные воды в основном связаны с процессами выщелачивания гипсов и ангидритов. Общая минерализация колеблется от 12,6 до 23,0 г/л, плотность 1009,6–1175,0 кг/м
, вязкость 1,03–1,8 мПа×с. (табл. 3)
Таблица 3. Физические свойства пластовых вод 303 залежи
| Наименование | Диапазон изменения | Среднее значение |
| Газосодержание, м |
0,14 | 0,14 |
| в т.ч. сероводорода, м |
0,008 | 0,008 |
| Вязкость, мПа×с | 1,03–1,8 | 1,1 |
| Общая минерализация, г/л | 17,775–229,0226 | 47,105 |
| Плотность, кг/ м |
1009–1175 | 1036 |
Также присутствует сероводород в количестве 0,008 м3 /т. Состав газа – азотный. Газонасыщенность 0,09–0,12 м3 /т. объемный коэффициент – 1,0003.
Из-за наличия в водах серпуховских и башкирских отложений серы и сероводорода необходимо предусмотреть защиту нефтепромыслового оборудования от коррозии.
Наиболее полные результаты исследований свойств нефти в пластовых и поверхностных условиях, физико-химические свойства и фракционный состав разгазированной нефти, физико-химические свойства пластовых вод,
содержание ионов и примесей в пластовых водах представлены в табл. 3–6, по каждому из горизонтов даны средние значения параметров, диапазон их изменения.
Общая минерализация подземных вод серпуховских и башкирских отложений изменяется в течение года от 0,7 до 258 г./л, удельный вес – с 1005,0 до 1180,0 кг/м3 . Из всего вышеизложенного можно сделать вывод, что пластовые воды этих залежей неоднородны.
Таблица 4. Содержание ионов и примесей в пластовых водах 302 залежи
| Наименование | Диапазон изменения | Среднее значение |
| CL |
55,16–4141,8 | 893,21 |
| SO |
0,0–81,51 | 37,53 |
| HCO |
0,4–13,4 | 5,39 |
| Ca |
9,9–677,3 | 83,21 |
| Mg |
1,55–168,02 | 38,48 |
| K |
93,82–3144,15 | 731,72 |
Таблица 5. Содержание ионов и примесей в пластовых водах 303 залежи
| Наименование | Диапазон изменения | Среднее значение |
| CL |
164,58–3982,5 | 694,42 |
| SO |
0,03–90,89 | 50,41 |
| HCO |
0,0–14,26 | 5,76 |
| Ca |
13,06–600 | 66,44 |
| Mg |
11,29–162,13 | 34,84 |
| K |
218,26–3092,74 | 601,32 |
Таблица 6. Свойства пластовой нефти
| Наименование | Серпуховский ярус | Башкирский ярус | |
| Среднее значение | |||
| Давление насыщения газом, МПа | 1,3 | 1,4 | |
| Газосодержание, м3 /т | 4,72 | 5,9 | |
| Плотность, кг/м3 | в пластовых условиях | 883,8 | 877 |
| сепарированной нефти | 906,8 | 898,7 | |
| в поверхностных условиях | 917,3 | 908,6 | |
| Вязкость, мПа×с | 52,87 | 43,62 | |
| Объемный коэффициент при дифференциальном разгазировании в рабочих условиях, доли единиц | 1,032 | 1,034 | |
| Содержание сероводорода в попутном газе, м3 /т | 0,008 | 0,006 | |
| Пластовая температура, °С | 23 | ||
Свойства пластовых нефтей и газа практически не оказывают влияния на выбор марки реагента по ограничению водопритока. При выборе состава закачиваемого реагента наиболее важным является пластовая температура, минерализация (плотность) попутно извлекаемой воды.
Из-за отсутствия результатов поверхностных и пластовых проб воды отобранных на изучаемых участках, нет возможности обнаружить различие между ними.
2. Анализ текущего состояния разработки
2.1 Характеристика фондов скважин, текущих дебитов и обводненности
По состоянию на 1.01.10 г. по залежам 301–303 пробурено 679 скважин, в том числе переведены с других горизонтов (Д1 и С1 ВВ ) 154 скважины. В отчётном году пробурено и введено на нефть 6 скважин.
C бобриковского горизонта нижнего карбона (С1вв) на нефть переведены 3 скважины: 13, 136, 161.
В отчетном году по скважинам верей – башкир – серпуховских отложений отобрано 352 тыс. тонн нефти. С начала разработки добыто 4547 тыс. тонн, что составляет 15,5% от НИЗ и 3,4% от НБЗ нефти по залежам 302–303.
Средний дебит по нефти составил на конец года 2,1 т/с, по жидкости 7,1 т/с.
Характеристика пробуренного и возвращённого фонда скважин приведена в табл. 7.
Таблица 7. Характеристика фонда скважин
| Расшифровка фонда | 1.01.2009 | 1.01.2010 |
1. Действующий фонд в том числе: а) фонтан б) ЭЦН в) СКН |
508 0 24 484 |
518 0 28 490 |
| 2. Бездействующий фонд | 51 | 38 |
| 3. В ожидании освоения | 0 | 0 |
| Расшифровка фонда | 1.01.2009 | 1.01.2010 |
| 4. Эксплуатационный фонд | 559 | 556 |
5. Нагнетательный фонд в том числе: а) нагнет. действующ б) нагн. бездейств в) ожид. освоения |
28 27 0 1 |
29 28 0 1 |
6. Контрольные в том числе: а) наблюдательные б) пьезометрические |
37 5 32 |
49 5 44 |
| 7. В консервации | 22 | 20 |
| 8. Ожидающие ликвидации | 0 | 1 |
| 9. Ликвидированные | 25 | 25 |
| 10 Переведены с др. горизонтов (С1вв и Д1) | 151 | 154 |
| 11. Всего скважин на данном объекте | 670 | 679 |
В отчетном году по залежам введено на нефть 6 скважин. Добыча по новым скважинам составила 5,4 тысячи т нефти. Средний дебит одной новой скважины – 5,6 т/с по нефти, 7,9 т/с по жидкости, обводнённость 29,3%.
2.2 Анализ выработки пластов
По состоянию на 1.01.10 г. из продуктивных пластов залежей 302, 303 отобрано 4,547 млн. т. нефти или 15,5% начальных извлекаемых запасов. Текущий коэффициент нефтеизвлечения равен 0,24. Попутно с нефтью отобрано 12,3 млн. т. воды. Средняя обводненность добываемой продукции
за период разработки составила 73%.
В 2009 г. с площади отобрано 352 тыс. т нефти. Темп отбора нефти составил 1,19% начальных и 1,34% от ТИЗ. Попутно с нефтью отобрано 2322 тыс. т воды.
Обводненность добываемой продукции равна 86,8%. Фонд действующих добывающих скважин составил 518. Среднесуточный дебит одной скважины по нефти равен 1,88 т/сут, по жидкости 14,24 т/сут. Среднее пластовое давление в зоне отбора и забойное давление добывающих скважин составляет 7,2 и 5,7 МПа.
В продуктивные пласты закачано с начала разработки 18238 млн. м3 воды, компенсация отбора жидкости в пластовых условиях составила 105,9%. Фонд нагнетательных скважин на 1.01.10 г. равен 29.
2.3 Динамика основных показателей разработки
Динамика основных показателей разработки залежей 302–303 приведены в табл. 8.
Таблица 8. Состояние разработки залежей 302, 303
| Год | Показатели | ||||||||
| Qн , тыс. т | Qж , тыс. т | В, % | Рпл , атм | Рзаб , атм | Темп отбора от НИЗ, % | Темп отбора от ТИЗ, % | Отобрано от НИЗ, % | Отобрано от НБЗ, % | |
| 1 | 2 | 3 | 4 | 5 | 6 | 7 | 8 | 9 | 10 |
| 2000 | 76,3 | 254,6 | 70 | 70,3 | 57,1 | 0,26 | 0,28 | 7,2 | 1,6 |
| 2001 | 99,1 | 306,6 | 67,7 | 70,8 | 56,7 | 0,34 | 0,36 | 7,6 | 1,65 |
| 2002 | 139,3 | 479,5 | 70,9 | 71,3 | 56,9 | 0,47 | 0,52 | 8 | 1,75 |
| 2003 | 182,0 | 603,7 | 69,8 | 70,1 | 56,3 | 0,62 | 0,51 | 8,55 | 1,86 |
| 2004 | 233,8 | 773,5 | 69,7 | 72,4 | 58,8 | 0,79 | 0,87 | 9,5 | 2,1 |
| 2005 | 303,6 | 1125,3 | 73 | 70,6 | 58,7 | 1,03 | 1,13 | 10,5 | 2,3 |
| 2006 | 342,9 | 1881,6 | 81,8 | 71,8 | 57,3 | 1,16 | 1,27 | 11,6 | 2,5 |
| 2007 | 371,1 | 2416,8 | 84,6 | 71,8 | 57,3 | 1,26 | 1,42 | 12,9 | 2,8 |
| 2008 | 411,8 | 2783,3 | 85,2 | 71,6 | 56,6 | 1,40 | 1,6 | 14,3 | 3,1 |
| 2009 | 352,0 | 2674,0 | 86,8 | 71,4 | 56,8 | 1,19 | 1,34 | 15,5 | 3,4 |
Динамика добычи нефти и жидкости показана на рис. 1.

Рис. 1 Динамика добычи нефти и жидкости
Динамика среднегодовой обводненности добываемой продукции, темпа отбора от НИЗ, темпа отбора от ТИЗ приведены на рис. 2.

Рис. 2 Динамика среднегодовой обводненности добываемой продукции, темпа отбора от НИЗ, темпа отбора от ТИЗ
Динамика изменения накопленной добычи нефти, % от НИЗ и% от НБЗ показаны на рис. 3

Рис. 3 Динамика изменения накопленной добычи нефти, % от НИЗ и% от НБЗ
3. Обзор применяемых горизонтальных технологий на объекте разработки
Основные нефтяные месторождения РТ вступили в позднюю стадию разработки, характеризующуюся значительным ухудшением структуры запасов нефти: доля трудноизвлекаемых запасов достигла 80% против начальных 37%, высокая обводненность продукции – 83%.
При применении традиционных технологий около 75% остаточных запасов разрабатываемых месторождений и 80% еще не введенных в эксплуатацию залежей не могут рентабельно разрабатываться.
Проблема повышения эффективности дальнейшей разработки нефтяных месторождений может быть решена только за счет широкого внедрения высокоэффективной комплексной технологии разработки трудноизвлекаемых запасов, одним из важнейших элементов которой является широкое использование горизонтальных и разветвленно-горизонтальных скважин наряду с перевооружением и реорганизацией служб бурения, капитального ремонта, повышения нефтеотдачи, стимуляции работы скважин и, что особенно важно, обязательным налоговым стимулированием разработки трудноизвлекаемых запасов. Бурение и эксплуатация горизонтальных, многозабойных разветвленно-горизонтальных скважин, проводка горизонтальных стволов из старых, получившие на Западе общее название «горизонтальные технологии», являются одним из ярких и перспективных достижений в нефтегазовой индустрии за последние два десятилетия.
Общепризнано, что применение горизонтальной технологии с соблюдением вполне четко определенных условий позволяет решить ряд важных проблем разработки нефтяных, нефтегазовых и газовых месторождений.
Горизонтальные скважины (ГС) в большей степени, чем вертикальные, позволяют разрабатывать нефтяные месторождения при пластовых давлениях, близких к начальному. Как известно, значительное превышение пластовогодавления над первоначальным приводит к более высоким темпам обводнения скважин, к уменьшению охвата пласта процессом вытеснения вследствие ускоренного прорыва закачиваемой воды по наиболее проницаемым прослоям продуктивного пласта. Вследствие вышеизложенного, бурение и эксплуатация горизонтальных, разветвленно-горизонтальных скважин в мире стали одним из важнейших направлений научно – технического прогресса в области разработки нефтяных месторождений, вовлечения в промышленное освоение трудноизвлекаемых запасов нефти.
Можно отметить, что месторождение Альба в Северном море является первым месторождением, освоение которого запланировано исключительно с помощью горизонтальных скважин.
К настоящему времени в мире пробурено более 26000 ГС, более 1300- в России, в том числе около половины – в Татарстане и Башкортостане. На месторождениях Татарстана объектами применения ГС являются:
– залежи пластового типа, представленные чередованием терригенных нефтенасыщенных пластов и плотных глинистых прослоев, приуроченных к отложениям нижнего карбона и девона.
– залежи массивного типа, приуроченные к карбонатным породам нижнего и среднего карбона;
Освоение горизонтальной технологии в республике было начато в 1976–1978 гг. бурением семи ГС на турнейские отложения Сиреневского и Тавельского месторождений (НГДУ «Ямашнефть»). Две из них (№1990 и 1092) относительно быстро обводнились вследствие проведения при их освоении большеобъемных кислотных обработок. По скважинам 1093,1094,1095 накопленная добыча нефти составила 9,2–13,5 тыс. т, дебиты скважин в 1,3–1,7 раз превышали дебиты окружающих вертикальных скважин (ВС). Скважины 1918 и 1947 Сиреневского месторождения оказались наиболее продуктивными:
накопленная добыча нефти по ним составила 35,9 тыс. т и 40,2 тыс. т при средних дебитах более 6 т/сут, что в 2–2,2 раза выше средних дебитов соседних ВС. Горизонтальная скважина 1990 в 1986 г. была переведена под закачку, на что ГС 1918 и1947 отреагировали стабильным увеличением дебитов. Так впервые была реализована определенная система заводнения на участке залежи, разрабатываемой группой горизонтальных и вертикальных скважин.
Бурение ГС в Татарстане возобновилось в 1991 г., в основном, на малопродуктивные турнейские и башкирские отложения небольших месторождений и залежей. В последние годы пробурен ряд ГС на бобриковский (НГДУ «Бавлынефть» и «Нурлатнефть»), данково-лебедянский (НГДУ «Азнакаевскнефть»), башкирский и серпуховский горизонты. В настоящее время по месторождениям Татарстана выполнено более 50 проектных документов разработки нефтяных месторождений, в которых запроектировано бурение более 2000 ГС.
На рис. 4 приведен типичный пример размещения скважин на месторождениях Татарстана.
Рисунок. 4. Пример размещения ГС в трехрядной системе
Наиболее часто применяемая система разработки – трехрядное заводнение с веерным (лучевым) размещением горизонтальных добывающих скважин. Так как приемистость нагнетательных скважин в большинстве случаев достаточно высокая, они проектируются как вертикальные или наклонно-направленные.
На начало 2010 г. в Татарстане пробурено 575 горизонтальных скважин, из них 550 освоены, эксплуатируются или были в эксплуатации. Их средний дебит в настоящее время составляет 7,2 т/сут, что превышает дебит окружающих вертикальных скважин в 2,2 раза. Горизонтальными скважинами всего добыто 8844 тыс. т нефти. Здесь представляет интерес сравнить аналогичные данные по республике Башкортостан, где в действии находятся 295 ГС, средний дебит которых в 2009 г. составил около 6 т/сут, накопленная добыча нефти 3322 тыс. т.
Как показывают результаты освоения и эксплуатации ГС, их продуктивность значительно ниже теоретически возможной. Одной из важнейших причин недостаточной эффективности ГС, очевидно, являются особые условия вскрытия продуктивного пласта горизонтальным стволом, особенно, длительное время воздействия промывочной жидкости на пласт, несимметричность воздействия на призабойную зону различных химических агентов и т.д. другой, не менее важной, причиной недостижения ожидаемых результатов эксплуатации ГС является отставание организации поддержания пластового давления.
Хотя в Татарстане накоплен определенный опыт применения ГС – проектирования, проводки, каротажа, крепления, освоения и эксплуатации, тем не менее, резервы дальнейшего повышения эффективности горизонтальной технологии еще далеко не исчерпаны.
На практике часто имеет место недостаточно точное определение гипсометрического положения точки входа в продуктивный пласт. Вследствие этого вместо рекомендуемой преимущественно нисходящей формы условно горизонтального участка в действительности получаются синусоидальные, v-образные и другие почти случайные конфигурации наиболее ценного и важного участка ствола ГС практически вне связи с геологическими условиями.
Чрезвычайная сложность управления процессом бурения ГС без надежной информации о продуктивном пласте, фактическом геологическом положении бурового инструмента относительно кровли пласта, ВНК или ГНК приводит к снижению эффективности ГС.
Особое внимание следует уделять проблеме восстановления бездействующего фонда скважин. Одним из способов решения этой проблемы является забуривание вторых стволов из эксплуатационных колонн.
Профили скважин, в которых были пробурены боковые горизонтальные стволы, представлены на рис. 5.
Рис. 5. Профили скважин 14076 и 23535 с БГС
На залежах 302–303 пробурены 109 горизонтальных скважин, 8 разветвленно-горизонтальных скважин и в одной скважине был забурен боковой горизонтальный ствол.
4. Анализ эффективности применяемых горизонтальных технологий в условиях рассматриваемого объекта разработки
На 1.01.2010 г. на залежах 302–303 пробурены 109 горизонтальных скважин, в том числе на башкирские отложения – 21, на серпуховские -88. В целом за весь период эксплуатации добыто горизонтальными скважинами 1079,25 тыс. т нефти или же 9,9 тыс. т на одну скважину. При этом средний текущий дебит составил 6,3 т/сут, что в 2,5 раза выше, чем по вертикальным скважинам. По скважинам, пробуренным на серпуховский горизонт, средний дебит составил 6,5 т /сут, что в 2,6 раза выше, чем по вертикальным скважинам. На одну скважину в среднем добыто 10,0 тыс. т нефти. По скважинам, пробуренным на башкирский горизонт, средний дебит составил 5,8 т /сут. Это в 2,3 раза выше, чем по вертикальным скважинам. На одну скважину в среднем добыто 9,44 тыс. т нефти.
Средний текущий дебит составляет 6,3 т/сут, этот показатель ниже дебита для ГС, пробуренных в терригенные отложения, но бурение таких скважин в зонах со значительными запасами на 1 скважину (не менее 20 тыс. т) позволяет успешно применять ГС в этих условиях.
Рассматривая скважины, введенные из бурения с 2001 г. видно, что вертикальных скважин было пробурено в 1,95 раза больше, чем горизонтальных, отработанное время соответственно тоже в два раза больше. Дебит на 1 м вскрытой толщи на горизонтальных скважинах на порядок ниже. Несмотря на вышеперечисленное, 109 горизонтальных скважин добыли нефти больше, чем 213 вертикальных. И если провести расчет добычи нефти 1 скважиной на одинаковое отработанное время то получается, что горизонтальная скважина добыла в 2,5 раза больше нефти, чем одна вертикальная. Даже при практически сопоставимых расстоянию до ВНК, вертикально вскрытой нефтенасыщенной толщине. Сравнительные характеристики работы ГС и вертикальных скважин приведены в табл. 9
Таблица 9. Сравнение показателей работы вертикальных и горизонтальных скважин, введенных в эксплуатацию на залежах 302–303 в период с 2001 г.
| Показатели | Вертикальная | Горизонтальная |
| Скважин | 213 | 109 |
| Отработанное время, дни | 325417 | 186687 |
| Средняя стоимость 1 скважины | 7,5 | 13 |
| Накопленный отбор, т | 813544 | 1079250 |
| Добыто нефти на 1 скв., т | 3819,5 | 9901,4 |
| Добыто на 1 млн. рублей затрат, т | 509,3 | 761,6 |
| Средний дебит нефти, т/сут | 2,5 | 6,3 |
| Средний дебит на 1 м перфорированной толщины, т/сут/м | 0,38 | 0,04 |
В результате проделанного анализа видно, что, несмотря на имеющиеся трудности и сложности с практической реализацией, использование горизонтальных технологий является высокоэффективным мероприятием и позволяет рекомендовать его дальнейшее развитие на 302–302 залежах Ромашкинского месторождения.
5. Определение технологической эффективности
5.1 Определение технологической эффективности по методу «прямого» счета по сравнению с вертикальными скважинами (ВС)
Скважина №1
Показатели работы скв. №1 приведены в табл. 10
Таблица 10. Показатели работы скважины №1
| Предыстория | История | ||||
| Дата | Добыча за месяц, т | Дата | Добыча за месяц, т | ||
| нефть | вода | нефть | вода | ||
| 01.2007 | 34,1 | 35,5 | 01.2008 | 195,3 | 0,0 |
| 02.2007 | 34,1 | 24,7 | 02.2008 | 288,3 | 32,0 |
| 03.2007 | 34,1 | 19,2 | 03.2008 | 300,7 | 12,5 |
| 04.2007 | 31 | 25,4 | 04.2008 | 322,4 | 13,4 |
| 05.2007 | 34,1 | 34,1 | 05.2008 | 375,1 | 19,7 |
| 06.2007 | 34,1 | 38,5 | 06.2008 | 344,1 | 10,6 |
| 07.2007 | 18,6 | 21,0 | 07.2008 | 350,3 | 26,4 |
| 08.2007 | 18,6 | 21,0 | 08.2008 | 337,9 | 25,4 |
| 09.2007 | 21,7 | 21,7 | 09.2008 | 396,8 | 20,9 |
| 10.2007 | 21,7 | 21,7 | 10.2008 | 381,3 | 67,3 |
| 11.2007 | 21,7 | 21,7 | 11.2008 | 356,5 | 58,0 |
| 12.2007 | 21,7 | 21,7 | 12.2008 | 430,9 | 76,0 |
В координатах «месячная добыча нефти – календарное время» за нулевой отсчет времени принимаем месяц (01.2007) на 1 год раньше месяца введения горизонтальных скважин из бурения (01.2008), т.е. в качестве ближней предыстории берем 12 месяцев. На график (рис. 6) наносим точки месячной добычи из указанной скважины по месяцам до и после ввода скважины в эксплуатацию. Проводим вертикальную прямую точку (01.2008), которая делит время на две части (до и после ввода скважины в эксплуатацию).
Рис. 6. Определение технологической эффективности ГС №1 «прямым» счетом
Далее по эксплуатационным карточкам добывающей скважины определяем добычу нефти за 12 месяцев предыстории (325,5 т) и среднемесячную добычу в этот период (20,7 т). Последнюю величину откладываем на графике в виде горизонтальной прямой до пересечения с месяцем ввода скважин в эксплуатацию (01.2008). Затем период предыстории делим на две равные части вертикальным отрезком прямой. Таким образом, период предыстории превратился в квадратную диаграмму, на которой в первом и четвертом квадратах оказалось по 6
точек, во втором – и в третьем – ни одной точки. Отсюда коэффициент ассоциации Юла равен:
![]()
Определяем количественные показатели тренда. Для этого по эксплуатационным карточкам определяем добычу нефти за первые 6 месяцев (201,5 т) и вторые 6 месяцев (124 т) предыстории. Отсюда вычисляем среднемесячную добычу за первую половину (33,6 т) и вторую половину предыстории (20,7 т). Через последние две точки и центр квадратной диаграммы проводим наклонную прямую до пересечения границы предыстории и истории (01.2008 – дата ввода скважин в эксплуатацию). В этой точке пересечения определяем базовую среднемесячную добычу нефти (16,4 т) и из нее проводим горизонтальную прямую (параллельную оси времени) на весь период истории (последствия). Таким образом, считаем, что падение добычи нефти происходит только в период предыстории, а в период после воздействия базовая добыча нефти является постоянной, не падающей, что, естественно, занижает технологический эффект.
По количеству и положению точек после начала воздействия относительно горизонтальной базовой прямой наглядно выявляется качественный эффект (все 12 из 12 точек расположены выше базовой горизонтали) и его динамика. Для количественной оценки эффективности бурения горизонтальных скважин по эксплуатационным карточкам определяем суммарную добычу нефти после ввода скважин в эксплуатацию на дату анализа (с 1.01.2008 по 1.01.2009 гг.). Она оказалась равной 4079,6 т. Отсюда среднемесячная добыча нефти после воздействия оказалась равной 340,0 т, или на 1980% больше базовой (16,4 т).
Вычитая из среднемесячной добычи нефти после воздействия (340,0 т) базовую среднемесячную добычу нефти (16,4 т) и умножая полученную разность на число месяцев, получаем величину дополнительно добытой нефти (3883,3 т), ее долю по отношению ко всей добыче нефти после воздействия (95,2%).
Зная среднемесячную добычу воды в период предыстории и истории (цифры в скобках на рис. 6), можно определить фактическую среднемесячную обводненность в эти два периода времени (48,6 и 7,4%), а также, используя расчетную базовую добычу нефти (196,3 т) и среднемесячную добычу воды в период предыстории (25,6 т) и истории (27,2 т), сопоставить с расчетной базовой средней обводненностью, равной 61,0 и 62,5%.
Скважина №2
Показатели работы скв. №2 приведены в табл. 11
Таблица 11. Показатели работы скважины №2
| Предыстория | История | ||||
| Дата | Добыча за месяц, т | Дата | Добыча за месяц, т | ||
| нефть | вода | нефть | вода | ||
| 01.2007 | 74,4 | 138,2 | 01.2008 | 204,6 | 17,8 |
| 02.2007 | 68,2 | 132,4 | 02.2008 | 266,6 | 14,0 |
| 03.2007 | 77,5 | 137,8 | 03.2008 | 306,9 | 12,8 |
| 04.2007 | 83,7 | 142,5 | 04.2008 | 282,1 | 24,5 |
| 05.2007 | 71,3 | 151,5 | 05.2008 | 254,2 | 38,0 |
| 06.2007 | 62 | 144,7 | 06.2008 | 303,8 | 57,9 |
| 07.2007 | 68,2 | 151,8 | 07.2008 | 263,5 | 78,7 |
| 08.2007 | 71,3 | 144,8 | 08.2008 | 279 | 103,2 |
| 09.2007 | 65,1 | 138,3 | 09.2008 | 238,7 | 67,3 |
| 10.2007 | 68,2 | 144,9 | 10.2008 | 226,3 | 43,1 |
| 11.2007 | 58,9 | 159,2 | 11.2008 | 195,3 | 37,2 |
| 12.2007 | 65,1 | 144,9 | 12.2008 | 192,2 | 28,7 |
За нулевой отсчет времени принимаем месяц (01.2007) на 1 год раньше месяца введения горизонтальных скважин из бурения (01.2008), т.е. в качестве ближней предыстории берем 12 месяцев. На график (рис. 7) наносим точки месячной добычи из указанной скважины по месяцам до и после ввода скважины в эксплуатацию. Проводим вертикальную прямую точку (01.2008), которая делит время на две части (до и после ввода скважины в эксплуатацию).
Далее по эксплуатационным карточкам добывающей скважины определяем добычу нефти за 12 месяцев предыстории (833,9 т) и среднемесячную добычу в этот период (144,3 т). Последнюю величину откладываем на графике в виде горизонтальной прямой до пересечения с месяцем ввода скважин в эксплуатацию (01.2008). Затем период предыстории делим на две равные части вертикальным отрезком прямой. Таким образом, период предыстории превратился в квадратную диаграмму, на которой в первом квадрате оказалось 4 точек, во втором квадрате –2 точки, в третьем квадрате- 1 точка и в четвертом- 5 точек. Отсюда коэффициент ассоциации Юла равен:
![]()
Далее определяем количественные показатели тренда. Для этого по эксплуатационным карточкам определяем добычу нефти за первые 6 месяцев (437,1 т) и вторые 6 месяцев (396,8 т) предыстории. Отсюда вычисляем
Рис. 7. Определение технологической эффективности ГС №2 «прямым» счетом
Среднемесячную добычу за первую половину (72,9 т) и вторую половину предыстории (66,1 т). Через последние две точки и центр квадратной диаграммы проводим наклонную прямую до пересечения границы предыстории и истории (01.2008 – дата ввода скважин в эксплуатацию). В этой точке пересечения определяем базовую среднемесячную добычу нефти (63,9 т) и из нее проводим горизонтальную прямую (параллельную оси времени) на весь период истории (последствия). Таким образом, считаем, что падение добычи нефти происходит только в период предыстории, а в период после воздействия базовая добыча нефти является постоянной, не падающей, что, естественно, занижает технологический эффект.
По количеству и положению точек после начала воздействия относительно горизонтальной базовой прямой наглядно выявляется качественный эффект (все 12 из 12 точек расположены выше базовой горизонтали) и его динамика. Для количественной оценки эффективности бурения горизонтальных скважин по эксплуатационным карточкам определяем суммарную добычу нефти после ввода скважин в эксплуатацию на дату анализа (с 1.01.2008 по 1.01.2009 гг.). Она оказалась равной 3013,2 т. Отсюда среднемесячная добыча нефти после воздействия оказалась равной 251,1 т, или на 290% больше базовой (63,9 т).
Вычитая из среднемесячной добычи нефти после воздействия (251,1 т) базовую среднемесячную добычу нефти (63,9 т) и умножая полученную разность на число месяцев, получаем величину дополнительно добытой нефти (2246,5 т), ее долю по отношению ко всей добыче нефти после воздействия (74,6%).
Зная среднемесячную добычу воды в период предыстории и истории (цифры в скобках на рис. 7), можно определить фактическую среднемесячную обводненность в эти два периода времени (67,5 и 14,3%), а также, используя расчетную базовую добычу нефти (766,7 т) и среднемесячную добычу воды в период предыстории (144,3 т) и истории (41,7 т), сопоставить с расчетной базовой средней обводненностью, равной 69,3 и 39,5%.
Скважина №3
Показатели работы скважины №3 приведены в табл. 12.
Таблица 12. Показатели работы скважины №3
| Предыстория | История | ||||
| Дата | Добыча за месяц, т | Дата | Добыча за месяц. т | ||
| нефть | вода | нефть | вода | ||
| 11.2006 | 52,7 | 102,3 | |||
| 12.2006 | 43,4 | 62,5 | |||
| 01.2007 | 46,5 | 82,7 | 01.2008 | 251,1 | 13,2 |
| 02.2007 | 43,4 | 73,9 | 02.2008 | 251,1 | 13,2 |
| 03.2007 | 37,2 | 79,1 | 03.2008 | 310 | 23,3 |
| 04.2007 | 40,3 | 74,8 | 04.2008 | 297,6 | 36,8 |
| 05.2007 | 40,3 | 63,0 | 05.2008 | 300,7 | 33,4 |
| 06.2007 | 37,2 | 63,3 | 06.2008 | 294,5 | 40,2 |
| 07.2007 | 40,3 | 58,0 | 07.2008 | 288,3 | 46,9 |
| 08.2007 | 37,2 | 58,2 | 08.2008 | 322,4 | 96,3 |
| 09.2007 | 31 | 60,2 | 09.2008 | 300,7 | 116,9 |
| 10.2007 | 34,1 | 58,1 | 10.2008 | 306,9 | 113,5 |
| 11.2007 | 40,3 | 74,8 | 11.2008 | 316,2 | 129,2 |
| 12.2007 | 37,2 | 72,2 | 12.2008 | 322,4 | 125,4 |
В координатах «месячная добыча нефти – календарное время» за нулевой отсчет времени принимаем месяц (11.2006) на 14 месяцев раньше месяца введения горизонтальных скважин из бурения (01.2008), т.е. в качестве ближней предыстории берем 14 месяцев. На график (рис. 8) наносим точки месячной добычи из указанной скважины по месяцам до и после ввода скважины в эксплуатацию. Проводим вертикальную прямую точку (01.2008), которая делит время на две части (до и после ввода скважины в эксплуатацию).
Далее по эксплуатационным карточкам добывающей скважины определяем добычу нефти за 14 месяцев предыстории (480,9 т) и среднемесячную добычу в этот период (40,1 т). Последнюю величину откладываем на графике в виде горизонтальной прямой до пересечения с месяцем ввода скважин в эксплуатацию (01.2008). Затем период предыстории делим на две равные части вертикальным отрезком прямой. Таким образом, период предыстории превратился в квадратную диаграмму, на которой в первом квадрате оказалось 6 точек, во втором квадрате –1 точка, в третьем квадрате- 2 точки и в четвертом- 5 точек. Отсюда коэффициент ассоциации Юла равен:
![]()

Рис. 8. Определение технологической эффективности ГС №3 «прямым» счетом
Далее определяем количественные показатели тренда. Для этого по эксплуатационным карточкам определяем добычу нефти за первые 7 месяцев (260,4 т) и вторые 7 месяцев (220,5 т) предыстории. Отсюда вычисляем среднемесячную добычу за первую половину (43,4 т) и вторую половину предыстории
(36,8 т). Через последние две точки и центр квадратной диаграммы проводим наклонную прямую до пересечения границы предыстории и истории (01.2008 – дата ввода скважин в эксплуатацию). В этой точке пересечения определяем базовую среднемесячную добычу нефти (33,9 т) и из нее проводим горизонтальную прямую (параллельную оси времени) на весь период истории (последствия). Таким образом, считаем, что падение добычи нефти происходит только в период предыстории, а в период после воздействия базовая добыча нефти является постоянной, не падающей, что, естественно, занижает технологический эффект.
По количеству и положению точек после начала воздействия относительно горизонтальной базовой прямой наглядно выявляется качественный эффект (все 12 из 12 точек расположены выше базовой горизонтали) и его динамика. Для количественной оценки эффективности бурения горизонтальных скважин поэксплуатационным карточкам определяем суммарную добычу нефти после ввода скважин в эксплуатацию на дату анализа (с 1.01.2008 по 1.01.2009 гг.). Она оказалась равной 3561,9 т. Отсюда среднемесячная добыча нефти после воздействия оказалась равной 296,8 т, или на 780% больше базовой (33,9 т).
Вычитая из среднемесячной добычи нефти после воздействия (296,8 т) базовую среднемесячную добычу нефти (33,9 т) и умножая полученную разность на число месяцев, получаем величину дополнительно добытой нефти (3155,0 т), ее долю по отношению ко всей добыче нефти после воздействия (88,6%).
Зная среднемесячную добычу воды в период предыстории и истории (цифры в скобках на рис. 8), можно определить фактическую среднемесячную обводненность в эти два периода времени (63,7 и 16,6%), а также, используя расчетную базовую добычу нефти (406,9 т) и среднемесячную добычу воды в период предыстории (70,2 т) и истории (63,5 т), сопоставить с расчетной базовой средней обводненностью, равной 67,4 и 39,5%.
Скважина №4
Показатели работы скважины №4 приведены в табл. 13
Таблица 13. Показатели работы скважины №4
| Предыстория | История | ||||
| Дата | Qм , т | Дата | Qм , т | ||
| нефть | вода | нефть | вода | ||
| 08.2005 | 62 | 125,9 | 02.2007 | 288,3 | 12,0 |
| 09.2005 | 55,8 | 150,9 | 03.2007 | 291,4 | 15,3 |
| 10.2005 | 52,7 | 142,5 | 04.2007 | 282,1 | 21,2 |
| 11.2005 | 55,8 | 103,6 | 05.2007 | 288,3 | 18,4 |
| 12.2005 | 49,6 | 148,8 | 06.2007 | 266,6 | 23,2 |
| 01.2006 | 49,6 | 148,8 | 07.2007 | 263,5 | 26,1 |
| 02.2006 | 46,5 | 125,7 | 08.2007 | 263,5 | 19,8 |
| 01.2006 | 49,6 | 110,4 | 09.2007 | 275,9 | 14,5 |
| 02.2006 | 52,7 | 142,5 | 10.2007 | 272,8 | 23,7 |
| 03.2006 | 49,6 | 115,7 | 11.2007 | 275,9 | 30,7 |
| 04.2006 | 43,4 | 111,6 | 12.2007 | 266,6 | 33,0 |
| 05.2006 | 46,5 | 147,3 | 01.2008 | 269,7 | 26,7 |
| 06.2006 | 49,6 | 121,4 | 02.2008 | 279 | 27,6 |
| 07.2006 | 52,7 | 112,0 | 03.2008 | 285,2 | 31,7 |
| 08.2006 | 49,6 | 115,7 | 04.2008 | 288,3 | 25,1 |
| 09.2006 | 46,5 | 119,6 | 05.2008 | 282,1 | 34,9 |
| 10.2006 | 40,3 | 114,7 | 06.2008 | 285,2 | 28,2 |
| 11.2006 | 43,4 | 117,3 | 07.2008 | 291,4 | 39,7 |
| 12.2006 | 43,4 | 106,3 | 08.2008 | 294,5 | 40,2 |
| 01.2007 | 49,6 | 110,4 | 09.2008 | 297,6 | 44,5 |
| 10.2008 | 288,3 | 46,9 | |||
| 11.2008 | 282,1 | 53,7 | |||
| 12.2008 | 275,9 | 56,5 | |||
В координатах «месячная добыча нефти – календарное время» за нулевой отсчет времени принимаем месяц (08.2005) на 20 месяцев раньше месяца введения горизонтальных скважин из бурения (02.2007), т.е. в качестве ближней предыстории берем 20 месяцев. На график (рис. 9) наносим точки месячной добычииз указанной скважины по месяцам до и после ввода скважины в эксплуатацию. Проводим вертикальную прямую точку (02.2007), которая делит время на две части (до и после ввода скважины в эксплуатацию).

Рис. 9. Определение технологической эффективности ГС №4 «прямым» счетом
Далее по эксплуатационным карточкам добывающей скважины определяем добычу нефти за 20 месяцев предыстории (988,9 т) и среднемесячную добычу в этот период (49,4 т). Последнюю величину откладываем на графике в виде горизонтальной прямой до пересечения с месяцем ввода скважин в эксплуатацию (02.2007). Затем период предыстории делим на две равные части вертикальным отрезком прямой. Таким образом, период предыстории превратился в квадратную диаграмму, на которой в первом квадрате оказалось 9 точек, во втором квадрате –1 точка, в третьем квадрате- 6 точек и в четвертом- 4 точки. Отсюда коэффициент ассоциации Юла равен:
![]()
Поскольку Ка Юл больше 0,7, считаем тренд (тенденцию изменения месячной добычи нефти) установленным и достаточно надежным.
Далее определяем количественные показатели тренда. Для этого по эксплуатационным карточкам определяем добычу нефти за первые 10 месяцев (523,9 т) и вторые 10 месяцев (465,0 т) предыстории. Отсюда вычисляем среднемесячную добычу за первую половину (52,4 т) и вторую половину предыстории (46,5 т). Через последние две точки и центр квадратной диаграммы проводим наклонную прямую до пересечения границы предыстории и истории (02.2007 – дата ввода скважин в эксплуатацию). В этой точке пересечения определяем базовую среднемесячную добычу нефти (44,7 т) и из нее проводим горизонтальнуюпрямую (параллельную оси времени) на весь период истории (последствия). Таким образом, считаем, что падение добычи нефти происходит только в период предыстории, а в период после воздействия базовая добыча нефти является постоянной, не падающей, что, естественно, занижает технологический эффект.
По количеству и положению точек после начала воздействия относительно горизонтальной базовой прямой наглядно выявляется качественный эффект (все 23 из 23 точек расположены выше базовой горизонтали) и его динамика. Для количественной оценки эффективности бурения горизонтальных скважин по эксплуатационным карточкам определяем суммарную добычу нефти после ввода скважин в эксплуатацию на дату анализа (с 1.02.2007 по 1.01.2009 гг.). Она оказалась равной 6454,2 т. Отсюда среднемесячная добыча нефти после воздействия оказалась равной 280,6 т, или на 530% больше базовой (44,7 т).
Вычитая из среднемесячной добычи нефти после воздействия (280,6 т) базовую среднемесячную добычу нефти (44,7 т) и умножая полученную разность на число месяцев, получаем величину дополнительно добытой нефти (5425,3 т), ее долю по отношению ко всей добыче нефти после воздействия (84,1%).
Зная среднемесячную добычу воды в период предыстории и истории (цифры в скобках на рис. 9), можно определить фактическую среднемесячную обводненность в эти два периода времени (71,5 и 9,6%), а также, используя расчетную базовую добычу нефти (1028,9 т) и среднемесячную добычу воды в период предыстории (123,7 т) и истории (29,7 т), сопоставить с расчетной базовой средней обводненностью, равной 73,4 и 39,9%.
Скважина №5
Показатели работы скважины №5 приведены в табл. 14.
Таблица 14. Показатели работы скважины №5
| Предыстория | История | ||||
| Дата | Добыча за месяц, т | Дата | Добыча за месяц, т | ||
| нефть | вода | нефть | вода | ||
| 06.2006 | 133,3 | 162,9 | 09.2007 | 260,4 | 22,6 |
| 07.2006 | 127,1 | 168,5 | 10.2007 | 263,5 | 29,3 |
| 08.2006 | 120,9 | 181,4 | 11.2007 | 257,3 | 25,4 |
| 09.2006 | 117,8 | 184,3 | 12.2007 | 254,2 | 31,4 |
| 10.2006 | 127,1 | 149,2 | 01.2008 | 275,9 | 20,8 |
| 11.2006 | 130,2 | 165,7 | 02.2008 | 263,5 | 22,9 |
| 12.2006 | 127,1 | 168,5 | 03.2008 | 266,6 | 26,4 |
| 01.2007 | 120,9 | 167,0 | 04.2008 | 272,8 | 33,7 |
| 02.2007 | 117,8 | 169,5 | 05.2008 | 275,9 | 30,7 |
| 03.2007 | 114,7 | 172,1 | 06.2008 | 269,7 | 36,8 |
| 04.2007 | 117,8 | 149,9 | 07.2008 | 272,8 | 33,7 |
| 05.2007 | 120,9 | 147,8 | 08.2008 | 275,9 | 34,1 |
| 06.2007 | 229,4 | 14,6 | 09.2008 | 282,1 | 24,5 |
| 07.2007 | 229,4 | 17,3 | 10.2008 | 285,2 | 28,2 |
| 08.2007 | 269,7 | 14,2 | 11.2008 | 279 | 34,5 |
| 12.2008 | 269,7 | 43,9 | |||
В координатах «месячная добыча нефти – календарное время» за нулевой отсчет времени принимаем месяц (06.2006) на год раньше месяца введения горизонтальных скважин из бурения (06.2007), т.е. в качестве ближней предыстории берем 12 месяцев. На график (рис. 10) наносим точки месячной добычииз указанной скважины по месяцам до и после ввода скважины в эксплуатацию. Проводим вертикальную прямую точку (06.2007), которая делит время на две части (до и после ввода скважины в эксплуатацию).

Рис. 10. Определение технологической эффективности ГС №5 «прямым» счетом
Далее по эксплуатационным карточкам добывающей скважины определяем добычу нефти за 12 месяцев предыстории (1475,6 т) и среднемесячную добычу в этот период (123,0 т). Последнюю величину откладываем на графике в виде горизонтальной прямой до пересечения с месяцем ввода скважин в эксплуатацию (06.2007). Затем период предыстории делим на две равные части вертикальным отрезком прямой. Таким образом, период предыстории превратился в квадратную диаграмму, на которой в первом квадрате оказалось 4 точки, во втором квадрате –2 точки, в третьем квадрате- 1 точка и в четвертом- 5 точек. Отсюда коэффициент ассоциации Юла равен:
![]()
Далее определяем количественные показатели тренда. Для этого по эксплуатационным карточкам определяем добычу нефти за первые 6 месяцев
(756,4 т) и вторые 6 месяцев (719,2 т) предыстории. Отсюда вычисляем среднемесячную добычу за первую половину (126,1 т) и вторую половину предыстории (119,9 т). Через последние две точки и центр квадратной диаграммыпроводим наклонную прямую до пересечения границы предыстории и истории (06.2007 – дата ввода скважин в эксплуатацию). В этой точке пересечения определяем базовую среднемесячную добычу нефти (117,8 т) и из нее проводим горизонтальнуюпрямую (параллельную оси времени) на весь период истории (последствия). Таким образом, считаем, что падение добычи нефти происходит только в периодпредыстории, а в период после воздействия базовая добыча нефти является постоянной, не падающей, что, естественно, занижает технологический эффект.
По количеству и положению точек после начала воздействия относительно горизонтальной базовой прямой наглядно выявляется качественный эффект (все 19 из 19 точек расположены выше базовой горизонтали) и его динамика. Для количественной оценки эффективности бурения горизонтальных скважин по эксплуатационным карточкам определяем суммарную добычу нефти после ввода скважин в эксплуатацию на дату анализа (с 1.06.2007 по 1.01.2009 гг.). Она оказалась равной 5053,0 т. Отсюда среднемесячная добыча нефти после воздействия оказалась равной 265,9 т, или на 130% больше базовой (117,8 т).
Вычитая из среднемесячной добычи нефти после воздействия (265,9 т) базовую среднемесячную добычу нефти (117,8 т) и умножая полученную разность на число месяцев, получаем величину дополнительно добытой нефти (2814,8 т), ее долю по отношению ко всей добыче нефти после воздействия (55,7%).
Зная среднемесячную добычу воды в период предыстории и истории (цифры в скобках на рис. 10), можно определить фактическую среднемесячную обводненность в эти два периода времени (57,3 и 9,3%), а также, используя расчетную базовую добычу нефти (1413,6 т) и среднемесячную добычу воды в период предыстории (165,2 т) и истории (27,3 т), сопоставить с расчетной базовой средней обводненностью, равной 58,4 и 18,8%.
Скважина №6
Показатели работы скважины №6 приведены в табл. 15
Таблица 15. Показатели работы скважины №6
| Предыстория | История | ||||
| Дата | Добыча за месяц, т | Дата | Добыча за месяц, т | ||
| нефть | вода | нефть | вода | ||
| 01.2007 | 74,4 | 211,8 | 01.2008 | 319,3 | 13,3 |
| 02.2007 | 80,6 | 207,3 | 02.2008 | 344,1 | 14,3 |
| 03.2007 | 77,5 | 330,4 | 03.2008 | 294,5 | 15,5 |
| 04.2007 | 74,4 | 338,9 | 04.2008 | 266,6 | 11,1 |
| 05.2007 | 83,7 | 356,8 | 05.2008 | 266,6 | 11,1 |
| 06.2007 | 86,8 | 274,9 | 06.2008 | 260,4 | 19,6 |
| 07.2007 | 71,3 | 285,2 | 07.2008 | 254,2 | 25,1 |
| 08.2007 | 77,5 | 232,5 | 08.2008 | 288,3 | 18,4 |
| 09.2007 | 71,3 | 174,6 | 09.2008 | 291,4 | 15,3 |
| 10.2007 | 62 | 151,8 | 10.2008 | 347,2 | 14,5 |
| 11.2007 | 52,7 | 186,8 | 11.2008 | 368,9 | 19,4 |
| 12.2007 | 62 | 196,3 | 12.2008 | 409,2 | 21,5 |
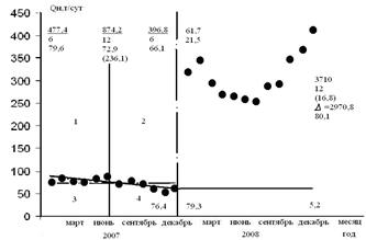
В координатах «месячная добыча нефти – календарное время» за нулевой отсчет времени принимаем месяц (01.2007) на год раньше месяца введения горизонтальных скважин из бурения (01.2008), т.е. в качестве ближней предыстории берем 12 месяцев. На график (рис. 11) наносим точки месячной добычииз указанной скважины по месяцам до и после ввода скважины в эксплуатацию. Проводим вертикальную прямую точку (01.2008), которая делит время на две части (до и после ввода скважины в эксплуатацию).

Рис. 11. Определение технологической эффективности ГС №6 «прямым» счетом
Далее по эксплуатационным карточкам добывающей скважины определяем добычу нефти за 12 месяцев предыстории (874,2 т) и среднемесячную добычу в этот период (72,9 т). Последнюю величину откладываем на графике в виде горизонтальной прямой до пересечения с месяцем ввода скважин в эксплуатацию (01.2008). Затем период предыстории делим на две равные части вертикальным отрезком прямой. Таким образом, период предыстории превратился в квадратную диаграмму, на которой в первом квадрате оказалось 6 точек, во втором квадрате – ни одной точки, в третьем квадрате- 1 точка и в четвертом- 5 точек. Отсюда коэффициент ассоциации Юла равен:
![]()
Далее определяем количественные показатели тренда. Для этого по эксплуатационным карточкам определяем добычу нефти за первые 6 месяцев (477,4 т) и вторые 6 месяцев (396,8 т) предыстории. Отсюда вычисляем среднемесячную добычу за первую половину (79,6 т) и вторую половину предыстории (66,1 т). Через последние две точки и центр квадратной диаграммы проводим наклонную прямую до пересечения границы предыстории и истории (01.2008 – дата ввода скважин в эксплуатацию). В этой точке пересечения определяем базовую среднемесячную добычу нефти (61,7 т) и из нее проводим горизонтальнуюпрямую (параллельную оси времени) на весь период истории (последствия). Таким образом, считаем, что падение добычи нефти происходит только в периодпредыстории, а в период после воздействия базовая добыча нефти является постоянной, не падающей, что, естественно, занижает технологический эффект.
По количеству и положению точек после начала воздействия относительно горизонтальной базовой прямой наглядно выявляется качественный эффект (все 12 из 12 точек расположены выше базовой горизонтали) и его динамика. Для количественной оценки эффективности бурения горизонтальных скважин по эксплуатационным карточкам определяем суммарную добычу нефти после ввода скважин в эксплуатацию на дату анализа (с 1.01.2008 по 1.01.2009 гг.). Она оказалась равной 3710,0 т. Отсюда среднемесячная добыча нефти после воздействия оказалась равной 309,2 т, или на 402% больше базовой (61,7 т).
Вычитая из среднемесячной добычи нефти после воздействия (309,2 т) базовую среднемесячную добычу нефти (61,7 т) и умножая полученную разность на число месяцев, получаем величину дополнительно добытой нефти (2970,8 т), ее долю по отношению ко всей добыче нефти после воздействия (80,1%).
Зная среднемесячную добычу воды в период предыстории и истории (цифры в скобках на рис. 11), можно определить фактическую среднемесячную обводненность в эти два периода времени (76,4 и 5,2%), а также, используя расчетную базовую добычу нефти (739,9 т) и среднемесячную добычу воды в период предыстории (236,1 т) и истории (16,8 т), сопоставить с расчетной базовой средней обводненностью, равной 79,3 и 21,5%.
Скважина №7
Показатели работы скважины №7 приведены в табл. 16
Таблица 16. Показатели работы скважины №7
| Предыстория | История | ||||
| Дата | Добыча за месяц, т | Дата | Добыча за месяц, т | ||
| нефть | вода | нефть | вода | ||
| 01.2007 | 114,7 | 213,0 | 01.2008 | 319,3 | 20,4 |
| 02.2007 | 117,8 | 262,2 | 02.2008 | 291,4 | 15,3 |
| 03.2007 | 111,6 | 395,7 | 03.2008 | 306,9 | 19,6 |
| 04.2007 | 111,6 | 395,7 | 04.2008 | 291,4 | 18,6 |
| 05.2007 | 105,4 | 195,7 | 05.2008 | 303,8 | 22,9 |
| 06.2007 | 117,8 | 176,7 | 06.2008 | 300,7 | 26,1 |
| 07.2007 | 99,2 | 155,2 | 07.2008 | 297,6 | 15,7 |
| 08.2007 | 105,4 | 245,9 | 08.2008 | 279 | 41,7 |
| 09.2007 | 99,2 | 176,4 | 09.2008 | 260,4 | 46,0 |
| 10.2007 | 108,5 | 201,5 | 10.2008 | 235,6 | 101,0 |
| 11.2007 | 105,4 | 234,6 | 11.2008 | 238,7 | 83,9 |
| 12.2007 | 111,6 | 260,4 | 12.2008 | 220,1 | 113,4 |
В координатах «месячная добыча нефти – календарное время» за нулевой отсчет времени принимаем месяц (01.2007) на год раньше месяца введения горизонтальных скважин из бурения (01.2008), т.е. в качестве ближней предыстории берем 12 месяцев. На график (рис. 12) наносим точки месячной добычииз указанной скважины по месяцам до и после ввода скважины в эксплуатацию. Проводим вертикальную прямую точку (01.2008), которая делит время на две части (до и после ввода скважины в эксплуатацию).

Рис. 12. Определение технологической эффективности ГС №7 «прямым» счетом
Далее по эксплуатационным карточкам добывающей скважины определяем добычу нефти за 12 месяцев предыстории (1308,2 т) и среднемесячную добычу в этот период (109,0 т). Последнюю величину откладываем на графике в виде горизонтальной прямой до пересечения с месяцем ввода скважин в эксплуатацию (01.2008). Затем период предыстории делим на две равные части вертикальным отрезком прямой. Таким образом, период предыстории превратился в квадратную диаграмму, на которой в первом квадрате оказалось 5 точек, во втором квадрате –1 точка, в третьем квадрате- 1 точка и в четвертом- 5 точек. Отсюда коэффициент ассоциации Юла равен:
![]()
Далее определяем количественные показатели тренда. Для этого по эксплуатационным карточкам определяем добычу нефти за первые 6 месяцев (678,9 т) и вторые 6 месяцев (629,3 т) предыстории. Отсюда вычисляем среднемесячную добычу за первую половину (113,2 т) и вторую половину предыстории (104,9 т). Через последние две точки и центр квадратной диаграммы проводим наклонную прямую до пересечения границы предыстории и истории (01.2008 – дата ввода скважин в эксплуатацию). В этой точке пересечения определяем базовую среднемесячную добычу нефти (102,1 т) и из нее проводим горизонтальнуюпрямую (параллельную оси времени) на весь период истории (последствия). Таким образом, считаем, что падение добычи нефти происходит только в периодпредыстории, а в период после воздействия базовая добыча нефти является постоянной, не падающей, что, естественно, занижает технологический эффект.
По количеству и положению точек после начала воздействия относительно горизонтальной базовой прямой наглядно выявляется качественный эффект (все 12 из 12 точек расположены выше базовой горизонтали) и его динамика. Для количественной оценки эффективности бурения горизонтальных скважин по эксплуатационным карточкам определяем суммарную добычу нефти после ввода скважин в эксплуатацию на дату анализа (с 1.01.2008 по 1.01.2009 гг.). Она оказалась равной 3344,9 т. Отсюда среднемесячная добыча нефти после воздействия оказалась равной 278,7 т, или на 163% больше базовой (102,1 т).
Вычитая из среднемесячной добычи нефти после воздействия (278,7 т) базовую среднемесячную добычу нефти (102,1 т) и умножая полученную разность на число месяцев, получаем величину дополнительно добытой нефти (2119,4 т), ее долю по отношению ко всей добыче нефти после воздействия (63,4%).
Зная среднемесячную добычу воды в период предыстории и истории (цифры в скобках на рис. 12), можно определить фактическую среднемесячную обводненность в эти два периода времени (67,8 и 13,4%), а также, используя расчетную базовую добычу нефти (1225,5 т) и среднемесячную добычу воды в период предыстории (229,9 т) и истории (43,2 т), сопоставить с расчетной базовой средней обводненностью, равной 69,2 и 29,7%.
Скважина №8
Показатели работы скважины №8 приведены в табл. 17.
Таблица 17. Показатели работы скважины №8
| Предыстория | История | ||||
| Дата | Добыча за месяц, т | Дата | Добыча за месяц, т | ||
| нефть | вода | нефть | вода | ||
| 01.2007 | 158,1 | 129,4 | 01.2008 | 266,6 | 20,1 |
| 02.2007 | 142,6 | 167,4 | 02.2008 | 269,7 | 17,2 |
| 03.2007 | 148,8 | 181,9 | 03.2008 | 266,6 | 11,1 |
| 04.2007 | 151,9 | 218,6 | 04.2008 | 235,6 | 12,4 |
| 05.2007 | 151,9 | 227,9 | 05.2008 | 266,6 | 23,2 |
| 06.2007 | 145,7 | 218,6 | 06.2008 | 257,3 | 19,4 |
| 07.2007 | 139,5 | 209,3 | 07.2008 | 260,4 | 49,6 |
| 08.2007 | 133,3 | 217,5 | 08.2008 | 244,9 | 57,4 |
| 09.2007 | 139,5 | 227,6 | 09.2008 | 226,3 | 75,4 |
| 10.2007 | 130,2 | 172,6 | 10.2008 | 260,4 | 42,4 |
| 11.2007 | 136,4 | 173,6 | 11.2008 | 279 | 49,2 |
| 12.2007 | 155 | 214,0 | 12.2008 | 257,3 | 28,6 |
В координатах «месячная добыча нефти – календарное время» за нулевой отсчет времени принимаем месяц (01.2007) на год раньше месяца введения горизонтальных скважин из бурения (01.2008), т.е. в качестве ближней предыстории берем 12 месяцев. На график (рис. 13) наносим точки месячной добычииз указанной скважины по месяцам до и после ввода скважины в эксплуатацию.
Проводим вертикальную прямую точку (01.2008), которая делит время на две части (до и после ввода скважины в эксплуатацию).
Далее по эксплуатационным карточкам добывающей скважины определяем добычу нефти за 12 месяцев предыстории (1732,9 т) и среднемесячную добычу в этот период (144,4 т). Последнюю величину откладываем на графике в виде горизонтальной прямой до пересечения с месяцем ввода скважин в эксплуатацию (01.2008). Затем период предыстории делим на две равные части вертикальным отрезком прямой. Таким образом, период предыстории превратился в квадратную диаграмму, на которой в первом квадрате оказалось 5 точек, во втором квадрате –1 точка, в третьем квадрате- 1 точка и в четвертом- 5 точек. Отсюда коэффициент ассоциации Юла равен:
![]()

Рис. 13. Определение технологической эффективности ГС №8 «прямым» счетом
Поскольку Ка Юл больше 0,7, считаемтренд (тенденцию изменения месячной добычи нефти) установленным и достаточно надежным.
Далее определяем количественные показатели тренда. Для этого по эксплуатационным карточкам определяем добычу нефти за первые 6 месяцев (899,0 т) и вторые 6 месяцев (833,9 т) предыстории. Отсюда вычисляем среднемесячную добычу за первую половину (149,8 т) и вторую половину предыстории (139,0 т). Через последние две точки и центр квадратной диаграммы проводим наклонную прямую до пересечения границы предыстории и истории (01.2008 – дата ввода скважин в эксплуатацию). В этой точке пересечения определяем базовую среднемесячную добычу нефти (135,4 т) и из нее проводим горизонтальнуюпрямую (параллельную оси времени) на весь период истории (последствия). Таким образом, считаем, что падение добычи нефти происходит только в периодпредыстории, а в период после воздействия базовая добыча
нефти является постоянной, не падающей, что, естественно, занижает технологический эффект.
По количеству и положению точек после начала воздействия относительно горизонтальной базовой прямой наглядно выявляется качественный эффект (все 12 из 12 точек расположены выше базовой горизонтали) и его динамика. Для количественной оценки эффективности бурения горизонтальных скважин по эксплуатационным карточкам определяем суммарную добычу нефти после ввода скважин в эксплуатацию на дату анализа (с 1.01.2008 по 1.01.2009 гг.). Она оказалась равной 3090,7 т. Отсюда среднемесячная добыча нефти после воздействия оказалась равной 257,6 т, или на 90% больше базовой (135,4 т).
Вычитая из среднемесячной добычи нефти после воздействия (257,6 т) базовую среднемесячную добычу нефти (135,4 т) и умножая полученную разность на число месяцев, получаем величину дополнительно добытой нефти (1446,3 т), ее долю по отношению ко всей добыче нефти после воздействия (47,4%).
Зная среднемесячную добычу воды в период предыстории и истории (цифры в скобках на рис. 13), можно определить фактическую среднемесячную обводненность в эти два периода времени (57,3 и 11,3%), а также, используя расчетную базовую добычу нефти (1624,4 т) и среднемесячную добычу воды в период предыстории (194,0 т) и истории (32,9 т), сопоставить с расчетной базовой средней обводненностью, равной 58,9 и 19,6%.
Скважина №9
Показатели работы скважины №9 приведены в табл. 18
В координатах «месячная добыча нефти – календарное время» за нулевой отсчет времени принимаем месяц (08.2006) на год раньше месяца введения горизонтальных скважин из бурения (08.2007), т.е. в качестве ближней предыстории берем 12 месяцев. На график (рис. 14) наносим точки месячной добычииз указанной скважины по месяцам до и после ввода скважины в эксплуатацию.
Проводим вертикальную прямую точку (08.2007), которая делит время на две части (до и после ввода скважины в эксплуатацию).
Таблица 18. Показатели работы скважины №9
| Предыстория | История | ||||
| Дата | Добыча за месяц, т | Дата | Добыча за месяц, т | ||
| нефть | вода | нефть | вода | ||
| 08.2006 | 117,8 | 200,6 | 08.2007 | 275,9 | 0,0 |
| 09.2006 | 111,6 | 207,3 | 09.2007 | 291,4 | 5,9 |
| 10.2006 | 114,7 | 187,1 | 10.2007 | 288,3 | 8,9 |
| 11.2006 | 111,6 | 190,0 | 11.2007 | 269,7 | 17,2 |
| 12.2006 | 114,7 | 179,4 | 12.2007 | 269,7 | 23,5 |
| 01.2007 | 105,4 | 214,0 | 01.2008 | 266,6 | 26,4 |
| 02.2007 | 102,3 | 198,6 | 02.2008 | 263,5 | 32,6 |
| 03.2007 | 96,1 | 213,9 | 03.2008 | 285,2 | 42,6 |
| 04.2007 | 96,1 | 204,2 | 04.2008 | 288,3 | 54,9 |
| 05.2007 | 105,4 | 187,4 | 05.2008 | 325,5 | 66,7 |
| 06.2007 | 108,5 | 201,5 | 06.2008 | 337,9 | 79,3 |
| 07.2007 | 102,3 | 174,2 | 07.2008 | 334,8 | 89,0 |
| 08.2008 | 344,1 | 97,1 | |||
| 09.2008 | 350,3 | 110,6 | |||
| 10.2008 | 353,4 | 117,8 | |||
| 11.2008 | 356,5 | 112,6 | |||
| 12.2008 | 347,2 | 92,3 | |||
Далее по эксплуатационным карточкам добывающей скважины определяем добычу нефти за 12 месяцев предыстории (1286,5 т) и среднемесячную
добычу в этот период (107,2 т). Последнюю величину откладываем на графике в виде горизонтальной прямой до пересечения с месяцем ввода скважин в эксплуатацию (08.2007). Затем период предыстории делим на две равные части вертикальным отрезком прямой. Таким образом, период предыстории превратился в квадратную диаграмму, на которой в первом квадрате оказалось 5 точек, во втором квадрате –1 точка, в третьем квадрате- 1 точка и в четвертом- 5 точек. Отсюда коэффициент ассоциации Юла равен:
![]()
Поскольку Ка Юл больше 0,7, считаем тренд (тенденцию изменения месячной добычи нефти) установленным и достаточно надежным.

Рис. 14. Определение технологической эффективности ГС №9 «прямым» счетом
Далее определяем количественные показатели тренда. Для этого по эксплуатационным карточкам определяем добычу нефти за первые 6 месяцев (675,8 т) и вторые 6 месяцев (610,7 т) предыстории. Отсюда вычисляем среднемесячную добычу за первую половину (112,6 т) и вторую половину предыстории (101,8 т). Через последние две точки и центр квадратной диаграммы проводим наклонную прямую до пересечения границы предыстории и истории (01.2008 – дата ввода скважин в эксплуатацию). В этой точке пересечения определяем базовую среднемесячную добычу нефти (98,2 т) и из нее проводим горизонтальнуюпрямую (параллельную оси времени) на весь период истории (последствия). Таким образом, считаем, что падение добычи нефти происходит только в периодпредыстории, а в период после воздействия базовая добыча нефти является постоянной, не падающей, что, естественно, занижает технологический эффект.
По количеству и положению точек после начала воздействия относительно горизонтальной базовой прямой наглядно выявляется качественный эффект (все 17 из 17 точек расположены выше базовой горизонтали) и его динамика. Для количественной оценки эффективности бурения горизонтальных скважин по эксплуатационным карточкам определяем суммарную добычу нефти после ввода скважин в эксплуатацию на дату анализа (с 1.08.2007 по 1.01.2009 гг.). Она оказалась равной 5248,3 т. Отсюда среднемесячная добыча нефти после воздействия оказалась равной 308,7 т, или на 214% больше базовой (98,2 т).
Вычитая из среднемесячной добычи нефти после воздействия (308,7 т) базовую среднемесячную добычу нефти (98,2 т) и умножая полученную разность на число месяцев, получаем величину дополнительно добытой нефти (3579,5 т), ее долю по отношению ко всей добыче нефти после воздействия (68,2%).
Зная среднемесячную добычу воды в период предыстории и истории (цифры в скобках на рис. 14), можно определить фактическую среднемесячную обводненность в эти два периода времени (64,7 и 14,2%), а также, используя расчетную базовую добычу нефти (1668,8 т) и среднемесячную добычу воды в период предыстории (165,8 т) и истории (51,0 т), сопоставить с расчетной базовой средней обводненностью, равной 66,7 и 34,2%.
Скважина №10
Показатели работы скважины №10 приведены в табл. 19.
Таблица 19. Показатели работы скважины №10
| Предыстория | История | ||||
| Дата | Добыча за месяц, т | Дата | Добыча за месяц, т | ||
| нефть | вода | нефть | вода | ||
| 11.2006 | 80,6 | 126,1 | 01.2008 | 322,4 | 24,3 |
| 12.2006 | 83,7 | 162,5 | 02.2008 | 362,7 | 19,1 |
| 01.2007 | 89,9 | 220,1 | 03.2008 | 390,6 | 24,9 |
| 02.2007 | 80,6 | 207,3 | 04.2008 | 375,1 | 32,6 |
| 03.2007 | 74,4 | 201,2 | 05.2008 | 356,5 | 26,8 |
| 04.2007 | 83,7 | 186,3 | 06.2008 | 387,5 | 38,3 |
| 05.2007 | 83,7 | 296,8 | 07.2008 | 362,7 | 31,5 |
| 06.2007 | 77,5 | 150,4 | 08.2008 | 341 | 37,9 |
| 07.2007 | 74,4 | 173,6 | 09.2008 | 344,1 | 42,5 |
| 08.2007 | 68,2 | 204,6 | 10.2008 | 337,9 | 33,4 |
| 09.2007 | 68,2 | 241,8 | 11.2008 | 316,2 | 43,1 |
| 10.2007 | 71,3 | 202,9 | 12.2008 | 313,1 | 42,7 |
| 11.2007 | 77,5 | 180,8 | |||
| 12.2007 | 80,6 | 163,6 | |||
В координатах «месячная добыча нефти – календарное время» за нулевой отсчет времени принимаем месяц (11.2006) на 14 месяцев раньше месяца введения горизонтальных скважин из бурения (01.2008), т.е. в качестве ближней предыстории берем 14 месяцев. На график (рис. 15) наносим точки месячной добычи из указанной скважины по месяцам до и после ввода скважины в эксплуатацию.
Проводим вертикальную прямую точку (01.2008), которая делит время на две части (до и после ввода скважины в эксплуатацию).

Рис. 15. Определение технологической эффективности ГС №10 «прямым» счетом
Далее по эксплуатационным карточкам добывающей скважины определяем добычу нефти за 14 месяцев предыстории (1094,3 т) и среднемесячную добычу в этот период (78,2 т). Последнюю величину откладываем на графике в виде горизонтальной прямой до пересечения с месяцем ввода скважин в эксплуатацию (01.2008). Затем период предыстории делим на две равные части вертикальным отрезком прямой. Таким образом, период предыстории превратился в квадратную диаграмму, на которой в первом квадрате оказалось 6 точек, во втором квадрате –1 точка, в третьем квадрате- 1 точка и в четвертом- 6 точек. Отсюда коэффициент ассоциации Юла равен:
![]()
Поскольку Ка Юл больше 0,7, считаем тренд (тенденцию изменения месячной добычи нефти) установленным и достаточно надежным.
Далее определяем количественные показатели тренда. Для этого по эксплуатационным карточкам определяем добычу нефти за первые 7 месяцев (575,6 т) и вторые 7 месяцев (517,7 т) предыстории. Отсюда вычисляем среднемесячную добычу за первую половину (82,4 т) и вторую половину предыстории (74,0 т). Через последние две точки и центр квадратной диаграммы проводим наклонную прямую до пересечения границы предыстории и истории (01.2008 – дата ввода скважин в эксплуатацию). В этой точке пересечения определяем базовую среднемесячную добычу нефти (70,4 т) и из нее проводим горизонтальнуюпрямую (параллельную оси времени) на весь период истории (последствия). Таким образом, считаем, что падение добычи нефти происходит только в периодпредыстории, а в период после воздействия базовая добыча нефти является постоянной, не падающей, что, естественно, занижает технологический эффект.
По количеству и положению точек после начала воздействия относительно горизонтальной базовой прямой наглядно выявляется качественный эффект (все 12 из 12 точек расположены выше базовой горизонтали) и его динамика. Для количественной оценки эффективности бурения горизонтальных скважин по эксплуатационным карточкам определяем суммарную добычу нефти после ввода скважин в эксплуатацию на дату анализа (с 1.01.2008 по 1.01.2009 гг.). Она оказалась равной 4209,8 т. Отсюда среднемесячная добыча нефти после воздействия оказалась равной 350,8 т, или на 399% больше базовой (70,4 т).
Вычитая из среднемесячной добычи нефти после воздействия (350,8 т) базовую среднемесячную добычу нефти (70,4 т) и умножая полученную разность на число месяцев, получаем величину дополнительно добытой нефти (3365,6 т), ее долю по отношению ко всей добыче нефти после воздействия (79,9%).
Зная среднемесячную добычу воды в период предыстории и истории (цифры в скобках на рис. 15), можно определить фактическую среднемесячную обводненность в эти два периода времени (61,6 и 8,7%), а также, используя расчетную базовую добычу нефти (844,2 т) и среднемесячную добычу воды в период предыстории (125,6 т) и истории (33,3 т), сопоставить с расчетной базовой средней обводненностью, равной 64,1 и 32,1%.
Суммарная дополнительная добыча составила
Q=3883,3+2245,5+3155,0+5425,3+2814,8+2970,8+2119,4+1446,3+3579,5+3365,6=30105,5 т
5.2 Определение технологической эффективности по характеристикам вытеснения по сравнению с ВС
Скважина 2
Технологические показатели работы скважины №2 приведены в табл. 20
Таблица 20. Исходные данные для определения технологической эффективности бурения ГС №2 по кривой обводнения при постоянном нефтесодержании
| Дата | Qж | Qн | Qж 2 | Qж ×Qн | (Qн )р | |
| 1 | 2 | 3 | 4 | 5 | 6 | |
| 1.06 | 209,07 | 89,90 | 43710,17 | 18795,37 | 122,49 | |
| 2.06 | 415,74 | 170,50 | 172836,78 | 70883,06 | 191,22 | |
| 3.06 | 631,01 | 248,00 | 398178,94 | 156491,52 | 262,82 | |
| 4.06 | 840,26 | 331,70 | 706043,95 | 278715,64 | 332,41 | |
| 5.06 | 1052,37 | 412,30 | 1107481,51 | 433891,93 | 402,95 | |
| 6.06 | 1261,83 | 489,80 | 1592212,26 | 618043,81 | 472,62 | |
| 7.06 | 1474,40 | 564,20 | 2173856,43 | 831856,68 | 543,32 | |
| 8.06 | 1709,57 | 632,40 | 2922639,08 | 1081133,82 | 621,53 | |
| 9.06 | 1919,57 | 697,50 | 3684759,65 | 1338902,01 | 691,37 | |
| 10.06 | 2114,43 | 765,70 | 4470813,89 | 1619018,99 | 756,18 | |
| 11.06 | 2321,10 | 827,70 | 5387489,36 | 1921171,64 | 824,91 | |
| 12.06 | 2527,76 | 889,70 | 6389587,06 | 2248950,97 | 893,65 | |
| 1.07 | 2740,33 | 964,10 | 7509434,17 | 2641956,67 | 964,35 | |
| 2.07 | 2940,92 | 1032,30 | 8649027,60 | 3035914,73 | 1031,06 | |
| 3.07 | 3156,20 | 1109,80 | 9961602,83 | 3502751,53 | 1102,66 | |
| 4.07 | 3382,42 | 1193,50 | 11440744,16 | 4036914,58 | 1177,89 | |
| 5.07 | 3605,23 | 1264,80 | 12997679,11 | 4559894,16 | 1252,00 | |
| 6.07 | 3811,90 | 1326,80 | 14530551,71 | 5057623,72 | 1320,73 | |
| 7.07 | 4031,90 | 1395,00 | 16256185,98 | 5624495,03 | 1393,90 | |
| 8.07 | 4247,96 | 1466,30 | 18045135,99 | 6228778,89 | 1465,76 | |
| 9.07 | 4451,39 | 1531,40 | 19814910,18 | 6816865,05 | 1533,42 | |
| 10.07 | 4664,52 | 1599,60 | 21757739,21 | 7461364,89 | 1604,30 | |
| 11.07 | 4882,67 | 1658,50 | 23840440,27 | 8097903,77 | 1676,86 | |
| 12.07 | 5092,67 | 1723,60 | 25935260,55 | 8777721,41 | 1746,70 | |
| 1.08 | 5315,06 | 1928,20 | 28249848,31 | 10248496,06 | 1820,66 | |
| 2.08 | 5595,69 | 2194,80 | 31311748,98 | 12281420,88 | 1914,00 | |
| 3.08 | 5915,38 | 2501,70 | 34991693,51 | 14798500,43 | 2020,32 | |
| 4.08 | 6222,01 | 2783,80 | 38713385,42 | 17320826,29 | 2122,30 | |
| 5.08 | 6514,19 | 3038,00 | 42434698,17 | 19790115,47 | 2219,48 | |
| 6.08 | 6875,86 | 3341,80 | 47277433,20 | 22977744,69 | 2339,76 | |
| 7.08 | 7218,07 | 3605,30 | 52100484,24 | 26023295,21 | 2453,58 | |
| 8.08 | 7600,26 | 3884,30 | 57763926,19 | 29521683,31 | 2580,69 | |
| 9.08 | 7906,28 | 4123,00 | 62509325,72 | 32597608,68 | 2682,47 | |
| 10.08 | 8175,69 | 4349,30 | 66841885,73 | 35558522,87 | 2772,07 | |
| 11.08 | 8408,19 | 4544,60 | 70697637,22 | 38211854,37 | 2849,39 | |
| 12.08 | 8629,11 | 4736,80 | 74461509,03 | 40874359,91 | 2922,87 | |
| S | 63485,22 | 22385,10 | 219788320,82 | 76460039,88 | ||



(1)
(2)


(3)


(4)

![]()
Коэффициенты А, В и коэффициент по критерию Тейла, вычисленные для скважины №2 по разным кривым обводнения приведены в табл. 21
Таблица 21. Коэффициенты, вычисленные для скважины №2
| Используемая кривая обводнения | Коэффициенты | Коэффициент по критерию Тейла | |
| А | В | ||
| Постоянное нефтесодержание | 52,95 | 0,33 | 0,000185 |
| Абызбаева | -0,42 | 0,92 | 0,000200 |
| Камбарова | 813,07 | -159785,27 | 0,001008 |
| Сипачева-Посевича | 0,00 | 0,000109 | 0,000240 |
| Назарова-Сипачева | 2,47 | 0,000162 | 0,000207 |
| Максимова (1959) | 5,66 | 0,001633 | 0,029388 |
| Говорцова-Рябинина | -0,33 | 1,13 | 0,006997 |
| Пирвердяна | 1701,72 | -31745,86 | 0,000533 |
| Сазонов | -3334,37 | 558,85 | 0,000414 |
| Максимов | -2899,15 | 533,63 | 0,000467 |
| Давыдов | -10915,84 | 18655,37 | 0,001044 |
Показатели работы скважины №2 показаны в табл. 22
Таблица 22. Показатели эксплуатации скважины №2
| Дата | Добыча за месяц, т | Накопленная добыча, т | ||
| нефть | вода | нефть | жидкость | |
| 1.06 | 89,90 | 119,17 | 89,90 | 209,07 |
| 2.06 | 80,60 | 126,07 | 170,50 | 415,74 |
| 3.06 | 77,50 | 137,78 | 248,00 | 631,01 |
| 4.06 | 83,70 | 125,55 | 331,70 | 840,26 |
| 5.06 | 80,60 | 131,51 | 412,30 | 1052,37 |
| 6.06 | 77,50 | 131,96 | 489,80 | 1261,83 |
| 7.06 | 74,40 | 138,17 | 564,20 | 1474,40 |
| 8.06 | 68,20 | 166,97 | 632,40 | 1709,57 |
| 9.06 | 65,10 | 144,90 | 697,50 | 1919,57 |
| 10.06 | 68,20 | 126,66 | 765,70 | 2114,43 |
| 11.06 | 62,00 | 144,67 | 827,70 | 2321,10 |
| 12.06 | 62,00 | 144,67 | 889,70 | 2527,76 |
| 1.07 | 74,40 | 138,17 | 964,10 | 2740,33 |
| 2.07 | 68,20 | 132,39 | 1032,30 | 2940,92 |
| 3.07 | 77,50 | 137,78 | 1109,80 | 3156,20 |
| 4.07 | 83,70 | 142,52 | 1193,50 | 3382,42 |
| 5.07 | 71,30 | 151,51 | 1264,80 | 3605,23 |
| 6.07 | 62,00 | 144,67 | 1326,80 | 3811,90 |
| 7.07 | 68,20 | 151,80 | 1395,00 | 4031,90 |
| 8.07 | 71,30 | 144,76 | 1466,30 | 4247,96 |
| 9.07 | 65,10 | 138,34 | 1531,40 | 4451,39 |
| 10.07 | 68,20 | 144,93 | 1599,60 | 4664,52 |
| 11.07 | 58,90 | 159,25 | 1658,50 | 4882,67 |
| 12.07 | 65,10 | 144,90 | 1723,60 | 5092,67 |
| 1.08 | 204,60 | 17,79 | 1928,20 | 5315,06 |
| 2.08 | 266,60 | 14,03 | 2194,80 | 5595,69 |
| 3.08 | 306,90 | 12,79 | 2501,70 | 5915,38 |
| 4.08 | 282,10 | 24,53 | 2783,80 | 6222,01 |
| 5.08 | 254,20 | 37,98 | 3038,00 | 6514,19 |
| 6.08 | 303,80 | 57,87 | 3341,80 | 6875,86 |
| 7.08 | 263,50 | 78,71 | 3605,30 | 7218,07 |
| 8.08 | 279,00 | 103,19 | 3884,30 | 7600,26 |
| 9.08 | 238,70 | 67,33 | 4123,00 | 7906,28 |
| 10.08 | 226,30 | 43,10 | 4349,30 | 8175,69 |
| 11.08 | 195,30 | 37,20 | 4544,60 | 8408,19 |
| 12.08 | 192,20 | 28,72 | 4736,80 | 8629,11 |
Рассчитанные по кривым обводнения показатели работы скважины №2 показаны в табл. 23.
Таблица 23. Рассчитанные базовые кривые
| Дата | Постоянное нефтесодержание | абызбаева | Назарова-Сипачева | Сипачева-Посевича |
| 1.06 | 122,49 | 90,86 | 83,84 | 84,05 |
| 2.06 | 191,22 | 171,34 | 165,37 | 165,63 |
| 3.06 | 262,82 | 251,82 | 248,79 | 249,08 |
| 4.06 | 332,41 | 328,00 | 328,65 | 328,74 |
| 5.06 | 402,95 | 403,72 | 408,20 | 408,04 |
| 6.06 | 472,62 | 477,34 | 485,42 | 484,98 |
| 7.06 | 543,32 | 551,09 | 562,35 | 561,70 |
| 8.06 | 621,53 | 631,73 | 645,38 | 645,02 |
| 9.06 | 691,37 | 703,02 | 718,29 | 718,08 |
| 10.06 | 756,18 | 768,63 | 785,17 | 784,76 |
| 11.06 | 824,91 | 837,70 | 854,46 | 854,35 |
| 12.06 | 893,65 | 906,30 | 922,58 | 922,81 |
| 1.07 | 964,35 | 976,41 | 992,05 | 992,05 |
| 2.07 | 1031,06 | 1042,19 | 1056,45 | 1056,34 |
| 3.07 | 1102,66 | 1112,40 | 1124,76 | 1124,23 |
| 4.07 | 1177,89 | 1185,77 | 1195,53 | 1194,36 |
| 5.07 | 1252,00 | 1257,68 | 1263,31 | 1262,26 |
| 6.07 | 1320,73 | 1324,06 | 1324,84 | 1324,22 |
| 7.07 | 1393,90 | 1394,43 | 1389,41 | 1389,12 |
| 8.07 | 1465,76 | 1463,25 | 1452,12 | 1451,83 |
| 9.07 | 1533,42 | 1527,80 | 1510,08 | 1509,96 |
| 10.07 | 1604,30 | 1595,18 | 1569,87 | 1569,94 |
| 11.07 | 1676,86 | 1663,90 | 1629,13 | 1630,37 |
| 12.07 | 1746,70 | 1729,83 | 1685,98 | 1687,64 |
| 1.08 | 1820,66 | 1799,43 | 1757,92 | 1747,36 |
| 2.08 | 1914,00 | 1886,93 | 1849,35 | 1821,38 |
| 3.08 | 2020,32 | 1986,19 | 1953,66 | 1903,93 |
| 4.08 | 2122,30 | 2081,02 | 2052,24 | 1981,40 |
| 5.08 | 2219,48 | 2171,04 | 2144,25 | 2053,70 |
| 6.08 | 2339,76 | 2282,04 | 2256,33 | 2141,22 |
| 7.08 | 2453,58 | 2386,65 | 2358,75 | 2222,09 |
| 8.08 | 2580,69 | 2503,04 | 2470,14 | 2310,24 |
| 9.08 | 2682,47 | 2595,90 | 2560,51 | 2379,24 |
| 10.08 | 2772,07 | 2677,42 | 2641,78 | 2438,85 |
| 11.08 | 2849,39 | 2747,61 | 2711,62 | 2489,46 |
| 12.08 | 2922,87 | 2814,16 | 2778,69 | 2536,86 |
Оценка эффективности бурения ГС №2 показана в табл. 24
Таблица 24. Дополнительная добыча нефти
| Дата | Формула при постоянном нефтесодержании | Формула Абызбаева | Формула Назарова-Сипачева | Среднее значение | |||||||
| Нак. добыча нефти, базовая, т | доп. добыча нефти, т | Нак. добыча нефти, базовая, т | доп. добыча нефти, т | Нак. добыча нефти, базовая, т | доп. добыча нефти, т | доп. добыча нефти, т | |||||
| за месяц | нак. | за месяц | нак. | за месяц | нак. | за месяц | нак. | ||||
| 1.08 | 1821 | 131 | 131 | 1799 | 135 | 135 | 1758 | 133 | 133 | 133 | 133 |
| 2.08 | 1914 | 173 | 304 | 1887 | 179 | 314 | 1849 | 175 | 308 | 176 | 309 |
| 3.08 | 2020 | 201 | 504 | 1986 | 208 | 522 | 1954 | 203 | 510 | 204 | 512 |
| 4.08 | 2122 | 180 | 685 | 2081 | 187 | 709 | 2052 | 184 | 694 | 184 | 696 |
| 5.08 | 2219 | 157 | 842 | 2171 | 164 | 873 | 2144 | 162 | 856 | 161 | 857 |
| 6.08 | 2340 | 184 | 1025 | 2282 | 193 | 1066 | 2256 | 192 | 1048 | 189 | 1046 |
| 7.08 | 2454 | 150 | 1175 | 2387 | 159 | 1225 | 2359 | 161 | 1209 | 157 | 1203 |
| 8.08 | 2581 | 152 | 1327 | 2503 | 163 | 1387 | 2470 | 168 | 1377 | 161 | 1364 |
| 9.08 | 2682 | 137 | 1464 | 2596 | 146 | 1533 | 2561 | 148 | 1525 | 144 | 1507 |
| 10.08 | 2772 | 137 | 1600 | 2677 | 145 | 1678 | 2642 | 145 | 1670 | 142 | 1649 |
| 11.08 | 2849 | 118 | 1718 | 2748 | 125 | 1803 | 2712 | 125 | 1795 | 123 | 1772 |
| 12.08 | 2923 | 119 | 1837 | 2814 | 126 | 1929 | 2779 | 125 | 1920 | 123 | 1895 |
Рис. 16. Зависимость Qн от Qж для скважины №2
Кривая обводнения для скважины №2 при постоянном нефтесодержании приведена на рис. 16
Кривая обводнения, полученная по формуле Абызбаева для скважины №2, приведена на рис. 17
Рис. 17. Зависимость Ln(Qн ) от Ln(Qж ) для скважины №2
Кривая обводнения, полученная по формуле Назарова-Сипачева для скважины №2, приведена на рис. 18

Рис. 18. Зависимость Qж /Qн от Qв для скважины №2
Графики фактической и базовых кривых обводнения для скважины №2 показаны на рис. 19

Рис. 19. Расчет дополнительной добычи за счет бурения ГС №2
Скважина №1
Показатели работы скважины №1 показаны в табл. 25
Таблица 25. Показатели эксплуатации скважины №1
| Дата | Добыча за месяц, т | Накопленная добыча, т | ||
| нефть | вода | нефть | жидкость | |
| 1.06 | 43,40 | 22,36 | 43,40 | 65,76 |
| 2.06 | 37,20 | 20,93 | 80,60 | 123,88 |
| 3.06 | 46,50 | 35,08 | 127,10 | 205,46 |
| 4.06 | 46,50 | 27,31 | 173,60 | 279,27 |
| 5.06 | 46,50 | 26,16 | 220,10 | 351,93 |
| 6.06 | 31,00 | 12,66 | 251,10 | 395,59 |
| 7.06 | 43,40 | 16,05 | 294,50 | 455,04 |
| 8.06 | 37,20 | 18,32 | 331,70 | 510,56 |
| 9.06 | 31,00 | 27,49 | 362,70 | 569,05 |
| 10.06 | 21,70 | 26,52 | 384,40 | 617,28 |
| 11.06 | 31,00 | 42,81 | 415,40 | 691,09 |
| 12.06 | 34,10 | 35,49 | 449,50 | 760,68 |
| 1.07 | 34,10 | 35,49 | 483,60 | 830,27 |
| 2.07 | 34,10 | 24,69 | 517,70 | 889,06 |
| 3.07 | 34,10 | 19,18 | 551,80 | 942,34 |
| 4.07 | 31,00 | 25,36 | 582,80 | 998,71 |
| 5.07 | 34,10 | 34,10 | 616,90 | 1066,91 |
| 6.07 | 34,10 | 38,45 | 651,00 | 1139,46 |
| 7.07 | 18,60 | 20,97 | 669,60 | 1179,04 |
| 8.07 | 18,60 | 20,97 | 688,20 | 1218,61 |
| 9.07 | 21,70 | 21,70 | 709,90 | 1262,01 |
| 10.07 | 21,70 | 21,70 | 731,60 | 1305,41 |
| 11.07 | 21,70 | 21,70 | 753,30 | 1348,81 |
| 12.07 | 21,70 | 21,70 | 775,00 | 1392,21 |
| 1.08 | 195,30 | 0,00 | 970,30 | 1587,51 |
| 2.08 | 288,30 | 32,03 | 1258,60 | 1907,84 |
| 3.08 | 300,70 | 12,53 | 1559,30 | 2221,07 |
| 4.08 | 322,40 | 13,43 | 1881,70 | 2556,91 |
| 5.08 | 375,10 | 19,74 | 2256,80 | 2951,75 |
| 6.08 | 344,10 | 10,64 | 2600,90 | 3306,49 |
| 7.08 | 350,30 | 26,37 | 2951,20 | 3683,16 |
| 8.08 | 337,90 | 25,43 | 3289,10 | 4046,49 |
| 9.08 | 396,80 | 20,88 | 3685,90 | 4464,17 |
| 10.08 | 381,30 | 67,29 | 4067,20 | 4912,76 |
| 11.08 | 356,50 | 58,03 | 4423,70 | 5327,30 |
| 12.08 | 430,90 | 76,04 | 4854,60 | 5834,24 |
Коэффициенты А, В и коэффицинт по критерию Тейла, вычисленные для скважины №1 по разным кривым обводнения приведены в табл. 26
Таблица 26. Коэффициенты, вычисленные для скважины №1
| Используемая кривая обводнения | Коэффициенты | Коэффициент по критерию Тейла | |
| А | В | ||
| Постоянное нефтесодержание | 31,24 | 0,54 | 0,000244 |
| Абызбаева | -0,12 | 0,94 | 0,000269 |
| Камбарова | 396,52 | -23145,13 | 0,002394 |
| Сипачева-Посевича | 0,00 | 0,000212 | 0,000486 |
| Назарова-Сипачева | 1,52 | 0,000470 | 0,000281 |
| Максимова (1959) | 3,84 | 0,003687 | 0,087698 |
| Говорцова-Рябинина | -1,35 | 1,16 | 0,018421 |
| Пирвердяна | 821,00 | -8383,42 | 0,001399 |
| Сазонов | -1268,38 | 267,67 | 0,001062 |
| Максимов | -907,48 | 246,92 | 0,001307 |
| Давыдов | -1991,46 | 6119,51 | 0,002068 |
Рассчитанные по кривым обводнения показатели работы скважины №1 показаны в табл. 27
Таблица 27. Рассчитанные базовые кривые
| Дата | Постоянное нефтесодержание | абызбаева | Назарова-Сипачева | Сипачева-Посевича |
| 1.06 | 67,01 | 45,14 | 43,00 | 43,27 |
| 2.06 | 98,62 | 81,86 | 80,49 | 80,86 |
| 3.06 | 142,99 | 131,69 | 132,08 | 132,61 |
| 4.06 | 183,14 | 175,72 | 178,06 | 178,45 |
| 5.06 | 222,65 | 218,37 | 222,64 | 222,68 |
| 6.06 | 246,40 | 243,74 | 249,33 | 248,85 |
| 7.06 | 278,74 | 278,01 | 285,44 | 283,99 |
| 8.06 | 308,94 | 309,78 | 318,55 | 316,32 |
| 9.06 | 340,75 | 343,02 | 352,21 | 349,87 |
| 10.06 | 366,98 | 370,27 | 379,13 | 377,15 |
| 11.06 | 407,12 | 411,73 | 419,28 | 418,25 |
| 12.06 | 444,97 | 450,58 | 456,88 | 456,29 |
| 1.07 | 482,83 | 489,21 | 493,74 | 493,67 |
| 2.07 | 514,80 | 521,70 | 525,08 | 524,73 |
| 3.07 | 543,78 | 551,03 | 553,60 | 552,50 |
| 4.07 | 574,44 | 581,94 | 582,63 | 581,47 |
| 5.07 | 611,53 | 619,21 | 616,66 | 615,99 |
| 6.07 | 651,00 | 658,71 | 651,79 | 652,09 |
| 7.07 | 672,52 | 680,18 | 670,64 | 671,51 |
| 8.07 | 694,05 | 701,61 | 689,29 | 690,75 |
| 9.07 | 717,65 | 725,07 | 709,75 | 711,64 |
| 10.07 | 741,26 | 748,48 | 729,97 | 732,31 |
| 11.07 | 764,86 | 771,84 | 749,96 | 752,77 |
| 12.07 | 788,47 | 795,16 | 769,73 | 773,03 |
| 1.08 | 894,69 | 899,56 | 877,71 | 861,66 |
| 2.08 | 1068,92 | 1069,16 | 1046,11 | 998,71 |
| 3.08 | 1239,29 | 1233,35 | 1213,95 | 1123,62 |
| 4.08 | 1421,95 | 1407,83 | 1392,70 | 1248,54 |
| 5.08 | 1636,70 | 1611,23 | 1599,68 | 1384,73 |
| 6.08 | 1829,65 | 1792,57 | 1787,09 | 1498,29 |
| 7.08 | 2034,52 | 1983,83 | 1977,43 | 1610,68 |
| 8.08 | 2232,14 | 2167,21 | 2158,65 | 1711,90 |
| 9.08 | 2459,32 | 2376,80 | 2369,07 | 1820,41 |
| 10.08 | 2703,30 | 2600,58 | 2564,12 | 1928,54 |
| 11.08 | 2928,77 | 2806,28 | 2741,46 | 2021,52 |
| 12.08 | 3204,50 | 3056,54 | 2948,15 | 2127,13 |
Оценка эффективности бурения ГС №1 показана в табл. 28
Таблица 28. Дополнительная добыча нефти
| Дата | Формула при постоянном нефтесодержании | Формула Абызбаева | Формула Назарова-Сипачева | Среднее значение | |||||||||||||||||
| Нак. добыча нефти, базовая, т | доп. добыча нефти, т | Нак. добыча нефти, базовая, т | доп. добыча нефти, т | Нак. добыча нефти, базовая, т | доп. добыча нефти, т | доп. добыча нефти, т | |||||||||||||||
| за месяц | нак. | за месяц | нак. | за месяц | нак. | за месяц | нак. | ||||||||||||||
| 1.08 | 895 | 89 | 89 | 900 | 91 | 91 | 878 | 87 | 87 | 89 | 89 | ||||||||||
| 2.08 | 1069 | 114 | 203 | 1069 | 119 | 210 | 1046 | 120 | 207 | 118 | 207 | ||||||||||
| 3.08 | 1239 | 130 | 333 | 1233 | 137 | 346 | 1214 | 133 | 340 | 133 | 340 | ||||||||||
| 4.08 | 1422 | 140 | 473 | 1408 | 148 | 494 | 1393 | 144 | 484 | 144 | 484 | ||||||||||
| 5.08 | 1637 | 160 | 634 | 1611 | 172 | 666 | 1600 | 168 | 652 | 167 | 650 | ||||||||||
| 6.08 | 1830 | 151 | 785 | 1793 | 163 | 828 | 1787 | 157 | 809 | 157 | 807 | ||||||||||
| 7.08 | 2035 | 145 | 930 | 1984 | 159 | 988 | 1977 | 160 | 969 | 155 | 962 | ||||||||||
| 8.08 | 2232 | 140 | 1070 | 2167 | 155 | 1142 | 2159 | 157 | 1125 | 150 | 1113 | ||||||||||
| 9.08 | 2459 | 170 | 1240 | 2377 | 187 | 1329 | 2369 | 186 | 1312 | 181 | 1294 | ||||||||||
| 10.08 | 2703 | 137 | 1377 | 2601 | 158 | 1487 | 2564 | 186 | 1498 | 160 | 1454 | ||||||||||
| 11.08 | 2929 | 131 | 1508 | 2806 | 151 | 1638 | 2741 | 179 | 1677 | 154 | 1608 | ||||||||||
| 12.08 | 3204 | 155 | 1664 | 3057 | 181 | 1818 | 2948 | 224 | 1901 | 187 | 1794 | ||||||||||
Кривая обводнения для скважины №1 при постоянном нефтесодержании приведена на рис. 20
Рис. 20. Зависимость Qн от Qж для скважины №1
Рис. 21. Зависимость Ln(Qн ) от Ln(Qж ) для скважины №1
Кривая обводнения, полученная по формуле Абызбаева для скважины №1, приведена на рис. 21
Кривая обводнения, полученная по формуле Назарова-Сипачева для скважины №1, приведена на рис. 22

Рис. 22. Зависимость Qж /Qн от Qв для скважины №1
Графики фактической и базовых кривых обводнения для скважины №1 показаны на рис. 23
Рис. 23. Расчет дополнительной добычи за счет бурения ГС №1
Средняя накопленная дополнительная добыча по 10 скважинам составила
Q=1895+1794+2024+4641+2417+2670+1993+1349+2922+2785=24490 т
6. Расчет технологических показателей разработки
Исходные данные для расчета показателей разработки приведены в табл. 61.
Таблица 61. Исходные данные для расчета показателей разработки
| Начальные балансовые запасы (НБЗ), т | 117000000 |
| Начальные извлекаемые запасы (НИЗ), т | 30000000 |
На начало планируемого года: – накопленная добыча нефти, т – накопленная добыча жидкости, т – накопленная закачка воды, м3 – действующий фонд добывающих скважин – действующий фонд нагнетательных скважин |
4650000 17222222 18238000 518 28 |
Динамика бурения скважин на ближайший год: – добывающих – нагнетательных |
6 0 |
Количество дней работы добывающих скважин в году, перешедших с предыдущего года:
Дпер =365К (5)
где К – коэффициент эксплуатации, К=0,912
Дпер =365×0,939=332,9
Количество дней работы новых скважин Днов =160
Средний дебит нефти новых скважин qн нов =8,2 т/сут
Коэффициент падения нефти из перешедших скважин Кпад =0,939
Годовая добыча нефти из новых скважин
Qн нов =qн нов ×Nд нов ×Днов (6)
где Nд вв – число новых добывающих скважин
Qн нов =8,2 ×6×160=7872 т
Годовая добыча нефти из переведенных скважин
Qн пер =qн пер, t ×Nд дей, t ×Дпер (7)
Qн пер =2,1 ×518×332,88=362106,9 т
Годовая добыча нефти всего
Qн =Qн нов +Qн пер (8)
Qн =7872+362106,9=369978,9 т
Годовая добыча нефти из новых скважин предыдущего года, если бы они в данном году работали без падения
Qн нов, t -1 =qн нов, t -1 ×Nд нов ×Дпер (9)
Qн нов, t -1 =8,2×6 ×332,88=16377,7 т
Годовая добыча нефти из перешедших скважин предыдущего года (если бы они работали без падения)
Qн пер, t = Qн пер, t -1 (10)
Возможная расчетная добыча нефти из всех скважин предыдущего года (в случае работы их без падения)
Qн р =Qн нов ,t-1 +Qн пер ,t (11)
Qн р =16377,7+362106,9=378484,6 т
Снижение добычи нефти из скважин предыдущего года
DQн =Qн р -Qн пер, t (12)
DQн =378484,6–362106,9=16377,7 т
Процент изменения добычи нефти из скважин предыдущего года
(13)

Средний дебит одной скважины по нефти
(14)
где д дей - действующий в данном году фонд добывающих скважин. Он равен сумме действующего фонда добывающих скважин в предыдущем году, новых добывающих скважин и числу отключенных скважин в данном году.

Средний дебит скважин по нефти, перешедших с предыдущего года
(15)
![]()
Накопленная добыча нефти
(16)
![]()
Текущий коэффициент нефтеизвлечения
(17)
![]()
Отбор от утвержденных начальных извлекаемых запасов
(18)
![]()
Темп отбора от начальных извлекаемых запасов
(19)
![]()
Темп отбора от текущих извлекаемых запасов
(20)
![]()
Средняя обводненность добываемой продукции
(21)
а=4, с=-0,8 в=1

Годовая добыча жидкости
(22)

Добыча жидкости с начала разработки
(23)
![]()
Годовая закачка воды
(24)
а=0,2, в=1,2
![]()
Годовая компенсация отбора жидкости закачкой
(25)

Накопленная компенсация отбора жидкости закачкой
(26)
![]()
Водо-нефтяной фактор
(27)
![]()
Динамика основных показателей разработки показана в табл. 62
Таблица 62. Динамика основных показателей разработки
| Годы | Добыча, млн. т | Накопленная добыча, млн. т | В, % | Закачка воды, млн. т | Средний дебит по нефти, т/сут | КИН | Темп отбора от НИЗ | Темп отбора от ТИЗ | |||
| нефти | жидкости | нефти | жидкости | год | S | ||||||
| 2010 | 0,370 | 1,259 | 5,02 | 18,48 | 71,2 | 1,60 | 19,84 | 2,13 | 4,29 | 1,23 | 1,46 |
| 2011 | 0,353 | 1,234 | 5,37 | 19,72 | 72,1 | 1,56 | 21,40 | 2,01 | 4,59 | 1,18 | 1,41 |
| 2012 | 0,334 | 1,207 | 5,71 | 20,92 | 72,9 | 1,53 | 22,93 | 1,88 | 4,88 | 1,11 | 1,36 |
| 2013 | 0,317 | 1,173 | 6,02 | 22,10 | 73,6 | 1,48 | 24,41 | 1,77 | 5,15 | 1,06 | 1,30 |
| 2014 | 0,299 | 1,137 | 6,32 | 23,23 | 74,1 | 1,44 | 25,84 | 1,66 | 5,40 | 1,00 | 1,25 |
| 2015 | 0,283 | 1,098 | 6,61 | 24,33 | 74,7 | 1,38 | 27,23 | 1,55 | 5,65 | 0,94 | 1,20 |
| 2016 | 0,269 | 1,056 | 6,88 | 25,39 | 74,1 | 1,33 | 28,56 | 1,46 | 5,88 | 0,90 | 1,15 |
| 2017 | 0,253 | 1,013 | 7,13 | 26,40 | 75,5 | 1,28 | 29,83 | 1,37 | 6,09 | 0,84 | 1,09 |
| 2018 | 0,237 | 0,966 | 7,37 | 27,37 | 74,9 | 1,21 | 31,05 | 1,28 | 6,29 | 0,79 | 1,04 |
| 2019 | 0,220 | 0,917 | 7,58 | 28,2/ | 76,2 | 1,15 | 32,20 | 1,19 | 6,48 | 0,73 | 0,97 |
| 2020 | 0,203 | 0,866 | 7,78 | 29,15 | 76,5 | 1,09 | 33,29 | 1,10 | 6,66 | 0,68 | 0,91 |
| 2021 | 0,189 | 0,811 | 7,98 | 29,96 | 76,8 | 1,02 | 34,31 | 1,04 | 6,82 | 0,63 | 0,85 |
| 2022 | 0,174 | 0,758 | 8,15 | 30,72 | 77,0 | 0,95 | 35,26 | 0,97 | 6,97 | 0,58 | 0,79 |
| 2023 | 0,161 | 0,706 | 8,31 | 61,42 | 77,2 | 0,89 | 36,14 | 0,91 | 7,10 | 0,54 | 0,74 |
| 2024 | 0,149 | 0,657 | 8,46 | 32,08 | 77,4 | 0,82 | 36,97 | 0,85 | 7,23 | 0,50 | 0,69 |
Динамика годовой добычи нефти, жидкости, годовой закачки воды приведена на рис. 56

Рис. 56. Динамика годовой добычи нефти, жидкости, годовой закачки воды
Динамика накопленной добычи нефти, жидкости и накопленной закачки воды приведена на рис. 57

Рис. 57. Динамика накопленной добычи нефти, жидкости и накопленной закачки воды
Динамика КИН, темпа отбора от НИЗ и темпа отбора от ТИЗ приведены на рис. 58
Рис. 58. Динамика КИН, темпа отбора от НИЗ и темпа отбора от ТИЗ
Выводы и рекомендации
На 1.01.2010 г. на залежах 302–303 пробурены 109 горизонтальных скважин, в том числе на башкирские отложения – 21, на серпуховские -88. В целом за весь период эксплуатации добыто горизонтальными скважинами 1079,25 тыс. т нефти или же 9,9 тыс. т на одну скважину. При этом средний текущий дебит составил 6,3 т/сут, что в 2,5 раза выше, чем по вертикальным скважинам. По скважинам, пробуренным на серпуховский горизонт, средний дебит составил 6,5 т /сут, что в 2,6 раза выше, чем по вертикальным скважинам. По скважинам, пробуренным на башкирский горизонт, средний дебит составил 5,8 т /сут. Это в 2,3 раза выше, чем по вертикальным скважинам.
Таблица 63. Сравнение показателей работы вертикальных и горизонтальных скважин, введенных в эксплуатацию на залежах 302–303 в период с 2001 г.
| Показатели | Вертикальная | Горизонтальная |
| Скважин | 213 | 109 |
| Отработанное время, дни | 325417 | 186687 |
| Средняя стоимость 1 скважины | 7,5 | 13 |
| Накопленный отбор, т | 813544 | 1079250 |
| Добыто нефти на 1 скв., т | 3819,5 | 9901,4 |
| Добыто на 1 млн. рублей затрат, т | 509,3 | 761,6 |
| Средний дебит нефти, т/сут | 2,5 | 6,3 |
Список использованной литературы
1. Желтов Ю.П. Разработка нефтяных месторождений. – М.: Недра, 1998.
2. Желтов Ю.П., Стрижов И.Н. Сборник задач по разработке нефтяных месторождений: Учебное пособие для вузов/ Ю.П. Желтов, И.Н. Стрижов, А.Б. Золотухин, В.М. Зайцев – М.: Недра, 1985.
3. Ибатуллин Р.Р. Теоретические основы процессов разработки нефтяных месторождений: Курс лекций. Часть 1. Системы и режимы разработки: Учебно-методическое пособие. – Альметьевск: АГНИ, 2007.
4. Ибатуллин Р.Р. Теоретические основы процессов разработки нефтяных месторождений: Курс лекций. Часть 2. Процессы воздействия на пласты (Технологии и методы расчета): Учебно-методическое пособие. – Альметьевск: АГНИ, 2008.
5. Ибатуллин Р.Р., Гарипова Л.И. Сборник задач по теоретическим основам разработки нефтяных месторождений. – Альметьевск: АГНИ, 2008.
6. Муслимов Р.Х. Современные методы повышения нефтеизвлечения: проектирование, оптимизация и оценка эффективности: Учебное пособие. – Казань: изд-во «Фэн» Академии наук РТ, 2005.
7. Увеличение нефтеотдачи на поздней стадии разработки месторождений (методы, теория, практика) /Р.Р. Ибатуллин, Н.Г. Ибрагимов, Ш.Ф. Тахаутдинов, Р.С. Хисамов. – М.: Недра – Бизнесцентр, 2004.