| Скачать .docx | Скачать .pdf |
Реферат: Геологічні основи розкриття продуктивних пластів
ОЦІНКА РАДІУСУ ЗОНИ ПРОНИКНЕННЯ ФІЛЬТРАТУ ЗА ЧАС ПРОМИВКИ СВЕРДЛ ОВИНИ
1.1 Мета роботи:
вивчення і закрі плення знань методики визначення раді усу зони проникнення фі льтрату за час промивки свердловини при оці нці якості розкриття пласта
1.2 Основні теоретичні положення
Густина промивної
рі
дини для
розкриття продуктивного пласта вибирає
ться із врахуванням нері
вності
.
Техні
чними правилами ведення бурових робі
т рекомендує
ться наступне спі
ввід
ношення густини промивної
рі
дини і коефі
ціє
нт
а аномальності:
для свердловин до 1200 м —
, для бі
льш
глибок
их свер
дловин
. У
ді
йсності
досить часто ці
рекомендації
не виконуються. Мі
ж свердловиною і привибійною
зоною пласта завжди виникають великі
рі
зниці
тискі
в. Пі
д високим диференційним
тиском в продуктивні
пласти проникає
не ті
льки фі
льтрат промивної
рі
дини, але також і тверда фаза, особливо, коли в пластах є трі
щини або
іншого
роду великі
канали.
Проникнення в пласт промивної рі дини та її фі льтрату веде до змі ни структури порового простору і проникності привибійної зони. Ступі нь її змі ни залежить ві д багатьох факторі в і зменшує ться по мі рі ві ддалення ві д свердловини. У гранулярному пласті всю область, в яку проникли промивна рі дина і фі льтрат, умовно можна поді лити на дві зони: зону кольматації, яка прилягає до сверд ловини, і зону проникнення фі льтрату.
Зниження проникності колектора пі д діє ю фі льтрату промивної рі дини, як правило, набагато менше, ніж в результаті кольматації частинами твердої фази. Однак глибина проникнення фі льтрату в пласт у багато разів бі льша товщини зони кольматації. Інтенсивніше фі льтрат проникає в пласт у пері од бурі ння і промивки свердловини. Пі сля припинення промивки швидкі сть проникнення фі льтрату зменшує тьс я внас лі док утворення малопроникної кі рки на сті нках свердловини, так і в результаті зменшення порового тиску в промивні й рі дині в спокої . У першому випадку оці нити мі ні мально можливий раді ус зони проникнення фі льтрату за час промивки свердловини можна наступним чином.
Нехай швидкі сть динамі чної водові ддачі промивної рі дини В g , товщ ина пласта h , раді ус свердловини rc . За час t промивки свердл овини при бурі нні в пласт проникає наступний об’ єм фі льтрату Vф:
. (1.1)
Припустимо, що фі льтрат ці лком виті снить пластову рід ину із ві дкритих пор пристовбурної зони свердл овини. Тоді сумарний об'є м ві дкритих пор, забрудненої фі льтратом зони буде рівний:
, (1.2)
де rз — радіус зони проникнення; Коп — відкрита пористість.
Прирі внявши об'є ми, одержимо формулу для визначення мі ні мал ьно можливого раді усу забрудненої зони:

. (1.3)
Дл я проведення лабораторної роботи в таблиці 1.1 подаються наступні вихі дні дані :
1.3 Порядок виконання роботи:
1. Згі дно з вихі дними д аними (табл. 1.1 ) визначити мі ні мальний раді ус зони забруднення Фі льтратом пристовбурної зони свердловини (м).
2. Зі брати дані розрахунків інших варі анті в, звести ї х в таблицю 1.2, зробити аналі з залежності раді усу зони проникнення ві д час у розкриття пласта бурі нням і пористості .
3. Виходячи із аналі зу од ержаних результаті в, зробити висновки про розкриття продуктивного пласту .
Таблиця 1.1 — Вихідні дані для розрахунку
| Варіанти | rс | Динамічна водовідд. глин. розч., /м3/м2*6 | відкр. пористість Коп | t - час промивки, години | |||||
| t1 | t2 | t3 | t4 | t5 | t6 | ||||
| 1 | 0,1 | 4 * 10-6 | 0,10 | 1 | 10 | 20 | 50 | 80 | 90 |
| 2 | 0,1 | - " - | 0,15 | 1 | 10 | 20 | 50 | 80 | 90 |
| 3 | 0,1 | - " - | 0,20 | 1 | 10 | 20 | 50 | 80 | 90 |
| 4 | 0,1 | - " - | 0,25 | 1 | 10 | 20 | 50 | 80 | 90 |
| 5 | 0,1 | - " - | 0,30 | 1 | 10 | 20 | 50 | 80 | 90 |
| 6 | 0,1 | - " - | 0,35 | 1 | 10 | 20 | 50 | 80 | 90 |
Таблиця 1.2 — Радіуси зони проникнення та час промивки
| Варіанти | Відкрита пористість Kон | Час промивки t, год |
Радіус зони забруднення, rз | ||||||||||
| t1 | t2 | t3 | t4 | t5 | t6 | ||||||||
1.4 Зві т з лабораторної роботи повинен містити:
1. Сформульовану мету лабораторної роботи, короткі теоретичні положення з методики розрахунку раді усу забруднення пристовбурної зони свердловини.
2. Варі анти завдань в табличні й формі , розрахункові дані раді усі в забруднення всі х варі анті в.
3. Заключення та висновки по роботі .
1.5 Контрольні питання
1. Що таке коефі ціє нт аномальності.
2. Як ві н враховує ться при виборі густини промивної рі дини з глибиною?
3. Що таке зона кольматації?
4. Що таке фі льтрат і тверда фаза промивної рі дини?
5. Формула для розрахунку раді усу зони проникнення фільтрату.
1.6 Література
1. Е.М.Соловьев. Заканчивание скважин . — М.: Недра, 1979.
2. Исп ытаниенефтегазоразведочннх скважин в колонне (Ю.В.Семенов, В.С.Войтенко и др.). — М.: Недра, 1983.
Лабораторна робота ?2
ВИЗНАЧЕННЯ ПРОНИКНОСТІ І ОЦІНКА СТУПЕНЮЗАБРУДНЮЮЧОЇ ДІЇ ПРОМИСЛОВОЇ РІДИНИ НА КОЛЕКТОР
2.1 Мета роботи
вивчення і закріплення знань методики оцінки ступеню забруднюючої дії промислової рідини на колектор для оцінки якості розкриття пласта.
2.2 Основні теоретичні положення
Здатність порід продуктивних пластів пропускати рідину називається проникністю. Проникними є практично всі осадові породи.
Для кількісної оцінки проникності в лабораторії користуються законом лінійної фільтрації Дарсі, згідно з яким швидкість фільтрації прямо пропорційна градієнту тиску і обернено пропорційна динамічній в'язкості рідини.
, (2.1)
де Q— об'ємне витрачання рідини; K — коефіцієнт пропорційності, який називається абсолютною проникністю; P1, P2 — відповідно тиск на вході в зразок і на виході із нього; F — площа фільтрації; m — динамічна в'язкість рідини; l — довжина зразку пористої породи.
Із формули (2.1) слідує, що абсолютна проникність рівна:
. (2.2)
Так як газ є стисненою рідиною, його об'ємне витрачання в різних за довжиною зразках і розрізах непостійне. Тому при вимірюванні проникності породи для газу у формулу (2.2)необхідно підставити об'ємне витрачання газу приведене до середнього тиску в зразку. Під середнім розуміють середньо арифметичний тиск на вході в зразок і на виході із нього. вважають, що газ розширюється ізотермічно у відповідності із законом Бойля-Маріота. З врахуванням вищевказаного, формулу для визначення проникності по газу (2.2) можна записати у вигляді:
, (2.3)
де Q0 — об'ємне витрачання газу при атмосферному тиску;P0 — атмосферний тиск; m2 — в'язкість газу при нормальних умовах.
Розмірність проникності в міжнародній системі одиниць
.
За одиницю проникності в 1 м2 приймають проникність такого пористого середовища, через зразок якого довжиною 1 м і площею поперечного перерізу 1 м2 при перепаді тиску 1 Па за 1 сек. профільтрується 1 м3 рідини в'язкістю1 Па*с. На практиці користуються меншою одиницею, яка називається Дарсі (Д).
Проникність в 1 Д рівна 1,02 мкм2, тобто приблизно у 1012 разів менше одиниці проникності в 1 м2. Проникність в 0,001 Д називається мілідарсі. Проникність колекторів нафтових і газових родовищ змінюється від декількох мілідарсі до 2-3 Д. У реальних умовах нафтового або газового пласта приплив до свердловини проходить в умовах радіальної Фільтрації. Об’ємну швидкість припливу нестисненої крапельної рідини при радіальній Фільтрації можна знайти за формулою Дюпюї
, (2.4)
де h — товщина пласта; Рпл — пластовий тиск на контурі живлення; Рс — тиск на стінки свердловини (привибійний тиск); rk — радіус контура живлення свердловини; rc — радіус.
Величину
прийнято називати коефіцієнтом гідропроводності (або просто гідропровідністю) пласта. Із формули (2.4) слідує, що проникність при радіальній фільтрації однофазної крапельної рідини рівна
. (2.5)
Аналогічно проникність при радіальній фільтрації газу рівна
. (2.6)
Для проведення лабораторної роботи в таблицях 2.1, 2.2 подаються наступні дані:
Таблиця 2.1 — Вихідні дані
| Варіант | h,м | Рпл, МПа | Рс, МПа | МПа*с | Q, т/добу | К, мк/м2 |
| 1 | 5 | 3,0 | 2,0 | 2,6 | 25,0 | |
| 2 | 7 | 4,5 | 2,6 | -//- | 30,0 | |
| 3 | 10 | 5,0 | 3,7 | -//- | 35,0 | |
| 4 | 12 | 5,5 | 3,9 | -//- | 40,0 | |
| 5 | 13 | 6,0 | 4,0 | -//- | 45,0 | |
| 6 | 14 | 6,5 | 4,6 | -//- | 50,0 | |
| 7 | 15 | 7,0 | 5,2 | -//- | 60,0 | |
| 8 | 16 | 7,5 | 5,4 | -//- | 70,0 | |
| 9 | 18 | 8,0 | 6,0 | -//- | 75,0 | |
| 10 | 20 | 8,5 | 6,8 | -//- | 80,0 | |
| 11 | 22 | 9,0 | 7,5 | -//- | 85,0 | |
| 12 | 24 | 9,5 | 7,8 | -//- | 90,0 |
Таблиця 2.2 — Вихідні дані
| Варіант | rk | м | rc, м | r3 мк, м2 | К | К3, рази |
| 1,7 | 200 | 800 | 0,1 | 2,0 | ||
| 2,8 | 300 | 900 | 0,1 | 3,0 | ||
| 3,9 | 400 | 1000 | 0,1 | 4,0 | ||
| 4,10 | 500 | 1100 | 0,1 | 5,0 | ||
| 5,11 | 600 | 1200 | 0,1 | 6,0 | ||
| 6,12 | 700 | 1300 | 7,0 |
Визначити:
1.Проникн ість при р адіальн ій фільтрації (К).
2.З ниже ння п рон икн ості всього пласта.
Припустимо, що пла ст однорідний, а фільтрація до свер длови ни є плоско-радіальною. Приплив пластово ї р іди ни проходить під впливом р ізн иці м іж пластовим тиском Рпл на контурі живлення радіусом rk і вибійним ти ском Рс в свердловині радіусом r 3 .Позначимо тиск на зовнішній границі забрудненої зони P 3.
Об'ємна швидкість припливу пластової рідини із свердловини в забруднену зону згідно з формулою (2.4)
, (2.7)
а із забрудненої зони в све рдловину
. (2.8)
В силу нерозривності фільтрації
. Поряд з цим таку ж швидкість припливу при
даній депресії
можна одержати із незабрудненої зони пласта з проникністю
![]()
. (2.9)
Очевидно, що
. (2.10)
Підставивши у вираз (2.10 ) значення різниці тисків, із формул (1.7) і (1.8) одержимо:
. (2.11)
Формула (2.11 ) показує , якому сильному зменшенню середньої проникності всього пласта еквівалентне зменшення проникності вод К до Кз тільки невеликої пристовбурної зони. Наприклад, якщо радіус області живлення 800 м, радіус свердловини 0,1 м, радіус забр удненої зони 0,5 м, а проникність останньої в 3 рази менш е пр оникності пласта, то таке забруднення еквівалентне зменшенню проникності в сього пласта в 1,4 рази, якщо ж проникність забрудненої зони буде в 6 разів менше, це рівносильне зниженню пр оникності всього пласта в 1, 9 разів.
2.3 Порядок виконання роботи
1. Згідно з вихідними даними (таблиці 1, 2) визначити проникність (К) за формулою (2.5).
2. Радіус забрудненої зони (rз) взяти із попередньої роботи.
3. Визначити зниження проникності всього пласта за формулою (2.11).
4. Виходячи з аналізу одержаних результатів, зробити висновки про забруднення промивною рідиною пласта колектора.
2.4 Звіт з лабораторної роботи повинен містити
1.Сформульовану мету лабораторної роботи, короткі теоретичні положення з методики розрахунку проникності і зниження проникності всього пласта.
2.Варіанти завдань в табличній формі, розрахункові дані зниження проникності пласта всіх варіантів.
3.Заключення та висновки по роботі.
2.5 Контрольні запитання
1.Що таке абсолютна проникність?
2.Розмірність проникності та її визначення.
3.Формула для визначення проникності.
2.6 Література:
1. Е.М.Соловьев. Заканчивание скважин. — М.: Недра, 1979.
2. Испытание нефтегазоразведочных скважин в колоне (Ю.В.Семенов, В.С.Войтенко и др.). — М.: Недра, 1983.
ЛАБОРАТОРНА РОБОТА № 3
Оцінка забруднення привибійної зони пласта при визначенні скінефекта. Методика оцінки впливу промивної рідини на колекторські властивості продуктивного пласта
3.1 Мета роботи
вивчення і закріплення знань методики оцінки впливу промивної рідини на колекторські властивості продуктивного пласта.
3.2 Основні теоретичні положення
Часто для оцінки впливу забруднення на колекторські властивості пристовбурної зони пласта користуються поняттям про скін-ефект (від англійського слова skin — шар). Перепад тисків, який необхідний для підтримання об'ємної швидкості фільтрації Q через забруднену зону, легко знайти із формули:
. (3.1)
Якщо ця зона не забруднена, для забезпечення такої ж швидкості фільтрації необхідний перепад тисків:
. (3.2)
Віднімаючи від формули (3. 1) формулу (3.2) , одержимо вираз для визначення д одаткового перепаду тиску, який необхідний для підтримки незмінної швидкості фільтрації Q після забруднення пристовбурної зони:
. (3.3)
Величину
, (3.4)
свердловина колектор пласт забруднення
де
— скін ефект.
Із формули (3.
4) видно, що величина скін-ефекта
може бути як додатньою, так і від'ємною. Якщо
, це означає, що під впливом промивної рідини колекторські властивості пристовбурної зони погіршились. Якщо
, проникність пристовбурної
зони покращилась в порівняні з проникністю тієї частини пласта, в яку промивна рідина не проникла. П
ри розробці рецептури промивної рідини для розкриття про
дуктивного
пласта важливо правильно оцінити можливу ступінь впливу її на колекторські властивості. Один із способів такої оцінки полягає в тому, що в лабораторії вимірюють проникність зразків колектора для нафти (газу) до забруд
нення (К) і після забруднення (Кз); напрям руху фільтрату промивної рідини через зразок при забрудненій протилежно напрямку фільтрації нафти при визначенні проникності, величину відношення нафтопроникності зразку після забруднення і до забруднення називають коефіцієнтом відновлення проникності (Квід). Чим менший коефіцієнт відновлення проникності, тим сильніша забруднююча дія промивної рідини на колекторські властивості пористого середовища.
3.3 Порядок виконання роботи
1. Визначити скін-ефект за даними попередньої роботи для свого варіанту.
2. Згідно з вихідними даними (таблиця 3.1) визначити коефіцієнт відновлення проникності.
3. Виходячи із аналізу одержаних результатів і таблиці 3.2, зробити висновки про забруднення привибійної зони продуктивного пласта і забруднюючі дії різних промивних рідин.
Таблиця 3.1 — Вихідні дані для визначення коефіцієнта відновлення
| Порода | Початкова проникність, МКм2 | Проникність після забруднення, МКм2 | Вид промивної рідини | Коефіцієнт відновлення, Квід |
| Глинистий пісковик | 0,60 | 0,35 | Прісна вода | |
| Глинистий пісковик | 0,47 | 0,20 | Прісна вода | |
| Пісковик | 1,2 | 0,67 | Пластова вода | |
| Пісковик | 1,8 | 0,67 | Пластова вода | |
| Глинистий пісковик | 1,1 | 0,70 | 1% розчин NaCl | |
| Глинистий пісковик | 1,0 | 0,80 | 1% розчин NaCl |
Таблиця 3.2 — Коефіцієнти відновлення проникності
| Вид промивної рідини | Коефіцієнт відновлення проникності |
| Водопровідна вода | 0,60 |
| Глинистий розчин | 0,72 |
| Глинистий розчин оброблений УЩР | 0,47 |
| Глинистий розчин оброблений КМУ | 0,62 |
| Глинистий розчин на нафтовій основі | 1,00 |
3.4 Контрольні запитання:
1. Як діють різні промивні рідини на привибійну зону пласта колектора?
2. Що таке проникність?
3. Що таке скін-ефект?
3.5 Література
Е.М.Соловьев. Заканчивание скважин. — М.: Недра, 1979.
Лабораторна робота №4
ВИЗНАЧЕННЯ ГУСТИНИ ПРОМИВНОЇ РІДИНИ ПРИ РОЗКРИТТІ ПРОДУКТИВНОГО ПЛАСТА НА РІВНОВАЗІ ТИСКІВ
4.1 Мета роботи
визначення і закріплення знань методики розрахунку густини промивної рідини для розкриття продуктивного пласта при рівновазі тисків: пластового і промивної рідини.
4.2 Основні теоретичні положення
При бурінні глибоких свердловин (до 5000 м і нижче), продуктивні горизонти в більшості випадків розкриваються з репресіями на пласти. Нам уже відомі наслідки неякісного розкриття нафтогазоносних горизонтів з перевищенням гідростатичного тиску над пластовим, особливо на родовищах з АВПТ, де використовуються обважнені промивні рідини.
Вказаний фактор має місце при бурінні на розвідувальних площах Передкарпатського прогину Рожнятів, Космач-Покутський, Ольховка та ін., де при розкритті нафтоносних пластів використовувався обважнений буровий розчин густиною
кг/м3. Репресія на пласти при цьому досягала 15-20 МПа. Внаслідок чого при хорошій геофізичній характеристиці пластів-колекторів одержані дуже малі припливи нафти. При бурінні свердловин в таких умовах в результаті повної або часткової втрати гідродинамічного зв’язку пластів з свердловиною має місце невиявлення нафтогазоносних пластів при випробуванні їх на приплив, втрати на довгий час потенційних робочих дебітів.
В.Д.Зільберман вказує, що на основні знання закономірності розподілу пластових тисків в покладах при вмілому маневруванні нашими можливостями можна покращити якість розкриття пластів. Так, регулюванням глибини установки башмаків і проміжних колон в продуктивному розрізі, можна регулювати величину репресії на пласти.
Обмеження величини репресії густини промивної рідини на пласти дозволить підвищити ефективність геофізичних робіт і газового каротажу. При розкритті розрізу з великими репресіями на продуктивні пласти проходить витіснення газу від стінок свердловини. У промивну рідину попадає тільки незначна частина газу і на кривій газопоказання фіксуються тільки значення, які не перевищують фонових значень. У даному випадку пласти з кращими колекторськими властивостями будуть задавлені і заглинизовані, а малопористі з низькими фільтраційними властивостями не будуть задавлені, що викличе підвищене розгазування розчину і появу пік на газокаротажних діаграмах. Внаслідок дифузії газу на промивну рідину низькопроникні пласти будуть відбиватись на діаграмах у вигляді зон з підвищеною газоносністю. На думку К.А.Анілієва, гідродинамічні процеси, які викликають викиди, поглинання промивної рідини, прилипання інструменту до стінок свердловин, обвали глин та інші ускладнення, проходять тим активніше, чим більша дисгармонія між градієнтами.
Найраціональніше буріння “на балансовій рівновазі” між тиском флюїдів в порах і гідростатичним тиском промивної рідини в свердловині.
За даними ЦНДЛ об’єднання “Укрнафта” при бурінні свердловин тиск промивної рідини повинен перевищувати не більш ніж на 8-10% пластовий тиск. К.А.Анілієв, роблячи посилання на досвід буріння свердловин США, рекомендує цю величину підтримувати в межах 0-3,5 МПа. У такому випадку при своєчасно виявленому моменті входження в зону з АВПТ і при вірній оцінці величини тиску з'являється можливість безаварійного буріння свердловини. Є можливість здійснювати контроль за пластовим тиском в процесі буріння свердловини і проводити її на мінімально необхідній густині промивної рідини.
Таблиця 4.1 — Вихідні дані
| Н, м | Н, м | ||||
| 1000 | 2400 | 5 | 1500 | 2450 | 6,8 |
| 1100 | 2420 | 5,2 | 1550 | 2470 | 7,0 |
| 1150 | 2430 | 5,4 | 1600 | 2480 | 7,2 |
| 1200 | 2435 | 5,7 | 1670 | 2480 | 7,4 |
| 1230 | 2440 | 5,9 | 1700 | 2490 | 7,6 |
| 1300 | 2450 | 6,0 | 1750 | 2500 | 7,9 |
| 1350 | 2460 | 6,0 | 1800 | 2510 | 8,1 |
| 1380 | 2470 | 6,5 | 1830 | 2520 | 8,3 |
| 1400 | 2480 | 6,8 | 1900 | 2530 | 8,5 |
| 1450 | 2510 | 7,2 | 1940 | 2540 | 8,6 |
| 1470 | 2510 | 7,8 | 1980 | 2540 | 8,9 |
| 1500 | 2515 | 7,9 | 2050 | 2550 | 9,2 |
| 1550 | 2520 | 8,1 | 2100 | 2560 | 9,5 |
| 1570 | 2530 | 8,4 | 2140 | 2570 | 9,8 |
| 1600 | 2540 | 8,8 | 2180 | 2580 | 9,0 |
| 1650 | 2470 | 7,1 | 2200 | 2520 | 8,2 |
| 1700 | 2460 | 6,5 | 2240 | 2510 | 8,0 |
| 1740 | 2450 | 5,0 | 2270 | 2500 | 6,0 |
| 1800 | 2440 | 5,0 | 2300 | 2490 | 5,2 |
| 1850 | 2430 | 4,8 | 2325 | 2490 | 5,2 |
| 1880 | 2420 | 3,8 | 2380 | 2480 | 4,4 |
| 1900 | 2420 | 3,2 | 2400 | 2480 | 4,4 |
| 1950 | 2420 | 3,2 | 2450 | 2480 | 4,1 |
| 2000 | 2420 | 3,2 | 2500 | 2480 | 4,1 |
Таблиця 4.2 — Результати підрахунку
| Варіанти | Н, м | Ра, МПа |
| 1 | 1850 | |
| 2 | 1900 | |
| 3 | 2000 | |
| 4 | 2400 | |
| 5 | 2500 |

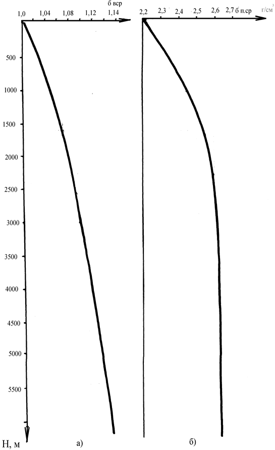
Рисунок 4.1 — Графік змін густини води (а) і аргілітів (б) з глибиною для внутрішньої зони Передкарпатського прогину
4.3 Порядок виконання роботи
1. Будуються графіки зміни густини глинистих пластів з глибиною (електрич-ного опору та ін.).
2. За графіками встановлюється інтервал нормальної зміни параметрів глин з глибиною і виділяються зони аномального пластового тиску.
3. Для глибини розрахунку (Н) порового тиску знаходиться еквівалентна глибина (Не), на якій глини мають таку ж величину параметру, як і на глибині (Н), тобто, скелет породи має на глибині Н і Не однакову ефективну напругу і характеризується однаковою ефективною густиною.
Основне рівняння цієї методики має вигляд:
, МПа (4.1)
де Pa — аномальний пoровий тиск на глибиніН,МПа;
,
— серед-ньозважене значення по товщині в кг/м3 знaчення густини порід на глибині Ні і Не;
— густина мінералізованої води (визначена пографіку), кг/м3.
Для визначення аномального тиску за даними електрометрії використо-вують формулу:
, (4.2)
де
— гідростатичний тиск стовпа рідини на глибині визначення
;
,
— відповідно на глибині визначення
, значення електричного опору в Ом*м.
4.4 Контрольні запитання
1. Що таке коефіцієнт аномальності?
2. Що таке аномальний тиск?
4.5 Література
1. Чорний М.І. Розробка методики прогнозування аномально високих тисків за даними геофізичних досліджень свердловин для внутрішньої зони Перед-карпатського прогину. Дис. на здобуття наукового ступеня канд. геол.-мін. наук. — Івано-Франківськ, 1982.
ЛАБОРАТОРНА РОБОТА №5
ВИЗНАЧЕННЯ ГРАДІЄНТА ТИСКУ ГІДРОРОЗРИВУ ПЛАСТА НА ОСНОВІ ДАНИХ ГЕОФІЗИЧНИХ ДОСЛІДЖЕНЬ
5.1 Мета роботи
визначення і закріплення знань методики оцінки градієнта тиску гідророзриву пласта на основі геофізичних досліджень для розкриття проодуктивного пласта в оптимальних умовах.
5.2 Основні теоретичні положення
Для проектування раціональної конструкції свердловини, яка забезпечить її проведення без ускладнень до проектної глибини, необхідно мати достовірні дані про значення порового тиску (пластового) і тиску гідророзриву пласта. Ці дані повинні також враховуватись при виборі густини промивної рідини для оптимального розкриття продуктивного пласта.
Відомо, що градієнти тиску розриву пласта пов’язані з поровим (пластовим) тиском, літологією, віком порід і глибиною залягання пласта, а також напруженим станом гірських порід.
Практика буріння свердловин в Передкарпатському прогині показує, що визначення нижньої границі густини бурового розчину, виходячи з умов попередження проявів, є необхідним, але не достатнім для попередження ускладнень. Так, при бурінні сильно розущільнених глин, поровий тиск у яких близький до тиску гідророзриву пласта, навіть незначне збільшення густини бурового розчину з метою попередження викидів, приводить до гідравлічного розриву пласта. Це викликає інтенсивне поглинання бурового розчину з подальшим викидом. Верхню границю густини бурового розчину можна визначити за формулою:
, (5.1)
де rв— верхня межа густини бурового розчину, кг/м3;gн— прискорення вільного падіння, м/с2;h— глибина залягання підошви пласта, м; Рпор — поровий (пластовий) тиск, н/м2; m — коефіцієнт Пуассона; Gсп — напруга скелету породи, H*м2
, (5.2)
де Ргір — гірський тиск порід, Н/м2.
Для визначення гірського тиску на основі проведених замірів побудовано графік його зміни з глибиною для умов Передкарпатського прогину (рис. 5.1). Для побудови графіка використана залежність (5.2).

Рисунок 5.1 - Зміна геостатичного тиску з глибиною
, (5.3)
де
п(Н) — об’ємна маса породи, як функція її залягання.
Поровий тиск може бути визначений за даними зміни густини породи з глибиною, або за даними геофізичних досліджень свердловин (лабораторна робота №4).
Для експресного визначення градієнта тиску розриву пласта можна вико-ристати номограму (рис. 5.2), побудовану на основі рівняння (5.1). На номогра-мі знаходять необхідну глибину і проводять горизонталь до перетину з лінією коефіцієнта аномальності порового тиску. Далі опускають перпендикуляр до абсциси, на якій знаходять значення градієнта тиску розриву пласта, що еквіва-лентно верхній межі густини бурового розчину при бурінні в даному інтервалі.

Рисунок 5.2 — Номограма для визначення градієнта тиску гідророзриву пласта
Достовірність результатів досліджень була підтверджена шляхом аналізу ускладнень, що пов’язані з поглинанням бурового розчину, які виникають найчастіше при розбурюванні піщано-глинистих порід на родовищах Прикар-паття.
Величину градієнта тиску розриву пласта можна визначити із залежності його від градієнта порового тиску. На основі статистичної обробки даних геофізичних та інших досліджень для умов Передкарпатського прогину одер-жана залежність
. (5.4)
Градієнт порового тиску можу бути визначений за даними геофізичних досліджень (лабораторна робота №4).
Оперативно отримані дані про тиск гідророзриву пласта, дають можли-вість регулювати густину бурового розчину у визначених межах. Використання бурових розчинів завищеної густини приводить до ускладнень в процесі буріння свердловини.
Таблиця 5.1 — Вихідні дані
| Варі-анти | Н, м | Коефіц. Пуассона | ||||
1 2 3 4 5 6 |
1850 1900 2000 2400 2450 2500 |
0,20 0,25 0,30 0,35 0,40 0,45 |
5.3 Порядок виконання роботи:
1. Взявши порові тиски на глибинах за варіантом визначити верхню і нижню межі густини бурового розчину для буріння свердловини в заданому інтер-валі.
2. Визначення зробити за загальною формулою, за формулою для регіону та за номограмою.
5.4 Контрольні запитання:
1. Від чого залежить гідророзрив пласта?
2. Що таке коефіцієнт Пуассона?
5.5 Література:
У.Х.Фертль. Аномальные пластовые давления. / Пер. с английского. — М.: Недра, 1980.
Лабораторна робота № 6
ВИЗНАЧЕННЯ ПРОЕКТНОГО КОЕФІЦІЄНТА НАФТОВІДДАЧІ ДЛЯ НОВИХ ПОКЛАДІВ З ВОДОНАПІРНИМ РЕЖИМОМ
6.1 Мета роботи
Закріплення знань методики визначення проектного коефіці-єнта для нових покладів з водонапірним режимом.
6.2 Основні теоретичні положення
Поклади нафти характеризуються великою різноманітністю геологічної будови продуктивних пластів, їх колекторських властивостей, фізичних властивостей нафти і інших факторів, які впливають на величину нафтовіддачі.
Для нових покладів нафти, де за геолого-промисловими даними очікують водонапірний режим,
проектний коефіціє
нт нафтовіддачі визначають залежно від співвідношення в'язкості
нафти і води,
проникності колекторів і ступеня неоднорідності продуктивного пласта і його літології. Залежно від літології визначення коефіцієнта нафтовіддачі ведеться окремо для теригенних і карбонатних колекторів.
Ступінь неоднорідності визначають за величинами коефіцієнтів піщанистості (Кп) і розчленованості (Кр) продуктивного пласта. До однорідних пластів відносять такі, для яких Кп дорівнює більше 0,75 і Кр менше 2,1, а до неодно-рідних — коли Кп менше 0,75, а Кр більше 2,1.
Визначення коефіцієнта нафтовіддачі h проводиться за допомогою графіків залежності h від співвідношення в'язкості
і проникності пласта, побудованих окремо для однорідних і неоднорідних теригенних колекторів (рис.6.1).
У виданих індивідуальних завданнях необхідно визначити проектний кое-фіцієнт нафтовіддачі h покладів нафти, які пов'язані з теригенними колекто-рами різного ступеня неоднорідності містять нафту різної характеристики.
Для визначення проектного коефіцієнта нафтовіддачі даються наступні вихідні дані:
а) розрізи пробурених пошуково-розвідувальних свердловин в межах продуктивного інтервалу, які характеризують неоднорідність продуктивного пласта;
б) дані про проникність продуктивного пласта в окремих свердловинах;
в) дані про в'язкість пластової води.
Приклад:
На покладі пробурено 11 свердловин, план розташування яки х показ ано на рис . 6.3.

Рисунок 6.3 — План розташування свердловин (для побудови карти проникності)
Проникність колекторів показ ана, в т аблиці 6.1, дані про загальну і ефективну товщини пласта в таблиці 6.2. В'язкість нафти в пластових, умовах дорівнює 4,8 Па*с, в'язкість пластової води — 1 Па*с.
Завдання: визначити проектний коефіцієнт нафтовіддачі.
Таблиця 6.1 — Проникність колекторів
| № свердловин | Проникність, мкм2 |
1 2 3 4 5 6 7 8 9 10 11 |
0,182 0,60 0,108 0,129 0,075 0,152 0,044 0,112 0,084 0,109 |
Таблиця 6.2 — Загальна ефективна товщина пласта
| № свердловин | Товщина пласта, м | Число пропластків колекторів | |||
| Загальна |Варіанти | Ефективна | ||||
| 1 | 2 | 3 | |||
1 2 3 4 5 6 7 8 9 10 11 |
18,1 17,8 17,6 19,2 19,1 19,0 18,2 18,8 18,5 19,6 18,0 |
19,8 19,6 19,4 20,6 20,6 19,2 20,2 19,6 19,6 20,0 19,0 |
20,3 20,5 21,0 22,6 21,4 20,7 19,4 19,8 20,7 21,7 18,0 |
15 13 13,8 15,2 13,0 15,5 16,4 14,0 14,2 15,6 12,6 |
3 3 3 3 3 2 2 3 3 3 2 |
1 2 3 4 5 6 7 8 9 10 11 |
21,2 22,1 17,3 16,2 18,1 18.3 16,1 17,2 18,3 18,0 20,2 |
16,1 17,2 18,3 17,2 16,8 17,2 18,0 19,2 20,1 21,2 22,0 |
20,1 22,3 18,1 19,2 19,1 17,2 18,3 20,4 21,2 20,4 21,0 |
14,0 13,2 12,4 14,8 15,6 14,2 16,0 13,3 14,5 14,2 15,0 |
4 2 3 2 3 3 2 3 2 4 2 |
6.3 Порядок виконання р оботи:
1. Визначаємо ступінь геологічної неоднорідності продуктивного пласта. Для цього вираховує мо К п і К р:
а) Коефіцієнт піщанистості (Кп) - це від ношення середньої ефективної товщини до середньої загальної товщини пласта. В межах покладу його визначають за такою формулою
, (6.1)
де hефі — еф ективна товщина пласта в і-тій свердловині, м; ni— загальна товщина пластів в і-тій свердловині, м;n — число свердловин.
Дані для визначення Кп беремо з таблиці 6.2. Підставляючи величини товщин в формулу (6.1) визначаємо Кп :

.
б) Коефіцієнт розчленованності (Кр) — відношення числа пропластків колекторів, просумованих для всіх свердловин до числа свердловин:
,
де Ni — число пропластків колекторів в і-тій свердловині;n — кількість свердловин.
Підставляюч и значення Ni з таблиці 6.2 в ф орму лу (6.2 ), визначає мо Кр :
.
Виходячи з одерж аних значень К п і К р визначає мо, що пласт є неоднорідним.
2. Визн ачає мо середню проникність пласта, як середньозважен у величину по площі. Для цього будує мо к арту проникності (ри с. 6.3) . Маючи карту про-никності, визначає мо середньозважену проникність по площі за формулою
, (6.3)
де Кі — середнє значення проникності між двома сусідніми ізолініями;
fi —площа між сусідніми ізолініями.
Замі ри площі між двома сусідніми ізолініями проводять за допомогою планіметра. Дані по Кі і fi заносять в табл . 6.3. Підставивши значення Кі і fiв формулу (6.З) визначає мо К сз
,
![]()
Таблиця 6.3 — Визначення проникності і площі
| Середня проникність порід між сусідніми ізолініями, мкм 2 | Площа між двома сусідніми ізолініями, м2 |
0,040 0,05 1 0,071 0,092 0,112 0,133 0,153 0,173 |
7812 5 640625 1500000 3062 500 3546875 1765645 453125 |
3. Визначає мо співвіднош ення в'язкостей нафти і води в пластових у мовах:
. (6.4)
Підставляючи значення
і
в формулу (6.4)
визначає
мо:
.
4. Визначаємо проект ний коефіціє нт наф товіддачі.
За одержаними величинами коефіцієнтів
Кп
і К
р встановлено,
що пласт неоднорідний або однорідний, тому для визнач
ення коефіціє
нта наф
товіддачі користує
мось граф
іком,
зображеним на рисунку (6.1) або (6.2).
У
нашому при-к
ладі знаходимо величину h по кривій,
яка відповідає
проникності (0,102-
0,306 мД) при
Він дорівнює
0,47.
6.4 Контрольні запитання:
1. Що таке к оефіціє нт піщанистості?
2 . Які пласти вважаються однорідними а які неодно-рідними?
6.5 Література:
1. Жданов М.А. Нефтепром ысловаягеология и подсчёт запасов нефти и газа. — М.: Недра, 1970.