| Похожие рефераты | Скачать .docx | Скачать .pdf |
Курсовая работа: Геодезические работы
Дисциплина: Геодезические работы
Курсовая работа
Оглавление
Введение
Глава 1. Общие сведения о населенном пункте
Глава 2. Создание геодезического обоснования на территории поселений
Глава 3. Межевание земель
Глава 4. Способы определения площадей земельных участков
Глава 5. Методы и приемы проектирования участков
Глава 6. Общая технология разбивочных работ, методы подготовки исходных данных, способ полигонометрического (теодолитного) хода0
Глава 7. Съемка подземных коммуникаций
Заключение
Введение
Для дальнейшей комплексной модернизации системы государственного управления необходимо создание единого централизованного государственного учета объектов недвижимости (включая земельные участки, здания и инженерные сооружения), который позволит обеспечить физическим и юридическим лицам доступ к информации, содержащейся в государственном кадастре.
Кадастр представляет собой совокупность сведений о природном, правовом, хозяйственном, экономическом и пространственным положением объектов недвижимости, представленные в соответствии с определенными требованиями.
Ведение кадастра не возможно без современного геодезического обеспечения.
Основные геодезические работы по ведению кадастра включают в себя:
· геодезические работы при планировке и застройке городов;
· геодезическое обоснование на территории поселений;
· межевание земельного участка;
· определение площадей земельных участков;
· проектирование земельных участков;
· съемка подземных коммуникаций.
В данной курсовой работе рассматриваются перечисленные виды геодезических работ и методика проведения расчетов.
Глава 1. Общие сведения о населенном пункте
Белгородский район расположен на юго-западе Среднерусской возвышенности. Самая высокая отметка 276м. На востоке граничит с Воронежской областью, на севере – с Курской областью, на западе и на юге проходит государственная граница с Украиной.
Протяжённость Белгородского района с севера на юг – 50км; с запада на восток – 35км. Территория района располагается между 50º 17`и 50º 6` северной широты, и 36º 06` и 36º 52` восточной долготы.
Природные условия.
Климат - умеренно-континентальный, отличается довольно мягкой зимой со снегопадами и оттепелями и продолжительным летом. Средняя годовая температура воздуха изменяется от +5,4°С на севере до +6,7°С – на юго-востоке. Самый холодный месяц – январь. Безморозный период в западных районах длится 155-160 дней, в восточных – 165. Продолжительность солнечного времени на территории области исчисляется примерно в 1800 часов (в Москве – 1575, в Сочи – 2185 часов). Почва прогревается и промерзает примерно до глубины 0,5-1 метр.
Распределение атмосферных осадков по территории области неравномерно и определяется циклонической деятельностью и в некоторой степени характером рельефа. Наибольшее количество осадков в западных и северных районах области и в среднем составляет 540-550 мм. По мере движения с запада на восток и юго-восток их количество постепенно уменьшается. Характерной особенностью Белгородской области является колебание количества осадков не только в разные годы, но и по сезонам года. Так, за апрель-октябрь на всей территории области выпадает более 60% годового количества осадков. Первый снег выпадает в октябре-ноябре.
Рельеф поверхности - Современный рельеф района формировался в течение многих миллионов лет. В различные геологические периоды поверхность района не была однородной. Раньше она имела вид горных хребтов, затем её сгладили отложения доисторического моря, покрывавшего землю района в течение 70 мл. лет назад. К началу четвертичного периода основные формы рельефа были близки к современным, но второстепенные всё время менялись и продолжают меняться по сей день. На формирование современного рельефа нашего района повлияло четвертичное оледенение.
Отложения ледников, как покровные, так и наносные, ещё больше выровняли прежде спокойный рельеф. Однако, под действием талых, дождевых и речных вод происходило разрушение и размыв отдельных участков поверхности, в результате чего формировались долины, ложбины овраги. Длинно-балочные системы всё сильнее расчленяли поверхность.
С отступление ледника размывающая деятельность поверхностных вод оживилась, реки стали всё глубже врезаться в древние долины. Понижение днищ долины привело к углублению речных притоков, а следовательно, и к развитию густой сети оврагов. С течение времени эти древние овраги превратились в задернованные балки. Позже они были прорезаны современной овражной сетью.
Почвы района отличаются большим естественным плодородием. Преобладают чернозёмы. Они являются результатом степного типа почвообразования. Почвенный покров района представлен чернозёмами и тёмно-серыми лесными почвами склонов балок.
Глава 2. Создание геодезического обоснования на территории поселения.
2.1 Общие положения
Генеральный план города является основным градостроительным документом, определяющим условия формирования среды жизнедеятельности, направления и границы развития территорий поселений, зонирования территорий, развитие инженерной, транспортной и социальной инфраструктур и т.д. Генплан поселений разрабатывается и утверждается органами местного самоуправления.
Основным структурным элементом при разработке проекта планировки жилой застройки является микрорайон, а в промышленных зонах - блок-квартал производственных зданий и сооружений. Элементы жилой и промышленной застройки ограничены красными линиями.
Проект детальной планировки - это градостроительная документация, разработанная для частей территорий городских и сельских поселений.
Элементы планировочной структуры:
· красные линии и линии регулирования застройки;
· границы земельных участков;
· параметры улиц, проездов, пешеходных зон, а так же сооружений и коммуникаций, транспорта, связи и т.д.
Задачей проекта детальной планировки является уточнение и развитие решений, принятых в генплане города до уровня, позволяющего определить задание на составление проектов застройки. При этом проект детальной планировки включает:
1. схему размещения проектного района в системе города;
2. чертеж (план красных линий);
3. разбивочный чертеж красных линий;
4. схему инженерной подготовки и вертикальной планировки по осям проездов;
5. схемы инженерных сетей;
6. макет планировки и застройки.
План красных линий является составной частью генерального плана поселения или может быть отдельной градостроительной документацией.
Красные линии - границы, отделяющие территории кварталов, микрорайонов и других элементов планировочной структуры от улиц, проездов и площадей городских и сельских поселений. Красная линия является основой для разбивки и установления на местности других линий градостроительного регулирования, в т.ч. и границ землевладений.
Проект красных линий разрабатывается, согласовывается, утверждается, как правило, в составе градостроительной документации, выполняемой на территории поселения или части поселения в масштабе 1:2000. Красная линия служит опорной линией, от которой выносят в натуру оси зданий, границы земельных участков, преимущественно по способы перпендикуляров. Красная линия выносится в натуру от геодезических опорных пунктов различными способами. Положение красных линий закрепляется на местности надежными знаками, и иногда отмечаются на стенах существующих зданий и сооружений.
Документом для выноса в натуру красных линий служит разбивочный чертеж красных линий с привязанными размерами поворотных точек красных линий к пунктам геодезической сети или к опорным строениям. Обычно на чертеже показываются геодезические пункты, опорные здания и другие данные, необходимые для подготовки и составления плана красных линий, как правило, расчетным (аналитическим) способом.
Аналитическая подготовка предполагает, что все точки излома красных линий и створные точки на длинных линиях, точки пересечения оси проездов должны быть вычислены в единой горизонтальной системе координат.
После проверки и уточнения состояния пунктов геодезического обоснования составляют геодезический проект детальной разбивки красных линий, осей проездов в натуре. При разбивке на местности в основном применяют полярный способ, способ перпендикуляров и способ линейной засечки. Для выбранного способа вычисляют разбивочные элементы: длины полярных направлений, перпендикуляров и линейных засечек. Для определения углов используют дирекционные углы, полученные из решения обратной геодезической задачи (ОГЗ). Точки поворотных красных линий и осей проездов закрепляют в натуре временными знаками (металлические штыри, костыли, обрезки трубок, уголка). Установка штырей производится на бетоне. На незастроенной территории знаки закрепляются и окапываются; составляется абрис привязки знака.
2.2 Опорные межевые сети
Опорная межевая сеть (ОМС) является геодезической сетью специального назначения, создаваемой для координатного обеспечения государственного земельного кадастра, мониторинга земель, землеустройства и других мероприятий по управлению земельным фондом России.
ОМС предназначена для:
1. установления координатной основы на территориях кадастровых округов, районов, кварталов;
2. ведения государственного реестра земель кадастрового округа, района, квартала и дежурных кадастровых карт (планов);
3. проведения работ по государственному земельному кадастру, землеустройству, межеванию земельных участков, мониторингу земель и координатного обеспечения иных государственных кадастров;
4. государственного контроля за состоянием, использованием и охраной земель;
5. проектирования и организации выполнения природоохранных, почвозащитных и восстановительных мероприятий, а также мероприятий по сохранению природных ландшафтов и особо ценных земель;
6. установления границ земель, особо подверженных геологическим и техногенным воздействиям;
7. информационного обеспечения государственного земельного кадастра данными о количественных и качественных характеристиках и местоположении земель для установления их цены, платы за пользование, экономического стимулирования и рационального землепользования;
8. инвентаризации земель различного целевого назначения;
9. решения других задач государственного земельного кадастра, мониторинга земель и землеустройства.
Опорная межевая сеть подразделяется на два класса, которые обозначаются 0МС1 и ОМС2, точность построения которых характеризуется средними квадратическими ошибками взаимного положения смежных пунктов соответственно не более 0,05 и 0,10 метра.
ОМС1 создается, как правило, в городах для решения задач по установлению (восстановлению) границ городской территории, а также границ земельных участков как объектов недвижимости, находящихся в собственности (пользовании) граждан или юридических лиц.
0МС2 - в черте других поселений для решения вышеуказанных задач, на землях сельскохозяйственного назначения и других землях для геодезического обеспечения межевания земельных участков, мониторинга и инвентаризации земель, создания базовых межевых карт (планов) и др.
Плотность пунктов опорной межевой сети должна обеспечивать необходимую точность последующих работ по государственному земельному кадастру, мониторингу земель и землеустройству и определяется техническим проектом. При этом плотность пунктов ОМС на 1 км2 должна быть не менее:
· четырех - в черте города;
· двух - в черте других поселений;
· четырех на один населенный пункт - в поселениях площадью менее 2 км2;
· на землях сельскохозяйственного назначения и других землях число пунктов ОМС устанавливается техническим проектом.
Координаты пунктов ОМС, главным образом, определяются по наблюдениям ГЛОНАСС и НАВСТАР. При развитии ОМС методами триангуляции, полигонометрии, трилатерации и их комбинации конфигурация геодезических сетей, приборы и методики угловых и линейных измерений должны обеспечить требования к точности построения ОМС.
Координаты пунктов ОМС2 могут быть определены фотограмметрическим способом.
Опорная межевая сеть привязывается не менее чем к двум пунктам государственной геодезической сети или ОМС соответствующего класса.
Пункты ОМС следует, как правило, размещать на землях, находящихся в государственной или муниципальной собственности, с учетом их доступности. В других случаях необходимо письменное согласие собственника, владельца или пользователя земельным участком, на котором размещаются пункты ОМС.
Пункты опорной межевой сети на местности закрепляются центрами, обеспечивающими их долговременную сохранность и устойчивость, как в плане, так и по высоте.
В работах по Государственному земельному кадастру, мониторингу земель и землеустройству применяют местные системы координат.
Для каждой местной системы координат устанавливаются следующие параметры координатной сетки на плоскости в проекции Гаусса:
· долгота осевого меридиана первой зоны;
· количество координатных зон;
· координаты условного начала.
Каждая местная система координат может создаваться с одной или несколькими трех- или шестиградусными зонами.
Математическая обработка результатов геодезических измерений должна сопровождаться оценкой их точности. Значения средних квадратических ошибок элементов ОМС, вычисленные по результатам уравнивания, должны соответствовать их классификационным значениям, установленным для каждого класса.
2.3 Полигонометрические сети
Полигонометрические сети 4 класса, 1 и 2 разрядов создаются в виде отдельных ходов или различных систем ходов.
Отдельный ход должен опираться на 2 исходных пункта. На исходных пунктах необходимо измерять примычные углы.
В исключительных случаях при отсутствии между исходными пунктами видимости с земли допускается:
· проложение хода полигонометрии, опирающегося на 2 исходных пункта. Для контроля угловых измерений используются дирекционные углы примычных сторон, полученных из астрономических наблюдений с точностью 5-7 секунд или гиротеодолитных измерений с точностью 10-15 секунд;
· проложение замкнутого хода полигонометрии 1и 2 разрядов, опирающегося на один исходный пункт, при условии передачи или измерения с точек хода двух дирекционных углов с точностью 5-7 секунд на две смежные стороны по возможности в слабом месте (середине) хода;
координатная привязка к пунктам геодезической сети. При этом для контроля угловых измерений в целях обнаружения грубых ошибок измерений используются дирекционные углы на ориентирные пункты и азимуты, полученные из астрономических или гиротеодолитных измерений. Проложение висячих ходов не допускается. При построении полигонометрических сетей 4 класса, 1 и 2 разрядов должны соблюдаться требования, приведенные в таблице.
| Показатели | 4 класс | 1 разряд | 2 разряд |
| 1 | 2 | 3 | 4 |
| Предельная длина хода, км: | |||
| отдельного | 15 | 5 | 3 |
| между исходной и узловой точкой | 10 | 3 | 2 |
| между узловыми точками | 7 | 2 | 1,5 |
| Предельный периметр полигона, км | 30 | 15 | 9 |
| Длины сторон хода, км: | |||
| наибольшая | 2,00 | 0,80 | 0,35 |
| наименьшая | 0,25 | 0,12 | 0,08 |
| средняя расчетная | 0,50 | 0,30 | 0,20 |
| Число сторон в ходе, не более | 15 | 15 | 15 |
| Относительная погрешность хода, не более | 1:25000 | 1:10000 | 1:5000 |
| Средняя квадратическая погрешность измерения угла (по невязкам в ходах и полигонах), угловые секунды, не более | 3 | 5 | 10 |
Угловая невязка хода или полигона, угловые секунды, не более, где n -число углов в ходе |
5Vn | 10Vn | 20Vn |
Измерение углов на пунктах полигонометрии производится способом измерения отдельного угла или способом круговых приемов, как правило, по трехштативной системе оптическими теодолитами Т1,Т2, Т5 и другими, им равноточными, с точностью центрирования 1 мм. Способ круговых приемов применяется, когда число наблюдаемых направлений на пункте более двух.
При измерениях способом отдельного угла алидаду вращают только по ходу часовой стрелки или только против хода часовой стрелки.
При измерениях круговыми приемами в первом полуприеме алидаду вращают по ходу часовой стрелки, а во втором - в обратном направлении. При наличии в группе измерений отдельных приемов или углов, результаты которых не удовлетворяют установленным допускам, последние повторяются на тех же установках лимба.
Расхождения между значениями измеренного и исходного угла на примычном пункте не должны превышать:
· в полигонометрии 4 класса - 6";
· 1 разряда- 10";
· 2 разряда - 20".
Если расхождения будут более указанного допуска, то определяется третье исходное направление, по которому следует произвести соответствующий контроль.
Угловые и линейные измерения рекомендуется производить одновременно. При этом полевая обработка материалов измерений и контрольные вычисления должны, как правило, производиться исполнителем.
2.4 Привязка съемочной сети к пунктам опорной межевой сети на землях поселений
После полевого обследования и согласования границы земельного участка был составлен проект съемочной сети для последующего определения координат межевых знаков полярным способом. Съемочная сеть представлена в виде точек теодолитного хода. Координаты начальной точки F определены ее привязкой к пунктам опорной межевой сети (ОМС2)- парным стенным знакам 1 и 2.
Схема теодолитного хода.
![]() |
||||||||||
![]() |
||||||||||
Координаты пунктов опорной межевой сети
| 1 | 2 | ||
| X, м | Y, м | X, м | Y, м |
| 243,500 | 186,109 | 200,028 | 184,040 |
Координаты точек теодолитного хода
| № т. | Х, м | У, м |
| 1 | 175,000 | 355,000 |
| 2 | 119,000 | 299,000 |
| 3 | 93,000 | 378,000 |
| 4 | 27,000 | 395,000 |
| 5 | 29,500 | 317,000 |
| 6 | 58,000 | 224,500 |
Пример графического определения координат:
130
xт = 120 + (lмм/ l`мм ∙ 100м)
120
![]()
1
![]() |
Схема привязки хода к парным стенным знакам.
При привязке на точке теодолитного хода F были измерены горизонтальные проложения d1, d2 от начальной точки хода до стенных знаков, горизонтальный угол ВF между направлениями от начальной точки хода на стенные знаки. Вычислена длина стороны d1-2 между стенными знаками. Направления измерены теодолитом 2Т5КП методом круговых приемов.
| ВF | 54°36'02,7" |
| d1 | 47,112 м |
| d2 | 47,768 м |
1) Вычисление длины стороны d1-2 между стенными знаками:
2) Определение дирекционного угла линии 1-2:
3) Вычисление углов β1 и β 2:
4) Вычисление дирекционных углов линий 2-1, 1-F, 2-F:
5) Вычисление координат точки F:
Контроль вычислений:
6) Вычисление длины линии F-1 и дирекционного угла этой линии:
7) Вычисление длин линий теодолитного хода и дирекционных углов этих линий:
| Направление | d, м | α, °'" | |
| 1-2 | 79,195 | 225°00'00" | |
| 2-3 | 83,168 | 108°13'01,54" | |
| 3-4 | 68,154 | 165°33'21" | |
| 4-5 | 78,040 | 270°50'08,79" | |
| 5-6 | 96,791 | 287°07'28,16" | |
| 6-F | 162,521 | 0°57'04,34" | |
9) Вычисление горизонтальных углов:
| β | °'" |
| I | 64° 35' 47" |
| II | 296° 46' 58" |
| III | 74° 43' 12.2" |
| IV | 163° 42' 41" |
| V | 106° 10' 24" |
Контроль:
βтеор = 180º ∙ (n – 2), где n – число углов хода
βтеор = 180º ∙ (7 – 2) = 900º
Σ βтеор = 900° 00' 0,55"
Определение параметров участка ABCD
1) Определение координат точек участка:
| № т. | Х, м | У, м |
| а | 67,300 | 234,500 |
| б | 92,500 | 251,000 |
| в | 69,000 | 294,500 |
| г | 42,000 | 278,500 |
| д | 79,000 | 275,000 |
| е | 106,200 | 290,500 |
| ж | 82,500 | 335,000 |
| з | 58,000 | 378,500 |
| и | 31,500 | 362,000 |
| к | 55,000 | 320,500 |
2) Вычисление длин линий участка и дирекционных углов этих линий:
| Направление | d, м | α, °'" |
| 2-е | 15,365 | 213°35'12" |
| 3-ж | 44,263 | 256°16'40" |
| 3-з | 35,003 | 179° 10' 54" |
| 5-и | 45,044 | 87° 27' 18,7" |
| 5-к | 25,739 | 7° 48' 55,06" |
| 5-в | 45,458 | 330° 20' 00" |
| 6-г | 56,320 | 106°39'0,4" |
| 6-д | 54,692 | 67°25'13,5" |
| 6-б | 43,028 | 37°31'42,4" |
| 6-а | 13,764 | 47°04'37,83" |
3) Вычисление горизонтальных углов:
| β | °'" |
| 2-е | 105°22'10" |
| 3-ж | 90° 43' 19" |
| 3-з | 13° 37' 33" |
| 5-и | 3° 22' 50,09" |
| 5-к | 83° 01' 13,73" |
| 5-в | 120° 30' 8,8" |
| 6-г | 0° 28' 27,76" |
| 6-д | 39° 42' 14,7" |
| 6-б | 69° 35' 45,8" |
| 6-а | 60° 02' 50,37" |
Глава 3. Межевание земель
3.1 Общие сведения
Межевание земель представляет собой комплекс работ по установлению, восстановлению и закреплению на местности границ земельного участка, определению его местоположения и площади.
В зависимости от назначения и типа закрепления на местности различают:
· пункты ОМС (ОМЗ), закрепляемые на долговременную (не менее 5 лет) сохранность;
· межевые знаки, закрепляемые на поворотных точках границ с использованием недорогих материалов;
· границы по "живым урочищам" (рекам, ручьям, водотокам, водоразделам и т.д.);
· границы, совпадающие с линейными сооружениями (заборами, фасадами зданий, элементами дорожной сети и т.д.);
· пропаханные линии суходольных границ.
3.2 Межевание участка
В данной работе необходимо провести межевание участка 2.
![]() |
Схема расположения участка
В данном случае основанием для межевания является получение гражданином нового земельного участка.
Весь процесс по межеванию земель можно подразделить по содержанию и месту проведения на следующие стадии работ:
-подготовительные;
-полевые;
-камеральные.
В процессе подготовительных работ осуществлялся сбор и анализ следующего исходного материала:
-проект землеустройства, материалы инвентаризации земель;
-постановление городской (поселковой) администрации о предоставлении гражданину земельного участка;
-выписки из книги регистрации земельного участка;
-сведения о наличии межевых споров по данному земельному участку;
-чертеж границ или кадастровые карты (планы) с границами земельного участка;
-топографические карты и планы;
-схемы и списки координат пунктов ГГС;
-схемы и списки координат пунктов ОМС;
-списки координат межевых знаков, затрагиваемых проектом землеустройства, а также проектные координаты вновь образуемого или трансформируемого земельного участка;
-сведения об особом режиме использования земель.
Полевое обследование производилось с целью проверки сохранности пунктов геодезической опоры, выбора наиболее выгодной технологии работ и размещения пунктов опорной межевой сети. В результате полевого обследования выяснились возможности применения тех или иных методов и приборов для закрепления межевых знаков и определения их координат.
В качестве межевых знаков использовались деревянные колья высотой 75 - 80 см, диаметром 5-7 см, железные штыри и трубы, забитые в грунт на 0,4 - 0,6 м. Основные виды межевых знаков приведены на рис.
Межевые знаки на поверхности без покрытия окапывались круглой канавой с внутренним диаметром 0,8 м, глубиной 0,2 м и шириной в нижней части 0,2 м.
При установке межевой знак ориентировали таким образом, чтобы его лицевая сторона (с надписями) была обращена к следующему межевому знаку при движении по границе по ходу часовой стрелки.
Межевание земель выполнено в соответствии с техническим проектом, в котором обоснованы содержание, объемы, трудовые затраты, необходимые материалы, сметная стоимость, сроки выполнения и техника безопасности работ.
Технический проект включает:
· текстовую часть;
· графические материалы;
· смету затрат и расчеты необходимых материалов.
Установление границ земельного участка произведено на местности в присутствии представителя городской (поселковой) администрацией, собственников, владельца (пользователя) размежевываемого и смежных с ним земельных участков или их представителей, полномочия которых удостоверено доверенностями, выданными в установленном порядке. Установление границы земельного участка №2 согласовано с владельцами смежных участков.
Результаты установления и согласования границ оформлены актом, который подписан собственником размежевываемого и смежных с ним земельных участков, городской (поселковой) администрацией и инженером - землеустроителем -производителем работ. Акт утвержден комитетом по земельным ресурсам и землеустройству Белгородского района.
После закрепления на местности межевых знаков определено их плановое положение при помощи GPS-приемника.
Глава 4. Способы определения площадей земельных участков
Площадь земельного участка вычислена аналитическим способом и составила 1544,37 м2.
В процессе и по завершению межевания земельного участка производителем работ осуществлялся текущий контроль и приемка законченной продукции.
По завершении межевых работ сформировано межевое дело, в которое включено:
1. пояснительная записка;
2. выписка из решений муниципальных организаций о предоставлении земельного участка;
3. списки координат межевых знаков;
4. акт проверки состояния ранее установленных границ земельного участка;
5. извещения о вызове собственников, владельцев и пользователей размежевываемого и смежных с ним земельных участков для участия в действиях по межеванию земель;
6. акт установления и согласования границ земельного участка;
7. акт контроля и приемки материалов межевания земель производителем работ;
8. чертеж границ земельного участка;
9. ведомость вычисления площади земельного участка;
10. акт государственного контроля за установлением и сохранностью межевых знаков.
Межевое дело регистрируется и постоянно хранится в межевом архиве комитета по земельным ресурсам и землеустройству.
При выборе способа определения площадей земельных участков обычно руководствуются требуемой точностью, наличием геодезических данных по границам, размером и конфигурацией участков. В зависимости от этих факторов различают:
· аналитический способ;
· графический способ;
· механический.
4.1 Аналитический способ
При аналитическом способе площадь участка определяют по результатам измерений линий и углов на местности или по их функциям (координатам).
Площадь участка определяется по формуле:
2Р = Σ XiYi+1 - Σ Xi+1 Yi
где Xi, Yi - координаты поворотных точек квартала.
Вычисление площади участка
| № точек | Координаты | Хi*Yi+1 | Х i+1*Yi | |
| Х, м | У, м | |||
| а | 67,300 | 234,500 | 18743,050 | 9849,000 |
| г | 42,000 | 278,500 | 12369,000 | 19216,500 |
| в | 69,000 | 294,500 | 17319,000 | 27241,250 |
| б | 92,500 | 251,000 | 21691,250 | 16892,300 |
| Σ | 70122,3 | 73199,05 | ||
| 2P, м2 | 3076,75 | |||
| P, м2 | 1544,37 | |||
Точность определения площади участка вычисляется по следующей формуле:
4mp2=mt12/2*D22+mt22/2*D12+mt32/2*D21+mt42/2*D22
где mt1,2,3,4= mt=0,1 мм в масштабе плана;
D12 = (УA-УС) 2 + (ХA- ХС) 2 = (234,500 - 294,500) 2 + (67,300 - 69,000) 2 = 3602,89
D22 = (УB-УD) 2 +(ХB- ХD) 2 = (278,500 - 251,000) 2 + (42,000 - 92,500) 2 = 3306,50
4mp2 = mt12 / 2 * D22 + mt22 / 2 * D12 + mt32 / 2 * D21 + mt42 / 2 * D22 = 0,12/2*7240+0,12/2*7120+0,12/2*7120+0,12/2*7240=143,6 м2
mp= 5,99 м2
Р участка = 1538,38 + 5,99 м2 = 1544,37 м2
4.2 Графический способ
Графический способ заключается в определение площади по результатам измерений линий и углов или по координатам на планово-картографическом материале.
Для определения площади участка его разбили на два треугольника и тогда площадь вычисляется по следующим формулам:

Разбивка участка на два треугольника
P1 = l/ 2 * a* h1= l/ 2 * 85 * 35 = 769,19 м2
P2 = l / 2 * a * h2 = l / 2 * 85 * 35 = 769,19 м2
Робщ= P1+ P2 = 1538,38 м2
а - основание треугольника, а = 85 м;
h1, h2-высоты треугольников;
h1= 35 м;
h2= 35 м;
a, h - определены графически.
Точность определения площади участка графическим способом вычисляется последующим формулам:
mP1 = mгр. / 2 a2 + h2 = 0,2 / 2 (85)2 + (35)2 = 9,2 м2
mгр. = 0,2 мм в масштабе плана;
mP2 = mгр. / 2 a2 + h2 = 0,2 / 2 (85)2 + (35)2 = 9,2 м2
mPобщ. = mP12 + mP22 = 9,22 +9,22 = 5,99 м2
т.е. площадь участка равна 1538,38 + 5,99 м2 = 1544,37 м2
4.3 Механический способ
Когда границы участка сильно изломаны, целесообразно воспользоваться механическим способом определение площади. Механический способ предполагает измерение площади участков при помощи планиметра непосредственно по планам (картам).
Планиметры делят на линейные и полярные. К линейным относят планиметры, у которых все точки прибора во время обвода фигуры подвижны, а к полярным - у которых одна точка (полюс) во время обвода фигуры неподвижна.
Наиболее распространен полярный планиметр, состоящий из двух рычагов: обводного и полюсного, соединенных шарниром.
Требования к планиметру:
· счетный ролик должен свободно вращаться (не менее 3 секунд);
· показания счетного ролика должны быть устойчивыми;
· основное геометрическое условие - рифельные штрихи должны быть параллельны оси обводного рычага.
Площадь обведенной фигуры определяется по формуле: Р = р *и
где р - цена деления планиметра, и- разность отсчетов.
Цена деления планиметра определяется путем обвода фигуры с известной площадью.
Средняя квадратическая погрешность определения площади вычисляется по следующей формуле:
mга=0,7p+0,01M/1000 Pга
Глава 5. Методы и приёмы проектирования участка
5.1 Определение координат поворотных точек кварталов
Схема кварталов
5.2 Определение проектной площади каждого участка
Проектная площадь кварталов определяется по координатам.
Р кв. №1= 8629,0 м2
Р кв. №2 = 17874,4 м2
Площадь каждого участка определяется по формуле:
Руч. = Ркв./n
где n - количество участков в квартале.
Контроль: сумма всех участков должна быть равна площади всего квартала.
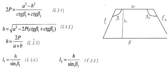
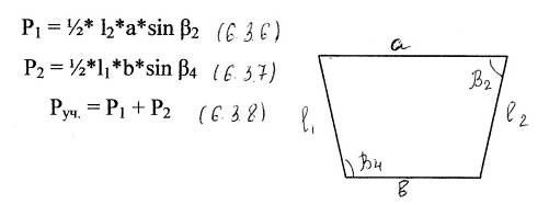
5.3 Определение недостающих элементов земельных участков
Так как стороны земельных участков кварталов №1 и №2 параллельны, то их форма - трапеция, поэтому для вычисления недостающих элементов участков мы можем воспользоваться следующими формулами:

Т.к. форма последних участков соответственно, не является трапецией, то их площади вычисляются, путем деления каждого участка на 2 треугольника, т.е.

а,b - стороны в предпоследнем участке ;
l1,l2 - боковые стороны последнего квартала,
l2=Sвсего-El1-n,l1 -вычисляется аналогично l2 ;
Sвсего- длина всего квартала вычисленная по координатам;
El1-n-1 - длина боковых сторон всех участков квартала.
После нахождения недостающих элементов каждого участка проводится контроль. Для этого разбиваем каждый квартал на 2 треугольника и считаем по формулам:
Pi=1/2*a*l2 *sin sin B1
Р2=1/г*Ь*11 *sin sin B2
Руч = P1 + P2
Pпроектн.= ЕPуч.
Вычисление недостающих элементов участков квартала № 1.
Горизонтальные углы кварталов вычисляются по разности дирекционных углов, т.е.:
В=апред.-апослед.+180
| В | 90°46'17" |
| В | 89°29'33" |
| В | 90°20'47" |
| В | 89°23'23" |
| Контроль: | В = 360° |
Вычисление элементов участков квартала №1
Рпр. квартала №1 =8629,0 t м2
| 1 участок | 2 участок | 3 участок | 4 участок | 5 участок | 6 участок | |
| _1 | 2 | 3 | 4 | 5 | 6 | 7 |
| Р,м2 | 1438,2 | 1438,2 | 1438,2 | 1438,2 | 1438,1 | 1438,1 |
| 2Р | 2876,4 | 2876,4 | 2876,4 | 2876,4 | 2876,2 | |
| а, м | 49,20 | 49,3345 | 49,4686 | 49,6023 | 49,7357 | |
| а2 | 2420,6400 | 2433,8929 | 2447,1424 | 2460,3882 | 2473,6398 | |
| В1 | 90°46'17" | 90°46'17" | 90°46'17" | 90°46'17" | 90°46'17" | |
| В2 | 89°29'33" | 89°29'33" | 89°29'33" | 89°29'33" | 89°29!33" | |
| CtgВl | -0,013464089 | -0,013464089 | -0,013464089 | -0,013464089 | -0,013464089 | |
| CtgВ2 | 0,008857777 | 0,008857777 | 0,008857777 | 0,008857777 | 0,008857777 | |
| b | 49,3345 | 49,4686 | 49,6023 | 49,7357 | 49,8687 | |
| h | 29,192 | 29,112 | 29,034 | 28,956 | 28,876 | |
| l1 | 29,19 | 29,11 | 29,03 | 28,96 | 28,88 | 28,73 |
| l2 | 29,19 | 29,11 | 29,03 | 28,96 | 28,88 | 28,87 |
| P1,m2 | 720,1 | 720,1 | 720,1 | 720,1 | 720,0 | 719,8 |
| Р2,м2 | 718,1 | 718,1 | 718,1 | 718,1 | 718,1 | 718,2 |
| P1+P2 | 1438,2 | 1438,2 | 1438,2 | 1438,2 | 1438,1 | 1438,0 |
По формулам определяем площадь последнего участка:
P6=P1+P2=1/2*49,8687*28,87*sin89°29'33"+1/2*50,00*28,73*sin89°23'23"=1438,0м2
Р= Р проектная - Руч.= 8629,0-8628,9=0,1 м2
Вычисление элементов в массиве №2
| В5 | 90°09'05" |
| В6 | 89°33'20" |
| В7 | 90°З1'19" |
| В8 | 89°46'16" |
| Контроль: | В = 360° |
Вычисление элементов участков квартала №2
S квартала =17874,4
| 7+8 участок | 9+10 участок | 11+12 участок | 13+13 участок | 15+16 участок | |
| Р,м2 | 4000 | 4000 | 4000 | 2937,2 | 2937,2 |
| 2Р,м2 | 8000 | 8000 | 8000 | 5874,4 | |
| а, м | 103,10 | 102,9014 | 102,7023 | 102,5029 | |
| а2 | 10629,61 | 10588,6981 | 10547,7624 | 10506,8445 | |
| В1 | 90°09'05" | 90° 09'05" | 90°09'05" | 90°09'05" | |
| В2 | 89°33'20" | 89°33'20" | 89°33'20" | 89°33'20" | |
| ctgВ1 | -0,00264224 | -0,00264224 | -0,00264224 | -0,00264224 | |
| ctgВ2 | 0,007757174 | 0,007757174 | 0,007757174 | 0,007757174 | |
| b,м | 102,9014 | 102,7023 | 102,5029 | 102,3563 | |
| h | 38,835 | 38,910 | 38,985 | 28,675 | |
| l1 | 38,83 | 38,91 | 38,99 | 28,68 | 28,79 |
| l2 | 38,83 | 38,91 | 38,99 | 28,68 | 28,65 |
| P1, м2 | 1998,1 | 1998,1 | 1998,1 | 1467,5 | 1466,2 |
| Р2, м2 | 2001,9 | 2001,9 | 2001,9 | 1469,6 | 1471,3 |
P1+ P2, m2 |
4000 | 4000 | 4000 | 2937,2 | 2937,5 |
Р9+10=Р1+Р2=1/2*102,3563*28,65*sin89°33'20"+1/2*102,21*28,79*sin89°46'16" = 2937,5 m2
∆P= P проектная - ΣPyч.= 17874,4-17874,7 = -0 ,3 м2
Решая прямую геодезическую задачу, находим координаты поворотных точек всех земельных участков кварталов.
По полученным данным составлен чертеж с проектными данными и разбивочный чертеж для выноса участков.


Чертеж с проектными данными
Глава 6. Общая технология разбивочных работ, методы подготовки исходных данных, способ полигонометрического (теодолитного) хода
6.1 Подготовка геодезических данных для выноса в натуру поворотных точек квартала секционной застройки

Схема теодолитного хода
Для выноса в натуру поворотных точек 1', 2', 3', 4' квартала секционной застройки был проложен теодолитный ход таким образом, чтобы расстояние от точек хода до поворотных точек было не более 100м, а расстояние между точками хода - не более 300 м
Координаты точек теодолитного хода были сняты с плана. Дирекционные углы и горизонтальные проложения линий теодолитного хода получены из решения обратной геодезической задачи по формулам:
Для контроля вычисляем сумму углов практическую и теоретическую по следующим формулам:
По полученным данным составлен разбивочный чертёж для выноса в натуру точек теодолитного хода. Вынос точек теодолитного хода проводился теодолитом 2Т5К.
Разбивочный чертёж для выноса в натуру точек теодолитного хода

1) Начальная точка хода β2;
2) Начальная точка хода β3.
Вынос в натуру поворотных точек квартала секционной застройки выполнен с точек теодолитного хода полярным способом.

Схема выноса поворотных точек квартала полярным способом.
Координаты поворотных точек 1', 2', 3', 4' квартала секционной застройки были сняты с плана. Дирекционные углы и горизонтальные проложения линий получены из решения обратной геодезической задачи. По полученным данным составлен разбивочный чертёж для выноса в натуру поворотных точек квартала.
По полученным данным составлен разбивочный чертёж для выноса в натуру поворотных точек квартала секционной застройки.
Разбивочный чертёж для выноса в натуру поворотных точек квартала секционной застройки

геодезический межевание теодолитный участок
Последовательность выноса:
1.С т. M1 ориентируясь на т. В2 .выносят точку 1' квартала;
2.С т. М3 ориентируясь на т. М2 выносят точку 2' квартала;
З.С т. М4 ориентируясь на т. М3 выносят точку 3' квартала;
4.С т. М6 ориентируясь на т. М5 выносят точку 4';
5.Для контроля выполняют промеры сторон квартала. Допустимое расхождение 1/2000
6.2 Подготовка геодезических данных для выноса в натуру поворотных точек кварталов №1 и №2
Для выноса в натуру поворотных точек 1, 7, 8, 14 и 15, 20, 21, 26, 27, 32 кварталов №1 и №2 соответственно был проложен теодолитный ход так, чтоб расстояние от точек хода до снимаемых поворотных точек было не более 100 м, а расстояние между точками хода - не более 300 м.

Схема теодолитного хода
Координаты точек теодолитного хода были получены графически. Дирекционные углы и горизонтальные проложения линий теодолитного хода получены из решения обратной геодезической задачи.
Для контроля вычислили сумму углов практическую и теоретическую по формулам:
Вт=1521°39'46"
Вп=1521°39'46"
Вт- Вп =0
По полученным данным составлен разбивочный чертёж для выноса в натуру точек теодолитного хода.
Разбивочный чертёж для выноса в натуру точек теодолитного хода

1) Начальная точка хода β2;
2) Начальная точка хода β3.
Вынос в натуру поворотных точек кварталов №1 и №2 выполнен теодолитом 2Т5К полярным способом с точек теодолитного хода Кз, К4, K5, К6.

Схема выноса поворотных точек полярным способом.
Координаты поворотных точек 5,2,3,7 и 1,6,8,4 квартала блокированной застройки были получены графически. Дирекционные углы и горизонтальные проложения линий получены из решения обратной геодезической задачи.
По полученным данным составлен разбивочный чертёж для выноса в натуру поворотных точек кварталов усадебной застройки.
Разбивочный чертёж для выноса в натуру поворотных точек квартала усадебной застройки

Последовательность выноса:
1. С т. К3 ориентируясь на т. К4 выносят точку 26;
2. С т. К4 ориентируясь на т. К3 выносят точки 1,14,15,27;
3. С т. К5 ориентируясь на т. К4 выносят точки 7,8,20;
4. С т. К6 ориентируясь на т. К5 выносят точки 21,32;
5. Для контроля выполняют промеры сторон квартала. Допустимое расхождение 1/2000.
Разбивочный чертеж для выноса участков кварталов с усадебной застройкой


Квартал №1
Начиная, с точки 1 в сторону точки 7 последовательно откладываем заданные расстояния и получаем точки 2, 3,4, 5, 6.
Для контроля от точки 7 до 8 откладываем 50,00 м.
От точки 8 в сторону точки 14 откладываем заданное расстояние и получаем точки 9,10,11,12,13.
Для контроля от точки 14 до точки 1 откладываем расстояние 49,20 м.
Квартал №2
Начиная, с точки 15 в сторону точки 20 последовательно откладываем заданные расстояния и получаем точки 16,17,18,19.
Для контроля от точки 20 до 32 откладываем расстояние 50,10 м и от точки 32 до 21 расстояние 51,11 м.
От точки 21 в сторону точки 26 откладываем заданное расстояние и получаем точки 22, 23, 24, 25.
Для контроля от точки 26 до точек 27 и 15 откладываем соответственно расстояние 51,55 м и 103,1
6.3 Привязка зданий к строительной сетке
Строительная сетка проектируется для привязки зданий (сооружений). Осуществляется привязка с помощью следующих способов: способ перпендикуляров, полярный способ и линейная засечка.
6.3.1 Способ перпендикуляров
Привязка здания к строительной сетке способом перпендикуляров проводилась в следующей последовательности:
1.С плана были сняты координаты точки С.
Хс=1357,78м;
У с=2926,64 м;

2.При решении прямой геодезической задачи по формулам были получены координаты точки АБ2:

Схема привязки здания способом перпендикуляров
З.При решении обратной геодезической задачи были получены дирекционный угол и горизонтальное проложение линии АБ2-С.
4.Полученные данные используются для нахождения расстояния АБ2-L=9,50 м и АБ2-М=44,87 м через прямоугольные треугольники. Из определения синуса и косинуса получены расстояния.
5.Так как главные оси здания параллельны сторонам строительной сетки, то дирекционный угол линии С-С2 будет равным дирекционному углу линии AB2-A1B2.
6.Зная координату т. С, дирекционные углы и проектные размеры здания (l=56м, b=15м), то из решения прямой геодезической задачи по формулам получили координаты поворотных точек здания.
По полученным данным составлен разбивочный чертёж для выноса здания в натуру. Вынос зданий на местность проводится теодолитом 2Т5К.
Разбивочный чертёж для выноса на местность здания способом перпендикуляров

Последовательность выноса:
1. От т. АБ2 в сторону т. А1Б2 откладываются расстояния 9,50м, 65,50м.
2. От т. АБ2 в сторону т. АБ3 откладываются расстояния 44,87м, 59,87м.
3. На пересечении перпендикуляров, опущенных от строительной сетки получаем т.С, С2, С4
4. Зная размеры строения, получаем т.С3
Полярный способ

Схема привязка здания к строительной сетке полярным способом
Привязка здания к строительной сетке проводилась в следующем порядке:
1. Графически были сняты координаты точек D1,D2, D3, D4;
2. Дирекционные углы и горизонтальные проложения линий А2Б2-D1, А2Б2-D4, A2B3-D2, А2Б3-D3 получены из решения обратной геодезической задачи.
3. Для контроля определили по координатам длины сторон здания и сравнили их с проектными значениями.
![]()
Полученные по координатам параметры здания: ширина 14,99м, длина 56,02м.
Проектные параметры здания: ширина 15м, длина 56м.
По полученным данным составлен разбивочный чертёж для выноса здания в натуру. Вынос зданий на местность проводится теодолитом 2Т5К.
Разбивочный чертёж для выноса на местность здания полярным способом

Последовательность выноса:
1.С т. А2Б2 ориентируясь на т. А2Б3 выносят точку D4, D1.
2.С т. А2Б3 ориентируясь на т. А2Б2 выносят точки D2, D3.
6.3.3 Линейная засечка
Привязка здания линейной засечкой к строительной сетке проводилась в следующем порядке:
1. Графически получаем координаты точек А2Б2, D4, D5, D6.
2. Решая обратную геодезическую задачу, получаем длины линий А2Б2- D5, А2Б2- D6, А2Б2- D4, D5- D4, D6- D4.
3.

Для контроля определили по координатам длины сторон здания и сравнили их с проектными (15х56м).
Разбивочный чертёж для выноса на местность здания линейной засечкой

Последовательность выноса:
1. От т. А2Б2 откладывается расстояние 44,14 м и 53,15 м; и получаем соответственно D5 и D6.
2. От т. А2Б2 откладывается расстояние 48,15 м, 50,43 м и 65,35 м; и на пересечении получаем D4.
3. Для контроля выполняют промеряют стороны здания. Допустимое расхождение 1/2000.
7. Съемка подземных коммуникаций
7.1 Общие положения
К подземным инженерным коммуникациям относят подземные линейные сооружения с технологическими устройствами на них, предназначенные для транспортирования жидкостей, газов, передачи энергии и информации.
Подземные инженерные коммуникации состоят из трубопроводов, кабельных линий и коллекторов.
При инженерных изысканиях выполняется исполнительная съемка вновь проложенных подземных коммуникаций и съемка существующих подземных коммуникаций.
Исполнительная съемка подземных коммуникаций выполняется в процессе и по окончании строительства, до засыпки траншей.
Съемка существующих подземных коммуникаций выполняется в случаях отсутствия, утраты или недостаточной полноты и точности имеющихся материалов исполнительной съемки.
7.2 Исполнительная съемка вновь построенных подземных коммуникаций
Исполнительная геодезическая съемка подземных инженерных коммуникаций для составления исполнительных чертежей выполняется в процессе их строительства до засыпки траншей и котлованов.
Не зависимо от вида подземной прокладки снимаются колодцы, каморы и люки, углы поворота, точки на прямолинейных участках по оси подземной сети не реже, чем через 50 м, места изменения уклонов коммуникаций и диаметров труб, места присоединения и ответвлении.
По каждому отдельному виду подземной инженерной коммуникации съемке и определению подлежат:
-по водопроводу и трубопроводу специального технического назначения (нефтепровод, мазутопровод, маслопровод, золопровод и др.) — пожарные гидранты, задвижки, вантузы, аварийные выпуски, водоразборные колонки, упоры на углах поворота, диаметры труб;
-по канализации (самотечной и напорной), водостоку и дренажу — аварийные выпуски, оголовки выпусков водостока, дождеприемники, ливнеспуски, очистные сооружения на водостоках, упоры на углах поворота напорной канализации, габариты зданий станций перекачки, водопроводных и канализационных насосных станций, диаметры труб;
-по теплосети — компенсаторы, задвижки, неподвижные опоры, наземные павильоны над камерами, габариты зданий центральных тепловых пунктов (ЦТП), диаметры труб;
-по газопроводу — коверы, регуляторы давления, задвижки, гидравлические затворы, контрольные трубки, компенсаторы, заглушки, габариты газораспределительных станций (ГРС), диаметры труб;
-по электрокабелю — места выходов на стены зданий и опоры, сечения блоков или каналов по внешним габаритам, число каналов, линейные и тройниковые муфты, трансформаторы, габариты зданий ТП;
-по слаботочной сети — коробки, шкафы (с указанием их типа или стандарта), сечение блоков или каналов по внешним габаритам, число каналов, развертки колодцев;
-по электрозащите от коррозии — контактные устройства, анодные заземлители (с указанием глубины их, заложения), электрозащитные установки, электрические перемычки, защитные заземления и дренажные кабели.
При этом должны быть собраны сведения и количестве прокладок, отверстий, о материале труб, колодцев, каналов, о давлении в газовых и напряжении в кабельных сетях.
При расположении подземных инженерных сетей в блоках и тоннелях снимается только одна сторона их, другая же наносится по данным промеров. Выходы подземных сетей и элементы их конструкции должны быть связаны между собой или привязаны к твердым контурам застройки контрольными промерами.
При съемке кабелей в пучках замеры производятся до крайних кабелей с той или другой стороны.
Обязательной съемке подлежат все подземные сооружения, пересекающие или идущие параллельно прокладке, вскрытые траншеей. Одновременно со съемкой указанных элементов инженерных коммуникаций должна быть выполнена съемка текущих изменений. Ширина полосы, охватываемой съёмкой, устанавливается заданием, но должна быть не менее 20 м от оси прокладки. При производстве работ рекомендуется давать единую нумерацию колодцев, камер и др.
7.2.1 Вертикальная съемка
Высотное положение подземных инженерных коммуникаций, в том числе и углов их поворота, определяется до засыпки траншей техническим нивелированием в соответствии с требованиями СП 11-104-97. Высотное положение элементов инженерной сети в проходном коллекторе определяется от проложенного внутри него нивелирного хода.
При глубоком заложении подземных коммуникаций, когда получение в необходимых местах высот точек элементов коммуникаций не может осуществляться непосредственно по нивелирной или глубинной рейке, эти высоты получают измерением металлической рулеткой вертикального расстояния от кольца колодца, на которой передана отметка.
Нивелированием определяются высоты пола и верха коллектора, верха и низа кабельной канализации в пакетах (блоках), верха бронированного кабеля, верха трубопроводов, поверхности земли (бровки траншей) в характерных местах, углов поворота и точек изменения уклонов подземных коммуникаций, обечаек смотровых люков и всех остальных точек, заснятых в плане.
В канализации (фекальной и ливневой), дренаже и других самотечных трубопроводах нивелируются лотки труб. Кроме того, определяются высоты элементов всех существующих инженерных коммуникаций, вскрытых в траншеях при строительстве.
Нумерация точек, установленная в процессе горизонтальной съемки, при нивелировании не изменяется.
Для нивелирования рекомендуются нивелиры с самоустанавливающейся линией визирования и двусторонние шашечные рейки с круглым уровнем. Расхождения в превышениях, полученных по черным и красным сторонам реек, для каждой станции не должны превышать +/- 5 мм. Расстояние от инструмента до реек не должно быть более 100 м.
Высоты временных реперов или точек плановой съемочной сети включаются в нивелирный ход. Нивелирование их как промежуточных точек не допускается.
7.2.2 Горизонтальная съемка
Плановое положение всех подземных коммуникаций и относящихся к ним сооружений определяется:
-на застроенной территории - от твердых точек капитальной застройки, от пунктов опорной геодезической сети и точек постоянного съемочного обоснования;
-на незастроенной территории - от пунктов опорной геодезической сети и точек съемочного обоснования.
От пунктов опорной геодезической сети и точек съемочного обоснования положение подземных коммуникаций определяется линейными засечками, перпендикулярами, полярным и комбинированным способами, с использованием электронных тахеометров, а также мензулы и теодолита.
При значительном (более 1 м) заглублении элементов подземных сооружений вынос оси подземных коммуникаций на поверхность выполняется с помощью отвеса.
При съемке колодцев, камер и коллекторов производятся обмеры внутреннего и внешнего габаритов сооружения и его конструктивных элементов, определяется расположение труб и фасонных частей с привязкой к отвесной линии, проходящей через центр крышки колодца. При этом должны быть установлены: назначение, конструкция колодцев, камер, коллекторов, распределительных шкафов и киосков, диаметры труб, характеристика имеющейся арматуры, внутренние габариты колодцев и других конструктивных элементов подземных сооружений.
Типовые колодцы и камеры обмерам не подлежат.
Результаты измерений заносятся в абрис, где делаются зарисовки в плане в сочетании со схемой прокладываемого теодолитного хода, показываются привязки к капитальной застройке, линейные размеры сооружения, сечения и т.д.
Все подлежащие съемке элементы подземной инженерной сети последовательно, по ходу съемки, нумеруются в абрисах и журналах.
При съемке элементов подземных инженерных коммуникаций обязательным условием является контрольное измерение расстояний между ними.
Предельные ошибки определения элементов подземной инженерной сети в плане не должны быть более 0,2 м.
7.2.3 Технология съемки существующих инженерных подземных коммуникаций с использованием трубокабелеискателей и трассоискателей
Съемка существующих инженерных подземных коммуникаций относится к инвентаризационной геодезической съемке ранее построенных инженерных подземных коммуникаций. Материалы съемок используют также для реконструкции существующих подземных сетей и их технической паспортизации.
При съемочных работах снимают не сами трубопроводы или кабели, а их проекции на земной поверхности. Если инженерные подземных коммуникаций не имеет выходов, то их съемка производится с помощью трубо- и кабелеискателей.
Трассоискателъ - это прибор, предназначенный для точного определения местоположения и глубины залегания подземных коммуникаций (силовых и сигнальных кабелей, трубопроводов водоснабжения, канализации, газоснабжения и других линейных металлических объектов), а также для определения мест повреждений кабельных линий и обследования участков местности перед проведением земляных работ или работ по поиску скрытой проводки.
В пассивном режиме поиска, без применения генератора, приемник может быть использован как кабелеискатель для определения мест залегания трасс силовых кабелей и поземных коммуникаций, по которым идет радиосигнал.
Использование полноценного комплекта трассоискателя с генератором позволяет обнаружить практически все необнаруженные в пассивном режиме металлические подземные коммуникации и выделить (если потребуется) одну из них.
Использование трассоискателя в полном комплекте также дает возможность более точно определить местоположение и глубину залегания проводника и измерить силу тока в нем. Источником поискового сигнала служит генератор, подключенный к искомой коммуникации.
Некоторые трассоискатели дополнительно комплектуются специальной А-рамкой, которую используют для диагностики кабеля. А-рамка помогает быстро и точно локализовать место повреждения в изоляции кабеля.
Принцип работы трассоискателя основан на явлении электромагнитной индукции (при протекании тока через проводник вокруг него создается электромагнитное поле).
Трассировка может выполняться 2 способами - контактный и бесконтактный способы.
Контактный способ. Для проведения трассировки необходимо наличие на водопроводной сети колодца с арматурой (задвижка, пожарный гидрант) или выхода трубы на поверхность. Методика контактного способа: для обнаружения трубы необходимо: генератор электрических сигналов подключить к водопроводной арматуре на трассируемой трубе и при помощи устройства приема сигналов осуществить поиск трубы. По окончании трассировки составляется схема прохождения трубопровода с привязками к местности (здания, столбы и т.д.)
Бесконтактный способ. Для поиска трубы бесконтактным способом необходимо знать примерное место и направление прокладки трубопровода. Методика бесконтактного способа: генератор электрических сигналов подключается к внешней излучающей антенне, которая устанавливается в предполагаемом месте прохождения трубопровода. Электромагнитное поле передающей антенны наводит на трубопроводе электрический ток, который создает вторичное электромагнитное поле. Оператор при помощи устройства приема сигналов обнаруживает вторичное электромагнитное поле и фиксирует место прохождения трубопровода.
Трубокабелеискатели предназначены для поиска скрытых инженерных подземных коммуникаций, для определения положения проекции их осей на земной поверхности и глубины заложения токопроводных труб и кабелей без вскрытия траншей.
Принцип работы таких приборов основан на использовании электромагнитной индукции. В основе метода лежит регистрация электромагнитного поля, возникающего вдоль проводника с током. Если в коммуникации ток отсутствует, то электромагнитное поле может быть создано принудительно - посредством прямого (гальванического) или индукционного подключения специального трассопоискового генератора.
При гальваническом подключении один из выводов генератора с помощью специальных зажимов соединяется непосредственно с искомой коммуникацией, другой заземляется в точке, удаленной от оси трассы. При индукционном подключении, там, где местоположение и направление трассы достоверно известно, на поверхности земли устанавливается индукционная рамка, с подключенным к ней генератором (система работает аналогично трансформатору). Созданное поле можно представить в виде концентрических колец. Магнитная составляющая будет индуцировать во внесенном в поле замкнутом контуре переменный ток. Так как напряженность магнитного поля изменяется в плоскости, перпендикулярной к направлению токопроводящей коммуникации, то, перемещая в этой плоскости приемное устройство, по изменению индукционного тока можно оценить пространственное положение проводника (кабеля, трубы) и его расстояние до оператора. Сигнал принимает специальная антенна-датчик, соединенная с регистрирующим устройством. По мере приближения антенны к коммуникации уровень регистрируемого приемником сигнала постепенно возрастает, и в момент прохождения прибора непосредственно над коммуникацией сигнал будет максимальным. При обследовании неизвестной местности участок обходится по периметру, при значительных площадях территория делится на отдельные участки.
На рис. 7.2.3.1 изображен трубокабелеискатель над искомой коммуникацией в трех различных положениях. Стрелка прибора отклоняется тогда, когда направление вертикальной составляющей магнитного потока, вызванного током в коммуникации, в одном датчике противоположно направлению потока через другой датчик (это происходит тогда, когда прибор пересекает трассу коммуникации). На потоки одного направления прибор почти не реагирует.
Для выявления инженерных подземных коммуникаций используют два способа: контактный и бесконтактный.
При контактном способе электромагнитное поле вокруг кабеля (трубопровода) создается присоединяемым к нему генератором, а при бесконтактном – без непосредственного подключения генератора к исследуемой трассе, или без применения генератора в зоне действия блуждающих токов необесточенных стальных трубопроводов и кабелей.

Для поиска инженерных подземных коммуникаций делают следующее: вблизи предполагаемого места укладки коммуникации поисковый контур располагаю горизонтально на расстоянии 5-10 см от поверхности земли. С перемещением оператора к подключенному трубопроводу или кабелю в головных телефонах постепенно усиливается звук прерывистых посылок генератора, достигающий своего максимума, когда поисковый контур находится над инженерными подземными коммуникациями. Затем поисковый контур переводят в вертикальное положение, после этого определяют окончательное положение инженерных подземных коммуникаций на земной поверхности на минимум звуковых посылок генератора. При минимуме звукового тона отмечают на земле колышком или штырем точку на проекции оси инженерных подземных коммуникаций. Для контроля работу повторяют.
Передвигаясь с приемным устройством вдоль трассы, можно закрепить на земной поверхности ось инженерных подземных коммуникаций, точки ответвлений и др.
Глубину заложения определяют следующим образом. Вначале на земле отмечают положение проекции оси трассы и намечают на ней точку. Затем располагают приемное устройство нижней частью антенны к земле под углом 45°. Перемещают его в плоскости, перпендикулярной к направлению коммуникации до тех пор, пока в наушниках не будет минимума звукового тона. Положения приемного устройства в этот момент фиксируют колышком. Глубина заложения равна расстоянию от точки на оси проекции коммуникации до точки наименьшей слышимости звука. Для контроля и повышения точности определения глубины заложения работа повторяется путем перемещения приемника в противоположную сторону от оси инженерных подземных коммуникаций. За окончательное значение глубины принимают среднее из двух измерений, которые производятся с помощью металлической рулетки.
7.3 Геодезическое обеспечение кадастра инженерных подземных коммуникаций
Определение положения (координаты) смотровых колодцев канализационной и водопроводной сетей, расположенных на участке застроенной территории. Результаты соответствующих измерений представлены в абрисе (рис. 7.3.1).
Координаты пунктов ОМС и колодца № 39 представлены в таблице 7.3.1
Таблица 7.3.1
Координаты исходных пунктов
| Пункт | Координаты пунктов ОМС2 | |
| Х,м | Y,m | |
| 086 | 34084,45 | 3559,75 |
| 087 | 34048,15 | 3559,85 |
| 204 | 34275,15 | 3540,95 |
| Координаты колодцев | ||
| Кол. №39 | 34229,30 | 3500,66 |

Рис. 7.3.1 Абрис съемки смотровых колодцев канализационной и водопроводной сетей
7.3.1 Вычисление координат съемочной станции (привязка к парным стенным знакам) - линейной засечкой с пункта 086 и 087:
Х3=34056,75 м; Y3=3530,90 м
7.3.2 Вычисление координат смотровых колодцев.
7.3.2.1 Методы определения положения каждого из колодцев представлены в таблице 7.3.2.
Методы определения координат колодцев
| № колодцев | Метод определения | |
| Первое определение | Второе определение | |
| 1 | 2 | 3 |
| 44 | Полярный со ст. 3 | Линейная засечка от п. 086 и ст. 3 |
| 43 | Перпендикуляров (по створу ст.З - п.204 (74,95) и по перпендикуляру вправо (12,24) | От колодца №44 по створу трассы кол. 44 - кол. 40 |
| 42 | Перпендикуляров (по створу ст.3-п.204(102,68)и по перпендикуляру вправо (10,77) | От колодца № 44 по створу трассы кол. 44 -кол. 40 |
| 41 | Линейная засечка от промежуточной точки D и линии А-В | От колодца № 44 по створу трассы кол. 44 - кол. 40 |
| 40 | Полярный метод с п.204 (от направления на ст.З) | Линейная засечка от п. 204 и точки А |
| 24 | Полярный метод с п.204 (от направления на ст.З) | Линейная засечка от п. 204 и промежуточной точки А |
| 23 | Полярный с п.204 (от направления на ст.З) | Линейная засечка от пункта 204 и промежуточной точки F |
| 22 | Перпендикуляров (по створу ст.З - п.204 (97,93) и по перпендикуляру влево (22,34) | От колодца 21 по створу трассы кол.21 - кол.23 |
| 21 | Полярный со ст.З | Линейная засечка от промежуточной точки Е и ст.З |
7.3.3 Вычисление координат центров колодцев. Результаты представлены в таблице
7.3.3 Координаты каждого колодца определены дважды, расхождение не превышает 0,2 м. При вычислении координат использовалась программа "Студент", разработанная на кафедре геодезии и геоинформатики ГУЗ.
Таблица 7.3.3
Каталог координат центров колодцев канализационной и водопроводной сети
| № колодцев | Координаты, м | Номера смежных колодцев |
||||||||||||||
| Первое определение | Второе определение | Среднее определение | ||||||||||||||
| X | Y | X | Y | X | Y | |||||||||||
| 1 | 2 | 3 | 4 | 5 | 6 | 7 | 8 | |||||||||
| 44 | 34082,9 | 3546,7 | 34082,8 | 3546,9 | 34082,8 | 3546,8 | 43 | |||||||||
| 43 | 34131,1 | 3546,5 | 34131,1 | 3546,6 | 34131,1 | 3546,6 | 44,42 | |||||||||
| 42 | 34158,8 | 3546,4 | 34158,9 | 3546,4 | 34158,9 | 3546,4 | 41,43 | |||||||||
| 41 | 34194,3 | 3546,3 | 34194,3 | 3546,2 | 34194,3 | 3546,3 | 40,42 | |||||||||
| 40 | 34229,6 | 3546,0 | 34229,6 | 3546,0 | 34229,6 | 3546,0 | 41 | |||||||||
| 24 | 34254,7 | 3566,0 | 34254,8 | 3566,1 | 34254,8 | 3566,0 | 40 | |||||||||
| 23 | 34255,0 | 3513,0 | 34254,8 | 3513,1 | 34254,9 | 3513,00 | 22 | |||||||||
| 22 | 34155,6 | 3513,1 | 34155,5 | 3513,1 | 34155,6 | 3513,1 | 21,23 | |||||||||
| 21 | 34095,5 | 3513,2 | 34095,4 | 3513,1 | 34095,4 | 3513,1 | 22 | |||||||||
| Р | 34229,4 | 3513,0 | ||||||||||||||
7.3.4Вычисление координат точек пересечения канализационной и водопроводной сети (рис. 7.3.1).
Уравнение прямой заданной двумя точками (первой и второй) будет:
A1X+B1Y+C1=0,
где A1=Y2-Y1;
B1=X1- X2;
C1=Y1*(X2-X1)-X1(Y2-Y1)
Данные для определения координат точки Р приведены в таблице 7.3.4
Таблица 7.3.4
| Номер линии | Обозначение | Значение | Обозначение | Значение |
| 1 | X1=X40 | 34229,55 | А1 | -45,38 |
| Y1=Y40 | 3546,04 | B1 | 0,25 | |
| Х2= Х39 | 34229,30 | C1 | 1552392 | |
| Y2=Y39 | 3500,66 | |||
| 2 | Х1-Х23 | 34254,87 | А2 | 0,06 |
| Y1=Y23 | 3513,02 | B2 | 99,30 | |
| Х2= Х22 | 34155,57 | C2 | -350879 | |
| Y2= Y22 | 3513,08 |
Вычисление координат точки Р:
Xp=(B1C2-B2C1)/(A1B2-A2B1)=0,25*(-350879)-99,30*1552392)/((-45,38)*99,30-0,06*0,25)= 34229,37м
Ур=(C1A2 - C2A1)/(A1B2 - A2B1)=(1552392*0,06-(-350879)*(-45,38))/((-45,38)*99,30-0,06*0,25)= 3513,04м
Координаты точки пересечения:
Хр=34229,37м;
Ур=3513,04м
Для контроля: вычисление по координатам расстояния между точкой Р и центрами колодцев 23 и 22. Их сумма должна быть равна расстоянию (вычисленному по координатам) между центрами колодцев 23 и 22.
Контроль:
SР-23= (X23-XР)2+{Y23-Yp)2= (34254,87-34229,37)2+(3513,02-3513,04)2 = 25,50 м
SР-22= (X22-XР)2+{Y22-Yp)2 = (34155,57-34229,37)2+(3513,08-3513,04)2 = 73,80 м
S22-23= (Х23-Х22)2+(У23-У22)2= (34254,87-34155,57)2+(3513,02-3513,08)2= 99,3 м
S22-23=SР-23+SР-22=25,50+73,80= 99,30
Заключение
В данном проекте были выполнены следующие виды геодезических работ:
-геодезические работы при планировке и застройке городов;
-геодезическое обоснование на территории поселений;
-межевание земельного участка;
-определение площадей земельных участков;
-проектирование земельных участков;
-съемка подземных коммуникаций.
Похожие рефераты:
Государственное и муниципальное управление
Проект инженерно-геологических изысканий для застройки второй очереди МКР "Каштак"
Управление земельными ресурсами Тосненского района Ленинградской области
Проектирование дренажей на базе чертежей базы ГП
Оценка стоимости земельных участков
Топогеодезическое обеспечение боя
Межевание земельного участка Гатчинского района



