| Скачать .docx | Скачать .pdf |
Курсовая работа: Расчет параметров системы наблюдений в методе ОГТ
ФЕДЕРАЛЬНОЕ АГЕНТСТВО ПО ОБРАЗОВАНИЮ
ПОЛИТЕХНИЧЕСКИЙ УНИВЕРСИТЕТ
ИНСТИТУТ ГЕОЛОГИИ И НЕФТЕГАЗОВОГО ДЕЛА
КАФЕДРА Геофизики
Курсовая работа по сейсморазведке:
” Расчет параметров системы наблюдений в методе ОГТ ”
Выполнил: ст. гр.
Проверил:
Содержание
Введение
1. Теоретические основы метода общей глубинной точки
1.1) теория метода ОГТ
1.2) особенности годографа ОГТ
1.3) интерференционная система ОГТ
2. Расчет оптимальной системы наблюдений метода МОГТ.
2.1) сейсмологическая модель разреза и ее параметры
2.2) Определение требуемой степени подавления кратной волны-помехи
2.3) Построение остаточного годографа кратной волны
2.4) Построение функции запаздывания
2.5) Расчет параметров системы наблюдений МОГТ
3. Технология полевых сейсморазведочных работ.
3.1) требования к сети наблюдений в сейсморазведке
3.2) условия возбуждения упругих волн
3.3) условия приема упругих волн
3.4) выбор аппаратурных средств и спецоборудования
3.5) организация полевых сейсморазведочных работ
4.Заключение
5.Список литературы
Введение.
Этот метод модификация МОВ. Принципиальными достоинствами МОГТ яляются:
- индивидуальность каждой сейсмограммы ОГТ, сформированной из трасс сейсмограмм общего пункта возбуждения (ОПВ), не повторяющихся ни в одной другой сейсмограмме ОГТ;
- симметричность годографа ОГТ отраженной волны относительно данной средней точки и допустимость его гиперболической аппроксимации;
- избыточность системы многократных перекрытий.
В сейсморазведке полезные сигналы регистрируются, как правило, на фоне разнообразных помех. Выделяют группу волновых помех, которая объединяет кратные волны, возникающие на глубинных границах раздела. Кратные волны приходят по направлениям, близким к направлению прихода однократных отражений, одинаков и спектральный состав этих волн. Кратные отражения зачастую обладают меньшей эффективной скоростью, и соответственно большей крутизной годографа, чем полезные волны. При этом рассматривают годографы, которые всегда симметричны относительно начала координат независимо от угла наклона отражающей границы и типа волны - годографы ОГТ. Минимум годографа ОГТ всегда совмещен с началом координат.
1. Теоретические основы метода общей глубинной точки.
1.1 Теория метода ОГТ
Метод (способ) общей глубинной точки (МОГТ) — модификация МОВ, основанная на системе многократных перекрытий и отличающаяся суммированием (накапливанием) отражений от общих участков границы при различных расположениях источников и приемников. Метод ОГТ базируется на допущении о коррелируемости волн, возбужденных удаленными на разное расстояние источниками, но отразившимися от общего участка границы. Неминуемые различия спектров разных источников и погрешности во временах при суммировании требуют понижения спектров полезных сигналов. Основное преимущество метода ОГТ состоит в возможности усиления однократно отраженных волн на фоне многократных и обменных отраженных волн путем уравнивания времен отраженных от общих глубинных точек и их суммирования. Специфические особенности метода ОГТ определяются свойствами направленности при суммировании, избыточностью данных и статистическим эффектом. Они наиболее успешно реализуются при цифровой регистрации и обработке первичных данных.
Рис. 1. Схематическое изображение элемента системы наблюдений и сейсмограммы, полученной методом ОГТ. А и А’ — оси синфазности отраженной однократной волны соответственно до и после введения кинематической поправки; В и В’ — ось синфазности многократной отраженной волны соответственно до и после введения кинематической поправки. |
Рис. 1. иллюстрирует принцип суммирования по ОГТ на примере системы пятикратного перекрытия. Источники упругих волн и приемники располагаются на профиле симметрично проекции на нее общей глубинной точки R горизонтальной границы. Сейсмограмма, составленная из пяти записей, полученных в пунктах приема 1, 3, 5, 7, 9 (счет пунктов приема начинается от своего пункта возбуждения) при возбуждении в пунктах V, IV, III, II, I, показана над линией CD. Она образует сейсмограмму ОГТ, а годографы прокоррелированных на ней отраженных волн — годографы ОГТ. На обычно применяемых в методе ОГТ базах наблюдения, не превышающих 3 км, годограф ОГТ однократно отраженной волны с |
достаточной точностью аппроксимируется гиперболой. При этом минимум гиперболы близок к проекции на линию наблюдения общей глубинной точки. Это свойство годографа ОГТ во многом определяет относительную простоту и эффективность обработки данных.
Для преобразования совокупности сейсмических записей во временной разрез в каждую сейсмограмму ОГТ вводят кинематические поправки, величины которых определяются скоростями сред, покрывающих отражающие границы, т. е. они рассчитываются для однократных отражений. В результате ввода поправок оси синфазностей однократных отражений трансформируются в линии t0 = const. При этом оси синфазностей регулярных волн-помех (многократных, обменных волн), кинематика которых отличается от введенных кинематических поправок, трансформируются в плавные кривые. После введения кинематических поправок трассы исправленной сейсмограммы одновременно суммируют. При этом однократно отраженные волны складываются в фазе и таким образом подчеркиваются, а регулярные помехи, и среди них в первую очередь многократно отраженные волны, складываемые с фазовыми сдвигами, ослабляются. Зная кинематические особенности волны-помехи, можно заранее рассчитать параметры системы наблюдений методом ОГТ (длину годографа ОГТ, число каналов на сейсмограмме ОГТ, равное кратности прослеживания) при которых обеспечивается требуемое ослабление помехи.
Сейсмограммы ОГТ формируют путем выборки каналов с сейсмограммы от каждого пункта возбуждения (называемых сейсмограммами общего пункта возбуждения – ОПВ) в соответствии с требованиями элемента системы, приведенного на рис. 1., где показаны: первая запись пятого пункта возбуждения, третья запись четвертого и т. д. до девятой записи первого пункта возбуждения.
Указанная процедура непрерывных выборок вдоль профиля возможна лишь при многократном перекрытии. Она соответствует наложению временных разрезов, получаемых независимо от каждого пункта возбуждения, и свидетельствует об избыточности информации, реализуемой в методе ОГТ. Эта избыточность является важной особенностью метода и лежит в основе уточнения (коррекции) статических и кинематических поправок.
Скорости, требуемые для уточнения вводимых кинематических поправок, определяют по годографам ОГТ. Для этого сейсмограммы ОГТ с рассчитанными приблизительно кинематическими поправками подвергаются разновременному суммированию с дополнительными нелинейными операциями. По суммолентам ОГТ, помимо определения эффективных скоростей однократно отраженных волн, находят кинематические особенности волн-помех для расчета параметров приемной системы. Наблюдения методом ОГТ проводят вдоль продольных профилей.
Для возбуждения волн применяют взрывные и ударные источники, которые требуют наблюдений с большой (48—96) кратностью перекрытий.
Обработка данных МОГТ на ЭВМ делится на ряд этапов, каждый из которых заканчивается выводом результатов для принятия решения интерпретатором 1) предварительная обработка; 2) определение оптимальных параметров и построение окончательного временного разреза; З) определение скоростной модели среды; 4) построение глубинного разреза.
Системы многократных перекрытий составляют в настоящее время основу полевых наблюдений (сбора данных) в МОВ и определяют развитие метода. Суммирование по ОГТ является одной из главных и эффективных процедур обработки, которые можно реализовать на базе этих систем. Метод ОГТ является основной модификацией МОВ при поисках и разведке нефтяных и газовых месторождений практически во всех сейсмогеологических условиях. Однако результатам суммирования по ОГТ свойственны некоторые ограничения. К ним относятся: а) существенное снижение частоты регистрации; б) ослабление свойства локальности МОВ за счет увеличения объема неоднородного пространства при больших удалениях от источника, характерных для метода ОГТ и необходимых для подавления многократных волн; в) наложение однократных отражений от близких границ вследствие свойственного им сближения осей синфазности при больших удалениях от источника; г) чувствительность к боковым волнам, мешающим прослеживанию целевых субгоризонтальных границ вследствие расположения основного максимума пространственной характеристики направленности суммирования в плоскости, перпендикулярной к базе суммирования (профилю).
Указанные ограничения в целом обусловливают тенденцию снижения разрешающей способности МОВ. Учитывая распространенность метода ОГТ, их следует учитывать в конкретных сейсмогеологических условиях.
1.2 Особенности годографа ОГТ.
Пусть плоская отражающая граница залегает под углом φ, а покрывающая толща характеризуется скоростью v = const (рис. 2). Обозначим глубину по нормали от центра систему наблюдений до границы раздела (расстояние OO’) через h0 . Тогда глубина по нормали, проведенной к границе раздела из пункта взрыва, сдвинутого от центра О системы на расстояние –х/2,
Рис. 2. Схема способа ОГТ для наклонного залегания отражающей границы. |
h1 =h0 – x∙sinφ/2 Подставив h1 в выражение годографа ОПВ отраженной волны, получим t(x)= или t(x)= Введем обозначение vОГТ =v/cosφ. Тогда уравнение запишется в следующем виде: t(x)= Из рассмотрения уравнения следует, что: |
1) годограф ОГТ однократно-отраженной волны для однородной покрывающей среды представляет собой гиперболу с минимумом в точке симметрии (точке ОГТ);
2) с увеличением угла наклона границы раздела крутизна годографа ОГТ и соответственно приращение времени уменьшаются;
3) форма годографа ОГТ не зависит от знака угла наклона границы раздела (эта особенность вытекает из принципа взаимности и является одним из главных свойств симметричной системы взрыв – прибор;
4) для данного t0 годограф ОГТ является функцией только одного параметра – vОГТ , который называется фиктивной скоростью.
Указанные особенности означают, что для аппроксимации наблюденного годографа ОГТ гиперболой необходимо подобрать удовлетворяющее данному t0 значение vОГТ , определяемое по формуле (vОГТ =v/cosφ). Это важное следствие позволяет легко реализовать поиск оси синфазности отраженной волны путем анализа сейсмограммы ОГТ по вееру гипербол, имеющих общее значение t0 и различные vОГТ .
1.3 Интерференционная система ОГТ
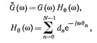
В интерференционных системах процедура фильтрации состоит в суммировании сейсмических трасс вдоль заданных линий τ(х) с весами, постоянными для каждой трассы. Обычно линии суммирования соответствуют форме годографов полезных волн. Взвешенное суммирование колебаний разных трасс yn (t) является частным случаем многоканальной фильтрации, когда операторы индивидуальных фильтров hn (t) представляют собой δ-функции с амплитудами, равными весовым коэффициентам dn :
(1)
где τm - n – разность времен суммирования колебаний на трассе m, к которой относят получаемый результат, и на трассе n.
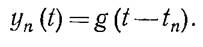
Соотношению (1) придадим более простую форму, учитывая, что результат не зависит от положения точки т и определяется временными сдвигами трасс τn относительно произвольного начала отсчета. Получим несложную формулу, описывающую общий алгоритм интерференционных систем,
(2)
Их разновидности отличаются характером изменения весовых коэффициентов dn и временных сдвигов τn : те и другие могут быть постоянными или переменными в пространстве, а последние, кроме того, могут изменяться и во времени.
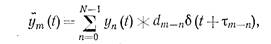
Пусть на сейсмических трассах регистрируется идеально регулярная волна g(t,x) с годографом вступления t(x)=tn :
![]()
Подставляя это в (2), получаем выражение, описывающее колебания на выходе интерференционных системы,

где θn =tn – τn .
Величины θn определяют отклонение годографа волны от заданной линии суммирования. Найдем спектр профильтрованных колебаний:

Если годограф регулярной волны совпадает с линией суммирования (θn ≡0), то происходит синфазное сложение колебаний. Для этого случая, обозначаемого θ=0, имеем
Интерференционные системы строят с целью усиления синфазно суммируемых волн. Для достижения такого результата необходимо, чтобы H 0 (ω) было максимальным значением модуля функции H θ (ω) .Чаще всего применяют одинарные интерференционные системы, имеющие для всех каналов равные веса, которые можно считать единичными: dn ≡1. В таком случае

В заключение отметим, что суммирование неплоских волн можно осуществлять с помощью сейсмических источников путем введения соответствующих задержек в моменты возбуждения колебаний. На практике эти виды интерференционных систем реализуют в лабораторном варианте, вводя необходимые сдвиги в записи колебаний от отдельных источников. Сдвиги можно подбирать таким образом, чтобы фронт падающей волны имел форму, оптимальную с точки зрения повышения интенсивности волн, отраженных или дифрагированных от локальных участков сейсмогеологического разреза, представляющих особый интерес. Такая методика известна как фокусирование падающей волны.
2. Расчет оптимальной системы наблюдений метода МОГТ.
а) сейсмологическая модель разреза и ее параметры.
| Пласт | 1 | 2 | 3 | 4 | 5 |
| Н ,м | 296 | 296 | 1090 | 495 | 395 |
| 1585 | 2081 | 2477 | 3468 | 3667 | |
| G ,кг/м | 2 0 81 | 216 0 | 2230 | 2388 | 2477 |
б) Определение требуемой степени подавления кратной волны-помехи.
| A | B | K | ∆t |
| -0,154 | 1,154 | 0,98 | 0,19 |
| -0,103 | 1,103 | 0,99 | 0,14 |
| -0,199 | 1,199 | 0,96 | 0,44 |
| -0,046 | 1,046 | 0,99 | 0,14 |
| 0,11 |
| tокр | tосиг | αкр | αсиг | Vкр | Vсиг |
| 1,8 | 1,82 | 1,24547E-07 | -9,84015E-06 | 1644,444 | 2392,308 |
| 1,8 | 1,24547E-07 | 1644,444 | |||
| 1,78 | -1,79896E-12 | 1995,506 | |||
| 1,8 | 1,24547E-07 | 1644,444 | |||
| 1,8 | -1,91803E-08 | 1644,444 | |||
| 1,82 | -7,74134E-07 | 2173,626 | |||
| 1,82 | -7,74134E-07 | 2173,626 |
в) Построение остаточного годографа кратной волны.

| X | tкр(X) | tпол(X) | tпол1(X) | tпол2(X) | tпол3(X) | tпол4(X) | tпол5(X) |
| 0 | 1,82 | 1,82 | 1,845 | 1,87 | 1,895 | 1,92 | 1,945 |
| 500 | 1,834479 | 1,831961 | 1,8568 | 1,881644 | 1,906491 | 1,931342 | 1,956197 |
| 1000 | 1,877247 | 1,867386 | 1,89176 | 1,91615 | 1,940555 | 1,964976 | 1,989411 |
| 1500 | 1,946439 | 1,924978 | 1,948632 | 1,972319 | 1,996038 | 2,019787 | 2,043567 |
| 2000 | 2,039368 | 2,002827 | 2,025572 | 2,048369 | 2,071218 | 2,094115 | 2,11706 |
| 2500 | 2,152963 | 2,09868 | 2,120397 | 2,142185 | 2,164043 | 2,185969 | 2,207959 |
| 3000 | 2,284142 | 2,210195 | 2,230827 | 2,251547 | 2,272353 | 2,293243 | 2,314215 |
| 3500 | 2,430059 | 2,33513 | 2,354668 | 2,374307 | 2,394047 | 2,413884 | 2,433816 |
| 4000 | 2,588222 | 2,471451 | 2,489919 | 2,508499 | 2,527191 | 2,545991 | 2,564897 |
| xi | toi |
| 0 | 1,82 |
| 1575,207 | 1,845 |
| 2235,264 | 1,87 |
| 2746,886 | 1,895 |
| 3182,485 | 1,92 |
| 3569,999 | 1,945 |

д) Расчет параметров системы наблюдений МОГТ
| xi | τ |
| 0 | 0 |
| 1575,207 | 0,025 |
| 2235,264 | 0,05 |
| 2746,886 | 0,075 |
| 3182,485 | 0,1 |
| 3569,999 | 0,125 |

3. Технология полевых сейсморазведочных работ.
3.1 требования к сети наблюдений в сейсморазведке.
Системы наблюдений .
В настоящее время в основном применяют системы многократных перекрытий (СМП), обеспечивающей суммирование по общей глубинной точке (ОГТ) , и тем самым резкое повышение соотношения сигнал/помеха. Применение не продольных профилей сокращает затраты на полевые работы и резко повышает технологичность полевых работ.
В настоящее время практически используются только полные корреляционные системы наблюдений , позволяющие проводить непрерывную корреляцию полезных волн.
При рекогносцировочной съемке и на стадии опытных работ с целью предварительного изучения волнового поля в районе исследований применяют сейсмозондирования. Система наблюдений при этом должна обеспечивать получение информации о глубинах и углах наклона исследуемых отражающих границ, а также определение эффективных скоростей. Различают линейные , представляющие собой короткие отрезки продольных профилей , и площадные (крестовые, радиальные, круговые) сейсмозондирования , когда наблюдения производят на нескольких (от двух и более) пересекающихся продольных или не продольных профилях.
Из линейных сейсмозондирований наибольшее применение получили зондирования общей глубинной точки (ОГТ) , представляющие собой элементы системы многократного профилирования. Взаимное расположение пунктов возбуждения и участков наблюдений выбирают таким образом , чтобы записывались отражения от одного итого же участка изучаемой границы. Получаемые при этом сейсмограммы монтируют.
На системах многократного профилирования (перекрытия) основан метод общей глубинной точки , при котором используют центральные системы , системы с изменяющимся пунктом взрыва в пределах базы приема , фланговые односторонние без выноса и с выносом пункта взрыва , а также фланговые двухсторонние (встречные) системы без выноса и с выносом пункта взрыва .
Наиболее удобны для производственных работ и обеспечивают максимальную производительность системы , при реализации которых база наблюдений и пункт возбуждения смещаются после каждого взрыва в одном направлении на равные расстояния.
Для прослеживания и определения элементов пространственного залегания крутопадающих границ , а также трассирования тектонических нарушений целесообразно применить сопряженные профили . которые почти параллельны , а расстояние между ними выбирают из расчета обеспечения непрерывной корреляции волн , они составляют 100-1000 м.
При наблюдении на одном профиле ПВ располагают на другом , и наоборот. Такая система наблюдений обеспечивает непрерывную корреляцию волн по сопряженным профилям.
Многократное профилирование по нескольким (от 3 до 9) сопряженным профилям составляет основу способа широкого профиля. Пункт наблюдения при этом располагают на центральном профиле , а возбуждения производят последовательно с пунктов , находящихся на параллельных сопряженных профилях. Кратность прослеживания отражающих границ по каждому из параллельных профилей может быть различной. Общая кратность наблюдений определяется произведением кратности по каждому из сопряженных профилей на их общее число. Увеличение затрат на проведение наблюдений по столь сложным системам оправдывается возможностью получения информации о пространственных особенностях отражающих границ.
Площадные системы наблюдений , построенные на основе крестовой расстановки , обеспечивают площадную выборку трасс по ОГТ за счет последовательного перекрытия крестообразных расстановок, источников и приемников, Если шаг источников δy и сейсмоприемников δx одинаков , а сигналы , возбуждаемые в каждом источнике , принимаются всеми сейсмоприемниками , то в результате такой обработки формируется поле из 576 средних точек. Если последовательно смещать расстановку сейсмоприемников и пересекающую ее линию возбуждения вдоль оси x на шаг δx и повторить регистрацию , то в результате будет достигнуто 12-кратное перекрытие , ширина которой равна половине базы возбуждения и приема вдоль оси y на шаг δy достигается дополнительное 12-кратное перекрытие , а общее перекрытие составит 144.
На практике применяют более экономичные и технологичные системы , например 16-кратную. Для ее реализации используют 240 каналов записи и 32 пункта возбуждения, Показанное на рис.6 фиксированное распределение источников и приемников называют блоком, После приема колебаний от всех 32 источников блок смещают на шаг δx , вновь повторяют прием от всех 32 источников и т.д. Таким образом , отрабатывают всю полосу вдоль оси x от начала идо конца площади исследований. Следующую полосу из пяти линий приема размещают параллельно предыдущей таким образом , чтобы расстояние между соседними (ближайшими) линиями приема первой и второй полос равнялось расстоянию между линиями приема в блоке. В этом случае линии источников первой и второй полос перекрываются на половину базы возбуждения и т.д. Таким образом , в данном варианте системы линии приема не дублируются , а в каждой точке источника сигналы возбуждаются дважды.
Сети профилирования.
Для каждой разведочной площади существует предел числа наблюдений , ниже которого невозможно построение структурных карт и схем , а также верхний предел , выше которого точность построений не увеличивается. На выбор рациональной сети наблюдений влияют следующие факторы : форма границ , диапазон изменения глубин залегания , погрешности измерения в точках наблюдения , сечения сейсморазведочных карт и другие. Точные математические зависимости пока не найдены в связи с чем пользуются приближенными выражениями.
Различают три стадии сейсморазведочных работ : региональную , поисковую и детальную. На стадии региональных работ профили стремятся направлять в крест простирания структур через 10-20 км. От этого правила отступают при проведении связующих профилей и увязке со скважинами.
При поисковых работах расстояние между соседними профилями не должно превышать половины предполагаемой длины большой оси исследуемой структуры , обычно оно составляет не более 4 км. При детальных исследованиях густота сети профилей в разных частях структуры различна и не превышает обычно 4 км. При детальных исследованиях густота сети профилей в разных частях профилей различна и не превышает обычно 2 км. Сеть профилей сгущают в наиболее интересных местах структуры (свод , линии нарушения , зоны выклинивания и т.д.). Максимальное расстояние между связующими профилями не превышает удвоенного расстояния между разведочными профилями. При наличии разрывных нарушений на площади исследования в каждом из крупных блоков усложняют сеть профилей для создания замкнутых полигонов. Если размеры блоков небольшие , то проводят только связующие профили, Соляные купола разведывают по радиальной сети профилей с их пересечением над сводом купола , связующие профили проходят по периферии купола., связующие профили проходят по периферии купола.

При проведении сейсмических на площади , где ранее выполнялись сейсмические исследования, сеть новых профилей должна частично повторять старые профили для сопоставления качества старого и нового материалов, При наличии на изучаемой площади скважин глубокого бурения они должны быть увязаны в общей сети сейсмических наблюдений , и пункты взрыва и приема должны располагаться вблизи скважин.
Профили должны быть по возможности прямолинейными с учетом минимальных сельскохозяйственных потрав. При работах по МОГТ на угол излома профиля должны быть изложены ограничения , поскольку угол наклона и направление падения границ могут быть оценены до начала полевых работ лишь приблизительно , а учет и корреляция этих величин в процессе суммирования представляют значительные трудности . Если принимать во внимание только искажение кинематики волн , то допустимый угол излома можно оценить по соотношению
α=2arcsin(vср∆t0/xmaxtgf) ,
где ∆t=2∆H/vср – приращение времени по нормали к границе ; xmax – максимальная длина годографа ; f – угол падения границы. Зависимость величины α как функции обобщенного аргумента vсрt0/tgf для различных xmax (от 0,5 до 5 км) показана на (рис.4) , который можно использовать как палетку для оценки допустимых значений угла излома профиля при конкретных предположениях о строении среды. Задавшись допустимой величиной расфазирования слагаемых импульсов ( например , ¼ периода T) , можно рассчитать значение аргумента для максимально возможного угла падения границы и минимально возможной средней скорости распространения волн. Ордината прямой с xmax при этом значении аргумента укажет величину максимально допустимого угла излома профиля.
Для установления точного расположения профилей еще во время проектирования работ проводят первую рекогносцировку. Детальную рекогносцировку осуществляют в период полевых работ.
3.2 условия возбуждения упругих волн.
При проведении сейсморазведочных работ наиболее широко используется возбуждение упругих волн с помощью взрывов зарядов твердых взрывчатых веществ (ВВ). Заряды взрываются специальными сейсмическими электрическими детонаторами (ЭДС). Они устроены так , что электрическая цепь мостика накаливания разрывается не за счет посылки в него тока и перегорания нити накаливания , а за счет взрыва заряда взрывчатого вещества. Момент разрыва электрической цепи в детонаторе передается по проводам или по радио на сейсмическую станцию , регистрируется на ней и принимается за момент возбуждения упругой волны. Отметка момента взрыва осуществляется и считывается с записи с погрешностью 0,001с.
Наиболее широкое распространение при проведении работ методом отраженных волн на суше получил способ возбуждения упругих волн с помощью взрыва заряда ВВ , погруженного в специально пробуренную взрывную скважину. Глубина погружения зарядов в скважину изменяется от первых десятков до 100 метров и больше. Глубина погружения заряда зависит от характера строения верхней части разреза. Экспериментально установлено , что заряд желательно помещать ниже подошвы ЗМС и уровня грунтовых вод в слои , сложенные влажными пластичными глинами. Чем меньше мощность ЗМС и чем ближе к земной поверхности залегают грунтовые воды , тем меньше глубина погружения заряда.
Когда мощность ЗМС большаяи грунтовые воды залегают глубоко , взрывные скважины приходится бурить на глубину в несколько десятков , а иногда и глубже 100 м. Наиболее глубокие скважины приходится бурить при производстве работ в межгорных и предгорных впадинах, в пределах которых бывают часто развиты сухие песчано-галечниковые отложения с большой глубиной залегания грунтовых вод.
Для повышения доли энергии взрыва , идущей на образование упругой волны, ствол взрывной скважины после погружения в него заряда ВВ заливают водой или глинистым раствором , осуществляя тем самым водную его закупорку. При размещении заряда в оптимальных условиях после взрыва не образуется мощной поверхностной волны и создаются более благоприятные условия для выделения и прослеживания отраженных волн на земной поверхности. После выброса газообразными продуктами взрыва столба жидкости у устья взрывной скважины возникает не особенно интенсивная звуковая волна. Но одновременно создается фон помех после падения на земную поверхность выброшенной из скважины жидкости и мелких раздробленных взрывом кусков горной породы.
Частотный состав колебаний , возбуждаемых при взрыве , зависит от литологического состава и физического состояния пород в очаге взрыва. Преобладающая частота возбуждаемых в очаге колебаний зависит от массы заряда ВВ , убывая с его увеличением обратно пропорционально кубическому корню из массы заряда. Но при наблюдениях вдали от источника эта зависимость почти незаметна.
Амплитуда регистрируемых колебаний также связана с массой заряда. При малых зарядах эта зависимость проявляется резче , а при больших - слабее. При больших зарядах увеличение их массы становится малоэффективным. В этих случаях для повышения интенсивности записи используют группирование взрывов. При групповом взрыве нескольких мелких зарядов удается получить более интенсивную запись упругих волн , чем при взрыве одиночного заряда с такой же массой. Но для этого нужно обеспечить строго одновременный подрыв группы зарядов.
При однородном группировании , когда все одиночные заряды , входящие в группу , имеют одинаковую массу , относительный уровень случайных помех , возбуждаемых групповым взрывом , уменьшается в √n большаяраз (n— число зарядов в группе) по сравнению с их уровнем (по отношению к регулярным волнам) при взрыве одиночного заряда с массой, равной суммарной массе зарядов в группе. Это действие группы называют статистическим эффектом. При групповом взрыве наблюдается также значительное повышение уровня полезного сигнала по отношению к случайным помехам , не зависящим от взрыва.
Группирование взрывов при соответствующем выборе расстояний между источниками в группе и их размещения может быть использовано для ослабления (подавления) регулярных помех типа прямых и поверхностных волн. Для получения указанных эффектов заряды в группах необходимо размещать на расстоянии нескольких метров друг от друга , чтобы образующиеся при взрывах зоны разрушений и остаточных деформации не соприкасались одна с другой.
Необходимо заметить , что увеличение числа зарядов в группе приводит к увеличению объема буровых работ и замедлению процесса производства сейсмических исследований. Иногда при группировании взрывов для уменьшения объема буровых работ уменьшают глубину скважин. Тем не менее , группирование взрывов всегда вызывает удорожание работ. Поэтому его следует применять лишь тогда , когда другие способы и приемы улучшения качества записей прихода упругих волн оказываются неэффективными.
Возбуждение импульсными источниками.
Многочисленный опыт работ с поверхностными импульсными излучателями показывает , что необходимый сейсмический эффект и приемлемые соотношения сигнал/помеха достигаются при накоплении 16-32 воздействий. Это число накоплений эквивалентно взрывам зарядов тротила массой всего 150-300 г. Высокая сейсмическая эффективность излучателей объясняется большим коэффициентом полезного действия слабых источников , что делает перспективным их применение в сейсморазведке , особенно в способе ОГТ , когда на этапе обработки происходит N-кратное суммирование , обеспечивающее дополнительное повышение соотношения сигнал/помеха.
Под действием многократных импульсных нагрузок при оптимальном числе воздействий в одной точке упругие свойства грунта стабилизируются и амплитуды возбуждаемых колебаний остаются практически неизменными. Однако при дальнейшем приложении нагрузок разрушается структура грунта и амплитуды уменьшаются. Чем больше давление на грунт δ , тем при большем числе воздействий Nк амплитуда колебаний достигает максимума и тем меньше пологий участок кривой А=ƒ(n). Число воздействий Nк , при котором начинает уменьшаться амплитуда возбуждаемых колебаний , зависит от структуры, вещественного состава и влажности пород и для большинства реальных грунтов не превышает 5-8. При импульсных нагрузках, развиваемых газодинамическими источниками, особенно велика разница амплитуд колебаний , возбуждаемых первым (А1) и вторым (А2) ударами , величина отношения которых А2/А1 может достигать значений 1,4-1,6. Отличия между величинами А2 и А3 , А3 и А4 и т.д. значительно меньше. Поэтому при использовании наземных источников первое воздействие в заданной точке не суммируется с остальными и служит лишь для предварительного уплотнения грунта.
Перед производственными работами с использованием невзрывных источников на каждой новой площади проводят цикл работ по выбору оптимальных условий возбуждения и регистрации сейсмических волновых полей.
3.3 Условия приема упругих волн.
При импульсном возбуждении всегда стремятся создать в источнике резкий и короткий по времени импульс , достаточный для образования интенсивных волн, отраженных от исследуемых горизонтов. Сильными средствами воздействия на форму и длительность этих импульсов во взрывных и ударных источниках мы не располагаем. Не располагаем мы также высокоэффективными средствами воздействия на отражающие , преломляющие и поглощающие свойства горных пород. Однако сейсморазведка располагает целым арсеналом методических приемов и технических средств , позволяющих в процессе возбуждения и особенно регистрации упругих волн , а также в процессе обработки полученных записей наиболее ярко выделить полезные волны и подавить мешающие их выделению волны-помехи. С этой целью используются различия в направлении прихода волн разного типа к земном поверхности , в направлении смещения частиц среды за фронтами приходящих волн , в частотных спектрах упругих волн, в формах их годографов и т. п.
Упругие волны регистрируются комплектом достаточно сложной аппаратуры, монтируемой в специальных кузовах , устанавливаемых на высоко проходимых транспортных средствах - сейсмических станциях.
Комплект приборов , регистрирующих колебания почвы , вызванные приходом упругих волн в той пли иной точке земной поверхности , называют сейсморегистрирующим (сейсмическим) каналом. В зависимости от числа точек земной поверхности, в которых одновременно регистрируется приход упругих волн, различают 24-, 48-канальные и более сейсмостанции.
Начальным звеном сейсморегистрирующего канала является сейсмоприемник , воспринимающий колебания почвы , обусловленные приходом упругих волн и преобразующий их в электрические напряжения. Так как колебания почвы очень малы , электрические напряжения , возникающие на выходе сейсмоприемника , перед регистрацией усиливаются. С помощью пар проводов напряжения с выхода сейсмоприемников подаются на вход усилителей , смонтированных в сейсмостанции. Для соединения сейсмоприемников с усилителями используется специальный многожильный сейсмический кабель , который обычно называют сейсмической косой.
Сейсмический усилитель представляет собой электронную схему , усиливающую подаваемые на его вход напряжения в десятки тысяч раз. Он может с помощью специальных схем полуавтоматических либо автоматических регуляторов усиления или амплитуд (ПРУ , ПРА , АРУ , АРА) усиливать сигналы. Усилители включают специальные схемы (фильтры) , позволяющие необходимые частотные составляющие сигналов усиливать максимально , а другие — минимально , т. е. осуществлять их частотную фильтрацию.
Напряжения с выхода усилителя поступают на регистратор. Используется несколько способов регистрации сейсмических волн. Ранее наиболее широко использовался оптический способ регистрации волн на фотобумаге. В настоящее время упругие волны регистрируются на магнитной пленке. В том и другом способе перед началом регистрации фотобумага либо магнитная пленка приводятся в движение с помощью лентопротяжных механизмов. При оптическом способе регистрации напряжение с выхода усилителя подается на зеркальный гальванометр , а при магнитном способе - на магнитную головку. Когда на фотобумаге или на магнитной пленке производится непрерывная запись, волнового процесса способ записи называют аналоговым. В настоящее время наибольшее применение получает дискретный (прерывистый) способ записи , который обычно называют цифровым. В этом способе в двоичном цифровом коде регистрируются мгновенные значения амплитуд напряжений на выходе усилителя , через равные интервалы времени ∆t изменяющиеся от 0,001 до 0,004с. Такая операция носит название квантования по времени , а принятую при этом величину ∆t называют шагом квантования. Дискретная цифровая регистрация в двоичном коде дает возможность использовать для обработки сейсмических материалов универсальные ЭВМ. Аналоговые записи могут быть обработаны на ЭВМ после их преобразования в дискретную цифровую форму.
Запись колебаний почвы в одной точке земной поверхности обычно называют сейсмической трассой или дорожкой. Совокупность сейсмических трасс , полученных в ряде смежных точек земной поверхности (либо скважины) на фотобумаге , в наглядной аналоговой форме составляет сейсмограмму , а на магнитной пленке - магнитограмму. В процессе записи на сейсмограммах и магнитограммах наносятся марки времени через 0,01с , и отмечается момент возбуждения упругих волн.
Любая сейсморегистрирующая аппаратура вносит некоторые искажения в записываемый колебательный процесс. Для выделения и отождествления однотипных волн на соседних трассах необходимо , чтобы вносимые в них искажения на всех трассах были одинаковыми. Для этого все элементы регистрирующих каналов должны быть идентичны друг другу , а вносимые ими искажения в колебательный процесс - минимальными.
Магнитные сейсмические станции снабжаются аппаратурой , позволяющей воспроизвести запись в форме , пригодной для ее визуального рассмотрения. Это необходимо для визуального контроля за качеством записи. Воспроизведение магнитограмм производится на фото , обычную либо электростатическую бумагу с помощью осциллографа , перописца либо матричного регистратора.
Кроме описанных узлов сейсмостанции снабжаются источниками питания , проводной или радиосвязью с пунктами возбуждения , различными контрольными панелями. В цифровых станциях имеются преобразователи аналог-код и код-аналог для преобразования аналоговой записи в цифровую и наоборот и управляющие их работой схемы (логика). Для работы с вибраторами станция имеет коррелятор. Кузова цифровых станций делаются пыленепроницаемыми и снабжаются оборудованием для кондиционирования воздуха , что особенно важно для качественной работы магнитных станций.
3.4 выбор аппаратурных средств и спецоборудования.
Общие сведения.
Анализ алгоритмов обработки данных метода ОГТ определяет основные требования к аппаратуре. Обработка , предусматривающая выборку каналов (формирование сейсмограмм ОГТ) , АРУ , введение статических и кинематических поправок, может выполняться на специализированных аналоговых машинах. При обработке , включающей операции определения оптимальных статических и кинематических поправок , нормирование записи (линейное АРУ) , различные модификации фильтрации с вычислением параметров фильтров по исходной записи , построение скоростной модели среды и преобразование временного разреза в глубинный , аппаратура должна обладать широкими возможностями , обеспечивающими систематическую перенастройку алгоритмов. Сложность перечисленных алгоритмов и , что особенно важно , их непрерывное видоизменение в зависимости от сейсмогеологической характеристики исследуемого объекта обусловили выбор универсальных электронно-вычислительных машин в качестве наиболее эффективного инструмента для обработки данных метода ОГТ.
Обработка данных метода ОГТ на ЭВМ позволяет оперативно реализовать полный комплекс алгоритмов , оптимизирующих процесс выделения полезных волн и их преобразование в разрез. Широкие возможности ЭВМ в значительной степени определили применение цифровой регистрации сейсмических данных непосредственно в процессе проведения полевых работ.
Вместе с тем в настоящее время значительная часть сейсмической информации регистрируется аналоговыми сейсмическими станциями. Сложность сейсмогеологических условий и связанный с ними характер записи, а также тип аппаратуры , используемый для регистрации данных в поле , определяют процесс обработки и тип обрабатывающей аппаратуры. В случае аналоговой регистрацииобработка может выполняться на аналоговых и цифровых машинах , при цифровой регистрации - на цифровых машинах.
Система для цифровой обработки включает универсальную ЭВМ и ряд специализированных внешних устройств. Последние предназначены для ввода - вывода сейсмической информации , выполнения отдельных непрерывно повторяющихся вычислительных операций (свертка , интеграл Фурье) со скоростью , существенно превышающей скорость основного вычислителя , специализированных графопостроителей и просмотровых устройств. В ряде случаев весь процесс обработки реализуется двумя системами , использующими в качестве основных вычислителей ЭВМ среднего класса (препроцессор) и ЭВМ высокого класса (основной процессор). Система , базирующаяся на ЭВМ среднего класса , применяется для ввода полевой информации , преобразования форматов, записи и ее размещения в стандартной форме на накопителе магнитной ленты (НМЛ)ЭВМ , воспроизведения всей информации с целью контроля полевой записи и качества ввода и ряда стандартных алгоритмических операций , обязательных для обработки в любых сейсмогеологических условиях. В результате обработки данных на выходе препроцессора в двоичном коде в формате основного процессора могут быть записаны исходные сейсмические колебания в последовательности каналов сейсмограммы ОПВ и сейсмограммы ОГТ , сейсмические колебания , исправленные за величину априорных статических и кинематических поправок. Воспроизведение трансформированной записи помимо анализа результатов ввода позволяют выбрать алгоритмы последующей обработки , реализуемой на основном процессоре , а также определить некоторые параметры обработки (полосу пропускания фильтров , режим АРУ и т. д.). Основной процессор , при наличии препроцессора , предназначен для выполнения главных алгоритмических операций (определение скорректированных статических и кинематических поправок , вычисление эффективных и пластовых скоростей , фильтрация в различных модификациях , преобразование временного разреза в глубинный). Поэтому в качестве основного процессора используются ЭВМ с большим быстродействием (106 операций в 1 с), оперативной (32—64 тыс. слов) и промежуточной(диски емкостью 107 - 108 слов) памятью. Использование препроцессора позволяет повысить рентабельность обработки за счет выполнения ряда стандартных операций на ЭВМ , стоимость эксплуатации которой существенно ниже.
При обработке на ЭВМ аналоговой сейсмической информации обрабатывающая система оснащается специализированной аппаратурой ввода , главным элементом которой является блок преобразованиянепрерывной записи в двоичный код. Дальнейшая обработка полученной таким образом цифровой записи полностьюэквивалентна обработке данных цифровой регистрации в поле. Использование для регистрации цифровых станций, формат записи которых совпадает с форматом НМЛ ЭВМ, исключает необходимость в специализированномвводном устройстве. Фактически процесс ввода данных сводится к установке полевой магнитофонной ленты на НМЛ ЭВМ. В противном случае ЭВМ оснащается буферным магнитофоном с форматом , эквивалентным формату цифровой сейсмостанции.
Специализированные устройства цифрового обрабатывающего комплекса.
Прежде чем переходить к непосредственному описанию внешних устройств , рассмотрим вопросы размещения сейсмической информации на лепте ЭВМ (магнитофона цифровой станции). В процессе преобразования непрерывного сигнала амплитудам отсчетных значений , взятых через постоянный интервал δt , приписывается двоичный код , определяющий ее численную величину и знак. Очевидно , что число отсчетных значений c на данной tтрассе с длительностью полезной записи t равно с = t/δt+1 ,а общее число с' отсчетных значений на m-каналыюй сейсмограмме с' = сm. В частности , при t = 5 с , δt = 0,002 с и m == 24 , с = 2501, а с' = 60024 чисел , записанных в двоичном коде.
В практике цифровой обработки каждое числовое значение , являющееся эквивалентом данной амплитуды , принято именовать сейсмическим словом. Число двоичных разрядов сейсмического слова , называемое его длиной , определяется числом разрядов преобразователя аналог - код цифровой сейсмостанции (устройства ввода при кодировании аналоговой магнитной записи). Фиксированное число двоичных разрядов , которым оперирует цифровая машина , выполняя арифметические действия , принято именовать машинным словом. Длина машинного слова определяется конструкцией ЭВМ и может совпадать с длиной сейсмического слова либо превышать его. В последнем случае при вводе в ЭВМ сейсмической информации в каждую ячейку памяти , емкостью в одно машинное слово , заносится несколько сейсмических слов. Такая операция именуется упаковкой. Порядок размещения информации (сейсмических слов) на магнитной ленте накопителя ЭВМ либо магнитной ленте цифровой станции определяется их конструкцией и требованиями алгоритмов обработки.

Непосредственно процессу записи цифровой информации на ленту магнитофона ЭВМ предшествует этап ее разметки на зоны. Под зоной понимается определенный участок ленты , рассчитанный на последующую запись k слов, где k = 2 , а степень n = О, 1, 2, 3. . ., причем 2 не должно превышать емкость оперативной памяти . При разметке на дорожках магнитной ленты записывается код , обозначающий номер зоны , а последовательность тактовых импульсов отделяет каждое слово.
В процессе записи полезно информации каждое сейсмическое слово (двоичный код отсчетного значения) регистрируется на отделяемый серией тактовых импульсов участок магнитной ленты в пределах данной зоны. В зависимости от конструкции магнитофонов применяется запись параллельным кодом, параллельно-последовательным и последовательным кодом. При параллельномкоде число , являющееся эквивалентом данной отсчетной амплитуды , записывается в строке , поперек магнитной ленты. Для этого используется многодорожечный блок магнитных головок , число которых равно числу разрядов в слове. Запись параллельно-последовательным кодом предусматривает размещение всей информации о данном слове в пределах нескольких строк , располагаемых последовательно одна за другой. Наконец , при последовательном коде информация о данном слове записывается одной магнитной головкой вдоль магнитной ленты.
Количество машинных слов K0 в пределах зоны магнитофона ЭВМ , предназначенной для размещения сейсмической информации , определяется временем t полезной записи на данной трассе, шагом квантования δt и количеством сейсмических слов r , пакуемых в одно машинное слово.
Таким образом, первый этап обработки на ЭВМ сейсмической информации, зарегистрированной цифровой станцией к мультиплексной форме , предусматривает ее демультиплексирование , т. е. выборку отсчетных значений , соответствующую их последовательному размещению на данной трассе сейсмограммы вдольоси t и их запись в зону НМЛ , номер которой программно приписан данному каналу. Ввод аналоговой сейсмической информации в ЭВМ в зависимости от конструкции специализированного вводного устройства может выполняться как поканально , так и в мультиплексном режиме. В последнем случае машина по заданной программе выполняет демультиплексирование и запись информации в последовательности отсчетных значений на данной трассе в соответствующую зону НМЛ.
Устройство ввода аналоговой информации в ЭВМ.
Главным элементом устройства ввода аналоговой сейсмической записи в ЭВМ является аналого-цифровой преобразователь (АЦП) , выполняющий операции преобразования непрерывного сигнала в цифровой код. В настоящее время известно несколько систем АЦП . Для кодирования сейсмических сигналов в большинстве случаев используются преобразователи поразрядного взвешивания с обратной связью .Принцип действия такого преобразователя основан на сравнении входного напряжения (отсчетной амплитуды) с компенсирующим. Компенсирующее напряжение Uk изменяется поразрядно в соответствии с тем, превышает ли сумма напряжений входную величину Ux
. Одним из основных узлов АЦП являются цифро-аналоговый преобразователь (ЦАП) , управляемый но определенной программе нуль-органом , сравнивающим преобразуемое напряжение с выходным напряжением ЦАП. При первом тактовом импульсе на выходе ЦАП возникает напряжение UK
, равное 1/2Uэ. Если оно превышает суммарное напряжение Ux
, тогда в положении «нуль» окажется триггер старшего разряда . В противном случае (Ux
> UKl
) триггер старшего разряда окажется в положенииединица. Пусть в первом такте выполнялось неравенство Ux
< 1/2Uэ и в первом разряде выходного регистра записан нуль.Тогда во втором такте Ux
сравнивается с эталонным напряжением 1/4Uэ ,
соответствующим единице следующего разряда. Если Ux
> Uэ , то во втором разряде выходного регистра запишется единица , а в третьем такте сравнения Ux
будет сопоставляться с эталонным напряжением 1/4Uэ + 1/8Uэ , соответствующим единице в следующем разряде. В каждом очередном i-том такте сравнения , если в предыдущем была записана единица , напряжение Uki-1 увеличивается на величину Uэ /2 до тех пор , пока Ux
не окажется меньше Uki. В этом случае выходное напряжение Ux
сравнивается с Uki+1 = Uэ/2 ∙ Uэ/2 и т. д. В результате сравнения Ux
с поразрядно изменяемым UK
в положении «нуль» окажутся триггеры тех разрядов, включение которых вызвало перекомпенсацию , а в положении «единица» -триггеры разрядов , обеспечивших наилучшее приближение к измеряемому напряжению. При этом в выходном регистре запишется число , эквивалентное входному напряжению ,


Ux = ∑aiUэ/2
где n — число разрядов выходного кода АЦП ; аi = {
С выходного регистра через блок сопряжения вводного устройства по команде ЭВМ цифровой код пересылается в ЭВМ для дальнейшей программной обработки. Зная принцип работы аналого-цифрового преобразователя , нетрудно понять назначение и принцип работы основных блоков устройства ввода аналоговой информации в ЭВМ.
Основными элементами устройства ввода являются: 1) электронно-механическая система барабанного типа для протяжки и считывания стандартной магнитной пленки , эквивалентная применяемым па аналоговых сейсмических станциях и обрабатывающих машинах ;2) блок воспроизведения , включающий усилители воспроизведения , частотные фильтры , АРУ ; 3) блок выработки импульсов квантования , включающий усилитель , формирователь марок времени и схему , компенсирующую нелинейность протяжки магнитной пленки в процессе записи (воспроизведения) , и обеспечивающий постоянный шаг δt между отсчетными значениями ; 4) блок преобразования (аналого-цифровой и цифро-аналоговый преобразователи) ; 5) блок сопряжения устройства ввода с ЭВМ.
Устройство вывода для построения сейсмических разрезов.
Результатом обработки сейсмической информации на ЭВМ является временной либо глубинный разрез , представленный в виде последовательности трасс х = const , эквивалентных трассам сейсмограммы. При длительности полезной записи в 5с и шаге квантования в 0,002с каждая трасса временного разреза содержит 2500 отсчетных значений. Число отсчетных значений на трассе глубинного разреза , сохраняющего динамику записи , определяется максимальным временем t0max временного разреза, v(t0max) и шагом квантования ∆z по оси z. Так , например , при t0 max = 5с , v(t0max =5 с) =4 км/с и ∆z = 2,5м число отсчетных значений на трассе глубинного разреза равно 4000. Совокупность отсчетных амплитуд , программно приписанных времени k δt либо глубине l ∆z , потрасcно хранится в соответствующих зонах НМЛ ЭВМ (либо на дисках). При такой форме размещения результатов обработки процесс вывода разреза на построитель практически близок процессу вывода на фотоблок временного разреза, полученного на аналоговых машинах. Отличие заключается в необходимости преобразования последовательности отсчетных значений в непрерывный сигнал.
Построитель сейсмических разрезов представляет собой универсальный фотоблок , оснащенный обратным преобразователем (ЦАП) , аналоговым блоком и схемой логики , обеспечивающей нормальное функционирование устройства в процессе работы. Учитывая необходимость многократного воспроизведения сейсмического разреза (использование различных способов записи , режимов АРУ , полосы пропускания фильтров и усиления) , некоторые построители оснащаются магнитным барабаном стандартного типа , и блоком записи - воспроизведения , позволяющими в процессе записи разреза на фотоноситель одновременно регистрировать его в аналоговой форме на магнитной пленке. В последующем визуализация разреза выполняется минуя ЭВМ.
Устройство подготовки данных предназначено для воспроизведения полевых магнитных записей для анализа данных, обеспечивающего выбор оптимальных параметров и контроль качества отметки момента взрыв
Устройство ввода и вывода предназначено для поканального ввода аналоговой сейсмической информации в ЭВМ и вывода результатов обработки , регистрируемых в аналоговой форме на стандартной магнитной пленке. Электронная и механическая системы устройства рассчитаны на скорость считывания (записи), кодирования (декодирования) , в 24 раза превышающую скорость записи в поле (0,25с на трассу).
Фотопостроитель (ФП) представляет собой системы для поканального воспроизведения способом переменной плотности на фотоносителе аналоговых снгналов , зарегистрированных на стандартной магнитной пленке. Универсальный фотопостроитель (УФП) в отличие от ФП позволяет воспроизводить сейсмическую информацию различными способами (переменная плотность , площадь , амплитуда , символы) и варьировать масштаб записи по осям t и х.
Спецпроцессоры.
Помимо устройств ввода-вывода , универсальные ЭВМ дополняются спецпроцессорами , предназначенными для преобразования цифровой информации по одному или нескольким алгоритмам , не требующим перенастройки системы в процессе обработки массива данных (сейсмической трассы , сейсмограммы , набора сейсмограмм). К числу таких алгоритмов относятся свертка , преобразование Фурье , упаковка и распаковка массивов , регулируемое направленное суммирование по фиксированным направлениям , вычисление функции авто- и взаимной корреляции и ряд других. Реализация указанных алгоритмов программным путем на универсальных ЭВМ сопряжена с большими затратами машинного времени , во многом несоизмеримыми с затратами времени на другие алгоритмические операции.
В спецпроцессорах , решающих данные задачи , ускорение преобразования достигается за счет жесткой коммутации. Перекоммутация устройства выполняется внешними переключателями либо перфокартами , задающими режим работы. Типичным спецпроцессором является устройство быстрой свертки (конвольвер) , используемое для фильтрации , а также для вычисления функций авто- и взаимной корреляции. Фильтрация (прямая, обратная) , выполняемая во временной форме , базируется на свертке оператора фильтра , заданного импульсной реакцией , с сейсмической трассой. Для получения одной отсчетной амплитуды результирующего сигнала на выходе фильтра с оператором из l точек необходимо произвести l операций умножения двух чисел и операцию сложения l произведений. В комбинации ЭВМ - спецпроцессор указанная задача решается следующим образом. По заданной трассе либо другой априорной информации ЭВМ определяет оператор фильтра. Реализация данного этапа фильтрации на универсальной ЭВМ связана с многообразием способов определения импульсной реакции фильтра. Отсчетные значения оператора и трассы по каналу связи пересылаются в конвольвер , выполняющийоперацию свертки. Результат свертки, в виде последовательности отсчетных значений отфильтрованной трассы, вновь поступает в ЭВМ для дальнейшей обработки. Наряду с конвольверами для ускорения процесса фильтрации в частотной форме универсальные ЭВМ оснащаются спецпроцессорами для быстрого преобразования Фурье.
Детальное изучение алгоритмов метода ОГТ позволило выделить серию стандартных преобразований , постоянно применяемых в процессе обработки. В результате стал возможным синтез гибридных спецпроцессоров , в которых закоммутирована не одна , а целая серия стандартных операций обработки данных МОГТ.Однако , в отличие от аналоговых машин с жестким набором операций , указанные устройства управляются универсальной ЭВМ , что в целом не уменьшает гибкости всей системы. Стремление повысить роль геофизика в процессе обработки данных МОГТ на ЭВМ , особенно на этапах , формализация которых не достигла уровня , обеспечивающего требуемую точность в различных сейсмогеологических ситуациях , привело к созданию специализированных систем взаимодействия геофизик - ЭВМ. Данные системы помимо универсальной ЭВМ высокого класса , включают специализированную ЭВМ , управляющую одним или несколькими видепреобразователями со световым пером. В результате процесс обработки исходной информации превращается в единый замкнутый цикл , когда часть процедур выполняется программным путем , а другая часть , в основном интерпретационного характера , - визуально , на основе анализа промежуточных данных , воспроизводимых на экране ЭЛТ.
3.5 организация полевых сейсморазведочных работ.
В работе партии выделяются следующие периоды.
1. Организация партии до выезда к месту полевых работ (на базе экспедиции). Фактическое начало организации партии – дата издания приказа о формировании партии и назначении начальника. В это время партия комплектуется инженерно-техническими кадрами , прошедшими медосмотр и прививки в зависимости от района работ , оснащается аппаратурой , оборудованием , транспортными средствами , материалами , спецодеждой , спецобувью , средствами индивидуальной защиты , противопожарным инвентарем. Организуется доставка персонала , аппаратуры , оборудования ,транспортных средств , других грузов к месту производства работ. Формируется акт готовности выезда партии на полевые работы.
2. Организация партии на месте полевых работ. В это время окончательно формируется персонал партии. Заключаются договора на аренду территорий и помещений. Подготавливаются к работе аппаратура и оборудование. Проводится техосмотр автотранспорта , грузоподъемных механизмов и приспособлений. Организуется радиосвязь. Заключаются договора с вневедомственной охраной. Организуются склады материально-технических ценностей , ГСМ , ВМ , газов и т.п. Проводятся инструктаж персонала и проверка (экзамены) знаний норм и правил производства работ , техники безопасности , производственной санитарии и гигиены , пожарной безопасности , электробезопасности.
Подготавливают : акт готовности партии к началу полевых работ с приложением серии документов , включая перечень объектов и работ повышенной опасности ; приказ о назначении лиц , ответственных за безопасность объектов и производство работ повышенной опасности ; список личного состава ; должностные инструкции ИТР и служащих ; утвержденные программы обучения ИТР и служащих ; утвержденный перечень инструкций по технике безопасности ; приказ о постоянно действующей комиссии по проверке знаний Правил безопасного ведения работ ; протоколы проверки знаний Правил безопасности у личного состава партии ; журналы инструктирования рабочих ; технические паспорта машин и оборудования ; график планово-предупредительного ремонта техники ; приказ о закреплении технических средств за ответственными лицами ; приказ об организации противопожарной службы , погрузочно-разгрузочных работ ; журнал регистрации радиосвязи ; журнал контрольных сроков маршрутов дальних рейсов и разовых инструктажей водителей ; план оргтехмероприятий по ТБ ; протокол рабочего собрания по результатам подготовки к полевым работам , а также выборам общественных инструкций по ТБ.
Началом полевого периода считается день , когда получены первые записи , которые можно использовать для решения поставленной проектом задачи. В полевом периоде должен быть выполнен весь комплекс полевых работ , предусмотренный проектом , проведена предварительная обработка получаемых данных , в основе которой лежит подготовка к передаче на вычислительный центр. Полученные в поле материалы подвергают экспресс-обработке , включающей предварительную корреляцию статических и кинематических поправок и построение предварительных временных разрезов по отработанным профилям.
Все работы , выполняемые партией в полевой период , должны строго соответствовать методическим приемам и схемам наблюдений , предусмотренных проектом, а также быть увязанными с административными и общественными организациями , владельцами территорий на которых должны выполняться полевые работы , а также с другими близко расположенными геофизическими и геологическими службами. Окончанием полевого периода считается день получения последних сейсмических записей , необходимых для решения поставленных проектом задач.
В камеральный период осуществляется окончательная обработка на ЭВМ полученных материалов , составление и защита окончательного отчета, Ввиду специфики подготовки данных для передачи их на вычислительный центр (ВЦ) процесс организации обработки полученных материалов должен представлять собой отдельный этап в периоде камеральных работ.
Заключение.
Преимущества метода ОГТ.
Внедрение метода ОГТ привело к существенному повышению геологической эффективности сейсморазведки во многих нефтегазонозных районах страны и позволило приступить к изучению сложнопостроенных областей в глубинных этажах разреза , и том числе структур приразломного типа в Нижнем Поволжье и на акватории Черного моря , зон стратиграфического и литологического выклинивания пород в Западном Предкавказье и в южной части Западно-Сибирской платформы , зоны сочленения Русской платформы и Предкавказья .
При проведении полевых работ МОГТ с целью повышения эффективности получил применение ряд методических усовершенствований , основными из которых считаются : способы формирования короткого импульса с целью повышения разрешающей способности метода ; системы с большими удалениями с целью лучшего ослабления кратных волн ; регистрация колебаний в области низких частот с целью картирования фундамента и подсолевых горизонтов , с которыми связаны низкочастотные отраженные волны ; опробование новых источников ; системы с увеличенной кратностью в зонах интенсивных помех с целью их ослабления. Однако следует отметить, что объемы и уровень этих работ совершенно недостаточны.
При обработке материалов ОГТ , осуществляемой на аналоговых и цифровых машинах примерно в равных объемах , используются усовершенствования и дополнительные блоки , что позволяет повысить эффективность и производительность использования машин. Совершенствуются способы оптической обработки , которые применяются на разных этапах комплексной машиной обработки и дают возможность оперативно анализировать исходную сейсмическую информацию или данные обработки ,а также улучшать прослеживаемость полезных волн в стадии интерпретации результатов суммирования по системам ОГТ .
Недостатки метода ОГТ.
Производительность работ МОГТ продолжает оставаться невысокой и нужно еще много работать над использованием имеющихся резервов.
К недостаткам в области машинной обработки материалов на ЭВМ следует отнести в разных организациях в практической работе использование нескольких комплексов программ , что затрудняет обмен программами и тормозит развитие метода .
Другим фактором, в какой то мере сдерживающим внедрение метода ОГТ, является недостаточное в ряде случаев обоснования систем ОГТ и связанное с этим снижение эффективности сейсморазведки , отсутствие достаточно мощных ЭВМ , отвечающих современным требованиям , и специальной периферийной аппаратуры.
Применение системы ОГТ связано с заметным удорожанием полевых работ , обусловленных их усложнением. Это обстоятельство ограничивает применение ОГТ районами , где достигается существенное повышение геологической эффективности. Но как правило решением такого недостатка может быть достигнуто путем значительного увеличения расстояния между соседними приемниками (центрами групп).
Список литературы :
1. Мешбей В.И. Сейсморазведка методом общей глубинной точки. – М., ”Недра”, 1973.
2. Сейсморазведка : справочник геофизика. В двух книгах / под ред. Номоконова В.П. – М., “Недра”, 1990.
3. Гурвич И.И, . Номоконов В.П. Сейсморазведка. – М., “Недра”, 1981.
4. Современное состояние сейсморазведки методом ОГТ. – М., ВИЭМС , 1974.

