| Скачать .docx | Скачать .pdf |
Курсовая работа: Распределение температуры по стволу скважины с целью решения геологических и геолого-промысловых задач
ФЕДЕРАЛЬНОЕ АГЕНСТВО ПО ОБРАЗОВАНИЮ
государственное образовательное учреждение высшего профессионального образования
«тюменский государственный нефтегазовый университет»
ИНСТИТУТ геологии И Геоинформатики
КУРСОВАЯ РАБОТА
по дисциплине «Теоретические методы геофизических исследований скважин »
на тему «Распределение температуры по стволу скважины с целью решения геологических и геолого-промысловых задач »
Выполнил: Сысоев.Д.В.
Студент гр. ГИСзс-05
Проверил:___________
СОДЕРЖАНИЕ:
ВВЕДЕНИЕ ……………………………………………………………………. 3
1. .Особенности термометрии при решении задач диагностики....... 4
2. ТЕРМОДИНАМИЧЕСКИЕ ПРОЦЕССЫ В СКВАЖИНЕ И В ПЛАСТЕ 6
3.Основные признаки термометрии для решения задач в скважинах…...17
4 Заключение ……………………………………………………………….… 19
5 Список литературы……………………………………..………………….... 20
Введение
Распределение естественного теплового поля в толще земной коры зависит главным образом от литологического, тектонического и гидрогеологического факторов, на изучении которых основано решение следующих задач.
1.Литолого-тектонические и гидрогеологические задачи региональной геологии. Эти задачи решаются путем определения основных геотермических параметров, к которым относятся геотермический градиент, геотермическая ступень и плотность теплового потока. Эти параметры позволяют: 1) определять естественную температуру пород на заданной глубине; 2) коррелировать разрезы скважин при региональных исследованиях; 3) прогнозировать тектоническое строение территории, не изученной с помощью бурения; 4) получать гидрогеологическую и мерзлотную характеристики исследуемых районов. Для решения этих задач обычно используют термограммы естественного теплового поля.
2.Детальное исследование разрезов скважин. При решении этой задачи используются также материалы других геофизических методов. Для этой цели определяют тепловые свойства пород (теплопроводность или тепловое сопротивление и температуропроводность) по данным термических исследований скважин с установившимся или неустановившимся тепловым режимом.
Тепловые характеристики в комплексе с другими петрофизическими параметрами пород позволяют решать следующие задачи: 1) литологическое расчленение разрезов скважин; 2) выявление коллекторов; 3) поиски полезных ископаемых. Наиболее целесообразно привлекать данные термометрии для изучения глинистых покрышек, поисков коллекторов в карбонатных отложениях, определения газоносности карбонатных и тонкослоистых песчано-глинистых комплексов. Для этого необходимы диаграммы детальной термометрии.
1 . Особенности термометрии при решении задач диагностики
Основным параметром, который несет информационную нагрузку в методе термометрии, является температура. Температура - это энергетический параметр системы, и поэтому любое изменение системы вследствие изменения режима работы скважины, уменьшения или увеличения давления, промывки, нарушения целостности колонны и т.п. приводит к изменению температуры (распределения температуры) в скважине. Система скважина - пласт в этом отношении является очень чувствительной системой, т.к. на практике используются термометры с высокой разрешающей способностью.
Диагностика осуществляется в течение всей "жизни" скважины: при заканчивании, эксплуатации и ремонте. При этом скважины подразделяют по типам (категориям) в соответствии с режимом работы, способам эксплуатации, конструкцией и т.д. С точки зрения методических особенностей решения задач скважины можно классифицировать следующим образом.
Простаивающие. Неперфорированные (контрольные, наблюдательные и в ожидании перфорации после бурения) и перфорированные (пьезометрические, в ожидании КРС).
Действующие. Добывающие (фонтанные, ШГН, ЭЦН, газлифтные) и нагнетательные (закачка воды, газа, теплоносителя).
Особо стоят здесь скважины при опробовании и освоении, которые при исследованиях нельзя отнести ни к простаивающим, ни к действующим, поскольку они содержат в себе режимные элементы скважин различных категорий, но только очень короткий промежуток времени.
Осваиваемые (опробуемые). Скважины после бурения и в КРС.
Исходя из категории скважин, геофизические исследования для получения информации проводятся в свободной колонне, в НКТ, в межтрубном пространстве.
Диагностика скважин в различные периоды "жизни" (заканчивание, эксплуатация, ремонт) имеет свои особенности. Они сводятся к тому, что решение задачи осуществляется при различных режимах работы скважин и, следовательно, при установившихся, квазистационарных, неустановившихся и переходных температурных полях в скважинах.
Тепловое поле инерционно: для расформирования теплового возмущения в скважине требуется время, определяемое теплофизическими свойствами системы, длительностью возмущения и применяемой аппаратурой. Поэтому следующая особенность связана с тем, что (при измерениях) в различные периоды "жизни" скважины на термограммах может отражаться тепловая история скважины. Так, приосвоении после бурения могут наблюдаться тепловые аномалии, связанные с бурением, цементажом, перфорацией и т.д.; в ремонте могут наблюдаться аномалии, обусловленные эксплуатацией.
Задачи необходимо решать в длительное время работающих скважинах при быстроменяющихся процессах, связанных с кратковременностью работы скважины, и в длительное время простаивающих скважинах. Поэтому, при разработке методики исследований необходимо учитывать особенность, связанную с временным фактором Принятая на предприятиях технология освоения связана с применением компрессора и сваба. Исследования при вызове притока флюида в период освоения проводят при переменных давлениях в скважине.
Для освоения в скважину предварительно спускают НКТ, через которые можно проводить исследования в процессе компрессирования или после извлечения сваба.
Необходимость решения задач в интервалах, перекрытых НКТ, возникает также в нагнетательных скважинах и в скважинах ЭЦН.
Изменение давления в системе можно наблюдать не только при освоении, но и в длительное время работающих скважинах. Отличия могут быть в скоростях (темпах) изменения давления, что необходимо учитывать. В действующих скважинах изменение давления и системы в целом наблюдается при кратковременной их остановке, а затем - пуске. При стравливании избыточного давления (разрядке) в межтрубном пространстве перед исследованием насосных скважин происходит относительно быстрое изменение давления в системе.
Освоение характеризуется кратковременным пуском скважины. Как правило, скважина перед освоением промывается, и чаще всего, пресной или опресненной водой. В таких условиях, если из осваиваемого пласта поступает более минерализованная вода, в зумпфе скважин существуют условия для возникновения гравитационной конвекции. Кроме того, промывка, в зависимости от ее длительности, сама нарушает тепловое поле в скважине.
Ряд месторождений характеризуется высоким значением давления насыщения нефти газом. Это приводит к тому, что при эксплуатации скважины работают с забойными давлениями ниже давления насыщения. В таких условиях в скважине наблюдаются многофазные потоки (нефть, газ, вода). При освоении скважин многофазные потоки могут, очевидно, возникать и при более низких давлениях насыщения, поскольку забойное давление здесь определяется глубиной спуска НКТ и может быть еще ниже.
Различие пластовых давлений при одновременно вскрытых нескольких объектах, высокая обводненность скважин при низких дебитах - это условия, которые также необходимо учитывать при температурной диагностике, поскольку они могут отражаться на тепловом поле скважины.
Еще одна особенность, которую необходимо учитывать при термических исследованиях, связана с инерционностью термометра. В случае высоковязкой нефти, грязи на стенках скважины, наличии осадка в зумпфе инерционность прибора может меняться существенно, что, в свою очередь, сильно искажает температурную картину. С другой стороны инерционность определяет скорость регистрации. В любом случае она ограничена. При быстроменяющихся переходных процессах в скважине конечная скорость регистрации температуры так же может приводить к искажению регистрируемых термограмм.
Таким образом, существует многообразие факторов, влияющих на распределение температуры в скважине. Для достоверного решения задач важно знать эти факторы и особенности их проявления в конкретных ситуациях.
2. ТЕРМОДИНАМИЧЕСКИЕ ПРОЦЕССЫ В СКВАЖИНЕ И В ПЛАСТЕ
Общие положения
Использование термометрии для решения различных промыслово-геофизических задач основано на регистрации стационарных, квазистационарных и нестационарных температурных полей.
Стационарные температурные поля реализуются в простаивающих длительное время скважинах. Такие поля, например, часто регистрируются в контрольных и пьезометрических скважинах.
Квазистационарные температурные поля наблюдаются в процессе измерений в фонтанных, насосных, нагнетательных скважинах, эксплуатирующихся в неизменных длительное время условиях. Термограммы, зарегистрированные с интервалом времени в несколько часов, практически повторяют друг друга.
Нестационарные температурные поля реализуются в процессе восстановления теплового поля, нарушенного бурением, цементированием, промывкой, перфорацией и другими технологическими процессами.
Температурные поля являются существенно нестационарными (переходными) в условиях пуска, остановки, изменения режима работы скважин. Такие условия реализуются в фонтанных, насосных и нагнетательных скважинах. Примером термометрии переходных температурных полей является измерение температуры в процессе компрессорного освоения скважин.
Методика термометрии и интерпретация скважинных термограмм зависит от типа используемых температурных полей.
Стационарное тепловое поле Земли
Стационарное тепловое поле обусловлено тепловым потоком из недр Земли к поверхности. Тепловой поток испытывает региональные вариации. Наличие пластов с выделением или поглощением тепла приводит к изменению величины теплового потока. Наличие структур с отличающимися тепловыми свойствами приводит к фокусировке и дефокусировке теплового потока. В пределах нефтяных месторождений величина теплового потока меняется слабо и принимается обычно п о стоянной.
Наличие теплового потока из недр Земли приводит к росту температуры с глубиной. Наклон температурной кривой к оси глубин меняется при переходе от пласта к пласту с различными теплофизичеекими свойствами (рис.2.1). При наличии тепловыделений (или теплопоглощений) в пласте распределение температуры нелинейно зависит от глубины. В мощных однородных пластах влияние скважины на температуру в пласте практически отсутствует. Вблизи границ пластов за счет влияния скважины наблюдается превышение температуры в скважине над естественной, если пласт с пониженной теплопроводностью залегает глубже, или снижение - в противном случае (рис.2.2).
Градиент температуры, определяемый как отношение изменениятемпературы ДТ к разности глубин Az, на которых наблюдается это изменение, в пределах мощных литологически однородных пластов, остается неизменным с глубиной.
Рис.2.1 Схематическое распределение температуры (Т) и градиента температуры (Г) в длительно простаивающих скважинах. |


Рис.2.2 Влияние скважины на распределение естественной температуры и градиента.
----- - без учета влияния скважины
---- - с учетом влияния скважины.
Согласно закону теплопроводности Фурье градиент температуры пропорционален величине теплового потока и обратно пропорционален теплопроводности А, (пропорционален тепловому сопротивлению £,):
Из условия постоянства теплового потока для различных пластов следует, что произведение градиента температуры на теплопроводность одинаково для различных пластов, в которых не наблюдается тепловыделение (рис.2.1)
Г,Х1 = Г2 А.2 =... = Г1 А, =...ГДП (2.1)
В пределах пласта с тепловыделениями градиент температуры уменьшается с глубиной. При поглощении тепла, напротив, градиент температуры с глубиной возрастает.
Влияние скважины на градиент температуры в мощных однородных пластах пренебрежимо мало. Влияние скважины наблюдается вблизи границы пластов в пределах 4-5 диаметров скважины (рис.2.2). Считают, что границе пласта соответствует максимум наклона кривой градиента температуры к оси глубин.
Наиболее мощным искажающим фактором является естественная тепловая конвекция. Она возникает при градиентах, больших критического значения 0,001-0,01
К/и. Можно считать, что при понижении температуры с глубиной вклад естественной тепловой конвекции пренебрежимо мал.
В контрольных и пьезометрических скважинах часто наблюдаются аномалии охлаждения. При термическом воздействии на нефтяные пласты наблюдаются аномалии разогрева. Эти аномалии относятся к нестационарным. Распределение температуры и градиента для охлажденного пласта иллюстрируется на рис.2.3. Вклад естественной тепловой конвекции приводит к затягиванию аномалии в зоне повышения температуры с глубиной. В отсутствие конвекции максимум и минимум градиента температуры соответствуют границам заводненной части пласта. Вклад конвекции приводит к смещению максимума градиента на 6-8 метров в область больших глубин.

Рис.2.3 Схематическое распределение температуры и градиента температуры
в интервале охлажденного пласта. 2,3 - термограмма и градиент без учета и 4,5 - с учетом конвекции.
Квазистационарные тепловые поля
Квазистационарные температурные поля в добывающих скважинах обусловлены конвективным теплопереносом и сопутствующим теплообменом между жидкостью и породами, баротермическим эффектом, калориметрическим эффектом. Время работы скважины должно составлять более 10 часов.
Квазистационарные тепловые поля формируются на фоне естественного распределения температуры и являются аддитивной добавкой к стационарному тепловому полю Земли.
Конвективный перенос тепла обусловлен потоком жидкости в стволе скважины, в заколонном пространстве вне перфорированных интервалов и в пласте. Теплообмен потока жидкости с окружающим массивом горных пород приводит к выравниванию их температур. Однако полного выравнивания температур никогда не происходит, так как конвективный теплоперенос гораздо мощнее теплообмена. Относительный вклад теплообмена возрастает с уменьшением скорости потока.
Квазистационарное распределение температуры в стволе скважины выше продуктивных пластов для потока жидкости описывается следующей приближенной формулой (Чекалюк Э.Б.)
T(z) = То - Гг + ГВ (1 - е -т ) + AT е^8 , (2.2)
где Т о- естественная температура пород при z = 0 (кровля интервала притока);
Г - средний геотермический градиент для z > 0;
AT - температурная аномалия на глубине z = 0, т.е. разница
между температурой жидкости и пород; z - расстояние, м;
с - удельная теплоемкость жидкости, Дж/кг*К;
р - плотность жидкости, кг/м3 ;
Q - дебит жидкости, м3 /с;
го - радиус скважины, м;
а - коэффициент теплопередачи, Вт/м2 «К
Значение а можно оценить по формуле
где А, - теплопроводность пород, Вт/м2 »К; Fo - число Фурье,
а - температуропроводность
пород, м2
/с; t - время работы скважины.
Из (2.4) видно, с удалением от пластов (z—>°°) термограмма становится параллельной геотерме
и она будет тем ближе к естественной
температуре пород, чем меньше дебит (т.е. В). При значительных Q этого участка термограммы в пределах скважины может и не быть.
Величина градиента температуры в стволе скважины согласно (2.3)
![]()
где Тг =Т0 - Fz - естественная температура пород на расстоянии z;
T(z) - температура в стволе скважины.
Видно, что градиент температуры уменьшается с уменьшением разности температур жидкости и пород и с увеличением параметра В.
При известном (рассчитанном по 2.5 или оцененном в других скважинах) значении коэффициента теплопередачи а зависимость 2.6 можно использовать для оценки дебита жидкости по термограмме.
Фильтрация жидкости и газов в пласте, прохождение сужений сопровождается падением давления (явление дросселирования). При этом температура флюида изменяется: жидкости разогреваются, газы охлаждаются. Величина установившегося изменения температуры AT зависит от коэффициента Джоуля - Томсона флюида е и депрессии на пласт АР:
(2.4)
Значение е для нефтей колеблется в пределах 0,04-^0,06 °С/ат, для воды примерно равняется 0,02 °С/ат, для газов он отрицателен и на порядок больше, чем для нефтей - ег «- (0,3 - 0,5) °С/ат .
Таблица 2.1. Усредненные значения коэффициента Джоуля Томсона для различных жидкостей.
| Жидкость | Температура, °С | е, °С/ат |
| Пресная вода | 20 | 0.0216 |
| 40 | 0.0208 | |
| Минерализованная вода | 20 | 0.0225 |
| Нефть Арланская | 20 | 0.0415 |
| Нефть Федоровская | 20 | 0.0377 |
| Нефть Ромашкинского мест. | 45 | 0.0398 |
| Газ метан(при р =1.73 МПа) | 21 | -0.418 |
| 71 | -0.279 |
Формула (2.7) справедлива по истечении времени, когда через постоянную воронку депрессии прошло несколько поровых объемов флюида.
При поступлении из пласта смеси различных жидкостей и газов суммарный температурный эффект ATZ зависит от массовой доли различных компонентов
| АТУ = |
._ AT,c,G1 +AT,c,G,+...ATc G
c1
G1
+c2
G2
+...+co
Go
(2.5)
здесь С; - удельная теплоемкость компонента i;
в продукции пласта.
i - массовая доля i-ro компонента
Из (2.8) следует, что с увеличением обводненности при одинаковой депрессии температурная аномалия вследствие дросселирования будет уменьшаться. Поскольку газы при дросселировании охлаждаются, а жидкости нагреваются, изменение температуры газожидкостной смеси может быть как положительным (ATs >0), так и отрицательным (ATS < 0), а может и отсутствовать (ATS = 0).
Обычно скважины эксплуатируются при забойном давлении, превышающем давление насыщения нефти газом. Однако при определенных условиях, например, при компрессорном освоении, оно может оказаться ниже давления насыщения. Кратковременное снижение забойного давления ниже давления насыщения можно осуществить и специально, как будет показано ниже, для повышения эффективности решения отдельных задач, например, при исследовании фонтанных скважин.
Пластовые нефть и вода содержат растворенный газ. Газосодержание -нормальный объем газа в м3 , растворенного в 1 кубическом метре пластовой жидкости. Содержание газов в пластовой воде (единицы м3 /м3 ) пренебрежимо мало по сравнению с газосодержанием пластовых нефтей (до нескольких сотен м3 /м3 ).
Давление насыщения нефти газом - это давление, при котором начинается разгазирование нефти, выделение растворенного газа в свободную газовую фазу (появляются первые пузырьки газа).
Газовый фактор - это нормальный объем газа (т.е. объем газа в пересчете на нормальные условия), добываемый из скважины на кубометр или тонну добываемой нефти.
При эксплуатации скважины с забойным давлением ниже давления насыщения выделение из нефти растворенного газа будет происходить в призабойной зоне пласта. Тогда в удаленной части пласта, где давление выше давления насыщения, будетпроисходить однофазная фильтрация нефти с положительным дроссельным эффектом. В призабойной зоне, где давление ниже давления насыщения, будет наблюдаться двухфазная фильтрация нефти и выделяющегося из нефти свободного газа. Фильтрация газа сопровождается отрицательным температурным эффектом.
Разгазирование нефти (выделение растворенного в нефти газа в свободную газовую фазу) сопровождается поглощением тепла и приводит к дополнительному охлаждению смеси.
Величина изменения температуры на забое зависит от соотношения перепадов давления в зоне разгазирования и вне ее, газового фактора пластовой нефти.
При забойных давлениях выше давления насыщения забойная температура всегда растет с уменьшением забойного давления. Для забойных давлений ниже давления насыщения температура с уменьшением забойного давления уменьшает с я для газовых факторов больше некоторого критического Гкр и увеличивается при Г< Гкр Если Г ~ Гкр забойная температура от забойного давления не зависит, дроссельная аномалия при этом положительна и равна ен (Рпл - Рн ).
Таким образом, факт эксплуатации скважины при забойном давлении ниже давления насыщения еще автоматически не означает, что на забое будут наблюдаться обязательно отрицательные температурные аномалии. Знак температурной аномалии зависит от многих параметров: пластового и забойного давления, давления насыщения, коэффициента растворимости газа в нефти, термодинамическихсвойств нефти и газа.
Наличие воды в продукции уменьшает охлаждающий эффект от разгазирования и дросселирования газа. Расчеты показывают, что при обводненности более 60% для наблюдаемых на практике газовых факторов отрицательные температурные аномалии вовсе невозможны.
При наличии разгазирования в пласте в стволе скважины наблюдается сложный многофазный неизотермический поток воды, нефти и газа. Если при малых газовых факторах еще возможен однородный гомогенный поток, с увеличением газового фактора в стволе скважины образуются различные структуры потока (пробковый, снарядный и т.д.), осложняющие (а иногда и полностью исключающие) интерпретацию данных геофизических методов.
Калориметрический эффект наблюдается при смешивании жидкостей с различной температурой в интервале перфорации и в зоне нарушения обсадных колонн. Если происходит снижение температуры восходящего потока, то калориметрический эффект называется отрицательным, в противном случае -положительным. Распределение температуры в зоне смешивания подчиняется уравнению калориметрии. Однако на практических диаграммах часто наблюдаются так называемые «пики внедрения», которые не описываются уравнениями калориметрии. Эти пики обусловлены мощными удельными притоками.
Ниже интервалов перфорации в отсутствие заколонной циркуляции наблюдается плавное приближение температуры с глубиной к естественной температуре в скважине. Это явление обусловлено теплоотдачей работающего пласта. Зона теплоотдачи, как правило, не превышает 8-10 метров в добывающих скважинах и 10-20 метров в нагнетательных скважинах.
Конвекция замещения наблюдается при поступлении нефти в скважину
заполненную водой (или газа в заполненную жидкостью скважину). На частички нефти или газа действует, в этом случае, выталкивающая сила Архимеда, при всплывании они захватывают воду и переносят ее вверх. В скважине при этом образуются нисходящие потоки воды. Такое сложное движение жидкостей приводит к затягиванию аномалий калориметрии между интервалами перфорации.
Схематическое распределение температуры и градиента температуры в добывающей скважине приведено на рис.2.4.

Нестационарные (переходные) температурные поля
Переходные температурные поля обусловлены теми же процессами, что и квазистационарные тепловые поля. Однако в условиях пуска, остановки или изменения режима работы скважины температурные поля изменяются настолько быстро, что даже в процессе одного замера происходят изменения температуры, значительно превышающие разрешающую способность термометра.
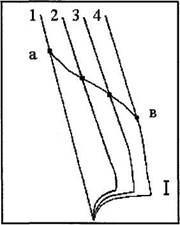
«Временной эффект записи» термограмм заключается в появлении ложных аномалий температуры, обусловленных сильным изменением температуры во времени в процессе одного замера (рис.2.5).
![]() |
![]() |
Рис.2.5 Схематические термограммы а-в, обусловленные «временным эффектом записи» при повышении и снижении температуры в стволе скважины.
1 - фоновое распределение температуры; 2,3,4 - мгновенные картины распределения температуры в стволе скважины после ее пуска, слева - при притоке жидкости, справа
- при нагнетании жидкости в пласт.
Например, пусть температура в интервале исследований по всей глубине изменяется во времени со скоростью W так, что градиент температуры Г остается постоянным. При движении термометра с постоянной скоростью V будет зарегистрирована термограмма с постоянным градиентом Г, отличным от истинного на величину АГ. Приращение градиента температуры, обусловленное «временным эффектом записи», АГ пропорционально скорости изменения температуры W и обратно пропорционально скорости движения термометра V:
(2.10)
Из формулы (2.10) видно, что вклад «временного эффекта записи» при возрастании скорости движения термометра стремится к нулю. Однако скорость движения прибора ограничена постоянной времени термометра.
Существующие способы записи дифференциальных термограмм неодинаково реагируют на аномалии «временного эффекта записи». На дифференциальных термограммах, полученных дифференцированием показаний одного датчика температуры, это явление приводит к изменению градиента температуры. В то же время способ регистрации градиента температуры двухдатчиковым градиент-термометром практически свободен от влияния аномалий временного эффекта записи.
Быстрое изменение давления в скважине приводит к проявлению эффекта адиабатического расширения или сжатия.
Изменение температуры AT связано с изменением давления АР.
При адиабатическом (быстром или в отсутствии теплообмена) падении давления на 10 атмосфер вода охлаждается на 0,01 °С, нефть - на 0,14 °С. При повышении давления наблюдается соответствующий разогрев флюидов.
Изменение температуры вследствие проявления адиабатического эффекта в стволе скважины может привести к появлению температурных аномалий на границе раздела различных жидкостей. В интервалах ствола скважины, заполненных однородной жидкостью, адиабатический эффект приводит к практически параллельному смещению существующего распределения температуры вправо или влево.
Восстановление исходного распределения температуры в стволе скважины после возмущения (промывкой, резким изменением давления и др.) происходит путем теплопроводности. Медленнее всего изменяется температура на оси скважины, для оценочных расчетов можно пользоваться формулой
AT(t) = АТ0 (1 - exp(-R2 /4at)), (2.12)
где АТ0 - величина начального возмущения температуры;
AT(t) - остаточная аномалия ко времени t;
R - радиус зоны возмущения температуры (радиус ствола скважины);
а - температуропроводность среды.

Баротермический эффект в пласте - это изменение температуры в насыщенной пористой среде, обусловленное изменением давления при отсутствии фазовых превращений. При отсутствии фильтрации флюида баротермический эффект сводится к эффекту адиабатического расширения и сжатия. При стационарной фильтрации флюида он тождественен эффекту Джоуля-Томсона. Изменение дроссельной температурной аномалии на забое скважины во времени можно оценить по формуле (Чекалюк Э.Б.):
Е - коэффициент Джоуля-Томсона флюида;
АР - депрессия на пласт;
RK , г0 - радиус контура питания (воронки депрессии) и скважины;
СЖ ,СП - объемная теплоемкость жидкости и насыщенной этой жидкостью пористой среды;
Q - дебит;
h- эффективная толщина пласта. Для нефтенасыщенных песчаников с = 0,8, водонасыщенных - с =1,2.
Если подвижность флюида (k/ц) в интервале притока нефти меньше, чем подвижность (k/ц) воды, в начальные моменты времени притока за счет большего удельного дебита вода может разогреваться сильнее нефти. Затем будет наблюдаться нормальное изменение температуры нефти и воды (ТН >ТВ ). В этом смысле можно говорить об инверсии дроссельного эффекта для нефти и воды. Объясняется инверсия различием подвижностей воды и нефти: более подвижная вода за одно и тоже время проходит большую часть воронки депрессии, чем нефть и разогревается сильнее. На рисунке 2.6 приведены результаты расчетов по формуле (2.13) для нефти и воды.

Рис.2.6. Изменение во времени дроссельной температурной аномалии в интервале притока нефти (кр.1) и воды (кр.2). Удельный дебит нефти 1 м3 /сут м, воды -10 м3 /сут-м.
Явление инверсии температурной аномалии в интервалах притока нефти и воды используется для выделения интервалов нефтеводопритоков при компрессорном освоении скважин.
Изменение температуры во времени на забое скважины с забойным давлением ниже давления насыщения носит немонотонный характер. Измеряемая на забое температура, как и в квазистационарном случае, определяется суммарным эффектом разгазирования нефти (охлаждение) и дросселирования жидкостей (разогрев) и выделившегося в пласте газа (охлаждение). Как следует из п.2.4.6 дроссельный разогрев увеличивается со временем, а охлаждение вследствие разгазирования нефти определяется в основном газовым фактором и формируется гораздо быстрее. Поэтому вначале вклад разгазирования превалирует и забойная температура снижается, с увеличением времени в зависимости от газового фактора забойная температура растет и устанавливается положительная или отрицательная температурная аномалия.
Таким образом, при регистрации переходных температурных полей непосредственно после пуска скважины (например, при ее компрессировании) явление инверсии температурной аномалии на забое скважины при снижении давления ниже давления насыщения нефти и аномальная связь между температурой и давлением, показанная в п.2.3.6, будут наблюдаться и при меньших значениях инверсного и критического газового факторов.
Распределение температуры в зумпфе скважины вблизи работающего пласта обусловлено теплоотдачей от пласта в подстилающие породы. Для малых времен эксплуатации скважины оно зависит в основном от времени и температуропроводности а пород. Отклонение температуры от фоновой можно оценить по формуле
AT(z,t) = АТ0 erfc (z/2Vat) (2.15)
Здесь АТ0 - величина температурной аномалии в подошве пласта; z - расстояние от подошвы пласта до точки наблюдения в зумпфе.
Точка выхода на геотерму или распространение фронта теплового возмущения от работающего пласта в зумпфе путем теплопроводности определяется формулой
(2.16)
Для среднего значения а = 2*10"3 м2 /час и времен t<10 часов даже с учетом стальной колонны зона влияния пласта в зумпфе не распространяется путем теплопроводности далее 1 м от подошвы. Чрезмерная затянутость температурной аномалии в зумпф и немонотонность распределения температуры могут быть связаны с заколонным перетоком.
В компрессорных скважинах после их промывки пресной водой наблюдается еще один вид конвекции замещения. При поступлении из пласта минерализованной воды (или частиц песка) наблюдается замещение пресной воды в зумпфе скважины на минерализованную. Это приводит к затягиванию аномалий, обусловленных теплоотдачей пласта.
3.Основные признаки термометрии для решения задач в скважинах
В нагнетательных скважинах
Определение нарушения герметичности колонны в зумпфе. Состояние в зумпфе исправное, если термограммы при закачке и изливе в зумпфе на расстоянии 1.5-2 м вниз от подошвы нижнего перфорированного пласта и до забоя повторяют друг друга по форме. Состояние в зумпфе нарушено, если термограммы при закачке и изливе в зумпфе в интервале перетока расходятся, причем градиент температуры при изливе ниже, чем при закачке. Термограммы выше и ниже нарушения колонны монотонны. (Датчик термометра должен быть чист.)
Определение нарушения герметичности свободной колонны выше интервалов перфорации. Критериями являются: скачкообразное изменение градиента температуры на замере при изливе; изменение градиента температуры на замере при закачке (если в нижерасположенной части скважины приемистость <30-40 м3 /сут); пикообразная аномалия охлаждения (разогрева) на временных замерах в интервале времени 0 - 40ч-45 мин после прекращения закачки.
Определение нарушения герметичности НКТ и колонны, перекрытой НКТ.
Нарушение НКТ: отмечаются аномалии на замерах в интервале времени 0-2 мин после:
1) перевода скважины с закачки на излив через НКТ с дебитом не более 10-12 м3 /сут;
2) прекращения закачки;
3) перевода с максимальной закачки на ограниченную закачку с величиной приемистости не более 10-12 м3 /сут.
Нарушение колонны: отмечаются температурные аномалии на замерах в интервале времени 5-12 мин после:
1) перевода скважины с закачки на излив через НКТ с дебитом не более 10-12 м3 /сут;
2) прекращения закачки;
3) перевода с максимальной закачки на ограниченную с величиной приемистости не более 10-12 м3 /сут.
Определение движения жидкости по пластам: наблюдаются аномалии на температурных замерах в интервале времени от 18 мин и более после:
1) перевода скважины с закачки на излив через НКТ с дебитом не более 10-12 м3 /сут;
2) прекращения закачки;
3) перевода с максимальной закачки на ограниченную с величиной приемистости не более 10-12 м3 /сут.
(На этих замерах не отмечаются аномалии в интервале времени 15-18 мин.)
Определение принимающих интервалов. Признаками принимающих интервалов являются изменение градиента температуры в интервале перфорированных пластов на замерах при закачке и охлаждение в интервале пласта на замерах в остановленной скважине.
Определение заколонного перетока вверх от интервала перфорации. На переток указывает аномалия охлаждения в неперфорированных пластах в интервале перетока на замерах термометром через 1.5-2 часа и более после прекращения закачки, изменение градиента на термограмме при закачке или аномалия калориметрического смешивания, приуроченные к кровле верхнего перфорированного пласта.
Определение заколонного перетока вниз от интервала перфорации. Признаки перетока ниже интервалов перфорации: немонотонность и расхождение термограмм, зарегистрированных при закачке и изливе в зумпфе.
В добывающих скважинах
Выделение работающих пластов. Приток жидкости из перфорированных интервалов характеризуется дроссельным и калориметрическим эффектами. Приток из нижнего перфорированного пласта отмечается следующими признаками: изменение температуры относительно геотермического распределения против перфорированного пласта; излом термограммы (изменение температурного градиента) относительно геотермы; плавная затянутость температурной кривой между перфорированными пластами.
Нижняя граница притока соответствует точке с максимальной крутизной участка повышения температуры. Верхняя граница притока соответствует точке нарушения монотонности повышения температуры при движении по кривой сверху вниз к кровле перфорированного пласта.
Признаками притока из верхнего перфорированного пласта являются: изменение температуры против пласта относительно температуры потока в подошвенной части пласта; излом термограммы относительно ее наклона ниже перфорированного пласта. Границам притока соответствуют точки изменения наклона температурной кривой.
Определение мест нарушения обсадной колонны. Признаки нарушения герметичности обсадной колонны на термограммах те же, что и при выделении работающих пластов, а аномалии также обусловлены дроссельным и калориметрическим эффектами. Обычно в зумпфе нарушение отмечается аномалией дроссельного разогрева, выше перфорированных пластов - аномалией калориметрического смешивания.
Определение нарушения забоя. Нарушение герметичности забоя скважины обычно определяется по нарушению геотермического распределения температуры. При этом температура с глубиной изменяется монотонно. Наклон температурной кривой в зумпфе зависит от линейной скорости (дебита) восходящего потока жидкости. Поэтому возможный наклон температурной кривой при наличии негерметичности забоя скважины заключен между фоновым распределением температуры и распределением с нулевым градиентом температуры.
Определение нефте-водопритоков. При длительной работе скважины (когда Рза б > Рнас ) величина изменения температуры зависит от значений коэффициентов Джоуля-Томсона воды и нефти, причем нефть разогревается больше, чем вода (ен « 2ев ). В случае, если скважина работает при Рза б < Рнас (забойное давление ниже давления насыщения нефти газом), то признаком притока газированной нефти является уменьшение аномалии дросселирования или отрицательная аномалия температуры (снижение температуры относительно геотермической), что связано с отрицательным коэффициентом Джоуля Томсона для газов (бг <0).
Определение заколонного перетока жидкости снизу. Признаками перетока жидкости за колонной снизу являются: нарушение геотермического распределения температуры в зумпфе скважины, которое не согласуется с теоретическими представлениями; немонотонное распределение температуры в зумпфе скважины; аномалия калориметрического смешивания в подошвенной части нижнего перфорированного пласта.
Определение заколонного перетока жидкости сверху. Переток жидкости сверху приводит к скачкообразному изменению наклона температурной кривой в интервале перетока и выше, а также к появлению аномалии калориметрического смешивания потоков в кровельной части верхнего перфорированного пласта.
В простаивающих скважинах
К разряду простаивающих причисляются практически все скважины, находящиеся в простое на момент исследования по той или иной причине. Основной признак, позволяющий выделить эти скважины в отдельную группу, квазистационарность термо-гидродинамического режима в скважине и прискважинной зоне, сопровождающаяся стабильным уровнем жидкости в стволе за период проведения исследований.
Путем температурных исследований простаивающих скважин могут быть решены следующие задачи:
- определение величины глубинных тепловых потоков в районе месторождения и сопредельных регионах;
- восстановление картины геотермического распределения температуры месторождения, района и региона с учетом искажающего влияния эксплуатации месторождения;
- определение абсолютных значений средних температур на опорных глубинах;
- выделение проницаемых пластов с активной гидрогеологией;
- выделение интервалов прорыва нагнетаемой воды;
- выделение интервалов и зон охваченных тепловым воздействием;
- стандартизация и поверка скважинных термометров.
Помимо этого, скважина, не имеющая перфорации, или перфорированная, но находящаяся вне зоны активной эксплуатации и не подверженная резким колебаниям давления эксплуатируемого пласта, может быть использована в качестве опорного термостата. При этом распределение температуры в стволе скважины весьма стабильно и перекрывает весь рабочий диапазон температур, наблюдаемых в данном районе.
Измерение температуры в стволе скважины несет большое количество информации и является одним из основных методов при исследовании нефтегазовых скважин.
Метод термометрии хорош тем, что для решения задач в скважинах эксплуатационного фонда проще, надежнее и достовернее метода на сегодняшний день не существует.
1.Дьяконов Д. И., Леонтьев Е. И., Кузнецов Г. С., Общий курс геофизических исследований скважин, М., Недра, 1984 г
2.Термометрия для контроля. технического состояния нагнетательных скважин Назаров В.Ф Фойкин П.Т., Осипов A.M., Ершов A.M., Нефтяное хозяйство1987. - № 111. - С.55-58
3.Особенности термометрии при выделении нефтяных пластов эксплуатирующихся при забойном давлении ниже давления насыщения Валиуллин Р.А., Рамазанов А.Ш., Шарафутдинов Р.Ф Сорокина В.А. Ярославцева Л.А. Нефтяное хозяйство, №6, 1991, с.33-36
4.«ТЕРМОГИДРОДИНАМИЧЕСКИЕ ИССЛЕДОВАНИЯ ПРИ РАЗЛИЧНЫХ РЕЖИМАХ РАБОТЫ СКВАЖИН» РУКОВОДСТВО ПО ИССЛЕДОВАНИЮ И ИНТЕРПРЕТАЦИИ (ООО НПФ ГЕОТЭК)

