| Скачать .docx |
Реферат: Роль геологических факторов в изменении заболеваемости населения Республики Алтай
Роль геологических факторов в изменении заболеваемости населения Республики Алтай
А.В. Шитов
С позиции экологической геологии на состояние здоровья населения оказывают влияние четыре экологические функции литосферы: ресурсная, геодинами- ческая, геохимическая и геофизическая [1]. В условиях высокой тектонической активности Алтая значимыми являются все экологические функции литосферы. В современных условиях они претерпевают существенные изменения в связи с Чуйским землетрясением магнитудой 7.5, произошедшим 27 сентября 2003 г., которое является последствием геодинамических процессов более высокого порядка (в Центральной Азии) и связано с зонами глубинной трещинноватости, высокой проницаемости и напряженно-деформированным состоянием вмещающей среды [2]. Вопросы состояния экосистем Алтая в связи с изменением эколого- геодинамических и эколого-геохимических условий не раз обсуждались в печати [3-6]. В настоящей работе предпринята попытка установить взаимосвязь на основе факторного анализа между тектонической активностью Алтая и здоровьем населения Республики в плане трансформации геофизической экологической функции литосферы, т.е. произведена оценка состояния здоровья населения как составляющей экосистемы и оценено влияние на нее абиотической составляющей среды.
Под геофизической экологической функцией литосферы понимается функция, отражающая свойства геофизических полей литосферы природного и техногенного происхождения влиять на состояние биосферы и здоровье человека [1, 2]. Другими словами, это «способность» литосферы обеспечивать и поддерживать на земле энергетические условия, пригодные для существования живых организмов. В период тектонической активности эти условия меняются [5, 7]. В эпицентральной зоне Чуйского землетрясения сотрудниками института геофизики СО РАН установлены трансформации не только акустического, но и электростатического и радиационного полей: всплески колебаний инфразвуково- го диапазона перед подготовкой землетрясения, синхронно с инфразвуковыми колебания зафиксировано изменение атмосферного электрического поля [3]. По данным радиологической лаборатории Республиканского центра государственного санитарного эпидемиологического надзора, в период подготовки землетрясения сильно изменился уровень активности радона на территории Республики, в частности, в Чемальском районе были зарегистрированы уровни порядка 1 000 Бк/м3 при прежних значениях около 100 Бк/м3 [4].
Геофизические поля обусловлены особенностями строения литосферы (зонами тектонических нарушений, погребенными речными долинами и другими неоднородностями) и характером геодинамических, физических и химических процессов, формируют очаги повышенной заболеваемости и проявления функциональных расстройств живых организмов. По отношению к биоте активные участки земной коры обладают определенными (дискомфортными или благоприятными) свойствами. С ними связывают гигантизм растительности, генетические отклонения, нарушения функционирования экосистем в целом [1, 3, 4].
Методика исследований. Оценивая состояние экогеосистем как определенного объема литосферы с находящейся в ней и на ней биотой, целесообразно количественно определить состояние абиотических и биотических ее компонент в пределах конкретных геологических структур. Опыт эколого-геологических, в том числе и эколого-геофизических исследований показывает, что основные трудности возникают с получением информации по биотической компоненте. В нашем распоряжении имелись данные только по медицинской статистике (общая и первичная заболеваемость населения, нормированная на 1 000 чел. населения, форма 12), привязанные не к геологическим структурам, а к административным районам Республики Алтай. В связи с выявленными ранее особенностями [8] приоритет при выборе медико-статистических критериев отдан детской заболеваемости, что связано с повышенной приуроченностью детей к проживанию на одной территории, а также с детской химической гиперчувствительностью. Поэтому нами была рассчитана характеристика геологической информации (площади интрузивных массивов, аномалий естественной радиоактивности, аномалий геомагнитного поля и длины разломов) на каждый административный район (см. таблицу).
Для выявления связи изучаемых геологических параметров (разломов, интрузивных массивов, участков рудной минерализации, аномалий электромагнитного и радиоактивного полей) с показателями заболеваемости детского населения были проанализированы геологические карты масштаба 1:500 000 (распределения разломов, интрузивных массивов), карта магнитного поля масштаба 1:500 000 и карта встречаемости природных самосветящихся образований (ПСО), данные многоцелевого геохимического картирования (МГХК-1000) и геоэкологического исследования и картографирования (ГЭИК-1000). В ГИС Arc View 3.2 посчитаны площади: интрузивных массивов, аномалий магнитного поля ДТ (более 200 нТл), аномалий естественной радиоактивности (более 50 мкР/ч), длина разломов (пог. км) на территории каждого административного района.
Прямым признаком активизации естественных геофизических полей являются природные самосветящиеся образования, широко проявленные на территории Республики Алтай [9, 10]. Природные самосветящиеся образования, как показывают исследования последних лет, весьма разнообразны по генезису, характеру проявления и условиям образования, очень часто являются предвестниками землетрясений. Показатель ПСО рассчитывался по степени их проявления на территории каждого района, на основании опроса местного населения, сотрудников МВД, погранслужбы, ФСБ и других органов. Суммарный показатель аномальных экологогеологических характеристик позволяет определить процент аномальных геолого-геофизических структур на площади района и сравнить их с показателями здоровья населения.
Геологические характеристики территории Республики Алтай по административным районам
| Административные районы |
Площадь интрузивных массивов, км2 |
Площадь аномалий магнитного поля, км2 |
Рудные проявления и МПИ |
Длина разломов, пог. км |
Встречаемость ПСО, раз |
Площадь аномалий Ra-226, км2 |
| Майминский |
64 |
130 |
0,5 |
805 |
0 |
331 |
| Чойский |
3541 |
2 500 |
6 |
2 453 |
0 |
2 500 |
| Турочакский |
4842 |
1 851 |
5 |
7 735 |
2 |
1 127 |
| Шебалинский |
230 |
240 |
2 |
3 151 |
2 |
441 |
| Онгудайский |
1 698 |
1 800 |
4 |
8 164 |
6 |
385 |
| Улаганский |
2 614 |
3 805 |
3 |
9 394 |
1 |
1 450 |
| Кош-Агачский |
2 527 |
2 579 |
8 |
13 114 |
3 |
3 037 |
| Усть-Канский |
1 243 |
954 |
4 |
4 933 |
3 |
958 |
| Усть-Коксинский |
1 654 |
688 |
2 |
6 675 |
8 |
519 |
| Чемальский |
420 |
670 |
0 |
2 232 |
1 |
851 |
Примечание. МПИ - месторождения полезных ископаемых, ПСО - природные самосветящиеся образования.
С целью выявления роли отдельных геологических факторов на здоровье населения производилось сравнение характеристик заболеваемости детского населения (общей и первичной) по годам с изучаемыми факторами среды. При этом учитывались виды заболеваемости, которые по раннее проведенным исследованиям связывают с экопатогенным влиянием среды: такие виды болезней, как распространение анемий, появление новых и необычных синдромов и болезней, вторичных иммунодефицитов, болезни нервной системы, психические расстройства и др.
Результаты и их обсуждение. При изучении коэффициентов взаимной корреляции между изучаемыми геологическими характеристиками и заболеваемостью детского и взрослого населения был выявлен рост влияния факторов среды на ряд видов заболеваемости за период 1999-2004 гг. и падение роли этого влияния за период 2004-2007 гг.
Для общей заболеваемости детского населения были выявлены следующие закономерности (см. рис. 1): синхронный рост влияния радоновых эманаций с 2001 г. на анемии и болезни крови, кроветворных органов и отдельные нарушения, вовлекающие иммунный механизм, который прослеживается до 2003 г.; постепенный рост влияния радоновых эманаций с 2002 г. на болезни глаза и его придаточного аппарата. Данные закономерности могут быть связаны с изменением экологической обстановки на территории Республики в связи с подготовкой Чуйского землетрясения и его аф- тершокового процесса. С 2003 г. отмечено повышение влияния аномалий естественной радиоактивности на болезни поджелудочной железы (максимальные значения в 2004 г.). Для болезней, характеризующихся повышенным кровяным давлением, установлено резкое повышение степени связи с аномалиями естественной радиоактивности в 2005 г. Увеличение достоверности последних двух связей с аномалиями естественной радиоактивности скорее всего связано с тем, что население, с одной стороны, чувствительно к воздействиям, с другой - достаточно инертно по своей природе: разрыв между воздействием и результатом может быть значительным, достигая в данном случае нескольких лет.
Для первичной заболеваемости детского населения были выявлены несколько другие закономерности (см. рис. 2). Здесь также синхронно выделяются графики корреляции между аномалиями радона и анемии, болезни крови, кроветворных органов и отдельные нарушения, вовлекающие иммунный механизм. Также отмечен постепенный рост с 2001 до 2003 г. связей аномалий естественной радиоактивности и следующих заболеваний: болезни нервной системы, психические расстройства, болезни глаза и его придаточного аппарата. Степень связи аномалий естественной радиоактивности и болезней нервной системы и психических расстройств также высока и в 2004 г., что может быть связано с афтершоковым процессом Чуйского землетрясения и сильным его влиянием на нервнопсихические процессы. Резкий всплеск связи аномалий естественной радиоактивности с заболеваемостью сахарным диабетом в 2004 г., скорее всего, связан с провоцирующим воздействием неблагоприятных психических реакций на землетрясения и афтершокового процесса на нейроэндокринную систему.
Перед Чуйским землетрясением (за 2-3 года до основного толчка) изменения в геологической среде оказывали заметное влияние на здоровье населения. Представленные кривые изменения коэффициента взаимной корреляции видов заболеваемости и геологических факторов можно разделить на две группы: постепенное увеличение корреляционных связей, начиная с 2001 г., и резкий всплеск влияния геологических факторов в 20022003 гг.
На наш взгляд, изменение связей аномалий естественной радиоактивности с заболеваемостью анемией связано со следующим процессом. В период подготовки землетрясения происходит постепенное изменение динамических полей напряжений в регионе. В данный момент в результате локальных растяжений и сжатий начинает происходить растрескивание интрузивных массивов, что приводит к повышению уровня эманирования радона.

Рис. 1. Изменение коэффициента взаимной корреляции общей заболеваемости детского населения Республики Алтай и геологических факторов

Рис. 2. Изменение коэффициента взаимной корреляции первичной заболеваемости детского населения Республики Алтай и геологических факторов
Резкое увеличение степени связи в 2002 г. между изучаемыми характеристиками заболеваемости детского населения и аномалий естественной радиоактивности связано с увеличением градиента изменения динамического поля напряжений, что сказалось на ослаблении связанности структурных нарушений. При этом по линиям активных разломов произошло насыщение подземных вод газовыми и жидкостными флюидами, что изменило химический состав подземных и поверхностных вод, а также увеличило эманирование радона из разломов. Дальнейшее ускорение процесса изменения динамического поля напряжений привело к изменению гидрогеохимических характеристик, при этом увеличилась доля соединений, находящихся в метастабильном состоянии, и чем ближе сейсмическое событие, тем сильнее проявляется весь комплекс факторов изменения геологической среды.
По данным радиологической лаборатории Роспотребнадзора по Республике Алтай, средневзвешенная объемная концентрация радона по Республике, с учетом данных 2005-2006 гг., составила 258 Бк/м3, что соответствует дозе облучения 10,4 м3/год [4]. Наиболее высокие плотности потока радона приходятся на Онгудайский, Турочакский, Чойский и Майминский районы.
Наиболее напряженная обстановка по радону имеет место в Турочакском районе, где до 80% населения подвержено его воздействию выше нормируемого показателя. Следовательно, для отдельных сел Республики возникают проблемы минимизации влияния радона на здоровье населения.
Также проводилось изучение влияния геодинамиче- ской активизации на здоровье взрослого населения.
В связи с тем что основная занятость взрослого населения - отгонное животноводство - связано с большими пространственными перемещениями, то на эту группу населения будет оказывать влияние большее количество геологических факторов среды (рис. 3, 4).
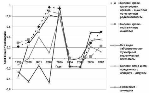
Так, при анализе связи заболеваемости взрослого населения и геологических факторов выявлены следующие закономерности: синхронный рост влияния аномалий естественной радиоактивности и магнитных аномалий с 2001 г. на анемии и болезни крови, кроветворных органов и отдельные нарушения, вовлекающие иммунный механизм, который прослеживается до 2003 г.; резкий рост влияния суммы геологических факторов на общее количество заболеваний; увеличение степени связи интрузий и болезней глаза и придаточного аппарата; резкое увеличение в 2003 г. связи аномалий естественной радиоактивности и заболеваемости пневмонией.

Рис. 3. Изменение коэффициента взаимной корреляции общей заболеваемости взрослого населения Республики Алтай и геологических факторов

Рис. 4. Изменение коэффициента взаимной корреляции первичной заболеваемости взрослого населения Республики Алтай и геологических факторов
Действительно, при подготовке сейсмического очага обычно происходит усиление электромагнитного и инфразвукового излучения, усиливается истечение радона, ртути и других газовых компонент, изменяется состав подземных и поверхностных вод, что неблагоприятно сказывается на здоровье человека и приводит к стрессам [12, 13]. Необходимо отметить, что распространение этих явлений может быть гораздо шире, чем эпицентральная зона землетрясения, т.к. сейсмические подвижки происходили по всему Русскому и Монгольскому Алтаю.
Известно, что высокая чувствительность биологических систем к геофизическим процессам является естественной, при этом геофизические поля оказывают существенное влияние на функционирование живых организмов. Выявленные ранее данные о существенном влиянии динамики геофизических полей на здоровье при геомагнитных возмущениях определяют необходимость комплексного поиска геофизических и физиологических предвестников сейсмических процессов [6]. Активизация геодинамических процессов привела к увеличению обращаемости населения по разным видам заболеваемости, а уменьшение афтершокового процесса Чуйского землетрясения в свою очередь повлияло на уменьшение обращаемости населения в медицинские учреждения Республики Алтай. Выявленные особенности могут выступать как характеристики адаптации населения к изменившимся условиям среды, а также быть одним из параметров, служащих для предсказания сейсмических событий. При использовании большого статистического материала по этому региону получены данные, свидетельствующие об увеличении степени влияния геологических факторов на здоровье детского населения, особенно в форшоковой период Чуйского землетрясения. Повышение уровня заболеваемости: анемией, болезнями крови, кроветворных органов и отдельных нарушений иммунного механизма, - может быть связано с активизацией тектонических процессов при подготовке и протекании сейсмических событий 2003-2005 гг.
Список литературы
Трифонов В.Г., Караханян А.С. Геодинамика и история цивилизаций. М.: Наука, 2004. 668 с.
Гвоздарев А.Ю. Построение карт-схем активности и плотности потока радона на территории Республики Алтай и анализ ее связи с заболе ваемостью // Основные проблемы охраны окружающей среды и благополучия человека в Сибирском федеральном округе, перспективы их решения: Сб. материалов конф. Горно-Алтайск, 2006. С. 137-147.
Мельников Е.К. Активные разломы и влияние связанных с ними природных полей на здоровье человека // Слабые и сверхслабые поля и излучения в биологии и медицине: Сб. докл. 1-го Междунар. конгресса. СПб.: Отд. образования и развития науки РАЕН, 1997. С. 529.
Виноградов Б.В. Примеры связи растительности и почв с новейшей тектоникой // Ботанический журнал. 1955. № 6. С. 837-844.
Дмитриев А.Н., Шитов А.В., КочееваН.А., Кречетова С.Ю. Грозовая активность Горного Алтая. Горно-Алтайск: РИО ГАГУ, 2006. 190 с.
Владимирский Б.М., Темурьянц Н.А., Мартынюк В. С. Космическая погода и наша жизнь. Фрязино: Век 2, 2004. 224 с.
Кузнецов В.В., Хомутов С.Ю. Результаты наблюдений атмосферного электричества, геомагнитного поля и инфразвук в период афтершоковой активности Чуйского землетрясения // Алтайское (Чуйское) землетрясение, прогнозы, характеристика последствия. Горно-Алтайск: РИО ГАГУ, 2004. С. 66-81.
Шитов А.В. Экогеологические факторы и их влияние на здоровье населения Горного Алтая // Журнал проблем эволюции открытых систем. 2006. Т. 1, вып. 8. С. 120-133.
Дмитриев А.Н., Шитов А.В., Кочеева Н.А., Кречетова С.Ю. Грозовая активность Горного Алтая. Горно-Алтайск: РИО ГАГУ, 2006. 190 с.
Гохберг М.Б., Моргунов В.А., Герасимович Е.А., Матвеев И.В. Оперативные электромагнитные предвестники землетрясений. М.: Наука, 1985. 116 с.
Протасов В. Ф. Экология, здоровье и охрана окружающей среды в России: Учеб. и справ. пособие. М.: Финансы и статистика, 1999. 671 с.
Шитов А.В., Кац В.Е., Харькина М.А. Эколого-геодинамическая оценка Чуйского землетрясения // Вестник Моск. ун-та. Сер. Геол. 2008. № 3. С. 41-47.
Шитов А.В. Изменение метеопараметров перед Чуйским землетрясением и здоровье населения Горного Алтая // 5-й Междунар. симп. «Контроль и реабилитация окружающей среды»: Материалы докл. Томск, 2006. С. 147-148.