| Скачать .docx |
Реферат: Оценка образов точек цифровых снимков
Дмитриев В.Г., Дудко В.А
Реальные возможности для наиболее полной автоматизации фотограмметрических процессов Заключаются в комплексном использовании ЭВМ и устройств ввода изображений в ЭВМ. При стереофотограмметрических работах важнейшей задачей является автоматическая идентификация на аэрофотоснимках стереопары соответственных точек. Оптимальное решение ее необходимо для эффективной реализации большинства автоматизированных технологий получения данных о местности по стереопаре аэрофотоснимков.
В настоящей статье анализируются свойства образов точек цифровых снимков, используемых при автоматической идентификации, и предлагаются критерии для их оценки.
Цифровым снимком (ЦС) будем называть цифровое отображение какого-либо снимка [4], записанное на машинном носителе информации. Топографический ЦС, следовательно, есть записанное на машинном носителе информации цифровое отображение топографического фотоснимка центральной проекции, т. е. результат цифрования исходного фотоизображения. Аналогично можно сформулировать понятия «телевизионный ЦС», «радиолокационный ЦС» и т. д. [4]. Цифровой снимок Р может быть представлен в виде множества
![]()
где хi уi. — координаты i-й точки исходного снимка; а1i, а2i, .. ., аni; — параметры, описывающие свойства i-й точки исходного снимка или некоторой области, включающей эту точку.
Под участком ЦС будем понимать подмножество С множества Р, причем их размеры т(Р) и т(С) таковы, что т (Р)>> т (С).
Образом точки хi уi назовем множество О, включающее точку хi уi в качестве его центральной точки. Образ точки может быть непосредствен¬но участком исходного ЦС или его можно получить путем преобразова¬ния такого участка, т. е.
![]()
В наиболее простом случае изображение аэрофотоснимка в результате цифрования представляют в виде матрицы значений оптических плотностей d

каждый элемент которой отнесен к узлу i, j регулярной сетки дискретизации. Образом точки ЦС в данном случае является матрица

такая, что

Автоматическую цифровую идентификацию точек стереопары ЦС осуществляют путем сличения образов точек О и О' первого и второго ЦС [1, 5]. При этом обычно вычисляют взаимную корреляционную функцию текущих образов О и О' и по ее максимуму принимают решение о совпадении образов.
Существенно упростить схему вычислений позволяет применение релейных и полярных корреляционных функций [3]. При этом более острый пик этих функций обеспечивает большую точность определения их максимума. Применение релейных и полярных корреляционных функций предполагает клиппировапие исходного сигнала, т. е. его замену знакопеременным сигналом постоянной амплитуды. Амплитуду клиппированиого сигнала можно при желании изменять, регулируя таким образом крутизну характеристик и чувствительность метода.
Однако переход от обычных корреляционных функций к релейным и полярным приводит к появлению методической ошибки, вызванной заменой исходного сигнала клиппированным. Очевидно, значение этой ошибки зависит от степени подобия сигналов.
Можно сделать вывод, что при сходстве форм исходных и клиппированных сигналов надежность определения максимума взаимной корреляционной функции повышается. В фотограмметрическом смысле поставленному условию в наибольшей степени могут удовлетворять изображения так называемых четких контуров. Для выявления степени приближения образов точек к изображениям четких контуров необходим специальный анализ образов О.
Оценка образов точек ЦС может быть выполнена с использованием известных статистических критериев [3]. Так, автокорреляционная функция — математическое ожидание произведений значений оптической плотности в двух точках образа — позволяет получить средний размер деталей образа, определяющих его структуру, выявить периодичность изменения оптических плотностей образа. Аналогичные свойства изображения выявляются с помощью структурной функции, представляющей собой математическое ожидание квадрата разности оптических плотностей в двух текущих точках образа. Значение модуля градиента оптической плотности характеризует пространственную скорость изменения ее в образе точки.
В группу более простых характеристик входит среднее число максимумов оптической плотности, а также средние число, площадь и длина границ светов на единицу площади образа точки.
Чтобы сделать вывод о свойствах образов точек в соответствии с принятой здесь точкой зрения, необходим дополнительный анализ данных, получаемых с помощью указанных критериев. Отметим, что эти критерии, как правило, достаточно трудоемки для вычислений. Более простые из них могут обеспечить выделение образа (как наилучшего) в виде «шахматной доски», что может привести к грубым ошибкам при последующей идентификации.
Для оценки образов точек целесообразно применить критерии, численные значения которых непосредственно характеризуют степень приближения свойств анализируемого образа к свойствам образа четкого контура. Значения критериев лежат в пределах от 0 до 1 —для наименьшего и наибольшего соответствия образа четкому контуру.
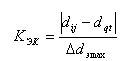
Перечислим предлагаемые критерии оценки образов точек ЦС и дадим их краткую характеристику применительно к трехмерным образам точек вида (1). 1. Общий относительный контраст образа точки — отношение наибольшей для образа разности оптических плотностей к возможному наибольшему значению тонового контраста [2].
![]()
Критерий Кок позволяет различить простейшие отображения вида а и б (рисунок 1). Образ точки, для которого Кок=1, содержит наибольший тоновый контраст и, следовательно, может быть образом четкого контура. Образ точки, для которого Кок>0, заведомо не может быть образом четкого контура.

Сравнение образов б и в (см. рисунок) показывает, что условие Кок>0необходимое, но недостаточное для оценки образа вследствие наличия различных контрастов между близкими элементами его. Для этого введен следующий критерий.
2. Элементарный относительный контраст образа точки — отношение наибольшей для образа разности оптических плотностей близких элементов к возможному наибольшему значению такой разности

где q=i-k, i, i+k; t=j-l, j, j+l (k=1, 2, …; l=1, 2, …).
Выбор параметров к, l определяет степень близости друг к другу анализируемых элементов образа. В частном случае критерии Кок и Кэк могут совпасть, однако в общем случае они различны как по смыслу, так и по значению.
Учтем теперь, что образ точки ЦС содержит значения оптической плот¬ности, соответствующие разным уровням квантования (см. рисунок, образы г, д, е). Основываясь на положении теории вероятности о максимальной информации при наибольшей неопре¬деленности (равновероятности), можно предположить, что образы д и е, в которых элементы с одинаковыми значениями оптической плотности занимают примерно равные площади, предпочтительнее для автоматической идентификации. Для оценки этого свойства введем следующий критерий
3. Полнота квантованного изображения — среднее относительное отклонение числа элементов изображения, попавших в разные уровни квантования, от ожидаемого среднего числа элементов в одном уровне
Применительно к образу точки ЦС ожидаемое среднее число элементов в одном уровне квантования можно определить по формуле
![]()
где с — число уровней квантования;
с0 - число незаполненных уровней.
r, s - число строк и столбцов в матрице (1)
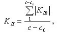
С использованием величины 10 отно¬сительный показатель полноты изображения в i-том уровне квантовання определяется так:

li — число элементов изображения, попавших в i-й уровень квантования. Знаком «минус» фиксируется слу¬чай, когда в 1-й уровень квантования попадает меньше элементов, чем их должно быть при равномерном распре¬делении. По отдельным значениям Кпi определяется обобщающий критерий полноты квантованного изображения

При применении критерия Кп необходимо использовать пороговое значение числа элементов в уровне, принимаемом за пустой. Критерий Кп позволяет отличить образы типа д и е от образов типа г (см. рисунок), однако не отражает различий в образах д и е, которые заключаются в степени концентрации изображения по полю образа для разных уровней квантования.
4. Концентрация квантованного изображения — относительное отклонение числа элементарных контрастов в квантованном изображении от ожидаемого наибольшего их числа.
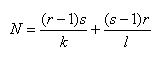
Для определенности будем подсчитывать элементарные контрасты только вдоль строк и столбцов матрицы О образа точки ЦС. Тогда ожидаемое наибольшее число элементарных контрастов в квантованном образе точки ЦС

Параметры к, l так же как и в фор¬муле (2), задают здесь степень близости друг к другу анализируемых элементов образа.
В образе е (см. рисунок) изображе¬ние для каждого уровня квантования сконцентрировано. Поэтому число эле¬ментарных контрастов в нем значительно меньше, чем в образах г и д.
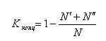
Определив по квантованному образу точки ЦС число элементарных контрастов в строках N' и столбцах N" матрицы (1), найдем концентрацию квантованного изображения по формуле

В образе е (см. рисунок) имеются разные по значению элементарные контрасты (между элементами d1 и d3, d2 и d3). При прочих равных условиях образ точки ЦС с большим числом наибольших и средних элементарных контрастов будет отображать более четкий контур. Для оценки этого свойства введен критерий «контрастированность квантованного изображения».
5. Контрастированность квантованного изображения — среднее относительное отклонение числа элементарных контрастов от их оптимального числа для квантованного на заданное число уровней изображения. Для целей идентификации предпочтительнее образы с большими элементарными контрастами. Однако в реальных образах частота появления таких контрастов невелика. При оценке оптимального числа элементарных контрастов в образе следует учесть это обстоятельство, например используя веса Р для контрастов между элементами уровней е и f. В наиболее простом случае можно принять
![]()
где е<F.< p>
Таким образом, если элементарные контрасты определяются как разности оптических плотностей, отнесенные к уровням с наибольшей разницей номе¬ров (например, к уровням 1 и 3 в образе е, (см. рисунок), то вес таких контрастов наибольший.
Оптимальное весовое число элемен¬тарных контрастов принято равным

где L = (с - 1) - l; Р — вес одинаковых по значению элементарных контрастов; п — число одинаковых по значению элементарных контрастов с весом Р; – индекс, указывающий на зависимость характеристик от значения элементарного контраста L - число использованных различных по значению весов элементарных контрастов данного образа (число произведений Р п); l — число неиспользованных весов (в соответствии с числом отсутствующих или пренебрегаемых контрастов между элементами разных уровней в данном образе); с-l — наибольшее возможное число весов элементарных контрастов при квантовании на с уровней.
Относительный критерий контрастированностн изображения контрастами с весом РА определим по формулам

Обобщающий критерий контрастированности квантованного изображения определим по формуле

Система весов Р может быть уточнена по данным о вероятности появления в образе различных по значению элементарных контрастов.
При определении числа неиспользованных весов l связь между элементами различных уровней может отсутствовать не только, когда обнаружено, что п=0, но и тогда, когда п меньше порогового значения е.
Еще один аспект различий в образах точек ЦС иллюстрируется образами ж— и (см. рисунок) и заключается в разной степени центрирования наиболее информативной части образа. Степень центрирования изображения можно определить путем сравнения критериев оценки, вычисленных для нескольких фрагментов анализируемого образа точки ЦС (см. рисунок, к). В случае, когда лучшие критерии оценки будут определены для центрального фрагмента образа и (см. рисунок), степень центрирования изображения в образе следует полагать наилучшей.
Описанные критерии оценки характеризуют разные свойства образа точки цифрового снимка: Кок. (общий относительный контраст) позволяет оценить наибольшую разность оптических плотностей в пределах образа, Кэк (элементарный относительный контраст) дает возможность определить наибольший перепад оптических плотностей между близкими элементами образа, Кп (полнота квантованного изображения) характеризует полноту отображения образа во всех уровнях его квантования, Кконц (концентрация квантованного изображения) характеризует степень концентрации в изображении элементов с одной и той же оптической плотностью, Кконтр (контрастированность квантованного изображения) позволяет оценить соотношение в образе разных контрастов.
Эксперимент по реальным ЦС показал, что предложенные критерии обеспечивают отбор образов, которые по визуальной оценке содержат четкие контуры в изображении. Скорость изменения численных значений разных критериев различна. Значения критериев КЭК, Кконц Кконтр Существенно зависят от расположения анализируемых элементов в образе. Для повышения их работоспособности необходимо обеспечить выбор элементов на расстоянии, соизмеримом с зоной перехода от изображения контура к изображению фона. Обобщающий критерий оценки образа можно сформулировать, например, с учетом весовых значений предложенных частных критериев.
Критерии оценки образов точек могут быть применены при выборе точек в зонах стандартного расположения с целью их использования для автоматического взаимного ориентирования ЦС, в качестве связующих и определяемых при автоматическом фототриангулировании. На основе этих крите¬риев может быть организован отбор точек для построения по ЦС геометрической модели местности способом последовательного наращивания точности. Предлагаемые критерии позволяют также выявить опорные точки, обеспечивающие лучшие условия для внешнего ориентирования геометрической модели местности.
Список литературы
1. Анисимов Б.В., Курганов В.Д., Злобин В.К. Распознавание и цифровая обработка изображений. М., Высш. школа, 1983.
2. Грибанов Ю. И., Веселова Г. П., Андреев В. И. Автоматические цифровые корреляторы. М., Энергия, 1971.
3. Живичин А. Н., Соколов В. С. Дешифрирование фотографических изображений. М., Недра, 1980.
4. Книжников Ю. Ф. Снимок — термин и научное понятие.— Изв. вузов. Сер. Геодезия и аэрофотосъемка, 1985, № 2, с. 84—87.
5. Лобанов А. Н., Журкин И. Г. Автоматизация фотограмметрических процессов. М., Недра, 1981.
6. Технология цифровой обработки фотоизображений/Ю. П. Киенко, В. И. Краснов, . С. Л, Крылов и др.— Геодезия и картография, . 1980, № 7, с. 17—23.