| Скачать .docx |
Реферат: География автомобильной промышленности
СОДЕРЖАНИЕ
ВВЕДЕНИЕ.............................................................................................. 3
1. ТЕКУЩЕЕ СОСТОЯНИЕ АВТОМОБИЛЬНОЙ
ПРОМЫШЛЕННОСТИ В РОССИИ И ОСНОВНЫЕ ПРОБЛЕМЫ...4
2. РОЛЬ ГОСУДАРСТВА В РАЗВИТИИ АВТОМОБИЛЬНОЙ
ПРОМЫШЛЕННОСТИ РОССИИ........................................................ 15
ЗАКЛЮЧЕНИЕ..................................................................................... 20
СПИСОК ИСПОЛЬЗОВАННОЙ ЛИТЕРАТУРЫ.............................. 24
ВВЕДЕНИЕ
Автомобильная промышленность - ведущая отрасль машиностроения, влияющая на процессы экономического и социального развития Российской Федерации. Наличие развитой автомобильной промышленности является важным элементом обеспечения национальной безопасности государства. В отрасли объединено около 250 крупных и средних предприятий и организаций, занято более 800 тыс. человек. Производство автомобильной техники осуществляется в тесной кооперации с предприятиями электротехнической, металлургической, химической, электронной, легкой и других отраслей промышленности, что обеспечивает занятость около 5 млн. человек из числа трудоспособного населения.
Становление и развитие автомобильного транспорта и автомобильной промышленности стало явлением XX века, а уровень автомобилизации - индикатором уровня развития любой страны, в том числе и России.
Поэтому автомобильная промышленность выбрана в качестве темы исследования в реферате.
1. ТЕКУЩЕЕ СОСТОЯНИЕ АВТОМОБИЛЬНОЙ ПРОМЫШЛЕННОСТИ В РОССИИ И ОСНОВНЫЕ ПРОБЛЕМЫ
Ситуация в российском автопроме, в последнее несколько лет характеризовалась неоднозначно. С одной стороны, это бурный рост рынка, вызванный, в том числе и ростом покупательской способности населения, и укреплением рубля, а с другой - непрекращающееся сокращение доли рынка отечественных производителей при одновременном усилении зачастую бессмысленной конкуренции в одном ценовом сегменте.
Автомобилестроение по итогам 2009 года показало беспрецедентное падение: в 2009 году всего произведено 723,3 тыс. автомобилей, что на 60% меньше чем в 2008 году (1792,6 тыс. шт.).1
Производство легковых автомобилей в 2009 году по сравнению с 2008 годом снизилось на 59,4%, в том числе:
—По отечественным легковым автомобилям снижение составило 63,9%.
-Объем выпуска в России легковых автомобилей иностранных моделей сократился в целом на 52,7%, а на предприятиях, работающих по схеме промышленной сборки - на 46,8%.
По прогнозу АСМ-холдинга, производство легковых автомобилей в 2010 году составит 800,0 тыс. шт., с ростом на 34,0%, в том числе:2
- отечественные автомобили 450 тыс.шт.(+ 42,0%),
- иностранные модели 350 тыс. шт. (+25,0%), из них промышленная сбор
ка 250 тыс. шт.(+30,0%).
Прогноз продаж в легковом автомобилестроении по оценке АСМ-холдинга, составляет в целом 1500 тыс. шт. (2009 год - 1404,8 тыс. шт.), рост на 6,8%.
- Продажи отечественных автомобилей составят 430 тыс. шт. (2009 год -
392,2 тыс.шт.), рост на 9,6%;
1
Автомобильный рынок России. Обзор отрасли. // Данные Росстат, МЭР
2
Обзор работы российской автомобильной промышленности за 2000-2009 годы и прогноз дальнейшего разви
тия. // Редакция i-Mash.ru по материалам ОАО «АСМ-холдинг»
- Продажи иностранных моделей - 1070 тыс. шт. (2009 год - 1012,6 тыс.
шт.), рост на 5,7%; из них - произведенных в России 365 тыс. шт. (2009
год - 362,7 тыс. шт., рост на 0,6%.
Импорт новых автомобилей 690 тыс.шт. (2009 год - 634,4 тыс. шт.), рост на 8.8%. Импорт подержанных автомобилей 15 тыс. шт. (2009 год - 13,3 тыс. шт.), рост на 12,8%.
Примечания:
- Производство и рыночные продажи не включают в легковой сегмент
коммерческие автомобили.
- В импорте новых и подержанных автомобилей не учтены машины, вво
зимые физическими лицам.
Справка: по оперативным данным в 2009 году физическими лицами ввезено 74,1 тыс. автомобилей, а в 2008 году - 378,8 тыс. автомобилей.
|
|
| 1600-, |
| 2000 |
| 2001 |
| 2003 |
| 2004 |
| 2005 |
| 2006 |
| 2007 |
2002
■ Отечественные модели В Иностранные модели, исключая промсборку
* - производство иностранных моделей, в % к общему производству
2008 2009 2010
прогноз
D Промышленная сборка
Рисунок 1. Диаграмма производства легковых автомобилей в России
в 2000-2010 годах, тыс. ед.
|
|
| 120000 - |
| 100000 - |
| АВТС ВАЗ |
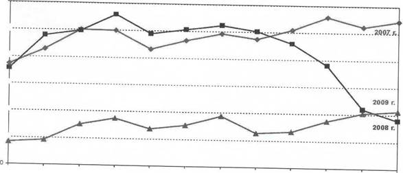
январь февраль март апрель май июнь июль август сентябрь октябрь ноябрь декабрь
Рисунок 2. График ежемесячного производства легковых автомобилей в России
в 2007-2009 гг.
Таблица 1 Производство легковых автомобилей в России в 2000 - 2010 годах, тыс. ед.
| 2000 |
2001 |
2002 |
2003 |
2004 |
2005 |
2006 |
2007 |
2008 |
2009 |
2010 прогноз |
|
| Производство-всего |
969,24 |
1021,98 |
980,68 |
1010,03 |
1110,08 |
1068,76 |
1176,34 |
1293,09 |
1469,9 |
595,81 |
800 |
| в том числе: |
|||||||||||
| отечественные модели |
969,24 |
1015,34 |
969,55 |
956,36 |
977,28 |
911,03 |
897,44 |
834,71 |
877,09 |
316,87 |
450 |
| иностранные модели, всего |
6,66 |
11,15 |
53,64 |
132,8 |
157,73 |
278,9 |
458,38 |
592,81 |
278,94 |
350 |
|
| из них промышленная сборка |
14,09 |
190,29 |
268,77 |
376,64 |
193,26 |
250 |
3500
| Импорт новых .иностранных моделей |
| Иностранные модели, произведенные в России / |
| Отечественные модели '> ':::■ • ■■ :■■■■■ ■ " • ''■■,■'"%. |
| " ■Г ................. *■-....................... — ■■iIimIiIiiiiiim.i ................................... .1 ................. |
| .Импорт подержанных -иностранных моделей |
3000 25О0 2000 1500 1000 500Л
2001
2002 2003 2004 2005 2006 2007 2008 2009
2010 прогноз
Рисунок 3. График-диаграмма продаж легковых автомобилей в России
в 2001-2010 годах
2008 год
Весь рынок -3121,5 тыс. ед. (100%)
2009 год
Весь рынок - 1404,8 тыс. ед. (100%) (-55,0%)
2010 год (прогноз)
Весь рынок - 1500,0 тыс. ед. (100%) (+6,8%)
|
|
|
|
| Отечествен- |
| автомобили ИМП °Р™Р°- ванные, ™
*'\
подержанны' 1,0% |
| Иномарки Иномарки российской импортере- сборки ванные, новые 686,5 «35,4 18,8% «« |
иномарки импортированные _ подержанные 375.6 12,0%
Иномарки импортированные новые 1467,3 47,0%
Им омар.
автомобили 392,2
27,9%
Иномарки импортированные, одержанные 15,0 1,0%
Иномарки \ импортированные, новые 690,0
48,0%
Рисунок 4. Структура российского рынка легковых автомобилей по
происхождению машин
Таблица 2 Продажи легковых автомобилей в России в 2001-2010 годах, тыс. ед.3
| 2001 |
2002 |
2003 |
2004 |
2005 |
2006 |
2007 |
2008 |
2009 |
2010 прогноз |
|
| Всего продаж |
1415,5 |
1555,7 |
1622,4 |
1610,8 |
1714,4 |
2103,0 |
2746,0 |
3121,5 |
1404,8 |
1500,0 |
| в том числе: |
||||||||||
| отечественные модели |
932,60 |
930,11 |
969,35 |
980,00 |
789,20 |
783,50 |
715,30 |
692,1 |
392,2 |
430,00 |
| иностранные модели |
482,90 |
625,60 |
653,10 |
630,80 |
925,20 |
1319,50 |
2030,70 |
2429,4 |
1012,6 |
1070,00 |
| в том числе: |
||||||||||
| произведенные в России |
6,50 |
11,10 |
57,70 |
121,80 |
151,50 |
270,00 |
439,20 |
586,5 |
362,7 |
365,00 |
| импортные новые |
79,10 |
111,50 |
195,40 |
285,00 |
456,00 |
743,80 |
ГщбдеГ |
1467,3 |
636,4 |
690,00 |
| импортные подержанные |
397,30 |
503,00 |
400,00 |
224,00 |
317,70 |
305,70 |
385,10 |
375,6 |
13,5 |
15,00 |
По сравнению с 2008 годом, в 2009 году имело место снижение производства грузовых автомобилей на 36,5% (всего произведено автомобилей в 2008 году -257,14 тыс. шт., в 2009 году - 91,4 тыс. шт.), в том числе отечественных моделей произведено в 2008 году - 238,83 тыс. шт., в 2009 году - 84,0 тыс. шт., (снижение на 35,2%), а иностранных моделей произведено в 2008 году -18,31 тыс. шт., в 2009 году - 7,41 тыс. шт., (снижение на 40,5%).
Прогноз производства грузовых автомобилей на 2010 год составляет 100 тыс. шт., рост на 9,4%.
3
Пашков В.И. Автомобильная промышленность России в 2009 г. // «Автомобильная промышленность» - 2010,
№3
- отечественные автомобили 90 тыс. шт., рост на 7,2%.
- иностранные модели 10 тыс. шт., рост на 35,1%.
Продажи грузовых автомобилей в России в 2010 году, по нашей оценке, составят в целом 130 тыс. шт. (2009 год - 119,6 тыс. шт.), рост на 8,7%.
Продажи отечественных грузовиков в 2010 году составят 80 тыс. шт., (2009 год - 75,8 тыс. шт.) рост на 5,6%. В 2009 году продажи иностранных моделей снизились более чем в 5 раз.
Особенно резко упали продажи импортных новых автомобилей, более чем в 7,4 раз (2008 год - было продано 149,91 тыс. шт., 2009 год - 20,26 тыс. шт.).
Также серьезно сократился рынок подержанных автомобилей: 2009 год -62,99 тыс. шт., 2008 год - 16,21 тыс. шт.
Продажи новых иностранных автомобилей, собираемых в России, снизились в 2009 году в 1,9 раза.
Продажи иностранных моделей, по оценке АСМ-холдинга, составят в 2010 году всего 50 тыс. шт. (2009 год - 43,8 тыс. шт.), рост на 14,2%, в том числе производимые в России 10 тыс. шт. (2009 год - 7,35 тыс. шт.), рост на 36%. Импорт новых - 24 тыс. шт. (2009 год - 20,3 тыс. шт.), рост на 18,5% Импорт подержанных останется на уровне 2009 года (16 тыс. шт.).
|
|
| : . » ■;,.*,, |
250 200-
150
О - I 2000
2001
2002
2003
2004
2010 прогноз
Ш отечественные модели
■ производство иностранных моделей, в % к общему производству
Ш Иностранные модели
Рисунок 5. Диаграмма-график производства грузовых автомобилей в
России в 2000-2010 годах
| 30000 |
| 25000 4 |
| 20000 4 |
| 15000 4 |
| 10000 4 |
| 5000 4 |
январь февраль март апрель май июнь июль август сентябрь октябрь ноябрь декабрь
Рисунок 6. График ежемесячного производства грузовых автомобилей в
России в 2007-2009 гг.
Таблица 3 Производство грузовых автомобилей в России в 2000 - 2010 годах, тыс. ед.4
| 2000 |
2001 |
2002 |
2003 |
2004 |
2005 |
2006 |
2007 |
2008 |
2009 |
2010 прогн 03 |
|
| Производство -всего |
JZ4 !39 ! |
173,63 |
Г 194,55 |
202,36 |
207 |
248,74 |
290,46 |
256,71 |
91,09 |
100 |
|
| в том числе: |
|||||||||||
| отечественные модели |
187,11 |
174,28 |
173,56 |
193,65 |
201,83 |
204,06 |
239,74 |
273,46 |
238,28 |
83,99 |
90 |
| иностранные модели |
0,11 |
0,07 |
0,9 |
0,53 |
2,94 |
9 |
17 |
18,43 |
7,1 |
10 |
400 4-.. Импорт 350 4—подержанных иностранных |
| Импорт новых иностранных моделей I |
| Иностранные модели, произведенные в России |
| ..■"/Г' ■: '■■■■ I-.: |
| 2010 прогноз |
2002 2003 2004 2005 2006 2007 2008 2009
Рисунок 7. Диаграмма-график продаж грузовых автомобилей в России
в 2001 -2010 годах, тыс. ед.
Изд-во Камского политехнического института, 2009 |
4 Фасхиев Х.А., Костин И.М. Обеспечение конкурентоспособности грузовых автомобилей на этапе разработки. - Наб.Челны: Изд-во Камского пштитруннл^гпгп „и^.»-™
2008 год 2009 год 2010 год (прогноз)
Весь рынок- 430,33 тыс. ед. (100%) Весь рынок -119,83 тыс. ед. (100%) (- 72,1%) Весь рынок -130,0 тыс. ед. (100%) (+8,7%)
|
|
| Отечествен- . иые Иномарки / автомобили российской / 203,69 «"Р"» J |
| Отечественные автомобили |
Иномарки импортированные, подержан- —~~~
ные
62.99
14,6%
Иномарки импортированные, мшв
149,91
34,8%
Иномарки российской сборки -13,74
3,2%
Иномарки интернированные ПО-_ держанные
16,21
13,57,
Иномарки
импортере-
ванные новые
20,26
16,9%
Иномарки импортированные
подержанные 16,0 12,3%
Рисунок 8. Структура российского рынка грузовых автомобилей по
происхождению машин
Таблица 4 Продажи грузовых автомобилей в России в 2001 -2010 годах, тыс. ед.5
| 2001 |
2002 |
2003 |
2004 |
2005 |
2006 |
2007 |
2008 |
2009 |
2010 прогноз |
|
| Всего продаж |
176,76 |
180,73 |
212,96 |
217,31 |
223,72 |
299,11 |
382,4 |
430,33 |
119,83 |
130 |
| в том числе: |
||||||||||
| отечественные модели |
143,9 |
136,73 |
155,25 |
160,61 |
162,75 |
241,07 |
229,7 |
203,69 |
75,94 |
80 |
| иностранные модели |
32,86, |
44,00, |
57,71 |
56,7 |
60,97, |
58,04, |
152,7 |
226,64 |
43,89 |
50 |
| в том числе: |
||||||||||
| произведенные в России |
0,11 |
0,07 |
0,9 |
0,53 |
2,92 |
8,43 |
15,7 |
13,74 |
7,42 |
10 |
| импортные новые |
13,9 |
17,35 |
17,21 |
17,5 |
19,35 |
14,47 |
67 |
149,91 |
20,26 |
24 |
| импортные подержанные |
18,85 |
26,58 |
39,6 |
38,67 |
38,7 |
35,14 |
70 |
62,99 |
16,21 |
16 |
Говоря о производстве автобусов, можно сделать вывод, что снижение их выпуска началось еще в 2008 году, а в 2009 году снижение составило 1,9 раза, или на 46,6% (2009 год - 35,8 тыс. шт., 2008 год - 67,08 тыс. шт.). Производство микроавтобусов снизилось в 1,7 раз. Производство отечественных автобусов снизилось более чем в 2 раза, а иностранных моделей выросло на 4,6%.
Прогноз на 2010 год по производству автобусов - 39 тыс. шт., что составляет 10,5%, при этом отечественные модели вырастут на 10,5%, а иностранные
5
Греф Г.О. Основные параметры прогноза социально-экономического развития на 2010 - 2012 годы. -http://www.niisp.ru/News/ Events/art42
на 10,2%. Продажи автобусов составят в 2010 году 38,0 тыс. шт.: иностранных моделей -8,0 тыс. шт., в том числе собранных в России - 4,8 тыс. шт.
|
|
| 5,84 |
| 5,00 |
| 2000 |
| 2003 |
| 2001 2002 |
В Отечественные модели В Иностранные модели
* - производство иностранных моделей, в % к общему производству
Рисунок 9. Диаграмма-график производства автобусов в России
в 2000-2010 годах
| 10000 - |
| 8000 |
| 6000 |
| 4000 |
| 2000 |
12000 ■
январь февраль март апрель май июнь июль август сентябрь октябрь ноябрь декабрь
Рисунок 10. График ежемесячного производства автобусов в России
в 2007 - 2009 гг.
11
Таблица 5 Производство автобусов в России в 2000 - 2010 годах, тыс. ед.6
| 2000 |
2001 |
2002 |
2003 |
2004 |
2005 |
2006 |
2007 |
2008 |
2009 |
2010 прогноз |
|
| Автобусы -всего |
53,95 |
56,98 |
67,31 |
76,58 |
76,19 |
78,73 |
81,76 |
88,56 |
67,01 |
35,49 |
39 |
| из них микроавтобус |
40,74 |
41 |
51,5 |
59,39 |
57,24 |
57,48 |
57,72 |
58,43 |
44,01 |
24,16 |
26 |
| в том числе: |
|||||||||||
| отечественные модели |
53,95 |
56,98 |
67,28 |
76,49 |
75,84 |
78,35 |
81,26 |
82,72 |
62,61 |
30,7 |
34 |
| иностранные модели |
0,02 |
0,04 |
0,03 |
0,09 |
0,35 |
0,38 |
0,5 |
5,84 |
4,4 |
4,79 |
5 |
| Импортные утл одели \ |
| Иностранные модели, произведенные в России |
| 2002 |

100 90
2001
2003
2004
2005
2006
2007
2008
2009 2010
прогноз
Рисунок 11. Диаграмма-график продаж автобусов в России в 2001 - 2010 годах
2008 год 2009 год 2010 год (прогноз)
Весь рынок - 67,66 тыс. ед. (100%) Весь рынок - 36,72 тыс. ед. (100%) (- 45,7%) Весь рынок - 38,8 тыс. ед. (100%) (+5,7%)
| Иномарки импортированные, гтодерааи-ные 3,41 5,0% |

Иномарки импортированные подержанные 0,74 2,0%^--''
г
| Иномарки российской сбори Отечест- 5.6 венные 144% ^ автомобили 28,35 77,2% |
Иномарки импортиро- у ванные новые / 2,2 / 6,0% /
Иномарки
российской
сборки
| Отечественные автоиобия» 52,18 77,1% |
5.43
14,8%
Рисунок 12. Структура российского рынка автобусов по происхождению
машин
-2009 |
6 Кузнецов Ю.Д., Кобылковский Г.П. Планирование развития транспортной сети в экономическом районе. - М:
12
Таблица 6
| Продажи автобусов ] |
в России в 2001 - 2010 годах, тыс. ед |
||||||||||
| 2000 |
2001 |
2002 |
2003 |
2004 |
2005 |
2006 |
2007 |
2008 |
2009 |
2010 прогноз |
|
| Автобусы -всего |
53,95 |
56,98 |
67,31 |
76,58 |
76,19 |
78,73 |
81,76 |
88,56 |
~67Д)Г1 |
35,49 |
39 |
| из них микроавтобусы |
40,74 |
41 |
51,5 |
59,39 |
57,24 |
57,48 |
57,72 |
58,43 |
44,01 |
24,16 |
26 |
| в том числе: |
|||||||||||
| отечественные модели |
53,95 |
56,98 |
67,28 |
76,49 |
75,84 |
78,35 |
81,26 |
82,72 |
62,61 |
30,7 |
34 | |
| иностранные модели |
0,02 |
0,04 |
0,03 |
0,09 |
0,35 |
0,38 |
0,5 |
5,84 |
4,4 |
4,79 |
5 |
Цель развития автомобильной отрасли сформулирована следующим образом: Максимизация добавленной стоимости, созданной в России, по всем переделам цепочки создания добавочной стоимости, при достаточном выборе и качестве, поставив числовые цели - повысить долю с текущего уровня около 21% или 11.2 млрд. евро до уровня 48% или 50 млрд. евро в 2020. По мнению экспертов, достижение этой цели возможно только лишь при условии максимизации использования всего рыночного потенциала внутри страны и экспорта, с опорой на собственные положительные бренды.
8 марта 2010 года в России стартовала программа утилизации старых автомобилей. Она будет действовать в марте-октябре 2010 года. За неделю работы программы (стартовала 8 марта) российские дилеры приняли от граждан более 7 тыс. заявок на продажу новых машин в обмен на сдаваемые на утилизацию. Для того, чтобы получить утилизационную скидку (ваучер на 50 тыс. рублей) при покупке новой машины отечественного производства, гражданин, владеющий более одного года автомобилем старше 10 лет массой не более 3,5 тонны, должен будет сдать его дилеру, принимающему участие в программе.
По данным Минпромторга, участвовать в программе решились 1,569 тыс. дилеров из 74 регионов страны и 153 организации, занимающиеся утилизацией в 49 регионах. Государство выделило на реализацию программы 11 млрд ру-
7
Баршев В., Велетминский И. Автоспор. // «Российская Газета» №104(3773) от 19.05.2010
13
блей и рассчитывает на то, что в ее рамках будет продано около 200 тыс. автомобилей.
По данным на конец апреля 2010 года более 400 новых автомобилей уже продано гражданам в рамках программы утилизации подержанных машин. Из общего количества поданных заявок на покупку автомобиля по программе утилизации 58% — это заявки на автомобили производства ОАО «АвтоВАЗ». Из иномарок лидирует Chevrolet (вместе с «Шеви Нивой»), Renault, Opel, SsangYong и Ford. На данный момент к программе по утилизации подержанных автомобилей и выдаче сертификатов на покупку новых автомобилей отечественного производства подключились более 300 дилеров в 100 городах России. Одной из самых острых проблем российского авторынка остается средний возраст эксплуатируемых автомобилей — около 50% парка старше 10 лет. ««Пилотный проект» позволит, с одной стороны, поддержать производителя, а с другой — стимулировать обновление автопарка.
Чтобы преодолеть последствия кризиса мировому автопрому потребуется более семи лет. Именно столько времени должно пройти, чтобы продажи автомобилей в мире вернулись к уровню 2007 года. Однако ситуация ухудшается из-за нестабильности на рынке кредитов и неустойчивости валют.
14
2. РОЛЬ ГОСУДАРСТВА В РАЗВИТИИ АВТОМОБИЛЬНОЙ ПРОМЫШЛЕННОСТИ РОССИИ
Основная проблема, без решения которой не может быть ни стабилизации экономики, ни всего остального, это увеличение производства нужных обществу товаров. С ней в автомобильной промышленности сейчас переплелась и другая: сохранить (точнее, спасти от разрушения) производство как самой отрасли, так и имеющееся у поставщиков комплектующих и материалов, в том числе подшипников. Другими словами, проблема сохранения пока еще не распавшихся, но уже ослабленных коллективов, научной и инженерной инфраструктуры, без которых восстановление (а в последующем - и развитие) отрасли растянется на многие годы.
К сожалению, в ближайшие годы восстановление, а затем и рост объемов производства будут идти не за счет инновационных усилий и других радикальных капиталоемких мер, необходимость которых бесспорна, а главным образом за счет возможностей самой отрасли. Появляются и надежды на то, что правительство все-таки сделает шаги, направленные не на окончательное удушение, а на возрождение и развитие промышленности, прежде всего ее основы - машиностроения. В пользу этого говорит многое: и общественный настрой, и отрезвление ведущих экономистов, постепенно становящихся на позиции здравомыслия, да и хотя бы то, что "дальше ехать некуда". Если же этого не будет, машиностроение, в том числе такая его высокотехничная отрасль, как автомобильная, обладающая, несмотря ни на что, все еще достаточно мощным потенциалом, зачахнет вместе со всеми своими многоотраслевыми кооперантами.
Основная проблема российской автомобильной промышленности - низкая конкурентоспособность продукции. Признаками этого являются: устаревший модельный ряд многих производителей, невыгодное соотношение цена/качество, меньшая прибыльность производства по сравнению с зарубежными конкурентами и значительная доля импортной продукции на российском авторынке. Для повышения конкурентоспособности российского автопрома необхо-
15
дима его модернизация. Вследствие значительного увеличения доли импортной автомобильной продукции, радикальная модернизация отрасли силами самих российских производителей невозможна. Необходимо государственное участие в этом процессе. Возможны следующие направления деятельности государства:8
-Ускоренная либерализация автомобильного рынка, направленная на ужесточение конкуренции с зарубежными производителями, в ходе которой на рынке останутся только конкурентоспособные производства. Действия государства: упрощение условий доступа иностранных производителей на российский рынок, отказ государства от протекционистской экономической политики. Основные риски: сокращение производства в автомобильной отрасли и смежных отраслях, потеря рабочих мест на российских предприятиях;
-Активное государственное регулирование автомобильной промышленности, направленное на ее модернизацию. Действия государства: стимулирование инноваций в автопроме, развитие производства и поддержка сбыта продукции в стране и за рубежом. Основные риски: возникновение дополнительных расходов бюджета, эффективность которых не известна заранее. С точки зрения развития российской экономики более выигрышной представляется стратегия модернизации автопрома через активное государственное регулирование. Для преодоления рисков, связанных с этой стратегией, необходима тщательная проработка совокупности мероприятий, направленных на модернизацию автомобильной промышленности.
Мировой опыт государственного участия, направленного на развитие автомобильного производства внутри страны, заключается в поддержке иннова-ционности автомобильной промышленности (стимулирование разработок новой продукции и применения новых технологий производства). Кроме этого, государство принимает активное участие в создании основных фондов автомобильного производства, таких как подготовка квалифицированных кадров,
8
Стратегия развития автомобильной промышленности Российской Федерации на период до 2020 года. // Российская газета - Экономика Северо-Запада №5179 от 12 мая 2010 г.
16
предоставление информации о зарубежных рынках, и т.д. За рубежом с этой целью используются налоговые и таможенные стимулы, а также методы ЧГП (частно-государственного партнерства), заключающиеся в разделении ряда затрат между бизнесом и государством.
Поддержка НИОКР и инвестиций. Концепция развития автомобильной промышленности предусматривает стимулирование НИОКР и инвестиций с помощью программы развития дизелестроения, налоговых стимулов и создания свободных экономических зон. В 2002-2004 гг. в России была начата реализация программы развития дизелестроения, введены некоторые налоговые стимулы для инвесторов. Тем не менее, существующие налоговые стимулы по НИОКР и инвестициям не достигают уровня зарубежных стран, вследствие чего недостаточны для проведения масштабной модернизации производства. Заявленная в «Плане приоритетных задач по развитию автомобилестроения в РФ», программа развития дизелестроения не была принята из-за отсутствия согласования с Минфином РФ.
-Техническое регулирование. Согласно Концепции развития автопрома России, к 2005 г. предполагалось введение экологических стандартов Евро-2,3, разработка технических регламентов. В 2002-2004 гг. была принята «Программа разработки технических регламентов», начато внедрение современных экологических стандартов в производство. Несмотря на это, ряд технических регламентов все еще находится в состоянии разработки, переход к экологическим стандартам Евро-2 и Евро-3 не осуществлен.
—Подготовка кадров. При реализации Концепции развития автопрома была начата работа по обеспечению автомобильной промышленности квалифицированными кадрами. В 2002-2004 гг., согласно «Плану приоритетных задач по реализации Концепции развития автопрома РФ», проводилась работа по изучению потребностей рынка в кадрах. Нехватка квалифицированных кадров (рабочих, инженерных и управленческих специальностей), имеющих современный уровень подготовки, сохраняется до сих пор. Программы и техническая база подготовки специалистов нуждаются в совершенствовании.
17
Совершенствованию поддержки производства в автомобильной промышленности России возможно осуществить следующими методами:9
1. Стимулирование НИОКР и инвестиций с помощью налогового и тамо
женного стимулирования (установление налоговых стимулов по НИОКР и ин
вестициям в основной капитал, отмена таможенных пошлин на оборудование
для автомобильной промышленности), с помощью частно-государственного
финансирования НИР и инвестиций (разработка и осуществление программы
развития дизелестроения, модернизации производственных мощностей за счет
государства и частных инвесторов).
2. Содействие обеспечению производителей квалифицированными кадра
ми. Для этого необходима разработка новых учебных планов по профильным
специальностям, соответствующих современным технологиям производства,
оснащение учебных заведений соответствующим оборудованием и материала
ми, организация зарубежных стажировок для инженерного и управленческого
персонала. Целесообразным является использование механизмов ЧГП для под
готовки и повышения квалификации персонала, а также обеспечения учебных
центров необходимым оборудованием.
3. Развитие режима промышленной сборки как одного из основных
направлений импортозамещения. В рамках этого режима необходимо стимули
рование трансфера передовых технологий, а также развитие производства авто
компонентов в России (в том числе путем повышения локализации затрат для
сборочных производств в рамках режима промышленной сборки). Опыт зару
бежных стран по развитию сборки иномарок свидетельствует о том, что высо
кий уровень локализации затрат и другие ограничения, накладываемые на ино
странных производителей, не являются препятствием для сотрудничества ино
странных и отечественных компаний, если предоставляемые тарифные, налого
вые и иные стимулы повышают доходность сборочных производств. По стати
стике, из 74 известных случаев применения ограничений по локализации, экс
порту и инвестициям для автомобильной промышленности только в 4 случаях
9
Стратегия развития автомобильной промышленности Российской Федерации на период до 2020 года. // Российская газета - Экономика Северо-Запада №5179 от 12 мая 2010 г.
18
поставленные требования оказались слишком высокими и привели к перемещению производства за пределы стран. В большинстве случаев наблюдалась интеграция отечественных и иностранных производителей, позволявшая привлечь дополнительные инвестиционные ресурсы для развития национального авто-прома и заимствовать результаты НИОКР.
4. Отдельным подходом государственного участия, направленным на сохранения и развитие национальной автомобильной отрасли, возможно выделить формирование национальных автопромышленных кластеров.10 Правительства развивающихся стран в последние 10-15 лет прилагали усилия по созданию/сохранению собственной автомобильной промышленности, традиционно требующей больших инвестиций и внедрения новых технологий. В условиях бескомпромиссной международной конкуренции в автомобилестроении создание национальных автомобильных кластеров - один из лучших способов развития автомобильных индустрии в развивающихся странах.
Рекомендации по стимулированию спроса на продукцию российской автомобильной промышленности могут быть следующими:
-Совершенствование технического регулирования российского рынка -разработка и применение норм, постепенно ограничивающих поступление подержанных иномарок, и автомобилей, не соответствующих принятым экологическим нормам и стандартам безопасности, на российский рынок;
-Внедрение механизмов ЧГП при осуществлении финансовой и информационной поддержки экспорта. Необходимо ввести ответственность государственных органов за результативность проводимых программ.
10
Кластер - обусловленное географически сообщество людей, имеющих схожие экономические интересы, и это особенно актуально для автомобильной промышленности.
1 Q
ЗАКЛЮЧЕНИЕ
Российская автомобильная промышленность представлена предприятиями во всех сегментах автомобилестроения: производство легковых автомобилей, легких коммерческих автомобилей, грузовых автомобилей и автобусов, прицепного состава, специальной и военной автомобильной техники, автомобильных компонентов (двигателей, трансмиссий, ходовых частей, автотракторного электрооборудования и автомобильной электроники и др.), автомобильных материалов, а также научно-исследовательскими и проектно-конструк-торскими организациями. Всего в отрасли действует около 400 предприятий и организаций.
В настоящий момент автомобильная промышленность Российской Федерации создает порядка 1% ВВП, обеспечивая около 400 тыс. рабочих мест непосредственно в компаниях-производителях автомобилей и комплектующих. Кроме того, отрасль создает около 1 000 000 рабочих мест в зависимых и дилерских компаниях.
Производство автомобильной техники осуществляется в тесной кооперации с предприятиями электротехнической, металлургической, химической, электронной, легкой и других отраслей промышленности. Благодаря мультипликативному эффекту автомобилестроение обеспечивает в смежных отраслях дополнительную занятость в экономике страны около 4,5 млн. человек.
Российская автомобильная промышленность в период мирового экономического кризиса оказалась одной из наиболее «пострадавших» отраслей экономики.
Производство легковых автомобилей в 2009 году сократилось на 59,4% по сравнению с 2008 годом и составило 597 тыс. штук. Отечественных моделей легковых автомобилей в 2009 г. изготовлено 316,9 тыс. шт. (36,1% объема 2008 г.) или 53,1% общего объема производства легковых автомобилей. Выпуск автомобилей иностранных брендов составил 280,1 тыс. шт. (47,3% объема 2008 года) или 46,9% общего объема производства легковых автомобилей, в том чис-
20
ле предприятиями, работающими в режиме «промышленной сборки» - 192,2 тыс. шт. (51,1% объема 2008 г.).
Общий объем отгруженной в 2009 году продукции легкового автомобилестроения составил 227,0 млрд. руб. (59,2% объема 2008 г.)
Производство грузовых автомобилей в 2009 году составило 91,4 тыс.шт. (35,7% объема 2008 г.). Грузовых автомобилей иностранных моделей в 2009 г. изготовлено 7,4 тыс. шт. (40,6% объема 2008 г.), что составляет 8,1% общего производства грузовых автомобилей. Общий объем отгруженной в 2009 году продукции грузового автомобилестроения составил 79,6 млрд. руб. (49,8 % объема 2008 г.)
Автобусов в 2009 г. изготовлено 35,5 тыс. шт. (на 46,3% меньше, чем за 2008 г.), при этом изготовлено 4,5 тыс.шт. автобусов иностранных марок (104,5% к 2008 г.) или 12,7% общего объема производства автобусов. Общий объем отгруженной в 2009 году продукции по автобусам составил 12,6 млрд. руб. (56,6 % объема 2008 г.)
Общий объем отгрузки продукции собственного производства по предприятиям автомобилестроения (включая производство автомобильных двигателей и компонентов) составил в 2009 году 489,5 млрд. руб. (56,% объема 2008 года), в том числе предприятиями, находящимися исключительно в российской собственности 226,5 млрд. руб. или 46% общего объема отгруженной 2009 г. продукции.
В январе-октябре 2009 года сальдированный финансовый результат по отрасли составил минус 60,8 млрд. руб. (в отличие от суммарной прибыли за аналогичный период 2008 г. - 19,9 млрд. руб.), в том числе:
-по производству автомобилей - минус 57057,8 млн. руб. (легковых автомобилей - минус 40559,7 млн. руб., грузовых автомобилей - минус 11843,1 млн. руб., автобусов - минус 251,1 млн. руб.);
-по производству двигателей внутреннего сгорания для автомобилей — минус 3033,3 млн. руб.
2!
-по производству частей и принадлежностей автомобилей и их двигателей - минус 3999,9 млн. руб.
При этом в налоговую систему России за период январь-октябрь 2009 от предприятий автомобилестроения поступило более 39,8 млрд. руб. налогов и сборов (включая единый социальный налог и платежи во внебюджетные фонды) что составляет около 3% общей суммы поступлений по обрабатывающим отраслям промышленности.
Потребности внутреннего рынка автотранспортных средств в 2009 г. были удовлетворены за счет внутреннего производства (отечественных и локализованных иностранных автопроизводителей) по легковым автомобилям на 53,7 % (41% в 2008 г.), по грузовым автомобилям - на 69,6% (50,6% в 2008 г.), по автобусам - на 92 % (86,3% 2008 года).
Прогнозируя рост автомобильного рынка и изменение предпочтений потребителей, в Российской Федерации с 2005 года для привлечения инвестиций иностранных автопроизводителей был введен режим «промышленной сборки», предусматривающий поэтапную локализацию производства автомобильной техники и компонентов на территории России. В результате часть прямого импорта автомобильной техники была замещена продукцией, произведенной в Российской Федерации.
Однако приход ведущих иностранных автопроизводителей, ввиду малого объема требуемых по законодательству минимальных производственных мощностей (25 тыс. автомобилей в год), не сформировал предпосылок для создания экономически оправданных современных производств автокомпонентной отрасли.
Результаты государственной политики по привлечению иностранных инвестиций в автомобильную промышленность, положительные, в первую очередь, для конечных потребителей, оказались недостаточными для её полноценного развития. В связи с чем, Правительственной комиссией по повышению устойчивости развития российской экономики 10 ноября 2009 г. было принято
решение о разработке программы развития автомобильной промышленности России на период до 2020 года.
Стратегия предназначена:
-для определения приоритетных направлений развития автомобильной промышленности Российской Федерации на среднесрочную и долгосрочную перспективу и путей их реализации;
-для обеспечения на основе государственно-частного партнерства согласованности действий органов государственной власти различных уровней и бизнеса по ключевым направлениям развития отрасли в среднесрочной и долгосрочной перспективе;
-для определения перспективных направлений по разработке и корректировке законодательной и нормативной правовой базы развития автомобильной промышленности;
-для принятия решений на государственном уровне по разработке и реализации целевых программ и проектов развития автомобильной промышленности.
23
список использованной литературы
1 .Автомобильный рынок России. Обзор отрасли. // Данные Росстат, МЭР
2.Баршев В., Велетминский И. Автоспор. // «Российская Газета» №104(3773) от 19.05.2010
З.Воронин В.В. «Экономическая география РФ», Самара,2009
4.Греф Г.О. Основные параметры прогноза социально-экономического развития на 2010 - 2012 годы. - http://www.niisp.ru/News/ Events/art42
5.Кузнецов Ю.Д., Кобылковский Г.П. Планирование развития транспортной сети в экономическом районе. - М: - 2009
6.Обзор работы российской автомобильной промышленности за 2000-2009 годы и прогноз дальнейшего развития. // Редакция i-Mash.ru по материалам ОАО «АСМ-холдинг»
7.Пашков В.И. Автомобильная промышленность России в 2009 г. // «Автомобильная промышленность» - 2010, № 3
8.Стратегия развития автомобильной промышленности Российской Федерации на период до 2020 года. // Российская газета - Экономика Северо-Запада №5179 от 12 мая 2010 г.
9.Фасхиев Х.А., Костин И.М. Обеспечение конкурентоспособности грузовых автомобилей на этапе разработки. - Наб.Челны: Изд-во Камского политехнического института, 2009
Ю.Хмелев М. Российские автозаводы проиграли иномаркам. // «Известия» №77 от 12.05.2010
24






