| Скачать .docx |
Реферат: География мирового хозяйства
УЧЕБНОЕ ПОСОБИЕ ДЛЯ ВУЗОВ
Ю.Г.ЛИПЕЦ
В.А.ПУЛЯРКИН
С.Б.ШЛИХТЕР
ГЕОГРАФИЯ МИРОВОГО ХОЗЯЙСТВА
Рекомендовано Министерством общего и профессионального образования Российской Федерации в качестве учебного пособия для студентов педагогических вузов
Москва
![]()
1999
ББК 65.04
Л61
Рецензенты:
академик Российской академии образования В.П. Максаковский,
доктор географических наук, профессор Н.С. Мироненко.
Л61
Липец Ю.Г., Пуляркин В.А., Шлихтер С.Б.
География мирового хозяйства: Учеб. пособие для студентов. — М.: Гуманит. изд. центр ВЛАДОС, 1999. — 400 с.: ил.
ISBN 5-691-00152-3.
Учебное пособие написано в соответствии с новейшими взглядами на географию мирового хозяйства как интегральную дисциплину, сочетающую предметный и пространственный подходы к мировой экономике, ее территориальной структуре и функционированию. В нем последовательно изложены вопросы формирования глобальной экономической системы, классические теории размещения производства в рыночной экономике, основы территориальной организации мирового сельского хозяйства, промышленности, транспорта, мировой торговли и сферы услуг.
Пособие предназначено для студентов, географов, экономистов.
ББК 65.04
© Липец Ю.Г., Пуляркин В.А., Шлихтер С.Б., 1999.
© «Гуманитарный издательский центр ВЛАДОС», 1999.
География мирового хозяйства долгое время оставалась сугубо вспомогательной дисциплиной в кругу общественно-географических наук, где ведущее место сначала занимала общая экономическая география, а затем география населения и городов. Немногочисленные книги и справочники по географии мирового хозяйства содержали чисто описательные материалы по размещению его основных отраслей в странах, регионах и по миру в целом. Принятое у нас в стране в советское время разделение планеты на два главных лагеря неумолимо привело в конечном итоге к сужению сферы исследований до рамок мирового капиталистического рынка. Даже в тех отраслях, где доля социалистического лагеря была весомой, фактически анализировались лишь данные по развитым капиталистическим и развивающимся странам.
Кроме идеологических причин для подобного ограничения рамок географии мирового хозяйства были и объективные основания. Во-первых, большинство сведений по размещению и объемам производства в социалистических государствах, особенно в СССР, были недоступны для открытой печати. Засекречивание началось в 30-х гг. со стратегических отраслей — цветной металлургии, многих видов машиностроения и химии, а потом закрытость охватила практически все подразделения экономики, включая аграрный сектор. Во-вторых, в те же годы в Советском Союзе, а позднее и в других странах социализма сложились собственные системы цен, национальных счетов, расчетов национального богатства.
Система цен покоилась на низком уровне оплаты труда и соответственно низких ценах на базовые потребительские товары и услуги, а также на большой роли общественных фондов потребления. В расчетах валового национального продукта (ВНП) проводилось разграничение на «производственную» и «непроизводственную» сферы. При этом согласно теоретическим взглядам Д. Рикардо и К. Маркса при оценке ВНП следовало учитывать только производственную сферу, а при исчислении национального богатства неправомерно в него включать стоимость земельных ресурсов и т.п. Не вдаваясь в существо политэкономических дискуссий на подобные темы, отметим явную несопоставимость основных расчетов для капиталистических стран, с одной стороны, и социалистических, с другой, иначе — для государств соответственно с рыночной и центрально-планируемой экономикой. Многолетние работы статистических служб ООН и различных иных международных и национальных организаций, в частности ЦСУ СССР и Института мировой экономики и международных отношений АН СССР, не смогли, на наш взгляд, преодолеть эти два кардинальных момента.
С принципиальными различиями в системах ценообразования связаны и столь же глубокие расхождения в определении курса национальных валют. Они в социалистических странах не были конвертируемы, и в расчетах торгового оборота между последними использовался «переводной» рубль, а курс по отношению к валютам развитых капиталистических стран имел чисто служебное, формальное значение. Не случаен парадокс, когда после введения внутренней конвертируемости рубля оказалось, что стоимость экспорта Российской Федерации превышает оценки ее ВНП в целом.
Зыбкость стоимостных исчислений повышает роль гораздо более устойчивых параметров мирового хозяйства — его территориально-отраслевых структур. Детальная характеристика этих структур, прежде всего основных — сельского хозяйства, промышленности, транспорта и сферы услуг, — составляет главное содержание настоящего учебного пособия. Этим в определенной степени отдана дань давно сложившейся географической традиции и обеспечена связь проведенного исследования с другими, более продвинутыми в научном плане дисциплинами общественно-географического цикла.
Указанным характеристикам предпослан большой раздел, в котором предпринята авторская попытка выявить отличительные черты мирового хозяйства как глобальной географической системы. С использованием современного аппарата системного анализа рассмотрены важнейшие концепции, направленные на поиск закономерностей локализации хозяйственных явлений и объектов на разных территориальных уровнях, такие как теория сравнительных преимуществ в международном разделении труда; минимизация издержек при размещении производства, населения и сектора обслуживания; распространение нововведений в географическом пространстве. Все эти теоретические построения имеют дедуктивную основу и математическое выражение, что ставит их в один ряд с научными концепциями в других дисциплинах.
Обширный блок, посвященный сельскому хозяйству, кардинально отличается по своему содержанию от стандартных описаний, будучи ориентирован на структурно-проблемный подход к отрасли, сохраняющей свое ведущее положение в большинстве стран мира. При этом особо выделена историко-географическая тематика, поскольку в течение многих столетий именно аграрная деятельность определяла хозяйственный лик планеты. Тем самым оказалось возможным без существенных потерь отказаться от самостоятельного историко-географического очерка, что утяжелило бы всю работу и избыточно расширило бы ее рамки.
Повышенное внимание в учебном пособии уделено транспорту и сфере услуг, что обусловлено сложными и противоречивыми тенденциями постиндустриального развития. Проследить эти пока слабо осмысленные в географии тенденции представляется актуальным и важным делом, ибо они ведут к решительным изменениям во многих основополагающих областях жизни общества. Они одновременно самым непосредственным образом воздействуют на экономическую карту мира, позволив многим еще недавно отсталым в хозяйственном отношении странам войти в число передовых.
Наиболее традиционным остался раздел, посвященный промышленности, материал которого сгруппирован общепринятым способом — по ведущим отраслям индустриального производства.
Из круга глобальных проблем, остро стоящих перед человечеством, выделены две — продовольственная и экологическая, требующие ответной реакции со стороны мирового хозяйства.
В основу учебного пособия положены результаты многолетних теоретических и эмпирических изысканий по географии отраслей мирового хозяйства, а также страноведческих исследований, тоже в течение долгих лет проводившихся в лаборатории географии мирового хозяйства и страноведения Института географии РАН. Авторы учитывали, что культурологическая и мировоззренческая функции географии и географических знаний обычно из работ, обнимающих конкретную действительность в ее разнообразии, либо полностью вытесняли теоретические построения, либо оставляли их на роли отдельных положений, не связанных в единое целое. При этом неизбежно ослаблялись позиции географии как фундаментальной науки, а огромный фактологический материал по отдельным странам, районам, отраслям не вскрывал многие внутренние связи и не помогал осознать закономерности развития. В книге сделана попытка преодолеть эти недостатки. Базовые знания, аккумулируемые географией мирового хозяйства как наукой, приобретают особую злободневность в контексте рыночных реформ, проводимых в России, и обусловленной ими концептуальной и практической значимостью осмысления современных глобальных экономических процессов.
Введение. Мировое хозяйство — глобальная географическая система
Стандартное определение мирового хозяйства как совокупности национальных хозяйств, участвующих в международном разделении труда и связанных международными соглашениями, несет слишком узкую нагрузку и не учитывает даже в малой мере роль пространства и пространственной иерархии в формировании и функционировании мирового хозяйства.
Несомненно, национальные хозяйственные комплексы служат в зависимости от их удельного веса важными подсистемами мирохозяйственной системы. Однако при ее изучении следует учитывать всю совокупность элементов, которые могут включать любую отрасль или вид деятельности, любое предприятие или учреждение, играющее свою роль в международном разделении труда. Каждая хозяйственная единица — ферма, промышленное предприятие, транспортная фирма, банк — могут обслуживать небольшой ареал внутри своей страны, иметь региональное или общенациональное значение, участвовать в мировой торговле. При этом не наблюдается строгой зависимости ни от размера, ни от функций данного предприятия или учреждения. Конечно, большая часть оборота мировых рынков принадлежит крупным объединениям; однако эта закономерность уже не обуславливает непременно крупные масштабы самих производств или услуг. Это зависит от типа отрасли и характера поставляемой продукции и услуг.
Поэтому в условиях современной глобализации хозяйственной деятельности мировое хозяйство вовлекает в свою орбиту практические все виды экономической деятельности, оказывая на них прямое или косвенное воздействие. При динамизме рыночных зон сбыта трудно провести жесткую устойчивую границу между фирмами, компаниями, предприятиями, участвующими в международном обмене или замыкающими свою деятельность на внутреннем рынке.
В итоге верхние этажи пространственной иерархии занимают территориальные и отраслевые подсистемы мирового хозяйства — интеграционные объединения, национальные хозяйственные комплексы, отраслевые и межотраслевые транснациональные корпорации (ТНК). Более условно к подсистемам можно отнести важнейшие сферы деятельности — первичные, вторичные, третичные, четвертичные и отдельные отрасли и виды деятельности.
К первичным, по традиции, относят отрасли сельского хозяйства, рыболовный промысел, лесное хозяйство, горнодобывающую промышленность. Ко вторичным — все отрасли перерабатывающей промышленности. К третичным — транспорт и сферу услуг. К четвертичным — новейшие виды информационной деятельности, включающие сбор, переработку и использование информации в управлении, банковско-финансовой сфере, маркетинге и консалтиновых услугах и т.п. К этой сфере теперь относят и большую часть НИОКР — научных исследований и опытно-конструкторских разработок, обуславливающих внедрение высоких технологий и наукоемких производств в остальные сферы деятельности.
Важнейшую системообразующую роль в мировом хозяйстве играют три типа пространств — географическое, экономическое и информационное, в рамках которых функционируют подсистемы, обеспечивающие само существование мировой экономики.
В географическом пространстве — это современные виды транспорта и связи, без которых не может ныне функционировать ни один центр экономической деятельности. В мире налажено взаимодействие международных, национальных и локальных видов железнодорожного, автомобильного, речного, морского и авиационного транспорта, трубопроводов и ЛЭП, всех видов связи. С помощью спутников связи и новейших кабелей стала возможна немедленная связь практически любого места на земном шаре с любым другим. Грузовой и пассажирский транспорт также могут обеспечить перевозку различных грузов и людей практически в любое место — все зависит только от соизмерения затрат и результатов. Организационные формы, образующие глобальную подсистему транспорта и связи, — это авиакомпании, судовладельческие фирмы, железнодорожные компании, системы связи и т.п., чья деятельность регулируется совокупностью международных соглашений.
В экономическом пространстве системообразующую роль играют мировые финансовые институты, среди которых ведущее место занимают Мировой Банк, Международный Валютный Фонд (МВФ), Генеральное соглашение по тарифам и торговле (ГАТТ), ныне преобразуемое в Международную организацию по торговле (ВТО), а также центральные банки США (Федеральная резервная система), Великобритании, Франции, ФРГ, Японии. Именно эти организации и банки обеспечивали финансовые расчеты в мировом хозяйстве и устойчивость основной валюты, базовой для международных расчетов после отмены «золотого стандарта», — доллара США, фунта стерлингов и франка, к которым привязаны ограниченно конвертируемые валюты многих стран Содружества наций и Французского Союза, а также немецкой марки и иены. С началом XXI в. такую же роль может успешно сыграть «евро» — единая валюта Европейского Союза. Особую стабилизирующую роль в мировой финансовой системе играют консорциум банков Швейцарии, ввиду ее традиционной роли «всемирного сейфа», и крупнейшие страховые компании мира типа британского «Ллойда».
Столь же серьезную, по мнению ряда исследователей, ведущую роль играет информационное пространство глобальной экономической системы — системы ценностей, стереотипы поведения, идеи и другие аспекты духовной жизни человечества. Все они достаточно подробно изучены в философии, социологии, психологии, культурологии, однако подлинно системный взгляд на их роль в мировом развитии и функционировании территориально-отраслевой структуры мирового хозяйства требует гораздо большего внимания.
Интегрирующую роль в информационном пространстве мирового хозяйства сыграли прежде всего стереотипы потребительского общества. Уже в период формирования индустриального общества, массового производства и «государства всеобщего благосостояния» (по Гэлбрейту) шло активное формирование этих стереотипов, которые, начиная с «престижности потребления», стимулировали бурный рост производства и расширение рынков на все виды товаров, особенно товары длительного пользования.
В дальнейшем уровни и структуры потребления средних слоев в экономически развитых странах стали приоритетными целями жизни широких слоев населения в большинстве стран мира. Это было во многом обусловлено «демонстрационным эффектом», впервые описанным в конце 1940-х гг. американским экономистом Дж. Дьюзенберри. Повсеместное распространение сначала голливудских картин, а затем телевизионных сериалов и другой рекламной продукции средствами массовой информации во многом способствовало внедрению и развитию этих потребительских приоритетов.
Системная закономерность обратной связи в цепочке «спрос-предложение» определила роль информационного пространства в росте производства и развитии мировых рынков множества потребительских товаров, а в силу межотраслевых связей дала сильный импульс развитию всех отраслей мирового хозяйства. Более того, постоянное поддержание напряженности этого поля, прежде всего за счет дорогостоящих рекламных компаний любого вида, служит тем условием, или «допингом», без которого уже не мыслится любой вид деятельности в мировом хозяйстве. Самое существенное — это явная недостижимость «престижных уровней потребления» для большинства человечества. Это обусловлено сложной совокупностью экономических, социальных, экологических, политических факторов. Однако сложившиеся стереотипы потребительского общества поддерживают функционирование мирового хозяйства более постоянно и в большем объеме, чем такие ранее ведущие цели, как военные и другие государственные нужды.
Итак, взаимосвязанные экономическими интересами элементы и подсистемы, сети всех видов и потоки обусловили территориально-отраслевую структуру и режим повседневного функционирования мирового хозяйства. Сверхсложность системы, высокая доля неопределенности ставит принципиальные преграды на пути к прямому управлению мировым хозяйством. Поэтому стали необходимы многочисленные и разнообразные регулирующие механизмы, особенно в наиболее уязвимой финансово-валютной сфере. Тем не менее динамика мирового хозяйства во многом обусловлена историческими особенностями его формирования и внутренне присущими ему противоречиями и особенностями общей и пространственной самоорганизации.
Отдельные черты мирохозяйственных связей наблюдались еще во времена великих империй древности, современная система этих связей зародилась в эпоху Великих географических открытий, однако начало формирования современного мирового хозяйства непосредственно связано с первой промышленной революцией и переходом к крупному машинному производству, основанному на энергии каменного угля. Развитие товарного производства, усиление специализации стран и регионов обусловили постоянную необходимость в географическом разделении труда и международном обмене товарами и услугами.
Разная продолжительность отдельных периодов в использовании технических нововведений, колебания цен на внутренних и мировых рынках, меняющееся соотношение основных факторов производства — земли, труда и капитала — обусловили циклический характер развития мировой экономики и ее важнейших подсистем — национальных хозяйств и отраслевых структур. Дело не только в возможности разных интерпретаций содержательных причин циклических колебаний, но и в их общесистемном характере: цикличность обуславливает динамические характеристики и устойчивость систем любого типа в природе и обществе.
Циклы развития получили теоретическое и эмпирическое обоснование уже в XIX в., вскоре после первой промышленной революции. Одна из первых теорий циклических кризисов капитализма принадлежит К.Марксу, который считал их причиной сроки обновления основных фондов (оборудования) в промышленности. В дальнейшем кризисам перепроизводства, связанным с несовпадением временных характеристик совокупного предложения и спроса, была посвящена огромная литература.
Однако для определения долгосрочной динамики мирового хозяйства и положения различных стран на временной шкале развития наибольшее значение приобрела теория больших циклов — «длинных волн», впервые предложенная русским экономистом Н.Д. Кондратьевым в 1922—1928 гг. В дальнейшем эта теория получила большое развитие и теперь служит общепринятой основой сравнительных мирохозяйственных исследований.
Н.Д. Кондратьев считал «длинные волны» эндогенными, внутренне присущими рыночному, капиталистическому хозяйству, что ведет к его саморегулированию. Фазы подъема и спада рассматриваются как закономерные и предсказуемые стадии развития, к которым следует приспосабливаться и сглаживать их методами внешнего, как правило, государственного регулирования. Один из механизмов подобного регулирования с помощью ставок ссудного процента и ряда подобных мер был предложен в 30-х гг. Дж. Кейнсом главным образом для среднесрочных циклов экономической конъюнктуры после самого глубокого кризиса капиталистической экономики в 1929—1933 гг.
Материальной причиной «длинных волн», продолжительность которых достигает 40—50 лет, Н.Д. Кондратьев считал скачкообразную смену «основных капитальных благ». Ведущую роль в этой смене играет научно-технических прогресс, нарушающий экономическое равновесие в долгосрочной перспективе и ведущий к чередованию относительно спокойных, эволюционных и экстенсивных стадий и взрывных, революционных и интенсивных стадий развития мирового хозяйства.
Наступление революционных стадий обуславливается внедрением совокупности базовых нововведений, радикально меняющих энергетическую и техническую производственную базу, территориально-отраслевые структуры и организационные формы хозяйства. Основное отличие теории Н.Д. Кондратьева от гипотез других исследователей состоит в соотношении внутренних и внешних факторов, вызывающих начало новой «волны». НТП служит не внешним, а внутренним элементом циклической динамики, поскольку она определяется не столько самими открытиями и изобретениями, а их внедрением, востребованностью хозяйственной практикой.
Новая волна наступает тогда, когда экстенсивная фаза достигает максимума, что связано с моральным старением широко распространившихся технологий. Накопление капитала ведет к его относительному удешевлению, ссудный процент и норма прибыли падают до такой степени, что делают рентабельным рисковые инвестиции в новые технику и технологии. Начинается фаза подъема, связанная с огромными объемами нового строительства, вводом в строй новых предприятий и возникновением целых отраслей, появлением на рынках новых видов продукции и т.п. В высшей точке фазы подъема происходит исчерпание запасов дешевого капитала и базовых нововведений, что знаменует переход к фазе экстенсивного развития.
Существенно, что от подобного механизма, считал Н.Д.Кондратьев, зависят такие важные события в истории человечества, как войны, революции, вовлечение в мировое хозяйство новых территорий. Эти события Н.Д. Кондратьев связывал с фазами подъема своих волн, когда рост темпов экономического развития ведет к обострению конкуренции за источники сырья и рынки сбыта.
На основе теории Н.Д. Кондратьева и множества других работ по динамике мирового хозяйства стало общепризнанным выделение трех стадий — доиндустриального развития, индустриального развития, постиндустриального развития; трех — первой, второй, третьей промышленных революций и «длинных волн» — пяти циклов Кондратьева.
Для полноты описания стадию доиндустриального развития, когда господствует ремесленное производство и мануфактура, условно называют нулевым циклом.
В ходе первой и второй промышленных революций, совпавших с четырьмя «длинными волнами», ведущее место последовательно занимали:
в первом цикле — текстильная промышленность и ремесленное производство;
во втором цикле — добыча каменного угля и выплавка черных металлов, текстильная промышленность;
в третьем цикле, ознаменовавшем наступление второй промышленной революции, на ведущие роли вышли металлургия, основная химия, тяжелое машиностроение;
в четвертом цикле, завершившем вторую промышленную революцию, ведущие роли играли автомобилестроение, электротехника, органическая химия, различные отрасли машиностроения.
Все четыре первых цикла укладываются в рамки стадии индустриального развития.
Пятый цикл совпадает со стадией постиндустриального развития в наиболее развитых странах мира, что знаменует начало третьей промышленной революции. Ведущими отраслями стали электроника, лазерная техника, тонкая химия, биотехнология.
Датировка каждой стадии, промышленной революции и цикла Кондратьева носит достаточно нестрогий характер, хотя основные даты колеблются в сравнительно узких пределах. Принципиальное значение имеет нетрадиционный подход, связанный с учетом ускорения научно-технического прогресса. При этом подходе в наиболее развитых странах Западной Европы первый цикл продолжался с 1770—1830 гг., второй — 1830—1880 гг., третий — 1880— 1930 гг., четвертый — 1930—1970 гг., пятый цикл с 1970 г. до наших дней.
Для каждого из циклов характерны свои средние уровни душевого дохода (в неизменных ценах), ступени «технологической лестницы», организационные формы производства (см. табл. 1). Так, для нулевого цикла были характерны доходы 50—80 долл. (в ценах 1960 г.), ручной труд и мануфактура. Для первого цикла — 80— 200 долл., механизация, свободная конкуренция и частновладельческая фирма; для второго цикла — 200—700 долл., продолжение механизации производства, монополизм; для четвертого цикла — 2000—4000 долл., те же тенденции в производстве, рост государственно-монополистических объединений; для пятого цикла — 4000—20 000 долл., системная автоматизация, сочетание ТНК и малых фирм.
Таблица 1

1 См.: Грицай О.В., Иоффе Г.В., Трейвиш А.И. Центр и периферия в региональном развитии. — М., 1991. — С. 44.
Постепенно, в ходе острой конкурентной борьбы, подъемов и жестоких кризисов шло формирование национальных и международных систем товарных и фондовых бирж, без которых были бы невозможны ни организация мировой торговли в крупных масштабах, ни само функционирование системы акционерных обществ как основной формы организации экономической деятельности и привлечения капитала.
Общесистемные закономерности неравномерного развития и необходимого разнообразия нашли яркое подтверждение в асинхронности прохождения циклов Кондратьева в разных странах и регионах. В мирохозяйственном контексте эти общие положения давно стали объектом теоретических и эмпирических исследований, проводившихся в русле известного закона «неравномерности развития капитализма».
Так, для России—СССР датировки первых четырех циклов выражены периодами: 1830—1880; 1880—1930; 1930—1965; 1965—... При таком хронологическом порядке события, связанные с первой промышленной революцией, начались в России в 30-х гг. XIX в. Именно тогда началось широкое применение машин в хлопчатобумажном производстве, а в 1840 г. возник первый сахарный завод капиталистического типа. Стартовав на полвека позже Западной Европы, наша страна, несмотря на резкое ускорение развития в конце XIX—начале XX вв. и в 30-е гг. XX в., сохраняла свое отставание примерно на цикл. Серьезное автостроение, один из китов четвертного цикла практически было налажено с введением в строй ВАЗа в 1970 г., а многие отрасли третьего и четвертого циклов развиты еще явно недостаточно, особенно в сфере транспорта и услуг. Вместе с тем в СССР было создано много отдельных ареалов, где успешно развивались высокие технологии, характерные для пятого цикла.
В целом для отнесения страны или региона к той или иной стадии развития или циклу обычно применяется статистика отраслевой занятости населения. В самом наглядном виде — это соотношение занятости между первичным, вторичным и третичным (+четвертичным) сектором национального хозяйства. По мере развития неуклонно сокращалась занятость в первых двух секторах и росла в третичном и четвертичном. Например, доля первичного сектора — сельского хозяйства и добывающей промышленности в экономически развитых странах колеблется от 2 до 8%.
Подобное сокращение доли занятости в первичном секторе отнюдь не означает его ликвидацию в странах, вступивших в пятый цикл развития. Сельское хозяйство и добывающая промышленность этих стран и по объему производства, и по удельному весу на мировых рынках продовольствия и сырья играют важную роль. Дело здесь прежде всего во внедрении высоких, трудосберегающих технологий, средств защиты растений и высокоурожайных сортов, всего спектра достижений современной науки и технологии в сельском хозяйстве и добывающей промышленности, поэтому основная часть занятых, например, в аграрном секторе, приходится на другие отрасли «агробизнеса» — науку, консультационные услуги, хранение и обработку, маркетинг и т.п.
Аналогичные процессы привели к определенному сокращению удельного веса занятых и в обрабатывающей промышленности, хотя в этом секторе сохраняется важная роль производств и предыдущего цикла. Несмотря на перенос многих видов производства, особенно трудоемких, в страны новой индустриализации, наиболее развитые страны наряду с новейшими отраслями сохранили важнейшую отрасль четвертого цикла — массовое автомобилестроение, которое поддерживает своими заказами и многие другие отрасли национальной экономики. Наконец, постоянное место занимает строительная индустрия: именно по ее показателям, например, числу заказов и вводу в строй новых жилых, гражданских, промышленных, транспортных объектов, судят о текущем состоянии национальной экономики и фазе среднесрочного цикла экономического развития.
В целом в современном мировом хозяйстве сложилось три основных центра, прежде всего по уровню развития: США и Канада, страны Европейского Союза и Япония. Поскольку их роль обусловлена прежде всего развитием новейших наукоемких производств, непосредственно связанных с уровнем развития НИОКР и масштабами ТНК, то маловероятно появление большого числа новых стран, отвечающих критерию «постиндустриальности» не по уровню душевого дохода, а по таким характерным признакам, как роль НИОКР, доминирование наукоемких производств, информатизация всех сторон жизни и т.п.
При этом основной фактор достижения и сохранения статуса «постиндустриального общества» — высокий культурный и образовательный уровень населения и созданный на его основе мощный научно-технический и финансово-организационный потенциал, способный решать любые народнохозяйственные проблемы. Именно этот фактор в сочетании с культурными традициями и поведенческим стереотипам создает то локальное информационное поле, которое способствует жизнестойкости и высокой конкурентоспособности демократических государственных образований независимо от размеров экономического пространства, обилия природных ресурсов и численности населения.
НИОКР наиболее развитых стран во многом определяет динамику развития мирового хозяйства, а в организационном плане современное международное разделение труда во многом определяется системной совокупностью транснациональных корпораций, на долю которых в конце 1980-х гг. приходилось до 2/3 мирового внешнеторгового оборота, причем 1/3 составлял внутрифирменный оборот между филиалами ТНК, расположенными в большинстве стран современного мира.
Стадийный процесс становления современной мирохозяйственной системы происходил на фоне сохранения многоукладноси хозяйства и разностадийности развития стран мира. Многоукладность обусловлена разной степенью развития рыночных (товарных) отношений и вовлеченности в мировое хозяйство стран, регионов и видов деятельности. Так, в большинстве развивающихся стран основная доля продовольствия до сих пор производится в потребительских хозяйствах, товарность которых очень мала.
Очень важной чертой мирового хозяйства, получившей распространение во всех странах мира, стал неформальный сектор, который образовали самые различные виды деятельности, включая производство товаров, торговлю и другие услуги, которые ведутся вне официальных юридических и налоговых рамок экономической деятельности. В этот сектор входят и различные виды потребительского хозяйства, и многие виды коммунального хозяйства в крупных городах, особенно в развивающихся странах, и нецензовые промышленные и ремесленные производства.
Особую часть неформального сектора составляют производство и сбыт запрещенных законом товаров и услуг — наркобизнес, порнобизнес, незаконная торговля оружием, валютой, драгоценными металлами и т.п. Эти виды деятельности образуют «черный рынок», действующий, например, в наркобизнесе на глобальном уровне. В целом на неформальный сектор приходится, по некоторым оценкам, до 20% валового мирового продукта.
Итак, для современной глобальной географической системы мирового хозяйства характерна разностадийность: страны и регионы мира одновременно находятся во всех трех стадиях развития — постиндустриальной, индустриальной и доиндустриальной — и на разных участках траектории развития, определяемых пятью «длинными волнами» Кондратьева. Именно разностадийность во многом определяет общие черты пространственной самоорганизации мирового хозяйства и, в частности, наблюдаемые закономерности сдвига отраслей предыдущего цикла в менее развитые страны и регионы. Сам переход экономически более развитых стран в стадию постиндустриального развития стал бы практически невозможным без перемещения многих отраслей добывающей и обрабатывающей промышленности в страны и регионы новой и недавней индустриализации.
Таковы общие характеристики структуры, статики и динамики развития мирового хозяйства как глобальной географической системы.
Часть 1. ТЕОРЕТИЧЕСКИЕ ОСНОВЫ ГЕОГРАФИИ МИРОВОГО ХОЗЯЙСТВА
Становление современной системы мирового хозяйства и мирохозяйственных связей со времен первой промышленной революции сопровождалось острыми теоретическими спорами. В их основе лежали кардинальные расхождения взглядов на причины, порождающие международную торговлю, и на ее влияние на благосостояние государств и народов. Эти расхождения наиболее ярко выразили представители двух школ — меркантилисты, выступавшие за строгое ограничение доступа на национальный рынок иностранных товаров, и фритредеры — сторонники свободной торговли между странами.
В конце XVIII—начале XIX вв. любые виды обмена в мировой торговле были крайне затруднены: вся торговля была опутана множеством различных налогов и запретов, практически все виды экспорта и импорта строго регламентировались. Меркантилисты полностью оправдывали сложившуюся систему ограничений, прежде всего в отношении импорта товаров. Ввоз из-за границы считался вредным и опасным: вредным из-за вероятной утечки за границу денег (золота и серебра) при отрицательном балансе экспорта— импорта; опасным — из-за возможного прекращения ввоза ставших необходимыми товаров в случае военных действий. В любом случае импорт следует обложить высокими пошлинами, что защитит собственное производство, создаст новые рабочие места и увеличит доходы государства.
Первым подверг жесткой критике концепции меркантилистов А. Смит в «Исследовании о природе и причинах богатства народов» (1776), однако наиболее серьезный вклад в развитие школы «свободной торговли» внес Д. Рикардо в его «Началах политической экономики и налогового обложения» (1817). Его закон «сравнительных преимуществ» полностью сохранил свое теоретическое значение до наших дней и в модифицированном виде служит для объяснения современной структуры международной торговли.
В начале XIX в. начал свои многолетние исследования другой виднейший теоретик Й. фон Тюнен. Его труд «Изолированное государство» (1826—1846) был посвящен теории размещения сельскохозяйственного производства и связанным с ним проблемам расчета дифференциальной ренты на землю. Тюнен впервые ввел в анализ само экономическое пространство и представление о географическом положении как важнейшем элементе дифференциальной ренты и размещении отраслей аграрного производства. С тех пор исследовательская программа Тюнена стала одной из важнейших для теоретической географии и других географических дисциплин.
Следующий важный шаг был сделан в работе А.Вебера «Теория размещения промышленности» (1909). В ней были введены представления о важнейших факторах размещения производства, определяющих «штандорт» — оптимальное место расположения данного предприятия или их сочетаний. Специальному исследованию А.Вебер подверг издержки на сырье и топливо, рабочую силу и транспорт, определив их региональные штандортные факторы, чей учет необходим для всех отраслей. К ним добавлен еще один важный фактор — агломерация, который способствует экономии различных издержек за счет сосредоточения производств на относительно небольшой территории — крупном городе, урбанизированном ареале, метрополисе. Развитие теории Вебера непосредственно связано с анализом процессов концентрации и деконцентрации в размещении, в сдвигах в отраслевой структуре мирового хозяйства, перемещении целых отраслей в страны новой индустриализации и т.п. В целом, под веберианской, или факторной системой размещения мы понимаем любую территориальную структуру с ясно выраженной неравномерностью и высокой степенью концентрации данной отрасли или любого вида экономической деятельности.
В рамках географической науки сложилась противоположная веберианской система регулярного, относительно равномерного размещения видов деятельности в экономическом пространстве. Эта система непосредственно связана с теорией центральных мест В.Кристаллера и ее модификацией А.Лёшем. Их основные труды соответственно «Центральные места в Южной Германии» и «Географическое размещение хозяйства» разделяет всего 7 лет — 1933 г. и 1940 г.
В исходном варианте теории Кристаллера исследовалось размещение сферы обслуживания на однородной равнине с равномерно размещенным населением. С учетом ряда других условий было обосновано формирование правильной шестиугольной системы размещения с центрами разных рангов. А.Лёш показал возможности использования теории центральных мест для учета различий в зонах сбыта и агломерационных эффектов. В дальнейшем теория центральных мест нашла широкое применение не только для анализа размещения отдельных отраслей хозяйства, но и систем расселения в целом.
В эпоху научно-технической революции и перехода к постиндустриальному обществу постоянно растет роль нововведений во всех отраслях производства и сбыта. Поэтому одно из важнейших направлений в теории связано с пионерной работой шведского географа Т. Хагерстранда «Диффузия нововведений как пространственный процесс» (1953). С ней в теоретические и прикладные работы вошли понятия и модели, связанные с центрами нововведений и характером их распространения по территории, ролью информационного поля и вероятностных мер, контактов, эффектами соседства и барьеров. В дальнейшем теория Хагерстранда получила свое развитие в многочисленных работах по моделированию диффузии нововведений в сетях, иерархических средах и вероятностных пространствах.
Несмотря на различную направленность описанных теоретических построений, разное время их появления (от начала XIX до середины XX в.), разные научные школы, в которых возникли эти теории, — все они имеют одну общую и очень важную с общенаучной методологической точки зрения черту — дедуктивный подход. Как и в «строгих науках», построение теории начинается введением круга допущений и предположений, ее развитие связано с использованием «идеальных объектов», подобно идеальному газу в физике, а само изложение и выводы формулируются в математической форме. Для экономической географии, да и для чисто экономических дисциплин все это было признано далеко не всеми и далеко не сразу. Не случайно А.Вебер в своем предисловии к первому изданию «Теории размещения промышленности» писал: «Эта первая часть имеет пропедевтическое значение. Она содержит в себе теорию; мало этого — она не содержит в себе ничего, кроме «чистой» теории, т.е. теории, отвлекающейся от всякого сколько-нибудь конкретного построения действительности; и она трактует к тому же эту действительность математически, — двойное преступление, тяжко меня угнетающее».
Эти же слова можно отнести и к основному содержанию данного раздела учебника. Тем не менее изложенный ниже материал имеет не только пропедевтическое значение. Глобализация экономических связей и становление глобальной экономической системы привели к расширению сферы проявления закономерностей размещения всех видов деятельности далеко за пределы государственных границ. Теоретические положения о сравнительных преимуществах размещения производства, впервые изложенные Д.Рикардо, теории размещения сельского хозяйства И.Тюнена и промышленности А.Вебера, теория центральных мест В.Кристаллера и А.Лёша, теория диффузии нововведений Т.Хагерстранда — все они полезны и необходимы для объяснения и понимания сложившейся географии мирового хозяйства на всех уровнях пространственной иерархии — от локального до глобального.
Естественно, что реальная картина географического разделения труда в мировом сельском хозяйстве, промышленности, на транспорте и в сфере услуг гораздо богаче и отличается от теоретических схем. Однако это обусловлено самим характером географии как научной дисциплины с присущим ей соотношением абстрактного, теоретического и конкретного знания.
Отдельные разделы части 1 следуют изложенной выше исторической последовательности: теория сравнительных преимуществ как основа географического разделения труда; размещение сельского хозяйства в, «изолированном государстве»; штандортная теория размещения промышленности; теория центральных мест; теория диффузии нововведений.
В других частях учебного пособия проанализирован важный теоретический материал, полученный методом индукции — детального анализа обширного эмпирического материала по мировому хозяйству и его географии. Первое место среди этих работ занимает теория «длинных волн» экономической конъюнктуры Н.Д.Кондратьева. Серьезное методическое значение имеют концепции межотраслевого межрегионального баланса В.В.Леонтьева и У.Айзарда, полюсов роста Ф.Перру, мировых экономических систем Дж.Валлерстейна и ряд других. Все они создают тот понятийно-концептуальный каркас, на котором во многом построен данный курс.
Географическое разделение труда — закон сравнительных преимуществ Д.Рикардо
Основные доводы А.Смита в пользу свободной торговли сводились к аналогиям между отдельными семейными хозяйствами и разделению труда между профессиями. Любое хозяйство независимо от размера предпочитает закупать на рынке товары, цены на которые ниже себестоимости его производства в собственном хозяйстве, и поставлять на рынок излишки своего производства. Поэтому, «если какая-либо чужая страна может снабжать нас каким-либо товаром по более дешевой цене, чем мы в состоянии изготовлять его, гораздо лучше покупать его у нее на некоторую часть продукта нашего собственного промышленного труда, прилагаемого в той области, в которой мы обладаем некоторым преимуществом», — писал А.Смит в «Исследовании о природе и причинах богатства народов».
Однако А.Смиту не удалось опровергнуть положение, что ограничение импорта ведет к созданию новых рабочих мест; он поддерживал целесообразность ограничения торговли с потенциальным противником и вообще не рассматривал ситуацию, когда какая-либо страна не располагает сравнительными преимуществами. В каких условиях свободная торговля сможет разрешить проблемы подобных стран и не окажет ли она разрушительного действия на их экономику?
Д.Рикардо с помощью ряда численных примеров показал выгоды географического разделения труда и внешней торговли для любой страны, даже если она ни в чем не имеет преимуществ перед другими странами, или наоборот, обладает преимуществами в производстве абсолютно всей номенклатуры товаров. Начнем с примера подобного абсолютного преимущества на один из товаров, поскольку практически в каждой стране есть такой товар, единичные затраты на производство которого меньше, чем в других странах.
Предположим, что в США наименьшие издержки достигнуты в производстве пшеницы, а в остальных странах мира — сукна. Для построения наглядных графиков примем, что в США на единицу затрат производится 50 бушелей пшеницы, или 25 ярдов сукна, или любая комбинация объемов пшеницы и сукна в указанных пределах. В остальных странах на единицу затрат можно произвести 40 бушелей пшеницы, или 100 ярдов сукна, или любую их комбинацию в указанных пределах.
При отсутствии географического разделения труда и внешней торговли каждая страна могла бы потреблять только то, что она производит. Тогда максимальные объемы потребления в США и других странах будут выражаться всевозможными сочетаниями показателей производства пшеницы и сукна, которые можно задать прямыми на рис. 1, А , В. Точка S1 на графике отражает обеспеченность США 50 бушелями пшеницы при отсутствии сукна; точка S 2 отражает обеспеченность США 25-ю ярдами сукна при отсутствии пшеницы или же одной из возможных комбинаций этих товаров — 20 бушелями пшеницы и 15 ярдами сукна (точка S3 ).
В условиях автаркии сочетание этих товаров будет производится в соответствии с предпочтениями, определяющими динамику спроса и предложения. Поэтому введем предположения, что в США и остальных странах мира предпочтения определяют соотношение спроса и предложения на пшеницу и сукно, описываемое точкой S3 на рис. 1, А , В . Тогда эти соотношения будут 20—15 для США и 12— 70 для других стран мира.
Рис. 1. Абсолютное преимущество и выигрыш во внешней торговле
При политике автаркии цены в США и остальном мире будут различны. Как показал опыт социалистической экономики, тот же эффект достигается и при монополии внешней торговли. Однако при поставках обоих товаров на конкурентный рынок в условиях свободной торговли относительные цены товаров будут определяться по Рикардо, т.е. относительными издержками производства. Поэтому во многих работах теория Рикардо носит название «сравнительных издержек». На нашей схеме в США стоимость бушеля пшеницы будет оцениваться примерно в пол-ярда сукна, или ярд сукна будет стоить около 2 бушелей пшеницы. При любом другом соотношении цен перераспределение производственных ресурсов могло бы принести кому-нибудь более высокую прибыль. При отсутствии торговли соотношение 1 бушель = 1 ярд не могло бы долго сохраняться, ибо скоро выяснилось бы, что переброска средств с производства сукна на выращивание пшеницы дает на единицу одинаковых затрат по 2 бушеля пшеницы вместо 1 ярда сукна. По той же причине в остальном мире при отсутствии внешнеторгового обмена с США соотношение цен будет тяготеть к пропорции 2,5 ярда сукна = 1 бушелю пшеницы.
Теперь введем торговый обмен в рамках мирового хозяйства. Сразу же бросается в глаза, что при сложившейся разнице цен в США пшеница гораздо дешевле: за бушель дают всего пол-ярда сукна, тогда как за границей за каждый бушель можно получить 2,5 ярда. Вне зависимости от числа внешнеторговых компаний и при достаточно малой величине транспортных издержек очевидна структура внешнеторговых потоков: пшеницу будут вывозить США, а сукно другие страны.
Поскольку Рикардо не затрагивал проблем определения спроса на товары, он мог только сделать вывод, что внешняя торговля выгодна при определенном соотношении цен. Не зная количественных характеристик подобных соотношений мировых цен, мы не можем достаточно определенно оценить выигрыш от географического разделения труда и внешней торговли, поскольку не знаем, как изменится объем и структура производства и потребления под воздействием этой торговли. Однако нельзя сказать, что в данном примере не содержится никакой информации об уровне цен мирового рынка на пшеницу и сукно. Нам известно, что соотношение цен на эти товары находится где-то посередине между соотношением издержек в США и остальном мире до установления торговых отношений — больше 0,5, но меньше 2,5 ярда за 1 бушель пшеницы.
Это можно показать на простом примере. Предположим, что США предлагается экспортировать в другие страны пшеницу всего по 0,3 ярда сукна за бушель. Очевидно, что США откажутся от такой цены, так как они смогут продать пшеницу на внутреннем рынке за 0,5 ярда. Более того, при цене 0,3 ярда за бушель пшеницы США стали бы экспортировать сукно. Однако другие страны вряд ли бы стали отдавать столько пшеницы за ярд американского сукна, так как они могут получать точно такой же товар за 2,5 бушеля пшеницы. Точно также можно показать, что при цене выше 2,5 ярда за бушель США и другие страны стремились бы экспортировать пшеницу и импортировать сукно. Обе стороны не смогли бы договориться о том, кому что экспортировать, пока цена не установилась бы в пределах 0,5—2,5 ярда сукна за 1 бушель пшеницы.
Благодаря внешней торговле идет прирост потребления, вызванный двумя факторами: изменением структур потребления и экономическим эффектом от специализации производства.
Первый фактор сразу сказывается при изменении структуры мирового спроса, что приводит к установлению мировых цен на новом промежуточном уровне: 1 бушель пшеницы за 1 ярд сукна. Тогда США получают выгоду, торгуя по этим ценам, даже если структура производства остается в точке S0 (рис.2). Получая по ярду сукна за каждый экспортированный бушель пшеницы, США смогут выйти за прежние пределы потребления. Это безусловно даст прирост потребления из-за выгодного различия нового соотношения цен 1:1 от прежнего 1:0,5. По новым ценам (ценам мирового рынка) американцы смогут получать за каждый бушель пшеницы уже не 0,5, а целый ярд сукна.
Второй фактор дает выигрыш благодаря специализации производства. Внешняя торговля позволяет США отказаться от производства на каждую единицу затрат по 20 бушелей пшеницы и 15 ярдов сукна, как в точке S0 . При таком соотношении цен США должны вообще отказаться от производства сукна: те же средства можно сконцентрировать на производстве пшеницы в сельском хозяйстве и произвести по 2 бушеля пшеницы вместо прежнего ярда сукна. Ведь за экспорт этих 2 бушелей на мировом рынке можно получить 2 ярда сукна. США могут полностью специализироваться на выращивании пшеницы (точка S1 ) и обменивать некоторое ее количество на сукно. В этом случае потребление переместится в точку С (рис. 1, А ). Точно так же остальные страны могли бы полностью специализироваться на товаре, производство которого обходится им дешевле, и выпускать только сукно (точка S1 , на рис. 1, В). Обменяв его на пшеницу, они смогут выйти на объем потребления, указанный в точке С .
Очевидно, что введение мировых цен и специализация позволяют всем участникам торговли получить выигрыш от участия в международном разделении труда. Хотя мы не можем без введения предположений о спросе установить объем этой торговли, очевидно, что цены мирового рынка позволяют обеим сторонам выйти на уровни потребления пшеницы и сукна, недостижимые без внешней торговли. Если бы США продолжали политику автаркии, уровень потребления никогда не вышел бы на точку С (рис. 1, А). Каждой предельно допустимой комбинации пшеницы и сукна, идущей на потребление в отсутствие внешней торговли (их множество обозначено линией S1 S4 ), соответствует определенная цена мирового рынка, при которой благодаря специализации и внешней торговле объемы потребления обоих товаров, по крайней мере, не меньше. Остальной мир также получает выгоду, размеры которой определяются приростом потребления, достигнутым благодаря внешней торговле.
Разобранный пример с абсолютным преимуществом в затратах на производство отдельного товара (пшеницы и сукна) не снимает важного вопроса о возможностях внешней торговли, если другие страны могут производить любого товара на единицу затрат больше, чем США. Возможен ли тогда внешнеторговый обмен и будет ли он выгоден для обеих сторон? Прямой ответ на этот вопрос связан с положением сравнительного преимущества, и главная заслуга Д.Рикардо в том, что он показал: даже в том случае, когда страна ни в чем не обладает абсолютным преимуществом, внешняя торговля остается выгодной для обеих сторон. До тех пор, пока при отсутствии этой торговли в соотношениях цен между странами сохраняются хотя бы малейшие различия, каждая страна будет располагать сравнительным преимуществом, т.е. у нее всегда найдется такой товар, производство которого будет более выгодно при существующем к моменту установления внешнеторговых связей соотношении издержек, чем производство остальных товаров. Именно этот товар страна должна экспортировать в обмен на другие.
Тем самым Д.Рикардо открыл закон сравнительного преимущества: каждая страна располагает сравнительным преимуществом в производстве какого-то товара и получает выигрыш, торгуя им в обмен на остальные товары .
По аналогии с примером об абсолютном преимуществе предположим, что на этот раз в США по-прежнему на единицу затрат можно произвести 50 бушелей пшеницы или 25 ярдов сукна, или любую комбинацию объемов пшеницы и сукна в указанных пределах, тогда как в остальных странах на единицу затрат можно произвести 67 бушелей пшеницы, или 100 ярдов сукна, или любую их комбинацию в указанных пределах. Эта ситуация отражена на рисунке 2.
Чтобы убедиться, что для обеих сторон выгодно, если США будут обменивать свою пшеницу на иностранное сукно, достаточно вновь обратиться к положению абсолютного преимущества. Тогда станет ясно, что выгодность внешней торговли никак не зависит от того, что США могут производить больше пшеницы на единицу затрат, чем остальные страны (50 бушелей против 40 на рисунке 1). Выигрыш при обмене предопределяется не абсолютным преимуществом, а тем, что соотношение издержек при отсутствии внешнеторгового обмена (линии S1 S2 на рисунке 2) различны.
Рис. 2. Сравнительное преимущество и выигрыш от внешней торговли
На рисунке 2 рассмотрен самый пессимистический вариант, когда США далеко отстали от остального мира в производстве пшеницы и особенно сукна на единицу затрат. Если внешняя торговля отсутствует по тем или иным причинам, то США должны полагаться только на собственное производство, объем которого будет определяться прямой S1 S2 и равняться, например, S0 (рис. 2, В). Аналогичное положение в остальных странах также отражено на рисунке 2, В.
Установление торговых отношений расширяет возможности страны, даже несмотря на то, что в США производство обоих товаров обходится дороже, чем в других странах. Сразу же внешнеторговые фирмы установят, что в США можно купить бушель пшеницы всего за 0,5 ярда сукна и продать его за границей за 1,5 ярда (1,5 = 100:67). Начнется отток пшеницы из США в обмен на сукно, производимое другими странами, вне зависимости от того, во что обходится производство каждого из товаров в той или иной стране.
Развитие торговли вскоре приведет к выравниванию относительных цен, так как она становится взаимовыгодной только тогда, когда использует соотношение цен мирового рынка. В нашем примере это соотношение находится где-то посередине между существовавшими от начала торговых отношений ценами США (0,5 ярда за бушель) и ценами в остальном мире (1,5 ярда за бушель). Вновь, как и при положении абсолютного преимущества, для обеих сторон будет выгодно для максимизации потребления полностью специализироваться на производстве единственного товара — пшеницы в США и сукна в остальном мире. При соотношении мировых цен на уровне 1 ярд сукна за 1 бушель пшеницы каждая из сторон достигнет точки С в потреблении; при этом США будут экспортировать 20 бушелей пшеницы в обмен за 20 ярдов заграничного сукна. Выигрыш от внешней торговли заключается в приросте потребления благодаря возможности перемещения в точки, подобные С. При отсутствии внешней торговли выйти за пределы потребления, обозначенные точкой S0 оказывается невозможно.
В своей работе Рикардо использовал для примера сукно из Англии и вино из Португалии. После примера с натуральными показателями он рассмотрел выгоды от внешней торговли, когда все расчеты идут в денежной форме. Понятно, что «бартерный обмен» пшеницы на сукно не существует в нормальных условиях мирового рынка, и страны используют валюту для расчетов за экспортно-импортные операции. Рикардо показал, что сохранение относительного преимущества и выгодность внешней торговли для каждой страны происходит и при введении расчетов в национальных валютах. Если при данном обменном курсе национальной валюты не удается покрыть расходы на импорт поступлениями от экспорта, их можно уравновесить путем изменения относительных цен на собственные и импортные товары в денежном выражении. В мире денежных расчетов такое выравнивание платежей обычно достигается либо установлением нового равновесного курса обмена валют, либо корректировкой всех уровней цен в денежном выражении в одной или обеих странах. Поэтому введение нормальных денежных расчетов во внешней торговле ни в коей мере не снижает ценности закона сравнительного преимущества Рикардо.
* * *
Развитие теории Рикардо шло по нескольким направлениям. Одно из них содержало анализ производственных возможностей страны при постоянных издержках на производство тех или иных товаров. Основной вывод Рикардо состоит в том, что источником внешней торговли может стать единственная предпосылка — разница в издержках производства товаров, вне зависимости от абсолютных размеров этих издержек. В приведенном примере сравнительного преимущества взаимовыгодность торговли определялась тем, что производство пшеницы в одной стране, измеренное в ярдах сукна, обходилось дороже, чем в других странах. Сами затраты на производство пшеницы или сукна в отдельности значения не имели.
Использовав понятие на единицу затрат, можно рассчитать, сколько данного товара — пшеницы, сукна или чего-либо другого можно произвести в данной стране, если переключить все ресурсы на производство этого товара. Если на рисунках 1 и 2 по осям откладывать не выпуск на единицу затрат, а годовые объемы производства, например, миллиарды бушелей пшеницы или миллионы ярдов сукна, то линии S1 S2 можно будет интерпретировать как кривые производственных возможностей, которые также очерчивают внешние границы производства в данной стране. Но на них нельзя показать, сколько и чего конкретно будет выпускаться в стране, пока неизвестно, какие соотношения цен будут предложены производителям.
В примере, показанном на рисунке 2, мы, вслед за Рикардо, предположили, что остаются постоянными вмененные издержки замещения, т.е. такие издержки производства некоторого количества других товаров, которыми надо пожертвовать, чтобы увеличить выпуск какого-то одного товара, например, пшеницы. Это означает, что для производства лишнего бушеля пшеницы надо было бы отказаться от производства 0,5 ярда сукна в США или 1,5 ярдов в остальных странах независимо от того, сколько пшеницы производится. Производство добавочного бушеля пшеницы обходится США в 0,5 ярда сукна и в том случае, если мы находимся на прямой в точке, где производится 25 ярдов сукна и ни одного бушеля пшеницы, и тогда, когда мы находимся в точке S1 и намерены произвести 50-й бушель пшеницы, пожертвовав последним полуярдом сукна. Постоянство вмененных издержек замещения обнаруживается в том, что линии S1 S2 на рисунках 1 и 2 являются прямыми, постоянный наклон которых указывает на неизменность установленных пропорций при замещении пшеницы сукном и наоборот.
Против положения о постоянстве вмененных издержек замещения был высказан ряд теоретических и практических возражений. Анализ показал нелинейность поведения издержек, их различные сочетания при росте производства и тесную связь с экономией от масштаба и т.п. Наиболее серьезным возражением был отказ от жесткой специализации на отдельных товарах, хотя при постоянстве издержек замещения следовало, что каждая страна должна стремиться к максимизации выигрыша от внешней торговли, полностью специализируясь на товаре, в производстве которого она обладает сравнительным преимуществом. Поэтому на смену предпосылке о постоянстве пришло положение о возрастающих издержках замещения: в отрасли, расширяющейся за счет остальных, производство каждой последующей единицы товара сопряжено с отказом от выпуска все большего объема продукции в других отраслях. Ситуация возрастающих издержек производства представлена на рисунке 3, где отражено изменение издержек замещения на выпуск добавочного ярда сукна по мере переключения все большего объема ресурсов с производства пшеницы на производство сукна.
При выпуске 20 млрд ярдов сукна касательная к кривой производственных возможностей в точке S1 показывает, что для увеличения выпуска сукна на 1 ярд следует пожертвовать 1 бушелем пшеницы (рис. 3, А). При 40 млрд ярдов требуется уже 2 бушеля, при 60 млрд — 3.

Рис. 3. Кривая производственных возможностей при возрастающих издержках:
А — Кривая производственных возможностей США. Касательная в точке S1 = 1 бушель за ярд; касательная в точке S0 = 2 бушеля за ярд; касательная в точке S2 = 3 бушеля за ярд;
В — Возрастающие издержки замещения в производстве сукна в США. Кривая предложения сукна в США (кривая издержек замещения или кривая предельных издержек)
Увеличение издержек при выпуске каждого последующего ярда сукна можно интерпретировать как возрастание издержек для производства добавочных количеств пшеницы: если в точке S2 где производится только сукно, начать перемещать в растущих объемах ресурсы в производство пшеницы, издержки производства каждого последующего бушеля будут возрастать — от 1/3 ярда в S2 до 1/2 ярда в S0 , 1,0 ярда в S1 , и т.д.
В условиях возрастающих издержек основные последствия внешней торговли те же, что и при предположении о постоянстве издержек. Обе стороны, как и раньше, могут извлечь для себя выгоду и поэтому стремятся усилить специализацию на производстве тех товаров, где они располагают относительным преимуществом. Оба отличия, появившиеся с введением предположения о возрастании издержек, приближают теорию к действительности: снимают вопрос о полной специализации и ведут к выравниванию уровней предельных издержек ввиду конкуренции на мировом рынке.
Форма кривых производственных возможностей стала основным средством для выяснения специфики предложения, с которой данная страна выходит на мировой рынок. При этом исследовались основные вопросы, связанные с построением и использованием этих кривых: 1) необходимая информация для построения кривых производственных возможностей для каждой страны; 2) причины важности кривых возрастающих издержек; 3) различия в сравнительных издержках.
Последний вопрос затрагивает самую суть проблем, относящихся к предложению. Поиск причин межгосударственных различий в сравнительных издержках ведет к анализу соотношения спроса на факторы производства и их предложения, который и лежит в основе современной теории сравнительных преимуществ.
Для понимания сути анализа факторов производства необходимо иметь хотя бы общее представление о развитом аппарате производственных функций. Детально разработанные впервые экономистом П.Дугласом и математиком Ч.Коббом для макроэкономического анализа экономики США, производственные функции представляют собой аналитические выражения, где в математической форме связаны величины выпуска с используемыми факторами — первичными ресурсами. Каноническая форма производственной функции задается уравнением:
![]()
где Р — выпуск;
k — размерность в зависимости от избранной единицы измерения затрат и выпуска;
сомножители
— факторы, от которых зависит объем выпуска.
В производственной функции, которая применяется для анализа экономики в целом, Р — объем конечного продукта, а стандартные факторы производства: b1
— численность занятого населения; b2
— капитал (основные и оборотные фонды); b3
— земля. В простой исходной форме производственной функции Кобба—Дугласа исследовалась связь двух факторов — труда и капитала — с ростом национального дохода США в 20—30-е гг. В дальнейшем детально исследовался состав факторов и роль показателей степени —
, которые позволяют рассчитать ту долю в приросте конечного продукта (выпуска), которую вносит каждый из факторов, или на сколько процентов возрастет выпуск, если затраты соответствующего фактора (ресурса) увеличить на 1%. Эти показатели степени называются коэффициентами эластичности производства относительно затрат соответствующего фактора. Если сумма коэффициентов равна 1,0, — это означает однородность функции, т.е. она возрастает пропорционально росту количества факторов (ресурсов). Но возможен и такой случай, когда сумма больше 1,0. Это показывает, что увеличение затрат приводит к непропорционально большому росту выпуска — эффекту масштаба.
Основы современной теории сравнительных преимуществ (издержек) заложены шведскими учеными Э.Хекшером и Б.Олиным. Смысл их теоретических положений заключается в том, что на экспорт идут товары, требующие для своего производства значительных затрат избыточных (для данной страны) факторов производства и небольших затрат дефицитных факторов, импортируются товары с обратным соотношением затрат. Это означает, что в товарном виде экспортируются избыточные факторы, а импортируются дефицитные факторы производства. В краткой форме: страны экспортируют продукты интенсивного использования избыточных факторов и импортируют продукты интенсивного использования дефицитных факторов.
Для определения понятий об избыточности фактора и интенсивности его использования поясним, что страна считается в избытке наделенной рабочей силой, если соотношение между ее количеством и остальными факторами производства в этой стране выше, чем в среднем для других стран мира. Продукт считается трудоемким. если доля затрат на его производство (в его стоимости) выше, чем в стоимости других продуктов.
Теория Хекшера—Олина дает строгое объяснение многим аспектам структуры международной торговли, что позволило П.Самуэльсону дать строгое математическое выражение. Для иллюстрации их подходов приведем их интерпретацию причин различий в ценах на одни и те же товары в разных странах до установления торговых отношений.
В нашем примере сукно в США было дорогим (2 бушеля пшеницы за 1 ярд сукна), а в остальном мире дешевым (2/3 бушеля за 1 ярд). Эмпирические исследования могли выявить множество причин этих различий, включая различия в спросе, вызванные более суровым климатом, большей сложностью фасонов или религиозными убеждениями, разницу в технологиях — высокой урожайностью пшеницы в США и высокой выработкой сукна в остальных странах и т.п.
Однако по теории Хекшера—Олина источником различия сравнительных издержек служит соотношение факторов производства. Если в США 1 ярд сукна обходится в 2 бушеля пшеницы, а в остальном мире — меньше бушеля, то это объясняется тем, что в США относительно больше факторов, интенсивно используемых в производстве пшеницы, и относительно меньше факторов, интенсивно используемых в производстве сукна, чем в остальных странах.
Пусть земля — фактор, интенсивнее используемый при выращивании пшеницы, а труд — фактор, интенсивнее используемый при производстве сукна. Пусть все издержки можно свести к затратам земли и труда: например, для удобрений, нужных под пшеницу, требуется затратить определенное количество земли и труда, равно как и для выработки пряжи. Тогда, если США экспортируют пшеницу и импортируют сукно, то по теории Хекшера—Олина следует, что это происходит в результате трудоемкости сукна и «землеемкости» пшеницы. Это не свидетельствует о большем количестве земли или меньшем предложении труда в США. Речь идет о том, что в США на одного занятого приходится больше пригодной для обработки земли, чем в остальном мире, или же доля США в общей площади земли в мире выше, чем ее доля в суммарном количестве рабочей силы.
В таком положении, при прочих равных условиях, аренда земли в США должна обходиться дешевле, чем в остальных странах, а работники должны претендовать на более высокую по сравнению с другими странами заработную плату. Дешевизна земли в большей степени снизит издержки в земледелии, чем в производстве сукна. И напротив, дефицит рабочей силы делает сукно в США относительно дорогим. Именно этим теоретически объясняется разница цен, сложившаяся до установления торговых отношений. Поэтому различия в относительной обеспеченности факторами производства и в характеристиках их использования обуславливают экспорт пшеницы из США, а не сукна, и импорт сукна, а не пшеницы, после установления торговых отношений.
В заключение можно сказать, что теория сравнительного преимущества (издержек) в трактовке Хекшера—Олина подвергалась детальной проверке на эмпирическом материале по мировой торговле в 80-х гг. и ее выводы согласуются с реальным географическим разделением труда в современном мире. Несколько подробнее об этом будет рассказано в разделе 4.5.
Вопросы и задания
1. Даны соотношения: а) издержек на выращивание пшеницы в США и за рубежом; б) издержек на производство пшеницы и сукна в США; в) издержек на производство пшеницы в ярдах сукна и издержек производства пшеницы в других странах в ярдах сукна. Какие из перечисленных соотношений определяют выгоды при налаживании торговых отношений между США и остальным миром?
2. Выпуск тканей на единицу затрат в Таиланде 75, в остальном мире — 150; производство риса на единицу затрат в Таиланде — 100, в остальном мире 150. Введя допущения в духе теории Рикардо, что эти два товара являются единственными, соотношение затраты—выпуск остается постоянным при любом объеме производства тканей и риса, а все рынки — конкурентные, предлагается решить: а) имеет ли Таиланд абсолютное преимущество в производстве риса или тканей? б) имеет ли Таиланд относительное преимущество в производстве риса или тканей? в) какое меновое соотношение сложилось бы в Таиланде в отсутствие международной торговли? в каких пределах установятся соотношения мировых цен на ткани и рис в обстановке свободной торговли между Таиландом и остальным миром? Подтвердите свои выводы графиками и расчетами.
3. Опишите в общем виде воздействие непостоянства издержек — повышения и понижения — и их связь с эффектом от масштаба производства.
Размещение сельского хозяйства — «изолированное государство» И.Тюнена
В 1826 г. вышло первое издание книги «Изолированное государство в его отношении к сельскому хозяйству и национальной экономике. Исследование о влиянии хлебных цен, богатства почвы и накладных расходов на земледелие» Иоганна Генриха фон Тюнена из Теллова в Мекленбурге. Уже при жизни автора она выдержала несколько изданий, а в дальнейшем составила ядро целой исследовательской программы, но не столько в агрономии или экономики сельского хозяйства, сколько в экономической географии и региональной экономике.
Лучше всего суть и новизна теоретического подхода Тюнена отражена уже в первых двух параграфах его книги. Приведем их перевод:
§ 1. Предпосылки
Представьте себе очень большой город, расположенный посередине плодородной равнины, не прорезанной никакими судоходными реками и каналами.
Пусть эта равнина имеет совершенно одинаковую почву, везде одинаково удобную для обработки, и пусть на большом расстоянии от города она переходит в девственные пространства, которые отделяют все государство от остального мира.
На равнине нет других городов, кроме упомянутого единственного большого города, на который падает обязанность снабжать всю страну продуктами промышленного производства и который, в свою очередь, получает продукты питания исключительно от окружающей его равнины.
Копи и солеварни, которые удовлетворяют все потребности государства в металлах и соли, мы мыслим себе лежащими также вблизи этого центрального города, который мы в дальнейшем будем называть просто городом, так как он является единственным.
§ 2. Задача
Поставим себе вопрос: какие формы примет при установленных предпосылках сельское хозяйство и как будет отражаться на нем большее или меньшее расстояние от города, если это хозяйство будет вестись вполне рационально?
Понятно, что вблизи города должны производиться такие продукты, которые имеют значительный по отношению к своей стоимости вес или объем: доставка их в город благодаря этому настолько дорога, что их нельзя привозить из отдаленных местностей; здесь же должны производиться и скоропортящиеся продукты, которые потребляются только в свежем виде.
По мере удаления от города земля будет все более и более отводиться под такие продукты, провоз которых дешевле по отношению к их стоимости.
На основании этих расчетов вокруг города образуются более или менее резко разграниченные концентрические круги, в которых те или иные растения будут главными предметами производства.
Но специализация на возделывании какого-либо растения определяет и всю форму хозяйства, и мы увидим поэтому в различных поясах совершенно различные системы хозяйства.
Уже сам Тюнен утверждал, что понятие «изолированное государство» для него не более как аппарат, как орудие познания. А для нас самое существенное, что Тюнен фактически впервые ввел в теорию размещения общенаучные представления об «идеальном объекте», «экономическом пространстве», его свойствах (прежде всего однородности, или изотропности), зональных (поясных) структурах, градиентах цен и рентных платежей, факторах размещения и экономическом расстоянии. Все это вошло в понятийно-терминологический аппарат общей теории размещения любых видов деятельности.
Среди неявных предпосылок теории Тюнена отметим предположение об экономическом равновесии, т.е. равенстве спроса и предложения в экономической системе «изолированного государства». Это предположение играет важную роль в формировании территориальной структуры хозяйства и его функционировании, включая механизмы ценообразования, издержек и земельной ренты.
Все явные и неявные предпосылки и допущения в теории размещения сельского хозяйства, по Тюнену, служат одной цели: четко определить роль основных факторов размещения и взаимосвязи между ними.
Основное внимание в теории Тюнена уделено трем главным факторам и их взаимосвязям:
1) расстоянию от хозяйства до города (рынка сбыта);
2) ценам на различные виды сельскохозяйственной продукции;
3) земельной ренте.
Взаимосвязи между двумя первыми факторами выражены крайне просто: цена, получаемая за единицу товара, равна рыночной цене минус транспортные издержки, связанные с перевозкой товара на рынок. Поскольку транспортные издержки увеличиваются с ростом расстояния от рынка, постольку любой данный продукт, например пуд ржи, представляет большую ценность при возделывании в зоне, расположенной в 3 км от города, чем в зоне, удаленной на 30 км.
Третий фактор — земельная рента — определен как отдача на капиталовложения в земельные ресурсы. В «изолированном государстве» земельная рента зависит от географического положения участка земли относительно рынка сбыта продукции. Легче всего это объяснить на примере роста населения в «государстве». Когда город был невелик, требовалось немного земель вокруг него для обеспечения жителей сельскохозяйственной продукцией. Город рос, и пропорционально возрастал спрос на эту продукцию, что требовало вовлечения в сельскохозяйственный оборот новых земель, расположенных на большем расстоянии от города. В результате росли и транспортные издержки, и, следовательно, должны были расти и цены на продукцию более удаленных земель. В выигрыше оставались хозяева близлежащих земель, которые получали дополнительную прибыль за счет разницы между поднявшимися ценами и меньшими транспортными издержками. Эта разница и определила величину ренты, а также возросшую привлекательность и ценность близлежащих земель. При дальнейшем росте населения города в оборот будут вовлечены земли еще более удаленной зоны, что повлечет новый рост цен. Соответственно увеличится рента на участках первой зоны и появится рента на участок второй по времени освоения зоны. В политической экономии этот вид земельной ренты носит название дифференциальная рента I по местоположению. В ее размерах обычно учитывается и качество земель, а в дифференциальной ренте II — отдача на дополнительные капиталовложения.
Введение в теорию дифференциальной ренты I позволяет связать воедино все три фактора и выявить в аналитической форме общую закономерность возникновения зон разной специализации.
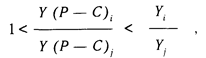
Опишем механизм зонирования в теории Тюнена, по Е.Данну. Взаиморасположение зон задается формулой:
R = Y (Р — С) — YD(f),
где R — дифференциальная рента I по местоположению (в долл./l км2 ); Y — урожайность (в т/км2 ); Р — цена продукта; С — производственные издержки на единицу продукции (в долл./l т продукции); D — расстояние от центрального рынка (в км); F — транспортные издержки (в долл./ткм).
При таких размерностях в уравнении ренты при Y = 1000 т/км2 , Р = 100 долл./т, С = 50 долл./т и F = 1 долл./ткм величина ренты (R) должна составить: в центре города 50 тыс. долл./км2 , на расстоянии 10 км от него — 40 тыс. долл./км2 , 20 км — только 30 тыс. долл./км2 . На расстоянии 50 км и более от центра города производство данной культуры будет убыточно. Конкурентоспособность двух культур i и j на одной и той же территории зависит от их урожайности Y и относительной доходности (Р — С).
Когда для двух культур i и j оказывается справедливым условие

то они образуют две пространственно отграниченные зоны; культура i преобладает в круговой зоне, прилегающей к городу, а культура / занимает кольцевидную зону с внешней ее стороны.
Иное соотношение членов в приведенном неравенстве приведет либо к обратной картине размещения этих культур, когда культура / займет внутреннее кольцо, либо к полному вытеснению одной культуры другой на всех доступных для нее землях, либо к выращиванию обеих культур в одной и той же зоне, «бок о бок», без какой-либо пространственной дифференциации на зоны.
В границах «изолированного государства» пространственная дифференциация в использовании земель и сельскохозяйственном производстве стала результатом действия трех факторов:
1) номенклатуры и объемов аграрного производства, требуемых городом;
2) технологии аграрного производства и перевозок готовой продукции;
3) стремления каждого производителя к максимизации земельной ренты путем производства таких видов продукции, для которых положение его земель относительно рынка сбыта наиболее выгодно.
Взаимодействие этих факторов привело к образованию классических колец (зон, поясов), изображенных на рис. 4.

Рис. 4. Использование земель в «изолированном государстве»:
0 — город; 1 — огородничество и садоводство; 2 — лесное хозяйство;
3 — плодосменное хозяйство; 4 — выгонное хозяйство; 5 — трехпольная система; 6 — экстенсивное скотоводство
Эта исходная схема зонирования территории была рассчитана Тюненом на основе теоретических предпосылок и огромного объема фактической информации, которую он многие годы скрупулезно собирал, ведя реальное хозяйство в имении Теллов (Мекленбург) и поставляя продукцию в город Росток. Именно записи о потребностях рынка, ценах, урожайности, производственных и транспортных издержках легли в основу конкретных расчетов, облегших плотью теоретические построения.
Кроме описанных предпосылок, следует учесть, что в первой из четырех теоретических схем, приведенных в работе Тюнена, все перевозки сельскохозяйственной продукции в город совершаются одним видом транспорта — гужевым. Лошадь и телега принадлежат сельским хозяйствам и перевозка идет за их счет. Нет ни системы множественных тарифов, зависящих от характера грузов, ни транзитных рефрижераторов, ни других, ставших привычными для нас видов транспорта.
Итак, в ближайшей к городу зоне наиболее выгодно садоводство и огородничество в сочетании с молочным животноводством при стойловом содержании скота круглый год. Почвенное плодородие поддерживается за счет усиленного удобрения. Основная причина формирования и стабильности зоны — близость к городу и техника перевозки. При низких скоростях гужевого транспорта и отсутствии холодильников производство свежего молока, овощей и фруктов будет давать наибольшую прибыль в условиях достаточного спроса городского рынка.
Вторая зона будет занята лесным хозяйством, поставляющим в город дрова — главный энергоноситель и деловую древесину. Тюнен детально обосновал эмпирическими данными, что лесное хозяйство дает наибольшую ренту в этом поясе по сравнению с другими видами землепользования. Приведем в сжатой и упрощенной форме его аргументацию.
Общее производство дров и деловой древесины с 1 га будет весьма велико; предположим, что этот объем будет в 3 раза больше, чем производство культуры Д. Учтем также предположение, что для каждой культуры производственные затраты и урожайность остаются одними и теми же для любой зоны «изолированного государства».
-

Рис. 5. Конкуренция за земельные участки второй зоны
График (рис. 5) иллюстрирует конкуренцию за использование земель между лесным хозяйством (жирная линия) и культурой Д (тонкая линия). Горизонтальные прерывистые линии отражают стоимость продукции с одного гектара в рыночных ценах (YР ); точечные горизонтальные линии отражают производственные издержки на 1 га (С). Сплошные наклонные линии (YР — YD(F)) отражают производство на 1 га в рыночных ценах минус транспортные издержки, т.е. стоимость каждого вида продукции на месте производства. Очевидно, что оценки этих стоимостей будут уменьшаться с увеличением расстояния до рынка. В нашем примере темп уменьшения стоимости продукции будет втрое выше для лесного хозяйства, чем для культуры Д. Все землевладельцы в «изолированном государстве» предпочтут тот вид землепользования, который даст им наивысшую земельную ренту. График ясно показывает, что использование земель под лес даст более высокую ренту в диапазоне расстояний от 0 до К2 . Далее рента будет выше для культуры Д. Следовательно, дрова и деловая древесина будут производиться ближе к рынку, чем культура Д.
Из этих примеров не следует делать вывод, что размещение производства, дающего больший удельный выход продукции в рыночных ценах, будет всегда определяться его относительной близостью к рынку. Подобное утверждение содержится в книге Тюнена, однако оно справедливо только для условий, когда конкурирующие культуры равно устойчивы к порче во время перевозки на рынок и более высокие издержки на перевозку большего количества грузов не компенсируются снижением тарифов на перевозки или уменьшением производственных издержек.
В модели Тюнена издержки на производство дров и деловой древесины одинаковы для всего «изолированного государства». Однако это положение не распространяется на все культуры. В базовой схеме зонирования вслед за зоной лесного хозяйства следуют три зоны, в которых рожь является важным рыночным продуктом. Существенные различия между этими зонами определяются интенсивностью земледелия. С ростом расстояния от города снижаются производственные затраты на возделывание ржи, что приводит к соответствующему снижению урожайности.
В первой из этих трех зон в хозяйствах применяется шестилетний интенсивный севооборот. Рожь занимает треть земель; на остальных землях возделываются картофель, клевер, ячмень и вика. Картофель, как и рожь, идут на рынок. Вика используется для удобрения почвы и как зеленый корм для скота летом. Почвенное плодородие поддерживается с помощью навоза; пары отсутствуют; зимой ведется стойловый откорм скота.
В следующих двух зонах земля используется менее интенсивно. В первой из них применяется семилетний севооборот, в котором рожь занимает только 1/7 земель; за ней следует ячмень (один год), овес (один год), пар (один год), пастбище (три года). Для рынка предназначается рожь и продукция животноводства: масло, сыр и, возможно, живой скот для городских боен. Подобная продукция не столь быстро портится, как свежее молоко и плодоовощная продукция; поэтому ее можно производить в большем удалении от рынка.
Следующая зона — последняя, где ведущую роль играют зерновые — рожь в сочетании с животноводческой продукцией. В этой зоне господствует трехпольный севооборот, один из первых севооборотов, введенных земледельцем в практику сельского хозяйства. Структура севооборота проста: треть земли под рожью, треть под пастбищем, треть под паром.

Рис. 6. Рост производственных издержек на выращивание ржи с увеличением расстояния от рынка
За пределами этих трех зон экстенсивного хозяйства рентабельно только пастбищное животноводство. На рынок идет только животноводческая продукция, а рожь выращивается только для собственных нужд.
На рис. 6 показана связь между производственными затратами на выращивание ржи в зависимости от расстояния до рынка сбыта. Рожь А (сплошная и прерывистая жирные линии) отражает эту связь по теории Тюнена: производственные издержки и урожайность уменьшаются с удалением от рынка. Рожь В (тонкие линии) выражает гипотетический случай, когда рожь культивируется вблизи и в удалении от рынка. Тогда с позиции рынка рента на рожь А и рожь В была бы одинаковой. Однако со стороны рента уменьшалась бы менее круто для ржи А, чем для ржи В. На расстоянии К4 рента для ржи В достигает нуля, а для ржи А еще остается положительной величиной. Таким образом, при менее интенсивном возделывании ржи эта культура будет давать большую ренту и с удалением от рынка. Следовательно, рожь сможет конкурировать с другими культурами на более обширных территориях.
И в этом случае не следует абсолютизировать теоретическое положение, вытекающее из приведенной аргументации: интенсивность сельского хозяйства должна уменьшаться с удалением от рынка сбыта. Это общее положение столь же тесно связано с эмпирическим контекстом теории. На рис. 5 производственные затраты на дрова и деловую древесину были намного ниже, чем на продукт Д. Хотя лесное хозяйство гораздо менее интенсивно, чем сельское хозяйство, оно располагалось ближе к рынку, чем все, кроме первой зоны товарного производства. Даже в случае одной культуры, такой как рожь, теоретическое положение нуждается в уточнении. Сокращение производственных издержек возможно только тогда, когда соответствующее сокращение урожайности не будет столь большим, что сведет на нет выигрыш в этом виде издержек.
Понятно, что уже сам автор теории размещения сельского хозяйства понимал, что исходное построение (рис. 4) нигде не встречается в чистом виде. Поэтому он вводил новые условия, предпосылки и расчеты издержек, цен и расстояний, что отразилось на следующих схемах (рис. 7, 8).
Кроме введения возможностей перевозки по судоходной реке и малого города учитывается предположение, что перевозки по реке обходятся только в 1/10 от издержек на гужевой транспорт.
В результате зона товарного садоводства и огородничества, занимавшая на исходной схеме только узкую полоску вокруг города, теперь значительно расширяется и тянется вдоль реки «изолированного государства». Напротив, пояс экстенсивного скотоводства

Рис. 7. Изменения в структуре использования земель после введения в схему судоходной реки и малого города (специализация и нумерация зон аналогична рис. 4)

Рис. 8. Изменения в структуре использования земель под влиянием изменений цен на хлеб (А) и доходность земель (В)
отступает назад и совершенно исчезает даже в относительном удалении от реки. Подобное же влияние, по Тюнену, оказывают искусственные дороги. Если такие дороги проложить по равнине во всех направлениях, то расширятся все пояса с более интенсивным сельским хозяйством, но они сохранят свою правильную форму, как на рис. 4.
Зона 7 обозначает область влияния малого города, которая снабжает этот город сельскохозяйственной продукцией и ничего не вывозит в главный город. Это сочетание оказалось важным для дальнейших выводов относительно международной торговли.
Рис. 8 (А и В ) отражает модификации исходной зональной схемы вследствие изменения цен на рожь в городе «изолированного государства». Тюнен привел детальные расчеты по формулам, где колебания цен в городе увязаны с колебаниями цен в деревне и, следовательно, с размерами ренты, величина которой определяет радиус зон для различных способов ведения хозяйства. Показано также, что величины пошлин и налогов (на ввоз и помол ржи) сократят доходы крестьян и тем самым приведут к сокращению обработанных земель. Эти расчеты наглядно показывают, писал Тюнен, «каким образом высокие налоги могут превратить в пустыню плодородные земли». Эти расчеты помогли ему определить рациональные размеры налогообложения, связанные с ценами на зерно и потребностями рынка.
На рисунке 8, В показано влияние колебаний урожайности ржи при неизменных ценах на нее. Диапазон колебаний введен от 4 до 10 зерен. Соответственно при заданном спросе размеры зон, т.е. общих посевных площадей с учетом севооборотов и места в них ржи, будет колебаться также в заметном диапазоне.
Сравнение показателей для обеих схем, А и В , показывает, что снижение урожайности оказывает еще больше влияния на размеры зон, чем соответствующее понижение цен на хлеб. Так, при низкой урожайности (5 зерен) выгонное хозяйство (зона 4) исчезает вовсе.
Теория Тюнена и ее авторские модификации были приложимы к размещению сельского хозяйства в течение его жизни и многие годы спустя. Структуры землепользования вокруг многих европейских и американских городов формировались в своих основных чертах по теории Тюнена, которая во многом и объясняла территориальные структуры и размещение типов хозяйства.
Более того, уже сам Тюнен указывал, что ее положения могут выйти за рамки «изолированного государства» и его единственного города. Например, Тюнен писал, что можно представить малый город с его зоной (рис. 7) и в виде небольшого самостоятельного государства. Но в таком государстве цены на хлеб будут всецело зависеть от цен в главном городе.
«В подобном отношении, — писал Тюнен, — как второстепенные государства к центральному, находятся европейские государства к тому богатому государству, которое может платить самую дорогую цену за хлеб, — к Англии и в особенности к ее главному городу — Лондону.
В европейских государствах, даже если они не ввозят и не вывозят хлеба, цены на него зависят от мирового лондонского рынка, и если это рынок закрыт, то во всей Европе произойдет понижение цен на хлеб».
Естественно, что кардинальные изменения в видах и способах транспортировки сельскохозяйственных грузов, внедрение холодильной техники и других методов сохранения продукции, гибкие шкалы транспортных тарифов и глобализация мировой торговли сельскохозяйственной продукцией внесли множество изменений в исходную модель Тюнена на всех уровнях пространственной иерархии. Однако все это не поколебало непреходящей ценности исходных положений и дедуктивных методов теории. Более того, ее проявления в современном мире нередко выявляются в территориальных структурах, не имеющих прямого отношения к сельскому хозяйству — расселении, рекреации и других видах человеческой деятельности. Механизмы зонирования территории, по Тюнену, приобрели универсальное значение в географической науке и практике.
Вопросы и задания
1. Как формируется система предпосылок в теории Тюнена?
2. Влияние каких факторов на размещение сельского хозяйства изучал Тюнен?
3. Как влияет плодородие почв на размещение сельского хозяйства?
4. Как влияют транспортные издержки на размещение сельского хозяйства в «изолированном государстве»?
5. Как и под влиянием каких факторов происходит трансформация исходной схемы зонирования в теории Тюнена?
6. Каково формальное описание процесса зонирования?
7. Сбыт продуктов производится в сыром виде. Урожайность культур и производство продукции животноводства следующие: картофеля — 100 ц/га; сена — 30 ц/га; зерна — 10 ц/га; молока — 2,5 т/га; мяса в живом весе — 3 ц/га; шерсти — 1 ц/га. Соответственно рыночная цена в долларах за тонну: 20, 25, 100, 40, 300, 1000. Себестоимость продукции на 5% ниже рыночной цены и транспортные издержки составляют 5 центов за 1 ткм. Вычислите:
а) на каком расстоянии от рынка будет производиться указанная продукция?
б) как изменится рассчитанное в пункте а) размещение, если транспортные издержки будут повышены до 10 ц/ткм или снижены до 1 ц/ткм?
в) как изменится рассчитанное в пункте а) размещение, если при транспортных издержках в 5 ц/ткм себестоимость за 1 т товара увеличится или уменьшится на 3%?
г) как изменится рассчитанное в пункте а) размещение, если при первоначально установленных себестоимости производства, транспортных издержках и рыночных ценах урожайность с 1 га увеличится или уменьшится на 10%?
д) как изменится рассчитанное в пункте а) размещение, если при первоначально установленных себестоимости производства, транспортных издержках и урожайности рыночные цены увеличатся или уменьшатся на 10%?
Размещение промышленного производства — теория штандортов А.Вебера
XIX в. ознаменовался широким распространением первой промышленной революции в странах Европы, Северной Америке, Японии. Ведущим энергоносителем стал каменный уголь, главным конструкционным материалом — сталь, основным видом наземного транспорта — железные дороги. Сформировались первые крупные промышленные районы, чье значение выходило далеко за рамки национальных границ — «Черная Англия», Рур, Лотарингия, Пенсильвания. Шли процессы концентрации производства и капитала. Вывоз капитала в другие страны привел к формированию первых международных компаний — предшественников современных ТНК. Практические задачи размещения промышленности стимулировали теоретические поиски. Ответом науки стала работа Альфреда Вебера (младшего брата крупнейшего социолога Макса Вебера, считавшего «протестантскую этику» важным фактором развития капитализма). Уже в названии книги «О штандорте промышленности» (1909) А.Вебер ввел в научный оборот новое понятие «штандорт», которое описывало не реальное, а предлагаемое оптимальное размещение производства.
При своем появлении теория Вебера сразу привлекла к себе пристальное внимание. С ее методологических позиций был начат ретроспективный анализ реальной картины размещения промышленности и ее отраслей в Германии и других странах; множились попытки ее практического применения и появились критические работы, где уточнялись предпосылки и выводы, оспаривались некоторые положения теории.
В нашей стране пристальный интерес к теории Вебера проявился в 20-х гг. в связи со становлением государственной плановой экономики.
В своем предисловии к переводу книги Вебера Н.Н.Баранский в частности писал: «Можно считать бесспорным, что всякое продвижение вперед в области вопросов пространственного размещения промышленности возможно и мыслимо только через теорию Вебера, а ни в коем случае не помимо этой теории».
Методологические предпосылки теории сразу подчеркивают ее дедуктивный характер и идейную близость к теории Тюнена. Объект исследования — «хозяйственно-обособленная территориальная область», подобно «изолированному государству» не имеющая каких-либо связей с другими территориями. Кроме того, данная область лишена унаследованных черт хозяйства, сложившихся в ходе длительного периода социально-экономического развития и прежних докапиталистических форм хозяйства.
Заранее задается размещение сырьевой в широком смысле этого понятия базы. Это относится к добывающей промышленности и сельскому хозяйству; по отношению к местам добычи энергетического, рудного и строительного сырья это не слишком отклоняется от реальности, поскольку их размещение в основном определяется геологическими факторами, но сельское хозяйство испытывает сильное обратное влияние концентрации промышленности на размеры и размещение производства потребительских и промышленных видов продукции.
Также заданы размещение центров потребления промышленной продукции и объемы спроса; здесь также не учитывается мультипликативный эффект размещения производства для спроса из-за концентрации рабочего населения.
При анализе трудовых ресурсов и их размещения предполагается, что уровни заработной платы и интенсивности труда, различающиеся для разных мест области, фиксируются и остаются постоянными для каждого места. Это приводит к постоянству издержек на оплату труда на единицу продукции в каждом месте. В то же время трудовые ресурсы немобильны (исключается миграция между местами области), но неограниченны. Это значит, что любое производство не зависит от резервов рабочей силы при своем расширении и не вынуждено увеличивать затраты на труд.
Наряду с этими в теории используется несколько явных и неявных допущений. Снова специально не оговариваются условия общего экономического равновесия; производство какого-либо вида промышленной продукции мыслится в упрощенном виде, как единый технологический процесс, не распадающийся на отдельные стадии; рассматривается единственный вид транспорта — железнодорожный, вместо гужевого в исходной схеме теории Тюнена.
Основная задача теории: определение ведущих факторов размещения промышленности и установление закономерностей, по которым действуют эти факторы.
Анализ факторов размещения и их классификация. Фактор размещения, по Веберу, — экономическая выгода от размещения производства в данном месте. Эта выгода — результат сокращения относительных издержек по производству данного продукта, его сбыта и обеспечения основными фондами.
Очевидно, что закономерности размещения промышленности могут основываться только на факторах, общих для всех без исключения отраслей промышленности. Специальные факторы связаны с особенностями технологий отдельных отраслей. Все факторы, общие и специальные, разделены на региональные, определяющие размещение промышленности в определенных местах, и агломерационные, способствующие концентрации промышленности в некоторых из этих мест.
Кроме того, возможно разделение факторов на «природно-технические» и «культурно-общественные». Первые связаны с различиями в географическом положении, климате и других природных условиях; они меняются с прогрессом техники. Вторые определяют широкий спектр различий в социальных и культурных условиях, определяемых историческими, этническими, конфессиональными и другими причинами.
Для построения общей теории размещения, по Веберу, необходимо и достаточно знание лишь общих факторов регионального характера. Это требует детального анализа тех производственных издержек, которые влияют на размещение промышленности в пространстве. Поэтому особое внимание было уделено семи видам производственных издержек:
1. Издержки на земельную ренту (аренда, покупка).
2. Издержки на основной капитал (здания, машины, оборудование).
3. Издержки на сырье и энергоресурсы.
4. Издержки на рабочую силу.
5. Транспортные издержки.
6. Процент на заемный капитал.
7. Амортизационные отчисления на основной капитал.
Анализ каждого вида издержек показал, что ставки земельной ренты не объясняют первичного размещения промышленности в определенных местах обособленной области, хотя в дальнейшем влияют на процессы агломерирования производства. Издержки на основной капитал, расходуемый на здания, машины и оборудования в начальной и вспомогательных стадиях промышленного производства, не представляют собой принципиально новых издержек и не могут выступать как особые факторы размещения. Амортизационные отчисления на основной капитал также не связаны непосредственно с местом размещения производства; процент на заемный капитал (ссудный процент) обычно различается по странам, в зависимости от состояния рынка капиталов, курса валюты, общего экономического положения, но для исследуемой обособленной области его можно принять одинаковым для всех мест размещения.
Следовательно, общими региональными факторами являются издержки на сырье и топливо, рабочую силу и транспорт. Путем ряда выкладок Вебер показал, что издержки на сырье и топливо можно ввести в транспортные издержки: более высокая оплата единицы сырья или топлива повышает транспортные издержки, а более низкая как бы сокращает их. Поэтому можно остановиться на анализе только двух видов издержек, определяющих два основных штандортных фактора:
1. Транспортные издержки — транспортная ориентация.
2. Издержки на рабочую силу — ориентация на трудовые ресурсы.
Так как все не региональные факторы общего характера могут быть только агломерационными или деагломерационными, то их действие можно изучать совместно, как некоторую объединенную агломерационную силу, определяющую третий штандортный фактор: агломерацию.
На первое место поставлена транспортная ориентация, поскольку она определяет формирование исходной схемы оптимального размещения производства. Тогда различия в издержках на рабочую силу будут представлять первое отклонение от оптимального по транспортным издержкам размещения. Аналогично совокупность агломерационных факторов будет представлять вторую отклоняющую силу, также нарушающую первоначальную схему размещения. Так формируется промышленный ландшафт обособленной области. Рассмотрим более подробно каждый из трех факторов.
Транспортная ориентация. Транспортные издержки определяются только двумя факторами: весом перевозимых грузов и расстоянием перевозки. Все остальные факторы сводятся к этим двум: например, изменение тарифных ставок в зависимости от причин сводится либо к изменению расстояния перевозки, либо к изменению веса перевозимых грузов. При расчете транспортных издержек учитываются издержки по перевозке материалов к местам перевозки, а затем готовой продукции к местам ее потребления.
В методологических предпосылках места добычи сырья и потребления готовой продукции были фиксированы заранее. Теперь введем новое предположение: штандорт данного производства находится либо в каком-нибудь из этих фиксированных мест, либо на прямой между ними. Тогда постоянной величиной станет один из двух элементов транспортных издержек — расстояние; переменной величиной, дифференцирующей общую величину транспортных издержек от места к месту, останется только вес транспортируемых грузов.
Это требует более детального анализа распределения сырья и топлива по территории и характера их производственного использования. Поэтому в теории выделяется два основных вида подобных материалов:
1) «Убиквитеты», или материалы повсеместного размещения.
2) Локализованные материалы.
К первым относятся сырьевые материалы, более или менее одинаково размещенные по всей территории изучаемой области — вода, глина, древесина и т.п. К локализованным относятся те виды сырья и топлива, которые по геологическим или экономическим причинам могут быть вовлечены в хозяйственный оборот только в определенных местах.
Далее при изучении особенностей производственного использования материалов важно различать два случая: 1) исходный материал практически полностью входит при переработке в состав готовой продукции — «чистые материалы» (например, хлопковое волокно, прокат и т.п.); 2) исходный материал дает при переработке большие объемы отходов, не используемые в основном производстве — «грубые материалы» (например, руды металлов, картофель при переработке в крахмал, молоко в масло и т.п.). Эти качества сырья и особенно его использования в основном производстве вместе с общим весом грузов и расстоянием перевозки влияют на общую величину транспортных издержек и сдвигают штандорт к местам минимальных транспортных затрат.
Для понимания методики расчета этих затрат в теорию введены понятия «склад» и «штандортная фигура». Условность применения первого термина определяется его широким переносным смыслом, не совпадающим с нашим обычным словоупотреблением. «Складом»

Рис. 9. Штандортные фигуры при двух «складах» (М)
(всегда в кавычках!) обозначаются места добычи (получения, сбора) исходных материалов — всевозможных видов промышленного сырья и энергоресурсов. Тогда для каждого места потребления по каждому виду продукции можно построить географическую фигуру, образованную взаиморасположением «п складов» и потребительским местом. Это сочетание и названо Вебером «штандортной фигурой», на которую следует опираться каждому производству при выборе места размещения.
При числе «складов» — 2, штандортная фигура образует простой треугольник, вершины которого образованы двумя «складами» (М) и местом потребления данного продукта (К).
Для поиска оптимального по транспортным издержкам штандорта следует учесть соотношение издержек на потребляемые локализованные материалы и на отправляемые к месту потребления готовые продукты. Отношение веса локализованных материалов к весу продукта называется материальным индексом. Общий вес грузов, перевозимых от «материальных складов» к месту производства и от этого места к местам потребления товаров, называется штандортным весом.
Если для производства 100 т какого-либо продукта потребуется 300 т одного локализованного материала и 200 т другого локализованного материала, то материальный индекс данного производства (отрасли) будет равен:
(300 + 200) : 100 = 5.
Исходя из этих же величин, штандортный вес в целом будет равен 600, а в расчете на единицу продукции — 6.
Поиск штандорта — оптимального места размещения, ведется в рамках штандортной фигуры следующим образом. «Положим, — пишет Вебер, — мы имеем перед собой производство, работающее с двумя локализованными материалами, причем для выработки 1 т продукта требуется 3/4 т одного материала и 1/2 т другого. В таком случае мы получаем штандортную фигуру, на «материальных компонентах» (линиях, соединяющих штандорт с «материальными складами») которого передвигаются веса в 3/4 и 1/2, в то время как «потребительская компонента» отягощена 1,0 (рис. 10).

Отсюда, исходя из принятого выше допущения, что единственными факторами, определяющими транспортные издержки, служат вес и расстояние, мы приходим к следующему выводу: веса, соответствующие различным компонентам, и представляют те силы, с которыми различные вершины, углов штандортной фигуры притягивают к себе штандорт производства.
На основе этого подхода с использованием материальных индексов и штандортных весов Вебер проанализировал более сложные случаи расчета штандортных фигур, что позволило ему прийти к ряду общих закономерностей, связанных с размещением промышленности при транспортной ориентации.
Все возможные сочетания материалов, их влияние на транспортные издержки различных производств и в конечном счете на штандорт могут быть сведены к следующим:
1. При использовании одного или нескольких «убиквитетов» — материалов повсеместного распространения производство ориентируется на места потребления.
2. При использовании одного чистого локализованного материала штандорт может находиться в любом месте между материальным «складом» и местом потребления. При использовании локализованного материала и убиквитета штандорт перемещается к месту потребления.
3. Наиболее часто встречающиеся случаи, когда использование грубых локализованных материалов, теряющих большую часть веса при переработке, идет в сочетании с убиквитетами, ведут к двум вариантам размещения:
а) использование одного грубого материала ведет к совпадению места производства с «материальным складом»;
б) при использовании сочетания грубого материала с убиквитетом штандорт будет оставаться в месте «материального склада» при условии, что материальный индекс больше 1,0, и будет перемещаться в направлении к месту потребления, если материальный индекс будет менее 1,0.
Обобщение этих трех положений позволило Веберу прийти к выводу, что единственным фактором транспортной ориентации, т.е. тяготения производства либо к «материальным складам», либо к местам потребления следует считать материальный индекс промышленности. Величина этого индекса зависит от доли весовых потерь локализованных материалов, с одной стороны, и от размеров потребления убиквитетов, с другой.
В ходе индустриализации в промышленный оборот вовлекались все большие объемы локализованных ресурсов. Более того, некоторые, прежде повсеместно встречавшиеся материалы стали переходить в категорию локализованных по мере их исчерпания и роста спроса. Резкое увеличение масс сырья и топлива привело к использованию менее богатых ресурсов и увеличению потерь при переработке. Все это привело к общему сдвигу штандорта от потребительской ориентации к материальной и способствовало, в частности, резкому росту крупной промышленности и упадку многих форм ремесленного производства в старых центрах.
Ориентация на трудовые ресурсы. В рыночном хозяйстве экономическим выражением «издержек на труд» служит заработная плата; реальные размеры этих издержек в пространстве меняются в зависимости от уровня ставок заработной платы и производительности труда (в той составляющей, которая зависит не от технического уровня предприятия, а от личных качеств рабочих). Трудовые навыки, сложившиеся в результате предыдущих этапов социально-экономического развития и неравномерно размещенные по территории, а также наличие в определенных ареалах значительного числа рабочих, обладающих подобными навыками, дает при равных условиях оплаты труда особые выгоды при размещении производства. Места, где по уровню заработной платы и производительности труда имеются самые низкие издержки на рабочую силу, Вебер называет «рабочими пунктами».
Поскольку в теории рабочая сила немобильна и ее распределение строго локализовано, постольку размещение мест с самыми низкими издержками на рабочую силу также будет оставаться стабильным в ходе размещения производства. Поэтому перемещение штандорта в «рабочие пункты» может совершаться либо полностью в «рабочий пункт», либо, при отсутствии к тому стимулов, останется в месте с минимальными транспортными издержками.
Общий вывод: «рабочие пункты» будут перетягивать к себе штандорты промышленности от пунктов с минимальными транспортными издержками, установленными выше, только в тех случаях, когда экономия издержек на рабочую силу превысит перерасход в транспортных издержках, вызванный перемещением производства.
В графической форме это выражается с помощью изодапан — замкнутых кривых линий, соединяющих точки с одинаковыми отклонениями от минимальных транспортных издержек.

Рис. 11. Изодапаны и сдвиг штандортов
Ту изодапану, которая соединяет точки, где отклонения от минимальных транспортных издержек равны экономии на издержках на рабочую силу, Вебер назвал критической изодапаной. Величина экономии на рабочих издержках зависит от двух величин:
1) абсолютной величины издержек на рабочую силу на единицу продукции;
2) доли (в %) сокращения этих издержек в «рабочем пункте» по сравнению с пунктами минимальных транспортных издержек.
Условия, влияющие на характер и направление ориентации на трудовые ресурсы, Вебер разделяет на две группы:
1) условия, связанные с характером отдельных отраслей промышленности;
2) общие условия среды размещения производства.
К первой группе относятся штандортный вес, материальный индекс и индекс рабочих издержек. Чем ниже штандортный вес, тем больше диапазон отклонений штандорта от пункта с минимальными транспортными издержками к «рабочим пунктам» и обратно. Притягивающая сила «рабочих пунктов» растет или слабеет параллельно индексу издержек на труд. Сопоставляя оба показателя, влияющие на ориентацию на трудовые издержки, Вебер выражает связь между ними отношением:
размер издержек на рабочую силу
-----------------------------------------------
штандортный вес
Подстановка в отношение конкретных величин позволяет рассчитать численный показатель ориентации на трудовые ресурсы, названный рабочим коэффициентом.
Поясним понятия критической изодопаны и рабочего коэффициента на простых численных примерах.
Пусть изодапаны А1 , A2 , A3 , А4 (см. рис. 11) соответствуют росту транспортных издержек на 1, 2, 3, 4 рубля на тонну продукции, по сравнению с аналогичными издержками пункта Р. С другой стороны, пусть издержки на рабочую силу дают экономию для пункта L 1 в 3 рубля, а для пункта L2 — 2 рубля по сравнению с аналогичными издержками пункта Р. При этих условиях перемещение производства из Р в L2 очевидно выгодно, так как L2 лежит внутри своей критической изодапаны А2 А2 а значит, увеличение транспортных издержек будет для L 2 меньше, чем экономия на издержках на рабочую силу. Наоборот, перемещение производства из Р в L1 невыгодно, так как L 1 лежит вне своей критической изодапаны А 3 А 3 , а это показывает, что рост транспортных издержек не компенсируется и будет больше, чем экономия на издержках на рабочую силу.
Итак, если данный «рабочий пункт» лежит внутри своей критической изодапаны, перемещение производства из транспортного в «рабочий пункт» выгодно, если вне ее, то перемещение невыгодно.
Смысл рабочего коэффициента пояснен Вебером такими словами: «Пусть корсетное производство имеет рабочий коэффициент в 1500 марок, керамическое производство — 55 марок, производство сахара-сырца — 1,3 марки. Экономия на издержках на рабочую силу в каком-либо «рабочем пункте», выраженное 10% по сравнению с пунктом транспортного минимума, составит 150 марок для первого производства, 5,5 марок для второго и 0,13 марок для третьего (на штандортную тонну). При транспортном тарифе 5 пфеннигов на тонну-километр эта экономия издержек на рабочую силу дает возможность отклонения: на 3000 км для корсетного производства, 100 км — для керамического и 2,6 км для производства сахара».
Итак, чем выше рабочий коэффициент данной отрасли промышленности или производства данного вида товара, тем сильнее концентрируется эта отрасль в небольшом числе «рабочих пунктов».
Обосновав закономерности транспортной ориентации и пояснив смысл понятий изодапан и рабочего коэффициента, Вебер уделил особое внимание общественной среде, в которой размещаются «рабочие пункты».
Подчеркнуто, что издержки на отклонение от пунктов с минимальными транспортными издержками и величина экономии издержек на рабочую силу зависят от густоты сети расселения. Густота сети, как правило, тесно связана с показателем плотности населения и «культурным уровнем» страны. Во времена Вебера «в культурных и густонаселенных странах должна была преобладать ориентация на трудовые ресурсы, а в отсталых и редко населенных — транспортная ориентация».
На силу привлекательности ориентации на трудовые ресурсы влияет и характер тарифов на грузовые перевозки. При низких тарифах «рабочие пункты» становятся особенно привлекательными. Поскольку при нормальных условиях социально-экономического развития страны в ней растет плотность населения, повышается его культурный уровень и снижаются транспортные тарифы, постольку должна расти ориентация на рабочую силу. Однако ей будет препятствовать рост влияния «материальных складов» и механизация производства, ведущие к сокращению затрат живого труда.
В целом удешевление транспорта шло в первой четверти XX в. более быстрыми темпами, чем усиление механизации производства. Поэтому в отраслях, относительно мало затронутых механизацией и вызванным ею сокращением потребности в живом труде, преобладала ориентация на трудовые ресурсы. В сильно механизированных производствах с высокими штандортными весами преобладала транспортная ориентация.
Агломерация. Транспортная ориентация и ориентация на трудовые ресурсы служат основными и единственными, по мнению Вебера, факторами регионального размещения промышленности. «Но нельзя ни понять, ни объяснить действительного размещения без учета воздействия третьего фактора, принципиально отличного по своей природе от первых двух, но играющего колоссальную роль именно для современного размещения крупной машинной индустрии», — писал Вебер.
Под действием первых факторов складывается сеть узлов, выделяющихся либо минимизацией транспортных издержек, либо оптимальным приближением к трудовым ресурсам. Однако размеры этих промышленных узлов и их производственная мощность в значительной мере определяются агломерационными процессами, не связанными конкретно ни с одним из географических пунктов размещения производства. В этой независимости и заключено коренное отличие фактора агломерации от региональных факторов, имеющих четкую географическую привязку.
Агломерация есть скопление, или сосредоточение промышленного производства в каком-либо месте, вытекающее из общественной природы производства. Такое скопление может быть выражено в виде простого расширения и укрупнения производственных единиц или вследствие совместного размещения этих производств, ранее рассредоточенных по территории.
Выгоды от подобного сосредоточения связаны со снижением издержек производства, создаваемых самой концентрацией промышленности, а не близостью к тому или иному географическому пункту.
Преимущества подобной технической и пространственной концентрации производства, форсирующие этот процесс, обусловлены общими преимуществами крупного производства, удешевляющего продукцию, и выгодами от экономии на организации различных форм обслуживания отдельных производственных единиц, концентрирующихся в данном месте.
Преимущества совместного использования сферы услуг в агломерации могут быть весьма разнообразны; они включают организацию общих рынков рабочей силы и кредитных услуг, рыночных связей по снабжению материалами и сбыту готовой продукции, складским хозяйством, подъездными путями, энергоснабжением, вспомогательными производствами, включая выделившиеся в самостоятельные производства части технологических процессов, ремонт, водоснабжение и очистку отходов и т.п. Все это ведет к заметному снижению производственных издержек по сравнению с изолированным размещением производства, а концентрация обслуживающих предприятий и учреждений нередко переходит от форм простой технической связи с производством в форму общественных связей. Это обусловлено сочетанием социальных, финансовых и управленческих форм организации территории.
Простое укрупнение производственных единиц Вебер назвал низшей ступенью агломерации, а пространственную концентрацию производств без слияния их в одну единицу — высшей формой агломерации. Конкретное изучение факторов агломерации и их веса для данного места Вебер считал задачей эмпирических исследований.
Процессам агломерации, снижающим издержки производства, обычно начинают противодействовать деагломерационные факторы, выражающиеся в форме повышения цен на земельные участки, роста заработной платы и стоимости жизни, повышение цен на материалы и т.п.
Теория штандортов не исследует процесс деагломерации, а интересуется только результатом сложения двух противоположных сил — равнодействующих процессов агломерации и деагломерации, и именно этим результатом определяет степень влияния агломерации. В этом ракурсе основная задача теории при анализе процессов агломерации — изучение их взаимоотношений с двумя ведущими факторами размещения промышленности — ориентацией на минимизацию транспортных и рабочих издержек. В ходе агломерации происходят изменения в ранее установленной теоретической схеме размещения производства; учет этих изменений и составляет основное содержание исследования агломерационных сил.
Отнеся выгоды агломерации к количеству общей производственной массы (суммарному весу произведенной в агломерации продукции), мы получим возможность расчета степени воздействия агломерации и ее соизмерения с выгодами от транспортной ориентации и ориентации на рабочую силу. Величина экономии от агломерации, рассчитанная на единицу продукции, называется индексом экономии от агломерации.
Пусть годовому выпуску в 100 т соответствует индекс издержек — 10 руб., 400 т — 6 руб., 1600 т — 4 руб., 6400 т — 3 руб. Разница между этими величинами последовательно даст 4, 6 и 7 руб. Эти цифры отражают экономию от агломерации и служат для измерения указанного индекса.
Поскольку в виде общего правила существует устойчивая тенденция снижения издержек с ростом объемов производства, зависимость между величиной экономии и этим объемом можно рассматривать как функциональную. При таком допущении индекс экономии можно включить в более общее понятие — функцию экономии при агломерации.
Общий вывод: экономия от агломерации ведет к отклонению пунктов размещения производства от пунктов транспортных минимумов и рабочих пунктов в тех случаях, когда эта экономия покрывает дополнительные издержки на транспорт и рабочую силу, возросшие вследствие перемещения промышленности в пункты агломерации.
Влияние индекса экономии от агломерации на перемещение штандорта от пунктов транспортного минимума учитывается также, как и при ориентации на рабочую силу. Основное различие здесь только в том, что «рабочие пункты» заданы заранее, а центры агломерации, в которые выгодно было бы переместить промышленность из нескольких других пунктов, должны быть найдены в ходе исследования.
Графически эта задача при изучении агломерации в условиях транспортной ориентации решается путем проведения изодапан вокруг заданных пунктов минимальных транспортных издержек (рис. 12).
Очевидно, что местом, где издержки отклонения от штандорта для каждого производства не превысят той выгоды, которая может быть достигнута от пространственной концентрации, и где, следовательно, агломерация будет наиболее выгодна, станет площадь общего сегмента.

Рис. 12. Определение зоны агломерации
Однако это только первое, но еще недостаточное условие агломерирования. Вторым условием служат показатели числа производств на исследуемой площади сегмента (их густоты, или плотности) и размера общего выпуска (весовая плотность). Оба показателя позволяют рассчитать общую производственную массу пункта, которая при данном сочетании производств и их выпуска достаточна для экономии издержек от агломерации.
В пределах общего сегмента центр агломерации должен быть размещен в части, ближайшей к транспортному пункту, обладающему наибольшей массой выпуска (суммарным весом). Подобный подход к расчету влияния масштаба агломерации пригоден и для случая с постоянным индексом экономии, и для постоянно повышающегося индекса, или функции экономии от агломерации.
В целом при транспортной ориентации процесс агломерации зависит от условий, внутренне присущих самой промышленности (функции экономии данной отрасли и штандортного веса), и от условий среды (тарифные ставки на перевозку грузов и плотность выпуска).
Общий вывод: высокие показатели функции экономии от агломерации и плотности выпуска, низкие показатели штандортного веса и тарифных ставок на перевозки форсируют агломерационные процессы, а обратные условия подавляют их.
При учете воздействия ориентации на рабочую силу Вебер анализирует условия конкуренции между агломерационными и «рабочими пунктами», стремящимися отклонить штандорт от пунктов транспортного минимума. Дело в том, что в «рабочих пунктах» может идти концентрация производства по причинам, не связанным с чистой агломерацией, а вследствие общей дешевизны рабочих рук или других видов издержек (на сырье, транспорт и т.п.). Эта «случайная агломерация» и вызывает усиление влияния рабочих мест и притяжение к ним и «чистых агломерационных процессов».
Различия в структуре производственно-технического аппарата и в организации промышленного труда создают для каждой отрасли специфичную функцию экономии от агломерации при одинаковых размерах агломерационных центров. Введение в анализ этих различий позволило Веберу уточнить условия агломерации. Относя уровень издержек на труд, а также расходы на основной капитал (здания, машины, оборудование) к единице продукции, Вебер ввел новое понятие: индекс стоимости формирования.
Конкретные расчеты показали, что обе составляющие индекса и их отношение имеют большое значение для размеров агломерации и направления ее развития. Поскольку наряду со стоимостью формирования полностью сохраняется значение штандортного веса, постольку для совместного учета обоих показателей введен коэффициент формирования, рассчитанный как отношение стоимости формирования к количеству перевозимого груза в штандортной фигуре.
С помощью новых понятий Вебер уточняет первоначальный вывод об условиях агломерации. Новый вариант гласит: производства с высоким коэффициентом формирования обладают сильной способностью к агломерированию производства, с низким коэффициентом — характеризуются слабой способностью к агломерации.
Высокие значения коэффициента формирования непосредственно зависят от преобладания высоких значений рабочего коэффициента, что ведет к сильной агломерации с ее ориентацией на рабочие пункты.
Низкие значения коэффициента формирования типичны для отраслей, структура которых определяется высокой стоимостью машинного формирования и значительным потреблением материалов и топлива. Естественно, что появление агломерации в таких отраслях будет наблюдаться в центрах, расположенных недалеко от пунктов транспортного минимума этих отраслей.
Тенденция к агломерации «рабочих пунктов» и «материальных складов» (главным образом, угольных) определяла процессы формирования агломерационных единиц промышленности в конце XVIII и XIX вв.
* * *
В дальнейшем теория штандортов подвергалась критике, уточнению, трансформации с использованием нового математического аппарата — векторного анализа и линейного программирования. Уже сам Вебер в разделе «Общая ориентация» указал, что при переходе от теоретических построений к реальности необходим пересмотр многих допущений теории, начиная с обособления каждого производства и полного цикла — от сырьевого до готовой продукции. Выделение основных стадий производства уже ведет к новой постановке вопроса о транспортной ориентации и расчета издержек. Как правило, начальные стадии будут тяготеть к «материальным складам», а конечные — к местам потребления.
Особое внимание Вебер уделял историческому анализу среды и формирования системы рабочих пунктов. Подчеркивая рост значимости издержек на рабочую силу, Вебер указывал на важность индуктивно-теоретических подходов к этой проблеме, ее зависимость от анализа большого эмпирического материала. Всеобщая значимость подобной ориентации для развития современной территориальной структуры мирового хозяйства в конце XX в. подтвердила этот вывод А.Вебера.
Вопросы и задания
1. Какие предварительные методологические допущения ввел А.Вебер?
2. Какие издержки и почему взяты как основные факторы размещения штандорта промышленности?
3. При каких условиях «рабочие пункты» будут перетягивать к себе производство из пунктов минимальных транспортных издержек?
4. Какие условия благоприятствуют процессам агломерации и при каких условиях (коэффициент формирования) агломерация будет осуществляться?
5. Произведено 500 т продукции, для чего использовано 600 т локализованного сырья с потерей в весе 50% и 400 т убиквитета с потерей в весе 50%. Какова ориентация подобного производства? Как она изменится, если количество убиквитета возрастет до 1000 т с той же нормой потери веса?
6. Выход муки при переработке ржи равен 98,5%, а масла из молока — 4%. При одинаковых транспортных ставках 6 руб./ткм подсчитайте, во что будет обходиться провоз сырья и готовой продукции от места производства до места потребления на расстояния в 5, 10, 20, 50, 100, 500 км. Как это должно влиять на размещение этих производств?
7. При рабочем коэффициенте 24 тыс. руб./т в хлопчатобумажном прядильном производстве и 1 тыс. руб./т при выплавке стали и при возможности экономии на издержках на рабочую силу в 10% и транспортном тарифе 10 руб./ткм определите, на какое расстояние может переместиться штандорт производства от места транспортного минимума.
Размещение сферы услуг и потребления — теория центральных мест В.Кристаллера и А.Лёша
В отличие от предыдущих теорий центральные места В.Кристаллера родились в рамках самой географической науки в ходе эмпирического изучения самого популярного объекта общественной географии — города и его места в системе расселения. Подробнейший анализ реальной системы расселения в Южной Германии позволил В.Кристаллеру перейти от эмпирики к построению дедуктивной теории, одной из самых красивых в географии. Ее первое изложение появилось в знаменитой ныне книге — докторской диссертации «Центральные места Южной Германии» (1933). В.Кристаллер, ученик А.Вебера, стал достойным продолжателем общей теории размещения. Однако, в отличие от работ его предшественников — Д.Рикардо, Й.Тюнена, А.Вебера, чьи книги сравнительно быстро получили широкую известность, изучались и переиздавались, ни работа В.Кристаллера, ни теперь еще более известная книга А.Лёша «Пространственный порядок хозяйства» (1940, в русском переводе 1959 г. — «Географическое размещение хозяйства») не привлекли внимания географов и экономистов. Лишь в 50-х гг., особенно после перевода основных работ В.Кристаллера и А.Лёша на английский язык их идеи вошли в научный оборот, быстро получили широкое признание в мировой науке и вызвали самый широкий отклик в литературе. Теперь основные положения теории центральных мест вошли во все стандартные курсы по географии для высшей школы.
Термины, понятия и предположения теории В.Кристаллера достаточно просты. Центральное место — синоним поселения любого размера, чаще всего города различной людности, который служит центром всему населению данного района, обеспечивая его центральными товарами, например автомобилями, и центральными услугами, например медицинским обслуживанием. Центральные места неодинаковы по своему значению: центры более высокого ранга обладают более широким набором товаров и услуг; центры более низкого ранга имеют меньший набор товаров и услуг, к тому же обеспечиваемых частично за счет центрального места более высокого ранга. Территории, обслуживаемые центральными местами, называются дополняющими районами. Те из них, которые принадлежат центрам более высокого ранга, занимают большую территорию и включают в себя меньшие по площади дополняющие районы центров более низкого ранга.
Наиболее четко пространственная иерархия наблюдается в организации сферы обслуживания, как общественной, так и частной. Ее легко проследить на территориальной организации управления, охраны порядка, просвещения, здравоохранения, оптовой и розничной торговли, банково-финансовой сферы.
В.Кристаллер определял центральность места по соотношению всех обеспечиваемых им услуг, оказываемых его собственным жителям и приезжим из дополняющего района, и услуг, необходимых только его собственным жителям. Число оказываемых услуг прямо связано с показателем центральности: при высоком показателе на каждого жители приходится много видов услуг, при низком — всего несколько видов.
Для расчета показателя центральности в конкретных условиях Германии 20-х гг. Кристаллер отобрал один, но репрезентативный показатель, отражающий широту спектра услуг, оказываемых данным городом как центральным местом в изучаемой системе расселения. Этим показателем стало число междугородних телефонных разговоров; центральность города равнялась общему числу зарегистрированных в нем телефонов минус людность города, умноженная на среднее число телефонов, приходящееся на одного жителя в дополняющем районе. По существу этот показатель определяет разность между ожидаемым уровнем услуг, который необходим городу, чтобы обслужить своих собственных жителей, и уровнем, реально существующим в этом городе. Показатель центральности позволил Кристаллеру выделить уровни иерархии в реальной системе расселения Южной Германии.
Приняв геометрическую окружность, центр которой совпадает с данным центральным местом, как оптимальную форму для дополняющего района, Кристаллер показал, что группа центральных мест одного ранга будет иметь систему дополняющих районов, образующих правильную решетку. Однако в процессе формирования этих решеток круговые формы дополняющих районов оставят при сплошном заполнении территории «пустые» участки, либо зоны перекрытия двух соседних дополняющих районов. Поэтому оптимизация геометрических свойств решеток приведет к замене круговых форм шестиугольниками — гексагональными структурами.
Возникновение подобных правильных структур обусловлено пятью основными предположениями теории центральных мест:
1) формирование структур идет на плоской неограниченной поверхности с изотропными свойствами и равномерным распределением покупательной способностью населения;
2) покупка центральных товаров должна осуществляться в ближайшем центральном месте данного ранга;
3) дополняющие районы занимают полностью рассматриваемую территорию, где формируется система центральных мест;
4) поездки за товарами и услугами должны быть сведены к минимуму;
5) ни одно из центральных мест не должно получать избыточную прибыль.
Среди неявных допущений основное место, как и в предыдущих теоретических построениях, занимает «экономическое равновесие». В теории центральных мест его можно трактовать как равенство спроса и предложения как для системы в целом по всей совокупности товаров и услуг, так и для каждого центрального места по каждому товару и каждой услуге.
Второе допущение исключает конкуренцию между центральными местами одного ранга и круговую форму дополняющих районов, поскольку зоны перекрытия нужно будет как-то делить между двумя местами. Менее плотной укладке этих районов препятствует допущение третье. Поэтому гексагональная структура строго соответствует принятым предположениям и может гарантировать, что потребители товаров и услуг могут ограничиться в своих поездках ближайшими центральными местами.
Система допущений позволяет рассматривать несколько вариантов размещения центрального места в иерархии расселения при смене размера дополняющего района и числа обслуживаемых населенных пунктов.
Кристаллер ввел для этих вариантов один фиксированный параметр — число К, обозначающее сумму обслуживаемых населенных пунктов; первый вариант — К = 3, при котором центральное место данного ранга обслуживает самое себя и 1/3 из шести ближайших населенных пунктов или центральных мест низшего ранга.
В этом случае обеспечение товарами и услугами максимально приближено к обслуживаемым населенным пунктам, что ведет к оптимизации рыночной структуры. По условию центральное место более высокого порядка должно тогда обслуживать лишь два соподчиненных ему населенных пункта более низкого порядка, в результате чего возникает асимметричный дополняющий район. С другой стороны, центральное место более высокого порядка может делить тех же соседей с двумя другими, возможно, конкурирующими соседними центрами. На рис. 13, А населенный пункт 2 лежит на стыке трех дополняющих районов (с центральными местами 1, 3 и 4).




Рис. 13. Варианты организации территории по модели центральных мест. Правильная сеть населенных пунктов разделена тремя разными способами (А, Б, В) путем расширения и вращения шестиугольных ячеек. Затем эти ячейки можно сгруппировать по принципу соподчинения, чтобы получить ряды центральных мест более высокого порядка. Например, схема Г показывает размещение центров более высокого порядка в оптимизации транспортной сети при К = 4. При этом центры более низкого порядка «гнездятся» внутри рыночных зон более высокого порядка.
· — центральное место;
о — обслуживаемый населенный пункт;
—— — граница дополняющего района;
------ — автомагистрали, соединяющие центральные места
Фиксированные К-оценки позволяют повышать уровни соподчинения и надстраивать на исходной схеме размещения центральных мест принципиально неограниченное число уровней иерархии. На рис. 13, Г показан процесс наложения двух более высоких уровней иерархии на первый уровень. При этом с добавлением каждого более высокого уровня размеры шестиугольных районов увеличиваются, а число центральных мест сокращается в 4 раза. Если на первом уровне было 4000 центральных мест, то на следующем уровне их будет 1000, на еще более высоком — 250.
Еще более наглядно это выражено при движении сверху вниз по уровням иерархии. Если мы используем для примера идеализированную систему школьного образования с К =4, состоящую из трех уровней, то одна средняя школа принимает выпускников четырех восьмиклассных школ, в каждую из которых поступают ученики четырех начальных школ. Типичные ряды для рассмотренных трех вариантов организации системы центральных мест с фиксированными К-оценками будут соответственно:
1, 3, 9, 27 ... для К = 3;
1, 4, 16, 64 ... для К = 4;
1, 7, 49, 343 ... для К = 7.
Наиболее серьезная модификация исходной схемы теории центральных мест принадлежит А.Лёшу. В его обширной книге дано более строгое объяснение формирования рыночных зон и иерархий, расширена сфера применения теории на любые виды производства, а не только сферу услуг, введено представление о переменных значениях К-оценок и предложены новые принципы построения экономического ландшафта с учетом агломерационных эффектов. Приведем сжатое изложение общих подходов А.Лёша с необходимыми иллюстрациями.

Рис. 14. Ценовые воронки и конусы спроса:
1 — кривая спроса; 2 — конус спроса; 3 — ценовая воронка
А.Лёш исходил из того, что есть чисто экономические причины дифференциации человеческой деятельности на поверхности Земли, даже если абстрагироваться от географических и исторических различий от места к месту. Этих основных причин три: транспортные издержки, экономия от масштаба и потребности сельского хозяйства в пространстве. При действии «экономии масштаба» и отсутствии транспортных издержек все производство концентрировалось бы в одном или немногих местах на заводах оптимальных размеров, размещенных случайным образом. При наличии транспортных издержек и отсутствии экономии масштаба производство могло бы вестись в малых размерах в любом месте. При действии обоих факторов несельскохозяйственные виды деятельности — промышленность и сфера услуг — будут размещаться в местах, между которыми произойдет определенное разделение рынков сбыта, что приведет к пространственной дифференциации территории. Для формализации отношений между факторами введены новые понятия — ценовые воронки и конусы спроса.
Пусть население расселено равномерно и вкусы людей одинаковы. Если FT (рис. 14.1) — кривая индивидуального спроса на пиво и ОР — цена на пиво в месте Р, то местные жители купят PQ бутылок пива. По удалении от места Р цена вырастет на размер транспортных издержек и объем спроса соответственно уменьшится. В F пиво из Р вообще не будет продано. Следовательно, общий объем сбыта равен объему конуса, образованного вращением треугольника PQF вокруг PQ (рис. 14.1). Завод, расположенный в Р, окружен конусом спроса (рис. 14.2) и ценовой воронкой (рис. 14.3), которая становится круче с повышением удельных транспортных издержек. Ареал сбыта пивоваренного завода образован окружностью с радиусом l . Аналогично ареалы сбыта ячменя, хмеля и труда образуются кругами различных радиусов вокруг Р.
Второй вариант системы центральных мест — оптимизация транспортной сети, что требует соответствующей перестройки границ дополняющих районов, как это показано на рис. 13, Б. В этом случае определенное число населенных пунктов располагается на транспортных магистралях, связывающих более крупные города. Например, кратчайший путь между центральными местами 1 и 5 проходит через обслуживаемый населенный пункт 2. Требованию транспортной оптимизации соответствует иерархия с К = 4, когда центральное место более высокого порядка обслуживает три соседних населенных пункта более низкого порядка. Такое положение может возникнуть при доминировании данного центрального места над тремя из шести своих ближайших соседей, или же если этот центр делит свое влияние на шесть ближайших соседей с другим центральным местом того же ранга в иерархии.
Третий вариант соответствует оптимизации административной структуры, при которой происходит четкое разграничение центральных мест разных рангов в иерархии. Это возможно только в том случае, если каждый населенный пункт более высокого порядка включает в свой дополняющий район все центры более низкого ранга, т.е. эти центры располагаются внутри рыночной зоны данного центрального места. На рис. 13, В населенный пункт 2 находится в пределах рыночной зоны центрального места 1. Подобная организация приводит к иерархии с К = 7.
Во всех трех вариантах предполагается, что зависимости, установленные для одного уровня соподчинения, сохраняются и на более высоких уровнях. Поэтому исходную схему в теории центральных мест называют иерархией с фиксированными К-оценками, поскольку одни и те же соотношения одинаково справедливы для уровней иерархии населенных мест.
Пока производство будет приносить прибыль, будут строиться новые пивоваренные заводы или расширяться старые. Конкуренция сожмет круглые ареалы сбыта в одинаковые правильные шестиугольники: так понятие «конуса спроса» позволяет более строго объяснить феномен образования круглых ареалов, а затем их смены шестиугольниками. Процесс заполнения рынка будет идти до тех пор, пока не останется неохваченных территорий, а рост прибылей прекратится. Образующаяся правильная структура, изоморфная пчелиным сотам, минимизирует общие транспортные расходы. Это верно для любого товара. С другой стороны, размер шестиугольника зависит только от индивидуального спроса на пиво и от размеров транспортных издержек на пиво и на сырье для его производства.
Все это было показано неоднократно со времен штандортной теории размещения производства. Но критерий транспортных издержек, как правило, различен для разных видов товаров и услуг, и оптимальное расстояние между пивоваренными заводами не может быть оптимальным для пекарен или прачечных. Тем не менее на практике определяется наилучшее среднее расстояние, и люди группируются в равномерно размещенные поселения, каждое из которых будет иметь и булочную, и пивную, и прачечную.
Здесь необходимо ввести двойственные отношения между сельским хозяйством и промышленностью. Площадной и точечный характер размещение этих двух основных видов материального производства логично приводит к выгодам дисперсного, равномерного расселения для потребления сельскохозяйственных товаров и концентрированного для потребления промышленных товаров. Пока сельское хозяйство остается важным поставщиком товаров на рынок, тенденция к рассредоточению населения будет сохраняться.
Поэтому приведенная на рисунке 14, 3 ценовая воронка наглядно характеризует тенденцию к точечному размещению промышленности и концентрации населения. Продажа аграрной продукции большим городам характеризуется градиентами культур — непрерывными по форме двойниками колец Тюнена. Этот простой вывод прямо вытекает из дуалистичности отношений «промышленность—сельское хозяйство», а также торговых и военно-административных функций городов.
В реальности наблюдается прерывистое расселение, которое можно объяснить двумя основными причинами: компромиссом между близостью к аграрному или промышленному производству; особенностями самого сельского хозяйства. Загон для скота, колодец, фермерский дом занимают не большие площади, а отдельные точки. Поэтому некоторые процессы в размещении служб и самих ферм изоморфны размещению в промышленности. Гексагональная решетка — оптимальная форма для размещения совокупности ферм и каждой отдельной фермы, где дома разместятся в центрах шестиугольников на решетке 60-й степени.

Рис. 15. Рыночные ареалы при п = 7 (1 ) и п = 9 (2 ) эквивалентных покупателей
От подобной решетки логичен переход к анализу размера рынков, который ограничен прерывистой сетью фермерских поселений. При издании сельской газеты несущественно относительное положение типографии и ближайшего или отдаленнейшего угла фермы подписчика: разносчик доставляет газету либо в дом, либо в почтовый ящик, который также размещается по 60-степенной решетке. Если экономично издание семи экземпляров, то каждая газета обслуживает ареал, подобный изображенному на рисунке 15, 1. Если необходимо издание девяти экземпляров, то зона сбыта включит семь первоначальных подписчиков в N (H1 — H6 ) плюс 1/3 от шести ферм J1 — J6 следующего кольца (рис. 15.2). Остальные 2/3 ферм читают конкурирующую газету, например N1 . Издание и обращение 7,5, 8,0 или 8,5 экземпляров и существование шестиугольников, промежуточного размера невозможно, причем не из-за прерывистого числа издаваемых экземпляров газет, а из-за прерывистого числа подписчиков на эти газеты. Этот простой пример позволяет перейти к формализации наиболее серьезных положений теории центральных мест, по А.Лёшу. Для этого введем три определения:
1) п — число эквивалентных покупателей; если покупатель, подобно J3 расположен на границе, то его спрос делится равными частями между поставщиками тех ареалов, с которыми он граничит. На рис. 15, 2 каждый покупатель J делит спрос на три части, которые затем добавляются к двум эквивалентным покупателям для поставщика N1 , который также имеет девять эквивалентных покупателей.
2) b — расстояние между городами, где производятся конкурирующие товары.
3) a — расстояния между исходными поселениями. Результаты несложных выкладок:
, (1)
т.е. расстояние между двумя подобными предприятиями пропорционально корню квадратному из числа эквивалентных покупателей.
Тогда
, (2)
— размер рыночного ареала в этих условиях; и число эквивалентных покупателей возрастает скачкообразно в соответствии с формулами:
(3.1)
, (3.2)
где j
меняется в своем значении от нуля до К
в целых числах сначала в соответствии с (3.1), а затем с (3.2) и где К меняет свое значение в целых числах от единицы до бесконечности (
).
Таким образом, 17 наименьших рыночных ареалов имеют — 3, 4, 7, 9, 12, 13, 16, 19, 21, 25, 27, 28, 31, 36, 37, 39 и 43 эквивалентных покупателей. Расчет 12 из них отражен в таблице 2.
Таблица 2
| № |
п |
№ |
п |
| 1 |
|
3 |
|
| 2 |
|
4 |
|
| 5 |
|
8 |
|
| 6 |
|
9 |
|
| 7 |
|
10 |
|
| 11 |
|
15 |
|
От единичных ареалов и их правильных сетей перейдем к системе сетей. При однообразном размещении населения каждое производство независимо от непрерывного или дискретного расселения будет иметь характерные размеры шестиугольных рыночных ареалов и делить пространство на сеть подобных фигур. Теперь, если две, три или более подобных сетей наложить одна на другую случайным образом, то их сочетание не будет ни однообразным, ни случайным. Наметятся сгущения сетей и благодаря их правильной форме эти сгущения образуют упорядоченные структуры. Это общее положение справедливо и для центров шестиугольников, которые также сгустятся в правильные, регулярные структуры.
Именно поэтому мы видим в малых поселениях закономерное соседство пекарни и пивоваренного предприятия, или пекарни и прачечной. Реже в подобном поселении или квартале можно встретить все три вида деятельности. Иными словами, наложение сетей приводит к тому, что производственные центры возникают, несмотря на непрерывное и равномерное расселение.
Теперь введем предположение, что сети шестиугольников, наложившиеся одна на другую случайным образом, имеют не непрерывно варьирующие диаметры, но сводятся к немногим размерным величинам. Тогда сгущения и их структуры становятся более частыми, так как небольшое число диаметров имеет наименьшие общие кратные числа, которые не встречались бы ранее. Когда дома фермеров располагаются в центрах шестиугольников решетки 60-й степени, тогда интенсифицируются тенденции к концентрации производства, низким ценам, высокой заработной плате и усилению маятниковой миграции.

Рис. 16. 1 — система сетей; 2 — «зубчатое колесо»
«Зубчатое колесо» городов. Теперь совместим шестиугольные сети возможных размеров так, что они будут иметь по меньшей мере одну общую точку — метрополис (рис. 16, 1 ). Будем вращать эти сети так, чтобы получить структуру в виде зубчатого колеса с шестью секторами, где разместится множество мест производства, а в шести промежуточных секторах их будет очень мало (рис. 16, 2 ). (Эмпирически это подтверждает пример Москвы, двенадцатилучевая агломерация которой отличается чередованием «сильных» и «слабых» лучей.) Подобная структура позволяет:
1) совместить большое число размещений и максимизировать локальные покупки;
2) минимизировать суммы кратчайших расстояний, а, следовательно, и перевозки, транспортные издержки и трассы автодорог;
3) очень глубокая ценовая воронка вокруг метрополиса будет окружена кольцом воронок равной глубины вокруг региональных центров и менее глубокими воронками в зонах между кольцами.
Эти результаты имели два очень важных последствия для традиционной теории размещения. Во-первых, стало ясно, что понятие экономический район — вторичное, а не первичное. Теория международной торговли может быть с этих позиций объяснена лучшим образом, чем в связи с предположениями о территориальных различиях в издержках на «однородной экономической поверхности» глобуса.
Во-вторых, ценовые воронки заполняют экономический ландшафт так полно и плотно, что лишают содержательного смысла концепцию локальных уровней цен. Поэтому становятся невозможны простые выводы о сравнительных преимуществах, миграции факторов производства или паритетах покупательной способности. Все это привело к значительному развитию теорию международного обмена, основанную на теории Рикардо и теореме Хекшера—Олина.
Межрегиональное равновесие. Введение предположения об однородности природной среды дает возможности одновременно определить характеристики людей, товаров и мест. Каждый человек обладает своим набором индивидуальных потребностей (спроса). Каждый товар требует определенных затрат и определенных размеров ареала сбыта. Каждое место размещения в соответствии с показателями ренты и цен привлекает или выталкивает определенные отрасли и диктует своим жителям, как истратить свои доходы.
При равенстве других статей с помощью анализа предельной полезности и предельных издержек можно ответить на следующие вопросы:
1. Что производит данный человек?
2. Где живет данный человек?
3. Кто работает на производстве данного товара?
4. Кто живет в определенном месте?
5. Что производится в данном месте?
6. Где данный товар производится?
Что все шесть ответов могут быть даны одновременно, не является сюрпризом для экономистов. Данные по спросу, транспортным издержкам, балансовые уравнения и предельные условия достаточны для получения решения.
Одним из первых встает вопрос о реакции равновесной системы на возмущения и нарушения. Краткосрочные колебания объемов производства и цен компенсируются на месте, а долгосрочные нарушения ведут к изменению объемов и структуры занятости или к миграции отрасли. В реальности описанные шесть отношений играют свои роли в соответствии с эластичностями их цен, времени и пространства.
А.Лёш уделил много внимания краткосрочным нарушениям и проблеме трансферта — миграции производства. Всю совокупность факторов он свел воедино с помощью одной ведущей концепции — ценовых волн.
Предположим, что иностранная фирма внезапно заказала в Париже большую партию обуви вместо того, что закупать ее, как прежде, в Берлине. Тогда в Париже цена на обувь возрастет, ее ареал сбыта увеличится, но возникнут трудности с сырьем и рабочей силой. Для выполнения большого заказа будут привлечены рабочие с других производств, для чего будет поднята заработная плата. Соседние обувные фабрики столкнутся с дефицитом рабочих рук и сырья, поднимут цены на свою продукцию и начнут конкурентную борьбу за сохранение собственных ареалов сбыта.
Тем самым Париж станет фокусом ценовой инфляционной волны, которая охватит большую территорию, но с падающей интенсивностью. Это падение будет следствием раздела импульса между все возрастающим числом обувных фабрик и других видов деятельности. Берлин же станет фокусом дефляционной волны.
Ценовые волны ослабеют из-за их разделения; однако их общий объем останется постоянным и раньше или позже произойдет компенсационная абсорбция. Например, Люксембург с его новым доходом за счет ценовой волны может пожелать купить точно то же, от чего Лейпциг должен будет отказаться. Это заглушит волну, а не просто разделит или отклонит ее импульс. Компенсаторная передача товаров может проявиться в любом месте — в Сааре, на Рейне или в Монголии. Но это не должно быть на франко-немецкой границе.
В целом теория А.Лёша сопоставима с такими фундаментальными подходами в экономическом анализе, как максимизация, чистая конкуренция, экономическое равновесие. Можно указать и на менее очевидные концептуальные аналоги. Так, падающая кривая спроса (рис. 14), использованная для построения системы сбытовых зон и ценовой воронки, — аналог несовершенной конкуренции. Локализация производства соотносится с дифференциацией продуктов. Пространство играет ту же роль для анализа сельского хозяйства, что и время в теории движения капитала. Подобно тому, как в рамках балансовых систем определяются не абсолютные, а относительные цены равновесия, так и в системе Лёша фокусные центральные места — метрополии — сами по себе могут вырасти в любом месте. Все это ставит теорию центральных мест в особое положение и в географии, и в экономике.
Задания
1. На разные листы кальки нанесите в одном и том же масштабе сети центральных и зависимых мест с различными К-оценками: а) воспроизведите принцип оптимизации ареалов сбыта путем наложения ряда сетей, кратных К = 3; б) воспроизведите теорию Лёша путем наложения сетей различных размеров.
Предположите, что каждая из сетей отражает распределение различных товаров (например, в системе Лёша сеть К = 3 могла бы представлять зону сбыта бакалейного магазина, сеть К = 4 — зону сбыта мясной лавки и т.п.).
2. Для обеих систем, Кристаллера и Лёша: а) проверьте сочетание функций, возникших в каждом центральном месте; б) постройте иерархию центральных мест; в) проверьте размещение центральных мест одного иерархического порядка.
Каковы основные различия между двумя системами?
Географическое распространение научно-технического прогресса — теория диффузии нововведений
Современная научно-техническая революция во много раз повысила значимость нововведений во всех видах деятельности и отраслях хозяйства. Место в системе международного разделения труда и уровень доходов непосредственно связаны с затратами на НИОКР — фундаментальную и прикладную науку, технологию, опытные образцы. Скорейшая адаптация нововведений во многом определяет и чисто коммерческий успех, и общее социально-экономическое и культурное развитие стран и регионов. Все это придало теоретическому изучению географических закономерностей распространения нововведений в любом виде деятельности большой смысл.
Эмпирический анализ процессов распространения различных явлений в пространстве показал, что они носят отчетливый характер диффузии. Это общенаучный термин, обозначающий процессы распространения, рассеивания, растекания, перемешивания. Все они широко исследуются в естественных науках с помощью хорошо развитого математического аппарата. Однако для однозначной трактовки термина необходимо его более строгое определение, включающее типологию основных видов диффузии.
В географии понятие «диффузия» используется в двух различных значениях. Диффузия расширения описывает процесс, в ходе которого некоторое явление (материального или информационного характера) распространяется от одного ареала (города, района, страны) к другому. При этом данное явление сохраняется и в пределах первичного ареала, нередко становясь еще более ярко выраженным или многочисленным. Например, диффузия новых сортов культурных растений и т.п.
При диффузии перемещения изучаемое явление покидает свой первоначальный ареал и перемещается на новые территории. Например, переселение сельских жителей в города, ведущие в ряде развитых стран к обезлюдению деревень; ход ряда массовых эпидемических заболеваний.
В свою очередь, диффузия расширения имеет две основных разновидности — контагиозную и каскадную (иерархическую) диффузию. Первая из них определяется непосредственными контактами, наподобие тех, которые приводят к распространению инфекционных заболеваний. Поэтому контагиозная диффузия нашла наиболее широкое применение в медицинской географии.
Каскадная диффузия связана с распространением явления через правильную последовательность соподчиненных градаций, т.е. в рамках иерархической системы. Этот процесс постоянно наблюдается при распространении новых потребительских товаров и мод по всей иерархии поселений — от мировых центров до глухих деревушек в развивающихся странах. Строго говоря, каскадная диффузия обычно описывает распространение строго «сверху—вниз», в то время как иерархическая может применяться для анализа процессов, зародившихся на разных уровнях иерархии, не обязательно самых высших.
Основы географической теории диффузии нововведений были заложены в труде шведского географа Т.Хагерстранда «Пространственная диффузия как процесс внедрения нововведений», впервые изданном в 1953 г. в старом университетском центре — Лунде на шведском языке. Основные работы Т.Хагерстранда получили широкое распространение в научном сообществе и дали толчок многочисленным теоретическим и эмпирическим исследованиям в этой области.
Начав с конкретного изучения процессов диффузии на примере нововведений в сельском хозяйстве Швеции, Хагерстранд смог построить первую теоретическую модель диффузии с помощью имитационного подхода. Структура имитационной модели определяется рядом формализованных предположений и правил, описывающих исходную простую версию теоретической модели Хагерстранда.
Основные понятия операционной модели диффузии нововведений — расстояние, поле, контакт, информация. Их сочетание приводит к ключевым понятиям контактного поля и среднего поля информации.
Поскольку любая диффузия связана с расстоянием, постольку необходим строгий подход к его измерению. В зависимости от характера изучаемой диффузии расстояние может измеряться в разных метриках: обычной эвклидовой, когда расстояние берется в километрах по воздушной прямой или по дорожным трассам; условно-эвклидовой, когда вместо километров используются показатели транспортных издержек или затрат времени; радиально-кольцевой или прямоугольной (манхеттеновой), когда учитывается расстояние по дорожной сети в городе соответствующей планировки; ранговой, когда учитывается переход с одного уровня на другой, как это происходит в случае иерархической диффузии.
Введем предположение, что вероятность контакта между двумя любыми индивидуумами (группами людей, городами, районами) будет ослабевать по мере увеличения расстояния между ними. Следовательно, вероятность получения информации обратно пропорциональна расстоянию между источником (передатчиком) информации и ее получателем (адаптером).
Эта зависимость поддается математическому отображению. Так, анализ междугородних телефонных разговоров выявил экспоненциальный характер подобной зависимости, т.е. по мере удаления на единицу расстояния число переговоров сокращалось вдвое. При картографическом выражении этой зависимости мы получаем характерный рисунок, получивший название «контактного поля».
Это понятие можно использовать для анализа диффузии любого типа. Для этого в каскадной (иерархической) диффузии следует использовать соответствующие методы измерения расстояния между уровнями иерархии. Существенно, что в этом случае расстояния могут быть несимметричны: движение между двумя уровнями иерархии может требовать разных затрат.
Для введения представления о контактном поле в операциональную модель прогноза процесса диффузии нововведений Хагерстранд использовал принцип вероятностей контакта для определения среднего информационного поля, т.е. некоторой территории, в границах которой могут осуществляться контакты между источниками нововведений и адаптерами.
| 0,0096 |
0,0140 |
0,0168 |
0,0140 |
0,0096 |
| 0,0140 |
0,0301 |
0,0547 |
0,0301 |
0,0140 |
| 0,0168 |
0,0547 |
0,4432 |
0,0547 |
0,0168 |
| 0,0140 |
0,0301 |
0,0547 |
0,0301 |
0,0140 |
| 0,0096 |
0,0140 |
0,0168 |
0,0140 |
0,0096 |
Рис. 17. Исходная сетка вероятностей контакта

Рис. 18. График вероятности контакта в зависимости от расстояния

Рис. 19. Среднее поле информации
На графике (рис. 18) показано в разрезе круговое поле, наложив которое на исходную квадратную сетку, состоящую из 25 ячеек, где в каждой указана вероятность контакта, можно получить суммарные показатели для ячеек среднего поля информации. Очевидно, что вероятность контакта (В) очень высока для центральных ячеек — свыше 40% (В = 0,4432). Для угловых ячеек, наиболее удаленных от центра, вероятность контакта меньше 1% (В = 0,0096).
Для определенных целей следует просуммировать вероятности, приписанные ячейкам среднего поля информации (СПИ). Так, верхняя левая ячейка соответствует первым 96 цифрам в интервале 0—95. Следующая ячейка в верхнем ряду располагает более высокой вероятностью контакта (В = 0,0140) и соответственно следующим 140 цифрам в интервале 96—235... Для последней ячейки получаем порядковые цифры в интервале 9903—9999, что дает для полного СПИ сумму в 10 000. Знание этих цифр необходимо для «управления» распространением информации в предложенном простом случае распределения населения в СПИ.
Структура имитационной модели Хагерстранда может быть выражена 12-ю формальными правилами, что сближает ее с дедуктивными положениями предыдущих теоретических построений.
Правила простой имитационной модели диффузии нововведений:
1. Вводится предположение, что процесс диффузии идет на однородной территории, которую можно разделить на правильную сеть ячеек так, чтобы в распределении населения на каждую ячейку приходился один человек.
2. Временные интервалы являются дискретными единицами равной продолжительности, и каждый интервал называется генерацией; начало процесса диффузии относится к моменту времени t.
3. Ячейки, располагающие каким-либо сообщением, называются «очагами» или «передатчиками» и определяются («метятся») для времени t0 . Даже одна-единственная ячейка может послужить источником нового сообщения; это определяет начальные условия возникновения процесса диффузии.
4. Очаговые ячейки передают информацию лишь один раз в течение каждого дискретного промежутка времени.
5. Передача осуществляется только путем контакта между двумя ячейками; ни один из видов массовой диффузии, связанной с массовыми средствами информации, не принимается во внимание.
6. Вероятность получения информации из очаговой ячейки зависит от расстояния между ней и ячейкой, получающей информацию.
7. О восприятии информации можно говорить после того, как хотя бы одно сообщение оказывается принятым; ячейка, получившая информацию из очаговых ячеек в интервале времени t x , начиная с интервала tx+1 сама становится передатчиком этой информации.
8. Сообщения, полученные ячейками, расположенными за пределами изучаемой территории, рассматриваются как потерянные и не влияющие на ситуацию.
9. Сообщения, полученные ячейками, которые уже восприняли данную информацию, рассматриваются как избыточные и не влияющие на ситуацию.
10. В каждый интервал времени среднее поле информации по очереди центрируется над каждой очаговой ячейкой.
11. Местоположение ячейки, к которой должна передаваться информация от очаговой ячейки, определяется внутри СПИ как случайное.
12. Диффузия может прекратиться на любой стадии; однако, когда все ячейки в границах изучаемой территории получили информацию, никаких изменений в ситуации произойти не может и процесс диффузии на этом завершается.
Ключ к использованию модели содержится в правилах 10 и 11. В каждый интервал времени СПИ помещается над каждой очаговой ячейкой так, что центральная ячейка решетки совмещается с ячейкой-очагом. Затем берется любое случайное число из последовательности чисел от 0000 до 9999 и используется для нахождения адресата сообщения в соответствии с правилами 4—6. Случайные числа представляют собой набор чисел, выбранных абсолютно наугад. Их можно взять из публикаций таблиц случайных чисел или использовать программу для ЭВМ. Эта процедура отражена на рис. 20.

Рис. 20. Имитационное моделирование процесса диффузии. Начальные стадии модели иллюстрируются при помощи среднего поля информации. Цифры относятся к вероятности контактов, определяемых с помощью выборки случайных чисел. При внутренних контактах, т.е. контактах с ячейкой, на которую центрировано СПИ, в эту ячейку добавляется кружок
Для первой генерации из таблицы случайных чисел взято число 0624; поэтому сообщение передается к ячейке, лежащей к северо-востоку от исходного получателя информации, размещенного в очаговой ячейке. В целом рис. 20 показывает начальные стадии процесса диффузии. В каждой генерации СПИ по очереди центрируется над всеми очаговыми ячейками, располагающими информацией.
Поскольку в модели используется механизм случайной выборки, постольку при работе с ней мы получаем при каждом отдельном эксперименте иную картину географического размещения явления. Проведя на компьютере тысячи подобных экспериментов, мы обнаружили бы, что их суммарный эффект соответствует распределению вероятностей в первоначальном СПИ; следовательно, нам нужно вернуться к исходному распределению.
Модель Хагерстранда можно использовать при анализе не только простых процессов диффузии, исход которых заранее предсказан, но и при более сложных случаях, когда конечный результат диффузии нам неизвестен. Кроме того, модель поддается усложнению и модификации, так как служит логической основой для более реалистичных объяснений процесса диффузии. Кратко остановимся на основных направлениях этой модификации: 1) отказ от однородной поверхности; 2) оценка восприимчивости к диффузии и кривая насыщения; 3) границы и препятствия на пути процесса диффузии.
При замене однородной равнины иерархией населенных пунктов значения вероятностей должны быть отнесены не к ячейкам решетки, а к связям между населенными пунктами.
Для учета неравномерности заселения территории можно несколько изменить правило 1 и допустить, что население распределено нерегулярно и что в разных ячейках содержится неодинаковое количество людей. В этом случае вероятность контакта станет функцией не только расстояния между очагами-ячейками и ячейками, куда поступает информация, но и числа людей в каждой ячейке. Простым умножением мы получим взвешенное произведение вероятности контакта вместо исходного, полученного для равномерного распределения 1 человек — 1 ячейка; в формализованном виде мы получим простую формулу:
,
где
— взвешенная вероятность контакта с i
-ой ячейкой с учетом СПИ и населения;
—
исходная вероятность контакта с i
-ой ячейкой на основе вычислений по 25-клеточному СПИ;
Ni — число в i -ой ячейке;
— сумма всех значений C'N
для 25 ячеек внутри СПИ, включая i
-ую ячейку.
Уточненные значения вероятности С" необходимо пересчитывать каждый раз при передвижении сетки СПИ с тем, чтобы сделать поправку на пространственные различия в плотности населения.
Для учета различной степени восприимчивости населения к нововведениям следует внести изменение в правило 7. Постулат о восприятии информации в момент ее поступления слишком упрощает реальный ход процесса диффузии. Эмпирические наблюдения показали, что в первом приближении можно разделить все население на небольшую группу «новаторов», сразу воспринимающих новшество, аналогичную группу «консерваторов», дольше всего упорствующих в его восприятии, и наибольшую промежуточную группу, члены которой принимают новшество позже новаторов, но раньше консерваторов. Подобный симметричный ход процесса диффузии обычно описывается с помощью S-образной кривой, которая может быть аппроксимирована логистическим распределением, выраженным уравнением:
![]()
где Р — доля населения, воспринявшая новацию;
и — верхний предел доли лиц, воспринявших информацию;
t — время;
а — значение Р при t = 0;
b — константа, определяющая скорость возрастания Р с t;
е — основание натуральных логарифмов (2,718).
В графическом виде это уравнение отражено на рис. 21.
Например, при и = 90%, а = 5,0 и b = 1,0 доля лиц, воспринявших новшество, будет составлять 4% при t = 2; 28% при t = 4; 66% при t = 6; 85% при t = 8 и т.д. На рис. 21 ясно видно, что константа b оказывает решающее влияние на форму кривой. Малым значениям соответствуют сглаженные участки кривой (рис. 21, 1 ), а более высокие значения описывают ход диффузии, характеризующийся медленным развитием на начальной стадии, взрывным характером в средний период и затуханием в конце (рис. 21, 2). В целом логистические кривые хорошо характеризуют и степень устойчивости к новшествам, и ход процесса диффузии, и время насыщения — затухание процесса.

Рис. 21. Восприятие нововведения во времени
Для учета граничных эффектов в процессе диффузии нововведений следует модифицировать правило 9, согласно которому сообщения, распространившиеся за пределы изучаемой территории, считались утраченными и не влияющими на ситуацию. Введение специальной пограничной зоны, охватывающей половину ширины сетки СПИ, позволило процессу диффузии проходить через внешние очаговые ячейки.
Более содержательной оказалась модификация Р.Юилла, который учел влияние на процессе диффузии четырех различных типов внутренних препятствий. Он использовал 540-клеточную матрицу и 9-ячеечную сетку СПИ, где выделены ячейки-барьеры (см. рис. 22, 1 —4). В этой сетке четыре типа подобных ячеек расположены по степени ослабления барьерного (тормозного) эффекта:
I) сверхпоглощающий барьер не только поглощает сообщение, но и разрушает его источники;
II) поглощающий барьер абсорбирует сообщение, но не влияет на его источник;
III) отражающий барьер не воспринимает сообщение и позволяет передающей ячейке передать новое сообщение за тот же промежуток времени (см. стрелки на рис. 21, 1 );
IV) барьер направленного отражения также не поглощает сообщение, но изменяет его направление в сторону ячейки, ближайшей к источнику сообщения.

Рис. 22. 1—4. Препятствия и волны диффузии
Каждая ситуация для этих четырех типов барьеров анализировалась по отдельности, а результаты наносились на график (рис. 21, 2). На рис. 21, 3—4 изображено прохождение линейной диффузии через отверстия разного типа.
Время, необходимое для восстановления первоначальной линейной формы волны, определяет скорость восстановления. В приведенных типах препятствий линейный фронт волны диффузии восстановился через 11 генераций для случая с прохождением через отверстие в препятствии и через 9 генераций для случая с обтеканием препятствия. Скорость восстановления фронта волны непосредственно связана как с типом препятствия, так и с его длиной. Кривая, характеризующая ситуацию при барьере I типа (сверхпоглощающем), резко отличается от кривых для остальных трех типов препятствий.
С помощью барьеров различных типов, включая проницаемые препятствия, можно моделировать различные реальные условия диффузии нововведений, вводя в исходную модель каналы с низким сопротивлением для ускорения диффузии или высокоустойчивые буферные зоны, замедляющие диффузию. В реальных условиях мирового хозяйства и современной роли новшеств в производстве, организации, маркетинге роль диффузионных процессов и восприимчивость к нововведениям становится одним из важнейших параметров мирового развития.
Вопросы
1. Дайте качественное описание различных видов диффузии.
2. Каковы основные понятия исходной модели диффузии нововведений?
3. Каково операциональное значение концепции «среднего поля информации» (СПИ)?
4. Какие правила исходной модели являются ключевыми для ее использования?
5. Какие правила исходной модели можно видоизменить при модификации модели?
6. Какое математическое выражение описывает процесс диффузии до стадии насыщения?
7. Каковы основные типы барьеров (препятствий) можно выделить при общем описании диффузии нововведений?
Место агропроизводства в современной экономике
Занятость в сельском хозяйстве. В середине 80-х гг. на нашей планете буднично свершилось событие, которое по праву можно считать примечательной вехой в истории цивилизации: в сельском хозяйстве оказалось занятым менее половины всего самодеятельного населения. Тем самым человеческое общество сделало очередной шаг на своем экономическом пути. Согласно международной статистике доля мужского рабочего населения, занятого в агропроизводстве, служит показателем, на основе которого страны делятся на индустриальные (менее 35%), полуиндустриальные (35—59%) и аграрные (60% и более). Таким образом, современный мир можно характеризовать как полуиндустриальный. Это обобщающее заключение отражает универсальную тенденцию, которая с явно неоднозначной силой проявляется в разных частях земного шара и потому выступает компромиссным следствием взаимодействующего сосуществования двух групп стран: с развитой экономикой и развивающихся.
В первой из них доля самодеятельного населения, добывающего средства к жизни непосредственно аграрным трудом, на начало 90-х гг. составила в целом 8,7%, а в США и Великобритании не достигает даже 3%. Во второй группе, которая в силу своей людности определяет и глобальный итог, средний показатель равнялся 55%, в отдельных случаях приближаясь к 90%, например, в Непале. Благодаря развивающимся странам в мире еще продолжается абсолютное увеличение численности рабочей силы, вовлеченной в агропроизводство, несмотря на постоянный и по существу повсеместный отток селян в города — на учебу и ради профессионального роста, в поисках работы и пропитания.
Пионером в преодолении выше указанного 50-процентного рубежа стала еще в 30-х гг. XVIII в. Великобритания, к которой более чем через 100 лет присоединились Бельгия и Нидерланды. Только после этого процесс приобрел динамизм, охватив постепенно все страны, которые ныне называют промышленно развитыми. Под рассматриваемым углом зрения их временной отрыв от остальных исчисляется, следовательно, в 1,5—2 столетия.
Кардинальные различия в структуре занятости вызываются прежде всего тем обстоятельством, что в этих странах произошло коренное техническое переоснащение сельского хозяйства. Далеко продвинувшаяся механизация вкупе с достижениями прикладной науки, воспринятыми сельской местностью, привели к резкому сокращению потребностей отрасли в рабочей силе и скачкообразному росту производительности труда. В результате один фермер оказался в состоянии обеспечивать продовольствием до 80 человек и более, как это наблюдается в Нидерландах, Дании, Бельгии, Великобритании и США, что позволяет не только удовлетворять внутренний спрос, но и поставлять продукцию на экспорт.
В развивающихся странах, где агропроизводство до недавнего времени почти полностью базировалось на архаичной ручной технике, производительность труда удерживалась, по некоторым, возможно, излишне пессимистическим оценкам, на уровне, свойственном еще античной Греции и Риму, или была даже несколько ниже. Посему рядовой крестьянский двор в третьем мире с трудом удовлетворяет собственные нужды и часто не может поставить на рынок продукты питания хотя бы еще для одной семьи.
Показательно положение в Муссонной Азии с ее богатейшими традициями земледелия. Там хозяйства, придерживающиеся вековой практики возделывания риса, затрачивают на получение 1 т продукции в 20—30 раз больше живого труда, чем фермеры рисопроизводящих хозяйств в США. Но урожаи снимают в 4—5 раз ниже, поскольку в 300 раз меньше, в расчете на единицу площади, затраты энергии за счет использования коммерческих видов топлива.
Вместе с тем, механизация отнюдь не гарантирует автоматического достижения высоких экономических показателей, если у производителей нет прямой заинтересованности в конечных результатах труда («человеческий фактор»), а организационная структура отрасли далека от оптимальной. По этой причине за 1970—1990 гг. отставание сельского хозяйства СССР от США увеличилось по производительности живого труда и эффективности основных фондов с 3—4 до 9—10 раз. В 1991 г. в России затраты труда на получение одной тонны продукции превышали соответствующие показатели США еще середины 80-х гг. по пшенице в 4,6 раза, по всем зерновым, включая кукурузу, в 8 раз, по молоку — в 17 раз, по говядине в 23,5 раза. И если в российском скотоводстве механизация операций остается еще слабым звеном, то в земледелии пахота, сев и уборка зерновых практически полностью выполняются машинами.
Естественно, встает вопрос, почему активно сокращалась численность занятых в сельском хозяйстве ряда промышленно развитых стран во главе с Великобританией в тот период, когда деревня не могла быть обеспечена современной техникой. Это объясняется постепенной организацией массового импорта продовольственных товаров и аграрного сырья из колоний и полуколоний. Причем ввозимая продукция приобреталась по очень низким ценам и оплачивалась за счет экспорта фабричных изделий. Как правило, такой путь быстрой трансформации отрасли и преобразования деревни закрыт для развивающихся стран и нельзя ожидать дублирования исторического процесса.
В аграрной местности зачастую сложно разграничить участие селян в домашнем хозяйстве и их производственную деятельность, особенно если она приурочена к приусадебному наделу — огороду — или связана с первичной переработкой продукции. В результате сельскохозяйственная статистика отражает обычно не все фактические затраты труда, в первую очередь недооценивая в этом случае трудовой вклад женщин, относимых к категории домохозяек. Дефекты статистики проявляются в тем большей степени, чем активнее женщины на деле вовлечены в агропроизводство. Прежде всего, сказанное относится к Тропической Африке, где их доля в самодеятельном населении, занятом в сельском хозяйстве, как минимум близка к 50%. Не случайно, что применительно к данному региону все чаще говорят о «женской системе земледелия», жизнеспособность которой поддерживается господством на полях мотыги, ибо применять ее женщинам явно сподручнее, чем ходить в борозде за плугом.
Напротив, в Северной Африке, где не только доминирует пашенная агрикультура, но и прочны каноны ислама, аналогичный показатель составляет лишь около 15% (хотя похоже, что мусульманская семейная традиция и, в частности, практика затворничества женщин влекут за собой недоучет их реальной производственной роли в переписях и при обследованиях). Вопросы полового разделения труда, крайне слабо освещаемые в географических публикациях, имеют отнюдь не только внутрихозяйственную значимость и не замкнуты даже рамками аграрного сектора. Так, исключительный размах постоянных и сезонных миграций трудоспособных мужчин из сельских районов в города Тропической Африки стал во многом возможен потому, что выполнение большинства видов земледельческих работ лежит на женских плечах. Отсюда вытекает, кстати, остающаяся без должного внимания задача организации профессионального обучения женщин на селе. Она касается и промышленно развитых стран, где при всей пестроте наблюдаемой картины тоже сохраняет актуальность: например, в Нидерландах почти на половине ферм женщины активно участвуют в производственном процессе, затрачивая на это 22,3 часа в неделю.
Сельское хозяйство в системе агропромышленного комплекса. При проведении разного рода статистико-географических сопоставлений требуется учитывать, что в промышленно развитых странах значительно дальше продвинулось разделение труда. Этот процесс сопровождался отпочкованием от сельского хозяйства многих ранее неотъемлемых его производств. Иначе говоря, сам объем понятия «сельское хозяйство» сокращается подобно шагреневой коже по мере того, как индустриализация включает в свою орбиту новые сферы былой аграрной деятельности.
Патриархальная деревенская семья заинтересована не только в получении разнообразной продукции с полей и от скота, но и осуществляет ее обработку с тем, чтобы прежде всего и в максимальной степени удовлетворить свои собственные запросы. Традиционно на селе мололи зерно, дубили овчины и другие шкуры и кожи, изготовляли из молока масло и сыры, делали домашние колбасы, занимались прядением, ткачеством и портняжьей работой, производили необходимый инвентарь. Нынешний же крестьянин, превратившийся в фермера и избравший, например, зерновую специализацию хозяйства, предпочитает покупать картофель, лук и прочие овощи в городском супермаркете, нежели непроизводительно вкладывать свой труд в их выращивание. Часто бывает сложно отыскать фермера, который, располагая стадом мясного скота в 800— 900 голов, имел бы хоть одну или две молочных коровы. Ему выгоднее покупать для себя несколько литров молока, чем расходовать время на ручное доение.
Следовательно, требуется принимать во внимание, что одна из важнейших закономерностей развития аграрной сферы экономики проявляется (особенно в период после второй мировой войны) в усилении интеграции сельского хозяйства с обслуживающими его отраслями, в результате чего складывается агропромышленный комплекс (АПК).
Его организационная структура охватывает три сферы. Первую образуют отрасли, которые поставляют сельскому хозяйству средства производства и заняты его материально-техническим обеспечением (тракторостроение и другие отрасли сельскохозяйственного машиностроения, химическая, комбикормовая, фармацевтическая промышленность и т.д.). Следовательно, функция этих отраслей заключается в поддержании техноэкономической эффективности агропроизводства, а их связи с сельскохозяйственным предприятием носят центростремительный по отношению к нему характер.
Вторая сфера обнимает собственно сельское хозяйство. К третьей относятся отрасли, которые берут на себя переработку, хранение, транспортировку и сбыт аграрной продукции (пищевая промышленность, тарное и складское хозяйство, транспорт, оптовая и розничная торговля продовольственными товарами, общественное питание). Функциональное назначение отраслей сферы состоит в доведении до потребителя произведенного в сельском хозяйстве продукта, а связи сельскохозяйственных предприятий имеют центробежную направленность.
Поскольку в развивающихся странах вторая сфера еще далеко не обособилась и сохраняет свой интегрирующий потенциал, глобальные сравнения не обладают полной корректностью и с позиций занятости преувеличивают, казалось бы, преимущества индустриальных держав в сельскохозяйственном отношении. Однако не менее важно учитывать, что в третьем мире вырисовывается большой разрыв между долей сельского хозяйства в валовом национальном продукте и в занятости, который может достигать 30—40% в пользу первой, даже если абстрагироваться от нефтедобывающих государств. Принципиально другая картина наблюдается в США, где в АПК на конец 80-х гг. было занято 18,5% самодеятельного населения и создано 17,5% валового национального продукта, т.е. фактически преодолено отставание в эффективности сельскохозяйственного производства, которое сложилось исторически в ходе промышленной революции. Тем самым вновь подтверждается обязательность учета глубоких различий в уровне производительности труда между индустриально развитыми и развивающимися странами, что в полной мере, а часто и с наибольшей силой проявляется в агросфере. Функциональная роль сельского хозяйства. «Все может ждать, кроме сельского хозяйства», — утверждал крупнейший государственный деятель XX в., первый премьер-министр Индии Джавахарлал Неру. В этих словах видится признание исключительной важности и приоритетности отрасли, которая призвана обеспечивать человечество продуктами питания и сырьем растительного и животного происхождения, и одновременное указание на то, что она не должна оставаться статичной. Необходимость ее развития определяется совокупностью причин, обусловленных, в свою очередь, полифункциональной ролью агропроизводства.
Первая причина заключается в необходимости снабжать продовольствием постоянно увеличивающееся по численности человечество. Демографический взрыв — одно из наиболее достопримечательных явлений середины нашего столетия — выразился, как известно, в невиданно высоких темпах естественного роста населения в третьем мире, которые, например, в Латинской Америке в отдельные годы достигали 3%. Одна лишь задача поддержать питание жителей хотя бы на прежнем уровне, явно недостаточном, в ряде регионов вынуждает расширять производство в деревне в масштабах, которые не требовались в прошлом — как абсолютно, так и относительно.
Вторая причина — высокая эластичность спроса на продовольственные товары, т.е. изменение объема их потребления в зависимости от размеров дохода населения. В тех промышленно развитых странах, где среднедушевые уровни потребления основных питательных компонентов соответствуют научно обоснованным нормативам или превышают их даже в наименее состоятельных социальных группах, эта эластичность спроса может падать до 0,1—0,2. В развивающихся же странах данный показатель поднимается до 0,8. Быстрое увеличение спроса на продовольствие при улучшении материального положения отражает, с одной стороны, неудовлетворительность питания населения, если брать его в целом, и с другой — сильную имущественную дифференциацию общества. Последнее замечание относится и к России, где в семьях с самыми низкими доходами по сравнению с высокодоходными семьями затраты на мясные продукты в 1,5 раза меньше, на яйца и на фрукты — в 2 раза, на рыбные продукты — почти в 4 раза.
Третья причина — необходимость укрепления сырьевой базы промышленности. Особенно остро с этой проблемой столкнулись развивающиеся страны, которые первоначально свои надежды связывали с ускоренной индустриализацией. Поскольку на начальном этапе преимущественный упор делался на отрасли легкой промышленности, особенно ответственные задачи встали перед сельским хозяйством. Однако еще раз подтвердилось, что индустриализация, не опирающаяся на соответствующее расширение аграрного базиса, при слабости и неустойчивости последнего тоже становится непрочной. Об этом свидетельствовали затухание ее темпов в 70-е гг. и ослабление позиций промышленности в экономике многих развивающихся стран, наблюдавшееся в 80-х гг. Только в Южной и Юго-Восточной Азии удалось благодаря успешным мерам по интенсификации аграрной сферы избежать глубоких межотраслевых диспропорций.
Четвертая причина заключается в том, что сельское хозяйство выступает поставщиком рабочей силы и капиталов для других отраслей экономики. При исследовании этой его роли в промышленно развитых странах основной акцент делался на процесс перелива рабочей силы в «городские» отрасли. Применительно же к третьему миру особое внимание привлекает процесс капиталообразования в сельском хозяйстве и последующего инвестирования в прочие сектора. На агропроизводстве явно негативно сказалась проводившаяся в подавляющем большинстве развивающихся стран официальная политика усиленного протекционизма в отношении молодой обрабатывающей промышленности и, как следствие, чрезмерное изъятие средств из деревни на нужды индустриализации. В частности, высокие протекционистские барьеры, препятствующие импорту готовых изделий, изменяли условия торговли на внутренних рынках в пользу промышленности и в ущерб сельскому хозяйству.
Идеология подобного подхода была разработана в СССР на заре его существования. Один из виднейших партийцев-экономистов Е.О.Преображенский писал в 1926 г.: «В период первоначального социалистического накопления государственное хозяйство не может обойтись без отчуждения части прибавочного продукта деревни и ремесла, наконец, без вычетов из капиталистического накопления в пользу накопления социалистического... Такая страна, как СССР, с ее разоренным и достаточно вообще отсталым хозяйством, должна будет пройти период первоначального накопления, очень щедро черпая из источников досоциалистических форм хозяйства». В период после второй мировой войны, когда на месте бывших колоний и полуколоний возникают молодые суверенные государства, СССР находился на пике своего престижа и следовать его путем казалось многим лидерам третьего мира верным средством достижения успеха.
Пятая причина — сельское хозяйство служит источником получения валюты, причем в ряде стран основным. В целом в каналы внешней торговли поступают, согласно весьма ориентировочным оценкам, около 12% мировой аграрной продукции. Однако многие развивающиеся страны, особенно малые, слишком сильно зависимы от экспорта сельскохозяйственных товаров, один-два из которых нередко определяют весь вывоз. Например, в Гватемале это бананы и кофе, в Белизе — сахар и цитрусовые, в Бенине — продукты масличной пальмы, в Чаде — хлопок, дополняемый продукцией скотоводства, и т.д.
Сказанное справедливо и по отношению к ряду стран с развитой экономикой, как-то Новой Зеландии и Дании, но для них характерен экспорт большего числа аграрных товаров, преимущественно животноводческих, имеющих относительно устойчивый сбыт. В крупных капиталистических государствах эволюция и состояние сельского хозяйства тоже тесным образом связаны с тенденциями в мировой торговле, поскольку емкости национальных рынков ограничены в силу стабильной структуры продовольственного потребления и замедленных темпов роста населения. Для примера обратимся к такой мощной промышленной державе, как США. Аграрные товары формируют 20% стоимости американского экспорта, причем на вывоз идет почти 1/4 производимой продукции по сравнению с 7% в 1950 г. Все отчетливее видно, что в современном мире экспорт продовольствия служит не только экономическим целям, помогая улучшить платежный баланс и повысить активность, но и остается действенным средством политического влияния. США, чья доля в международной торговле зерном в начале 80-х гг. приблизилась к 1/2 и поныне в условиях жесткой конкуренции удерживается на уровне 40%, именно с продовольственным комплексом связывают в большой мере свои надежды на сохранение статуса сверхдержавы.
Наконец, отметим, что в развивающихся странах на сельское хозяйство ложится трудная задача «поддерживать» относительно избыточное население, пока его не смогут вобрать в себя другие подразделения экономики. В историческом прошлом такая задача не была актуальной для шедших по пути индустриализации государств Европы (и США) ввиду другой демографической ситуации и — главное — высокой трудоинтенсивности промышленности в тот период. Современные же ее отрасли характеризуются капиталоемкостью и вносят скромный вклад в решение проблемы занятости.
Богатство функций, выполняемых сельским хозяйством, предъявляет к отрасли сложные многогранные требования, тем более, что речь не сводится лишь к экономической стороне дела. В агропроизводстве всегда присутствует и естественно-исторический аспект, связанный с непосредственным использованием природных ресурсов, необходимостью поддержания экологического равновесия в окружающей среде и сохраняющейся сильной зависимостью конечных результатов от климатических условий и стихийных факторов. В полной мере оценить эту ипостась сельского хозяйства можно при знании основных закономерностей того длительного пути развития, которым прошли отрасль и аграрное общество в целом.
Вопросы
1. В чем заключаются глобальные сдвиги в занятости населения по отраслям на протяжении XIX—XX вв.?
2. Каковы в этом отношении различия между промышленно развитыми и развивающимися странами?
3. Что обусловливает интеграцию сельского хозяйства с другими отраслями экономики?
4. Какие основные хозяйственные задачи выполняет агропроизводство?
Историческая география мирового сельского хозяйства: локальные цивилизации
Агрикультурные основы цивилизационного процесса. Сельскохозяйственной деятельностью человечество занимается примерно 10 тыс. лет, или на протяжении всего лишь 1—2% своей истории. Однако именно зарождение земледелия позволило людям сделать решающий шаг в своем культурном и экономическом развитии. Господствовавшее до этого присваивающее хозяйство, которое включало собирательство, охоту и рыбную ловлю, определяло их сильнейшую зависимость от природы и не допускало той территориальной концентрации населения, что в состоянии обеспечить становление и прогресс цивилизации. Более того, само это население, не располагая надежной и устойчивой продовольственной основой, росло исключительно медленными темпами — меньше, чем на 0,01% в год. Голод был частым явлением, что также сказывалось на его численности.
Поэтому не случайно тот перелом в жизни человечества, который произошел с переходом к производящему хозяйству, получил в науке название «неолитической» (или аграрной) революции, а сам человек, согласно неуважительной по отношению к нашим предкам, но широко распространенной терминологии, из дикаря стал варваром. Этот длительный и очень постепенный, несмотря на революционное содержание, процесс по своей многосторонней значимости не имеет аналогов в общественной истории. Благодаря ему людские группы, которые ранее выступали только как верхнее звено биоценозов, превратились одновременно в силу, противостоящую природе. Приспособление к естественным ландшафтам сменяется все более целенаправленным воздействием на них, что постепенно, но неуклонно преобразовывало лик поверхности Земли.
Земледелие возникло, согласно достаточно общепризнанным концепциям, на базе собирательства. При заготовках семян и плодов диких съедобных растений какая-то их часть по разным причинам оказывалась невостребованной и давала всходы близ стойбищ. А далее в дело вступал бессознательный отбор. В пользу данной научной конструкции, подтверждаемой все новыми палеоэтноботаническими исследованиями, свидетельствует и то обстоятельство, что многие сельскохозяйственные растения, особенно в тропическом поясе (например, масличная и саговая пальмы), часто поныне встречаются по соседству с жильем и на обрабатываемых участках, и в форме полукультурных насаждений, и в дикорастущем виде.
Дискуссии вызывает другой вопрос: о территориальном очаге или очагах первоначального появления земледелия. Некоторые ученые во главе с английским археологом Г.Чайлдом, автором термина «неолитическая революция», придерживаются принципа моноцентризма и полагают, что наиболее благоприятные предпосылки для становления агрикультуры имелись в Юго-Западной Азии; именно там на естественно орошаемых речными разливами долинных землях были одомашнены такие важнейшие зерновые, как пшеница и ячмень, и некоторые зернобобовые. Другие сторонники моноцентризма, и в их числе видный американский географ К.Сауер, считали, что территории подобного рода сильно страдали от засух и наводнений, и поэтому ареалами возникновения земледелия могли быть скорее богатые влагой возвышенные районы Юго-Восточной Азии с их сильной дифференциацией в агроприродном отношении. В обоих случаях при данном подходе решающим фактором в ходе земледельческого освоения планеты оказывается глобальный процесс диффузии нововведений, и имеются основания говорить о формировании мировой хозяйственной системы еще в глубокой древности. Именно последнее обстоятельство вызывает скепсис в свете бесспорной в дальнейшем культурной изоляции ряда регионов.
Иной позиции придерживался замечательный российский географ и биолог Н.И.Вавилов, согласно взглядам которого на Земле насчитывается семь основных очагов происхождения культурных растений, ставших древнейшими земледельческими областями. В этом процессе начальное преимущество получили горные территории ввиду многообразия и пестроты их ландшафтов. Развитие и конкретизация вавиловских идей привели к выделению новых очагов и подобластей, что, казалось бы, лишь подтверждает теорию. Однако географическая картина стала в итоге слишком дробной и породила не лишенные основания сомнения: обязательно ли агрикультура была привязана при своем возникновении к немногим центрам или же речь идет о панойкуменном явлении, практически непрерывном для всей обжитой тогда части земного шара?
Заметим, что многообразие культурных видов флоры, привязанных, согласно археологическим находкам, к тому или другому району в далеком прошлом, не может служить исчерпывающим свидетельством древности его земледельческой истории. Ибо нельзя исключать миграционные движения и сопутствующий им перенос и передачу трудовых навыков жителям других областей и регионов, что открывало перспективы для окультуривания новых растений и отказа от привнесенных, если их возделывание не приносило должной отдачи.
Мобильность населения резко усилилась с возникновением скотоводства, зародившегося, согласно современным взглядам, в рамках земледельческого хозяйства, приобретшего тем самым комплексный характер. Дальнейшим принципиальным этапом стало обособление пастушества, которое, например, в Западной и Центральной Азии датируют обычно концом II—началом I тысячелетия до н.э., т.е. эпохой раннего железа. Это было новое крупное общественное разделение труда, приобретшее отчетливо выраженный географический аспект. Пастушество, переросшее в кочевничество, позволяло заметно расширить кормовую базу для численно возросших стад и потому получало стимулы к пространственному распространению, прежде всего при засухах и общей аридизации климата.
Доместикация животных — искусство более высокое, чем окультуривание растений, поскольку эта победа человеческого ума и воли над менее послушным исходным материалом. Причем, если овцу или корову, чтобы они служили людям, достаточно было приручить, то верблюд и лошадь требуют не только приручения, но и обучения. Подвижность кочевников, связанная с появлением новых средств передвижения, многократно сократила время на преодоление расстояния между различными этническими и общественными группами, открыла дополнительные возможности для культурных контактов и обмена товарами, в том числе с оседлым земледельческим населением. Обладание скотом стало служить символом богатства, показателем социального положения личности и формой накопления. Произошедшее углубление общественного разделения труда привело к тому, что через Азию, где этот процесс нашел свое наиболее яркое воплощение, на протяжении многих веков проходила одна из магистральных линий развития человечества.
Кочевое хозяйство, обнаружившее на обширных безлесных пространствах высокую экономическую эффективность, оказалось слишком «вписанным» в естественное окружение. Отсюда подверженность всем нюансам внутригодовых и многолетних ритмов. Опора на одну отрасль, которая полностью базируется на производительных силах природы, определила наличие у кочевых обществ единых закономерностей, прослеживаемых через века в разных географических областях. Творческое воздействие номадов на ландшафт оказалось весьма ограниченным, ибо они не пошли дальше разведения архаичными методами домашнего скота, его содержания на неокультуренных пастбищах и организации водопоев.
Поэтому надежную основу роста цивилизации, включившего в себя становление мирохозяйственной системы, составили земледельческие общества, более гибкие в своих требованиях к природным условиям и обладавшие лучшими адаптационными возможностями для развития, в частности, на путях интенсификации агропроизводства. Возможно, что именно на посылке, что человечество на каждом кардинальном витке истории обращается к более интенсивным формам хозяйствования, возникла концепция единой траектории аграрной эволюции. Речь идет о теории «трех стадий»: собирательство—пастушество—земледелие, которая в мировоззренческом плане сложилась под явным влиянием учения Дарвина.
Ее содержательная суть была выражена известным русским социологом М.М. Ковалевским: «Возрастание народонаселения является... могучим разрушительным фактором для тех примитивных обществ, которые не знают других средств существования, кроме охоты на лесного зверя и улова рыбы... Численный рост семей вынуждает пастушеские племена перейти к преимущественному занятию земледелием и к новому образу жизни, делающему передвижения менее частыми, заставляющему уступить место домоседу».
Прямолинейный эволюционизм постепенно преодолевается в XX столетии, о чем свидетельствует, в частности, отказ от популярной во второй половине XIX в. теории трех стадий. Однако применительно к земледелию подход подобного рода сохраняется, хотя еще О.Э.Мандельштам сумел со свойственной замечательным поэтам интуицией предсказать, что наука, построенная на принципе связи, а не причинности, избавляет нас от дурной бесконечности эволюционной теории. Между тем, поныне бытует представление, что пашенная агрикультура зародилась в недрах мотыжной и обязательно является ее законной наследницей, хотя не получила подтверждения гипотеза о том, что плуг произошел от мотыги. И если для ряда областей Центральной и Восточной Африки, где водится муха це-це, и для доколумбовой Америки господство мотыги можно объяснить отсутствием подходящих для тягла и поддающихся приручению животных, то на основной части Африки южнее Сахары оно сохраняется постольку, поскольку там обнаруживает живучесть залежное огневое земледелие.
Изложенное не означает отказа от анализа исторического процесса при познании сельского хозяйства, но помогает избежать всевластия доминировавшей в советской науке концепции социально-экономических формаций, ставшей своего рода отмычкой при решении главных проблем обществоведения. Агрикультура, служившая материальным базисом цивилизации прошлого, имеет свою внутреннюю логику развития, одной из черт которого была его метахронность, разновременность в географическом плане, что во многом вытекает из изначальной глубокой пространственной дифференциации природной среды. О всеобщей истории оправдано говорить лишь применительно к этапу после Великих географических открытий, позволивших объединить ойкумену в единое хозяйственное целое.
Очевиднее всего, что существуют природные барьеры распространения сельскохозяйственного производства на Земле, которые вместе с тем негативно сказываются и на его развитии, жестко лимитируя пределы последнего. Наглядным примером служит оленеводство малых народов Севера, чье выживание было тесно связано также с занятием охотой и рыболовством. Население экстремальных в физико-географическом отношении территорий оказалось на многие века в стороне от столбовой дороги истории, взяв на себя тяжелую миссию — выработать методы хозяйственной адаптации к негостеприимной окружающей среде, в ином случае оставшейся бы необжитой. Таким образом, ценой собственного прогресса эти народы заплатили за свой вклад в цивилизационную копилку человечества.
Сходное во многом положение характерно и для ряда областей постоянно влажных тропиков, особенно для бассейнов Амазонки и Конго. Экономическая отсталость местных народностей, затерянных среди густых лесов, вполне объяснима. Если жители Севера не в состоянии в своем природном окружении вообще приобщиться к земледелию, то население этих тропических территорий не могло создать оседлую агрикультуру.
Однако в большинстве регионов Земли обстановка складывалась не столь предопределенно и однозначно. В ряде случаев сельское хозяйство, несмотря на многовековую историю, не породило импульса к возникновению развитых цивилизаций, в других — они появлялись, испытывали взлет и угасали, в третьих — устойчиво и длительно существовали и, вопреки отдельным периодам упадка и процветания, обнаруживали в целом удивительную стабильность, переходящую в застойность. И, наконец, Европа стала ареной становления первых аграрных обществ с внутренними потенциями к самоотрицанию и способностью к перерастанию в цивилизацию нового типа.
Основные внеевропейские типы земледелия. Они освещены ниже с историко-географических позиций с учетом их роли в ходе освоения человеком природной среды и в формировании географии мирового хозяйства.
В сложных естественных условиях вынуждено функционировать подсечно-огневое земледелие лесных, областей тропиков, которое характеризуется неизбежной территориальной разобщенностью групп производителей, обладающих крайне скромными ресурсами для подъема производства на новую ступень. Размеренный циклический ритм существования на этом географическом фоне прерывается в отдельные исторические периоды возникновением локальных, но мощных государственных образований, отличавшихся в пору расцвета высоким уровнем цивилизационного развития. Причины таких «вспышек» все еще не ясны, но свидетельствуют, что агрикультура выступает лишь одним, хотя и очень важным компонентом хозяйственной и общественной жизни.
Наиболее впечатляют успехи и в материальной, и в духовной сфере, достигнутые в IV—IX вв. индейцами майя, создавшими свою державу на полуострове Юкатан. Изначально специалисты придерживались той версии, что государство майя длительный исторический отрезок времени было достаточно многолюдным, чтобы при наличии лишь каменных орудий успешно бороться с густым лесом, занимая часть расчищенной, в целом весьма плодородной земли под посевы: численность тогдашнего населения оценивают максимально в 19—20 млн чел., а его среднюю плотность в 80 чел./км2 . В конечном счете эта форма использования территории, по-видимому, все же должна была определить упадок местной цивилизации, поскольку почва в результате продолжительной и чрезмерной эксплуатации была истощена, а возможности дальнейшей территориальной экспансии оказались исчерпаны. Однако, как позднее выяснилось, экономическую опору культуры майя составляло не только главенствовавшее подсечно-огневое производство, ибо широко применялись также приемы постоянного земледелия, как-то создание террас, интенсивное возделывание приусадебных участков, закладка насаждений какао, которое выращивалось при орошении, и плодовых деревьев. Поэтому все больше сторонников приобретает интегральная точка зрения, которая с учетом географических аналогий выглядит достаточно убедительной: гибель цивилизации на Юкатане обусловлена комплексом причин, причем одной из важнейших была избыточная нагрузка на земельные ресурсы при постоянно возраставшем населении.
Подсечно-огневое земледелие в саваннах. В более благоприятных экологических условиях происходило экономическое развитие на базе подсечно-огневой агрикультуры в условиях африканских саванн, которые сменили выжигавшиеся человеком первичные леса. Возникшие жизнеспособные и устойчивые во времени природно-антропогенные ландшафты расширили возможности для хозяйственной деятельности ручных (мотыжных) земледельцев, занятых в основном обработкой подсек. Одновременно целенаправленно повышалось также «естественная» продуктивность этих ландшафтов, в частности, за счет посадок на позже заброшенных и заросших участках или оберегаемых дикорастущих полезных деревьев и кустарников, типа масличной пальмы и колы. Собирательство и другие присваивающие формы эксплуатации природных ресурсов зачастую имели большее значение для семьи, чем сельское хозяйство. Считать это исключительным и пережиточным явлением не следует, ведь для многих колхозников Восточной Сибири главный доход давал сбор кедровых орехов.
Наряду с этим подсечники располагали резервными агротехнологиями, которые при необходимости пускали в дело. Однако такая практика не могла стать массовой и главенствующей, пока в земледелии использовались только простейшие ручные орудия. При опоре на них эффективнее поручить восстановление почвенного плодородия силам самой природы. Забрасывание через непродолжительный срок обрабатываемых участков вело к тому, что производственный процесс каждый раз начинался как бы на «голом» месте.
И закономерно, что большинство аграрных достижений подсечников оказались или утраченными, как у майя, или же не повлияли сколько-нибудь существенно на прогресс мирового сельского хозяйства, хотя в областях огневого земледелия в Африке эпизодически складывались государственные образования, где аграрные общества достигали весьма высокого уровня развития. Примером может служить государство Конго (с ядром к югу от нижнего течения одноименной реки), пик могущества которого пришелся на XV в. Потом оно распалось, и местное сельское хозяйство вновь замкнулось в своих узких локальных рамках, оказавшись изолированным от соседей.
Сельское хозяйство горных областей. Высокого уровня аграрная цивилизация достигла в Андах, особенно в уничтоженной испанскими конквистадорами империи инков. Местное земледелие формировалось на территории с явственно выраженной вертикальной поясностью, что определило глубокую дифференциацию климатических условий и почвенного покрова. Подобная картина наблюдается и в горных районах Старого Света, где много лучше представлены отрасли животноводства, но сельское хозяйство в целом не послужило основой для становления мощных очагов культуры (возможно в силу того обстоятельства, что в Европе и Азии более благоприятные предпосылки для этого сложились на равнинах).
Земледелие в Андах издавна представлено совокупностью различных форм, так что его отличает сложная система приемов хозяйствования. Среди них — оригинальные методы орошения сухих и дренажа заболоченных участков, террасирование склонов и запуск полей в залежь с длительным, не менее семи лет сроком отдыха полей. Тем самым, в частности, предотвращались эрозия, столь опасная в горах, и истощение почвенных ресурсов. В целом же земледелие инков и соседних индейских племен носило интенсивный и трудоемкий характер и гарантировало устойчивое обеспечение продуктами питания тех 9 млн человек, которые населяли тогда территорию Перу. Со времен существования государства инков в стране сохранилось около 1 млн га террасированных земель, 20% которых не используются.
Изучение древнего земледелия в Андах имеет значение не только для выявления историко-культурного своеобразия всего региона, но и для совершенствования его растениеводства, восстановления многих уничтоженных и утраченных навыков. Столь же важно избежать потери сохранившегося богатства видов и сортов возделываемых растений, поскольку Центральные Анды выступают в ряду мировых центров окультуривания флоры. В долинах Перу, Эквадора и Боливии обнаружено, например, не менее 6 тыс. туземных сортов картофеля, и сбережение ценнейшего генофонда стало злободневной задачей.
Очаги основной траектории сельскохозяйственного развития привязаны в географическом плане к областям теплого засушливого климата Старого Света, где даже применение деревянных и каменных орудий, не говоря уже о меди и бронзе, для обработки рыхлых почв алювиальных долин вело к созданию избыточного продукта. В природной обстановке северного Средиземноморья подобного эффекта оказалось возможным достигнуть лишь с использованием железных орудий, а в более суровом по физико-географическим условиям поясе умеренного климата в Европе население, даже располагая довольно совершенными железными орудиями труда, не могло вплоть почти до середины 1-го тысячелетия н.э. вступить на путь масштабного аграрного развития.
Орошаемое речное земледелие аридного Востока. Зерновое хозяйство, ставшее стержнем всего агропроизводства, исторические расчленилось на две ветви: неполивную и возникшую вслед за ней орошаемую. С перемещением центров земледельческой активности из сравнительно узких межгорных долин на обширные равнины Нила, Тигра и Евфрата, Инда, Окса (Амударьи) и других рек в засушливых областях Старого Света потребовалось создание мощных ирригационных сетей. Именно их строительство стало одним из ключевых моментов во всей истории человечества, поскольку орошение, оставаясь фактором географической среды, превратилось в аграрных обществах в важнейшее средство производства.
В бассейнах великих рек постоянно требовалось проведение исключительно большого объема гидротехнических работ, чтобы проложить оросительные и дренажные каналы, возвести земляные дамбы и соорудить запруды для задержания паводковых вод. В результате, например, в долине Нила еще в древности образовалась и на протяжении веков упорным трудом земледельцев поддерживалась бассейновая система ирригации, которая стала опорой агропроизводства и развития городского общества в Египте и позволила еще в античное время достичь плотности населения почти 200 чел./км2 и даже, возможно, превзойти этот уровень. Базировавшееся на ней земледелие обеспечивало наилучшую отдачу лишь при четком функционировании ирригационной сети как единого целого. Поэтому возникла объективная нужда в крепкой административной власти, которая могла бы управлять одновременно всей подкомандной территорией, держа в подчинении большие массы рабочей силы, занятой на водохозяйственных объектах.
Орошение не корреспондируется жестко с определенными орудиями труда и может успешно функционировать при разном техническом базисе. Это открывало путь к совершенствованию практики поливного земледелия, которое окупает дополнительные затраты труда и материальных ресурсов. В частности, в оазисах Хорезма на Амударье коэффициент использования земли вырос с 5—10% в древности до 30—40% в средние века (и до 50—70% и выше в современных инженерных оросительных сооружениях).
При условии обилия тепла в аридных областях Востока ирригация резко расширила также возможности для обогащения отраслевой структуры земледелия: даже в небольших оазисах число возделываемых культур измерялось многими десятками. Однако необходимость проведения коллективных общественных работ под недремлющим оком деспотической власти убивала частную инициативу и вела к окостенению сложившихся способов хозяйствования. Централизованный отпуск воды из каналов для полива делал недоступным контроль индивидуума за режимом орошения и резко суживал свободу выбора основных культур для выращивания. Поэтому создался однотипный в пределах данной территории и на определенный сезон антропогенный ландшафт, который отражал единство действий всех членов деревни при проведении полевых работ.
Отмеченные принципиальные недостатки уходящей в глубь веков традиционной речной ирригации усугублялись нередко действием других, более могущественных факторов. В итоге местное земледелие приходило в упадок под влиянием разных причин: ввиду разрушения оросительных сооружений при вторжении кочевников и в ходе междоусобиц, из-за природных катаклизмов, вследствие постепенно прогрессирующего засоления и заболачивания поливных земель и т.д. Иногда развитая поливная агрикультура надолго исчезала почти полностью, как на равнине Инда, чтобы возникнуть на новой, инженерной основе уже в XIX в., но в большинстве случаев наблюдалось ее быстрое возрождение, нередко в суженных размерах, как в Месопотамии или бассейне Нила. Так, в Египте общая площадь обрабатываемых земель уменьшилась с 2,0—2,2 млн га в конце XII—первой половине XIII вв. до 1,2—1,3 млн га в конце XVIII—начале XIX вв., а в расчете на душу населения показатель снизился с 0,50—0,55 до 0,30—0,35 га.
«Рисовая» цивилизация муссонной Азии. Однако на Востоке всегда существовала развитая агрикультура, прежде всего связанная с рисоводством, которая на протяжении многих веков обнаруживает поразительную жизнестойкость и преемственность. Ее главным географическим очагом служил Китай, чья цивилизация издревле была известна в Европе и неосознанно, но постоянно признавалась одним из центров мирохозяйственной системы. Эта агрикультура опиралась на орошение, но не была зависима от него полностью, тем более от немногих крупных гидротехнических сооружений. Показательно, что большие каналы прокладывались в Китае прежде всего в транспортных целях, дабы способствовать административному единству обширного государства, и лишь во вторую очередь ради ирригационных нужд (по оценкам, на начало XV в. в стране орошалось 1/2 или немногим более всех обрабатываемых земель, а в начале XX в. эта доля уменьшилась, возможно, даже до 1/4).
Основной вклад в строительство ирригационных объектов вносили крестьянские общины, и вьетнамская пословица — «закон императора останавливается у деревенских ворот» — отражает это общее для Восточной Азии обстоятельство. Рисоводство, особенно если не замыкаться в пределах Китая, а учесть также исторический опыт Японии и других стран муссонного климата, определило характерные черты всего агропроизводства. Важнейшие его свойства обусловливаются способностью рисовых земель выдерживать нагрузку все возрастающего населения, не обнаруживая признаков деградации. Это, видимо, вызывается специфической ролью воды в биологических и гидрохимических процессах, наблюдаемых на затопляемых полях. В результате дополнительные затраты труда обязательно, пусть и не в адекватной мере, приносят отдачу благодаря повышению урожайности.
Китайское земледелие еще в древности начало приобретать трудоинтенсивный характер, что также означало, что земля становилась дефицитным ресурсом. Европейцев, посещавших страну в XVII— XVIII вв., поражало, во-первых, то обстоятельство, что рис произрастает постоянно на одних и тех же полях, которым ни года не дают отдохнуть («как это делают в нашей Испании»), и, во-вторых, степенью распаханности равнин, на которых не увидишь ни изгородей, ни канав, ни деревьев — чтобы не потерять ни пяди обрабатываемой земли. Все это заставляет современных востоковедов предположить, что некоторые важные признаки перехода к интенсивному экономическому росту впервые обнаружились, пожалуй, не в Европе, как это принято считать, а на Востоке, в Китае, возможно, на 500—700 лет раньше. Во всяком случае, уже на рубеже первого и второго тысячелетий урожайность зерновых в Китае достигла 14 — 16 ц/га (средневзвешенный показатель) и в 4—5 раз превышала соответствующий показатель по Западной Европе.
Однако технический прогресс, дойдя до сравнительно высокого уровня еще много столетий назад, тогда же и приостановился из-за переизбытка и дешевизны труда (хотя в Японии ввиду особенностей ее социально-экономического развития рисоводство уже в XVII—XVIII вв. восприняло ряд нововведений, и страна могла содержать 30 млн человек на такой же по площади территории, на какой Европа того времени кормила только 5—10 млн человек). Хроническая угроза голода, свойственная многим областям муссонной Азии, в условиях сильнейшего демографического давления на земельные ресурсы придавала хозяйству уклон в полеводство. Оно же в свою очередь сохраняло узкопотребительский и даже узкопродовольственный характер, что, разумеется, не отрицает общепризнанных достижений местных земледельцев в выращивании чая, тутовых деревьев и ряда других технических культур.
Конкурирующий с человеком за продукцию растениеводства рабочий скот был в большой мере вытеснен ручным трудом. Что же касается продуктивного животноводства, то еще знаменитый социолог М.Вебер заметил, что главная противоположность между развитием аграрного производства в Европе и некоторых азиатских регионах заключается в том, что первоначально ни китайское, ни яванское село не знает молочного хозяйства. Столь же слабым было и развитие мясных отраслей. Так, в Японии вплоть до середины XIX в. совсем не разводили овец, коз и свиней, а лошади и крупный рогатый скот служили исключительно для перевозок и для обработки полей, и иностранцу трудно было достать себе привычный стакан молока.
Подчеркнем необыкновенную длительность беспрерывного существования китайской аграрной цивилизации. Одна из основных причин состоит в том, что китайцы освоили обширную территорию, а не отдельные речные равнины, со всех сторон окруженные «степью» — бескрайними пастбищными пространствами, где хозяевами были кочевники. В Китае при своих набегах они оказывались не в состоянии разрушить богатую местную культуру и, напротив, всегда ассимилировались в итоге многолюдным китайским населением. Базирование же аграрного общества Китая не только на рисе, но и благодаря разнообразию природных условий на пшенице и просяных в северных областях позволяло также успешно реагировать на климатические подвижки, как долгосрочные, так и кратковременные, и облегчало колонизацию относительно холодных, не подходящих для возделывания риса районов.
Судьба же менее крупных очагов «рисовой» цивилизации не была, как правило, столь же удачливой. Об этом напоминают каменные развалины Ангкора — столицы кхмерской монархии, испытавшей расцвет в XII—XIII вв., но под натиском тайцев пришедшей в упадок и окончательно погибшей в XV в. Город, людность которого в лучшие времена принимают равной 1 млн жителей, был покинут своим населением, а вся прилежащая местность заброшена. Сложная система гидротехнических сооружений, обслуживавших рисовые поля, не устояла перед наступлением леса, так что общая картина запустения сходна с той, что наблюдается на землях майя.
На примере аграрного общества муссонной Азии отчетливо вырисовывается, сколь важно знать исторические традиции и социальные установки. Оно перманентно сталкивалось с острой продовольственной проблемой, вследствие чего приоритетной сферой деятельности стала агрикультура, направленная на производство продуктов питания. Поэтому, когда в КНР наметилось ухудшение продовольственного положения, радикальные идеи коренного общественного переустройства были решительно отодвинуты на второй план перед принципиальной задачей борьбы с голодом. Уцелевшее многочисленное крестьянство, сохранившее свой генетический код, сумело в короткий срок с этой задачей справиться.
Сельское хозяйство Средиземноморья. Агрикультуры Китая и соседних муссонных областей, включая во многих отношениях сходную с ним в сельскохозяйственном плане Индию (хотя, например, кастовое деление населения не имеет аналогов), на протяжении многих столетий оставались автономными объектами истории. Система же взаимосвязанных цивилизаций, группировавшихся в древности в Месопотамии, расширяясь на Запад, достигла Средиземного моря, породив одну за другой классические культуры финикийцев и греков, а затем и римлян. После этого центр мирового исторического прогресса на длительное время оказался приуроченным к Апеннинскому полуострову, и началась новая фаза развития сельскохозяйственного производства, ознаменовавшаяся в дальнейшем его распространением на остальную Европу.
Античные государства Средиземноморья были в меньшей мере аграрными обществами, чем ведущие в то время державы Востока, но обладали сельским хозяйством, которое отличалось чрезвычайным по тем временам своеобразием. Прежде всего привлекает внимание обилие одомашненных орехоплодных растений. Маслина, инжир, грецкий орех, фундук и, конечно, виноград имеют в Средиземноморье крайне благоприятные агроприродные условия для своего распространения. Не исключено, что в жизни местного населения плодовые культуры были предшественниками одомашненных хлебных злаков (поныне в регионе можно наблюдать формы садоводческого хозяйства, обеспечивающие постепенный переход от собирания диких фруктов к интенсивной агрикультуре). Когда же в Греции обработанные земли оказались выпаханными, а пастбища после сведения лесов высохли, возделывание плодовых и, прежде всего, маслин вообще вышло на первый план. Италия, по словам древнеримских аграриев, представляла собой уже к началу нашей эры почти сплошной сад и виноградник, прерываемый пастбищными угодьями и полями злаковых. Аналогичным же образом характеризовались многие прибрежные ландшафты в Западной Азии и Северной Африке.
Поскольку без зерна не проживешь, его при нехватке надо ввозить. В этом проявилась другая характерная черта средиземноморской цивилизации: наличие развитой морской торговли аграрными товарами, что было окупаемо лишь благодаря дешевизне водного транспорта и многочисленности хороших бухт на изрезанном побережье. Античная Греция приобретала зерно у скифов (греки именовали скифами все коренное население Северного Причерноморья, как кочевое, так и оседлое земледельческое) в количествах по крайней мере не меньших, чем производила сама. Житницей же Рима были Северная Африка, Сицилия и Египет, территория которых, по мнению многих специалистов, вроде бы объективно представляет лучшие возможности для хлебопашества. Примечательно однако, что в средние века межрайонный обмен зерном в Средиземноморье сошел на нет, а в настоящее время грузопотоки имеют обратную направленность. Это лишний раз подтверждает относительность оценок степени благоприятности природы тех или иных местностей для сельского хозяйства.
Вопросы
1. Каковы взгляды Н.И.Вавилова на зарождение агрикультуры?
2. В чем состоит сходство между кочевым животноводством и подсечно-огневым земледелием?
3. Что выделяет сельское хозяйство Китая на фоне других аграрных регионов?
4. В чем заключается отраслевая специфика агропроизводства античного Средиземноморья?
Эволюция сельского хозяйства умеренной зоны Европы: от регионального к глобальному
Ранний этап развития. Закат рабовладельческих империй в Средиземноморье означал и упадок их периферии, что в последующем было усугублено падением Византии. На юго-западе Азии и в Северной Африке политическая власть перешла к кочевникам и их оседавшим потомкам, которые в общем пренебрежительно относились к земледелию и не заботились об обеспечении его воспроизводственного цикла, что требовало постоянного внимания к ирригационным сооружениям. В распоряжении, например, хлебопашцев Магриба (Тунис, Алжир, Марокко) остались лишь узкие полосы земель вдоль побережья и труднодоступные участки в глубине горных массивов, а сами земледельцы были низведены до положения крепостных, плохо вознаграждаемых за свой труд и лишенных каких-либо надежд.
Главный очаг сельскохозяйственного производства начинает формироваться в более северных по отношению к Средиземноморью областях европейского континента. Этот многовековой процесс стал определяющим в судьбах мировой экономики и глобальной цивилизации и заслуживает потому специального рассмотрения. Перемещение центра земледелия в менее теплые и, казалось бы, не самые благодатные края даже на раннем этапе не было следствием простого заимствования аграрных достижений античного Средиземноморья, ибо сельское хозяйство в умеренном поясе Европы пошло почти сразу самобытным путем. Показательно, что кельты, в древности широко расселенные на территории к северу и западу от Альп, изобрели и применили железный плуг задолго до появления его у греков и римлян, которым было достаточно сохи для обработки сухих мягких почв.
Затерянные в лесах племена длительный исторический период оставались разрозненными и не зависели от единой административной воли, но одновременно они не располагали достаточной силой, чтобы в массовом порядке использовать труд рабов. В условиях господства чисто экстенсивных форм хозяйства земледельческая община нуждалась в обширных площадях угодий для своей жизнедеятельности, но это обстоятельство способствовало также рыхлости и аморфности ее внутренней структуры. Это привело к весьма быстрому распаду больших семей, в связи с чем открылись возможности для превращения пахотных наделов в отчуждаемую частную собственность малой семьи. Тем самым безмерно повысилась личная заинтересованность земледельца в совершенствовании производства и возникли перспективы, как свидетельствует исторический опыт, для мощного прогресса также в социально-общественной сфере.
В итоге в сельском хозяйстве умеренного пояса Европы наиболее наглядно проявилась эволюция систем земледелия, выступающих как обобщенное выражение сложившегося в определенных историко-географических условиях способа использования территории (хотя в сельскохозяйственной литературе понятие «система» часто охватывает лишь набор агротехнических мероприятий, осуществляемых эмпирически или на базе какого-либо агрономического учения). Аграрное освоение территории умеренной зоны Европы происходило прежде всего за счет расчистки земель от лесов, в первую очередь хвойных, тогда как сырые дубравы на низменностях сводились последними.
Подсечно-огневая система сохранялась в Европе на протяжении столетий, хотя, видимо, там никогда не господствовала в той степени, как в постоянно влажных тропиках. Еще в начале XX в. подсеки не были редкостью в скандинавских странах и в северных районах России: например, в бывшей Олонецкой губернии (Карелия) в ряде уездов еще до 2/3 посевов концентрировались тогда на подсечных участках.
Переложная система основывалась на временной залежи, или перелоге, как на главном средстве восстановления утраченного плодородия почвы. Вместе с тем она означала сознательное намерение снова занять землю под посевы после ее отдыха и влекла за собой изменения природных ландшафтов после выжигания лесов и более широкое применение тяглового скота, преимущественно волов. Новая система, которую можно рассматривать как частный случай залежного земледелия, не привела к заметным сдвигам в агропроизводстве, в чем, вероятно, и не было особой нужды: при ее распространении на раннем этапе средневековья (V—VI вв.) города, а вместе с ними ремесла и торговля в Европе пришли в глубокий упадок и для денег почти не осталось места. И, следовательно, отсутствовала сколько-нибудь значительная потребность в товарной сельскохозяйственной продукции, тем более что городские жители тоже занимались главным образом земледелием, особенно активно выращивая разнообразные огородные культуры.
Именно последующее возрождение в Европе городской жизни дало импульсы для внедрения паровой системы, складывавшейся на протяжении длительного периода — примерно с VII по XVIII в. В двухпольном хозяйстве площади под посевами и паром равны, так как они ежегодно чередуются. Однако доминировать стало трехполье, при котором на каждом участке практиковался следующий севооборот: озимые зерновые хлеба (пшеница или рожь); яровые (ячмень или овес, горох или бобы, или же смешанные посевы зерновых); чистый пар. В данной связи классик русской агрономии А.В.Советов подчеркивал: «Форма трехпольной системы, как исключительно хлебной, несовместима с требованиями растений нехлебньгх». Поэтому сколь ни элементарны были потребительские запросы населения, их нельзя было удовлетворить лишь за счет полевого клина. Отсюда — сохранение и даже усиление весомости приусадебных земель, отводимых прежде всего под овощи и некоторые специальные культуры (в России, например, под коноплю, которая нуждалась в хорошо унавоженной почве и служила важным сырьем для получения растительного масла и изготовления веревок и грубых тканей).
Смена систем земледелия не представляет собой однонаправленного процесса. Случалось и попятное движение, как это прослеживалось при колонизации Сибири русскими крестьянами в XVI— XVIII вв., хотя чаще у них наблюдалось использование разных систем на одной и той же территории: переложной, двухпольной и трехпольной, отличавшейся, однако, недостаточной четкостью и законченностью. Отсюда не вытекает прямолинейный вывод, что земледелие за Уралом было примитивным, неразвитым, стоявшим на более низком уровне, чем в европейских областях страны. Ибо география каждой системы земледелия определяется в первую очередь теми условиями, в которые поставлен хлебопашец, и уже первые поколения переселенцев из северорусской деревни, пришедших в Сибирь с превосходным знанием трехполья, убедились в трудностях его внедрения в местных условиях (в частности, поля были сильно заражены сорняками, с которыми тогда можно было бороться только применяя залежную систему).
Общая же линия изменений в европейском сельском хозяйстве, особенно с началом промышленной революции в Англии в XVIII в., оказалась выраженной вполне определенно: повышение интенсивности использования земли, или, иначе, увеличение демографической емкости территории. По мнению выдающегося российского демографа Б.Ц.Уралниса, средний урожай подсеки примерно в 1,5 раза превосходил таковой в двухпольном хозяйстве. Однако на прежний подсечный участок возвращались лишь через многие годы, так что кормиться с единицы площади было в состоянии впятеро меньше людей, чем при двухполье. Переход к трехпольной системе поднял уровень сборов благодаря введению озимых посевов: они приносят продукции на 20—30% больше, чем яровые зерновые, и, следовательно, средняя урожайность хлебов в целом стала на 10— 15% выше. По этой причине генерал-губернатор Пермского и Тобольского наместничества требовал в 1784 г. от всех земских судов: «...каждого хозяина обязать рожь сеять не токмо ярицею, но и на озимовом поле: чего наиболее наблюдать за теми из сельских жителей, у которых озимей не посеяно».
Факторы дальнейших перемен. Развитие общества и его производительных сил потребовали существенного прогресса в сельском хозяйстве. Прежде всего возникла нужда в дополнительной тягловой силе, что было достигнуто постепенным вытеснением, начиная с Х в., лошадью как рабочим животным менее производительных волов (хотя пахота на них оставалась в той же Англии обычной практикой вплоть до XVII в.). Скот в растущем количестве содержался также ради навоза, который в ряде областей, в том числе российских, ценился дороже собственно животноводческой продукции. Не исключено, что достигнутое в Западной Европе органическое сочетание земледелия с животноводством, чему способствовали климатические условия, стало одним из важных элементов динамичного развития ее агропроизводства. Это утверждение все же не бесспорно: в Индии, например, издревле тоже существовало пашенное земледелие, которое опиралось на многочисленное поголовье рабочего скота, но накопление новых качеств в самом агропроизводстве происходило крайне медленно. Свидетельством тому служил застывший на века уровень урожайности. Можно предположить, что прогрессивная трансформация европейского сельского хозяйства совершалась в большой мере под давлением внешних для него сил.
Так, в Нидерландах уже с XV в. общество приобретает городской характер, что и обусловило дальнейший вектор хозяйственного развития страны, а вскоре на тот же путь встала Англия, а затем и многие другие страны Европы. Видимо, принципиальное своеобразие ситуации на континенте заключалось именно в том, что города и привязанные к ним сектора экономики начали предъявлять растущий платежеспособный спрос на аграрную продукцию. Уже в первой половине XVII в. в Нидерландах вокруг Амстердама, Утрехта, Роттердама, Гааги возникали поселки с садами и загородными дачами. По мнению голландских исследователей, это не только привнесло в сельскую местность капитал и увеличило потребление аграрных продуктов, но и ускорило также проникновение в деревню городской культуры и духа предпринимательства. Вместе с тем, гильдии ремесленников, опираясь на поддержку государственной власти, энергично противились распространению промышленных промыслов вне урбанизированной среды. Тем самым искусственно суживалась сфера деятельности крестьянских хозяйств и попутно усиливалась их зависимость от внутреннего и внешнего рынков, выход на которые был облегчен наличием разветвленной сети водных путей.
В XVIII в. почти ни в одной голландской провинции не наблюдалось преобладания земледелия в экономике, причем в богатых областях страны жизнь стала слишком дорога, чтобы стоило заниматься малодоходным хлебопашеством (вспомним для контраста положение в Китае, где забота о производстве продовольствия всегда и повсюду была первоочередной). За счет собственного урожая Нидерланды получали не более 10% нужного им зерна. Оправдывали себя прежде всего специальные культуры, как-то табак или дающая краситель марена, и успешно развивавшееся луковичное цветоводство, особенно разведение тюльпанов, поскольку хорошо выдерживающие перевозки луковицы начали сбывать в Англию, Францию, Испанию и Италию. Расширилась также площадь под плодовыми насаждениями, тогда как, например, в соседней Германии вплоть до XIX в. в крестьянских усадьбах фруктовых деревьев почти не имелось. На севере Нидерландов на передний план выдвинулось животноводство, и сливочное масло и сыры все больше предназначались для экспорта.
Радужную картину могут дополнить ссылки на удачную мелиорацию крупных заболоченных массивов и упорную борьбу за землю с морем. Разумеется, даже для столь небольшой территории, как Нидерланды, делать обобщения надо с осторожностью: в более отсталой заболоченной области Дренте (на границе с Германией) еще в XVI—XVII вв. выращивали преимущественно рожь и гречиху, а из рыночных культур лишь лен, а при освоении болот применялась огневая система. Однако главное внимание надо обратить на следующее принципиальное обстоятельство: богатство страны, обеспечившее Нидерландам столь мощные позиции на экономической карте мира в XVII в., были накоплены за счет торговли, в том числе посреднической, и судоходства при относительной слабости собственной продовольственной базы. Отсюда недооценка основополагающей значимости сельского хозяйства: показательно, что насколько голландская научная литература того периода была обильна трудами о коммерции, налогах и финансовых вопросах, настолько же она была бедна публикациями по земледелию и животноводству. А именно слабость зернового хозяйства оказалась, видимо, тем уязвимым звеном и в общеэкономической структуре Нидерландов, которое помешало им, несмотря на широкие торговые связи, выдержать в XVII в. жестокое соперничество с Англией.
Позднее А.Смит дал этому теоретическое объяснение. Учитывая, что первейшая жизненная потребность человека — питание, знаменитый шотландец сформулировал тезис, что основой народного богатства служит процветающее сельское хозяйство и только в таком случае может успешно протекать индустриализация. Лишь при высокоразвитой промышленности становится выгодным для страны вывоз товаров на внешние рынки. Речь идет о «естественном», по А.Смиту, порядке вещей, с наибольшей полнотой реализовавшемся в США, которым ученый предрек великое будущее.
Вряд ли указанный ход событий обязателен для XX в., но экономическая история Англии в период, предшествовавший промышленной революции, этот тезис подтверждает. Агрикультура в стране отнюдь не застопорилась на трехпольной системе. Причин тому было несколько. Британские географы отмечают, что к началу XVII в. окрепли торговые сношения с континентом, особенно с Фландрией (куда сбывалась шерсть), чему главным образом и следует приписать появление на Британских островах новых культур и новых видов скота, а также более совершенных сельскохозяйственных орудий. Именно в это время, по-видимому, были привезены и привились турнепс, хмель и многие виды наиболее распространенных овощных растений — кочанная и цветная капуста, морковь, пастернак, ряд видов фруктовых деревьев. (Справедливости ради отметим, что диффузия сельскохозяйственных культур, ставшая масштабной после Великих географических открытий, происходила и в более ранние исторические периоды и не только в Европе: например, в средние века в странах Магриба начали возделываться занесенные с Востока рис, сахарный тростник, индиго и другие красящие растения.) Особенно важную роль сыграло заимствование клевера и других бобовых трав, которые, во-первых, в состоянии обогащать почву азотом и, во-вторых, могут служить зимним кормом для скота, хотя при старой системе, когда после уборки урожая по жнивью пускали пастись животных, это было невозможно.
Отсюда в Англии возникла потребность в огораживании, которое проходило в два этапа: в конце XV в.—начале XVI в. ради пастбищ для овец и в XVIII в. для снятия барьеров на пути интенсификации агрикультуры. В советской литературе этот процесс оценивался преимущественно с моралистских позиций и на задний план отодвигалась его прогрессивная экономическая сущность. Она заключалась в разрушении общинной формы землепользования, которая сдерживала развитие частной инициативы, тем более сильной, что уже к концу XIV в. в стране фактически исчезла крепостная зависимость. Это способствовало освоению новых лесных массивов и развертыванию крупных дренажных работ на юго-востоке Англии, в которой в конце XVII в. земли сельскохозяйственного пользования составили, видимо, около половины всей ее площади. Примечательно, что в Испании гильдия овцеводов в обмен на их право свободно мигрировать со своими стадами по стране обеспечила корону надежным источником дохода, подобно тому, как это было на первом этапе огораживания в Англии, где торговля шерстью тоже составляла основу налоговых поступлений. Однако испанская экономика не получила стимулов к развитию, так как гильдия создала препятствия для утверждения прав земельной собственности и подъема агрикультуры.
Переход к плодосмену. Нарождавшиеся дополнительные запросы экономики Англии требовали введения в производство новых культур, каковыми стали картофель, сахарная свекла, подсолнечник, табак и др. Но удовлетворение возникших нужд наталкивалось в рамках трехполья на трудности, которые удалось преодолеть только благодаря созданию плодосменной системы земледелия. Ее ранний вариант, получивший название норфолкской системы, означал отказ от пара и приход четырехполья. В первый год производилась пшеница, во второй — корнеплоды, особенно турнепс, служащий зимним кормом прежде всего для овец, на третий — опять зерновая культура, например, ячмень, и на четвертый — бобовая (клевер), давшая возможность восстанавливать плодородие почвы перед посевом пшеницы на следующий год.
Переход к плодосмену был революционным событием в земледелии, знаменовавшим отказ от пара, который сопровождал европейскую пашенную агрикультуру на протяжении всей ее истории. (Замечательный римский поэт Вергилий писал о поле: «Также терпи, чтобы год отдыхало под паром, чтоб укрепилось оно, покой на досуге внушая».) Плодосмен означал перерастание чисто зерновых хозяйств в смешанные с развитым на базе включения в посевной клин корнеплодов и бобовых трав животноводством. Закономерно, что Англия стала славиться улучшенными породами коров и свиней. Норфолкская система, приведшая к увеличению применения удобрений и улучшению качества обработки почвы, позволила начать широкое возделывание технических пропашных культур. Но главным достижением, по мнению специалистов, стал решительный подъем урожайности хлебов: например, по пшенице до 13—13,5 ц/га, что вдвое превышало уровень, характерный для трехполья, причем наибольшая роль в этом росте принадлежала клеверу. Именно благодаря норфолкской системе Англия превратилась в крупного экспортера зерна, каким она оставалась в течение первой половины XVIII в., пока рост населения и развитие пищевой индустрии не потребовали на внутреннее потребление всего продовольствия, производимого в стране.
С конца XIX в. активное использование минеральных туков еще более «раскрепостило» плодосмен и сделало бозможными разнообразные вольные севооборота. Однако следует подчеркнуть, что картину его географического распространения нельзя рассматривать в отрыве от социальных и природных условий Европы. Передовые российские агрономы отчетливо сознавали достоинства норфолкской системы, но она не нашла в нашей стране широкого применения. Центры тогдашних прогрессивных течений в сельском хозяйстве — Вольное экономическое общество в Санкт-Петербурге и Московское общество сельского хозяйства с его «Земледельческим журналом» — были заняты, как отмечал видный экономист и историк П.И.Лященко, исключительно проповедью плодосмена. В Нечерноземной зоне России это выливалось преимущественно в травосеяние и в переход к животноводческим отраслям агропроизводства. Однако к 40-м гг. XIX в. интерес помещиков к «плодоперемению» и к интенсивным направлениям хозяйства упал, так как применять систему в условиях крепостного права оказалось невозможным.
К тому же в ряде областей России сохранялись по-прежнему хорошие возможности стихийной экстенсивной колонизации новых земель, а в некоторых других, особенно в менее страдавших от крепостного строя степях, климат слишком засушлив, чтобы можно было обойтись без пара. Примечательно, что еще 30—40 лет назад в Советском Союзе велись острые дискуссии о том, нужен ли в его главных житницах, болезненно ощущающих дефицит атмосферных осадков, чистый пар или предпочтительнее занимать пашню вместо него пропашными культурами, чтобы она не пустовала. Жизнь показала, что если гербициды хотя бы теоретически позволяют обходиться без паров в борьбе с сорняками, то влагонакопление в почве под посевы хлебов будущего года обеспечивается на неполивном клине только паром.
Развитие европейского сельского хозяйства, особенно на западе континента, протекало на протяжении средних веков в относительно замкнутом региональном пространстве. Еще в позднее средневековье океанические перевозки оставались скудны по набору аграрных товаров и крайне скромны по объему, поскольку сводились к естественным красителям и пряностям (в основном с Молуккских островов), которые тогда при отсутствии холодильных устройств были чрезвычайно ценны как консерванты. В XVII в. статьями мировой торговли становятся сахар, табак, рис, хлопок, что отражало ее начавшийся заметный рост.
Шире были внутриконтинентальные связи, но они по нынешним меркам тоже носили ограниченный характер. Например, первое венецианское судно прибыло во фландрский порт Брюгге лишь в XIV в. Главной меридиональной трассой служил Рейн, но на нем в том же XIV столетии были воздвигнуты 64 заставы для сбора пошлин. Еще меньше товаров доставлялось по сухопутным дорогам: например, через альпийский перевал Сен-Готард ежегодно транспортировалось около 1250 т грузов. Поэтому можно с уверенностью утверждать. что территориальная дифференциация сельского хозяйства, которая сложилась под влиянием прежде всего природных факторов, была слабо нацелена на использование преимуществ разделения труда между аграрными районами. Каждый из них мало зависел от остальных, не будучи ориентирован на внешние торговые контакты.
Агропроизводство Европы в период становления мирохозяйственных связей. Картина начинает кардинально меняться с эпохой Великих географических открытий, за которой последовала промышленная революция с ее масштабными техническими достижениями. Какие же территориальные сдвиги в земледелии и животноводстве, вызванные этими двумя выдающимися переворотами в жизни человечества, следует признать наиболее важными?
Прежде всего речь пойдет о миграциях сельскохозяйственных культур. Хотя по мнению крупного специалиста по этому вопросу П.М.Жуковского, «почти все современные культурные растения были одомашнены еще за несколько тысяч лет до нашей эры», многие из них в своем распространении не вышли за традиционные региональные рубежи. В результате широкое знакомство европейцев с такими культурами Нового Света, как кукуруза, картофель, гевея, какао, табак, томаты, решительно видоизменяет отраслевую географию сельского хозяйства и вместе с тем становится явлением, далеко выходящим по значению за чисто отраслевые пределы. Говорили, например, что в XVIII в. «картофель утроил население Ирландии», подчеркивая, что внедрение на острове этой высокоурожайной культуры, дающей исключительно дешевые растительные калории, обеспечило бурный демографический рост. Одновременно сильная зависимость продовольственного баланса территории от одной культуры привела в 1739—1741 гг., когда картофель замерз в земле, к голоду, который принес смерть не менее 400 тыс. человек, или примерно 17% всего населения Ирландии.
В Новом Свете, где из злаков раньше, до прихода европейцев, возделывались только кукуруза и почти все виды домашнего скота отсутствовали, сельскохозяйственные сдвиги были еще куда более радикальными. Причем началось целенаправленное использование агриприродных особенностей низких широт. Оно осуществлялось двумя основными путями. Первый из них состоял в организации создаваемого европейским капиталом плантационного производства с привлечением местной или завозимой из других тропических областей рабочей силы. Таким образом возникли плантации кофе, чая, сахарного тростника, индиго, табака, хлопчатника, каучуконосов и многих других культур, специализация на которых поныне определяет экономическое лицо ряда развивающихся стран, в первую очередь малых.
Другой путь заключался в приобретении этих и других продуктов тропического и субтропического земледелия у местного населения. В таких случаях применялись как поощрительные, так и насильственные меры. Например, в Индонезии в 30-е гг. XIX в. голландцы ввели так называемую систему «принудительных культур», по которой яванские крестьяне должны были на части своей земли производить многие из выше названных пищевкусовых и технических культур и либо покрывать ими свои земельно-налоговые обязательства, либо продавать эту продукцию колониальным властям по низким ценам.
Следствием усиления рыночной ориентации туземного сельского хозяйства стало увеличение зависимости соответствующих областей от импорта продовольствия. Это привело к формированию новых рисопроизводящих очагов в Юго-Восточной Азии, где на влажных низменностях в бассейнах Иравади, Менама и Меконга стали осваиваться целинные земли. В результате регион превратился в главный мировой центр экспорта риса, что в свою очередь усугубляло географическое тяготение плантационного хозяйства к Юго-Восточной Азии.
Однако наиболее впечатляющий рост производства продовольствия в мире произошел в областях умеренного и отчасти субтропического климата в Северной и, в меньшей мере, в Южной Америке, а также в Австралии. Возникшее там фермерское хозяйство стало активно вывозить в европейские страны ту аграрную продукцию, которую раньше они производили для себя. В одних случаях оказалось невозможным конкурировать с дешевыми заморскими товарами, а в ряде других в Европе для функционирования в прежнем объеме экстенсивных отраслей, например, шерстного овцеводства, уже не оставалось и свободных территорий.
Весомую роль в развертывании перевозок аграрных грузов сыграл резкий прогресс не только морского, но и сухопутного транспорта, выразившийся прежде всего в массовом строительстве железных дорог. Именно они освободили складывающиеся сельскохозяйственные районы от тяготения к приморским зонам и ослабили относительное преимущество последних.
За океаном развивались производственные системы, делающие упор на достаточно экстенсивные отрасли и максимизацию выхода продукции прежде всего на единицу затраченного труда, а не на единицу площади. Такое положение означало, что на колонизируемых землях дефицитным фактором выступает рабочая сила. Это способствовало формированию специализированного, простого по своей отраслевой структуре агропроизводства, так как облегчалась организация сбыта продукции, что является сложной задачей, например, при плодосмене, когда крестьянин сталкивается с проблемой реализации многих видов сельскохозяйственных продуктов. Добавим, что аналогичного типа узкоотраслевые районы возникли и на степных просторах европейской части России, где было создано крупное экстенсивное производство зерна, главным образом пшеницы, которая стала доминировать на хлебном рынке Западной Европы.
Тем самым завершается сложный процесс формирования аграрного пространства, начавшийся с переходом от бродячего образа жизни к оседлому, когда маршрутное, или линейное, осознание территории преобразуется в радиальное. Оседлый земледелец стал представлять себе пространственную протяженность в виде концентрических кругов, затухающих к горизонту.
Хорошо выраженное применительно к единичному крестьянину и его двору тяготение огородов, обильно унаваживаемых и тщательно обрабатываемых, к приусадебным землям и все более экстенсивное использование пашни по мере возрастания удаленности полей от деревни ведут к кольцевому по отношению к ней рисунку расположения угодий. В дальнейшем, как показал И.Тюнен, сходная картина размещения сельского хозяйства в виде колец с разной интенсивностью производства складывается вокруг городов, стягивающих аграрную продукцию окрестных сельских местностей. И, наконец, концентром потребления аграрных товаров в масштабе континента, а затем всего мира становится вырвавшаяся вперед в своем экономическом развитии область Европы, примыкающая к проливу Па-де-Кале и соседствующей с ним части Северного моря.
С удалением от этой области интенсивность рыночной агрикультуры снижается. Аргентинская Пампа, в которой сначала господствовало пастбищное разведение крупного рогатого скота, а затем зерновое хозяйство и овцеводство, служит тому наглядным примером, поскольку ее природные условия допускают создание явно более трудоемких отраслей (что и подтвердило начавшееся в 30-х гг. XX в. распространение технических и плодовых культур). Разумеется, «возмущения» в глобальном разрезе слишком велики, чтобы тенденция проявлялась прямолинейно и повсеместно. Происходящие в современном мире экономические сдвиги ведут к усилению полицентризма в локализации сельского хозяйства. Однако в определенной степени «кольцевая» структура географии отрасли отражает влияние главного наряду с дифференциацией территории в зависимости от соотношения тепла и влаги фактора размещения аграрного производства — дистанционного.
Вопросы
1. Какие системы земледелия исторически формировались в умеренном поясе Европы?
2. Какие внешние факторы определили процесс интенсификации европейского сельского хозяйства?
3. В чем выразилось влияние процесса экономического развития Европы на географию мирового агропроизводства?
Земельный фонд как природный базис агропроизводства
Классификация видов использования земель. Основу агрикультуры создают, как известно, земельные ресурсы: «Труд есть отец богатства, а земля — его мать». Структура и продуктивность земельного фонда всегда находились и находятся в тесной взаимосвязи с самим производством и неотторжимы от него. В том, что в сельском хозяйстве явственно выражены фазы — а) непосредственного воздействия различных форм человеческого труда, ориентированного на обеспечение роста и жизни культурных растений и домашнего скота, и б) воздействия природных факторов — состоит принципиальное отличие отрасли от сферы промышленности.
Однако указанные ресурсы используются человеком по-разному. Поэтому изначально важное значение приобрела прикладная классификация земель, иначе говоря — выделение сельскохозяйственных угодий. Само слово «угодье» подчеркивает, что речь идет о землях, пригодных для тех или иных целей: распашки, сенокошения, выпаса скота и т.д. Соответствующие классификации, принятые в отдельных государствах, совпадают далеко не полностью, что вытекает из огромного природного, этнического и исторического многообразия географического пространства. Важнейшие понятия в этих классификациях восходят еще к условиям примитивного хозяйственного быта и, будучи выработаны в процессе практической деятельности, не вполне выдержаны логически.
В данном контексте выдающийся русский агрогеограф А.Н.Ракитников замечает, что в обычном понимании не проводилось различие между пригодностью земли для того или другого использования и фактическим использованием. Тем самым подразумевалось соответствие между тем и другим, что было естественным в прошлом, когда формы хозяйства эволюционировали медленно и для сельских жителей могли представляться по существу стабильными. Иная картина наблюдается на современном этапе, когда быстрый прогресс техники и динамичные сдвиги в отраслевой структуре и в территориальной организации агропроизводства делают ощутимым неудобство такого отождествления двух по существу разных понятий.
В нашей стране выделяются официально следующие основные виды сельскохозяйственных угодий: 1) пашня (посевы и пар, а также огороды), 2) залежи, 3) сенокосы, 4) пастбища, 5) многолетние насаждения. Примечательно выпадение в качестве отдельной категории огородов, что отразило изменения в системах полеводства, а также тот факт, что огороды в традиционной форме сохранились прежде всего в приусадебных хозяйствах, чьи земли выделяются в официальной статистике отдельной строкой без ее внутренней разбивки. Исчезла и ранее самостоятельная графа «выгоны» (включенных в категорию «пастбища»), столь важная в прошлом для экономики российской деревенской общины.
В Международном Географическом Союзе для карт использования земель была принята сходная классификация. В ней обращает на себя внимание рубрика первого порядка — «пастбища улучшенные постоянные». Это отражает широкое распространение сеяных пастбищ в ряде западноевропейских стран и особенно в Новой Зеландии, в которой их площадь более чем в 15 раз превышает площадь, отведенную под полевые культуры.
Крупным научным достижением стала изданная в 1986 г. под редакцией Л.Ф.Январевой карта «Земельные ресурсы мира». Выполненная в масштабе 1:15 000 000, она впервые показала с такой полнотой географию главных видов угодий (пашня, пастбища, многолетние насаждения, леса). Причем не только изолированно, но и в сочетании, если не обнаруживалось заметного преобладания одного из них. Сами же эти виды подразделены в зависимости от того, в каком климатическом поясе расположены. Последующее членение, с обособлением поливных земель от неорошаемых, где такое разграничение имеет место, идет в рамках этих поясов. Пастбища делятся, например, на неулучшенные и улучшенные, а далее среди первых показаны: в полярных поясах — 1) тундровые, 2) лесотундровые; в умеренных — 1) субарктических лугов, 2) лесные (а) редкостойных лесов, б) редколесий), 3) луговые, 4) лесостепные, 5) степные (а) настоящих степей, б) сухих степей, в) опустыненных степей), 6) пустынные и т.д.
Создание такой карты было бы крайне затруднено без предшествующего накопления в мире материалов аэро- и космических съемок, которые представляют собой принципиально новый источник информации о поверхности планеты. Однако даже с их помощью удается лишь весьма ориентировочно оценить состояние земельного фонда. Все сельскохозяйственные угодья занимают на земном шаре приблизительно 1/3 суши (без Антарктиды), или около 4,6 млрд га. При этом площадь обрабатываемых земель составляет примерно 1,5 млрд га, в том числе пашни — свыше 1 млрд и многолетних культурных насаждений — около 0,4 млрд га. На сенокосы приходится около 3,2 млрд га. Леса, которые тоже частично используются для аграрных нужд, сохранились на площади более 4 млрд га.
Эти цифры, конечно, приближенные не только из-за несовершенства статистического учета, прежде всего во многих развивающихся странах, но главным образом по той причине, что сами понятия, используемые в сельскохозяйственной классификации, не лишены некоторой условности.
Например, в районах с господством подсечно-огневой системы пашня, как таковая, отсутствует: земледельцы каждый год переходят на новые участки. В результате нет устойчивых рубежей, которые отделяли бы обрабатываемые земли от остальных. В подобном случае все земли могут считаться потенциально используемыми, но фактически каждый год под посевами находится их незначительная и непостоянная часть. Не менее существенно, что во многих влажно-тропических областях Африки вообще формируются и господствуют специфические природно-антропогенные ландшафты. Своеобразие их заключается в том, что «блуждающее» поле неразрывно слито с соседними участками леса и саванны, целенаправленно обогащенными полезными растениями. При создании очередной подсеки древесная флора не уничтожается земледельцами полностью, а, по сути, лишь прореживается. Это ускоряет возобновление естественного растительного покрова после прекращения эксплуатации участка.
Как в лесах, так и в саванне при расчистке оставляют и оберегают все хозяйственно ценные деревья и кустарники. Притом не только сохраняются их полезные виды, но часто на месте расчистки сажают подходящие деревья, например, масличную пальму или колу, которые затем развиваются самостоятельно. Таким образом возникли полуестественные насаждения масличной пальмы, занимающие огромные площади на юге Бенина и Нигерии в Западной Африке. Показательно, что легко и натуральным образом в туземную систему агропроизводства вписались посадки кофе и какао, ставшие во многих районах неотъемлемым элементом лесного ландшафта.
В засушливых же частях мира обычно оказывается заниженной фактическая площадь пастбищ, поскольку к ним не причисляют леса, где нередко по нескольку месяцев в году содержат скот.
Подобная практика традиционна на территории развивающихся стран, но она получила широкое распространение, например, также на Западе США, где до 30% всех пастбищных земель образуют леса. Такое их использование отвечает запросам скотоводческого хозяйства, но в принципе трактуется как нежелательное явление, исходя из тезиса: «Деревья и трава — экологические соперники». В конечном счете следствием становится общее ухудшение состояния природной среды и, прежде всего, деградация лесной растительности. Вместе с тем, существует мнение, что наносимый ущерб нередко преувеличивается, и в странах Среднего Востока главным врагом леса выступает земледельческое население, а не скотоводы.
Особенно настораживают данные о многолетних насаждениях. В первую очередь в результате развития плантационного сектора, дополненного впоследствии мелкотоварным производством, они заняли в ряде развивающихся стран значительную долю обрабатываемых угодий. Иногда показатель превышает 50%, правда, почти исключительно в малых странах, как-то в Шри-Ланке. Среди сравнительно крупных государств третьего мира выделим Малайзию, где под посадки каучуконосов, масличной и кокосовой пальмы, плодовых деревьев и чая отведено около 3/4 возделываемых площадей.
В Европе, по которой имеющаяся информация выглядит наиболее достоверной, многолетние насаждения немногим не дотягивают до 10% всего обрабатываемого клина, причем наивысшие значения приходятся на субтропические области континента и равняются 15— 25%. Если же обратиться к крупнейшим странам мира, как Китай, Россия, Индия, США, то в них означенный показатель «на круг» составляет менее 5%, причем в России не достигает даже 1%. Поэтому можно полагать, что доля многолетних посадок в мировом земельном фонде, вытекающая из ранее приведенных абсолютных цифр, заметно преувеличена и не служит надежной базой для анализа.
На каждой конкретной территории фактически всегда представлены сочетания различных сельскохозяйственных угодий. Образованные ими комбинации формируются под влиянием комплекса причин и призваны в конечном счете обеспечить оптимальные условия для функционирования производства. Однако эти сочетания могут складываться в пользу отдельных категорий землепользователей, и тогда вместо взаимодополняемости имеет место конфликт интересов. Исторически наиболее крупные столкновения в этом плане происходили между земледельцами и кочевниками (между «лесом» и «степью»). Поэтому граница зон пашенного и кочевого хозяйства всегда была подвижной, подверженной флюктуации, испытывая влияние климатических пульсации и неоднократно менявшегося соотношения сил взаимодействующих сторон. При этом неправильно полагать, что в прошлом для нужд пастбищного животноводства использовались только те площади, которые при тогдашней агротехнике нельзя было освоить под культуру, или что заселение территории, напротив, совершалось ради наибольшего развития кочевого скотоводства.
Отнесение определенных типов земель к тем или иным угодьям носит чисто качественный характер и не направлено на выявление различий в производительности отраслей сельского хозяйства. Сопоставление территории по такому комплексному показателю, как соотношение разных видов угодий, не в состоянии дать действительного представления об их сравнительном агроприродном потенциале. Его оценка составляет трудную самостоятельную задачу. Ее легче решить в отношении естественных пастбищ, ибо их продуктивность выступает чисто природным феноменом и поэтому для всех их видов выражается единым показателем: продукцией с гектара в весовом исчислении или кормовых единицах.
Иное положение в земледелии, применительно к которому уже невозможно даже теоретически, в чисто научных целях, абстрагироваться от влияния антропогенного фактора. В ходе возделывания сельскохозяйственных культур, сколь бы не была элементарной обработка почвы, происходит изменение ее первичных качеств. Следовательно, принципиальная сложность оценки земельных ресурсов заключается в том, что понятия «естественное плодородие», т.е. присущие земле изначально свойства, и «искусственное плодородие», т.е. свойства, придаваемые ей в процессе обработки, в сущности абстрактны, так как в действительности они неразделимы и не могут проявляться в чистом виде. На практике всегда наблюдается экономическое (эффективное) плодородие земли, в котором переплетаются элементы, зависящие от природы и созданные трудом человека. Это означает, что плодородие почв, выражаемое с экономической позиции единственно через урожайность, становится одновременно общественной, иначе исторической категорией, и ему нельзя приписывать абсолютного значения.
Многовариантный характер использования обрабатываемых земель и замена одних видов угодий другими в условиях нарастающей интенсификации сельского хозяйства не позволяют выработать универсальные критерии оценки продуктивности почв. По сути, в зависимости от своего профиля, специалисты занимаются или бонитировкой земель, или их собственно экономической оценкой. В первом случае исходят из объективных признаков самих почв, наиболее важных для развития сельскохозяйственных растений, во втором — из производственных результатов, в которых в преобразованном виде проявляется воздействие агроприродных факторов. Проведение сравнений особенно усложняется, когда использование земельных ресурсов осуществляется в разных аграрных укладах, каждый из которых исходит из собственных ценностных представлений. Так, крестьяне, которым продукция нужна для удовлетворения потребительских нужд, при малоземелье будут стремиться к максимизации урожайности и, следовательно, валового сбора. При достатке же земли задача может заключаться в достижении наибольшего выхода продукции в расчете на единицу трудовых затрат, а не на площадь. Фермер же, вовлеченный в товарное производство, жизненно заинтересован в получении денежного дохода, наилучшим образом окупающего сделанные ранее вложения капитала и труда.
Напрашивается вывод, что сравнительная оценка земель по их продуктивности должна проводиться с особой осторожностью, если сопоставляемые территории принципиально различаются по своим социально-экономическим условиям. В таких случаях обращение к традиционному обобщающему показателю, каким является урожайность, не проясняет картину. В этом плане особенно репрезентативен внушительный разрыв в продуктивности земледелия в промышленно развитых и развивающихся странах. На рубеже 80—90-х гг. средний сбор зерновых в Европе (без СССР) составлял 42,8 ц/га, в СССР — 18,1, Северной и Центральной Америке — 36,0, Южной Африке — 20,3, Азии — 25,7 (благодаря высокой доле в посевах риса) и Австралии с Океанией — 15,6 ц/га. Достаточно очевидно, что обе группы стран сильно отличаются друг от друга по степени насыщенности деревни средствами производства (в одном случае — современных, в другом — преимущественно традиционных) и уровню вложений материальных ресурсов в сельское хозяйство. Однако остается неясным, в какой мере это обстоятельство и, в частности, многократная разница в количестве вносимых на единицу площади минеральных удобрений, непосредственно влияющих на урожайность, усиливает или же, напротив, сглаживает изначальное неравенство агроприродных потенциалов угодий мира. Учет вышеуказанных соображений полезен и для объективного восприятия приводимой ниже в региональном разрезе краткой информации о географии основных видов сельскохозяйственных земель.

Рис. 23. Обрабатываемые земли зарубежного мира
Европа выделяется наиболее высоким показателем распаханности — на уровне 30%, что и привело к концентрации почти 10% обрабатываемых в мире площадей в ее пределах (без стран СНГ). Это результат исторически длительного аграрного процесса, густоты населения и благоприятных природных условий. Ни холодные, ни аридные, ни высокогорные территории не занимают в Европе столь больших площадей, чтобы существенно ограничить возможности земледелия. Особенно это относится к Западной Европе, редко подверженной засухам.
Вместе с тем дробность рельефа способствовала образованию сложных по составу территориальных группировок угодий, в которых пашня в сочетании с многолетними насаждениями не доминирует сплошь на больших пространствах. Даже климатические различия, связанные с нарастанием континентальности, проявляются на небольших расстояниях: в Англии отчетливо выражена второстепенная роль пашни в избыточно увлажненных местностях на западе и доминирование ее среди сельскохозяйственных угодий в сравнительно сухих равнинных районах на востоке и юго-востоке. Показательно, что лишь в двух странах под обработкой находится более 50% всей площади: в равнинной Дании, лишенной запасов ископаемого сырья и топлива, и в Венгрии, где степи достигли западной границы своего распространения.
В зарубежной Азии (без стран СНГ) коэффициент земледельческой освоенности территории тоже достаточно высок — более 15%, что привело к концентрации в регионе свыше 30% мировой пашни. Но контрасты в условиях увлажнения сказываются с исключительной силой. Низменности в муссонных областях Азии, особенно на приморском востоке Китая, превратились в мощные очаги трудоинтенсивной агрикультуры со значительной долей круглогодично эксплуатируемых полей. В ряде случаев распаханность граничит с предельной: в Бангладеш в целом она близка к 2/3, а во многих районах превосходит даже 80%.
Скудость атмосферных осадков и нестабильность их выпадения на огромных территориях определили давние традиции орошения полей. Им охвачено в регионе более 30% обрабатываемого клина, тогда как в стоящей по этому показателю на втором месте Европе (без стран СНГ) — только 12%. Однако в ряде аридных областей трудности расширения пашни непреодолимы, и она вместе с многолетними насаждениями занимает, например, в Саудовской Аравии менее 1 % территории. Неполивные земли в таких условиях признаются столь малоценными, что могут не числиться в частной собственности и возделываются лишь в благоприятный по климатическим условиям год, после чего опять надолго забрасываются.
Средние цифры по СНГ и Северной Америке близки. Обоим этим регионам свойственна сравнительно невысокая распаханность на уровне свыше 10% (в России — около 8%), так что они в итоге сосредоточивают более чем по 15% обрабатываемого клина планеты. Показатель распаханности отчетливо варьирует в них по ландшафтным зонам и в общем нарастает по мере движения к югу. Дерново-подзолистые и подзолистые почвы в зоне хвойных и смешанных лесов в этих районах распаханы только примерно на 6% площади, а черноземы лесостепи и степи — наполовину. Далее доля пашни падает по мере усиления засушливости. И все же внутренние контрасты в степени земледельческого освоения ни в СНГ, ни в Северной Америке не достигают такой силы, как в Зарубежной Азии, прежде всего из-за отсутствия столь же густонаселенных обширных земледельческих районов.
В отличие от Зарубежной Азии, в странах СНГ, особенно в России, земледелие вынуждено сталкиваться с недостаточной обеспеченностью теплом. Это накладывает отпечаток на характер использования земельного фонда. В наших черноземных областях степень распаханности территории несравнимо выше, чем в странах Средней Европы с их высокоразвитым интенсивным сельским хозяйством (Германия, Бельгия, Голландия, Австрия). На западе Азово-Кубанской равнины этот показатель достигает почти 85%, что порождает трудности экологического плана. Однако в нынешних условиях России будет особенно сложно избежать избыточных сельскохозяйственных нагрузок на земли там, где наблюдается богатство агроклиматическими ресурсами.
Вместе по уровню земледельческой освоенности могут формально рассматриваться Латинская Америка с Африкой, где при всем многообразии природных условий конечный показатель, равный примерно 7%, определяется наличием редконаселенных засушливых и влажнотропических областей при отсутствии мощных очагов пашенной агрикультуры. Именно в Африке и в меньшей мере в Латинской Америке различные формы залежного, в частности, подсечно-огневого земледелия имеют широкое распространение. Однако в обоих регионах обрабатываемые угодья по сути дифференцированы в типологическом отношении из-за сохранения многих локальных автохтонных систем земледелия, к которым добавились интродуцированные извне, например, связанные с плантационным хозяйством. Это в итоге породило и многие «гибридные» формы агропроизводства.
Что же касается порайонных различий в пределах самих этих регионов, то они отчетливо отражают внутренние территориальные контрасты природы и поэтому достаточно легко объяснимы. В Латинской Америке влажная часть Пампы с ее крупными посевами зерновых и соседствующий с ней юго-восток Бразилии с его знаменитыми кофейными насаждениями противостоят почти безлюдному до последнего времени гигантскому массиву экваториального леса бассейна Амазонки. В Африке же, напротив, земледелие слабее всего развито не в самом влажном, а в самом засушливом районе — величайшей пустыне мира Сахаре.
Малая распаханность Австралии (менее 6%) отчасти объясняется засушливостью климата и бедностью поверхностными водами. Однако без учета социально-экономических и исторических причин такое объяснение будет неполным. Поздняя колонизация, малочисленность прибывших переселенцев, удаленность от Европы, служившей главным рынком сбыта, — все это усиливало экстенсивное направление австралийского сельского хозяйства.
Закономерно поэтому, что именно Австралия выделяется богатством кормовых угодий, где они занимают свыше 50% площадей (среднемировой показатель примерно 22%). Причины кроются в первую очередь в слабой распаханности и малой лесистости континента, вследствие чего в условиях засушливого климата обширные пространства пригодны лишь для выпаса скота.
На другом полюсе находится зарубежная Азия (без стран СНГ), где на кормовые угодья приходится только немногим более 10% всех земель; при этом и в посевах фуражным культурам обычно отводится малое место. В итоге в густонаселенных рисоводческих районах слабо развитое животноводство лишено перспектив из-за бедности кормовой базы. В других районах оно почти полностью зависит от естественных пастбищ, малопродуктивных, сильно выбитых, истощенных в результате многовекового и чрезмерного использования.
Доля кормовых угодий в земельном фонде остальных регионов достигает своего максимального значения в Африке (26%), но их продуктивность в целом низка и все более ухудшается из-за перевыпаса. Хотя Африка, а также Латинская Америка лучше обеспечены пастбищами, чем зарубежная Азия, они принципиально с ней сходны по структуре кормовой базы, дирижируемой прежде всего природными факторами. Поэтому в обоих регионах лучшие пастбища сосредоточены в обширных засушливых областях.
Основывающееся на естественных кормах пастушеское хозяйство развивающихся стран в своем крайнем выражении — кочевом скотоводстве — объединяет в едином комплексе сезонные пастбища, которые могут находится на расстоянии многих сотен километров друг от друга. Но и в условиях малых перегонов стада должны включать виды и породы скота, отличающиеся высокой подвижностью и умением добывать пропитание при скудости растительного покрова. Все же сезонный дисбаланс в степени обеспеченности животных разными типами пастбищных угодий обычно не удается преодолеть в условиях сохранения экстенсивного производства в любых его формах, причем дефицит кормов падает, как правило, на зимние месяцы.
В процессе многовекового использования пастбища засушливых территорий не подвергались улучшению по причине экономической нецелесообразности или малой оправданности подобного рода мероприятий (обустраивались лишь места для водопоя); поэтому в подавляющем большинстве случаев такие пастбища истощены и имеют продуктивность ниже изначальной. В обследованиях по Центральной Азии, например, не раз отмечалось, что их кормовой травостой сильно изрежен, кое-где совершенно выбит, а оставшиеся площади перегружены поголовьем, так что традиционная практика содержания скота не в состоянии во многих хозяйствах обеспечить даже стабилизацию продукции на уже достигнутом уровне.
Что же касается влажных тропиков, то в них мало чисто природных травянистых ассоциаций. Травы развиваются только в период дождей, быстро деревенеют и теряют свою питательную ценность из-за уменьшения содержания протеина и образования грубой клетчатки. К этому следует добавить и бедность почв азотом, что тоже отрицательно сказывается на кормовых достоинствах местной растительности. Низкая естественная продуктивность пастбищ и сложность обогащения их ресурсного потенциала во влажных тропических условиях существенно препятствует становлению специализированных отраслей животноводства.
Однако нельзя удовлетворяться только ссылкой на природный феномен. Ведь и в странах умеренного климата традиционное крестьянское хозяйство в прошлом также разводило прежде всего рабочий скот и не ориентировалось на продажу своей животноводческой продукции. Вызывалось это тогда влиянием причин, которые в развивающихся странах и поныне сохраняют свое ограничительное действие: малой урожайностью сельскохозяйственных культур, что не позволяет опереться на полевое кормодобывание, низкой производительностью труда, сложностью хранения и перевозки животноводческой продукции (особенно в условиях жаркого климата), отсутствием массового рыночного спроса из-за малых доходов населения.
В странах с развитой экономикой за счет разных типов пастбищных угодий получают обычно важную, но вовсе не главную долю необходимого скоту кормов. Основная часть их поступает от отраслей растениеводства, особенно в тех областях Европы, которые обладают умеренно влажным климатом. Так, в Скандинавии под культуры, дающие фуражное зерно и сочные и грубые корма, отводят 75—85% пашни. Да и многие пастбищные земли оправданно приравнять к обрабатываемым: они засеваются травами, регулярно удобряются и даже орошаются.
Примечательно, что в Великобритании с ее густым населением и мощными очагами давней индустриализации культурные луга и пастбища тоже преобладают среди сельскохозяйственных угодий, охватывая до 2/3 всей их площади; в результате страну даже называли «пастбищным королевством». Продуктивность улучшенных лугов, достигая 40 ц/га, на порядок превышает ту, что свойственна засушливым областям с господством экстенсивного скотоводства (так, в Узбекистане урожайность пустынных пастбищ, находясь в полной зависимости от климатических условий года, колеблется от 2 до 5—6 ц/га и снижается в отдельные неблагоприятные годы до 0,5—1 ц/га кормовой массы). На одном гектаре подобных лугов можно содержать 25 овец, в то время как в полузасушливых районах для выпаса одной овцы обычно требуются в десятки раз большие площади.
В таких крупных странах с разнообразными природными условиями, как Россия и США, а также в европейской части Средиземноморья сохраняется и экстенсивное животноводство отгонного типа. В целом же в промышленно развитых государствах площади пастбищных угодий уже не могут служить полнокровным показателем для оценки уровня развития животноводства, которое все заметнее опирается на продукцию с полей. В частности, в бывшем СССР пастбища и сенокосы, занимая более 60% площади всех сельскохозяйственных земель, давали только 30% кормов. Сходные цифры характеризуют положение и в мировом разрезе.
Природно-ресурсный аспект развития сельского хозяйства. Развитие производительных сил в деревне и усиление специализации отнюдь не означают ослабления влияния природных факторов на географию сельского хозяйства, как это иногда утверждают. Хотя некоторые виды агропроизводства действительно порывают непосредственные связи с ближайшим естественно-ресурсным окружением (бройлерное птицеводство, откормочное свиноводство), в целом тенденция к оптимизации размещения вынуждает со снижением доли транспортных издержек в себестоимости продукции стремиться к скрупулезному учету природных условий. Рост товарности в сельском хозяйстве и вытекающая отсюда резкая конкуренция между районами делают производство любой культуры чувствительным даже к малейшим плюсам и минусам данного места и вызывают сдвиги в географии культур или в использовании земли с быстротой, неизвестной в прошлом. Необходимость в сравнительной оценке земельных ресурсов усиливается также вследствие постоянно увеличивающегося спроса на них со стороны других пользователей.
В самом сельском хозяйстве углубление специализации сочетается с непрерывно прогрессирующей его интенсификацией. Нарастающий во времени поток капиталовложений в отрасль требует для достижения максимальной эффективности все более полного и тщательного знания природных и экономических свойств земли. Материалы, которыми располагает наука, не дают оснований утверждать, что в ходе агротехнической практики вырисовывается определенная тенденция только к увеличению или, напротив, ослаблению различий в «естественной» продуктивности обрабатываемых угодий. Однако уже ясно, что интенсификация не ведет к нивелировке агропроизводственных особенностей почв, хотя не исключает и такой вариант, например, на староорошаемых массивах.
В процессе интенсификации сельского хозяйства происходит, с одной стороны, частичная модификация естественных свойств среды, с другой — приобретают значение новые элементы природных ресурсов и вырабатывается новое отношение к уже используемым, в зависимости от технического и экономического уровня производства.
При занятии агрикультурой наиболее ярко проявляется комплексный характер воздействия природных компонентов и явлений на производство. Еще классик российской науки В.В.Докучаев отмечал, что «...весь способ земледелия должен быть строго приноровлен к естественноисторическому условию тех или других физико-географических районов России». Однако в качестве главного объекта анализа обычно вычленяются земельные, или почвенные ресурсы. Причины тому многообразны. В их числе — территориальная дробность почвенно-растительного покрова и возможности его активного преобразования человеком.
С этих позиций базовые климатические показатели менее дифференцированы в пространстве и, в отличие от агропроизводственных качеств почвы, коррелируют с продуктивностью растений на больших территориях. Поэтому оценка биоклиматической продуктивности земли, определяемая главным образом степенью обеспеченности флоры теплом и влагой, осуществляется в сравнительно мелком масштабе. Первоосновой при этом служит зональный подход. Агроклиматические параметры чаще всего принимаются как данность, поскольку управлять ими земледелец или совсем не в состоянии (термический режим), или может при осуществлении водных мелиораций.
Выше характеризовалось размещение угодий по регионам, что отвечает задачам изучения мирового хозяйства. Но с геоэкологических позиций вполне оправдан зональный принцип рассмотрения, опирающийся прежде всего на критерий теплообеспеченности территории. Пока наши научные знания об агроклиматическом потенциале географических поясов неполны, что затрудняет достоверную оценку возможностей увеличения выхода аграрной продукции на планете в перспективе.
Это отчетливо ощущалось и при попытках объяснить уже ранее упомянутые «ножницы» в уровне урожайности хлебных культур между промышленно развитыми и развивающимися странами. По мнению ряда специалистов, разрыв в пользу первых слишком велик, чтобы ссылаться лишь на разницу в экономических и агротехнических условиях, и нужно дополнительно учесть позитивные агроприродные отличия умеренных поясов от более жарких, в которых и расположены страны низких сборов. В качестве причин, «сдерживающих» урожайность, указывают на невысокое плодородие влажнотропических почв, среди которых хорошей продуктивностью выделяются только аллювиальные и вулканические почвы, и на некоторые климатические факторы, обусловливающие трудности возделывания во влажных тропиках широкого круга культурных растений, особенно однолетних. К числу таких факторов относят малую изменчивость продолжительности дня в течение года, отсутствие прохладного и сухого периодов, стабильность величины солнечной радиации по сезонам (при этом в летние месяцы солнечная радиация и дневные температуры во влажнотропических районах часто оказываются из-за сильной облачности меньшими, чем в более высоких широтах). В результате в культурах, возделываемых в тропиках, содержится мало белков: от 2—3% в маниоке и бананах до 8— 10% в рисе и кукурузе, тогда как в пшенице, ржи и овсе — 15%, а ведь специалисты подчеркивают, что выход растительного белка с хлебной нивы — показатель не менее важный, чем урожайность.
Как считает ряд ученых, о более низких сборах в тропиках при сопоставимых уровнях агротехники можно говорить, если ограничиваться лишь валовым сбором с единицы площади за один сельскохозяйственный сезон. Если же принять во внимание возможность получения за год в тропических условиях двух-трех урожаев, то общегодовой сбор с 1 га, равно как и урожай в расчете на один день вегетации, оказывается выше в жарких странах, где зерновые культуры созревают быстрее. Отталкиваясь от этого богатства низких широт термическими ресурсами, высказывают даже мнение, что такие территории, как бассейны Амазонки или Конго располагает предпосылками для превращения в отдаленном будущем в самые густонаселенные аграрные районы (см. рисунок 24). Однако эту точку зрения разделяют не все специалисты (см. рисунок 25).
Изложенное позволяет высказать также следующие суждения. Во-первых, природные условия, вполне подходящие для ведения определенной системы сельского хозяйства, могут оказаться малоудовлетворительными для использования их в рамках технически более сложной и, казалось бы, более прогрессивной сельскохозяйственной системы (правда, возможно и обратное положение).
Рис. 24. Сельскохозяйственная продуктивность земель по В.Холлштейну

Рис. 25. Сельскохозяйственная продуктивность земель по С.Фишеру
Во-вторых, когда в данной ситуации агрикультура в состоянии удовлетворять предъявляемым запросам, мы оцениваем свойства земельных ресурсов через призму действующей системы. Но если последняя уже не выполняет возлагаемых на нее задач, то мы начинаем рассматривать качество угодий с точки зрения условий, определяющих необходимость перехода к новой агропроизводственной системе.
В-третьих, территории с менее удовлетворительными, по меркам новой системы, землями включаются в нее, как правило, позже других, что важно учитывать при прогнозах диффузии нововведений. Это вносит теоретическую определенность в давнюю дискуссию о том, какие земли — «лучшие» или «худшие» — исторически прежде всего вовлекались в обработку.
В отношении заселения Сибири отмечали, например, что оно начиналось, как правило, с земель, представлявшихся первопоселенцам лучшими. Такими считались участки, пусть менее плодородные, но не требующие большой работы по расчистке, удобно расположенные и безопасные на случай вражеского нападения. Однако с течением времени менялись сами представления о лучшей земле, например, в случае роста технической оснащенности хозяйства. То, что оставалось неосвоенным на раннем этапе колонизации, могло с успехом позднее и заселяться, и распахиваться. Так, во второй половине XVII в. произошло значительное продвижение земледельческого населения Западной Сибири к югу, в бассейны рек Исети и Миасса, где в лесостепи сложились чрезвычайно благоприятные условия для хлебопашества.
Целесообразно отметить, что в свете изложенного характеристика земельного фонда помогает объективно оценить уровень освоенности и демографическую емкость территории и уяснить перспективы дальнейшего развития агропроизводства «вширь» и «вглубь», но отнюдь не свидетельствует о степени его экономической эффективности в целом и по отраслям. Хотя в общем виде рост интенсивности использования земельных ресурсов служит признаком прогресса сельского хозяйства, предполагать, как это делали некоторые советские ученые-«оптимисты», что надо стремиться ее повсеместно повысить — значит заранее отказаться от получения наилучшего экономического результата. Естественная среда предоставляет человеку выбор различных путей утилизации агроприродного потенциала той или иной местности, и этот выбор определяется комплексом причин, зачастую лежащих вне среды самого сельского хозяйства.
Исключение составляют, пожалуй, территории с экстремальными климатическими условиями: тундра, где оленеводство постоянно удерживает свои ведущие позиции, и жаркие засушливые области, которые без орошения доступны только для пастбищного использования или же в лучшем случае дают возможность возделывать немногие засухоустойчивые культуры, преимущественно просяные. Это свидетельствует одновременно, что в сложных, близких к крайним природных условиях сельское хозяйство вынуждено развиваться преимущественно в экстенсивных формах, если не прибегать к дорогостоящим и экономически плохо оправдываемым мелиорациям. Неустойчивость производства, часто подверженного стихийным бедствиям, вызывает резкие колебания выхода продукции и ставит жесткие пределы окупаемости капиталовложений. Выгоднее, оказывается, рассчитывать на производительную силу самой природы, компенсируя за ее счет в благоприятные годы потери неурожайных сельскохозяйственных сезонов.
Вопросы
1. В чем проявляется сложность оценки земельных ресурсов, используемых в сельскохозяйственных целях?
2. Раскройте сущность экономического плодородия почвы как синтетического понятия.
3. Каковы важнейшие черты географии земельного фонда в свете природных особенностей континентов и регионов?
Мелиоративный фактор развития и размещения мирового сельского хозяйства
Современные задачи мелиоративного строительства. Основные земельные ресурсы, которые по нынешним меркам числятся пригодными для обработки, уже освоены человеком, например, в странах Азии на 80%. По миру в целом еще можно рассчитывать на дополнительные включения в агрикультуру около 500 млн га, что означало бы приумножение имеющегося пахотного клина на 1/3. Однако мотивированным выглядит предвидение, что этот процесс захватит земли, плодородие которых заметно ниже, чем используемых, и потребует крупных финансовых затрат. Перспективы ухудшаются также из-за повсеместного отчуждения продуктивных угодий под городскую застройку, дорожное и промышленное строительство и другие несельскохозяйственные цели. Итогом становится сокращение фонда целинных земель, доступных для аграрного освоения и колонизации. Это наглядно проявляется в затухании темпов расширения обрабатываемой площади в глобальном масштабе: в 70-х гг. они составляли почти 0,7% ежегодно, а в 90-х гг. — 0,35%.
В этой цифре отражено столкновение двух разнонаправленных тенденций. По некоторым, весьма ориентировочным подсчетам, планета утрачивает каждый год более 10 млн га пахотных угодий, в том числе вследствие эрозии 5—7 млн, изъятия на внесельскохозяйственные нужды 2—4 млн, засоления и заболачивания орошаемого клина 2—3 млн га. В агрикультуру же на земном шаре вовлекают около 16 млн га целины ежегодно, преимущественно за счет сведения лесов, а также распашки пастбищ. Таким образом, прирост пахотных угодий оказывается равным 5—6 млн га. (Для сравнения укажем, что данный годовой показатель на этапе с середины XIX в. до начала первой мировой войны составлял примерно 7,5 млн га и в межвоенный период приближался к 9 млн га.) Такой прирост выглядит слишком скромным, если учесть, что численность населения мира должна за 90-е гг. увеличиться примерно на 1 млрд человек, или же на 1,7% в год.
Поэтому все большие надежды в перспективе приходится связывать, с одной стороны, с совершенствованием собственно агротехнической практики, с другой — с мелиоративным воздействием на природную среду. В последнем случае речь идет о проведении совокупности мероприятий по существенному улучшению земель, чтобы добиться длительного повышения их плодородия. Оба пути переплетаются, ибо опираются на основополагающий закон зачинателя современной агрохимии Ю.Либиха: степень урожайности постоянно находится в теснейшей зависимости от «силы» (влаги, суммы температур и т.д.) или питательного вещества, которая (которое) в сопоставлении с другими имеется лишь в минимальных количествах. Однако второй путь порождает, как правило, более заметные сдвиги в агропроизводстве, даже когда распространяется на уже эксплуатируемые сельскохозяйственные угодья.

Рис. 26. Изменения северной границы распространения важнейших сельскохозяйственных культур в Финляндии в 1930—1969 гг.
На передний план выдвинулись прежде всего гидротехнические мелиорации: орошение и осушение земель, включая обводнение пастбищ. Причина этого заключается в том, что водный баланс территории явно легче поддается регулированию сравнительно с тепловым режимом, на который возможно влиять лишь на очень ограниченных площадях (с помощью теплиц и парников, а также установкой обогревателей в садах для борьбы с краткосрочными заморозками). Показательно, что предпринимавшиеся настойчивые попытки продвинуть посевы на север за счет интродукции морозоустойчивых и скороспелых сортов культурных растений оказались в целом малоудовлетворительными по экономическим соображениям. В результате, например, в Финляндии рубежи возделывания непритязательных ржи и ячменя начиная уже с 30-х гг. постепенно отступают к югу, сводя на нет былые усилия по продвижению земледелия к полярному кругу. Что же касается высокогорных областей, для которых тоже характерен короткий вегетационный сезон, то применительно к ним нерационально концентрироваться на создании новых сортов, которые из-за расчлененности рельефа смогут занять лишь незначительные площади. На таких территориях предпочтительнее «спустить» земледелие в относительно низкие вертикальные пояса. Средством служат трудоемкие работы по террасированию склонов, широко практикуемые горцами в странах Юго-Восточной Азии, и строительство оросительных объектов, если климат засушлив.
Орошение и проблемы его дальнейшего развития. Бесспорно, что среди мелиораций своим выдающимся мирохозяйственным значением выделяется ирригация. Она охватила на земном шаре приблизительно 250 млн га, или около 15—16% обрабатываемых площадей. Поливные угодья дают до 1/3 всей продукции земледелия, так что их производительность более чем в 2 раза выше, чем неорошаемой пашни. Особенно эффективны ирригационные мероприятия в аридных областях, где вопросы создания оптимального термического режима решены самой природой и благодаря обилию солнечного тепла таятся предпосылки к формированию исключительно стабильного земледелия.
О том, насколько кардинально меняется агропроизводственное качество земель с внедрением орошения, свидетельствует, в частности, оценка их потенциальной биологической продуктивности, предпринятая применительно к равнинным районам бассейна Вахша в Таджикистане. Исчисленная для условий естественного увлажнения менее чем в 50 баллов, она была охарактеризована как очень низкая (то же относится к северным территориям евразийского материка, включая тундру и северную тайгу). При оптимальном увлажнении, которое обеспечивает ирригация, данный показатель возрастает более чем до 250 баллов, и потенциальная биологическая продуктивность местных долинных земель определялась уже как очень высокая в разрезе всего бывшего СССР.
Ирригации свойственно многоцелевое назначение. Прежде всего, она раздвинула пределы ойкумены за счет областей, где земледелие без искусственного орошения невозможно. В засушливом поясе, протянувшемся от южных берегов Средиземного моря до бассейна Тихого океана, критическая граница земледелия проходит примерно по годовой изогиете 200 мм, хотя это справедливо лишь для малоурожайного и низкодоходного потребительского хозяйства. В ареалах же товарного земледелия нижний рубеж неполивных посевов определяет изогиета 500 мм.
Орошение применяется также с целью ликвидации сезонного недостатка влаги. Так, для Южной Азии, где господствует муссонный ритм выпадения дождей, это направление ирригации с агрономических позиций правомерно и с экономических почти повсеместно оправданно. Достаточно сказать, что даже в такой, в целом хорошо увлажненной стране, как Бангладеш, которая получает осадков 1500—3500 мм в год, в зимние месяцы в почве наблюдается дефицит влаги. Учитывая благоприятные термические условия Южной Азии, орошение в подобных условиях направлено на получение с одного участка двух-трех урожаев в году, т.е. на гарантию круглогодичной вегетации. Более того, один из парадоксов субконтинента именно в том и заключается, что оно на территориях, в целом страдающих, как это наблюдается в Бангладеш, от избытка влаги, полезно не только в сухой, но и в дождливый сезон, поскольку изменчивость муссона сильно сказывается на урожаях. Это относится и к главной продовольственной культуре — рису, возделывание которого на поливных землях удваивает общие сборы, если исходить из многолетних данных.
В странах с развитой рыночной экономикой орошение обычно ведет, в первую очередь, к вытеснению с полей менее ценных сельскохозяйственных растений более доходными и вместе с тем сравнительно влаголюбивыми. В данном случае оно знаменует прежде всего применение капитала к земле и с неизбежностью влечет за собой интенсификацию всего производства. В меньшей мере, но тоже достаточно широко такая тенденция в использовании земельного фонда свойственна государствам третьего мира. В той же Южной Азии внедрение ирригации сопровождалось увеличением доли высокотоварных технических культур (сахарного тростника, хлопчатника) в посевном клине, хотя они и не оказались в состоянии лишить зерновые их господствующего положения в крестьянском хозяйстве.
В глобальном аспекте главным очагом орошения издревле была и остается Азия, где оно, опираясь на богатые традиции, представлено многообразными формами и охватывает примерно 30% обрабатываемых площадей (без учета центральноазиатских государств), в том числе в КНР — 45%. Этот показатель в Европе равняется 12%, в странах СНГ — 9, Северной и Центральной Америке — 9, Южной Америке — 6, Африке — 6 и Австралии с Океанией — 4%. Во многих азиатских странах, включая столь крупные, как Китай, Индия, Пакистан, ирригационное хозяйство в качестве потребителя гидроресурсов по-прежнему не имеет равноценных соперников. Да и в целом по миру долю отрасли в спросе на воду оценивают примерно в 70%.
На современном этапе в ряде регионов уже явственно ощущается истощение водных ресурсов, в результате чего именно их дефицит, а не ограниченность земельного фонда затрудняет развитие сельского хозяйства «вширь». Во всяком случае, площадь поливной пашни, приходящейся на одного жителя планеты, с конца 70-х гг. начинает сокращаться, что представляет опасную тенденцию для большинства стран, расположенных в поясе засушливого климата. При этом обостряются межгосударственные противоречия, касающиеся распределения речного стока. Наиболее глубоки они на Среднем Востоке, где проблема имеет давние исторические корни. Так, в отношении распределения вод реки Иордан существуют серьезные разногласия между Израилем и Иорданией, жизненно в них заинтересованных, а сток Евфрата стал предметом спора между Турцией, Сирией и Ираком.
Из изложенного вытекает, что в настоящее время надежду следует связывать скорее с рациональным использованием вовлеченных в эксплуатацию агроприродных ресурсов, а не с их количественным приращением. Особенно актуальна задача экономичного потребления оросительной влаги. Такой путь помогает сгладить обостряющуюся межотраслевую конкуренцию за воду и полнее учесть интересы других секторов экономики, но главное — позволяет повысить результативность борьбы с деградацией земель. По некоторым подсчетам, до 1/2 всех орошаемых площадей подвержены энергично протекающим процессам засоления и заболачивания, ставшим подлинным бичом поливной пашни.
Подобное положение характерно, в частности, для Центральной Азии. В прошлом засоленные земли для восстановления их продуктивности временно, порой надолго, забрасывали. Это неизбежно вело к сохранению экстенсивной переложной системы хозяйствования, но такой путь неперспективен при усиливающемся спросе на земельные ресурсы. Компенсация потерь за счет нового ирригационного строительства становится все менее эффективной, поскольку самые доходные гидромелиоративные объекты в регионе, как и во всем мире, как правило, уже сооружены.
В Центральной Азии, как и в других областях традиционного орошения, до 50% и более подаваемой на поливные земли влаги теряется на фильтрацию и испарение, не доходя до орошаемых растений. И это притом, что безвозвратное водопотребление на Амударье приблизилось к 1/2, а на другой крупнейшей реке региона Сырдарье — к 2/3 их стока. Отсюда возникла масштабная проблема Арала, чья акватория из-за прогрессирующего падения уровня моря сократилась на 40% при уменьшении объема воды на 65%. В результате высохшее дно Аральского моря превратилось в крупнейший очаг соленакопления, зарождения солепылевых бурь и опустынивания. В полной мере сказалось то обстоятельство, что в среднеазиатских республиках ввиду их монокультурной специализации на хлопке норма применения минеральных удобрений многократно превышала общесоюзный уровень, будучи доведена до 480—600 кг/га. Столь же активно использовались на хлопковых полях пестициды и гербициды. В итоге произошло отравление орошаемых земель и грунтовых вод (в них вымывается, например, до половины вносимого в почву азота) и загрязнение рек, которые стали отличаться высокой концентрацией вредных веществ, включая канцерогенные.
В частности, в одном из главных центральноазиатских оазисов — Ферганской долине — в конце 80-х гг. объемы коллекторно-дренажных загрязненных вод в отдельных поливных массивах достигли 30—35% головного водозабора. Сброс происходит, в основном, в Сырдарью, куда, по самым скромным подсчетам, выносится ежегодно около 15 млн т солей. И если раньше Аральское море служило их приемником, то ныне его обнажившаяся прибрежная зона стала центром возникновения пылевых потоков. Их протяженность достигает 300 км при ширине в несколько километров, а масса переносимой соляной токсичной пыли, в большей мере аккумулируемой в пределах издревле возделываемой дельтовой области Амударьи, примерно оценивается в 15—17 млн т.
Ухудшение состояния поливных земель вкупе с увеличивающейся нехваткой водных ресурсов вынуждает усиливать внимание к вопросу экономного использования последних. Наиболее перспективными выглядят разработка и широкое внедрение новых, прогрессивных приемов ирригации. Так, уже стало обычным применение дождевальных установок фронтального или кругового действия. Чрезвычайно экономичны капельное (внутрипочвенное) и подземное орошение с использованием пластиковых труб. Особенно это касается капельного метода, которым обеспечивается строго дозированная подача воды непосредственно в корневую систему растений. Его коэффициент полезного действия близок к 90%, что делает метод особенно популярным в вододефицитных и свободных от морозов областях (из-за низких температур трубы становятся хрупкими и ломкими), как-то в Израиле и США (штат Калифорния). В результате, например, урожайность промышленных сортов томатов оказывается в 2 раза выше, а расход воды на 40% меньше, чем при поливе по бороздам. Однако затраты на оборудование и другие капиталовложения при капельном орошении примерно в 6 раз превосходят аналогичные расходы при различных видах поверхностной ирригации. Поэтому очаги его зарождения привязаны к передовым районам интенсивного сельского хозяйства со специализацией на производстве фруктов, винограда, овощей и хлопка. Для деревни третьего мира увеличение первоначальных инвестиций чаще всего представляется непосильной задачей, хотя в условиях крестьянского малоземелья прогрессивные методы ирригации крайне желательны: они позволяют увеличить обрабатываемые площади за счет экономии на постоянной и временной сети оросителей и на дренажных объектах.
Эрозионные процессы и борьба с ними. Важное дополнительное достоинство новых приемов орошения заключается в снижении опасности ирригационной эрозии, тем более, что эрозионные процессы превратились в глобальную угрозу для сельского хозяйства. Особенно страдают от них на современном этапе области неполивного земледелия. Определить размах явления крайне сложно, поскольку эрозия почв в ее «чистом» виде есть нормальное условие развития природного ландшафта и поэтому в той или иной степени распространена повсеместно. Имеются и технические трудности оценки: чтобы объективно охарактеризовать ситуацию, надо иметь многолетние ряды наблюдений, как это требуется для большинства сельскохозяйственных параметров. Данные же о потерях почвы в какой-то конкретный год могут оказаться нерепрезентативными, ибо колебания значений всех влияющих факторов по отдельным годам велики.
В специальной научной литературе эрозия рассматривается как процесс удаления почвы (в основном под воздействием антропогенной деятельности) со скоростью, которая превышает скорость ее образования. Природе нужно примерно от 200 до 1000 лет, а в среднем 500 лет, чтобы сформировался почвенный слой мощностью 2,5 см. Агрикультура почти всегда влечет за собой большие его потери. По этой причине почвенный баланс планеты сводится с отрицательным сальдо порядка 23 млрд т в год, т.е. человечество безвозвратно утрачивает около 0,7% всего объема почвенной массы ежегодно.
В критическом положении оказались в первую очередь горные территории, где потенциальная опасность эрозии велика и уничтожение естественной растительности высвобождает скрытую до этого энергию рельефа. Например, в Кабардино-Балкарии свыше 70% пашни, притом как неполивной, так и орошаемой, подвержены эрозионным процессам. Эрозионные процессы вызывают физическое истощение органического вещества почвы и уменьшение в ней количества элементов питания растений. В этой республике годовые потери от смыва на обрабатываемых угодьях оценивали почти в 15 млн т почвенной массы, в том числе гумуса — 590 тыс. т и питательных веществ — более 350 тыс. т, что далеко не компенсируется за счет вносившихся удобрений. По причине падения плодородия местных почв из-за эрозии объем недополучаемой продукции зерновых в Кабардино-Балкарии исчисляют в половину и более величины фактических сборов.
Однако эта весьма тягостная картина не является исключительной для горных областей. В принципе сходное и, пожалуй, еще более напряженное положение отмечено в Гималаях. В частности, на находящемся в их пределах плато Шиллонг, получающем более 10 тыс. мм атмосферных осадков в год, до 80% территории считаются непригодными для обработки. Сведение лесов, которые сохранились лишь на 7% площади, в условиях пересеченного рельефа и затяжных дождей привели к смыву почвы и коры выветривания, так что обнажились бесплодные песчаники. Аналогичные примеры можно привести и для гор Африки и Латинской Америки.
Вместе с тем эрозии, как геоморфологическому явлению, присущи определенные зональные черты: она проявляется с особой разрушительной силой в климатических поясах, где продолжительные засушливые сезоны ослабляют растительный покров, после чего почва подвергается действию мощных ливней и пыльных бурь. Это видно из рисунка 27, на котором весьма отчетливо прослеживается меридиональная выраженность явления в европейской части России. При этом на севере Нечерноземной зоны эрозионно опасные земли охватывают 5—20% пашни, в центральных районах 10—50, на ее юге 40—70%, а в Черноземье — до 60—80%.

Рис. 27. Распространение эрозии земель на территории России и сопредельных государств
Однако эту закономерность нельзя абсолютизировать, тем более в глобальном аспекте, поскольку эрозионные процессы имеют разную сущность. В аридном поясе явно доминирует ветровая эрозия. Активное развитие ее на современном этапе вызвано в первую очередь чрезмерной эксплуатацией пастбищ, площадь которых неуклонно сокращается под натиском других землепользователей. Во многих частях географической области Сахель, где совершается переход от пустынь Сахары к саваннам приэкваториальной Африки, поголовье скота превысило предельную емкость пастбищ вдвое. В итоге ежегодные потери почвы в данной области достигают 10—20 т с 1 га, многократно возрастая в годы засух. При свойственной аридным территориям маломощности почвенного покрова такой урон крайне трудно компенсируем.
Напротив, во влажных тропиках, где энергия дождей в 2—6 раз выше, чем в умеренном поясе, главную угрозу агроприродной среде несет водная эрозия. Ее распространение тесно связано с процессом сведения тропических лесов в интересах сельского хозяйства. Под естественным древесным пологом эрозия практически не проявляется: в лесах Бразилии ежегодный вынос почвы составляет всего 150 кг/га. Однако эти потери оказываются, согласно длительным экспериментальным наблюдениям в странах Западной Африки, в 100—300 раз сильней на плантациях кофе, какао и масличной пальмы, в 200—800 раз — при возделывании зерновых культур. И если в аридных условиях катализаторами разрушительной эрозии выступают засухи, то в условиях постоянно влажного климата такую роль выполняют мощные ливни.
Таким образом, эрозия, выступающая одновременно и как природное, и как антропогенное явление, развивается под воздействием сложной совокупности факторов. Среди них на переднем плане находятся те, что сопряжены с агропроизводственной активностью человека.
Показательно, что в США страдающие от смыва почв возделываемые угодья находятся ныне в основном во влажных восточных штатах: процесс проявляется в стране преимущественно на пашне, отведенной под пропашные культуры. Они не обеспечивают почти никакой защиты против эродирующего действия сильных дождей. В результате около 1/3 посевных площадей под кукурузой и почти все земли под хлопчатником ежегодно теряют 12,5 т почвы с 1 га. Этот уровень потерь, означающий уменьшение ее мощности на 1 мм, признан в США «приемлемым» для земель с хорошо развитым продуктивным горизонтом. Однако даже для них указанный количественный показатель смыва большинством специалистов считается заниженным. Реальные же цифры по отдельных штатам значительно его превосходят — например, в Айове более чем в 10 раз.
На засушливых землях главную угрозу агропроизводству несет ветровая эрозия, или дефляция, экстремальным проявлением которой становятся мощные «черные» бури. Упоминание о ее отрицательных последствиях восходят еще к античным временам, но широкую и печальную известность дефляция приобрела в 30-х гг. нашего столетия. Толчком к тому послужили частые пыльные бури в Северной Америке, сильнейшие из которых уносили до 300 млн т почвы с полей Великих равнин, где несколько лет складывались крайне неблагоприятные условия увлажнения. Предметом общего внимания послужил тогда не только огромный вред, что был причинен агроприродной среде. Скорее сказалась скоротечная и глубокая деградация сельского хозяйства, которое само подготовило основу для образования так называемой «пыльной чаши» и постигшей его в результате катастрофы.
Именно тогда стало явным, что агрикультура может таить в себе зерна собственного разрушения. С тех пор в США были предприняты серьезные усилия, чтобы исправить положение, и, хотя полностью избавиться от пыльных бурь не удалось, ветровая эрозия ныне причиняет в стране заметно меньший урон почвам, чем водная. К сожалению, уроки прошлого не везде были усвоены. Распашка целинных земель в Северном Казахстане не была подкреплена в нужной степени комплексом давно и хорошо изученных мер по борьбе с дефляцией. Это породило новый крупный очаг ветровой эрозии. Ее интенсивность не ослабевает и на старообжитых территориях, таких, как Ставропольский край и восток Украины, где потенциальная опасность пыльных бурь оценивается для пахотных земель величиной 50—100 т/га в год.
Большое внимание, уделенное мелиорациям и борьбе с негативными агроприродными процессами, обусловливается еще не до конца осознанным мировым сообществом обстоятельством: если в прошлом растущие потребности в продовольственном и сельскохозяйственном сырье преимущественно удовлетворялись благодаря освоению дополнительных земельных ресурсов, то ныне такой путь стал вспомогательным. Главные усилия приходится сосредоточивать на поддержании и, по возможности, приумножении плодородия имеющихся угодий, чего ныне редко удается добиться без глубокого мелиоративного преобразования естественно-исторического фона.
Однако нужно отказаться от надежды, что мелиоративные мероприятия сами по себе приведут к подъему агропроизводства. На деле они выступают прежде всего регулятором устойчивости хозяйства. Как показал, например, недавний опыт развивающихся стран Азии, в их зерновом секторе затраты в современные виды ирригации оправдывают ожидания лишь при сопутствующем наличии принципиально новых высокопродуктивных сортов, отзывчивых на влагу и удобрения. Неприхотливые же автохтонные сорта нетребовательны к влаге, но также не в состоянии существенно увеличить свою урожайность. Стремление окупить инвестиции за счет интенсификации производства на базе внедрения и расширения посевов технических культур обычно сопряжено с необходимостью организации первичной промышленной переработки продукции и налаживания тесной связи с рынком. Вот почему мелиорацию нельзя сводить к сумме и даже к комплексу воздействий лишь на природную среду. Они обязательно должны вписываться неотъемлемым составным компонентом в конкретную сельскую местность, как интегральную структуру, которой, в свою очередь, предстоит под их влиянием меняться в экономическом и экологическом отношении. Только тогда можно рассчитывать на достижение в результате мелиоративных работ наилучшего народнохозяйственного эффекта с позиций средне- и долгосрочной перспективы.
Вопросы
1. Какие природные процессы наиболее негативно влияют на фонд сельскохозяйственных угодий?
2. В чем состоит сущность агромелиоративного воздействия на окружающую среду?
3. Каковы основные причины ухудшения состояния поливных земель в Центральной Азии?
4. Каковы закономерности распространения эрозии в разных ландшафтных условиях?
Сельское хозяйство в социо-культурном и техно-экономическом пространстве
Крестьянское фермерское хозяйство. Обрабатываемые и пастбищные земли повсеместно составляют естественную основу сельского хозяйства, но использование их в разных регионах и странах характеризуется чрезвычайным многообразием. То, что производится, в сильнейшей мере зависит от природных особенностей территории, как производится — прежде всего от уровня ее социально-экономического развития. Всевозможные факторы различного генезиса столь тесно переплетаются в своем воздействии на аграрный сектор, что слитно сказываются на его структуре и размещении в целом и на географии отдельных его отраслей.
Однако во всех случаях по-прежнему остается справедливым заключение выдающегося знатока русской деревни XIX в. А.Н.Энгельгардта: «У нас вообще слишком много значения придают... машинам и орудиям, тогда как машины самое последнее дело. Различные факторы, по их значению, идут в таком порядке: прежде всего хозяин, потому что от него зависит вся система хозяйства, и если система дурна, то никакие машины не помогут; потом работник, потому что в живом деле живое всегда имеет перевес над мертвым... потом лошадь, потому что на дурной лошади плуг окажется бесполезным; потом уже машина и орудия. Но ни машины, ни симментальский скот, ни работники не могут улучшить наши хозяйства. Улучшить их могут только хозяева».
Испокон веков такой фигурой в доиндустриальном обществе оставался сельский труженик. «Крестьянин не будет стараться — весь мир с голоду умрет», — утверждает китайская пословица. Вместе с тем понятие «крестьянин», несмотря на его многовековое употребление в бытовой лексике, художественной литературе и науке не несет четкого содержания. Оно применяется и в широком значении слова, когда им охватывают всех непосредственных производителей аграрной продукции, и в узком, когда вводятся сущно-стные ограничения. Тогда становится целесообразным вычленить из крестьянства и обособить в отдельные категории: а) фермеров, что ведут хозяйство, глубоко вовлеченное в товарно-денежную сферу и с нею неразрывно связанное; б) земледельческое население, которое остается еще в рамках клановых (родовых) структур, выступающих в качестве производственного и социально-бытового коллектива; оно придерживается преимущественно мигрирующих форм агропроизводства, прежде всего подсечно-огневой системы с ее слабо развитым институтом частной собственности на землю; в) наемных сельскохозяйственных рабочих, не располагающих собственными земельными наделами; г) кочевников и полукочевников.
Такое разграничение вытекает из более или менее общепризнанного определения крестьянского хозяйства, которое еще в «Новом энциклопедическом словаре Брокгауза и Евфрона» (1913 г.) рассматривалось как мелкое сельскохозяйственное предприятие, в котором работы выполняются главным образом или в значительной мере трудом хозяина и членов его семьи с применением или незначительным применением наемного труда. В последующем специалистами-аграрниками было дополнительно подчеркнуто, что крестьяне прямо или косвенно направляют усилия на удовлетворение своих потребительских нужд, а также на выполнение обязательств по отношению к обладателям политической и экономической власти. Не менее репрезентативной чертой служит сращенность жизни крестьянской семьи с ее производственной деятельностью. Поэтому типичное хозяйство — это семья, которая располагает (владеет) землей и инвентарем и сама выступает организатором полевых и прочих работ и их основным исполнителем. Автаркия для него отнюдь не обязательна, но ориентация на самодостаточность — главное, что и обусловливает упор на выращивание продовольственных культур.
Низовая производственная ячейка у земледельцев-подсечников по многим линиям обнаруживает немалое сходство с крестьянским двором. Ее функционирование, которое решающим образом влияет на годовой цикл всех видов жизнедеятельности селян, тоже не умещается в пределах чисто экономических отношений. Но этот вариант агрикультуры, поскольку опирается на архаичную ручную технику, не обеспечивает условия воспроизводства полностью в рамках малой семьи. В результате она не в состоянии обособиться как хозяйственная единица, тем более, что постоянное забрасывание обрабатываемых участков под перелог препятствует закреплению за ней земельной собственности. В максимальной степени подобное положение сохраняется в Тропической Африке, где деревне по-прежнему свойственна родоплеменная организация, которая в процессе эволюционных изменений постепенно освобождает место крестьянским и фермерским институтам.
Если в рассматриваемом случае правомерно говорить о «предкрестьянах» (или «протокрестьянах»), то фермеры выступают уже в роли «послекрестьян». В развитой форме их хозяйства — это чисто коммерческие предприятия, которые становятся одним из неотъемлемых звеньев агробизнеса. Связь с рынком прослеживается не только применительно к сбыту продукции, но и во всем воспроизводственном процессе, который в крестьянской среде стремится не выйти за границы сельской общины. (В классическом виде это выражено в Индии, где кастовая система обеспечивал такое разделение труда, которое позволяло жителям деревни на месте удовлетворять все свои потребности в инвентаре.) Фермерское же хозяйство крайне зависимо от поставок товаров тяжелой промышленностью, тем самым непосредственно влияющей на его агротехнический уровень.
Мотивация деятельности у фермеров иная, чем у крестьян, ибо диктуется необходимостью добиться рентабельности производства, без чего не окупить ранее сделанные финансовые затраты. Отсюда и разное отношение к риску и нововведениям. Для крестьянина традиция — это унаследованный от предков ресурс, который должен помочь избежать недорода и голода. Фермер, напротив, должен опасаться быть излишне консервативным: готовность воспринять нововведения — это его шанс успешно выдержать жесткую рыночную конкуренцию. К тому же фермеры обычно обладают гораздо лучшим доступом к источникам информации, нежели традиционные хозяйства, и постоянно получают рекомендации специалистов, что во многом предохраняет от принятия неверных решений. Чтобы успешно управлять пусть и скромным по размерам для современного общества сельскохозяйственным предприятием, его владелец должен иметь достаточно высокий образовательный ценз и хорошую профессиональную подготовку. Потому в промышленно развитых странах доля квалифицированных кадров в аграрном секторе выше, чем в сфере индустриального труда: к стоящему у конвейера рабочему жизнь предъявляет меньшие требования, чем к фермеру, ибо А.Н.Энгельгардт уже давно предсказал: «Кто хозяйничает «по агрономии», тот разоряется».
Обязательность творческого подхода к крестьянскому делу раскрыл еще один знаток российского сельского хозяйства и засух А.А.Измаильский: «Если нельзя сшить сапога, годного на ногу каждого человека, то тем более нельзя придумать такого общего правила обработки почвы, которое оказалось бы одинаково пригодным во всякое время и на всяких почвах». Вот почему крайне далека от истины бытующая в марксизме сыто-обывательская сентенция об идиотизме деревенской жизни. Она принципиально ошибочна не только в производственном плане, но и в отношении культурного бытия деревни с ее богатыми социальными традициями и институтами самоуправления, многосложными массовыми ритуальными действами, частыми семейными и сельскими празднествами и т.д.
Фермерское хозяйство, в отличие от крестьянского, следует дорогой специализации, поэтому ему обычно свойственна менее сложная отраслевая структура. Однако различия не следует абсолютизировать, особенно для европейских стран, где фермеры, как правило, наследовали земли и традиции своих прародителей-крестьян. Жизненный цикл в обоих случаях диктуется сезонным ритмом деятельности, и сохраняется временной разрыв между вложениями труда и их отдачей. Главное же сходство и даже общность двух типов хозяйства состоит в том, что речь идет о семейно-трудовых предприятиях, в которых хозяин как бы нанимает сам себя в качестве рабочего. При переходе же к производству с активным привлечением наемной рабочей силы фермер теряет эффективность использования ресурсов, и это ставит достаточно узкие пределы развитию капитализма из крестьянской среды. Выкристаллизовывающиеся из нее высокотоварные специализированные фермы обнаруживают существенные отличия от подлинно капиталистических предприятий, поскольку семейный труд на них по-прежнему не является общественным в том смысле, что не получает денежного выражения через рынок рабочей силы.
В русской экономической науке еще в начале XX в. были высказаны доказательные соображения о том, что укрупнение хозяйств сопровождается быстрым усложнением задач по управлению ими, что препятствует адекватному росту самого производства. Показательно, что даже в такой стране, как США, с ее обилием земли и капитала и отсутствием пережитков доиндустриального общества, динамичное аграрное развитие не смогло сокрушить лидирующие позиции семейных предприятий. При этом характерно, что меньший оптимальный размер ферм оказался свойствен, во-первых, трудоинтенсивным и слабомеханизированным отраслям и, во-вторых, территориям с более благоприятными агроприродными условиями, которые положительно влияют на эффективность производства и оправдывают его интенсификацию.
Вместе с тем технический прогресс в сельском хозяйстве, который обеспечивает повышение производительности труда, ведет к постепенному увеличению среднего размера ферм и по земельной площади, и по объему инвестированного капитала, поскольку позволяет семье обходиться собственными силами за счет экономии затрат живого труда. В кукурузном поясе США старики еще помнят времена, когда початки убирали вручную и даже лучший работник за день («длинный и тяжелый») мог собрать до 2,5 т кукурузы, тогда как ныне комбайны с захватом на 3—4 рядка делают это за 10 минут. Но цена такого комбайна — порядка 100 тыс. долларов, так что современное семейное предприятие неизбежно лишается остаточных черт былой патриархальности. Однако оно не утрачивается при этом жизнестойкости: так, в США, фермы разного типа, принадлежащие семье или группе родственников, концентрируют более 90% земель и дают свыше 90% продукции сельского хозяйства. Только в тех подразделениях, которые перестроились на индустриальные технологии, например, в откорме мясного скота и выращивании бройлерной птицы, обнаруживаются преимущества тех крупных хозяйств, которые по организации бизнеса напоминают промышленные предприятия и выигрывают на масштабах производства.
В развивающихся странах, где деревня перенаселена и ощущается дефицит земельных ресурсов, перед аграрной сферой стоит прежде всего иная задача: предоставить крестьянам средства к существованию, для чего следует добиваться максимального выхода продукции с единицы площади. Речь идет не об оптимизации величины хозяйств — такая цель в странах третьего мира явно недостижима, а о том, чтобы селяне располагали наделами, которые кормили бы семью. Из-за скрытой безработицы мелкие земельные собственники вынуждены идти на дополнительные трудовые затраты, которые, хотя и приносят лишь незначительный экономический эффект, все же обеспечивают прирост продукции. Таким образом, хозяйство должно быть жизнеспособным с потребительских позиций, а экономические критерии отступают на второй план.
Крупное производство в аграрном секторе. В подобной обстановке сохранение крупных землевладений, имеющих феодальный генезис, малооправданно, ибо они сравнительно с мелкими неизбежно нацелены на менее интенсивные методы ведения производства. В Бангладеш, например, до осуществления в 70-х гг. аграрной реформы крестьяне, имевшие участки площадью до 0,4 га, вторично в году засевали 2/3 обрабатываемого клина, а в землевладениях свыше 10 га этот показатель составлял лишь 1/4. То обстоятельство, что в странах Востока помещики обычно не ведут своего хозяйства, а сдают землю в аренду, влечет за собой интенсификацию агрикультуры, но одновременно означает отказ от реализации тех преимуществ, что принесли бы более крупные размеры производства. Особенно неблагоприятная ситуация складывается в тех случаях, когда помещичьи латифундии размещаются на наиболее продуктивных землях, которые лучше других отзываются на дополнительные вложения труда и капитала. Подобное положение прослеживается в андийских странах. Так, в Колумбии выположенные плодородные участки в речных долинах заняты слабо используемыми пастбищами помещичьих хозяйств; крестьянские же наделы приурочены к гораздо менее удобным для возделывания элементам рельефа — склонам и водораздельным пространствам.
Особый тип крупных сельскохозяйственных предприятий образовали плантации, зарождение которых последовало за эпохой Великих географических открытий и было связано с развитием машинной индустрии, неуклонно расширявшей спрос на сырье, и увеличением емкости рынка потребительских товаров в странах, где формировалось буржуазное общество. Однако и плантации всегда опирались на дешевые земельные и трудовые ресурсы, причем рекрутирование рабочей силы долго основывалось на внеэкономических методах принуждения. На примере плантационного сектора история еще раз показала, что крупные хозяйства в аграрной сфере сравнительно легко решают свою проблему занятости, пока в деревне еще существует докапиталистическое перенаселение, но уже ослабли социальные связи, удерживающие жителей в пределах сельской общины, и появилось отходничество. С развитием массовых миграций в город и ростом цены рабочих рук в более выигрышном положении оказываются семейные фермы, поскольку размеры их производства регулируются величиной семьи, а потому спрос на наемный труд достаточно ограничен.
На сходные выводы наталкивает и исторический опыт советской деревни. Насаждавшиеся колхозы и совхозы во многом были сходны с плантациями XVIII—XIX вв. Крестьян жестко прикрепили к местам приложения труда и выделили им приусадебные участки, аналогичные тем парцеллам, которые предоставляются плантационным рабочим для возделывания продовольственных культур. Таким путем уменьшается стоимость рабочей силы. Когда же у колхозников появилась возможность покидать деревню, началось ее обезлюдение с неизбежным распадом навязанной ей социально-организационной системы агропроизводства.
Плантациям в развивающихся странах все труднее в настоящее время выдерживать конкуренцию мелких товаропроизводителей, и крупный иностранный капитал ищет новые формы втягивания традиционного аграрного сектора в международные рыночные отношения. При этом используются методы, уже апробированные агробизнесом на своей «родине». Все чаще, например, при выращивании арахиса в Сенегале и других странах Западной Африки или хлопчатника в Мали продукция закупается согласно заранее заключенным с земледельцами контрактам. Компании, сами не занимаясь непосредственно сельскохозяйственным производством, поставляют деревне сортовые семена и удобрения, оказывают ей агротехническую помощь и гарантируют приобретение урожая по фиксированным ценам. Такой подход нередко диктуется тем обстоятельством, что зарубежный капитал опасается проведения в государствах третьего мира земельных реформ и других акций, направленных против иностранной собственности, и избегает там инвестировать значительные средства в недвижимость.
Для землевладельцев подобная система отношений при ряде несомненных плюсов означает заметное ущемление прав самостоятельности хозяйствования и налагает лишние обязанности. Особенно тяжело это дополнительное бремя ощущается в тропических областях Африки, где деревенские женщины и без того слишком много времени и сил отдают работе на подсеках (тогда как в зонах применения плуга основная нагрузка на полях всегда ложится на мужчин).
Традиции и нововведения. Важная сторона агропроизводства — зачастую явное нежелание села воспринять «чужеродные» культуры, не вписывающиеся в традиционный годовой ритм труда и нередко вступающие в противоречие с культурным наследием и религиозными установками. Так, неудачной оказалась попытка одной из международных пивоваренных компаний внедрить на плато Джос в Нигерии посевы ячменя: местные землевладельцы-мусульмане отказались от его возделывания, поскольку их вера не позволяет содействовать производству алкогольных напитков, несмотря на предлагавшиеся выгодные условия контракта.
Вообще исконные обычаи и трудовые навыки остаются поныне мощным фактором в географии мирового сельского хозяйства. С одной стороны, они привносят в нее консервативное начало. Хорошо известно о запрете правоверным индусам потреблять говядину, а приверженцам ислама есть свинину, что не позволяет развивать соответствующие отрасли животноводства. Зачастую возникают также препоны к восприятию других форм хозяйствования. Это ведет, например, к независимому существованию на одной и той же территории в саваннах Западной Африки пастбищного скотоводства коренных кочевников фульбе и земледелия, которым занимаются издавна оседлые хауса. За многие века не возникло производство смешанного типа, более устойчивое к неблагоприятным природным явлениям. С другой стороны, накопленный агрикультурный опыт выступает часто позитивной силой, способствуя диффузии нововведений. Так, миграция датчан и скандинавов в Северо-Западный центр США облегчила становление местной специализации на разведении молочного поголовья, а датский метод обработки молока был воспринят остальными фермерами и широко распространился по всей стране. Перемещенные с советского Дальнего Востока в республики Средней Азии корейцы и в новых районах обитания создали высокопродуктивное рисоводство и овощное хозяйство на базе использования своих вековых традиций.
На современном этапе все сильнее ощущается влияние научно-технического прогресса на агросферу, а его географические последствия оказываются все противоречивее. Особой сложностью отличаются связи сельского хозяйства с промышленностью, что придало ему несвойственный ранее динамизм. Однако и в прошлом отрасль не находилась в состоянии перманентного застоя. Многие тысячи сортов культурных растений и многие сотни пород домашнего скота, дошедшие к нам из глубины веков, служат убедительным свидетельством непреходящего вклада крестьянства в мировую цивилизацию. Вместе с тем достижения деревни не приобрели того универсального значения, как изобретение паровой машины или дизельного двигателя, и не повлекли за собой формирования принципиально новой техногенной среды. Как правило, изменения в сельскохозяйственном производстве совершались постепенно, накапливались от поколения к поколению.
На этом пути случались и недюжинные успехи, которые далеко не всегда получали адекватное общественное признание и осмысление. Даже среди эрудитов мало кому известно, например, какую революционизирующую роль в истории землепашества сыграл твердый хомут. Между тем причина, почему в Европе лошади стали заменять волов на полевых работах только во втором тысячелетии нашей эры, заключалась в том, что лошадь не могла быть впряжена в плуг раньше, чем был изобретен нужный хомут. В древности применялся хомут из мягкой кожи, который при больших усилиях животного сдавливал ему горло и яремную вену, так что оно начинало задыхаться. Поэтому в Европе в античные времена на полях трудились исключительно волы, что нашло отражение в строках римского поэта Горация: «ленивый вол хочет ходить под седлом, а конь — пахать» (иначе — каждый недоволен своей участью). Жесткий хомут, появившийся на континенте не ранее Х в. и заимствованный, по всей вероятности, из Азии, позволил лошади при перевозке грузов развивать усилие в 5—10 раз больше, чем прежде. В результате она оказалась в состоянии тянуть тяжелый плуг. Это внешне не примечательное, а на деле коренное усовершенствование упряжи имело и выдающиеся последствия; в частности, без него русские крестьяне не смогли бы приступить к земледельческой колонизации Сибири.
Ныне положение дел в сельском хозяйстве все больше определяется инновациями в промышленности, даже когда выпускаемая ею продукция формально не связана с агросферой. Наглядным примером может служить организация производства синтетического каучука. Это стало в СССР толчком к отказу от программы внедрения на поля малоурожайных каучуконосов — кок-сагыза и тау-сагыза, а в глобальном масштабе привело к резкому замедлению темпов роста площадей под гевеей и сохранению прежней привязки ее насаждений к странам Юго-Восточной Азии. Равным образом все увеличивающееся предложение потребителю разнообразного ассортимента изделий из искусственных тканей сдерживает расширение посевов волокнистых культур и тем самым тоже воздействует на размещением мирового земледелия.
Подъем сельского хозяйства все теснее ассоциируется в настоящее время с укреплением материально-технической базы отрасли. Одним из оправдавших себя направлений в налаживании устойчивых межотраслевых контактов и связей с научно-образовательным комплексом и особенно с промышленностью явилось создание сетей кооперативных объединений разного типа, прежде всего снабженческих и сбытовых. Их жизнеспособность и экономическая эффективность подтверждены долгой практикой многих промышленно развитых стран, в первую очередь европейских. Возможно, самые мощные позиции кооперативы завоевали в Скандинавии по причине специализации производства на скоропортящейся молочной продукции. Например, в Финляндии фермеры, содержащие коров, поголовно входят в кооперативы, которые скупают молоко у своих членов, перерабатывают его на своих заводах и реализуют товар через систему собственных магазинов.
В развивающихся странах государство обычно активно поддерживает кооперативное движение, поскольку тем самым облегчается продажа аграрной продукции и улучшаются возможности снабжения крестьян товарами производственного назначения. В итоге дополнительные стимулы роста получает торговое земледелие, тем более, что подлинная кооперация, внося централизованное начало в агросферу на селе, не подавляет самостоятельности и предприимчивости индивидуальных хозяйств. Постепенное укрепление материально-производственной базы в бывшей колониальной деревне выявило, особенно в Африке, потребность в организации кооперативов новой направленности — специально по ремонту сельскохозяйственной техники. Это вызвано малочисленностью нужных кадров, из-за чего импортные машины и оборудование, отнюдь не дешево приобретаемые селом, либо простаивают, либо ввиду неумелого обращения быстро приходят в негодность.
Восприятие потока современных научно-технических достижений сельским хозяйством ведет обычно к многоплановым географическим последствиям для отрасли, которые в каждом конкретном случае требуют разностороннего анализа. Обратимся к «зеленой революции», которую связывают с внедрением в сельскохозяйственную практику развивающихся стран в середине 60-х гг. принципиально новых гибридных сортов зерновых, приносящих высокие сборы в природных условиях тропического пояса. В социально-экономическом плане она была подготовлена проведенными в этих странах земельными реформами, а в агротехническом отношении предпосылки были заложены с распространением и совершенствованием методов орошения и созданием промышленности минеральных удобрений, а также усилением их импорта.
С самого начала «зеленая революция» обнаружила тесную зависимость от связей агропроизводства с другими отраслями хозяйства, и поэтому закономерно, что она очень вяло протекает на Африканском континенте. Поскольку новые сорта обеспечивают хороший урожай лишь при надежном обеспечении полей влагой, в наиболее выгодном положении оказались орошаемые территории, что на фоне всего третьего мира дало явное преимущество азиатским странам. Однако реализовать его возможно лишь при условии интенсификации земледелия, а это требовало взятия определенного финансового барьера, недоступного еще широким кругам крестьянства. В результате, при прочих равных условиях, лучшие предпосылки для развертывания «зеленой революции» сложились в тех районах, где преобладают более крупные и менее страдающие от чересполосицы землевладения. Проигрывают же районы относительно отсталого, слабого в экономическом отношении сельского хозяйства.
«Зеленая революция» с разной силой сказалась на отдельных культурах, затронув в первую очередь пшеницу и кукурузу, в меньшей мере рис, который выращивается в Азии в более разнообразных природно-климатических условиях, чем пшеница (потому задача подбора сортов для каждого района сложнее). Слабо затронуты были зернобобовые, просяные и технические культуры. Таким образом, порайонные различия в отраслевой структуре земледелия тоже повлияли на географические закономерности распространения «зеленой революции», поставив в благоприятное положение территории, где широко возделывают сельскохозяйственные растения, урожайность которых обнаруживает наиболее высокие темпы роста.
Так, большой прогресс был достигнут в индийском штате Пенджаб и пакистанской провинции Пенджаб, где удачно сочетались нужные предпосылки: а) преобладание в деревне достаточно крепких хозяйств на орошаемых каналами землях, дополнительно обслуживаемых скважинными колодцами, б) ориентация на выращивание пшеницы, в) существование сети мелких промышленных предприятий, как уже имевшихся, так и новых, наладивших выпуск разнообразного сельскохозяйственного инвентаря.
Постоянная интенсификация связей современного сельского хозяйства с промышленностью при всей их благотворности ведет и к серьезным негативным результатам. Оно все более превращается из системы самообеспечивающейся и самовосстанавливающейся в систему, зависимую от непрерывного поступления энергии и материалов из других секторов экономики. Сельское хозяйство становится весьма неэффективной с энергетической точки зрения отраслью, поскольку для производства одной пищевой калории требуется затрата шести калорий, получаемых главным образом за счет невозобновимых природных ресурсов — нефти и природного газа.
Усиливающаяся специализация сельского хозяйства вызывает так-•же-понижение его устойчивости. Это прослеживается не только в экологическом плане, ибо борьба с болезнями и вредителями культурных растений все более перелагается на химическую промышленность, но и в экономическом отношении. Подтверждением могут служить сравнительные данные по двум канадским провинциям — Саскачеван, где пшеница в посевах некоторых округов занимает 80%, и Онтарио, отличающейся сложной отраслевой структурой: зерновое производство, животноводство мясомолочного направления, садоводство, интенсивное пригородное хозяйство. Колебания в размере фермерских доходов, т.е. изменения в уровне доходов в текущем году по сравнению с предшествующим, по наблюдениям за 15-летний период составили в Саскачеване 73%, а в Онтарио — только 16%.
Сдвиги в размещении сельского хозяйства под влиянием прогресса на транспорте. Специализация, т.е. расширение одной или нескольких отраслей аграрного производства за счет остальных, будучи прогрессивным явлением на уровне как отдельного сельскохозяйственного предприятия, так и района, наталкивается, таким образом, на определенные преграды в ходе своего развития. Однако в большинстве случаев путь специализации еще далеко не пройден до конца, поскольку она имеет своим непременным условием глубокое разделение труда в обществе. Чтобы современные товарные хозяйства могли успешно функционировать и рассчитывать на денежный доход, они должны ориентироваться на рыночные связи, следовательно, иметь возможность включиться в сеть путей сообщения, обеспечивающую достаточно низкую стоимость перевозок. При этом чем меньше транспортные затраты, тем острее встает вопрос о производственных издержках для каждого хозяйства, и районы, обладающие лучшими природными и прочими условиями для возделывания той или иной культуры или для разведения того или иного вида домашнего скота, приобретают преимущественные шансы для соответствующей специализации.
С определенной долей условности можно утверждать, что географическое разделение труда в сфере сельского хозяйства получило сначала главные импульсы благодаря коренным сдвигам в торговом судоходстве с изобретением парохода, затем оказалось тесно связанным со строительством железных дорог и, наконец, было ускорено и усилено с распространением грузовых автоперевозок. С позиций мирового хозяйства особо значимые последствия имел технический прогресс на морском флоте, так как удалось объединить в глобальную хозяйственную систему отдаленные друг от друга континенты, кардинально различающиеся в естественно-историческом отношении и по уровню социально-экономического развития. Это послужило основой для формирования в общих чертах той картины размещения производства, которая сложилась к нашим дням и определяется дихотомией «промышленный Север — аграрный Юг».
Железные дороги в большей мере повлияли, если придерживаться схематичного изложения, на становление внутрирегиональной специализации сельского хозяйства, а автотранспорт — внутрирайонной. Причем им по-прежнему трудно соперничать в доставке массовых аграрных грузов с торговыми судами. Так, уже с конца XIX в. в Шанхай привести пшеницу из Австралии было дешевле, чем даже из близко расположенных внутренних районов Китая. Подобная же картина наблюдается в настоящее время во многих странах Африки, где крупные приморские города зависят от поставок пшеницы из-за океана, что неблагоприятно сказывается на местном зерновом производстве, теряющем главные рынки сбыта.
Однако по вполне очевидным причинам то многообразное сельскохозяйственное производство, которое возникло на земном шаре, обслуживается в первую очередь наземными видами транспорта. Притом, как свидетельствует опыт промышленно развитых стран, резкое расширение транспортной системы предшествовало переходу сельского хозяйства на индустриальную базу и формированию межотраслевых продовольственных и агросырьевых комплексов. Поныне чем хуже территория обеспечена путями сообщения, тем в большей мере пространственная дифференциация аграрной экономики зависит от «рисунка» сети путей сообщения и тем сильнее возрастает значение магистральных дорог, вдоль которых формируются очаги товарного сельского хозяйства. Оно приобретает также все более интенсивный характер, поскольку располагающиеся на этих магистралях города становятся центрами притяжения жителей глубинных районов. Подобная картина отчетливо прослеживается, например, в Тверской области России вдоль трассы Москва— Санкт-Петербург, где плотность сельского населения в 2—2,5 раза выше, чем на обезлюдевшей периферии. Ее слабая обеспеченность дорогами выступает мощным фактором, тормозящим развитие местного агропроизводства.
Закономерно, что специализация сельского хозяйства наиболее продвинулась в США, где, во-первых, в силу обширности территории отчетливо выражены порайонные различия в агроприродной обстановке и, во-вторых, отсутствует проблема бездорожья: в сельской местности дороги образуют сетку с расстоянием 3,2 км в одном направлении и 1,6 км в другом. К тому же, при насыщенности ферм сельскохозяйственными машинами и орудиями и высокой стоимости наемной рабочей силы возможность более полного использования имеющейся техники составляет весомый дополнительный аргумент в пользу порайонной специализации агропроизводства.

Рис. 28. Уровни интенсивности сельского хозяйства региона Москва—Санкт-Петербург (по Т.Г.Нефедовой)
В США в условиях надежно налаженного, хорошо оснащенного и скоростного транспортного обслуживания даже пригородное сельское хозяйство резко сдало свои позиции. Задача, которая на нем лежала, во многом решается теперь принципиально иным путем: снабжение жителей крупных городов свежими овощами, фруктами, картофелем, зачастую молоком ведется из отдаленных от потребителей районов, но обладающих самыми благоприятными предпосылками для получения той или иной аграрной продукции с наименьшими издержками. Тем же путем следует уже пригородное хозяйство в Западной Европе, где продукции французских или немецких товаропроизводителей бывает трудно соперничать с южноевропейской — не в их пользу действует и менее теплый климат, и относительная дороговизна живого труда, вложения которого в выращивание плодовых и огородных культур очень значительны.
Транспорт служит также действенным средством аграрной политики государства. Оно в состоянии через повышение или понижение ставок на перевозки существенно воздействовать на развитие и размещение сельскохозяйственного производства. Вот один из известных примеров: действовавший с 1897 по 1913 г. так называемый «челябинский перелом», согласно которому для хлеба, шедшего из Сибири, тариф исчислялся до Челябинска и после него раздельно. От Челябинска расстояния начинали отсчитывать заново, как будто довезенный до Челябинска груз был здесь выгружен, сдан адресату и затем снова отправлен на запад. Это был прямой удар по сибирскому крестьянину-хлеборобу в пользу помещиков европейской части России, чтобы усилить конкуренцию производимого в их хозяйствах зерна на хлебном рынке. Имеются и примеры обратного рода: в Канаде удешевлена доставка кормового зерна из степных провинций в восточные с целью облегчить там развитие интенсивного животноводства.

Рис. 29
Воздействие государства на сельскохозяйственное производство. Манипулирование таможенными ставками дает государству еще более мощное орудие влияния на сельское хозяйство. Степень автаркии, к которой стремится страна, может быть достигнута за счет облегчения или, напротив, ужесточения внешнеторговых операций с продовольствием и другими аграрными товарами, что в свою очередь сопряжено с положением дел в собственной экономике. Ярким свидетельством защиты своих фермеров служит позиция государства в Японии. Возведенный в первые послевоенные годы протекционистский барьер достаточно надежно предохраняет японскую деревню от международной конкуренции аналогичной продукции и от изменения потребительских интересов внутри страны. Основной вид продовольствия японцев — рис — по политическим причинам продается на внутреннем рынке только национального производства, хотя оно неэффективно с экономической точки зрения: издержки при выращивании риса примерно в 6 раз больше, чем в Юго-Восточной Азии.
Следовательно, наблюдается отклонение от чисто стоимостного подхода к внешнеторговым операциям, который вытекает из закона сравнительных преимуществ Рикардо и связан с углублением географического разделения труда. Равным образом можно полагать, что намечаемое в Японии в силу полного удовлетворения внутреннего спроса на рис расширение площадей под пшеницей и овощами за счет рисовых земель тоже не является экономическим решением. В его основе лежит стремление предотвратить дальнейшее обезлюдение сельской местности, которая в Японии уже подверглась сильной депопуляции. Без намечаемых контрмер предусматриваемое сокращение рисового клина примерно на 1/3 угрожает выпадением из оборота не менее 50% орошаемых площадей. Тем самым в районах поливного земледелия возникла бы реальная опасность нарушения водного баланса территории, который заботливо регулируется крестьянами на протяжении столетий и служит базисом общего экологического равновесия.
Таким образом, способы и методы, с помощью которых государство в разных частях мира стремится добиваться своих целей в сфере сельского хозяйства, чрезвычайно разнообразны, что отчасти показывает пример Японии. В первом приближении они могут быть подразделены на социальные и экономические, хотя, разумеется, их жесткое противопоставление было бы неправильным, тем более, что в обоих случаях на практике не обходятся без административных мер. Социальную сторону следует выдвинуть на передний план, так как государственная политика в области аграрных отношений самым непосредственным образом отражается на собственно материальном производстве.
Однако на размещение сельского хозяйства более сильное влияние оказывает экономическая стратегия государства. Это ярко проявилось при проведении масштабного ирригационного строительства в бассейнах Инда, Нила, Нигера и многих других рек в засушливых областях. С помощью дифференцированного налога на отпускаемую для полива воду государство в состоянии целенаправленно воздействовать на отраслевую структуру посевных площадей, поощряя или, напротив, ограничивая производство тех или иных видов аграрной продукции. Нередко крестьянам на орошаемых в централизованном порядке землях приходится возделывать некоторые культуры в обязательном порядке, как это было с сахарной свеклой и хлопчатником в северном Афганистане.
Государство располагает и разнообразными рычагами опосредствованного, косвенного воздействия на сельскохозяйственное производство путем предоставления кредитов различным социальным группам на селе, политикой цен на минеральные удобрения и технику, зонированием рынков сбыта зерна и т.д. Предпринимаемые для достижения нужной цели меры должны быть взаимоувязаны с учетом неизбежно противоречивых последствий проводимой аграрной политики. Поэтому при ее разработке следует стремиться найти равнодействующую интересов как производящих и потребляющих экономических районов, так и отдельных социальных и профессиональных групп населения.
Вопросы
1. В чем состоит различие крестьянского и фермерского хозяйства?
2. Приведите примеры укрепления связей между агропроизводством и промышленностью.
3. Увеличивается или уменьшается влияние природного фактора на размещение сельскохозяйственного производства с техническим прогрессом на транспорте и почему?
Основные географические типы сельского хозяйства
Классификационные подходы к современному сельскому хозяйству мира. При любых попытках классификации сельского хозяйства обнаруживается богатая гамма типов, сформировавшихся под воздействием сложной совокупности естественных и социально-экономических факторов. Особенно пестрая картина на современном этапе свойственна тропическому поясу, деревне которого по-прежнему присуща многоукладность, а потребительская направленность производства вынуждает возделывать широкий круг культур. К тому же, с приближением к экватору ослабевают ограничения, которые тепловой режим накладывает на отраслевую структуру земледелия. Поэтому она при рассмотрении в региональном аспекте явственно демонстрирует максимальную разносторонность в тропических областях Латинской Америки и в Африке к югу от Сахары.

Рис. 30. Отраслевая структура земледелия по регионам мира (1980-е гг.)
Вследствие изначальной сопряженности отраслевого профиля сельского хозяйства с географической средой оно всегда было дифференцировано в территориальном разрезе. Но аграрные районы как таковые складываются только с ростом торгового земледелия, следующего путем специализации. Подобное развитие событий, протекающее в глобальном масштабе с разной скоростью и еще далеко не завершенное, собственно и ведет к превращению сельского хозяйства в неотрывную часть мировой экономической системы. В силу исторических обстоятельств этот процесс наиболее далеко зашел и особенно наглядно проявился и в отраслевом, и в пространственном ракурсе в США, где четко обособились сельскохозяйственные районы, или, как их здесь называют, пояса: хлопковый, кукурузный, молочного животноводства и др. Производственное лицо аграрных районов определяется доминирующим в его пределах типом (типами) предприятий. Фактически этот тип на выделяемой территории не становится единственным, хотя бы потому, что она в орографическом и гидрологическом отношениях не бывает идеально однородной.
По мере увеличения заинтересованности сельского хозяйства в более тщательном учете физико-географического своеобразия местности отраслевая специализация все ярче обнаруживается на уровне ферм и слабее — на уровне обширных по площади районов, которые начинают дробиться на мелкие территориальные совокупности агропроизводственных типов предприятий. Так, под сомнение поставлено существование единого кукурузного пояса США, который сложился на базе так называемого смешанного хозяйства с его трехлетним севооборотом (кукуруза, пшеница и кормовые травы). Часть зерна выращивалась на продажу, а часть шла на откорм скота для рынка. В 70-х гг. кардинальное совершенствование агротехники, получившей опору в массовом применении минеральных удобрений, стимулировало на востоке пояса заметное расширение посевов кукурузы. Второй профилирующей культурой стала соя, занявшая уже до трети всей уборочной площади. Поскольку продукция обеих культур оказалась в числе главнейших статей американского экспорта, фермерам оказалось выгодным переключиться на получение товарного кормового зерна, а производство продовольственных хлебов и мяса было отодвинуто на второй план. На западе пояса, напротив, возделывание кукурузы сократилось при одновременном усилении пространственной мозаичности местного сельского хозяйства. Это влечет за собой постепенное отпадение данной территории от кукурузного пояса и утрату ею единой четко выраженной специализации. Сходным образом протекает также процесс разрушения целостности знаменитого хлопкового пояса.
Отмеченный процесс переноса центра тяжести специализации на низовой уровень ускоряется в промышленно развитых странах появлением в растущем числе сельскохозяйственных предприятий, по тем или иным причинам мало зависимым в своем размещении от природной среды. Ярким примером служат бройлерные фабрики. Во Франции они обнаруживают, в частности, тяготение к Бретани с ее избыточной и дешевой рабочей силой. Этот фактор локализации весьма банален, но его глубинные истоки отнюдь не стандартны: в Бретани, где католичество по-прежнему пользуется авторитетом, деревенские традиции сильны и рождаемость населения достаточно высока, молодежь, как и прежде, менее охотно покидает родные места, чем в других депрессивных областях страны.
Таким образом, есть основания полагать, что сельское хозяйство, которое в одних регионах мира еще только вступает на путь районо-образования, в других уже прорастает в новую, еще пока не познанную учеными стадию. Для нее характерно, что прежние специализированные районы с четко выраженной на крупных пространствах специализацией начинают мельчать и распадаться на отдельные, нередко весьма беспорядочно расположенные сгустки разных типов хозяйств. Станет ли эта тенденция всеобщей — неясно, но уже бесспорно, что сельское производство в своем размещении не выступает малоповоротливой пассивной системой. Причем работа основной массы аграрных предприятий на рынок придает производству дополнительный динамизм, а накапливаемые ими основные фонды предстают, наоборот, в качестве консервативных элементов.
Поскольку сельское хозяйство отнюдь не представляет в своей локализации только механическую совокупность входящих в него отраслей, весьма существенно понять закономерности его географии в типологическом аспекте. Между тем размещение даже одной культуры на современном этапе выглядит очень сложной задачей, особенно если работать приходится на мировой рынок с его безжалостной конкуренцией. Требуется учитывать воздействие все большего числа разнообразных факторов, проявляющих себя на разных территориальных уровнях. Еще труднее решаются те теоретические и практические проблемы, что встают, когда агропроизводство выступает в типологическом обличии. Учитывая, что в мире насчитывается ориентировочно 200 млн сельскохозяйственных предприятий, их изучение в мелком масштабе неизбежно должно опираться преимущественно на дедуктивный метод. Такой подход «сверху» делает акцент на качественном исследовании явлений, базирующемся прежде всего на анализе двух направлений связей села: с природной средой и с социально-экономическими структурами. Неизбежное при этом отсутствие опоры на твердые количественные критерии порождает вместе с тем известный субъективизм при обособлении типов и проведении конкретного районирования. «Тип сельского хозяйства» все чаще трактуется в современной агрогеографии как самое общее и всеохватывающее понятие. Оно синтезирует все существенные признаки данного сельского хозяйства и «вбирает» в себя все другие классификационные категории подобного рода, как-то формы (системы) земледелия, системы растениеводства и животноводства, типы фермерских хозяйств и т.д. Указанное понятие применимо ко всем устоявшимся способам выращивания культурных растений и разведения домашнего скота и может использоваться на разных ступенях таксономической лестницы.
Ниже характеризуются типы, выделенные на базе отраслевой направленности производства и особенностей природопользования и определившие аграрный лик нашей планеты.
Типы зернового хозяйства. Зерновое производство в том или ином варианте представлено почти повсюду, где ведется земледелие. Это неудивительно, если учесть, что зерновые господствуют в продовольственном балансе подавляющего числа стран, в совокупности занимая примерно половину всех обрабатываемых площадей. Именно благодаря богатому набору одомашненных злаков и их сравнительной экологической непритязательности полеводство оказывается оправданным в районах с малоблагоприятными агроприродными условиями. Ряд культур отличается многоцелевым использованием, хотя в порайонном разрезе обычно прослеживается одна основная направленность их производства. Так, ячмень выращивается в Финляндии прежде всего на корм, в зонах пивоварения, например, в Чехии, ориентирован на удовлетворение запросов этой отрасли, а в высокогорных местностях, в частности в афганском Гиндукуше, где другие хлеба уже не вызревают, становится важным продуктом питания.
В глобальном аспекте всеобщность возделывания хлебных культур служит своеобразным фоном для немногих территорий, специализировавшихся на производстве зерна в крупных размерах. Показательно, что его чистыми импортерами в мире выступают более ста государств, а экспортерами — менее 20. Среди последних преобладают страны с хорошей землеобеспеченностью в расчете на душу населения. Этим фактором объясняют почти 1/2 вариаций в зерновом балансе, что далеко не бесспорно: к числу ведущих импортеров как пшеницы, так и кормового зерна принадлежат Россия и Япония, хотя они радикально различаются по величине сельскохозяйственных угодий, приходящихся на одного жителя.
В каналы международной торговли поступает ежегодно около 180 млн т зерна, или примерно 10% всего сбора. Основной оборот падает на пшеницу, экспорт которой (включая муку в эквивалентном пересчете) приближается к 100 млн т в год при среднем объеме производства в 90-х гг. порядка 550 млн т. Иное положение с рисом, мало уступающем пшенице по размеру ежегодной продукции, которая превышает 500 млн т. Однако на экспорт направляется менее 5% мирового сбора, причем межгосударственные потоки ограничены преимущественно рынками азиатских стран. В результате в мировой торговле второе место среди зерновых уверенно занимает кукуруза — важнейшая из прочих хлебов, суммарный урожай которых составляет около 800 млн т.
Общая тенденция в развитии зернового производства в XX в. заключается в следующем. До второй мировой войны продукцию отрасли поставляли на международный рынок, как правило, страны, отнюдь не числившиеся передовыми в экономическом отношении, а главными импортерами были промышленные державы. В настоящее время сложилась иная картина: мощные потоки зерна перетекают с «Севера» на аграрный «Юг». Даже Великобритания, которая, казалось, была обречена зависеть от внешних источников снабжения продовольствием, сумела войти в десятку ведущих экспортеров хлебов. Их чистый годовой вывоз из страны уже в середине 80-х гг. превысил 3 млн т — и это притом, что на душу населения приходится лишь 0,12 га обрабатываемых земель.
С географической точки зрения процесс породил еще одно неординарное явление. Вопреки основополагающей закономерности в размещении хлебных культур, которая выражается в их тяготении к тем естественным ландшафтам, где продукция может быть получена без больших затрат на удобрение, мелиорацию и окультуривание почвы, зерновая агрикультура в Западной Европе решительно движется по пути дальнейшей интенсификации. Однако чтобы оправдать вложения труда и капитала, нужно получать устойчивые урожаи порядка 60 ц/га и даже выше, что как минимум в 3—4 раза превосходит показатели в давно сформировавшихся главных районах пшеничной специализации.
Пшеницу, представленную разнообразными по своим экологическим и потребительским свойствам яровыми и озимыми сортами, можно возделывать в широком агроприродном спектре. Практически среди продовольственных зерновых она не встречает сколько-нибудь достойных конкурентов в умеренном поясе, исключая его северные районы, где на передний план выходят более скороспелые и морозоустойчивые растения — рожь и ячмень. Но пшеница не выдерживает высоких температур, присущих областям, лежащим между обоими тропиками. Там она уступает первенствующие позиции сорго и различным просяным, если речь идет об особо засушливых территориях, прежде всего в Африке, или рису в регионах обильных сезонных осадков, или кукурузе, которая во многих латиноамериканских странах остается ведущей продовольственной культурой. Если абстрагироваться от горных систем, то к югу от Северного тропика пшеница сумела заметно продвинуться в сторону экватора лишь на полуострове Индостан за счет посевов в умеренно теплых и сухой зимний сезон.
Поскольку достижение самообеспечения по продовольствию всегда считалось в большинстве стран архиважной задачей, в мире сложились многие, сильно разнящиеся по мощи очаги товарного производства пшеницы. Главные из них приурочены почти исключительно к областям умеренно сухого климата, которые обладают большими земельными ресурсами и отличаются сравнительно низкой плотностью населения. Этот тип специализированного пшеничного хозяйства выделяется высокой степенью механизации, которая проникла сюда раньше, чем в другие отрасли агропроизводства. Массовое использование машинной техники предъявило также серьезные требования к орографическим условиям, ибо ее применение оправдывает себя прежде всего на равнинных и слабохолмистых территориях.
В конечном счете история распорядилась, чтобы специализацию на пшенице сохранили в первую очередь районы, находящиеся в переселенческих странах: США (пшеничный пояс), Канаде (степные провинции), Аргентине (Пампа), Австралии и Казахстане (на его северных целинных землях). В этих странах агрикультура складывалась на «чистом» месте, не будучи отягощена наследием былого многоотраслевого производства. Еще существеннее то обстоятельство, что имелись отличные возможности для создания крупных по площади хозяйств, в которых до минимума сведены затраты живого труда на получение единицы продукции. Высокая товарность определяет сильную зависимость от международной торговли. Так, из Канады и Австралии экспортируется в урожайные годы до 80% и более продукции пшеницы.
Во всех указанных странах сборы подвержены сильным годовым колебаниям, что связано с самой географией посевов. В пределах СНГ, например, более 60% площадей под пшеницей размещены в зонах недостаточного и неустойчивого увлажнения, причем в засушливой и сухой степи повторяемость недородов превосходит 20%. В подобных условиях оправдан экстенсивный характер полеводства, когда выгоднее увеличивать распашку, нежели вкладывать средства в более тщательную обработку земли. Перепады урожаев и в целом невысокая продуктивность хозяйства окупаются дешевизной получаемого зерна.
На сходных экстенсивных началах строится в агрономическом плане возделывание хлебов на засушливых пространствах Северной Африки и Среднего Востока, где на полях явно превалирует пшеница, дополняемая ячменем. В остальном же легко обнаружить существенные различия, позволяющие выделить тип малотоварного пшеничного хозяйства: агрикультура ведется рутинными методами в потребительских целях, крестьянские хозяйства маломощны и лишь втягиваются в орбиту механизации. Причем даже в некоторых крупных очагах орошаемого земледелия, как-то в бассейне Тигра и Евфрата в Ираке, сохраняется господство переложной системы, когда до половины пашни ежегодно оставляется под паром, а на засеваемом клине около 90% площади отдавалось зерновым.
Позиции пшеницы во всем регионе еще более упрочились с появлением парка тракторов, поскольку произошла ранее непосильная для тяглового скота распашка богары (т.е. неполивных земель, на которых посевы производятся в расчете на зимние и ранневесен-ние осадки, приносимые циклонами со стороны Средиземного моря). В итоге суходольное полеводство, нередко сводящееся к монокультуре пшеницы, проникает во влажные годы в те районы, где в среднем за год выпадает лишь 200 мм дождя. В неблагоприятные годы распаханные маргинальные земли приходится забрасывать, и они, будучи лишенными естественного растительного покрова, оказываются не в состоянии противостоять эрозии и другим разрушительным природным процессам. Тем самым повторяются ошибки прошлого, допущенные в степях умеренного пояса, когда ради достижения кратковременного успеха ставится под угрозу агроприродный потенциал территории.
Вместе с тем в Северной Африке и на Ближнем Востоке отчетливо прослеживается, что выращивание пшеницы и других немногих культур на пашне не исчерпывает всех сторон сельскохозяйственной деятельности местных крестьян. Полеводство дополняется насаждениями плодовых, а еще одним вспомогательным направлением производства выступает разведение скота, главным образом овец и коз, выпас которых нанес серьезный урон лесам.
Специализированное пшеничное хозяйство тоже вынуждено избегать чрезмерной однобокости. Частично сказывается то обстоятельство, что спрос и, следовательно, цена на зерно подвержены конъюнктурным колебаниям, частично — экономическая целесообразность полной утилизации отходов полеводства и возможность использовать для содержания скота паров и необрабатываемых земель. Поэтому соотношение разных отраслей может значительно варьировать.
Подобное изменение пропорций культур в системе зернового производства привело к возникновению в пределах Пампы специализированного кукурузного хозяйства (в районе к северо-западу от Буэнос-Айреса), которое стало редким примером массового возделывания кукурузы в расчете на сбыт за рубеж. Ее ведущим поставщиком на международные рынки Аргентина оставалась долгий период, не выказывая тенденции к развитию на основе этой культуры свиноводства по североамериканскому образцу. Уже позднее за счет кукурузного пояса лидирующее положение заняли США, на которые приходится до 40% мирового сбора кукурузы, превышающего 450 млн т в год, и более 70% ее мирового экспорта.
Второе и третье места на планете по сбору кукурузы занимают соответственно столь разные страны, как Китай и Бразилия, где эта высокопродуктивная пропашная культура выращивается преимущественно для продовольственных нужд, но не формирует крупных очагов специализированного производства. То же относится ко многим африканским государствам — Кении, Анголе, Мозамбику, Малави и др., где она успешно распространилась благодаря навыкам населения в мотыжном земледелии. В Европе отрасль развивается исключительно в целях укрепления фуражной базы, которая, например, в Венгрии, создавшей в расчете на экспорт мощное животноводство мясного направления, уже в подавляющей степени опирается на кукурузу. В немногих европейских странах, как-то в Румынии и Молдавии, традиционно в ходу пища из кукурузного зерна.
Особняком в ряду ведущих областей зернового производства стоят те, где господствует рисоводческое хозяйство. Рис идеально подходит для равнинных территорий, которые в условиях сезонно влажного климата Муссонной Азии подвержены воздействию сильных речных паводков и потому ежегодно удобряются илом. Именно заливной рис обеспечивает наиболее устойчивые сборы продовольственной продукции при незначительных затратах на удобрение и малых сроках отдыха полей. Специфическая обстановка «аквариума» на рисовых чеках способствует поддержанию плодородия почвы за счет развития в водной среде биологических процессов, ведущих к связыванию азота. В результате усиленно эксплуатируемые рисовые земли выдерживают все возрастающее антропогенное давление, не обнаруживая очевидных признаков деградации и оправдывая, пусть с уменьшающейся отдачей, все новые вложения труда.
На базе рисоводства сложились самые крупные в тропиках сгустки крестьянского населения, приуроченные к приморским низменностям (прежде всего это касается острова Ява в Индонезии, прибрежных областей в Южной Азии и юга Китая ). При узости отраслевой структуры земледелия и явной ставке на одну ведущую культуру сборы риса находятся в определенном соответствии с людностью областей его традиционного возделывания. Первенствует уверенно Китай, на который приходится более 1/3 мирового производства, хотя по климатическим причинам посевы ограничены территорией к югу от хребта Циньлин и реки Хуайхэ. Следом стоят Индия и Индонезия. Главным экспортером выступает Таиланд, на второе место в последние годы начал выдвигаться Вьетнам, тогда как Мьянма, в прошлом главный поставщик риса на мировой рынок, утратила прежние позиции. В значительных размерах вывозится рис из США, где его возделывание ведется на основе современных технологий.
В классических рисоводческих районах, где владелец надела площадью 0,5 га уже называет себя помещиком, давно ощущается острое малоземелье в деревне. В подобной ситуации основная масса крестьянства лишена ресурсов для перехода к прогрессивным, но одновременно и капиталоемким методам агротехники. Механизация протекает крайне медленно. Для возделывания других сельскохозяйственных растений, равно как и для содержания домашнего скота, остается мало возможностей. Рис часто оказывается монокультурой, тем более, что скороспелые карликовые сорта, пришедшие с «зеленой революцией», позволяют снимать в год два и даже три урожая риса. В экспортных целях удалось успешно внедрить в комбинации с рисом близкую к нему по требованиям к условиям увлажнения и по трудоемкости лубяную культуру джут, но она получила сугубо локальное распространение — в дельтовой области Ганга и Брахмапутры (Индия, Бангладеш).
Многие страны Муссонной Азии располагают большим стадом крупного рогатого скота и буйволов, особенно пригодных для работы на вязком влажном рисовом поле. Только на Южно-Азиатском субконтиненте сконцентрировано, например, до 1/5 их суммарного мирового поголовья, исчисляемого примерно в 1300 млн животных. Молочной и тем более мясной продукции скот дает очень мало, поскольку разводится в качестве тягловой силы (лишь буйволиц содержат ради молока). Вывод о насыщенности рисоводческого хозяйства рабочим скотом нельзя механически переносить на Южный Китай, где земледелие базируется на ручном труде и в некоторых классификациях выделяется в качестве особого типа — грядковой агрикультуры.
Другие земледельческие типы сельского хозяйства. Антиподом рисоводству муссонных областей выступает подсечно-огневое земледелие, которое типологически обособляется не за счет особенностей отраслевой структуры, а по совокупности основных системообразующих признаков. Оно распространено преимущественно в Тропической Африке, а также в Латинской Америке и в меньшей мере в Юго-Восточной Азии и Океании. В силу своего экстенсивного характера этот тип сельского хозяйства требует обширных площадей в расчете на одного человека, хотя располагает внутренними резервами для сокращения при необходимости продолжительности рекультивационного цикла. Подсечно-огневое земледелие оправданно считать одним из вариантов залежной системы: после вырубки и пожога лесного или кустарникового массива участок используется один—три года, а затем на 20—30 лет забрасывают. В местах относительно многолюдных срок отдыха земли уменьшается до 6—8 лет и даже менее, хотя это сопряжено с угрозой деградации ландшафтов.
Такой тип хозяйства особенно свойствен областям влажных экваториальных и тропических лесов, где почва в процессе использования быстро теряет свое плодородие, а борьба с энергично наступающими на поля сорняками крайне тяжела и нередко бесперспективна. Земледельцу, который все работы ведет ручными орудиями труда, разумнее расчистить новый участок, нежели продолжать возделывать прежний, урожайность на котором с каждым годом падает. Подсечно-огневое земледелие широко представлено также и в менее влажных районах, прежде всего в саваннах. В посевах на передний план выходят зерновые (кукуруза — в Латинской Америке, сорго и другие просяные — в Африке), тогда как ближе к экватору на подсеках выращивают преимущественно корне- и клубнеплоды: маниоку, яме, батат. Эти культуры дают наибольший выход калорий с единицы площади, но их питательная ценность низка из-за малого содержания белка и витаминов. Очень распространены смешанные посевы, когда на делянке можно встретить одновременно до нескольких десятков видов культурной флоры.
Поскольку обработка земли осуществляется вручную, животноводство оторвано от ведущей отрасли и развито слабо. Содержание скота чаще имеет престижное значение, символизируя прежде всего богатство его владельца. Зато важны охота и собирательство, которым отводится много времени, а на берегах рек и озер также и рыболовство. Эти занятия органично сочетаются с агрикультурой в едином хозяйственном комплексе и помогают более полно использовать природно-ресурсный потенциал территории.
Рассматриваемый тип хозяйствования нацелен в первую очередь на удовлетворение собственных нужд земледельцев, но сумел достаточно успешно приобщиться к производству некоторых товарных культур. Часть их возделывают на отдельных участках, прежде всего в многолетних насаждениях: какао — в Гане, Нигерии, Кот-д'Ивуаре, Камеруне, кофе — в Того, Кот-д'Ивуаре. Отдельные рыночные культуры удалось включить в обычный подсечно-огневой цикл, например, арахис в Нигерии и Сенегале. В итоге страны Тропической Африки стали крупными экспортерами ряда видов сельскохозяйственной продукции.
В сходных природных условиях (тоже в первую очередь во влажных тропиках) развивается плантационное хозяйство. Быстро нараставший в Европе в ходе промышленной революции спрос на «колониальные» товары не удовлетворялся мелким туземным производством, и дело взял в свои руки капитал метрополий. На фоне безбрежного моря небольших хозяйств в развивающихся странах плантации выделяются своими крупными размерами, специализацией на одной, реже двух-трех культурах, массовым выходом продукции, полностью предназначенной для рынка. На плантациях занята большая армия наемных рабочих, еще в недавнем прошлом очень низкооплачиваемых. Предпочтение при возделывании отдается многолетним культурам, которые обеспечивают сравнительно равномерную загрузку рабочей силы в течение года.
Типичными для плантационного хозяйства культурами стали чай (Индия, Шри-Ланка, Кения), каучук (Малайзия. Индонезия), бананы (Эквадор, Колумбия и другие страны Латинской Америки), сахарный тростник (Куба), кофе (Бразилия, Колумбия), какао (Гана), масличная пальма (Малайзия, Индонезия, Нигерия, Сьерра-Леоне). Производство разместилось отдельными очагами в районах, наиболее благоприятных в природном отношении для той или иной культуры и удобно расположенных для экспорта продукции, хотя сказывались такие факторы, как возможность обеспечения создававшихся хозяйств дешевой рабочей силой и снабжения ее продовольствием. С возникновением плантационного сектора экономики многие колониальные и зависимые в прошлом страны приобрели монокультурную аграрную специализацию. Их экспорт зачастую более чем наполовину состоит из продукции одной или немногих плантационных культур, например, в Эквадоре — это бананы, какао, кофе, в Колумбии — только кофе, в Гане — какао.
В последние десятилетия мировой рынок был насыщен многими товарами тропического происхождения. В связи с этим страны-продуценты вынуждены вводить ограничения на их производство и стремятся расширить отраслевую структуру своего сельского хозяйства и состав экспорта.
На географии плантационного хозяйства сказалась общая ориентация на сосредоточение технических культур в наиболее выигрышной геоэкологической обстановке, на что зерновые уже в силу своего массового распространения не могут рассчитывать. Сельскохозяйственные растения обеих этих групп чаще всего независимы друг от друга с позиции агрономической, но потребность в их сочетании диктуется объективными нуждами той или иной страны, уровнем трудообеспеченности деревни, ландшафтной мозаикой территории и многими прочими факторами, далеко не всегда замкнутыми собственно аграрной сферой.
Комбинации в рамках смешанного земледельческого хозяйства весьма многообразны и характерны для ряда районов Украины и южных областей России, где еще в прошлом веке широко возделывали подсолнечник, сахарную свеклу, коноплю, махорку. Они сохранили свое значение в последующем, так как СССР не рассчитывал на импорт тропического сырья, ввоз которого в Западную Европу существенно ограничил в ней собственное производство ряда технических культур. Они в совокупности с зерновыми все же представлены в этом регионе, а также на юго-востоке Европы во многих районах, но на небольших площадях, во многом из-за отсутствия значительных равнинных пространств, свойственных Восточно-Европейской равнине.
В странах потребительского и малотоварного крестьянского земледелия могут складываться достаточно равновесные пропорции между зерновыми и техническими культурами. Причем первые обычно преобладают на поле, даже если денежный доход формируется не за их счет. Подобная картина хорошо выражена во многих частях Индии (независимо от уровня развития в них ирригации), которые концентрируют крупные посевы: арахиса — в Гуджарате и Тамилнаде, сахарного тростника — в Уттар-Прадеше и Бихаре, хлопчатника — в Махараштре, Гуджарате, Тамилнаде и Пенджабе, масличного льна и кунжута в центральноиндийских штатах и т.д.
То же не в меньшей мере относится к северо-восточному Китаю, которому, если исключить очаги явного превалирования пшеницы, свойственно многоотраслевое земледелие. В прошлом можно было говорить об определенной «восточной» специфике благодаря крупным посевам местной просяной культуры гаоляна и особенно сои, главным производителем которой в мире была Маньчжурия, а также ввиду узкой ориентации животноводства на откорм свиней. В условиях сохраняющегося традиционного агропроизводства, слабо подверженного внешним веяниям, технические культуры остаются по-прежнему «размазанными» по территории. В Китае, который не был, как в свое время колонии, ареной становления специализированных районов аграрного производства под давлением извне, это проявляется вполне наглядно.
Подобная ситуация таит в себе и слабости. Показательно положение с соей, ставшей главным на полях планеты масличным растением с годовым урожаем порядка 100 млн т (при общей продукции масличных около 250 млн т). Доля в ее сборе Китая упала примерно до 15%, так что страна уступила свою былую гегемонию США, которые сумели быстро воспринять эту перспективную, богатую белками и ценную также в кормовом отношении культуру. США концентрируют свыше 50% мирового производства сои, а еще 1/4 суммарно сосредоточили Бразилия и Аргентина, вслед за США выступающие ее главными экспортерами.
Специализированное на полевых технических культурах земледелие наиболее репрезентативным образом представлено на крупных территориях, прежде всего в США, где уже давно проявилась тенденция к глубокой порайонной дифференциации отрасли. В результате на американском Юге сложились мощные очаги по производству хлопка, табака и арахиса, где сельское хозяйство приобрело одностороннее направление. Современная общемировая линия в географии данного агрикультурного типа выражается в его растущем тяготении к источникам орошения. Это закономерно: требовательность возделываемых растений к условиям внешней среды порождает чувствительность к колебаниям ее параметров, особенно водного, что «снимается» ирригацией.
В ряде случаев особую значимость приобретают отличительные качества отдельных компонентов природных ландшафтов, в первую очередь почв. Профессионалы полагают, что нет, пожалуй, ни одной культуры, рыночная цена которой в такой степени зависела бы от характера почвы, как у табака. Даже небольшое изменение ее свойств влияет на аромат, цвет и текстуру табака, а самые тонкие различия в продукции нередко сказываются на прибыли гораздо больше, чем размеры урожая. Именно это обстоятельство помогло в свое время Старому Югу (Виргиния, Северная и Южная Каролины) плюс штат Кентукки превратиться в крупнейший табаководческий район. Примечательно, что многие виды его почв, которые малопригодны для большинства других культур, оказались превосходными для табака и позволили получить знаменитые виргинские сорта. Этот район все еще остается ведущим в мире как экспортер табака (которого из США ежегодно вывозится около 250 тыс. т), но производство идет на спад. Прежнее лидирующее положение утеряно: в 1990 г. при мировой продукции 7,1 млн т доля в ней США составила едва 10%, а стремительно расширяющего посевы Китая превысила 1/3.
Особого внимания заслуживает хлопчатник, поскольку определяет аграрный профиль многих тропических и субтропических территорий, прежде всего с развитым орошением. Среди них масштабами хлопководства выделяются мощные очаги земледелия на Великой Китайской равнине и в центральноазиатских государствах, в бассейнах некоторых рек в Мексике, в долинах Инда (Пакистан, Индия) и Нила (Египет, Судан). В последнем случае важны даже не абсолютные размеры продукции, а непревзойденное качество египетского длинноволокнистого хлопка. В США в последние десятилетия наблюдается частичное перемещение посевов в сухие субтропики Запада, куда все активнее проникает ирригация, при сдаче позиций хлопковым поясом Юга.
Нередко хлопчатник подавляет и вытесняет с полей другие культуры, как это было в советскую эпоху во многих среднеазиатских оазисах, где под него отводилось более 2/3 всей посевной площади. Отсюда ряд тяжелых экологических и хозяйственных последствий, в частности, в связи с массовым распространением опасного заболевания хлопчатника — вилта, высокими дозами внесения минеральных удобрений для поддержания плодородия истощенной интенсивным использованием земли, широким применением гербицидов и дефолиантов. Остальную часть пахотных площадей даже при стремлении к монокультуре приходится отдавать в интересах севооборота кормовым растениям, что подпитывает молочное скотоводство. Для таких оазисов характерны лишь те дополнительные отрасли, которые могут сочетаться с хлопководством, не занимая существенных площадей: шелководство, плодоводство и виноградарство.
После распада СССР его лидирующая роль в производстве волокнистых культур перешла к Китаю, который, динамично наращивая производство хлопка, дает уже около 1/4 мирового сбора хлопковолокна, равного примерно 15 млн т.
Отдельный высокоспециализированный тип земледелия образует садоводческое и овощеводческое хозяйство. Плодовые и огородные культуры в роли подсобных всегда присутствовали на приусадебных крестьянских участках, а небольшие сгустки производства тяготели к большим городам или к особо благоприятным местоположениям. Так, в России исстари славились лук, корнеплоды, зеленый горошек и другие овощи с илистых земель вокруг озера Неро (с центром в г. Ростове Великом), за свои превосходные вкусовые достоинства пользовавшиеся доброй репутацией в обеих столицах.
Как правило, ценные плодовые и овощные культуры требовательны к природным условиям и сильно страдают от капризов природы. Поэтому нужны обычно значительные вложения на сооружение теплиц, интенсивное удобрение, орошение (к нему прибегают даже в районах с относительно влажным климатом), следствием чего становится ориентация на получение очень высоких урожаев. Каждому району важно также использовать свои преимущества в сроках созревания продукции. Например, во Франции из разных центров огородничества в строго определенное время специальный транспорт везет овощи в Париж и другие города, и график надо выдерживать, ибо иначе на эти рынки начинает поступать продукция уже из других мест и цены падают.
В крупном масштабе, и притом уже давно, приобрело товарную направленность садоводство прибрежной зоны Средиземноморья. Продолжительное жаркое и сухое лето способствует созреванию высококачественных сахаристых плодов, а зимой выпадает достаточно осадков для успешного произрастания деревьев и кустарников с глубокой корневой системой. Особенно важны такие культуры, как цитрусовые, инжир, многие виды орехоплодных и виноград, а также оливки, плоды которых служат источником оливкового масла. Значимость отрасли для местного населения всегда поднимали неустойчивость богарного полеводства и расчлененность рельефа, что препятствует массовой распашке земель.
Во многих странах умеренного пояса в Европе тоже сложились очаги плодоводства обычно узкой специализации, например, на производстве яблок, из которых вырабатывают сидр, во французских областях Бретани и Нормандии. Особняком стоят районы виноградарства, известность которых часто определяют не объемы продукции, а ее качество. Назовем знаменитую Шампань, родину шампанских вин, или г. Коньяк во Франции, или «винный погребок» Германии землю Рейнланд-Пфальц, где изготавливают замечательные мозельские вина. Заметим, что, по мнению французских специалистов, с винами их страны в состоянии соперничать лишь чилийские, что лишний раз подтверждает исключительную важность местных почвенно-климатических условий, их локальной специфики.
Насаждения плодовых размещены в разных в социальном и экономическом плане хозяйствах, отнюдь не в равной мере затронутых процессами модернизации. Однако крупнейший на современном этапе очаг мирового производства плодовых в этом отношении достаточно однороден — речь идет о Калифорнии, превратившейся в уникальный сельскохозяйственный район планеты. Удаленность от главных центров потребления на Северо-Востоке США была преодолена с появлением трансконтинентальных железных дорог и вагонов-рефрижераторов, а дефицит влаги преодолевается при необходимости за счет ирригации. Признавая выдающиеся достижения калифорнийских селекционеров и фермеров в выведении новых урожайных и редких по другим своим достоинствам сортов и в апробации передовых агротехнических приемов и механизации работ в садах, хотелось бы подчеркнуть географическую сторону вопроса: исключительное умение локализовать в каждой из многих солнечных долин штата наиболее подходящие для нее в геоэкологическом и экономическом отношении плодовые культуры и сорта, т.е. с максимальным эффектом использовать агроприродный потенциал местности.
Отсюда чрезвычайное разнообразие возделываемых садовых культур с преобладанием тех, что определяют облик многолетних насаждений в южных частях зоны умеренного климата и в субтропиках. Впечатляют масштабы производства: по продукции большинства видов фруктов, кроме яблок и апельсинов, Калифорния занимает первое место в стране. Аналоги отсутствуют и на глобальном уровне: например, по сборам винограда кишмишных сортов, лимонов, абрикосов, миндальных орехов этот штат превосходит даже главные страны-продуценты. Высокоспециализированное садоводство в США рассчитано прежде всего на удовлетворение их внутреннего спроса, в отличие от положения в Западной Европе, где государства, будучи невелики по размерам, ведут между собой оживленную торговлю фруктами и овощами.
В двух случаях плодоводству принадлежит специфически важная роль. Во-первых, в пустынных оазисах Северной Африки и Аравийского полуострова, где земледельческое хозяйство строится вокруг финиковой пальмы — дерева удивительно многоцелевого использования, помимо получения от него плодов. Во-вторых, в горных районах Пригиндукушья, особенно в северной части Кашмира, где на высотах 2300—3000 м террасированные обрабатываемые земли заняты почти исключительно абрикосовыми садами. Сушеный абрикос — важнейший пищевой продукт местных жителей, почти единственный, которого им хватает на круглый год.
Животноводческие и смешанные животноводческо-растениеводческие типы сельского хозяйства. В настоящее время в ряде тропических областей по мере улучшения путей сообщения горные территории начинают ориентироваться на развитие товарного плодоводства (а также картофелеводства). По этой причине в индийских Гималаях небывалыми темпами растут площади под яблоневыми насаждениями в расчете на сбыт продукции на жарких равнинах, где яблоня не произрастает. Тем самым плодоводство может стать осью хиреющей экономики таких малоземельных районов, которым свойственен тип смешанного горного сельского хозяйства. В идеальном варианте оно базируется на эксплуатации естественных ресурсов разных вертикальных поясов и носит многоотраслевой характер. Общая картина складывается в сильной степени под влиянием азональных факторов. Взаимосвязи и соотношения главных отраслей весьма изменчивы в порайонном разрезе, находясь под воздействием локальных особенностей местности и испытывая также зависимость от структуры высотной поясности в каждой конкретной горной системе.
С земли прокормиться трудно, несмотря на стремление максимально использовать ее под посевы, прежде всего тех культур, что в совокупности могут наиболее полно удовлетворить продовольственные и прочие нужды горцев. Важным подспорьем практически всегда служит продукция, получаемая от домашнего скота. Его сезонные перегоны в верхние растительные пояса вплоть до альпийских лугов составляют неотъемлемую часть годового жизненного цикла населения.
Рассмотренный тип аграрного производства — первый, в котором разведение скота занимает как минимум полноправное положение наряду с земледелием. За точку отсчета при последующем анализе целесообразно взять зерновое хозяйство степной зоны, поскольку на более засушливых территориях оно уступает ведущую позицию пастбищному скотоводству, а в более влажных областях развитие отраслей животноводства происходит на принципиально иных, интенсивных началах.
В первом случае в обрабатываемом клине увеличивается доля паров, необходимых для того, чтобы гарантировать накопление влаги в почве, и снижается общий уровень распаханности земель. Соответственно на задний план отходит практика возделывания культурных растений. В результате скот в меньшей мере опирается на полевые корма, и преобладающим становится его содержание на естественных пастбищах. Отсюда формирование типов явственно выраженного экстенсивного хозяйства.
Один из них имеет молодые исторические корни — животноводство на ранчо. Оно возникло, во многом подобно посевам пшеницы на экспорт, преимущественно в переселенческих странах, где земля была избыточным ресурсом сравнительно с другими факторами производства. Жизнеспособными стали очень крупные хозяйства, часто площадью несколько десятков тысяч гектаров, а в них исключительно те отрасли, что отличаются низкой трудоемкостью. Такая картина сложилась в засушливых областях Нового Света: в Северной и Южной Америке и Австралии, а также в южной части Африки. Животноводство на ранчо с самого начала было прочно связано с мировым рынком (лишь в США оно перешло на удовлетворение внутреннего спроса) и обрело на нем надежную нишу, поставляя шерсть, баранину и мясо крупного рогатого скота.
Главная трудность при занятиях экстенсивным хозяйством — обеспечение его устойчивости, поскольку оно слишком зависимо в результатах своей деятельности от естественной продуктивности угодий, которая, в свою очередь, сильно колеблется из-за нестабильности условий атмосферного увлажнения. В малоблагоприятные годы задача состоит в том, чтобы избежать перегрузки и выбивания пастбищ и одновременно не допустить истощения скота. Поэтому понятно стремление заготовить запасы страховых кормов. При наличии на ранчо орошаемых участков их отводят под фуражные культуры и сеяные травы, что позволяет откармливать животных на месте. В ином случае молодняк бывает выгоднее продавать в соседние земледельческие районы для последующего доращивания.
Не без серьезных оснований отдельным типом сельского хозяйства можно считать отгонное животноводство, которое не ограничивается территориальными рамками индивидуальных землевладений и сопряжено с перемещениями скота на весьма большие расстояния. В ряде случаев ощущается типологическая близость к ранчевому хозяйству, например на горном Западе США. В этой географической области многие частные стада с ферм по нескольку месяцев в году, согласно лицензиям, располагаются на землях, которые принадлежат или находятся под управлением правительственных ведомств, прежде всего Лесной службы США. То обстоятельство, что общественный земельный фонд включает как зимние, так и летние кормовые угодья, а также «промежуточные» пространства, на которых добывает себе пропитание скот, перегоняемый с одних пастбищ на другие, делает сезонные миграции вполне оправданным и распространенным явлением.
При явно менее жестком регулировании «свыше» сходным образом используются земли в глубинной части северо-восточной Бразилии, где устойчивое к засухам и негостеприимное по отношению к людям колючее редколесье чередуется с кустарниковой и злаковой растительностью. Местное хозяйство вынуждено основываться почти исключительно на экстенсивном разведении крупного рогатого скота, который свободно содержится на фактически никому не принадлежащих пастбищных просторах. В данном случае здесь можно говорить о затянувшемся периоде пионерного освоения области, подверженной частым стихийным бедствиям.
Переходный характер данного типа сельского хозяйства подтверждается, если отнести к нему отгонное животноводство Центральной Азии и Казахстана, которое возникло на базе кочевых и полукочевых форм жизнедеятельности коренного населения. По существу при переводе прежних номадов на оседлость сохранился, опираясь во многом на традиционные производственные приемы и используя прежние направления миграции стада, вековой способ содержания скота на разносезонных пастбищах. Однако произошло укрепление материальной базы отрасли, и протяженность перегонов скота на лето в горы или на северные степные равнины постепенно сокращалась. Само животноводство стало более специализированным благодаря государственному стимулированию каракулеводства и тонкорунного и полутонкорунного овцеводства.
В поясе пустынь и полупустынь Старого Света — от атлантического побережья Африки на западе вплоть до Гималаев на востоке — сохраняется кочевое и полукочевое хозяйство. Связанное с ним население, передвигаясь со своими стадами с одних пастбищ на другие, ориентировано на кормовые ресурсы, которые в ином случае остались бы вне оборота. В зависимости от характера используемых угодий разводятся разнообразные виды скота: верблюды, овцы, козы, лошади, в меньшей степени крупный рогатый скот. Распространены преимущественно породы малопродуктивных, но неприхотливых и выносливых животных, способных выдерживать длительные перегоны. Влияние природной среды сказывается с большой силой, и падеж в стаде при засухе, гололеде и прочих неблагоприятных стихийных явлениях бывает очень высоким. Однако опора на даровые корма сделали экономически жизнеспособным этот экстенсивный тип аграрного производства.
Пастбищные земли увязываются в хозяйственный комплекс за счет многообразных миграций, среди которых две ведущие формы — горизонтальная и вертикальная. В первом случае перемещения определяются годовым ритмом и характером водообеспечения равнинной территории. Направления сезонных миграций тесно зависят от локализации доступных источников влаги. Изменчивый год от года пространственный «рисунок» выпадения атмосферных осадков требует гибкости в выборе горизонтальных маршрутов, что отчетливо прослеживается у бедуинов Аравийского полуострова. Вертикальный номадизм представлен двумя главными видами: а) в пределах одной орографической системы, когда миграции происходят из межгорных долин и котловин на близлежащие альпийские пастбища и имеют протяженность иногда лишь 20—30 км; б) с низменностей в горы на расстояние в сотни километров по устойчивым трассам, привязанным к перевалам и проходам. Такая стабильность передвижений создала условия для налаживания прочных связей с крестьянами тех территорий, по которым пролегают миграционные пути.
В мировой торговле товарам кочевого скотоводства принадлежит скромное место, хотя некоторые страны, где отрасль сохраняет весомые позиции, например Афганистан, выделяются экспортом животноводческой продукции — прежде всего каракуля, а также мерлушки, шерсти, козьих шкур, пуха и др.
В целом же кочевое хозяйство — очень важный в историко-культурном отношении и чрезвычайно интересный в эволюционном плане, но угасающий на наших глазах тип агропроизводства. Рост земледелия сокращает площадь пастбищ, уже сильно истощенных многовековой эксплуатацией, а транспортное строительство лишает номадов их побочных занятий, связанных в прошлом с караванной торговлей. Во многих аридных областях остро стоит вопрос о переводе кочевого населения на оседлость.
В принципиально иных, но тоже экстремальных условиях на землях тундр и притундровых редкостойных лесов функционирует оленеводческое хозяйство, строящееся сходным образом на использовании сезонных пастбищ. Оно дополняется охотой и морскими промыслами, без чего, пожалуй, невозможно обойтись, но практически полностью оторвано от агрикультуры. Оленеводство сложилось в условиях изолированного существования северных народностей и, несмотря на свою экономическую маломощность, все же было в силах полностью удовлетворить все потребности занятого в нем малочисленного населения; торговые связи поныне остаются для оленеводов второстепенным делом.
На территориях с умеренным климатом, более влажным, чем в специализированных на пшенице районах, агропроизводство пошло по пути увеличения трудовых и материальных вложений, диверсификации отраслевой структуры и становления смешанного земледельческо-животноводческого интенсивного хозяйства. В нем обе составляющие имеют товарное назначение и многопланово связаны между собой, что обусловливает богатство территориально-отраслевых комбинаций и функционирование разных по профилю аграрных и агропромышленных предприятий.
В России наиболее репрезентативные варианты данного типа прослеживаются прежде всего в лесостепной зоне Восточно-Европейской равнины, хотя и не замкнуты только ее пределами. Определяющая черта — высокая степень распаханности земель, что привело к несомненному дефициту лугов и выгонов, и большая напряженность в использовании обрабатываемых угодий. Широкое присутствие на полях наряду с пшеницей и другими зерновыми также требовательных к плодородию почвы и быстро ее истощающих пропашных культур заставляет прибегать к сложным севооборотам. Нужда в севооборотах диктуется заодно необходимостью обеспечить разнообразными кормами скот, находящийся на 90% на стойловом содержании. Частично задача решается благодаря наличию побочной продукции ведущих технических культур — сахарной свеклы и подсолнечника, концентрацией посевов которых еще недавно выделялся СССР, а в его составе Украина. Особенно ценна в этом отношении сахарная свекла.
Ее продолжают активно выращивать в государствах, расположенных в среднеевропейской полосе, — в Польше, Германии, Франции, Великобритании. Возделывание же в них ряда других технических растений, например, рапса или конопли, стало малорентабельным из-за дешевого заморского сырья и резко пошло на спад. По размерам производства сахарная свекла, сборы которой предназначаются главным образом для удовлетворения внутреннего спроса, примерно в 1,8 раза уступает более урожайному сахарному тростнику, культивируемому в низких широтах в значительной степени в целях экспорта (годовая продукция сахара-сырца в мире превосходит 110 млн т).
Зато в средней полосе Западной Европы на полях представлен крайне богатый и все более разнообразный набор фуражных культур, помимо таких зерновых, как кукуруза, ячмень и овес, включающий многие виды сеяных трав и кормовых корнеплодов. Прогрессивное преобразование и укрепление фуражной базы, резко уменьшившее зависимость от ввоза кормов, создало отличную опору для большинства отраслей животноводства: разведения мясного и молочного крупного рогатого скота, свиноводства, бройлерного хозяйства, производства яиц. Имеются примеры и сравнительно узкой специализации, обусловленной ориентацией на экспорт. Так, датское сельское хозяйство сосредоточилось в расчете на английский рынок на получении беконной свинины, составляющей по стоимости около 40% всей животноводческой продукции страны.
По мере движения к северу, к границе зоны лиственных лесов и в подзону южной тайги на Восточно-Европейской равнине фоновым становится северный вариант рассматриваемого типа. В составе сельскохозяйственных угодий пашня еще превалирует, но существенно повышается доля естественных кормовых угодий. Товарные зерновые, среди которых появляется рожь, не утрачивают значимости. но их производство в северной части сплошной земледельческой полосы, протянувшейся от Псковской до Пермской области, уже не обеспечивало в СССР возмещения общественно необходимых затрат. Среди технических культур явно выделяются две: картофель, имеющий многообразное применение — продовольственное, кормовое и промышленное, и лен-долгунец, который традиционно был важной экспортной статьей в России.
Для местностей, где вегетационный период короток и характеризуется невысокими температурами, картофель трудно заменим, поскольку в подобных природных условиях действительно хорошо удается из культур, чья продукция может рассчитывать на массовый сбыт. Посевы протягиваются на запад через Польскую и Северогерманскую низменности вплоть до побережья Атлантического океана в Бретани. Однако, если, например, сахарная свекла занимает во Франции плодородные земли, то под картофель отведены и весьма бедные почвы, в частности, развившиеся на древних кристаллических породах. При мировом сборе картофеля более 300 млн т в год основную долю урожая дают Россия, Беларусь, Польша и Германия (а вне Европы — Китай).
Лен главенствовал в качестве рыночного продукта во многих западных районах Восточно-Европейской равнины, отличающихся хорошей влагообеспеченностью. Эта лубяная культура нуждается в обильном удобрении и требует многопольных севооборотов. Учитывая еще ее большую трудоемкость, становится понятной явно выраженная тенденция к сокращению занимаемых льном площадей в свете депопуляции деревни в Нечерноземной зоне России и Беларуси.
Пахотный клин, хотя и продолжает использоваться в интересах товарных отраслей растениеводства, призван выполнять также другую функцию — служить источником дополнительных кормов. С учетом продукции естественных и мелиорированных лугов, сенокосов и выгонов создались предпосылки для содержания разнообразного по составу стада, включая крупный рогатый скот молочного и мясного направления, свиней, шубных овец.
Молочное хозяйство приурочено к районам умеренного климата с относительно небольшими амплитудами температур, где равномерное выпадение осадков в течение года и непродолжительный вегетационный сезон делают оправданным возделывание полевых культур на зеленый корм. В подобных случаях, например, в Новой Англии (США) или в Норвегии, где доля пригодных к обработке земель невелика и пашня раздроблена на мелкие участки, оказалось целесообразным использовать пастбища и сенокосы для разведения молочного скота. Для выпаса животных предпочтительнее равнинный и слабохолмистый рельеф, но специализированное молочное скотоводство хорошо представлено и в горных районах, как-то в Швейцарии и Австрии. В таких случаях особенно выражен упор на производство наиболее транспортабельных видов молочных товаров: сыров, сухого молока, молочных консервов. Чаще всего, но, разумеется, не полностью и эта продукция предназначается для внутреннего рынка.
По совокупности природных и экономических факторов молочное хозяйство получило массовое распространение в промышленно развитых странах: Великобритании, прежде всего в ее более влажной западной части, государствах Северной Европы, Новой Зеландии, США (пояс молочного животноводства на западе Приозерных штатов). Производство молока в мире в 1993 г. составило 518 млн т (в том числе коровьего молока — 447 млн т), из которых 25% пришлось на страны Западной Европы, более 15 — на государства, входившие в СССР, и около 13% — на США.
Молочное хозяйство ведется на интенсивной основе, и в нем численно превалируют мелкие и средние фермы. При этом в одних странах, например, Финляндии или Дании, климатические условия вынуждают сочетать летний выпас со стойловым содержанием скота в зимнее время, в других, например, Австралии и Новой Зеландии скот круглогодично находится на пастбищах. В Новой Зеландии эти угодья в большой степени подверглись улучшению, так что в подавляющем числе графств не менее 80% обрабатываемой площади занято сеяными пастбищами. Культурное луговодство стало ключом к превращению этой страны в выдающегося экспортера молочных продуктов. Большое внимание уделяется мелиорации, удобрению и обустройству естественных кормовых угодий также и в других очагах специализированного молочного животноводства.
Путем направленного подбора трав удается повысить вкусовые достоинства молока и, следовательно, выделываемых из него масла и сыров. Успехи отрасли тесно связаны и с созданием в процессе длительного племенного отбора высокопродуктивных пород, способных обеспечить адекватную отдачу от потребляемых кормов. В Нидерландах годовые удои коров наиболее распространенной черно-пестрой породы в среднем составляют около 5000 кг молока при жирности 4,35%. В России доброй славой пользуются холмогорская, костромская и ярославская породы, названные так по соответствующим центрам молочного производства.
В развивающихся странах выделение молочного животноводства в форме самостоятельной отрасли протекает медленно и в лучшем случае ограничивается сферой пригородного хозяйства. Этот процесс происходит на базе стойлового содержания скота пока преимущественно в государствах Латинской Америки. В целом же малочисленность парка грузовых автомашин и разреженность сети хороших дорог в этих странах резко ограничивают дальность перевозок произведенных крестьянами товаров в города. Даже в центры людностью более 1 млн жителей овощи — главный продукт пригородного хозяйства в тропиках — доставляются в основном из деревень, расположенных в радиусе до 50—60 км. Становление районов соответствующей аграрной направленности совершается по-прежнему под диктатом фактора транспортных издержек.
Что же касается промышленно развитых государств, то в них современное пригородное агропроизводство перестает подчиняться былым правилам размещения, которые прежде всего диктовались величиной затрат на перевозку продукции. Прогресс транспорта, широкая практика консервирования и замораживания продукции и другие новейшие веяния ведут к сокращению в пригородных зонах сельскохозяйственной активности, в первую очередь, в молочном животноводстве, а также и в ряде других характерных отраслей: овощеводстве, свиноводстве, птицеводстве. Наиболее отчетливо этот процесс ощущается в США. Благодаря появлению, например, авторефрижераторов свежее молоко теперь доставляют на расстояние до 1500 км, тогда как для молока во флягах это дистанция не превышает 150 км. В транспортировке дорогостоящей продукции (персики, клубника, спаржа, цветы) все шире участвует и авиация, включенная в межконтинентальные перевозки, например цветов из Кении. Показательно, что агломерация Нью-Йорка, в которой сосредоточено примерно 18 млн человек, удовлетворяет за счет местных хозяйств свои потребности в картофеле и свинине на 2%, в овощах — на 40%.
Однако это не означает, что в зоне вокруг больших городов и агломераций не продолжают функционировать традиционные отрасли. Их представляют: 1) многочисленные в наши дни фермы с частичной занятостью на них владельцев, снабжающие в скромных размерах свежими фруктами, ягодами и овощами потребителей из близлежащих городов; 2) крупные сельхозпредприятия по сути промышленного характера — «фабрики» молока и яиц, мощные тепличные и парниковые хозяйства и т.д.
Вместе с тем пригородное хозяйство в странах с развитой экономикой остается весьма эффективным. Сказывается непосредственная близость центров нововведений, сопряженная с насыщенностью опытными станциями, питомниками и другими учреждениями аграрного профиля, которые выступают пионерами массового внедрения достижений науки и перевода агропроизводства на индустриальные рельсы. В прилежащих к городам ареалах сельское хозяйство активнее, чем в остальных, вынуждено конкурировать с другими отраслями за рабочую силу и за земельные и финансовые ресурсы, что заставляет прибегать к интенсивным технологиям для достижения высокой продуктивности и высокой производительности труда.
Вопросы
1. В чем заключаются тенденции специализации в сельском хозяйстве на современном этапе?
2. В каких географических областях находятся главные очаги зернового производства?
3. Каковы различия в пригородных хозяйствах промышленно развитых и развивающихся стран?
4. Какие типы сельского хозяйства следует считать экстремальными?
Глобальная продовольственная проблема
Потребности населения в продуктах питания. На нынешнем этапе социально-экономического развития мирового сообщества по-прежнему очень важно добиться надежного обеспечения населения земного шара продуктами питания. Продовольствие постоянно выступает необходимой и безальтернативной частью фонда жизненных средств, и нарастание по тем или иным причинам его дефицита справедливо воспринимается как бедствие, требующее быстрых ответных действий.
Закономерно, что продовольственная проблема имеет давние исторические корни и при своем обострении неизбежно порождала на всех континентах серьезную угрозу здоровью и самому существованию их жителей, а также нормальному функционированию хозяйственного механизма. Она приобрела ныне глобальную значимость по причинам гуманистического свойства и в силу целостности современного мира, где еще широко сохраняются голод и недоедание, борьба с которыми взаимосвязана со столь же нелегкой и актуальной задачей преодоления экономической отсталости бывших колоний и зависимых территорий.
Основополагающей причиной масштабных продовольственных трудностей, наблюдаемых на протяжении последних десятилетий, стали именно внутренние структурные диспропорции в национальных системах продовольственного обеспечения в развивающихся странах. Отсюда в итоге наличие «ножниц» между рыночным спросом и предложением на главные продукты питания. Весомая роль в данном процессе принадлежит урбанизации. Именно она в первую очередь определяет формирование новых стандартов продовольственного потребления и вызывает сдвиги в структуре питания в пользу «интернациональных» продуктов.
Международное звучание продовольственной проблеме придает и то обстоятельство, что ее прочного решения невозможно достичь изолированными усилиями отдельных стран, от которых требуется хорошо налаженное сотрудничество вне зависимости от господствующих в них общественных и политических систем. К ней нельзя подходить также в отрыве от других сложных ситуаций глобального размаха, с которыми вынуждено сталкиваться человечество. В настоящее время в мире, видимо, нет государства, в котором производство, распределение и внешняя торговля продовольствием не были бы серьезной заботой центральных властей. И в этом отношении рассматриваемая проблема тоже выступает поистине планетарной, несмотря на то, что одни страны сталкиваются с хроническим недостатком продуктов питания, в других текущей целью стало качественное улучшение пищевого рациона с тем, чтобы приблизить его к научно обоснованным нормам, а некоторые вынуждены даже «бороться» с излишками производимых продуктов и вызываемыми их избыточным потреблением болезнями населения.
Накопленный многовековой опыт свидетельствует, что освещаемая проблема представляет собой сложное синтетическое явление, которое не замкнуто рамками собственно общественного воспроизводства и требует более широких подходов. Как указывал великий русский физиолог И.П.Павлов, «взаимоотношения живого организма с окружающей средой — есть взаимоотношения, опосредованные вопросами питания»; поэтому сложно рассчитывать на заметное улучшение положения за счет проведения мероприятий сугубо технологической или узкоэкономической направленности. Еда, в своей первооснове принадлежащая среде обитания, используется уже как продукт культуры и в этом смысле нейтрализует противопоставление в рамках системы «природа—культура», занимая в ней промежуточное, переходное положение. И при том отнюдь не второстепенное, о чем свидетельствует, например, бытующий в классической географии термин «цивилизация риса», в которой рису принадлежит ведущее место не только в питании, но и во всем комплексе духовной связи между людьми и миром природы.
Нехватка продуктов питания сопровождала человечество на всем протяжении его истории. В мифологии индейцев Центральной Америки существовало божество голода, а благодаря текстам Кодексов майя и священным книгам древних обитателей региона, сказаниям, ритуалам, сакральной религиозной символике мы можем судить о той выдающейся роли, которая принадлежала его главной продовольственной культуре — кукурузе. В греческой мифологии уже первая женщина, созданная богами-олимпийцами, — Пандора, открыв врученный ими сосуд, выпустила на волю заключенные в нем людские пороки и несчастья, среди которых был и голод, расползшийся по всей Земле.
Если же обратиться к более близким реалиям, то вплоть до XIV— XV вв. голод многократно косил миллионы людей, учитывая, что за ним следовали всякого рода эпидемии (голодный тиф) и иные заболевания, вызывавшие массовую смерть. В Англии, например, в 1005—1322 гг. было зафиксировано 36 подобных голодных эпидемий. Лишь в эпоху позднего средневековья нехватка продуктов питания в европейских странах начинает ослабевать: наблюдавшееся развитие торговли, налаживание хранения зерна, совершенствование транспорта — все это облегчало участь населения в неурожайные годы и частично спасало от преждевременной смерти.
Однако тенденция явного, принципиального оздоровления ситуации распространилась только на отдельные регионы, приведя к резкой территориальной дифференциации мира в уровне обеспечения и потребления продовольствия. Она начала ощутимо проявляться после победы промышленной революции в странах Запада и была усугублена в пору становления колониальных империй. Задача преодоления сложившегося разрыва еще далека от разрешения, и дефицит продовольствия продолжает поныне оставаться, согласно широко бытующему в научных кругах мнению, более серьезной опасностью, чем сравнительно «молодые» общемировые проблемы — загрязнение среды обитания и истощение невозобновимых природных ресурсов. Не случайно еще ранее было сделано заключение, что история человечества всегда была историей борьбы за хлеб насущный. Отсюда часто следовал пессимистический вывод, четко сформулированный бразильским ученым Ж. де Кастро в его ставшей знаменитой книге «География голода», изданной в 1954 г.: «Очень трудно понять, каким образом это высшее животное, этот господин и хозяин вселенной, выигравший столько битв у природы, не одержал решающей победы в борьбе за питание».
Эти горькие и эмоциональные слова тем не менее весьма спорны, и вопреки им неправомерно было ожидать иного: изначальное изобилие продуктов питания фатально обрекло бы людей оставаться на стадии присваивающей экономики, довольствуясь собирательством, охотой и рыболовством. Именно процесс аграрного производства на протяжении многих столетий выступал главным двигателем прогресса общества, так что необходимость тяжелым трудом в поте лица своего добывать пропитание — это не только наказание человека, но и одновременно отражение его избранности, предначертанной ему судьбой.
С достаточной степенью точности охарактеризовать глобальную продовольственную проблему сложно, поскольку базисные расчеты зависимы от выбираемых критериев, неизбежно весьма условных. Прежде всего трудно установить «среднюю» в масштабе всей планеты норму питания, ибо зоны и регионы Земли в силу объективных причин различаются по расходу энергии, требуемой для поддержания жизни человека. В трудах ФАО эта норма принимается равной 2400 ккал в сутки, но многие специалисты считают ее заниженной и поднимают «планку» до 2700—2800, а то и до 3000 ккал. В опубликованном в 1995 г. в США правительственном документе, посвященном основным направлениям здорового питания, рекомендуется, чтобы ежедневная норма поглощения калорий не превышала 1600 для неработающих женщин, 2800 — для активно трудящихся мужчин.
Голодный рацион, вызывающий в итоге физическую деградацию организма, содержит менее 1000 ккал в день; его получают, согласно имеющим большой разброс оценкам, от 500 млн до 800 млн человек. В расчетах ООН на 1990 г. эта цифра составила 785 млн человек. Еще шире в мире распространено хроническое недоедание, которым охвачено до 1,5 млрд человек, регулярно получающих лишь 1000—1800 ккал в день. Оно представляет собой в настоящее время более серьезную угрозу на земном шаре, чем голод в старом смысле слова, который вызывался отдельными недородами и поражал локализованные, хотя часто обширные и густонаселенные районы.
Возможно, что под термином «недоедание» рационально понимать не только общую калорийную недостаточность питания, но и специфически белковую. В этом отношении контраст между промышленно развитыми и развивающимися странами особенно нагляден и велик: в первых суточное потребление белков на душу населения составляет около 100 г, из которых свыше 50% приходятся на белки животного происхождения; для третьего мира эти показатели равняются соответственно немногим более 50 г и примерно 20%. Протеиновое голодание может возникать при недостаточной калорийности пищи, даже если она сбалансирована по белкам, поскольку часть их тогда используется в организме как источник энергии. В результате, если питание низкокачественное, усваиваются только 30—40% белков против 50— 60% в случае обеспечения полноценной диетой.
Зерновые культуры не в состоянии в полной мере заменить продукты животного происхождения, так как содержащиеся в них белки лишены некоторых важных аминокислот; особенно это относится к крахмалоносным культурам типа маниоки, ямса, картофеля, которые особенно бедны белками при низком качестве последних. В тех областях, где богатые углеводами клубнеплоды формируют основу питания, дети в возрасте 4—6 лет потребляют их нередко столько, сколько в состоянии физически съесть, и все же удовлетворяют потребность организма в калориях лишь на 80%. Поэтому преобладание продуктов подобного рода в пищевом рационе, что типично для многих стран Африки и Океании, заслуживает скептического к себе отношения.
Из очевидной активизации во второй половине XX в. внимания к продовольственной проблеме как глобальному феномену не следует прямолинейный вывод, что именно в последние десятилетия человечество столкнулось с особенно сильной нехваткой продуктов питания. Еще Лига Наций (предшественница ООН) декларировала в 1928 г., что 2/3 населения планеты испытывает голод и недоедание; по данным же ФАО, исходящей все-таки, видимо, из менее жестких критериев, в развивающихся странах в 70-е гг. хронически недоедало 36% жителей, а спустя 20 лет цифра уменьшилась до 20%. Это бесспорное достижение не должно заслонять то обстоятельство, что в мире умирают ежегодно от голода примерно 13—18 млн человек, из них 3/4 составляют дети. Так, обследования Всемирной организации здравоохранения в Латинской Америке показали, что половина случаев смерти детей в возрасте до 5 лет непосредственно или косвенно связана с плохим питанием. Четко прослеживается корреляция между, с одной стороны, уровнем потребления белка и калорий и, с другой, младенческой смертностью.
Вместе с тем нехватка пищи в качестве повода для летального исхода фиксируется, и то лишь частично, только при остром голоде, который наблюдается, например, в последние года в Сомали. При его же скрытом, латентном характере, как в Бангладеш, ослабленный организм становится жертвой какой-либо болезни, которая и регистрируется статистикой как фактическая причина смерти. Поэтому определить строго количественно влияние голодания и недоедания на показатель смертности и продолжительность жизни пока невозможно. Разрыв в уровне медицинского обслуживания населения и в санитарно-гигиенических условиях затрудняют также прямые сопоставления стран, находящихся на разных ступенях социально-экономического развития.
Некоторые географические аспекты современной продовольственной проблемы. Произошедшее во второй половине XX в. увеличение численности населения в третьем мире в среднем ежегодно на 2,5%, а в Африке даже на 3% (тогда как в промышленно развитых странах на 0,8% в год), вновь поставило на повестку дня вопрос о принципиальной возможности обеспечения человечества продуктами питания. Поэтому возобновился интерес к обсуждению идей Т.Р.Мальтуса, почти забытых в 30-х гг., когда в европейских странах возникла угроза депопуляции, а в нацистской Германии многодетным матерям выдавались государственные награды. Сразу же заметим, что не оправдался его известный тезис о том, что «население, если процесс не ограничивать, увеличится в геометрической прогрессии, а средства к существованию — только в арифметической». Можно утверждать, что Мальтус, первое издание книги которого «Опыт о законе народонаселения...» появилось в 1798 г., гиперболизировал ближайшие опасности, поскольку было еще невозможно предугадать феерические достижения нарождавшегося машинного производства, кардинальный прогресс на транспорте и освоение обширных степных пространств в Европе (Россия, Венгрия) и за океаном.
Однако принципиальная заслуга Мальтуса заключалась в ином, а именно в постановке вопроса о пределах роста человечества и установлении динамического равновесия между численностью населения и производством средств к существованию, т.е. в первую очередь продуктов питания. Особенно решительно и последовательно идея ограничения рождаемости и планирования семьи (хотя сам Мальтус как священник подобной позиции не придерживался, возлагая «надежды» прежде всего на такие «разрушительные факторы», как голод, войны, эпидемии) стала проводиться в социалистическом государстве — КНР, вопреки тому, что марксистское учение эту идею отрицало. В стране на вооружение взят лозунг — «Одна супружеская пара — один ребенок», что ведет к появлению народа «без братьев и сестер», но уже приносит ожидаемые властью результаты. Аналогичная по целям политика осуществляется, как правило, в менее жестких формах, также в растущем числе развивающихся стран. Например, в Африке в середине 70-х гг. государственная демографическая программа была принята лишь на Маврикии, а в настоящее время более чем в 20 странах.
Мальтус оказался первым, кто интуитивно ощутил наметившиеся в связи с промышленной революцией коренные сдвиги в типе воспроизводства населения и понял, что грядущее увеличение его потребностей вкупе с расширением запросов со стороны начавшего бурно развиваться мирового хозяйства приведут к вовлечению в эксплуатацию все новых объемов естественных ресурсов, запасы которых на Земле отнюдь не беспредельны. По существу, наукой было обращено внимание на важность анализа зависимостей между основными переменными в экономическом обществе — производством материальных благ и населением.
Опыт недавних десятилетий и разработанные глобальные динамические модели, в которых население включалось в качестве зависимой переменной в экономико-экологическую схему, подтвердили, что пока не удается установить ни прямой, ни обратной корреляционной связи между темпами демографического роста и показателями хозяйственного развития «бедных» стран. Это отражает сложный, неоднозначный характер взаимодействия указанных процессов и позволяет сделать вывод, что в молодых суверенных государствах, а также в мире в целом «взрыв» численности населения является в первую очередь не экономической, а скорее всего геоэкологической проблемой.
Существенно важно, что человечество на протяжении второй половины XX в. сумело предотвратить обострение глобальной продовольственной проблемы и даже добиться ее смягчения. Притом в условиях, в ряде случаев исторически беспрецедентных по своей сложности и в силу исключительного увеличения численности населения планеты, и ввиду сужающихся возможностей для дальнейшего экстенсивного развития мирового сельского хозяйства.
Наиболее примечательно, что в 60—80-е гг. в развивающихся странах производство основных продуктов питания опережало по темпам роста население в среднем на 0,3% в год, в том числе в странах Азии на 0,7%, и лишь в Африке отставало на 0,9%. В итоге мировой уровень продовольственного обеспечения в расчете на одного человека, в начале 60-х гг. составлявший 2300 ккал, достиг в середине 80-х гг. почти 2700 ккал (при минимуме в Африке южнее Сахары, без ЮАР, — 2000 ккал и максимуме в странах Северной Америки — 3362 ккал). С тех пор обстановка в целом мало изменилась, но, как явствует из таблицы 3, прогноз на 90-е гг. внушает уже определенную тревогу, хотя и не опровергает тезис о том, что ресурсы продовольствия на Земле по-прежнему достаточны для обеспечения удовлетворительного питания всего человечества.
Таблица 3
Численность населения и производство зерна в мире
| Годы |
Население |
Зерно |
||||
| Численность, млн чел. |
Прирост за 10 лет, |
Производство, млн т |
Прирост за 10 лет, |
|||
| млн чел. |
% |
млн т |
% |
|||
| 1950 |
2565 |
631 |
||||
| 1960 |
3050 |
485 |
19 |
849 |
216 |
34 |
| 1970 |
3721 |
671 |
22 |
1103 |
256 |
30 |
| 1980 |
4477 |
756 |
20 |
1442 |
339 |
31 |
| 1990 |
5320 |
843 |
21 |
1688 |
246 |
17 |
| 2000 (прогноз) |
6241 |
921 |
15 |
1846 |
158 |
9 |
За указанный выше период калорийность суточного рациона в третьем мире повысилась в среднем с 1840 до 2460 ккал, тогда как в промышленно развитых странах — с 3060 до 3380 ккал. Однако в последних основной тенденцией стало качественное улучшение питания за счет все большего употребления разнообразных, отличающихся высокими вкусовыми и биодиетическими свойствами продуктов. Поэтому не следует переоценивать успех в преодолении исторически сложившегося разрыва. Поскольку калории, получаемые от сельскохозяйственных культур и продуктов животноводства, имеют различную ценность, напрашивается вывод, что при сравнении рационов желательно все потребляемые продовольственные товары привести к одному «знаменателю», т.е. к растительным калориям (в среднем на получение 1 кал животной пищи расходуется 7 растительных калорий). В таком случае разрыв в потреблении между промышленно развитыми и развивающимися странами будет выглядеть гораздо весомее, как это, если учитывать структуру питания, и наблюдается в действительности. Например, «среднему» индонезийцу, который за день потребляет немногим более 2000 ккал в растительном эквиваленте, будет противостоять «средний» француз, для которого означенный показатель превосходит 11 тыс. ккал.
Замена растительной пищи продуктами животного происхождения наблюдается в промышленно развитых странах на протяжении последних ста лет и сопряжена с ростом национального дохода. Поэтому среди многих причин, которые объясняют отставание скотоводства в третьем мире, специально следует обратить внимание на узость внутреннего рынка. Покупное молоко, например, доступно фактически лишь зажиточной городской прослойке. Жителю Муссонной Азии в среднем требуется трудиться в 3—4 раза больше времени, чем англичанину, чтобы заработать на 1 л молока. Относительно высокие цены на молоко и молочные продукты, не говоря уже о мясе, ограничивают спрос. Вместе с тем, исследования по сравнению экономической рентабельности животноводства и земледелия в индийском штате Пенджаб показали, что для хозяйств, ориентированных на производство пшеницы и кукурузы, рыночная цена на молоко была явно недостаточной, чтобы оправдать содержание буйловиц. Ситуация могла бы измениться лишь при повышении цен на продукт минимум на 10%, чему препятствует низкая покупательная способность населения.
В ряде стран из рациона питания населения почти полностью выпадают некоторые животноводческие продукты. Так, в белковой диете жителей Индии, Бангладеш и Шри-Ланки на мясо приходится только 2% потребляемых белков, производство яиц не обеспечивает даже рациона одно яйцо в неделю на ребенка, а производство молока оценивают в 0,2 л в сутки на человека. Минимальная (и, видимо, заниженная) потребность человеческого организма в протеинах животного происхождения, исчисляемая ФАО в 7 г в сутки, не удовлетворяется во многих южноафриканских странах, а также в Гвинее, Того, Гаити.
В питании населения в развивающихся странах обычно отчетливо выражено доминирование какого-либо одного продукта, что придает диете однообразный характер. Особенно это характерно для зоны рисоводства. Среди зерновых культур рис стоит первым по количеству калорий, получаемых крестьянами с 1 га; поэтому для стран Южной и Юго-Восточной Азии, где при избытке рабочих рук ощущается острая нехватка площадей, эта полевая культура поистине незаменима. В странах типично рисового питания доля риса в рационе составляет около 75%, а местами, например, на Западной Яве, превышала даже 90%. В результате те потери белка и витаминов, которые происходят при обработке риса, приводили и приводят к более тяжелым последствиям для здоровья населения (болезнь бери-бери), чем аналогичные потери в странах «пшеничной» диеты.
Пшеница преобладает в питании населения преимущественно на Среднем Востоке и в Северной Африке, где сравнительное разнообразие агроприродных условий благоприятствовало формированию относительно многостороннего сельскохозяйственного производства. Поэтому в рационе местных жителей пшеница дополняется продукцией ряда других зерновых, зернобобовых и плодовых культур, а также животноводства и редко дает более 50% потребляемых калорий. Для саванной зоны Африки типичны просяные культуры, включая сорго, от которых в ряде стран население получает до 40% всех калорий, и в отдельных областях кукуруза. Однако просяные возделываются в засушливых условиях на неполивных землях и поэтому не в состоянии служить надежной опорой продовольственного баланса. Именно в этой части континента на протяжении последних 20 лет часто случаются неурожайные годы, когда голод приобретает массовый и острый характер. Хроническое же недоедание, охватывающее более чем 15% жителей, отмечено в 9 из 10 африканских государств, где питание базируется на просяных культурах.
Для лесной зоны Африки примечательно преобладание в пищевом рационе населения клубнеплодов — ямса, маниока и батата. Суточное потребление ямса в расчете на 1 человека оценивалось в таких странах, как Того, Кот-д'Ивуар и Дагомея в 0,5—1 кг. Несмотря на столь внушительный цифры, в 10 из 11 государств, где эти высокоурожайные, но малопитательные культуры удовлетворяют основные нужды населения в продовольствии, обнаруживаются недоедание и сильное белковое голодание. Сказанное вполне объяснимо, если учесть, что, например, за счет 1 кг батата человек имеет лишь 1200 ккал и 24 г белка.
Более пестрая географическая картина питания сложилась в Латинской Америке. Кукуруза превалирует в Мексике, в странах Центральной Америки и в областях индейского населения в Андах. В некоторых случаях, в частности в Гватемале, за счет этой культуры получают до 70% всех калорий. Пшеница формирует основу рациона прежде всего в Аргентине и Уругвае, рис — на тропических прибрежных низменностях (Панама), маниока — в Парагвае. В «банановых» республиках, например, в Гондурасе, значительную долю калорий дают населению бананы, а на Гаити и некоторых других вест-индских островах — сахар. Во многих латиноамериканских странах, включая крупнейшую из них Бразилию, питание местных жителей, в особенности бедноты, в значительной мере определяют фасоль и другие бобовые культуры.
Развивающиеся страны в глобальной продовольственной системе. Ценой больших усилий молодым суверенным государствам в основном удалось справиться с задачей удовлетворения спроса на продукты питания первой необходимости. Однако в ходе ее решения потребовались кардинальные изменения географической направленности главных внешнеторговых потоков продовольствия и усилилась зависимость этих государств от иностранной продовольственной помощи.
До второй мировой войны страны Азии, Латинской Америки и Африки в целом были экспортерами зерна. Оно составляло одну из важных статей их вывоза наряду с хлопком, сахаром, кофе, а также нефтью. Сальдо хлебной торговли, в 1900 г. равнявшееся +1,7 млн т, составило в 1936 г. +3,7 млн т (без Аргентины, которая традиционно выступает как крупный поставщик пшеницы и кукурузы на внешний рынок). После второй мировой войны сальдо стало отрицательным и, постепенно нарастая, достигло в 1987—1991 гг. среднегодового уровня —68,9 млн т, или 10,6% фактического потребления зерна в этих странах (согласно данным ФАО в СССР в те же годы данный показатель равнялся 13,4%). Продовольственные потоки, которые ориентированы на развивающиеся страны, формирует прежде всего пшеница, что повлекло за собой заметное укрепление ее позиций в рационе питания населения третьего мира, особенно в городах.
Усиление зависимости развивающихся стран от поставок продовольствия извне на фоне определенного прогресса их собственного аграрного производства объясняется сложной совокупностью причин.
Во-первых, колониальные державы проводили политику вывоза дешевого зерна и других продуктов питания из зависимых территорий даже при наличии там серьезного продовольственного дефицита. Показательно, что из колониальной Индии, где часто случались вспышки массового голода, только через Карачи вывозилось в начале XX в. в метрополию ежегодно около 1 млн т пшеницы, или 20— 35% ее сбора в пределах портового хинтерланда. Колониальная администрация обычно не предпринимала сколько-нибудь действенных мер по борьбе с голодом даже в угрожающих ситуациях, тогда как в молодых суверенных государствах в подобных случаях прилагаются усилия по приобретению продовольствия за границей, что, естественно, получает отражение в сальдо зернового баланса.
Во-вторых, земледелие развивающихся стран и особенно его продовольственные сектор по-прежнему остаются еще слабо связанными с рынком. Весомая часть продаж зерна осуществляется крестьянами для погашения денежных обязательств (уплата налогов, возврат ссуд, процентов на них и т.п.), а отнюдь не из-за наличия товарных излишков. Подобная продажа из «нужды», например, в странах Южной и Юго-Восточной Азии достигает, а иногда и превышает половину объема торговых операций с продовольствием. Во многих случаях, прежде всего в Африке, показатель товарности поистине удивителен: для шести стран Сахеля выход рыночного зерна в 1970—1980 гг. оценивался в среднем в 2%.
Молодым суверенным государствам за период независимости удалось добиться определенных успехов в развитии ряда отраслей народного хозяйства, что привело к увеличению национального дохода, в том числе на душу населения. В результате повысился платежеспособный спрос, предъявляемый в первую очередь на продовольственные товары. Однако и сами крестьяне стремятся улучшить свое питание. Они отнюдь не реагируют на подъем цен государством на закупаемое им продовольствие и на выдачу ссуд для расширения производства. Более того, подобные усилия могут даже вызвать противоположный результат, поскольку необходимые денежные средства селяне в состоянии тогда получить при меньшем объеме продаж аграрной продукции.
В-третьих, ускорение процесса урбанизации в странах третьего мира привело из-за резкого увеличения численности городского населения к столь же существенному расширению спроса на товарное зерно, к чему местная деревня оказалась не готова по указанным выше причинам. Урбанизация подталкивает не только к простому росту потребностей в товарном продовольствии, но и к качественному изменению рациона населения. Оно начинает предъявлять спрос на многие продукты, которые традиционно не производились или производились в явно недостаточном количестве в тех или других развивающихся странах. Обостряется противоречие между складывающимся под влиянием урбанизации стандартом жизни и невозможностью его обеспечить только за счет местных ресурсов. Снабжение населения продовольствием ставится во все большую зависимость от внутринационального и мирового обмена. Даже в такой отдаленной стране, как Папуа—Новая Гвинея, импортируемые рис и консервированная рыба начинают вытеснять в качестве главных продуктов питания традиционный батат.
Наконец, в-четвертых, в земледелии развивающихся стран усугубляется разделение труда и усиливается порайонная специализация. В результате дополнительный спрос на товарное продовольствие предъявляют крестьянские хозяйства, включающиеся в производство технических и других культур в расчете на экспорт и удовлетворение запросов молодой национальной промышленности. Определение оптимального соотношения между производством аграрных товаров на вывоз, с одной стороны, и продуктов питания для обеспечения внутренних нужд, с другой, составляет на современном этапе трудную, требующую учета динамических факторов задачу. Высокотоварное, ориентированное на экспорт сельское хозяйство в третьем мире, особенно плантационное, превосходит традиционные деревенские уклады по достигнутой производительности труда. Однако по мере усиления зависимости развивающихся стран от ввоза продовольствия цены на него растут, и это ухудшение условий внешней торговли ведет к снижению относительной отдачи от сырьевых отраслей сельского хозяйства. Поэтому решение продовольственной проблемы все более превращается в важную составную часть общего вопроса совершенствования всей системы международных экономических отношений.
Многоликость рассматриваемой проблемы делает необходимым при ее детальном анализе исследование по странам и их территориальным группам.
Можно выделить следующие типы стран по уровню обеспеченности продовольствием: 1) основные экспортеры продовольственных товаров (США, Канада, Австралия, ЮАР, Таиланд, некоторые государства Европейского Союза); 2) малые страны, активно экспортирующие продукты питания (Венгрия, Финляндия); 3) государства, испытывающие дефицит продовольствия, но способные его приобрести (Япония); 4) страны, едва обеспечивающие свои потребности в продовольствии собственным производством (Индия, Китай, страны Южной Америки); 5) страны, чья обеспеченность продуктами питания не оказывает практически никакого влияния на глобальную продовольственную ситуацию (Папуа—Новая Гвинея, Исландия); 6) страны, испытывающие дефицит продовольствия и осваивающие водные и земельные ресурсы для достижения самообеспечения (Египет, Индонезия, Пакистан, Филиппины); 7) страны с постоянно ухудшающимся продовольственным обеспечением в расчете на душу населения (государства Африки к югу от Сахары); 8) страны с зарождающимся продовольственным кризисом, в которых рост населения обгоняет ресурсные возможности (Гаити, Непал, Сальвадор).
Складывающиеся, как мы видим, разнообразные ситуации нужно изучать, обязательно учитывая наличие глобальной продовольственной системы. Ее формирование относят к XIX в., когда возникает подлинно мировой рынок продовольствия, торговля которым ранее не выходила за пределы локальных и региональных рынков (исключение составляли лишь пряности и немногие другие сельскохозяйственные товары с высокой стоимостью на единицу веса).
Известный французский историк Ф.Бродель приводит данные по европейскому Средиземноморью, свидетельствующие, что этой территории с населением в XIV в. примерно в 60 млн человек ежегодно требовалось тогда пшеницы порядка 14,5 млн т. Морская же торговля давала дополнительно лишь 100—200 тыс. т зерна, не превышая, а, возможно, и уступая показателям периода Римской империи. Причем речь идет о географической области, хорошо обслуживаемой дешевым водным транспортом; при перевозках же по сухопутным дорогам цена зерна удваивалась уже при доставке его на расстояние 150—200 км. Поэтому частые в прошлом случаи массового голода обычно вызывались не нехваткой продовольствия в региональном масштабе, а преимущественно локальными недородами в условиях слабо налаженных межрайонных торговых связей.
В современном мире при всем многообразии конкретных ситуаций положение иное. Продовольственные ресурсы в целом достаточны для обеспечения удовлетворительного питания человечества, так что страновой аспект анализа неправомерно отрывать от глобального. Общая географическая картина усложняется также тем обстоятельством, что продовольственные системы более высокого иерархического звена не образуются путем механического сложения систем рангом ниже. Особенно ощутимо это проявляется на общемировом уровне, где потоки регулируются как национальными, так и международными экономическими, финансовыми и политическими механизмами. В литературе были выделены четыре группы факторов, которые влияют на глобальную продовольственную систему: 1) физико-географические условия и размещение населения (общая площадь и распределение сельскохозяйственных земель по странам и регионам, климатические колебания, соотношение «население—продовольствие», географические расстояния между государствами и т.п.); 2) мировой транспорт и связь (широкий выход продуктов питания на внешние рынки во многом был обусловлен железнодорожным строительством и развитием морского судоходства); 3) политическое положение в мире (расстановка сил, наличие межгосударственных союзов и объединений, стремление к автаркии, использование поставок продовольствия в политических целях); 4) мировая экономика и торговля в их единстве (продовольствие как составная часть мировых торговых потоков, роль балансовых расчетов, клиринга, многосторонних операций и т.д.).
Расширение в последние десятилетия абсолютных масштабов бедности во многих развивающихся странах, особенно в Африке, куда переместился из Муссонной Азии центр тяжести продовольственной проблемы, происходили на фоне общего заметного роста сельскохозяйственной продукции на планете. Это создало почву для тезиса, что в третьем мире уровень потребления продуктов питания не связан непосредственно с достижением по ним самообеспечения или быстрым подъемом аграрного производства: «в мире достаточно продовольствия, нет денег, чтобы купить его». Прочное финансовое положение позволяет стране не только импортировать в достаточных размерах продукты питания, но и поддерживать их производство по тем или иным государственным соображениям, как это наблюдается в Японии. Нагляден также пример Саудовской Аравии, нефтедоллары которой позволили сделать крупные капиталовложения в зерновое хозяйство и благодаря огромным субсидиям производителям полностью удовлетворить собственные потребности в пшенице и экспортировать ее избытки.
Опыт богатых государств не может, естественно, стать универсальным. И задача заключается, наряду с повышением уровня жизни и соответственно покупательной способности населения в странах с напряженным продовольственным балансом, в сокращении производственных затрат на единицу продукции в сельском хозяйстве.
Возможностями сколько-нибудь заметно увеличить долю расходов на продовольствие в семейном бюджете жители этих стран не располагают: она и без того превышает 60%, тогда как в ФРГ и США равняется менее 20%. В Советском Союзе показатель приближался к 50%, но многие миллионы семей тратили на питание до 70% своего дохода (особенно это касается жителей среднеазиатских республик), будучи вынуждены ограничивать потребление, главным образом, хлебом, крупами, картофелем. После реформы цен в апреле 1991 г. доля затрат на продовольствие еще более возросла, подтверждая, что по многим параметрам уже СССР являлся типичной отсталой державой. В нынешней России, согласно данным Госкомстата, свыше 20% всех жителей составляют группы населения с признаками белково-калорийной недостаточности.
На современном этапе развития мирового сельского хозяйства конкретные факты проявления голода должны вызываться нехваткой продуктов питания в силу каких-то конкретных причин. В качестве их обычно выступают погодные бедствия и военные действия. Наложение этих факторов ведет обычно к катастрофическим итогам, что и произошло в Эфиопии, где в 1990 г. число пострадавших от засухи оценивалось в 4—5 млн, а по некоторым расчетам даже в 7 млн человек. Чтобы пополнить дефицит, создавшийся в результате неурожая, страна нуждалась в международной помощи минимально в 1 млн т продовольствия.
Однако если нельзя абстрагироваться от климатического фактора и кардинально влиять на него, то еще пагубнее ссылаться на него. «Обвинять погоду — наиболее удобный способ уйти от ответственности», — справедливо заметил один из английских экономистов-аграрников. В частности, во время засухи 1983—1984 гг. голод возник в Эфиопии и Судане (в результате погибло порядка 0,5—1 млн человек), хотя снижение производства продовольствия относительно уровня 1979—1981 гг. в этих странах составило соответственно 12,5 и 11,0% по сравнению с 38,5% в Кабо-Верде и 17% в Ботсване, где последствия оказались гораздо менее тяжелыми. Таким образом, в подобных условиях необходима активная государственная политика, а хроническая неспособность улучшить обстановку влечет за собой в конечном итоге бесславное падение режима, как это и случилось в Эфиопии.
Возможности решения продовольственной проблемы. Проведенный анализ позволяет заключить, что, с одной стороны, продовольственная проблема выступает как глобальная, затрагивая так или иначе все человечество, во всяком случае — все крупнейшие государства мира. С другой стороны, она имеет ярко выраженный географический характер и проявляет себя на разных ступенях территориальной иерархии — региональной, страновой, районной, локальной. Причины, острота и масштабы распространения неправильного питания, недоедания и голода на земном шаре диктуются прежде всего социально-экономическими факторами, что должно определять и направление поисков выхода из существующего положения. Оно во многих случаях имеет давние исторические корни и цивилизационные истоки, но часто выглядит непосредственным порождением ошибок и заблуждений XX в. Отсюда — неизбежное многообразие и оправданная неоднозначность предлагаемых наукой рецептов по улучшению ситуации.
Вырабатывать политику обеспечения населения продуктами питания и стремиться к достижению искомого баланса с учетом внешнеторговых возможностей приходится прежде всего на уровне отдельных стран. Ключ к «снятию» продовольственной проблемы у каждой из них должен быть собственным. С подобных позиций оценка агроресурсного потенциала планеты — общетеоретическая задача, с которой связаны выход на конечные параметры — производственные и, как следствие, демографические. Прикладные же рекомендации реальны для исполнения лишь в разрезе конкретных государств как главных носителей суверенитета.
Перспективы дальнейшего вовлечения естественных ресурсов планеты в сферу сельскохозяйственной деятельности остаются предметом оживленных дискуссий. Это вызывается как недостаточной еще изученностью самих агроприродных факторов и вероятности более полноценного их использования в производстве, так и расхождениями в отношении перспектив агротехнического прогресса в отрасли.
К тому же, многое зависит от того, какую структуру питания принять в качестве исходной: научно обоснованную или фактически сложившуюся. Но даже если взять за основу единый рацион, например, «среднего» европейца, разброс в мнениях специалистов касательно допустимой численности населения на планете оказывается очень большим: от уже реально возникшей на горизонте цифры 7 млрд до гипотетических 50 млрд человек. В последнем случае не только принимают в качестве необходимой посылки повсеместное распространение передовых интенсивных технологий, но и отталкиваются от явно чрезмерного показателя верхнего уровня распаханности суши — до 70%.
Среди многих расчетов сельскохозяйственного потенциала Земли один из самых фундаментальных был выполнен в 70-х гг. группой голландских ученых. Они оценили всю пригодную для земледельческого освоения территорию в 3714 млн га. Это составляет 27,4% всей суши (без Антарктиды), из которых орошением в будущем реально охватить до 470 млн га пахотных угодий. В свете этих показателей максимально возможная (с учетом тех ограничений, которые ресурсы фотосинтеза накладывают на естественный процесс формирования биомассы) биологическая продуктивность возделываемого клина была исчислена в зерновом эквиваленте в 49 830 млн т в год. Однако на практике весомую часть обрабатываемых площадей человеку всегда придется отводить под технические, тонизирующие, кормовые и другие непродовольственные культуры.
На современном этапе упор все больше переносится на необходимость подъема урожайности в развивающихся странах, которые располагают возможностями опереться на уже имеющиеся в мире агрономические и прочие научно-технические достижения. Однако при бесспорной в целом справедливости данного тезиса механические заимствования, увы, вряд ли окажутся эффективными. Иной, слабо еще познанный природный фон тропиков, крайне чувствительная реакция их естественных геосистем на антропогенные воздействия, избыток рабочих рук в деревне третьего мира, высокая энергоемкость прогрессивных агротехнологий — все это ограничивает возможности традиционного сельского хозяйства идти накатанной дорогой интенсификации.
Представляется, что хорошие перспективы открывает активное внедрение в странах низких широт практики вторых и даже третьих посевов в году, для чего нужны в первую очередь скороспелые сорта и орошение, если наличествует сухой сезон. Поэтому обоснованно связывать надежду именно с грядущими успехами селекции и генетики, но они-то как раз и наименее предсказуемы: так, в середине 60-х гг. неожиданным даже для специалистов стало появление высокопродуктивных гибридных сортов пшеницы, послужившее сигналом бурного развертывания «зеленой революции». Немалые шансы дает совершенствование отраслевой структуры посевов, в частности, внедрение богатых белками культур. Известно, сколь крупный вклад в обеспечение продуктивного молочного скотоводства калорийными кормами внесла получившая в США широкое распространение соя.
Согласно документам ФАО, в 1995 г. в мире насчитывалось 88 стран с низкими доходами жителей, где не хватает продовольствия. Из них более 30 в предшествующие годы свыше 1/4 своих экспортных поступлений направляли на его закупку. К этим странам относится и Россия, в импорте которой продукты питания устойчиво составляют по стоимости 25—30%. Вместе с тем глобальное положение не столь мрачно. В Западной Европе и США государственная политика направлена на ограничение обрабатываемых площадей, чтобы не допустить нарастания избытка сельскохозяйственной продукции, ибо в противном случае не исключено наступление такого момента, когда убыток от падения цен не будет компенсирован увеличением платежеспособного спроса. Так, в случае богатого урожая цены на аграрные товары могут снизиться настолько, что не покроют издержки, и сельское хозяйство как отрасль окажется неплатежеспособным. Одновременно это косвенно свидетельствует о тех скрытых резервах для увеличения при необходимости производства, которыми располагает аграрный сектор в промышленно развитых странах.
Продовольственная проблема многоаспектна, и добиться ее успешного решения не удается без создания соответствующего социально-экономического климата в стране. Недостаточными выглядят и попытки достичь подъема сельского хозяйства путем внедрения достижений научно-технической революции, массовой механизации и т.п. Об этом четко свидетельствует недавнее советское прошлое. В СССР за 60— 80-е гг. в отрасли выросли энергетические мощности со 155,9 млн до 603,9 млн л.с., а стоимость производственных фондов поднялась с 43,9 млрд до 227 млрд руб. Поставки минеральных туков деревне увеличились за этот период с 2,6 млн до 18,8 млн т действующего вещества в год. Площадь мелиорированных земель была доведена с 16,3 млн до 31,0 млн га. Отдача же оказалась скромной: средняя урожайность зерновых повысилась с 11 до 14,9 ц/га. Ибо не хватило понимания и необходимой политической воли, чтобы начать преобразование форм собственности в деревне, без чего оказывается невозможным преодолеть хронический кризис, вызванный насильственной коллективизацией села.
Анализ социально-экономических и исторических истоков сильной географической дифференциации в снабжении населения мира продуктами питания подводит к выводу, что голод, массовое недоедание и другие трудности аналогичного рода сами в сильнейшей степени оказывают обратное влияние на общественную жизнь. Оно состоит, в частности, в стремлении властей упрочить свое воздействие на дела продовольственного сектора, а через него укрепить свою централизующую роль в отношении всех автономных ячеек хозяйственного механизма. В нашей стране это может повести к особенно энергичным попыткам реанимировать бюрократические начала в управлении экономикой и воздвигнуть дополнительных шлагбаумы на путях становления подлинного рынка. Среди многообразных последствий обострившегося продовольственного положения, помимо тех, что имеют явно выраженную гуманистическую сущность, особенно важным представляется торможение развития экономики при сохранении ее устаревших консервативных форм. Поэтому задача преодоления продовольственного кризиса для любого государства превращается в приоритетную, и решение ее демократическими методами неизбежно приобретает судьбоносный характер, открывая дорогу к национальному возрождению.
Вопросы
1. В чем продовольственная проблема проявляет себя как общемировая?
2. Раскройте ее связи с другими глобальными проблемами.
3. Какие регионы мира характеризуются критической продовольственной ситуацией?
Современная промышленность представляет собой сложнейший конгломерат секторов, отраслей, подотраслей, видов, стадий и типов производства. Практические все готовые изделия в той или иной степени проходят промышленную обработку — от простейших видов аграрной продукции до новейшего высокотехнологического оборудования. Вместе с тем этот конгломерат образует систему межотраслевых связей, описываемых межотраслевым балансом (модели «затраты—выпуск»). Этот баланс отражает потоки сырья и полуфабрикатов внутри промышленного производства и позволяет рассчитать не только прямые затраты каждой отрасли путем суммирования поставок из других отраслей, но и полные затраты, отражающие все косвенные межотраслевые связи, необходимые для сопряженного учета производства во всех отраслях.
Именно этими эффектами межотраслевых связей обусловлено выделение ведущих (пропульсивных) отраслей, играющих роль «локомотива» на разных стадиях «длинных волн» Кондратьева. Неравномерность развития привела не только к смене ведущих отраслей, но и к их различному сочетанию в разных странах и регионах. Возможности территориального разрыва отдельных производственных связей в процессе выпуска конечной продукции привели к значительной территориальной дисперсии заводов, участвующих в общем производственном процессе. Таким образом, в развитии и размещении промышленности сталкиваются две противоположные тенденции — образование территориально-производственных комплексов, когда экономический эффект достигается за счет сосредоточения на относительно небольшой территории группы технологически взаимосвязанных производств, и рассредоточение подобных производств по оптимальным штандортам и предприятиям с оптимальным для данной отрасли размером.
Это противоречие смягчается за счет преобладания более высоких уровней комплексирования производства на базе крупных месторождений энергетического сырья, в зонах крупных ГЭС, в наиболее атрактивных по географическому положению припортовых комплексах. В промышленно развитых странах комплексирование и образование районных сочетаний наблюдается в информационных видах деятельности и высоких технологиях, вблизи от университетских центров.
Нашло разрешение и противоречие между факторной (штандортной) системой размещения промышленности и регулярной, тяготеющей к центральным местам. В условиях ликвидации экономических барьеров, вызванной экономической интеграцией и филиализацией ТНК во многих странах, произошло резкое пространственное расширение зон сбыта и объединение рыночных пространств, что создало условия для оптимизации размещения промышленности.
Исторически факторная система размещения возникает раньше, в связи с зарождением и развитием конкретной отрасли. По мере расширения рынка сбыта обнаруживается тенденция к росту числа предприятий оптимальных размеров и более равномерному их размещению. Этой трансформации способствует и формирование систем центральных мест в сфере услуг. Однако НТП и постоянное возникновение новых производств под воздействием усложнения спроса ведут к выпуску товаров, зоны сбыта которых в период их освоения таковы, что рынок большинства стран и районов не может обеспечить загрузку даже единичного предприятия оптимальных размеров. Поэтому процесс трансформации факторной системы в регулярную носит постоянный характер и связан с жизненным циклом товара, диффузией нововведений и оптимальными размерами единичного предприятия.
Ниже даны самые сжатые характеристики ведущих отраслей, характерных для разных стадий экономического развития. Тем не менее все они сохраняют свое значение как жизненно важные звенья общей системы мирового хозяйства и его важнейшей подсистемы — промышленного производства.
Горнодобывающая промышленность
Эта отрасль — первичный сектор производства, ибо она добывает первичные материалы и энергоресурсы, без чего не могут существовать все остальные отрасли. В данном разделе рассмотрена добыча полезных ископаемых, кроме энергоносителей. К горной промышленности относится добыча не только руд металлов и другого минерального сырья, но и так называемых инертных материалов, достигающая больших масштабов в высокоразвитых странах. Инертные ископаемые по себестоимости невелики, но по объему достигают сотен миллионов тонн; в развитых странах по общей стоимости добыча строительного камня может сравниться с добычей золота, как это бывало в отдельные годы в США.
По сути дела многоотраслевая горная промышленность — это удел высокоразвитых стран, поскольку в менее развитых странах чаще всего выделяется лишь несколько подотраслей, а иногда только добыча. На этом фоне Дания, на первый взгляд вообще лишенная полезных ископаемых, на самом деле крупнейший производитель диатомита (рыхлой и слабоцементированной кремнистой осадочной породы, состоящей преимущественно из панцирей диатомовых водорослей), широко применяемого в строительстве, пищевой и химической промышленности, и каолина, потребляемого только внутри страны, но тем не менее служащего основой для производства знаменитого датского фарфора. И таких незаметных, на первый взгляд, видов горного сырья можно найти несколько десятков, начиная с известняка, мировая добыча которого превышает 3 млрд т, и кончая так называемыми «фильтрующимися» глинами.
Универсальный процесс ориентации на дешевую рабочую силу захватил и горную промышленность. В начале 90-х гг. по степени развития горной промышленности на первые роли выходит Китай, все сильнее развивается горная промышленность стран, где сравнительно ниже затраты на труд. Например, Австрия, многие годы основной экспортер магнезита, в последнее десятилетие уступила место Греции. Наряду с дешевизной труда все большую роль играют новые горнорудные регионы, прежде всего в развитых странах. Так, важнейшее значение в мировой горной промышленности приобрела Австралия, в связи с открытием богатых месторождений различных полезных ископаемых. Важное место занимают Канада и ЮАР; постепенно к «большой тройке» присоединяются Китай и Бразилия. Эти пять стран и стали главными рудными кладовыми современного мира. Концентрация горной промышленности идет параллельно с резким свертыванием традиционных отраслей в ведущих странах именно из-за переориентации на богатые заморские месторождения и дешевый труд. В немалой степени этому способствуют и природоохранные мероприятия. Например, свертывание добычи ртути, очень загрязняющей среду, привело к потере Испанией первого места в мире; туризм победил интересы горной промышленности. Поэтому развитые страны переходят с собственных ресурсов, которые далеко еще не истощились, на продукцию стран с более дешевым трудом или более богатыми запасами.
Характер горной промышленности заметно разнится в зависимости от масштабов добычи и уровня горной техники. Как правило, наиболее крупные и технически оснащенные предприятия специализируются на добыче железных руд, бокситов, медных руд и т.п. С другой стороны, существует и масса мелких предприятий (копок, а не рудников), как правило, в менее развитых странах. Но в ряде случаев сохраняются мелкие предприятия и в силу недостаточности запасов по таким полезным ископаемым как добыча драгоценных камней (но не алмазов), ртути, слюды, редких металлов. Старательская форма добычи сохраняется во многих странах. В целом тенденция такова, что все большая доля добычи постепенно переходит в руки крупных предприятий, постепенно сменяющих старательскую добычу, с которой обычно начиналось развитие горной промышленности во многих странах. Только в странах «новой колонизации», в таких как Канада, Австралия и ЮАР, горная промышленность сразу же носила крупные масштабы.
Наиболее крупные горные предприятия сложились в добыче железных руд и бокситов, а также калия, поваренной соли, инертных материалов и известняка. К этой группе относятся очень крупные медные рудники и карьеры в основном в США, где металл добывается из очень низкой по содержанию медной руды — 0,1% и даже ниже. Но за счет огромных размеров рудников рентабельна и такая добыча, хотя новые рудники создаются на более богатых рудах. Но тем не менее цены на мировом рынке определяют «замыкающие затраты» именно этих предприятий. Примерно такой же характер носят уникальные золотые рудники ЮАР, где на поверхность извлекаются «горы» кварца из жильных месторождений, что, конечно, куда менее выгодно, чем эксплуатация россыпных месторождений, на которых держится золотодобывающая промышленность России. При тех масштабах разработок, которые допускают гигантские месторождения ЮАР, добыча выгодна, так как сопряжена с большими масштабами предприятия (первое место в мире, свыше половины мировой добычи золота и платины).
Большинство крупнейших предприятий по добыче железной руды ориентировано на богатые залежи или на обогащение руд до 60% содержания железа и выше. Рудники с меньшим содержанием железа в руде либо свертывают свою работу, даже если они находятся в относительной близости к металлургическим предприятиям, как Лотарингский бассейн во Франции, либо полностью прекращают добычу, поскольку металлургические заводы переходят на богатую привозную руду. Основные поставщики мирового рынка — железорудные бассейны Австралии и Бразилии с годовой добычей от 75 млн до 90 млн т руды при среднем содержании железа в ней 60—62%. Знаменитый бассейн Миссейби в районе озера Верхнего в США, на котором выросла черная металлургия США, ныне дает всего лишь около 30 млн т, в то время как приблизительно столько же руды ввозится из других стран — Бразилии, Венесуэлы, Канады.
Лотарингский бассейн во Франции, на базе которого возникла металлургия не только Франции, но и Саара (ФРГ), ныне дает около 10 млн т руды, гораздо больше ее ввозится во Францию из Африки с богатых месторождений. Из старых европейских месторождений выдерживают конкуренцию месторождения Швеции (12—15 млн т), тогда как большинство других железорудных месторождений Западной Европы практически закрылось, и не всегда из-за истощения запасов, а из-за нерентабельности добычи. Однако растет добыча руды на месторождениях Курской магнитной аномалии в России; Кривой Рог остается сырьевой базой украинской металлургии.
Примерно то же произошло с добычей бокситов. Дело не только в том, что ряд месторождений бокситов в таких традиционных странах-производителях алюминия, как Франция, уже истощились и пришлось переходить на новые источники сырья. Австралийские бокситы и по объему, и по цене в состоянии удовлетворить 50% мирового спроса. Крупные экспортеры — Гвинея (20 млн т), Ямайка (45 млн т) и Бразилия (10 млн т) вместе с Австралией определяют конъюнктуру мирового рынка бокситов. Собственное производство алюминия налажено в Австралии и Бразилии. Ямайка снабжает в основном алюминиевую промышленность США, а Гвинея — Западной Европы. Австралийские бокситы перерабатываются не только заводами Ближнего Востока для реэкспорта в Японию, но и заводами России и Западной Европы.
Добыча меди ведется двумя типами предприятий — на бедных и богатых рудах. Но во всех крупных странах-производителях добыча меди непосредственно связана с выплавкой на месте. Два самых крупных производителя меди — Чили (около 2 млн т) и США (1,5 млн т), а также Канада (700—800 тыс. т), Замбия, Заир и Перу. Япония все еще использует свои месторождения, импортируя в основном медь из Чили и Перу.
Собственная добыча меди в Западной Европе очень невелика. Большинство стран использует привозную медь.
Особое положение сложилось с никелем. На Западе был закрыт ряд мелких и малоэффективных предприятий по производству никеля. Благодаря Норильскому (одному из крупнейших в мире) и Печенгскому никелевым комбинатам Россия в состоянии оказывать существенное воздействие на рынок никеля, где главным производителем выступает Канада. Крупным экспортером никеля является Новая Каледония, снабжающая Западную Европу и Японию.
Значительны размеры производства легирующих металлов — марганца, хромитов, вольфрама, молибдена и др.
Небольшие масштабы добычи характерны для производства драгоценных камней, кроме алмазов, большая часть которых добывается на крупных рудниках, размещенных в местах так называемых «трубок взрыва», масштабы разработки которых носят гигантские размеры. Но большая часть драгоценных камней добывается даже не рудниками, а мелкими разработками, часто полукустарными. Подобные «копки», группируясь в районах залегания драгоценных камней, создают целые «горные районы», дающие не только большую суммарную добычу, но и наносящие большой вред окружающей среде. Такие районы «копок» характерны прежде всего для Бразилии, а также Индии, где кустарным образом добывалась также и слюда. По всему миру существует сеть приисков золота, где оно добывается кустарным способом не только в Африке или Центральной Азии, но и в развитых странах.
Особую роль в добывающей промышленности играют горнохимические комбинаты. Они созданы в районах залегания соленосных пластов, поскольку месторождения солей, как правило, включает в себя соли разного состава. Комбинаты — это по сути дела переходная форма, сочетающая в себе первичную стадию переработки комплексного сырья с его разделением на разные компоненты для получения готового продукта. Такие комбинаты характерны для Германии; подобный комплекс возник на базе Соликамского месторождения в нашей стране. Крупнейший производитель калийных солей — Канада. По сравнению с Германией ее комбинаты менее диверсифицированы и четко ориентированы только на калий, по которому Канада вышла на первое место в мире — около 7 млн т (примерно 1/3 мировой добычи); на втором месте Россия и Беларусь — 5,5 млн т (Соликамск и Солигорск), хотя еще недавно их общая добыча приближалась к 10 млн т. На третьем месте — ФРГ, некогда основной производитель калийных солей (около 3 млн т); ряд крупных шахт прежней ГДР не выдержал конкуренции с Канадой. К числу крупных производителей относятся также США и Израиль, где добыча ведется в значительной степени уже из природных рассолов (1,5 и 1,3 млн т). В Израиле и Иордании начато использование ресурсов Мертвого моря.
Наконец, новой важной отраслью горной промышленности является добыча сырья из морской воды и со дна моря. Прежде всего это добыча нефти на шельфе, которая достигла 25% общего производства. Однако добыча рудных полезных ископаемых со дна моря еще не велика. По-видимому, дефицит полезных ископаемых на мировом рынке не настолько велик, чтобы оправдать систематическую добычу с морского дна всех видов сырья, кроме нефти и газа. Существуют только отдельные разработки, например, олова в районе Индонезии, циркониевых песков в Австралии, алмазов у побережья Юго-Западной Африки. Гигантские же ресурсы конкреций размещены в глубоководных акваториях, их разработки еще не вышли из стадии эксперимента именно в силу значительной дороговизны морской добычи по сравнению с сухопутной. Ресурсы Мирового океана — это, безусловно, будущее горной добычи в мире, поскольку там находятся практически неисчерпаемые запасы многих видов сырья.
Проблема мировых ресурсов зависит от уровня развития производительных сил, от возможности получать дешевую энергию, пригодную для того, чтобы облагородить любое сырье. Поэтому все проблемы по снабжению человечества материалами упираются в проблему энергетики — получения дешевых и безопасных источников энергии.
Вопросы
1. Для какой подотрасли горнодобывающей промышленности типичны наибольшие объемы добычи?
2. Для какого типа стран характерно многообразие структуры горнодобывающей промышленности?
3. Каково соотношение производственных факторов, влияющих на размещение отрасли?
4. Каков характер сдвигов в территориальной структуре отрасли?
5. Каков характер комбинирования в отрасли?
Мировая энергетика базируется прежде всего на потреблении ископаемого топлива — нефти, каменного угля и природного газа, кроме того, широко используется гидравлическая и ядерная энергия. Большую роль по-прежнему играет древесное топливо, поскольку в странах третьего мира древесина и растительные остатки занимают видное место в энергобалансе. Точных цифр потребления растительного топлива нет: по разным оценкам оно составляет до 10% в мировом энергетическом балансе, но служит основным источником энергии для большей части человечества, живущего в развивающихся странах.
На первом месте по масштабам потребления энергии находятся ведущие страны мира, которые и определяют мировой энергобаланс. В начале 90-х гг. мировой энергобаланс составил около 8 млрд т в нефтяном эквиваленте (без древесно-растительного топлива). Первое место в нем занимает нефть (3,8 млрд т), второе — уголь (2,1 млрд т) и третье — природный газ (1,8 млрд т). Кроме того, атомной энергии в балансе принадлежит свыше 0,3 млрд т и гидроэнергии около 0,2 млрд т.
При составлении общего энергобаланса и баланса электроэнергетики следует учитывать, что в энергобалансе очень существенную роль играет потребление энергии транспортом, прежде всего автомобильным и авиационным. Кроме того, важное место занимает технологическое потребление топлива — прежде всего в черной металлургии, для нужд отопления. В электробалансе выше, чем в общем энергобалансе, доля атомной энергии, гидроэнергии и в последние годы заметно повысилась доля угля, так как очень многие электростанции в связи с нефтяным кризисом были переведены с нефти на уголь или приспособлены к работе на двух видах топлива. Велика и доля газа в электробалансе, хотя в немалой степени он идет и на технологические нужды. Нужно помнить еще, что часть нефти и газа используется как сырье в химической промышленности.
Значительная часть энергии, потребляемой основными потребителями — развитыми странами, импортируется. Это относится не только к нефти и газу, но и к каменному углю, что связано не с отсутствием энергетических ресурсов в развитых странах, а с их дороговизной. Не только запасы нефти, но и каменного угля в старых индустриальных странах в значительной мере истощились и поэтому их добыча стала невыгодной: даже по каменному углю себестоимость (включая расходы по транспортировке) в США и ЮАР в 2—3 раза ниже, чем в старых бассейнах в Европе. Еще большая разница между себестоимостью добычи угля в Японии и поставками туда австралийского, российского, американского и южноафриканского угля.
По нефти эта разница еще больше, но цены на нефть в мире сегодня таковы, что оправдано существование морских промыслов в Северном море, а старые нефтяные районы, например в Германии, оказываются неконкурентоспособными. Наряду с характером месторождений определенную роль, особенно при добыче угля, играет и дешевизна рабочей силы, благодаря которой на мировой рынок пробились некоторые небольшие бассейны новых стран. И только нефть, в силу политических причин, прежде всего добывается не только на самых больших месторождениях, но и там, где она не подвластна нефтяному картелю — ОПЕК. Тем не менее и в нефте- и особенно в газодобыче имеет место ориентация на самые богатые месторождения, дающие предельно дешевое топливо. Поэтому неправомерны расчеты сроков истощения невозобновимых, в т.ч. энергетических ресурсов, основанные на простых расчетах «известные запасы—потребление».
Возобновляемые источники энергии — прежде всего гидроэнергия, широко используются в развитых странах; в развивающихся странах и в северных зонах развитых стран ресурсы гидроэнергии еще значительны. Есть значительные ресурсы неиспользованных ископаемых типа битуминозных песков; кроме того, по-видимому, существуют неразведанные ресурсы каменного угля, прежде всего в России, Китае и в ряде развивающихся стран. Так что цифра обеспеченности в значительной мере условна и зависит от технико-экономической ситуации в мировом хозяйстве.
С другой стороны, довольно крупные запасы урана и других видов расщепляющихся материалов оказались слишком опасными, и их использование упирается в экологическую проблему. Чрезмерное использование традиционных видов топлива связано с проблемой парникового эффекта, так что, возможно, в недалеком будущем именно проблема загрязнения среды отходами энергетического производства заставит обратиться к Космосу, как новому источнику рассеянной солнечной энергии для земных нужд.
Но в конце XX в. проблема не в недостатке энергоресурсов, а в их дешевизне. В этих условиях развиваются наиболее рентабельные месторождения в ущерб традиционным бассейнам. Нефть — главный энергоноситель современного мира. Большую ее часть поставляют страны Ближнего Востока и Латинской Америки, входящие в организацию стран-экспортеров нефти (ОПЕК). Лишь меньшая часть добывается в странах-потребителях, прежде всего, в Северной Америке (США и Канада), и в Северном море на шельфе Великобритании и Норвегии. Вне этих группировок крупнейшими поставщиками нефти являются страны СНГ и прежде всего Россия.
Крупнейший экспортер — Саудовская Аравия, далее идут Кувейт, ОАЭ и Иран; Ирак, долгое время бывший одним из крупнейших экспортеров нефти, ныне лишен права поставок нефти на мировой рынок, его запасы по-прежнему велики и в любую минуту могут оказать давление на мировой рынок нефти. Кроме стран Ближнего Востока, существенное значение имеет добыча Венесуэлы и Мексики. Весьма перспективен новый регион в Юго-Восточной Азии — от Индонезии до Вьетнама, где добыча идет на шельфе. На территории СНГ, помимо России, в недалеком будущем крупными производителями нефти могут стать Азербайджан (шельф Каспия), Туркмения, где открыт крупный бассейн в районе Узбоя, и Казахстан с его крупными месторождениями Карачаганака и Тенгиза. С учетом месторождений шельфа Северного Ледовитого океана на территории России еще очень велики ресурсы нефти и газа, и она еще будет играть роль на мировом рынке.
Иное положение в Китае, который уже импортирует нефть. Даже с учетом месторождений Желтого моря и прилегающего к Китаю шельфа, а также начатых разработок в Таримской впадине Китай со временем может превратиться в крупнейшего импортера нефти, как европейские страны и США.
Нефтеперерабатывающая промышленность мира значительно отличается по своей географии от нефтедобычи (табл.4). Связано это с высокой ценностью почти всех компонентов нефти как топлива и сырья для химической промышленности. Вторая причина — гораздо более высокая стоимость транспортировки дисперсных потоков нефтепродуктов, производство в которых ориентировано в первую очередь на центры потребления, по сравнению с мощными, концентрированными потоками нефти. При этом используются такие массовые виды транспортных средств, как магистральные нефтепроводы крупного диаметра и супертанкеры грузоподъемностью в несколько сотен тысяч тонн дедвейт.
Таблица 4
География нефтеперерабатывающей промышленности мира (на начало 1996 г.)
| Регионы |
Число НПЗ |
Мощности (по сырью), млн т |
Средняя мощность НПЗ, млн т |
| Северная Америка |
198 |
936 |
4,7 |
| Западная Европа |
113 |
708 |
6,3 |
| Азиатско-Тихооке-анский регион |
138 |
740 |
5,4 |
| Восточная Европа и СНГ |
95 |
637 |
6,7 |
| Латинская Америка |
74 |
295 |
4,0 |
| Ближний и Средний Восток |
42 |
266 |
6,3 |
| Африка |
45 |
141 |
3,4 |
| Всего по миру |
705 |
3723 |
5,3 |
Несколько иная картина с поставками природного газа, по добыче которого лидируют Россия и США. Импортируют газ почти все страны Европы, а также Япония, ввозящая сжиженный газ из стран Азии. Европа использует природный газ, России, Норвегии, Нидерландов, Алжира. Что касается США, то, будучи крупнейшим потребителем газа, они используют не только свой, но и газ из Канады и даже ввозят его танкерами из Алжира. И хотя Североамериканский континент — крупнейший в мире производитель газа, это одновременно и один из его крупных импортеров. В XXI в., кроме России, крупными экспортерами газа, по-видимому, станут Туркмения и страны Ближнего Востока. Так что главные поставщики газа — это все те же основные производители нефти.
Иная картина с каменным углем. Подавляющая часть добычи каменного угля сосредоточена в трех главных регионах: Северной Америке, которая является одним из крупнейших экспортеров угля на мировой рынок, Австралии — поставляющей уголь главным образом в Японию, и ЮАР, работающей прежде всего на европейский рынок. Вне этих трех основных угольных регионов мира большое значение имеет только добыча каменного угля в Китае. Россия, обладающая большими ресурсами каменного угля в Сибири и прежде всего в Кузбассе, находится далеко не только от основных зарубежных потребителей угля, но по сути дела испытывает дефицит дешевого каменного угля в Европейской части страны, где Донбасс уже настолько выработан, что вряд ли он сможет давать конкурентоспособное топливо, как Воркута. Это при том, что ресурсы каменного угля азиатской части страны по-настоящему еще не разведаны и, по-видимому, очень велики, но это дело далекого будущего. Сегодня каменный уголь становится наиболее перспективным энергоресурсом по всему миру, и происходит медленный, но неуклонный перевод мирового энергоснабжения на каменный уголь, хотя этот процесс пока только начинается.
Альтернативой каменному углю долгое время считалась атомная энергия. Запасы урана достаточно велики: прекращение военного противостояния высвободило для энергетических нужд новые, значительные количества обогащенного топлива. Но проблема состоит прежде всего в том, что себестоимость выработки атомной энергии, включая расходы по демонтажу отработавших энергетических реакторов и утилизации отходов, оказалась очень велика, и в сочетании со всеобщим страхом ядерных катастроф, вызванным аварией на Чернобыльской АЭС, это привело к резкому падению интереса к строительству АЭС. Правда, не во всех странах: лидером продолжающегося развития атомной энергетики осталась Франция, условия которой оказались чрезвычайно выгодными для развития атомной энергии. Пример Франции показывает, что в определенных странах будет продолжаться развитие атомной электроэнергетики, несмотря на все проблемы и опасения.
Запасы гидроэнергии в высокоразвитых странах на наиболее выгодных створах уже давно исчерпаны. Она становится уделом менее развитых регионов, где все еще велики гидроресурсы: Бразилия, Север Канады, бассейны африканских рек и Сибирь. Только гидроаккумулирующие станции по-прежнему будут развиваться во всех и особенно высокоразвитых странах, как способ покрытия пиковых дефицитов.
Использование новых видов энергии пока еще развито слабо. Наибольшее значение имеет использование геотермальной энергии, которую, однако, выгодно использовать только в определенных местах. Вновь появился интерес к приливным станциям, постепенно растет использование энергии солнца, но пока еще все это вопрос будущего. И по-прежнему остается актуальной для стран третьего мира древесина, которая, как мы уже отмечали, дает около 10% мирового потребления, но обслуживает примерно половину человечества.
Вопросы
1. Каков удельный вес различных энергоресурсов в общем балансе?
2. Укажите страны — основные нетто-экспортеры и нетто-импортеры энергоресурсов.
3. Какова динамика потребления энергоресурсов и их перспективы?
4. Аргументируйте ваше мнение о развитии атомной энергетики.
5. Каковы различия в размещении нефтедобычи и нефтепереработки?
6. Каковы перспективы нетрадиционных источников энергии?
7. Охарактеризуйте взаимосвязь энергетики и экологии.
3.3. Черная и цветная металлургия
Черная металлургия. Одна из старейших отраслей современной промышленности, черная металлургия превратилась в сложный конгломерат разных по своему генезису производств. Первоначально схема металлургического производства была довольно проста: на каменном угле и железной руде базировалось доменное производство, дающее чугун, из него в мартенах выплавлялась сталь, которая после прокатных станов шла потребителям. Однако по мере накопления ресурсов лома стало выгодно сразу выплавлять сталь. Ныне в США почти половина стали производится не из чугуна, а из вторичного сырья. Аналогичные процессы охватили весь мир, а в ряде стран импорт лома заменил первичные стадии металлургии. Это особенно типично для азиатских стран новой индустриализации, где дешевый труд делает выплавку рядовой стали из лома выгодной по сравнению со сталью, выплавленной из чугуна. В итоге сегодня на мировом рынке сложились две группы стран: высокоразвитые, где производство падает по многим причинам, включая высокие издержки на труд и охрану среды, и развивающиеся, где производство стали продолжает расти. В целом падение производства в первых странах обгоняет рост производства во вторых, и поэтому общее мировое производство стали медленно, но неуклонно падает, хотя сталь и остается сегодня главным конструкционным материалом.
Размещение металлургического производства носит следы разных периодов и эпох развития промышленности. Но основная часть металлургических заводов в странах рыночной экономики размещается в местах, одинаково удобных для получения железной руды и каменного угля: в морских портах или старых каменноугольных бассейнах, связанных удобными путями с морем. Практически все заводы Японии расположены близ моря, к ним подвозятся и руда, и каменный уголь. Такой же характер носят припортовые центры Италии, ФРГ, новые заводы Франции. Даже традиционные заводы Рура сохранились в тех местах, куда можно доставить водным транспортом железную руду из Роттердама, служащего «входными» воротами Рура. Так что сегодня за пределами России главным ориентиром при размещении новых металлургических предприятий полного цикла служат морские порты; в США самый крупный металлургический завод также расположен на побережье в Балтиморе.
Однако есть много старых заводов, размещение которых носит следы прежней, традиционной ориентации, прежде всего на уголь и в гораздо меньшей степени на железную руду, хотя сегодня главным компонентом металлургического производства по весу является железная руда или лом, ее заменяющий. Поэтому в Западной Европе более трети производства сохранилось в старых центрах. Еще четче выражена инерция размещения металлургии полного цикла в США, где до 2/3 заводов по-прежнему размещаются внутри страны. В результате на территории Запада и Юга США, вне сферы влияния традиционных металлургических районов, возникли ареалы передельной металлургии, где лом переплавляется в электропечах, разливается машинами непрерывной разливки стали и идет в прокатные станы. Но при такой схеме трудно сделать качественный металл, и поэтому все эти заводы Запада и Юга США специализируются на производстве рядового металла для региональных нужд. Так в США благодаря очень емкому внутреннему рынку и огромным запасам вторичного сырья сложилась регулярная сеть металлургических заводов.
Примерно по такой же схеме действует металлургия новых индустриальных стран (НИС), хотя она в значительной мере пользуется обычными методами выплавки металла. К 1993 г. на первое место по производству стали вышла Япония, производя ее по классическому методу, так как лома используется относительно мало. Базой чугуноплавильного производства Японии является Австралия, которая поставляет ей железную руду и каменный уголь, а также Бразилия, Индия (руда) и Китай (уголь). С металлургией Японии тесно сотрудничает металлургия Республики Корея и Тайваня, которые тоже целиком зависят от импорта железной руды и угля. Эти страны поставляют на мировой рынок менее качественную сталь, дополняя по номенклатуре японский экспорт. Подавляющая часть металлургических предприятий Японии сосредоточена в полосе, протянувшейся от Китакюсю (о. Кюсю) вдоль побережья Внутреннего Японского моря до Нагои и затем вдоль Токийского залива. Более мелкие предприятия размещены по всей Японии вплоть до острова Хоккайдо на севере.
Очень сложная ситуация сложилась в металлургии России. После развала Союза и резкого сокращения спроса на металл со стороны ВПК количество заводов, размещение которых было бы оптимально, очень невелико. Самый крупный металлургический комбинат России — Магнитогорский ввиду истощения запасов горы Магнитной, переориентирован на руды Казахстана, ныне независимого государства. Кузнецкий комбинат частично был переведен на руды Горной Шории, находящейся в непосредственной близости от завода, но это ограничило возможности его расширения. Другие уральские заводы и особенно Нижнетагильский комбинат расширялись волевым порядком и находятся в очень сложных транспортных условиях. Все это в огромной степени снижает конкурентоспособность российского металла на мировых рынках и заставляет продавать его по сниженным ценам, например, Китаю, ибо выход на другие рынки для большинства заводов практически нерентабелен. Однако Китай по мере своей индустриализации будет снижать спрос на металл, и тогда положение российских заводов может стать критическим, если к этому времени не восстановится хозяйственная конъюнктура внутри страны. Анализ размещения российских металлургических заводов показывает, что их металл будет конкурентоспособным только на внутреннем рынке, да и то при соответствующих мероприятиях правительства. Пока же металлургия европейской части (Череповец, Липецк, Старый Оскол) стала одной из первых растущих отраслей, и именно за счет экспорта в США и Западную Европу.
Таблица 5
Производство чугуна и стали ведущих стран мира
| Место |
Страна |
Чугун, млн т 1992 г. |
Сталь, млн т 1994 г. |
Чугун и сталь 1992 г. |
|
| экспорт, млрд долл. |
импорт, млрд долл. |
||||
| 1 |
Япония |
81,1 |
96,3 |
1,0 |
2,1 |
| 2 |
Китай |
69,5 |
91,5 |
0,4 |
... |
| 3 |
США |
44,9 |
88,9 |
0,4 |
1,76 |
| 4 |
Россия |
48,9 |
48,6 |
4,5* |
... |
| 5 |
Германия |
31,0 |
40,8 |
2,6 |
2,5 |
| 6 |
Турция |
32,9 |
36,0 |
... |
... |
| 7 |
Республика Корея |
18,7 |
33,8 |
1,2 |
1,7 |
| 8 |
Италия |
12,0 |
26,1 |
... |
1,8 |
| 9 |
Бразилия |
23,5 |
25,7 |
2,4 |
... |
| 10 |
Украина |
20,0 |
23,9 |
... |
... |
* СССР, 1991 г.
В несколько лучшем положении заводы Украины, но они базируются на низкокачественной железной руде истощенного Криворожского бассейна и дорогом донецком угле.
Металлургия США, некогда крупнейшая в капиталистическом мире, сильно сократила производство из-за конкуренции импортного металла. Тем не менее сегодня США являются третьим в мире производителем металла и, главное, крупнейшим рынком металла, потребляющим значительные количества его из других стран. На востоке США преобладает традиционная черная металлургия полного цикла, выпускающая более качественный металл. На Западе и Юге преобладает передельная металлургия, выпускающая рядовые сорта стали в основном для строительства. Первоначально центры металлургии США сосредотачивались в районах каменноугольного бассейна Пенсильвании: к ним по Великим озерам из Дулута шла железная руда. Затем в точках пересечения потоков руды и угля начали строиться заводы на «большой дороге» американского металла, особенно в Детройте, затем и вокруг Чикаго, где долгое время был расположен крупнейший в США металлургический завод. И, наконец, начали возникать металлургические заводы вблизи крупнейших потребительских рынков, например, завод в Спарроус-Пойнте, около Балтимора, который изначально был построен для снабжения крупнейшего центра машиностроения и судостроения, а затем перерос запланированные масштабы и превратился в крупный металлургический комбинат, работающий на американском угле и импортной железной руде. Параллельно развивался металлургический комплекс в Алабаме (Бирмингем), где на сочетании железной руды и каменного угля был заложен завод, производящий рядовой металл, а потом с течением времени, с общим движением американской индустрии на Юг, был начат выпуск качественного металла. После второй мировой войны был создан ряд новых металлургических центров на крайнем Западе, но они не смогли взять на себя функции главной металлургической базы страны, которой долгое время оставались традиционные районы Пенсильвания и Чикаго. И только с 60-х гг. началась существенная с созданием передельных заводов и более равномерным их размещением.
Подобная схема в определенной степени сохранила внутренний рынок для металлургии, тогда как Западное побережье США в немалой степени снабжается металлом из стран Дальнего Востока, а на восточном побережье идет серьезная конкуренция с металлом из России и Бразилии.
Важные позиции в мировой металлургии по-прежнему занимает Западная Европа, которая обеспечивает внутренние рынки и экспорт специализированными сортами стали и проката. Сдвиг к морю определяется ориентацией на импортные железную руду и каменный уголь тем более, что ввоз американского и южноафриканского угля более выгоден, чем эксплуатация истощенных европейских бассейнов. Даже уголь Рура оказывается неконкурентоспособным и добавляется в шихту коксовых печей Рура в связи с социальной поддержкой шахтеров и обеспечением минимума мощностей на случай нарушения связей в мировом хозяйстве. Политические и военно-стратегические соображения заставляют поддерживать нерентабельную добычу угля не только в Руре, но и в Великобритании, где уголь менее дорог, но также неконкурентоспособен по сравнению с «заморским» углем. По сути дела все заводы Германии так или иначе связаны с водными путями. Старые заводы Рура сохранились только в тех местах, куда легко доставлять железную руду — из Роттердама по Рейну и каналам, а также уголь из Рурского бассейна, еще сохраняющего некоторые позиции на рынке коксующихся и энергетических углей. Однако общие тенденции развития европейской металлургии таковы, что без перехода на дешевый американский, южноафриканский и даже российский уголь металл потеряет даже рынки ЕС.
На второе место в Европе по выплавке стали вышла Италия, металлургия которой, ориентированная с самого начала на американский уголь и африканскую железную руду, после войны была размещена в портах. Только отдельные заводы качественной стали остались в тех местах, где размещалась традиционная итальянская металлургия, главным образом в Альпах при небольших месторождениях руды, да и те в значительной степени базируются на привозном сырье.
В отличие от Италии во Франции сложилось три ареала черной металлургии. С одной стороны, это старые заводы в Лотарингии — реликт некогда крупного металлургического района, возникшего на больших запасах бедной железной руды (содержание железа до 40%). С другой, два новых гигантских комбината в Дюнкерке и Марселе, где выплавляется 2/3 всей стали.
Примерно та же судьба постигла черную металлургию Бельгии и Люксембурга, которая также возникла на местных железных рудах и каменном угле, но уже десятилетия работает на импортной руде и угле.
И только английская черная металлургия, переместившись в порты, все еще частично работает на собственном угле, добыча которого пользуется правительственной поддержкой, поскольку даже самые богатые в Европе каменноугольные месторождения новых бассейнов Великобритании дают уголь, который на 20% дороже, чем южноафриканский уголь в тех же английских портах. Так что переход на импортный уголь и здесь — только вопрос времени.
Вне западноевропейского региона черной металлургии, который включает также заводы Испании, Швеции и Нидерландов, после 1945 г. постоянно росло производство металла в Польше (Силезия) и бывшей Чехословакии, где в рамках западной части региона СЭВа возник новый металлургический центр. Ныне он лишился традиционных рынков сбыта и вышел на мировой рынок, куда поставляет металл. В итоге металлургия региона работает лишь на 2/3 своих мощностей. Ее судьба еще не ясна; пока она держится за счет сравнительно низкой оплаты труда, ставки которой занимают промежуточное положение между западноевропейскими нормами и зарплатой металлургов развивающихся стран.
С начала 90-х гг. быстро растет металлургия Китая, где высокими темпами развивающиеся промышленность и строительство предъявляют огромный спрос на металл. Китай вышел на второе место в мире по выпуску стали, оставаясь крупнейшим ее импортером. Если в 1990 г. при выплавке стали 65 млн т импорт составил около 10 млн т, то в 1993 г. при выплавке 87 млн т импорт вырос вдвое, причем значительная его доля шла из России. В недалеком будущем Китай может стать главным производителем стали, преодолев рубеж в 100 млн т.
Черная металлургия Китая пережила несколько этапов развития. Первые заводы концентрировались в немногих районах, прежде всего в Манчжурии: комбинат в Аньшане остается крупнейшим в стране производителем (около 10 млн т стали) и был размещен вблизи крупных месторождений угля и руды. Аналогичную сырьевую ориентацию имели крупные комбинаты в Баотоу и Ухани. Однако на огромной территории Китая размещение только в оптимальных по отношению к сырью пунктах не могло полностью удовлетворить спрос на металл всех районов страны. Поэтому изменились сами принципы размещения и началось строительство небольших заводов, более равномерно распределенных по провинциям Китая. К концу 80-х гг. в Китае было построено около 1400 заводов, но только в 14-ти из них годовое производство превышало 1 млн т стали. Быстрее всего расширяется металлургия прибрежных районов, ориентированная на импорт руды из-за низкого качества местного сырья.
К 1993 г. в Китае действует пять крупных комбинатов мощностью свыше 5 млн т — Аньшанский, Баошанский, Шунганский, Уханьский и Баотоусский, 17 заводов мощностью 1 млн т и 21 завод от 500 тыс. до 1 млн т стали. В процессе строительства и расширения находятся два крупных металлургических комбината — в Ухане с 5 до 7 млн т и завод в Мааньшане — до 5 млн т. Только 60% стали выплавлялось кислородно-конвертерным способом, и велика еще доля мартеновского способа выплавки. Поэтому один из главных путей расширения производства — реконструкция предприятий черной металлургии. Другой проблемой стала слабость железорудной базы: уже 20% потребностей Китай удовлетворяет за счет импорта, и эта цифра может возрасти до 35%. Несмотря на быстрый рост выплавки стали, что может снизить потребность в импорте, предполагается, что даже в 2000 г. значительная часть потребности в трубах и листе будет удовлетворяться за счет импорта и только к 2020 г. Китай начнет полностью удовлетворять свои потребности в черных металлах.
Современная цветная металлургия. Она имеет два главных вида продукции: это выпуск первичного и выпуск вторичного металла. Первый производится из руд, добываемых горной промышленностью, а второй за счет переплавки лома цветных металлов. Причем роль вторичного металла все время увеличивается по мере накопления запасов использованных изделий. В начале 90-х гг. в среднем в развитых странах из лома производилось 25—30% меди и алюминия, до 40—50% свинца.
По объему производства цветные металлы заметно различаются. По массовым металлам, например, алюминию — годовая величина выплавки в мире составляет около 12—15 млн т первичного алюминия и 6—7 млн т вторичного металла; таким образом, всего в зависимости от конъюнктуры — 19—22 млн т «белого» металла. По меди (второму по важности цветному металлу) цифры значительно скромнее — 10 млн т. Еще меньше производство цинка, свинца, но и их выплавка достигает миллионов тонн. Совершенно иная картина в производстве «среднемасштабных» металлов — никеля, олова, магния: масштабы их производства колеблются от 100 тыс. до 500 тыс. т. И, наконец, существует группа редких металлов, где величины добычи колеблются от 10 тыс. т, как в производстве вольфрама и молибдена, до нескольких десятков тонн (германий). Золото — далеко не самый редкий из ныне добываемых металлов; общая добыча его оценивается цифрами порядка 25—30 тыс. т, хотя и резко разнится по годам.
Ведущий цветной металл в современном мире — алюминий. Ввиду сложной технологии производства разные стадии размещены в разных странах и весьма часто не совпадают с добычей сырья, а ориентируются на дешевую электроэнергию. Первая стадия производства алюминия — добыча бокситов — ориентируется на богатые месторождения в Австралии, Гвинее, на Ямайке. Вторая стадия — производство окиси алюминия — ориентируется, как правило, на источники топлива и известняка, третья стадия — электролиз окиси алюминия — ориентируется на источники дешевой энергии. Именно у крупных ГЭС и ТЭС сосредоточена основная часть заводов по выплавке первичного алюминия. По добыче бокситов можно выделить несколько ведущих стран, которые, собственно, и снабжают большую часть мира бокситами. Это Австралия, дающая почти половину мировой добычи бокситов — в начале 90-х гг. (45 млн т), затем три менее крупных производителя, на которые приходилось еще 1/3 мировой добычи — Гвинея (17 млн т), Ямайка (11 млн т) и Бразилия (10 млн т). Менее крупные производители алюмосодержащего сырья — Китай (4,5 млн т), Индия, Россия, Суринам, Греция, Венесуэла. Такие некогда традиционные поставщики бокситов, как Франция, практически потеряли свое значение.
Бокситы превращаются в окись алюминия на заводах, использующих минеральное топливо. Ныне почти половина окиси, потребляемой в Западной Европе, производится на двух заводах-гигантах: в Ирландии (переработка бокситов для алюминиевых заводов Северной Европы) и на Сардинии (переработка для заводов Южной и Центральной Европы).
Окись алюминия поступает на предприятие по электролизу, которое, как правило, расположено при источниках электроэнергии. Чаще это в районе ГЭС, но существует целый ряд заводов, использующих дешевую энергию станций, работающих на газе, а в ряде случаев и дешевом угле.
В мире свыше половины электролизных заводов, выпускающих металлический алюминий, расположены около крупных ГЭС. Поэтому неудивительно резкое расширение производства металлического алюминия в таких странах, как Канада, Бразилия, Норвегия, с их крупными запасами гидроэнергии, и бурный рост производства алюминия в Австралии, где ресурсы бокситов сочетаются с месторождениями самого дешевого в мире каменного угля. Дешевизна электроэнергии — главный фактор размещения алюминиевой промышленности, и поэтому последняя процветает в таких странах, как США и Россия, с их большими ресурсами дешевого угля и газа, с наличием больших ГЭС, и прекратила существование в Японии, где энергия дорогая. Здесь в последнее десятилетие были выведены из оборота все заводы первичного алюминия, а алюминий поступает из Австралии и стран Ближнего Востока. Постепенно сходит на нет алюминиевая промышленность ряда стран Европы, где не хватает дешевой энергии, и «умирают» старые традиционные центры выплавки алюминия во Франции, бывшей пионером производства, или в Австрии, где за энергию ГЭС «борются» разные отрасли народного хозяйства.
Медная промышленность — вторая по значению отрасль цветной металлургии, по-прежнему ориентируется на ресурсы меди, хотя есть и заводы, работающие на вторичном металле. Но главным фактором размещения медеплавильной промышленности остается наличие сырья.
На первом месте в мире по производству медных концентратов находится Чили, затем идут США и Канада, африканский медный пояс Замбия и Заир, а также Перу и Мексика. Очень крупным производителем меди остаются Россия и Казахстан. По размещению выплавка меди заметно отличается от размещения ее добычи. Медные концентраты достаточно транспортабельны и часть меди вывозится из медедобывающих стран. Другая же часть вывозится в форме черновой меди. Почти 1/5 мировой выплавки — это выпуск вторичного металла. В Великобритании, Франции, ФРГ и Бельгии вся медеплавильная промышленность базируется на вторичном металле.
Первые места по выпуску и черновой и рафинированной меди занимают США, Чили, Япония. В Чили часть добываемой руды в виде концентратов и черновой меди вывозится в США; в Японии только треть добывается на месте, а более половины черновой и еще большая доля рафинированной меди ввозится, да и 2/3 концентратов, перерабатываемых японскими заводами, ввозятся прежде всего из Новой Гвинеи и других стран Тихоокеанского бассейна.
Африка — зона влияния медеплавильной промышленности Европы; а Латинская Америка в большей мере ориентируется на снабжение США; зона влияния Японии — район Тихого океана (Папуа и Филиппины). Россия и Казахстан снабжают Европу и Китай, который проявляет очень большой интерес к разработке сибирских и казахских медных месторождений: продолжается подготовка к разработке Удокана.
Цинк и свинец теряют рынки сбыта, строится очень мало новых свинцово-цинковых предприятий. Примерно такое же положение и с оловом: применение его сокращается и соответственно падает его производство. Однако есть и так называемые «новые» металлы — к ним относятся прежде всего магний и титан. Магнию одно время сулили большое будущее, говорили, что магний обойдет все другие металлы вместе взятые. Но этого не случилось, слишком высокая энергоемкость его производства ограничила его применение, хотя по запасам сырья (включая морскую воду) он превосходит все другие металлы. Поэтому сегодня магний добывается в больших количествах только в трех странах: из морской воды в США и Норвегии и из отходов калийного производства в России. Те же сложности (слишком большая энергоемкость) и в производстве титана.
В значительных количествах в мире выплавляется около 70 видов цветных металлов. Но полный набор имеют только четыре страны — США, Россия, Япония, ФРГ.
Все остальные страны, как правило, специализируются на производстве определенных видов цветных металлов.
Вопросы
1. Каковы особенности и преимущества передельной металлургии?
2. Почему сокращается выплавка стали в мире?
3. Каковы главные штандортные факторы черной металлургии?
4. Почему металлургические заводы ведущих западноевропейских стран работают на заморском сырье?
5. Назовите отдельные стадии производства алюминия. Почему они территориально разобщены?
6. Как различаются география добычи руды и выплавки меди?
7. Каков главный ограничивающий фактор в развитии цветной металлургии?
8. Какие страны обладают полным набором производства цветных металлов?
Машиностроение — главная отрасль промышленности: на нее приходится 35—38% стоимости промышленной продукции развитых стран и 34—36% занятых. В развивающихся странах эта доля гораздо меньше — 15—20% и менее.
По общей стоимости продукции первое место прочно занимают США, на втором месте — Япония, на третьем — ФРГ, лидер западноевропейского машиностроения; вслед за ними идет Китай. Масштабы машиностроительной продукции остальных стран уже на порядок меньше, но в число ведущих стран входят Франция, Великобритания, Италия, Канада, Бразилия и Испания, которые замыкают десятку крупнейших производителей машиностроительной продукции мира. Все остальные страны дают суммарно менее 10% мировой машиностроительной продукции.*
* Ранее СССР прочно занимал второе место независимо от методики расчета стоимости машиностроительной продукции. Но теперь из-за свертывания основных военных производств и того, что значительная доля отраслей приходится на предприятия Украины, Беларуси, стран Балтии, любые сопоставления будут неточными. Тем не менее основная производственная база машиностроения России сохранилась и обладает высоким потенциалом.
США, Япония, ФРГ производят полную номенклатуру машиностроительной продукции. Меньшее разнообразие типично для машиностроения Великобритании, Франции, Италии, а также Канады. Китай — крупный экспортер продукции примитивного машиностроения, вроде велосипедов, а Россия по сути дела еще не нашла свое место на мировом рынке, но обладает большими возможностями вывоза вооружения и новейшей (в том числе космической) техники; в то же время она вынуждена ввозить много видов машин, ранее поставлявшихся из других республик бывшего Союза, из стран Восточной Европы. Поэтому и в России, и в Китае отрицательный баланс во внешней торговле машиностроительной продукцией.
Многие страны в Западной Европе также импортируют различные виды техники и одновременно вывозят высококачественные изделия, которые завоевали «место под солнцем» на мировом рынке. Так, Швейцария является крупным экспортером высококачественных станков, часов, приборов, крупногабаритного электро- и текстильного оборудования; в то же время страна ввозит автомобили и много другой машиностроительной продукции. Примерно также строится машиностроение Швеции и большинства других западноевропейских стран: на экспорт идут качественные изделия высоких технологий и одновременно ввозится широкая номенклатура обычных изделий, особенно электро- и радиотехники, прежде всего из Южной Кореи, Гонконга, Сингапура. «Новые тигры» Юго-Восточной Азии составляют вторую группу стран-экспортеров, работающих преимущественно на внешний рынок и особенно рынок США и даже Европы и поставляющих массовую, трудоемкую продукцию, как морские суда (Республика Корея вышла на первое место), автомобили, бытовую электротехнику и т.п. Если первая группа экспортеров, особенно европейских, базируется на высокой технологии и качестве, то вторая группа имеет возможность выпускать конкурентоспособные изделия за счет дешевизны труда.
Вне этих двух групп можно назвать страны, где машиностроение базируется на большой емкости внутреннего рынка — Китай, Бразилия, Индия. Их машиностроение пока еще только выходит на внешний рынок. Многие страны Латинской Америки, Азии, Африки свои потребности в машиностроительной продукции удовлетворяют полностью за счет импорта.
Россия и страны СНГ находятся в процессе становления своих хозяйственных структур, однако уже ясно, что есть крупные пробелы в номенклатуре производства, которые приходится либо покрывать импортом, либо восстанавливать заново. К ним относятся не только сложные изделия вроде станков или турбокомпрессоров, но и довольно элементарные изделия, «отданные» в свое время странам Восточной Европы — от аккумуляторов и даже электролампочек до вагонов, нефтяного оборудования и кабеля. Конечно, страна обладает огромными мощностями военно-промышленного комплекса, но его конверсия требует больших средств, а главное, политической воли, поскольку до сих пор имеются тенденции найти рынки сбыта для оружия, не учитывая, что оружие — это «политический товар» со своими законами сбыта. Во всяком случае, по разным расчетам, понадобится от 5 до 15 лет, прежде чем ВПК мог бы с лихвой покрыть потребности страны, приспособиться к требованиям рынка. Россия все еще занимает второе место по экспорту вооружения.
В отраслевой структуре отрасли преобладают общее машиностроение, электротехника (включая электронику), транспортное машиностроение. Доля общего машиностроения, занимавшего в конце 80-х гг. первое место, снизилась. Это связано с сокращением производства сельскохозяйственных машин, текстильного оборудования и т.п.; в то же время увеличился выпуск дорожно-строительных машин или появились новые производства — например, робототехника, конторское оборудование и т.п.
Таблица 6
Международная торговля вооружением и военной техникой (млн долл.)
| Главные экспортеры и импортеры |
1988 г. |
1992 г. |
1988— 1992 гг. |
| Экспортеры США |
12204 |
8429 |
54969 |
| СССР—Россия |
14658 |
2043 |
45183 |
| Франция |
2403 |
1151 |
9349 |
| Германия |
1241 |
1928 |
8190 |
| Китай |
2161 |
1535 |
7659 |
| Великобритания |
1704 |
952 |
7623 |
| Чехия и Словакия |
927 |
772 |
3164 |
| Прочие страны-экспортеры |
4736 |
1595 |
14877 |
| Мировой экспорт |
40034 |
18405 |
151014 |
| Развивающиеся страны-импортеры |
23688 |
9320 |
85553 |
| в том числе: Индия |
3709 |
1197 |
12236 |
| Саудовская Аравия |
2441 |
883 |
8690 |
| Афганистан |
1264 |
— |
7515 |
| Турция |
1447 |
1511 |
6167 |
| Ирак |
2845 |
— |
4967 |
| Иран |
648 |
877 |
3632 |
Общее машиностроение — очень многопрофильно, по разным классификациям в него включают от 300 до 360 основных производств. Среди них станкостроение, выпуск производственного оборудования, сельскохозяйственных машин, дорожно-строительного оборудования, двигателей, насосов, полиграфического оборудования. Происходит систематический сдвиг общего машиностроения в менее развитые страны, куда передаются наиболее трудоемкие виды производства. Особенно это заметно в таких отраслях, как судостроение, сельскохозяйственное машиностроение, производство дорожно-строительных машин.
Станкостроение до сих пор, несмотря на его широкое распространение, по сути дела сосредоточено в немногих странах. Более того, вывоз продукции станкостроения характерен для еще меньшего числа стран: так, Китай, находящийся на пятом месте по выпуску станков, вывозит примерно 10% своей продукции, значительно уступая Швейцарии. Главным же поставщиком станков на мировой рынок остаются Япония и Германия и в меньшей степени США, Италия и Швейцария. Эти пять лидеров мирового станкостроения и обеспечивают основную часть поставок станков на мировой рынок.
Таблица 7
Станкостроение и экспортность отрасли ведущих стран мира в 1993 г. (в млн долл.)
| Страны |
Производство |
Экспорт |
Доля в мировой торговле, % |
| Япония |
7150 |
3600 |
20 |
| Германия |
5150 |
3330 |
18 |
| США |
3300 |
1100 |
6 |
| Италия |
2400 |
1400 |
8 |
| Китай |
1750 |
200 |
1 |
| Швейцария |
1350 |
1200 |
7 |
| Тайвань |
1000 |
690 |
3,5 |
| Великобритания |
950 |
450 |
2,5 |
| Республика Корея |
630 |
110 |
0,5 |
| Франция |
620 |
200 |
1 |
Иначе размещены предприятия сельскохозяйственного машиностроения. В развивающихся странах выпускается до 40% сельскохозяйственных машин, 30% тракторов. Тем не менее различия между сельскохозяйственным машиностроением высокоразвитых и развивающихся стран весьма существенны. В первых преобладают не просто сложные машины, но явно проявляется специализация на выпуске оборудования для комплексной механизации ферм, в то время как во вторых машиностроение специализируется на машинах для полеводства. Мало того, развивающиеся страны очень часто специализируются на выпуске продукции, которая в ведущих странах уже не производится. Так, Бразилия в 80-е гг. выпускала до 100 тыс. штук жнеек.
Для этих производств типична наиболее широкая среди всех отраслей общего машиностроения номенклатура. Все другие виды машин выпускаются в гораздо меньших количествах и, главное, довольно четко прослеживается закономерность в их размещении: чем сложнее вид машины, тем выше экономический и технологический уровень производителя, чем проще машина, тем чаще ее производство размещается в странах третьего мира. Чем сложнее производство, тем уже круг производителей.
Весьма ограничен круг производителей продукции тяжелого машиностроения. В прошлом вся номенклатура тяжелого оборудования производилась только в США, Японии, Германии и в какой-то мере Великобритании. Все остальные страны по сути производят только ограниченную номенклатуру изделий, которые имеют спрос на мировом рынке, и вынуждены больше ввозить изделий тяжелого машиностроения, чем вывозить. К первой группе постепенно начал подтягиваться Китай, но эта отрасль ни по количеству, ни по качеству продукции не удовлетворяет внутренний спрос. Хотя Китай уже появился на рынках с маломощной и несложной техникой, он все же прежде всего является импортером продукции тяжелого машиностроения.
Остальные же поставщики продукции выделяются на мировом рынке только отдельными изделиями: например, Швеция поставляет оборудование бумажной промышленности, так же, как и Финляндия; Австрия — оборудование для металлургических заводов. Известно машиностроение Швейцарии, Бельгии, Нидерландов. Только у Франции и Италии номенклатура продукции тяжелого машиностроения более широка, но тем не менее полностью они свой рынок не удовлетворяют. В целом крупнейший экспортер продукции общего машиностроения — Германия, второе место — у США и только третье место у Японии.
В развивающихся странах выделяются Бразилия и Индия.
Электротехника и электроника выделились в две отрасли, хотя электроника выросла из электротехники и поэтому во многих случаях электротехнические и электронные производства входят в состав не только одних и тех же фирм, но и промышленных предприятий. Во многих странах обе отрасли по-прежнему статистикой считаются единой отраслью, но тем не менее уже следует учитывать разные факторы их размещения. Несмотря на свое «первородство», электротехника ныне «бедная» сестра в электронно-электрическом семействе. В электротехнике есть два вида основных производств, существенно отличающихся по технологии и организации промышленного цикла. Производство бытовых электроприборов ведется большими сериями, нередко на конвейерах и исчисляется миллионными тиражами, тогда как выпуск генераторов и других промышленных электроприборов носит единичный и мелкосерийный характер, их выпускают на немногих заводах, обслуживающих мировой рынок. В США несколько крупных комбинатов обеспечивают мощными электромашинами не только страну, но и весь мир. Они расположены в Питсбурге — колыбели «Вестингауз электрик», Скенектади (близ Нью-Йорка) — родине компании «Эдисон», в Милуоки, где крупные комбинаты выпускают широкую номенклатуру электротехнических изделий. В Западной Европе подобные заводы размещаются в Манчестере, центре фирмы «Метро Виккерс», в Бадене (Швейцария) — фирма «Браун-Бовери», в Нюрнберге — фирма «Сименс», в Эйндховене (Нидерланды) — фирма «Филипс». Предприятия, дающие массовую продукцию, размещены в основном в маленьких городах, где дешевые земля и труд.
Условия размещения электронных предприятий по выпуску массовой продукции схожи с условиями стандартных электротехнических производств. А вот головные заводы электронных компаний размещаются с ориентацией на близость к центрам научных исследований. Такова, например, знаменитая Силиконовая долина в США в Калифорнии, где научно-производственные фирмы выросли вокруг знаменитого Стенфордского университета. Подобные научные парки выросли и в Европе и в Японии.
Электронная промышленность состоит из двух крупных подотраслей: военно-промышленной электроники и бытовой электроники. Первая подотрасль — по-прежнему удел таких стран, как США и Россия, в меньшей степени Японии и стран Европы. Основным центром бытовой электроники стала Япония, а затем и страны Восточной и Юго-Восточной Азии. Так, в США соотношение между объемами выпуска военно-промышленной и бытовой электроники составляет примерно 10:1, в то время как в Японии бытовая электроника давала до 80% общего производства подотрасли. Еще большую долю бытовая электроника составляет в новых индустриальных странах, где она рассредоточена по многим производителям. В результате импорт бытовой электроники из этих стран и Японии в США достигает 15—20 млрд долл., т.е. почти равен внутреннему производству. Среди НИС особенно выделяются Сингапур, Республика Корея, Тайвань, Малайзия. Западноевропейская электронная промышленность с трудом выдерживает конкуренцию НИС, и ее доля на мировом рынке неуклонно сокращается.
Транспортное машиностроение остается одной из важнейших отраслей машиностроения. В настоящее время снизилось значение таких его подразделений, как авиастроение (из-за падения спроса на военные самолеты), судостроение (из-за падения спроса на нефтеналивной тоннаж), и переживает застой производство железнодорожного состава, фактически перемещенного в развивающиеся страны. Однако в России и в странах СНГ производство железнодорожного подвижного состава имеет рынок и нуждается в дальнейшем расширении.
Ведущее место прочно занято автомобилестроением, которое постепенно расширяется, охватывая все новые страны, например, Бразилию, Аргентину, Республику Корея. Но главными производителями остаются четыре региона: Япония, США с Канадой, ЕС, а также Россия. Значительным потенциалом роста обладают автомобильная промышленность Латинской Америки. Начинает развиваться автопромышленность Китая, но она еще очень невелика по масштабам для такой страны, как Китай.
В целом европейский макрорегион произвел 16 млн автомобилей и занял первое место, а Япония вместе с Республикой Корея были на втором месте. На третьем месте — США и Канада. Вне трех макрорегионов выделяется автопромышленность Южной Америки (Бразилия и Аргентина производят вместе около 2,5 млн автомобилей), России и Китая, хотя технологически они тяготеют к макрорегионам ЕС, Японии. Вне этих стран есть отдельные производители в Турции (320 тыс.), Индии (310 тыс.), Малайзии (около 300 тыс.), а также автосборочные заводы во многих странах мира.
Таблица 8
Автомобилестроение ведущих стран мира в 1993 г. (в млн шт.)
| Страны и регионы |
Всего |
Легковых |
Грузовых и автобусов |
| Япония |
11,5 |
8,4 |
3,1 |
| США |
9,5 |
5,6 |
3,9 |
| ФРГ |
5,2 |
4,4 |
0,8 |
| Франция |
3,7 |
3,3 |
0,4 |
| Испания |
2,1 |
1,8 |
0,3 |
| Канада |
1,9 |
1,0 |
0,9 |
| Италия |
1,7 |
1,5 |
0,2 |
| Республика Корея |
1,6 |
1,2 |
0,4 |
| Великобритания |
1,5 |
1,3 |
0,2 |
| Швеция |
0,4 |
0,3 |
0,1 |
| Россия и страны Восточной Европы |
2,2 |
1,4 |
0,8 |
| Страны Латинской Америки |
2,4 |
1,8 |
0,6 |
В Европе автопромышленность тяготеет к столичным ареалам и морским портам. Так, заводы экспортной ориентации размещаются в портах или в приморских районах. Это типично для Франции для долины Нижней Сены и портов Бретани, для Великобритании, где в Большом Лондоне и вдоль Манчестерского канала сосредоточена подавляющая часть британских мощностей, для крупных портов Испании. И только в ФРГ внутренние районы дают большую часть производства и существует старая ориентация на машиностроительные центры Штутгарта («Мерседес-Бенц»), Мюнхена («БМВ»), Брауншвейга («Фольксваген») и др. Однако расстояния в ФРГ сравнительно невелики и практически вся территория страны связана с портами не только ФРГ, но и Бельгии и Нидерландов (Антверпен и Роттердам в условиях интеграции обслуживают всю территорию ФРГ). Кроме того, есть и специальные производства, работающие прямо на экспорт, как завод «Фольскваген верк» в Эмдене.
В Японии ориентация автопромышленности на порты выражена еще четче. Большая часть японских автозаводов расположена между Нагоей и Токио и через эти порты идет основной поток экспортных машин.
В США автомобильная промышленность четко ориентирована на внутренний рынок. Для страны характерно более равномерное размещение автосборочных предприятий в центрах основных экономических районов, хотя главными центрами производства по-прежнему остаются Детройт и Лос-Анджелес. Детройт — колыбель американского автостроения, город, где в пригороде Дирборна выросли заводы «Форд Мотор».
Автостроение стало ведущей подотраслью транспортного машиностроения, хотя еще десять лет назад самым капиталоемким видом транспортного машиностроения было самолетостроение, или точнее авиаракетокосмическое производство. С сокращением военных расходов снизилось значение этой отрасли. Крупнейшей авиакосмической промышленностью обладают США, второе место занимает Россия — наследница военного потенциала СССР. Со значительным отрывом далее следуют Франция и Великобритания, космическая промышленность которых также подверглась серьезным сокращениям. Вне этой большой четверки выделяется авиационная промышленность ФРГ и фирма «Фоккер» в Нидерландах. Остальные авиакосмические предприятия во всем мире чаще всего ограничиваются производством отдельных блоков, в частности, для собираемого во Франции аэробуса.
Из центров авиационной промышленности следует прежде всего выделить группу заводов фирмы «Боинг» в Сиэтле и районе Лос-Анджелеса. В Западной Европе выделяется завод в Тулузе, на котором был собран сверхзвуковой «Конкорд». На характер размещения авиационной промышленности влияет стремление найти районы с более дешевой землей для аэродромов. Тесная связь с НИОКР привела к концентрации авиапромышленности в немногих странах с высоким уровнем науки и квалификации рабочей силы.
В отличие от авиастроения судостроение все более становится уделом стран с дешевой рабочей силой и относительно меньшими требованиями к ее квалификации. Хотя Япония долгое время была ведущим производителем судов, ее обогнала Республика Корея. Видное место занимают другие страны новой индустриализации в Азии и Латинской Америке (Тайвань, Бразилия, и др.). Классические судостроительные державы — Великобритания, Нидерланды, Германия — давно уже не играют сколько-нибудь заметной роли в мировом судостроении и, как правило, перешли на ремонт судов (крупнейший центр — Роттердам). Такой же характер приобретает некогда крупнейшее судостроение США, занятое больше строительством военных судов, чем производством гражданских. Дешевизна рабочей силы оказывается важнейшим фактором выживания судостроения. Это относится и к России, хотя оставшиеся мощности явно не способны удовлетворить потребности российского флота. России придется либо закупать суда за границей, либо расширять судостроение, в том числе за счет конверсии, поскольку ранее СССР был крупным импортером торговых судов.
Сдвиги в территориальной и отраслевой структуре машиностроительного производства происходили на фоне общего расширения машиностроения: за последние 15 лет число стран, обладающих значительным потенциалом, почти удвоилось. Машиностроение — ранее привилегия только высокоразвитых стран, стало все более распространяться по всему миру, хотя у большинства стран нет «полного» профиля машиностроительных производств и вряд ли когда-нибудь будет, поскольку очень многое зависит от уровня НИОКР и квалификации рабочей силы. Тем не менее дешевизна труда становится главным фактором в размещении машиностроения, и только на втором месте НИОКР и высокая квалификация. За счет этих двух факторов страны ранней индустриализации сохраняют монополию на многие сложные производства, хотя роль квалификации рабочей силы не всегда выступает решающей силой. Именно в странах Азии сложился новый тип рабочей силы, где восприятие трудовых навыков идет не от общего культурного уровня населения, позволяющего быстро освоить новые процессы, а от чисто автоматического повторения движений инструктора. Даже не зная смысла этих движений, азиатские крестьяне, приученные очень точно работать на своих маленьких рисовых полях, привыкли автоматически повторять за инструктором нужные движения. Это резко снижает требования к общеобразовательному уровню рабочих и позволяет достигать высокой производительности там, где общий культурный уровень рабочей силы сравнительно низок. Поэтому сегодня далеко не во всех отраслях машиностроения уровень культуры рабочего определяет конкурентоспособность отрасли, но, как правило, чем выше сложность производства, тем выше требования к уровню культуры рабочего. Поэтому в самых высоких технологиях «старые страны» по-прежнему сохраняют лидирующее положение.
Общей тенденцией является сдвиг производств низкой и средней сложности из развитых стран в развивающиеся. Этому очень способствуют ТНК, которые переносят свои филиалы в развивающиеся страны, оставляя в странах базирования только НИОКР и сложные производства.
В итоге сложились следующие группы стран по уровню развития машиностроения с учетом международного разделения труда, специализации и кооперирования:
1. Страны со сравнительно полной номенклатурой производств — США, ФРГ, Япония.
2. Страны, обладающие малосущественными пропусками в структуре отрасли — Великобритания и с определенной долей условности Италия.
3. Страны, обладающие неполным набором отраслей машиностроения — Россия, Франция, Китай, с известной степенью условности Испания и Чехия.
4. Страны, ввозящие большую часть номенклатуры машиностроительной продукции, но с высокоразвитыми отдельными отраслями и с положительным внешнеторговым балансом по машинам — Швейцария, Швеция, страны НИС — экспортеры продукции машиностроения — Республика Корея, Сингапур, Тайвань.
5. Страны с высокой степенью зависимости от импорта, но обладающие отдельными высокоразвитыми подотраслями машиностроения, стоимость продукции которых составляет до 2/3 стоимости импорта — Нидерланды, Бельгия, Австрия, Дания, Венгрия, с определенной степенью условности сюда можно отнести и Малайзию. Когда-то к этой категории относились и Польша, Румыния, Болгария, но пока их хозяйство находится в процессе перестройки, и трудно сказать, какое место они в итоге займут. Близка к ним и Украина.
6. Страны с крупными масштабами производства, имеющие однако такие пробелы в структуре производства, что экспорт по стоимости машин покрывает лишь половину импорта — Канада, Бразилия, Мексика, а также Индия.
7. Страны, где при значительных общих масштабах производства внешнеторговый баланс резко отрицателен, — Австралия, ЮАР, Аргентина.
8. Страны, имеющие отдельные экспортные и узко специализированные виды машиностроения — Финляндия, Норвегия, Израиль, а также Греция и Португалия; Пуэрто-Рико стала филиалом американских машиностроительных компаний, ориентированных на экспорт в Латинскую Америку; сюда входят несколько стран третьего мира, вроде Маврикия, поставляющего на мировой рынок дешевые карманные приемники.
10. Страны, где машиностроение имеет хотя и значительные масштабы, но явно недостаточно для удовлетворения нужд своих стран — Турция, в какой-то степени Иран, Египет.
11. Страны с зачаточным машиностроением, вроде Нигерии.
12. Страны с преимущественно ремонтно-сборочными предприятиями, вроде Эфиопии, Камбоджи и многих других стран третьего мира.
На Северную Америку (США, Канада, Мексика, Пуэрто-Рико) приходится примерно 1/3 стоимости мирового машиностроительного производства. Этот регион, представляющий самую широкую номенклатуру продукции и наиболее высокую ее квалификацию, импортирует значительное количество изделий средней и низкой сложности из Азии, а также из Европы. Этот регион выступает на мировых рынках как крупнейший экспортер продукции высокой сложности, изделий тяжелого машиностроения и наукоемких отраслей. Экспорт стандартной продукции осуществляется главным образом из США в Канаду и Латинскую Америку.
Разделение труда в машиностроительном производстве США в какой-то степени повторяет международную схему. Наиболее развитым районом выступает индустриальный Восток (почти 50% стоимости продукции американского машиностроения). Второй по значению район Тихоокеанских штатов — примерно 15%. Это район быстро растущий за счет изделий высокой сложности и прежде всего электроники. Но тем не менее машиностроение Тихоокеанских штатов имеет далеко не полную номенклатуру, ибо четко специализировано на новейших отраслях производства.
Третьим по значению районом размещения машиностроения является Юг (около 20%). Он еще более специализирован и выделяется рядом важных отраслей, но в целом обладает менее разнообразной номенклатурой, чем предыдущие два. Выделяется прежде всего нефтяное машиностроение, авиационная промышленность, растет радиоэлектроника, так же, как и автосборка.
Рынок массовой машиностроительной продукции США в немалой степени определяет тенденции развития машиностроительной продукции Западной Европы, на которую приходится около 25— 30% продукции мирового машиностроения. Эта доля сильно колеблется: несмотря на то, что продукция стран ЕЭС используется в большей степени внутри самого региона, его зависимость от внешних рынков неизменно выше, чем у США. Будучи производителем продукции массового машиностроения, регион тем не менее сохранил позиции в сфере высокой технологии, особенно в станкостроении и производственном машиностроении. Иначе дела обстоят у Западной Европы в области электроники, где она проигрывает уже не только США и Японии, но и «азиатским тиграм», получая значительную часть продукции электроники из Сингапура и других «новых» производителей электронной продукции. Тем не менее в области производственного машиностроения, отчасти в автостроении, приборостроении позиции Западной Европы еще достаточно сильны. Именно в области станкостроения и производственного машиностроения наиболее сильны позиции ФРГ, а также Швейцарии, Италии, Швеции, Великобритании. Большая шестерка (Италия, Великобритания, Франция, Швейцария, Швеция, Бельгия) не намного уступает ФРГ. Все виды машиностроения в Западной Европе сосредоточены не только в первых семи странах, но и в ряде малых стран, таких как Австрия, Нидерланды; даже в Испании имеются крупные производства, как, например, автомобильные заводы. В отдельных видах выделяются Финляндия и Португалия. Поэтому Западную Европу надо рассматривать как целостный регион с широким распространением машиностроения всех видов, тем более что кооперирование в машиностроении в Европе налажено очень широко.
Третий регион — Восточная и Юго-Восточная Азия — дает около четверти продукции мирового машиностроения. Его лидер — Япония, ставшая второй машиностроительной державой мира. Машиностроение Японии только к началу 80-х гг. достигло структурной и научно-технической зрелости. При этом оно почти сразу пошло по пути «переноса» менее выгодных (в том числе и по уровню зарплаты) производств в страны Юго-Восточной Азии. Это помогает японским фирмам с помощью своих филиалов, использующих местную более дешевую рабочую силу, сохранить конкурентоспособность на мировых рынках. Сама же Япония переходит на позиции производителя продукции, требующей более высокой квалификации. Рост заработной платы в стране компенсируется сменой номенклатуры производства, переходом на более сложные и дорогостоящие изделия, а также повышением роботизации и автоматизации промышленности. Япония постепенно выходит на позиции лидера научно-технического прогресса и экспортера изделий высокой сложности. А прежняя номенклатура изделий постепенно переходит к японским предприятиям в Юго-Восточной Азии. И хотя до сих пор ее лицо все еще определяет экспорт изделий массового машиностроения, но начавшийся процесс позволяет предположить, что в недалеком будущем Япония станет экспортером наиболее квалифицированных изделий.
В странах Юго-Восточной Азии машиностроение чаще всего возникало как филиалы японских предприятий. Но сегодня эта группа не просто самостоятельна, но и создает собственное производство, хотя очень многие предприятия Юго-Восточной Азии — это филиалы ТНК. Однако уже создаются собственные предприятия, и наиболее характерна в этом плане Республика Корея, начавшая конкурировать с самими японцами, хотя в развитии корейской промышленности немалая заслуга и США: крупные инвестиции в Республике Корея, на Тайване, а также Сингапуре принадлежат ТНК США. Постепенно в НИС Юго-Восточной Азии и Дальнего Востока формируется крупный машиностроительный регион, включающий Республики Корею, Тайвань, Сингапур и Малайзию. Эти страны уже ведут самостоятельную экономическую политику. Пока еще в них сохраняется относительная дешевизна местного труда, но индустрия продолжает продвигаться в новые страны в поисках более дешевой рабочей силы. На очереди Таиланд, Индонезия, Шри-Ланка.
Вне этих группировок отдельный крупный массив образует машиностроение Китая. Его собственный спрос на машиностроительную продукцию настолько велик, что подавляющая часть его достаточно большого производства потребляется на внутреннем рынке. Наряду с этим Китай много ввозит сложной техники, но в то же время он занял на мировом рынке место поставщика изделий невысокой сложности. Ввозя, к примеру, автомобили, он занимает первое место по выпуску велосипедов и много их вывозит в страны, которые предпочитают покупать изделия более дешевые и худшего качества. И, видимо, такая специализация на мировом рынке еще продержится. В перспективе, однако, начнет расти экспорт машин из Китая, так же, как сейчас растет оттуда экспорт изделий легкой промышленности. И первые изделия этой будущей мировой специализации на дешевых машинах уже наводняют рынки ряда стран — велосипеды, часы, низкокачественные станки для ремонтных мастерских, и поток их нарастает.
Проблемы российского машиностроения пока не дают возможности четко прогнозировать его будущую структуру, приоритетные отрасли и точки роста. В условиях резкого сокращения военных заказов в тяжелое положение были поставлены и все сопряженные отрасли машиностроения, что еще более усугубило нарушение связей вначале со странами СЭВа, а затем и СНГ. В то же время максимальное использование потенциала ВПК тормозится надеждами на внешние рынки вооружения. Переориентация отечественного машиностроения совершенно необходима. Россия — единственная крупная промышленно развитая страна, которая испытывает дефицит вагонов, морских судов, нефтяного оборудования и еще десятков видов оборудования, вплоть до самых элементарных. Конечно, постепенное налаживание связей внутри СНГ даст свои плоды, но следует учитывать, что почти 30% промышленной продукции поступало из стран Восточной Европы, а со странами Балтии обмен продукции машиностроения шел в пропорции 1:2. После ликвидации монополии внешней торговли резко обострилась конкуренция импортной продукции бытового назначения на российском рынке. Так что перспективы нашего машиностроения пока не ясны. Пока же из экспортера машиностроительной продукции Россия превратилась почти в чистого импортера (кроме вооружений).
Помимо рассмотренных стран выделяется машиностроение Бразилии с ее очень емким рыночным потенциалом и большими ресурсами дешевого труда. Однако технический уровень машиностроения еще сравнительно невысок. Тем не менее Бразилия уже сегодня является крупным экспортером автомобилей (330 тыс. в 1993 г.). Кроме автомобилей, заметного развития достигло судостроение, началось авиационное производство, хотя тяжелое машиностроение все еще практически отсутствует. Тем не менее, у страны есть перспективы со временем войти в число значительных продуцентов машин, способных проникнуть на внешние рынки.
В целом же машиностроение, несмотря на очень серьезные изменения в его размещении, связанные с появлением «новых» стран, по-прежнему сосредоточено в трех главных регионах мирового хозяйства — Северной Америке, Западной Европе и Юго-Восточной Азии. По сути дела, только начинается создание китайского машиностроительного ареала, который имеет тенденцию вырасти в новый крупный машиностроительный регион. Все остальные ареалы пока еще находятся в стадии формирования, как, например, бразильский, а вот регион России и стран СНГ, который недавно еще был одним из крупнейших, находится в упадке, и о его мировой роли пока еще судить рано.
Главным фактором размещения машиностроения по-прежнему остается НИОКР и стоимость труда, помноженная на его квалификацию. Научный потенциал играет особую роль в размещении новейших производств, особенно на ранних стадиях развития. Япония продемонстрировала путь быстрого освоения чужого научного технического потенциала за счет закупок лицензий с последующим развитием собственного НИОКР. По сути дела, по тому же пути идут все новые индустриальные страны. По-прежнему высокий научно-технический потенциал сохраняет за США лидерство в мировом машиностроении, хотя и не в такой степени, как ранее. Западная Европа тоже сохраняет свой научно-технический потенциал, но потеряла роль главного генератора научно-технических идей, роль «колыбели» мировой техники. Будущее решится в пользу тех стран, которые смогут обеспечить в машиностроении качество и квалификацию трудовых ресурсов.
Вопросы
1. Охарактеризуйте первую десятку стран — главных производителей машиностроительной продукции.
2. Каковы главные факторы развития отрасли в разных группах стран?
3. Каковы специфические особенности производства оружия?
4. Какие отрасли входят в общее машиностроение и почему отрасль свертывается?
5. Каковы главные сдвиги в географии отрасли?
6. Какова территориальная концентрация мирового станкостроения и как распределяется экспорт его продукции?
7. В чем сходство и различие в размещении электротехники и электроники?
8. Опишите задачи и функции «научных парков».
9. Каковы структурные и территориальные сдвиги в транспортном машиностроении?
10. Каковы основные современные штандортные факторы автостроения?
11. Охарактеризуйте основные сдвиги в мировом судостроении.
12. Проведите группировку и классификацию стран и регионов по уровню развития машиностроения.
Химическая промышленность, как и машиностроение, состоит из ряда подотраслей, среди которых ведущее место занимает промышленность органического синтеза, базирующаяся на нефтегазовом сырье, или нефтехимия. Традиционная неорганическая химия отошла на второе место и в разных странах занимает от 10% до 25% от общей стоимости химической продукции. Все большее значение, особенно в промышленно развитых странах, приобретает фармацевтика. Производство удобрений, когда-то ведущая отрасль, ныне играет большую роль в развивающихся странах; и сегодня развитие химии в стране начинается, как правило, с производства удобрений. И если в химии «новых» стран преобладает, как правило, производство удобрений и органических продуктов, включая пластмассы и волокна, то химия развитых стран выделяется прежде всего фармацевтикой и производством ядохимикатов, которые тоже невозможны без высокого уровня развития науки.
Промышленно развитые страны все больше специализируются на выпуске новейших наукоемких видов химической продукции. Особенно выделяются в этом отношении США, для которых характерна наиболее широкая номенклатура произведенных продуктов среди всех стран мира. Они стали крупнейшими экспортерами химических продуктов именно в развитые страны, предъявляющие высокий спрос на новые технически сложные продукты. В начале 90-х гг. на США приходилось около 20% мировой химической продукции и 15% мирового экспорта. На страны Западной Европы 23—24% производства, но они являются крупнейшими экспортерами, доля ФРГ, например, почти не уступала США. Немногим менее 15% мирового производства и экспорта приходилось на Японию.
Четвертым крупнейшим по химическому производству регионом мира стала зона Персидского залива, где в Саудовской Аравии, ОАЭ, Кувейте, Иране и других нефтедобывающих странах сложился новый химический регион, специализирующийся на экспорте полупродуктов органического синтеза и удобрений. В качестве сырья широко используются огромные ресурсы попутного газа, что резко удешевляет производство. Ныне страны Персидского залива дают около 5—7% мировой химической продукции.
Вне этих четырех регионов много химических предприятий находится в России и других странах СНГ. Ранее СССР давал до 10% мировой химической продукции, но сейчас доля России оценивается в 3—4%.
Новую структуру размещения во многом определил энергетический кризис, в том числе резкий рост цен на нефть. После 1973 г. началось размещение нефтехимических производств, особенно удобрений, в развивающихся странах при резком снижении производства рядовых химикатов в Европе, особенно наиболее энергоемких азотных удобрений. Японские фирмы также строили нефтехимические заводы в странах с дешевым нефте- и газовым сырьем. Так, самый дешевый в мире метанол производится и поставляется в Японию с Огненной Земли. В самой же Японии производство метанола было прекращено, и страна перешла на импорт его по ценам примерно вдвое меньшим себестоимости собственного производства.
В результате изменений, вызванных в основном энергетическим кризисом, сформировались три основные модели размещения. В Северной Америке основную роль играет наличие сырья, энергии и воды. Стоимость труда оказалась вторым по значению фактором; за ним идет ориентация на рынки сбыта и связь с НИОКР. В Японии на первое место также вышел сырьевой фактор, а в Западной Европе, наряду с общей ориентацией на сырье и энергию, более существенным фактором оказалась близость к водным ресурсам, дефицит которых очень велик.
В итоге основная часть базовых нефтехимических производств США концентрируется на Юге, где в районе Хьюстона сосредоточена половина мощностей нефтехимии, а комбинат фирмы «Доу-Кемикал» стал крупнейшим химическим предприятием мира. Предприятия тонких химических технологий сосредоточены на Северо-Востоке, в том числе в Нью-Йорке — крупнейшем центре фармацевтики и тонкой химии. Весьма значительный местный спрос Запада обеспечивает группа предприятий в агломерациях Лос-Анджелеса и Сан-Франциско. Наряду с этими крупнейшими районами концентрации химии в США очень развита дисперсная сеть азотных заводов, обеспечивающих удобрениями сельское хозяйство всех штатов.
Химическая промышленность Канады в значительной степени работает на экспорт в США, особенно это относится к калийным удобрениям.
Интеграция существенно изменила размещение химической промышленности в Западной Европе. На фоне общего сдвига отрасли к морю, к нефтехимическому сырью, созданы крупные центры нефтехимических производств в низовьях Рейна — Шельды: так называемый «Техас—Европа» (Роттердам—Антверпен), который является по своим масштабам одним из крупнейших нефтехимических комбинатов мира. Он снабжает своими полуфабрикатами не только заводы Рура, но и других соседних районов и даже Италии.
Меньшими масштабами характеризуется район Южной Италии (Сицилия—Сардиния—Юг Апеннин), который снабжает полупродуктами север страны, альпийские страны и даже юг ФРГ.
В Западной Европе по-прежнему сохраняют свое значение традиционные ареалы в тех странах, где наличие развитой производственной инфраструктуры приводит к возникновению новых производств в старых центрах. Так, в ФРГ химкомбинат в Людвигсхафене по-прежнему остается не только крупнейшим в Западной Европе, но и вторым в мире. Инерция размещения играет большую роль и в Великобритании, например, в узле Уилтон—Биллингем.
Однако дефицит площадей в старых районах все же способствовал развитию химической индустрии в новых местах. Так, в ФРГ растет новый северный узел химической промышленности, где кроме действующего комбината американской фирмы «Доу-Кемикал» в Гамбурге, вырос крупнейший завод фирмы «Басф» в Хайде у входа в Кильский канал. В Великобритании развивается химическое производство в Ардире (юг Шотландии) и в Северной Ирландии, создан новый центр в Инвергордоне (Шотландия). Только во Франции существенно изменился рисунок размещения отрасли за счет бурного роста нефтехимии в портовых центрах, ориентирующейся на привозную нефть, в районе Гавра и Марселя.
Развитие химической промышленности Японии шло главным образом за счет освоения свободных участков на Тихоокеанском побережье страны, прежде всего в зоне, протянувшейся от Токийского залива через Нагойю и Осаку вплоть до Симоносеки. Кроме того, продолжал развиваться район традиционных отраслей химии — Китакюсю — и форсированно рос нефтехимический центр острова Сикоку. Вместе с тем замедлилось развитие старого района, связанного первоначально с карбидной сырьевой базой на побережье Японского моря от Ниигаты до Цуруги. Усиление концентрации на побережье Тихого океана сопровождалось обострением экологических проблем и в итоге способствовало выносу многих предприятий за пределы Японии.
Гигантский комплекс нефтехимических предприятий сложился вокруг Персидского залива. По объему производства предприятия Саудовской Аравии, ОАЭ, Кувейта, Ирана, Бахрейна вышли на второе место в мире после Техаса. Этот комплекс ориентирован практически целиком на экспорт, производит только массовые химические препараты, по которым вытесняет продукцию стран Западной Европы и Японии.
Вне этих регионов постоянно растет химическая промышленность Восточной и Юго-Восточной Азии, где лидирует Республика Корея.
В целом по химической продукции тонких технологий сохраняют свои позиции США и Европа. По этим видам продолжается отставание развивающихся стран, что приводит к разрыву между физическими объемами производства и экспорта и их стоимостью.
Совершенно иные тенденции прослеживаются в Китае и странах СНГ. Китай усиленно наращивает производство многих видов химикатов, постепенно повышая их качество; главное же внимание продолжает уделяться проблеме роста производства удобрений, так как повышение продуктивности сельского хозяйства остается в Китае проблемой номер один. Систематически растут и другие отрасли — от пластмасс до фармацевтики, хотя многих химических продуктов в Китае все еще не хватает; особенно много ввозится пластмасс и синтетических волокон, в меньшей степени удобрений. В то же время Китай начинает вывозить ряд товаров, например, лекарств, что уже отражает его потенциал в будущем.
К сожалению, иные тенденции в России. Нарушение технологических связей с другими странами СНГ и прекращение многих видов традиционного импорта из стран Восточной Европы породили дефицит многих видов химической продукции — от лекарств до соды, в то же время нехватка средств у сельскохозяйственных предприятий привела к тому, что значительная часть мощностей по удобрениям не используется или работает большей частью на экспорт. Наиболее острой проблемой остается слабое развитие фармацевтической промышленности; массовое производство многих видов лекарств велось в Венгрии, Польше и Восточной Германии.
Главными факторами размещения химической промышленности по-прежнему остаются ориентация на энергию и сырье; стоимость рабочей силы в современных высокоавтоматизированных производствах играет заметно меньшую роль. По мере роста размеров химических производств все более увеличивается потребность в воде, и водоемкость в ряде случаев становится главным фактором при выборе места размещения химического предприятия. Только в отдельных высокотехнологичных производствах — производстве лекарств, фотохимикатов, красителей, реактивов — на ведущие роли выходят стоимость рабочей силы и развитие НИОКР, что и предопределяет сохранение таких производств в высокоразвитых странах. Поэтому сдвиги в размещении химической промышленности, связанные с переходом на нефтехимическое сырье, почти не затронули эти производства и можно предположить, что и в дальнейшем необходимость высоких затрат на НИОКР сохранит в основных чертах подобное международное разделение труда. Это не исключает перенос уже освоенных массовых видов подобной продукции, например, лекарств в развивающиеся страны, например, в Индию, и страны Латинской Америки.
Вопросы
1. В чем принципиальные различия в составе отрасли в промышленно развитых и развивающихся странах?
2. Какое влияние оказал кризис 1973 г. на развитие отрасли?
3. Охарактеризуйте три модели размещения предприятий отрасли.
4. Как повлиял процесс интеграции в Западной Европе на географию отрасли?
5. Каковы главные штандортные факторы отрасли?
Легкая промышленность стала флагманом индустриализации многих стран третьего мира и сегодня развита почти повсеместно. В легкой промышленности очень большую роль по-прежнему играет дешевизна труда и наличие больших резервов малоквалифицированной рабочей силы, хотя в ряде отраслей все больше применяются высокие технологии. Однако именно дешевизна рабочей силы из-за частой сменяемости номенклатуры изделий в легкой промышленности играет решающую роль. И в этих условиях отрасль резко сменила ориентацию со стран с высоким уровнем технологии на страны с низкими издержками труда, произошел сдвиг размещения из развитых стран в развивающиеся страны.
В этих условиях фактически сменили ориентацию не только текстильное производство, сосредоточенное в основном в Китае, странах новой индустриализации и других развивающихся странах, но и обувное производство, покинувшее свою колыбель США и переместившееся в Республику Корея, Китай, Индию, Бразилию и во Вьетнам, ставший новым «китом» обувного производства.
В промышленно развитых странах пока еще сохраняются «дорогие» производства — трикотажа (но не ткани), ковров, меховых изделий; ведущую роль сохраняют «дома высокой моды», но отнюдь не выпуск швейных изделий, который налажен в Китае, и других странах по западным образцам.
В эти же страны перешло производство таких изделий, как игрушки, спорттовары, ювелирные изделия. Начинают уступать странам третьего мира свои позиции традиционные производители меховых изделий, не так давно сосредоточенные фактически в двух странах — США и Германии. Идет непрерывный сдвиг производства бытовых товаров в менее развитые страны с сохранением в высокоразвитых странах только производства образцов, эталонов, проектной документации.
Легкая промышленность насчитывает множество подотраслей, поэтому приходится останавливаться только на ведущих — производстве текстиля и обуви, хотя такие «малозначительные» подотрасли как ювелирная или игрушечная, или даже производство искусственных цветов могут оказаться профилирующими в десятках городов, занимая работой сотни людей.
Однако главными видами легкой промышленности по-прежнему остаются текстильная (включая трикотажную), швейная и обувная.
Текстильная промышленность. Она представлена тремя типами производств: смесовых тканей из различных видов искусственного волокна, чисто хлопчатобумажных, трикотажа в основном из синтетических тканей. Такие известные в прошлом виды тканей, как шерстяные или тем более льняные (не говоря уже о чисто шелковых) тканей, играют весьма незначительную роль, давая примерно только около 10% мирового производства тканей. Главное же — ткани из синтетических волокон (с примесью натуральных), которых выпускается 35—40 млрд м, и чисто хлопчатобумажные, производство которых составляет 30—35 млрд м. Шерстяные ткани ныне составляют всего лишь около 3 млрд м, еще меньше лен и чистый шелк. А вот трикотажные ткани и изделия из них производятся в количествах, близких к 30 млрд м. Помимо этого, в мире существует производство ручных тканей, как например, весьма известная на мировом рынке индийская ткань — сари, выпускаемая ежегодно в количестве 5—6 млрд м и частично экспортируемая.
Основным производителем смесовых тканей являются все еще США (10 млрд м), хотя значение их текстильной промышленности постепенно падает, она уступает свои позиции Китаю и Индии. На втором месте Индия — около 4 млрд м, близка к ней Япония. За ними следуют Китай, Республика Корея и Тайвань. Остальные страны дают меньше 2 млрд м тканей в год.
Главными производителями хлопчатобумажных тканей на сегодня являются Китай и Индия (7—9 млрд м), США занимают только третье место в мире со среднегодовым производством около 5 млрд м. Далее идут Япония и ряд стран со средним производством от 1,5 до 2 млрд м в год — это не только Италия, но и такие страны, как Тайвань или Египет. Некогда крупнейший производитель тканей Великобритания теперь выпускает менее 300 млн м, уступая даже Португалии, и покрывает свои потребности в основном импортными тканями, поступающими из стран третьего мира. Основными же экспортерами хлопчатобумажных тканей, кроме Индии и Китая, стали Пакистан, Гонконг, Тайвань и Египет. На страны третьего мира сегодня приходится более половины мирового экспорта хлопчатобумажных тканей.
И только в производстве трикотажа позиции развитых стран все еще значительны (особенно Италии), но постепенно их роль снижается за счет организации в развивающихся странах производства трикотажа, которые сегодня дают почти половину мировой продукции этого вида тканей и изделий из них.
Положение текстильной промышленности России, бывшей одним из крупнейших мировых производителей всех видов натуральных тканей, в настоящее время очень тяжелое. Сложная экономическая ситуация в стране привела к резкому падению производства тканей.
Шерстяные ткани производятся преимущественно в Западной Европе, а также в США, Японии и в меньшей степени в Китае. Общий выпуск составляет от 1,5 млрд до 2 млрд м.
Еще меньше производится льняных тканей. Кроме России, их в значительных количествах выпускают во Франции, Бельгии и Нидерландах, а также в Великобритании. Продукция натурального шелка, одно время сошедшая почти на нет, в последние 20 лет начала возрождаться, выпуская очень дорогие «художественные» ткани, главным образом в КНР, Японии, Индии и Италии.
Кроме фабричных, в мире сохраняется производство кустарных тканей для местных нужд. Однако некоторые их виды как «кустарно-художественные» изделия поступают и на мировой рынок. Наиболее известна из них ткань типа сари, которую производят в Индии.
Швейная промышленность. В настоящее время эта отрасль перемещается в развивающиеся страны к дешевому труду. Количество стран, где начало индустриализации связано со швейной промышленностью, и которые в настоящее время заняты этим производством, насчитывает почти два десятка: начиная с острова Мальта и кончая странами Балтии, как новыми районами распространения швейной промышленности, не говоря о таких крупных странах-производителях, как Китай, В ведущих странах происходит процесс резкого сокращения швейной промышленности, которая все больше специализируется на производстве модных уникальных изделий, сокращая массовый пошив. Развивается международный обмен швейными изделиями, причем развитые страны все больше специализируются на элитарных изделиях, а развивающиеся страны на массовом пошиве. Несмотря на подобные сдвиги в швейной промышленности, среди крупнейших центров отрасли по-прежнему выделяются Нью-Йорк, как самый крупный в мире центр швейной промышленности вообще, Париж и Рим как «модные центры», дающие не только большую часть индивидуальных изделий, но и определяющие пути развития моды во всем мире. Дисперсное, часто надомное, производство наиболее развито в Гонконге, ставшем частью КНР.
Обувная промышленность. Тенденция сдвига в развивающиеся страны особенно характерна для обувной промышленности, за последнее десятилетие резко изменившей свое размещение и буквально «переселившейся» из развитых стран в развивающиеся, т.е. опять-таки в страны с дешевым трудом. Этот процесс продолжается и сегодня, и специалисты предсказывают появление новых стран — производителей обуви, вроде Вьетнама. Еще 10 лет назад главную роль в обувной промышленности играли США и Италия, а сегодня на страны Азии и Среднего Востока приходится 60% мирового производства обуви, на Западную Европу — 11%, Южную Америку — 7%, а США — только 6%. Крупнейшими странами-продуцентами на сегодняшний день являются Китай, страны СНГ, Республика Корея, Италия, Тайвань, Япония, Индонезия, Вьетнам, Таиланд и США.
Итак, сегодня очень сильно изменилось размещение обувной промышленности, которая ориентируется прежде всего на дешевизну труда. Законодателями моды по-прежнему выступают итальянские фирмы, а иногда и производители таких стран, как Австрия, где остались только головные предприятия — поставщики моделей для производства, разбросанных по всему миру.
В целом для легкой промышленности характерно размещение массовых производств в менее развитых странах и производство моделей в промышленно развитых.
Вопросы
1. Расскажите об основных штандортных факторах отрасли. В чем различия между промышленно развитыми и развивающимися странами?
2. Каковы особенности размещения и состав текстильной промышленности?
3. Каковы основные тенденции размещения швейной промышленности?
4. Каковы причины сдвигов в географии обувной промышленности?
Пищевая промышленность и рыбный промысел
Пищевая промышленность. Размещение пищевой промышленности мира характеризуется рядом взаимоисключающих тенденций. С одной стороны, по-прежнему растет традиционная пищевая промышленность в менее развитых странах, с другой стороны, начинают свертываться многие традиционные отрасли в развитых странах, отчасти потому, что в них усиливается движение за здоровый образ жизни, а это ведет к сокращению таких традиционных производств, как виноделие, производство табачных изделий, сахара. Наоборот, в менее развитых странах по-прежнему растет и табачное производство, и производство пива, как впрочем и в России, которая по характеру своего потребления оказывается близка к развивающимся странам.
В высокоразвитых странах сокращение традиционных производств, особенно в отраслях, «вредящих» здоровью, сопровождается наращиванием производства в отраслях, освобождающих женщин от «кухонного труда», происходит как бы «индустриализация кухни». Пищевая промышленность менее развитых стран в определенной степени повторяет развитие мировой пищевой промышленности на раннем этапе ее роста. Поэтому табачная промышленность переходит из высокоразвитых стран в менее развитые; этот же процесс идет и в сахарной промышленности; растет даже виноделие в отдельных менее развитых станах при общей мировой стагнации этого производства. Пивоварение, почти не развиваясь в высокоразвитых странах, наращивает свои мощности в менее развитых, например, в странах третьего мира и Китае.
По техническому уровню среди отраслей пищевой промышленности выделяется сахарная, хотя и в ней, особенно в Индии, есть кустарные предприятия. Но все-таки большая часть выпуска сахара приходится на фабричный сахар, в отличие от любых других видов пищевой индустрии, поскольку и мясопереработка, и особенно хлебопечение на 50—60% объема являются предметом «домашнего производства» за счет менее развитых стран. Значительная часть сахара поступает на мировой рынок, причем крупные экспортеры — Бразилия, Куба, Австралия, ЮАР и Таиланд, а также европейские страны — Франция, Нидерланды, и даже ФРГ. Крупными импортерами выступают Россия, США, Япония, некоторые европейские страны, Иран. 2/3 мирового производства приходится на тростниковый сахар и лишь 1/3 — на свекловичный.
Сахар традиционно является экспортным товаром, так же, как и табак, поставляемый в основном в страны-производители табачных изделий. Однако последние годы производство сахара в связи с общими тенденциями, характерными для всей пищевой промышленности, — перемещение из высокоразвитых стран в слаборазвитые, — сосредоточилось в значительной степени в развивающихся странах, а в высокоразвитых странах прежде всего в США.
Рынок табака состоит из двух групп стран — высокоразвитых, рынок которых не только насыщен табачными изделиями, но и сокращается в результате борьбы с курением, и рынок менее развитых стран (в числе которых и Россия), где потребление табачных изделий и их производство растет. «Излишки» мощностей табачной промышленности высокоразвитых стран частично давно уже работают на рынок этих стран, включая и Россию.
Значительная часть табачных предприятий концентрируется либо в крупных центрах, либо в портах ввоза табака, что характерно для стран Западной Европы и тех стран, которые работают на импортном сырье. В США, где табак выращивается, многие предприятия размещаются в центрах реализации табачных изделий, где рынок табака соседствует с районами с относительно дешевой рабочей силой. Рабочая сила является весьма важным притягательным моментом для размещения табачных предприятий.
В целом крупнейшим производителем табачных изделий являются США, затем идут Китай и Индия, а из европейских стран особенно крупной табачной промышленностью обладает ФРГ, где главным центром является Берлин, поскольку в послевоенные годы именно Западный Берлин обладал большими ресурсами незанятой рабочей силы и основное строительство предприятий развернулось именно в Западном Берлине. Сегодня, кроме России, во всех развитых странах сокращается производство табачных изделий, но зато наращиваются мощности в таких странах, как Турция. В еще большей степени растет китайская табачная индустрия, как и во многих других развивающихся странах, где уровень потребления еще не достиг своего максимума.
Примерно то же явление происходит с производством вин или выпуском виноводочной продукции, так же, как и пива. Если в высокоразвитых странах производство вина сокращается и прекратился рост производства пива так же, как и производства других алкогольных напитков, то в странах НИС усиленно растет продукция не только пивоварения или спиртных напитков, но и расширяется производство вина, хотя и в небольшой степени, не покрывающее общее сокращение производства вина в высокоразвитых странах.
В последние десятилетия виноделие в странах Западной Европы сократилось более чем на 10 млн. гл (что равно общему производству вин в бывшем СССР). Тем не менее Италия занимает по-прежнему первое место в мире по производству виноградных вин — 61 млн гл (1994 г.), второе место — Франция (57 млн гл). На эти две страны приходится 40% мирового виноделия, остальные страны мира производят 180 млн гл. Среди них в Европе крупными производителями стали Испания (15—18 млн гл), Португалия (10— 12 млн гл) и ФРГ (10 млн гл). В западном полушарии выделяются США (20 млн гл) и Аргентина (8—10 млн гл).
В пивоварении крупными производителями являются США, ФРГ, Великобритания и многие другие западноевропейские страны, но в них производство растет только за счет экспортного спроса. И только в Японии и в странах НИС и Китае усиленно растет производство пива; туда же вывозится и большая часть европейских излишков пива. Россия является одним из крупных производителей пива, но поскольку его потребление быстро растет (по типу спроса в менее развитых странах), большое количество пива ввозится, как и вин и виноводочных изделий.
В общем, тенденция развития пищевой промышленности в менее развитых странах повторяет тенденции развития, характерные для высокоразвитых стран. Однако в высокоразвитых странах растет производство в пищевой промышленности разного рода полуфабрикатов. Именно эти отрасли сегодня являются лидерами в развитии пищевой промышленности высокоразвитых стран, в то время как «классическая» пищевая промышленность, включая хлебопечение, постепенно свертывается. В то же время в развивающихся странах растет консервная промышленность, ориентированная на рынок высокоразвитых стран, куда поставляются многочисленные соки, фруктовые консервы, в меньшей степени мясные и рыбные изделия.
Рыболовство и добыча других биоресурсов моря. Эти виды хозяйственной деятельности относятся к числу древнейших занятий человечества. Как правило, они сочетались с теми занятиями, что были полностью привязаны к суше, но в ряде приморских районов явно доминировали. Благодаря техническому прогрессу на флоте создались предпосылки для постепенного превращения рыбного промысла в высокоспециализированную отрасль мирового хозяйства. Сказались прежде всего замена паруса механическими двигателями и появление холодильных установок, что позволило судам развернуть операции в открытом море с целью продления путины. Этому способствовало также неуклонное совершенствование как чисто промыслового оборудования, так и навигационного, включая разнообразные средства слежения за косяками рыбы. Мощный стимул для развития получила ихтиологическая наука, перед которой встала задача выявить новые районы и объекты лова.
Тенденция к пространственной дисперсии на океанических просторах сочетается с растущей географической концентрацией отрасли на берегу. Современные траулеры, выполняя свою главную функцию, превратились вместе с тем в своеобразные плавучие промышленные предприятия, на которых ведется первичная обработка (разделка, мойка, заморозка и т.д.) добытой продукции. Они уже не могут довольствоваться, как баркасы в прошлом, любой удобной бухтой для стоянки, а ориентируются на ограниченное число хорошо оснащенных, располагающих специальными причалами и складами портов. Последние должны иметь надежное транспортное сообщение с заводами по последующей обработке улова и с крупными районами потребления.
В развитых странах, где живучи традиционные варианты ведения промысла, соответственно сохраняется и распыленное размещение перерабатывающих производств. В ходу по-прежнему кустарные приемы копчения, вяления и сушки рыбы, не требующие больших затрат. Именно сушеная рыба служит для населения многих тропических областей самым дешевым источником белков животного происхождения. Однако отрасль не реализует в достаточной степени возможности для получения ценных видов продукции.
Сколь ни важна роль промышленных предприятий на берегу, их ключевая проблема, выражающаяся в необходимости обеспечить устойчивость сырьевой базы, решается в море. «Золотой век» рыболовства пришелся на 1948—1968 гг., когда мировой улов ежегодно увеличивался в среднем на 2,5 млн т, а по темпам роста достигал 6%. Сказалось то обстоятельство, что в зоне наиболее интенсивного промысла — в северной части Атлантики — резко сократились операции в период второй мировой войны, в результате чего биоресурсы здесь успели восстановиться. В последующем же технические улучшения на траулерном флоте и ввод в строй новых судов позволили в основном только компенсировать те потери, которые были вызваны чрезмерной эксплуатацией в 1948—1968 гг. многих традиционных объектов промысла: трески, сельди, анчоусов, камбалы, морского окуня, мерлузы, лосося.
Избыточная нагрузка на биоресурсы ощущается уже и в тех прибрежных акваториях, где в рыбном хозяйстве придерживаются прежних способов лова с применением архаичных орудий. Частично причиной истощения рыбных запасов в таких случаях является демографический фактор: в развивающихся странах население рыбацких деревень практически имеет мало шансов найти себе иные источники существования помимо традиционного.
В итоге среднегодовой прирост уловов снизился в 70-х и 80-х гг. и в абсолютном выражении — до 0,5 млн т в год, и в относительном — до 2,5%. Ныне продукция отрасли вплотную приблизилась к рубежу 100 млн т (в том числе примерно 1/10 добывают в пресных водах). Из них рыба, в первую очередь сельдевые и тресковые, составляет около 90%, причем в перспективе можно ожидать сокращения этой доли. Остальное приходится на беспозвоночных — моллюсков и ракообразных — и в меньшей мере на водоросли. До половины вылова приходится на бассейн Тихого океана, на берегах которого расположены страны, лидирующие в развитии отрасли. Это прежде всего Китай и Япония с их годовой добычей более чем по 10 млн т. На следующих позициях с показателем свыше 5 млн т стоят Перу и Россия, унаследовавшая от СССР мощный траулерный флот, активно ведший операции во многих морских акваториях. Наиболее интенсивно биоресурсы эксплуатируются в Северной Атлантике, образуя основу экономики некоторых европейских стран, прежде Норвегии, а теперь особенно Исландии.
Естественная продуктивность морей, и в частности, шельфовой зоны, крайне изменчива, причем отнюдь не только из-за зональной поясности. Так, в юго-западной части Индийского океана она оценивается в 37 кг биомассы на 1 км2 поверхности, в шельфовой зоне 412 кг/км2 по сравнению со 189 и 4000 кг/км2 в Тихом океане. Поэтому и годовой потенциальный улов с аналогичных по площади акваторий варьирует в несколько раз. Развивающиеся страны ввиду маломощности своего тралового флота особенно зависимы от биоресурсного потенциала шельфовой зоны, в пределах которой в Шри Ланке добывают 95% всей морской рыбы. Поэтому в низких широтах нарушение экологического равновесия из-за сведения мангровых лесов, разрушения коралловых образований и загрязнения вод грозит в конечном счете подрывом основ белкового питания населения. Особенно это касается малоимущих слоев, в рационе которых рыба служит главным источником протеинов животного происхождения.
Положение развивающихся стран улучшает принятая ООН в 1982 г. Конвенция по морскому праву. Она дала определение и юридический статус такому понятию, как 200-мильная «исключительная экономическая зона». Тем самым создались условия для действенного контроля за ресурсами наиболее продуктивных акваторий со стороны прибрежных государств и возросла заинтересованность последних в регулировании воспроизводства этих ресурсов. Как правило, развивающиеся страны не располагают техническими средствами для полного использования открывшихся перед ними возможностей добычи море-продуктов лишь собственными силами. Однако перспективно налаживание активного международного сотрудничества в данной области, что помогает этим странам получать в той или иной форме компенсацию в обмен на выдачу зарубежным судам разрешения вести промысел в исключительных экономических зонах.
Как известно, в процессе развития морского хозяйства некоторые виды, преимущественно крупных морских животных были или истреблены, например, стеллерова корова, обитавшая у Командорских островов, или оказались под угрозой полного уничтожения, как киты, так что потребовалось усилие международного сообщества по их защите. Однако злободневной уже стала опасность катастрофического истощения запасов морепродуктов в целом. Так, внезапно появившаяся на прилавках магазинов и так же быстро исчезнувшая простипома, нототения, бильдюга свидетельствуют, в сколь короткие сроки подрывается природно-ресурсная база Мирового океана.
Магистральный путь выхода из кризисной ситуации заключается, видимо, в прогрессе аквакультуры и рыборазведении и их широком распространении в разных формах, отвечающих местным природным особенностям и традициям. Пока они примерно на 80% сосредоточены в Азиатско-Тихоокеанском регионе, прежде всего в тех областях Старого Света, где густое население сконцентрировано на приморских низменностях и обладает давним опытом сочетания рисоводства с прудовым рыборазведением. Падение экономической эффективности рыболовства усиливает жизнеспособность этой многообещающей отрасли хозяйства. Аквакультура завоевала уже лидирующие позиции в удовлетворении мирового спроса на водоросли и моллюсков и активно работает на экспорт. Ее доля в морской продукции приближается к 10%, но в таких крупных странах, как Китай и Индия, превышает 40%.
В настоящее время аквакультура развивается опережающими темпами в сравнении с промысловой добычей морепродуктов, хотя еще имеются резервы для ее увеличения за счет добычи относительно новых видов, главным образом кальмаров и криля, и разведения ценных пород рыб (осетровые, форель) и съедобных моллюсков (креветок, устриц).
Развитие аквакультуры зависит от создания ее прочной научно-технической основы. Эта задача не только особенно актуальна, но и сложна применительно к наиболее обещающим акваториям — прибрежным морским водам, где четко выражена локальная специфика, порожденная взаимодействием разных природных сред. К числу конкретных проблем относят повышение отдачи от поставляемых кормов и увеличение съема продукции с единицы площади на аквафермах, а также интенсификацию производства благодаря совместному выращиванию нескольких видов морской биоты.
Вопросы
1. Назовите главные причины географических сдвигов отрасли.
2. Каковы особенности производства и внешней торговли сахаром?
3. Охарактеризуйте главные сдвиги в размещении виноделия и пивоварения.
4. Охарактеризуйте береговую и океаническую компоненту современного рыбного промысла.
5. Каковы главные экономико-географические проблемы морского рыболовства?
6. Каковы тенденции развития аквакультуры и рыборазведения?
Часть 4. ТРАНСПОРТ И СФЕРА УСЛУГ
Транспорт как главная инфраструктурная отрасль мирового хозяйства
Производственная инфраструктура. Инфраструктура — относительно новое понятие в экономической литературе. Ее выделение было обусловлено быстрым ростом и усложнением сфер материального производства и социального развития стран. Производственная инфраструктура — это такая подсистема хозяйства, которая создает и реализует общие условия для функционирования производства и жизни населения, в равной степени необходимые для деятельности всех сфер общественного производства.
В состав производственной инфраструктуры обычно включаются следующие основные подсистемы:
транспорт всех видов, функционирующий в сфере обращения, и внешний промышленный транспорт, включая ЛЭП и другие устройства, связанные с передачей и распределением электроэнергии;
информационно-коммуникационная система, связь;
система обеспечения производства материальными ресурсами; складское хозяйство, материально-техническое снабжение, заготовки, водоснабжение;
инженерная инфраструктура, включая все виды инженерного обеспечения и городской транспорт;
природоохранная инфраструктура;
рекреационная инфраструктура.
Географические аспекты исследования производственной инфраструктуры особенно важны в силу ярко выраженной территориальности ее развития и функционирования. Территориальный аспект развития производственной инфраструктуры заключается в специфическом характере размещения и пространственной организации ее материально-технической базы. Он обусловлен как ролью, местом и функциями отраслей инфраструктуры в территориальной структуре хозяйства, так и их технико-экономическими особенностями.
Выделение производственной инфраструктуры в группу относительно обособленных отраслей связано с резкой интенсификацией территориального разделения труда, что подняло на совершенно новую ступень проблему объединения пространственно разобщенных элементов воспроизводственного процесса.
Как одна из четырех подсистем территориальной структуры хозяйства,* производственная инфраструктура выполняет уникальную функцию в ее формировании. Она обеспечивает обмен, служит материальной базой осуществления пространственных экономических связей, связующим звеном между прочими компонентами территориальной структуры, «сосудистой» системой хозяйственного организма, обеспечивает сохранение созданного производственного потенциала и продукции, что в конечном счете равнозначно ее увеличению. Развитая производственная инфраструктура обусловливает вовлечение в сферу материального производства производительных сил новых районов, повышение территориальной и социальной мобильности населения. Поэтому она выступает как фактор, организующий экономическое пространство, обеспечивающий дальнейшую реализацию географического разделения труда. Без определенного уровня развития инфраструктуры невозможно или затруднено освоение и заселение необжитых территорий. Но уже экономически развитая инфраструктура создает эффект обратной связи, привлекая на данную территорию новые предприятия, расширяя пределы эксплуатации природных ресурсов, развития обрабатывающей промышленности, придавая важный импульс притоку населения.
* Наряду с подсистемами материального производства, населения и природных ресурсов в настоящее время можно уже говорить об обособляющейся подсистеме непроизводственной сферы хозяйства.
В бывшем СССР роль инфраструктуры в формировании территориальной структуры хозяйства недооценивалась, ей отводилась пассивная роль, а уровень ее развития ставился в полную зависимость от масштабов производственного потенциала. Это привело к известным территориальным диспропорциям и значительным народно-хозяйственным потерям. Важнейшим условием комплексного развития района (особенно нового освоения) является опережающее развитие производственной инфраструктуры.
Несмотря на пристальное внимание, уделяемое производственной инфраструктуре со стороны науки и практики, еще есть определенные разночтения в вопросе о содержании понятия «производственная инфрастуктура». Так, в ряде экономических работ до сих пор под производственной инфрастуктурой понимается «совокупность инженерных, агромелиоративных и других сооружений, обеспечивающих нормальное функционирование всего комплекса производства в пределах определенной территории». В другой работе инфраструктура определяется «как сочетание действующих сооружений, зданий, сетей и систем...». При этом понятие «производственная инфраструктура» неоправданно сужается и сводится, по существу, к базовому, фондовому компоненту этой группы отраслей — очень важному, но все же не единственному. В инфраструктурной системе, особенно транспортной, можно выделить стационарную составляющую (коммуникации, постоянные устройства и др.) и динамичную составляющую (подвижной состав и другая аппаратура, эксплуатационные и управленческие методы реализации связей, освоения потоков). Именно динамичная составляющая производственной инфраструктуры реализует потребности народного хозяйства и общества в целом в разного рода связях.
Свойства и признаки производственной (транспортной) инфраструктуры. Совокупность подсистем производственной инфраструктуры характеризуется наличием ряда общих специфических свойств и признаков, вытекающих из задач инфраструктуры, функционального единства ее подсистем:
высокая фондоемкость и капиталоемкость объектов инфраструктуры, длительные сроки их создания и длительные сроки функционирования (отсюда распространенное мнение о «невыгодности» вложений в транспортную инфраструктуру);
проявление основного эффекта (в ряде случаев до 90%) от функционирования инфраструктуры вне ее отраслей — в базисных отраслях (это находит выражение в соотношении макроэкономических показателей — доля транспорта в ВВП, как правило, не превышает 5—8%, тогда как в капиталовложениях — более 20%);
высокий эффект опережающего по сравнению с основным производством (пионерного) развития транспортной инфраструктуры;
неотделимость процессов производства и потребления «продукции» транспорта, невещественный ее характер — отсюда невозможность ее накопления, хранения, складирования, что требует значительных резервных мощностей;
значительная сезонная, месячная и суточная неравномерность загрузки элементов транспортной инфраструктуры;
пространственная региональная невзаимозаменяемость объектов транспортной инфраструктуры, т.е. необходимость ее повсеместного (там, где есть потребность) развития;
преобладание пространственно-сетевых линейных систем транспортной инфраструктуры (хотя роль «точечных» элементов (узлов) стремительно возрастает);
инерционность (неэластичность) функционирования, связанная с дискретностью развития транспортной инфраструктуры (нет жесткой связи между уровнем развития инфраструктуры и потребности в ней), что часто ведет к недооценке необходимости новых капиталовложений в усиление объектов и сетей;
территориальная концентрация транспортной инфраструктуры (часто — со значительным временным лагом) соответствует концентрации производства и населения, отражая (в определенной мере и определяя) общий географический «рисунок» хозяйства;
возможна функциональная взаимозаменяемость элементов производственной инфраструктуры: видов транспорта, транспорта и складов, транспорта и связи (так, по расчетам, около 30% деловых и 50% бытовых поездок могло бы быть заменено хорошо функционирующими системами связи) и т.д.;
и, наконец, поэтапное воздействие на прилегающую территорию (ареалы или зоны) путем генерирования более или менее сильных освоенческих импульсов, которые придают ей особые свойства примагистральной зоны.
Опережающее развитие транспортной инфраструктуры по сравнению с основным производством дает высокий экономический эффект. Являясь мощным размещенческим фактором, транспортная инфраструктура интегрирует хозяйственное пространство, выступая организующим началом территориальной структуры хозяйства. Следовательно, инфрастуктура должна рассматриваться как функционально единый межотраслевой комплекс, требующий, кроме министерств и ведомств, соответственно комплексного межотраслевого управления. Экономическая результативность инфраструктурной системы в целом не будет равна сумме эффектов по составляющим ее элементам.
Вместе с тем транспортная инфраструктура обычно развивается в соответствии с особенностями территории, на которой она размещается.
Отраслевой состав инфраструктуры соответствует производственной специализации района, производственной и территориальной структуре хозяйства. Территориальные уровни транспортной инфраструктуры (магистральная общегосударственная, региональная, местная) отражают по существу масштаб размещение производительных сил, хозяйственную структуру обслуживаемой ею территории.
Инфраструктура, являясь одной из подсистем территориальной структуры хозяйства, несет запас инерционности, который реализуется в дальнейшем развитии пространственных структур. Инерционность не является безусловно отрицательным свойством, хотя ее проявление и вызывает в определенных случаях отставание развития инфраструктуры.
Инерционность территориальных структур есть функция развитости инфраструктуры (исторической и экономико-географической среды, разветвленности сети и др.) и размера вовлеченных масс. Такие аргументы позволяют говорить о количествах степеней свободы у элементов системы в неодинаковых по степени развитости регионах. Инерционность есть величина обратная количеству степеней свободы, число которых можно определить по наличию взаимодействующих между собой составляющих инфраструктуры, числу связей с внешним миром (внешним — по отношению к рассматриваемому региону), их качеству (например, по видам транспорта, расстояниям или скоростям).
Ответная реакция территории на действие экзогенных факторов (вложение средств) определяется запасом инерционности, развитостью транспортных сетей, плотностью населения, многообразием производств.
В эпоху НТР транспортная инфраструктура, сама отличающаяся определенной инерционностью развития, становится важным, если не решающим, фактором увеличения динамизма размещения промышленности, повышения пространственной эластичности производства. В этом тезисе заложено определенное противоречие. Действительно, всегда считалось, что транспортная инфраструктура является важным стабилизирующим фактором производства, вызывая инерционность его размещения, которая определяется выгодами транспортно-географического положения, наличием соответствующей базы обслуживания, информации, управления, НИОКР и т.д.
Пространственная инерционность транспортно-инфраструктурных систем зависит от соотношения стабильной и динамичной составляющих. Но их роль на отдельных этапах развития меняется, отчего инерционность всей территориальной структуры района также может изменяться. Отмеченные связи хорошо прослеживаются в международном масштабе. Именно 70-е и 80-е гг. стали переломными для многих трендов, что нашло свое выражение в новом этапе интернационализации хозяйства, в кооперировании производства. Так, порты международного значения с усилением процесса контейнеризации стали обладать мощными стимулами для притяжения промышленности, что сопровождалось концентрацией судопотоков, портовой деятельности, капитала, изменением соотношения «центр— периферия». Но накопление и диверсификация динамичных элементов инфраструктурных систем потребовали развития и менее подвижных сетевых элементов.
Динамичность более подвижной составляющей инфраструктуры вызывается внешними воздействиями — потребностями общества: необходимостью увеличивать пропускную способность транспорта, увеличивать дальность поездок, что реализуется развитием подвижного состава и вводом новой техники. Поэтому развитие транспортной сети как передатчика связи, как правило, отстает от развития подвижного состава как носителя передвижения. Наиболее остро диспропорции между более и менее подвижными составляющими инфраструктуры наблюдаются в городах, где взаимодействие обеих составляющих представлено в наиболее концентрированной форме. Как известно, передвижения в городе лимитированы затрачиваемым на поездку временем. Именно появление автомобиля и скоростных видов общественного транспорта привели к расширению городского пространства.
Помимо важного признака обеспечения общих условий производства и непроизводственной сферы, объединяющей группы инфраструктурных отраслей, является вся совокупность критериев, связанных с ее ролью в экономическом обороте народного хозяйства и с невещественным характером ее продукции. Этот оборот и осуществляется именно динамичной частью инфраструктуры.
Новые факторы и условия развития транспортной инфраструктуры. Почему же именно сейчас вопросы развития производственной инфраструктуры встали так остро и в научно-теоретическом, и практическом плане? По крайней мере, здесь можно выделить три момента.
Во-первых, объективный ход хозяйственного развития по пути интеграции хозяйства, кооперирование; создание хозяйственных комплексов — агропромышленного, территориально-производственного, топливно-энергетического происходит только на базе специализации и дифференциации (как вертикальной, так и горизонтальной) производственного процесса с тем, чтобы максимально использовать «эффект места». Все это не может быть реализовано без наличия и функционирования уже обособленного механизма передачи вещества, энергии, информации, производственных навыков и научно-технических идей. Другими словами — интенсификация хозяйства в условиях НТР, возможная только при дальнейшем углублении территориального разделения труда, требует выделения и отделения от основных производственных функций определенного передаточного механизма, «каналов связи», которые обеспечили бы стыки между отдельными народнохозяйственными блоками. Таким образом, проблема овеществленных связей, устанавливающихся на всех уровнях, сводится, по существу, к проблеме инфраструктуры, вернее — к территориальной организации инфраструктуры, осуществляющей циркуляцию вещества, энергии и информации на территории.
Мобильность экономики, ее способность быстро адаптироваться к меняющимся условиям рынка возможны только при организационном обособлении и формировании особых, самостоятельных отраслей инфраструктуры, что и обеспечивает необходимый, принципиально более высокий уровень качества вспомогательных и обслуживающих работ.
Только такой комплексный подход к изучению элементов и сетей инфраструктуры как каналов связей позволяет выявить ее роль в трансформации производственной структуры хозяйства, которая выражается, с одной стороны, в концентрации и укрупнении производства и соответствующем формировании инфраструктурных полимагистралей (коридоров), а с другой — в специализации и пространственном рассредоточении и дроблении производственных функций и связанной с этим процессом системой фидерных (питающих) сетей, специализированных технических средств. В то же время каждая отрасль хозяйства (в том числе и инфраструктурная, такая, как транспорт, например) имеет «свою», обслуживающую только ее, инфраструктуру, которая в данном случае состоит из стабильных фондовых элементов.
Во-вторых, перевод российской экономики на рельсы рыночного хозяйства, что выражается в усилении ориентации на конечный результат, на потребителя. Отсюда в хозяйственной триаде «производство—распределение—потребление» стали меняться акценты, по-новому встает проблема связей, сбыта — в зависимости от степени удовлетворения потребностей как общественных, так и индивидуальных.
Что касается транспортной инфраструктуры, то повышение ее роли на современном этапе связано с резким повышением требований разнообразной клиентуры к качеству инфраструктурной обеспеченности, происходит известная дифференциация и специализация услуг, усиливается «адресность» инфраструктурного обеспечения.
Вместе с тем, чем выше уровень развития транспортной инфраструктуры, тем в большей степени падает ее «видимая» роль. Ее наличие и бесперебойное функционирование становится «естественным», как бы само собой разумеющимся исходным фактором, а видимая зависимость от нее территориальной структуры хозяйства как бы ослабевает. Транспорт относительно дешевеет, что влияет на усиление «мобильности» размещения производства, большую динамичность систем расселения, расширение и углубление межрайонного разделения труда. В среднем по промышленно развитым странам транспортная составляющая в цене (сиф) внешнеторговых грузов равна 12% и продолжает медленно снижаться.
Выше уже говорилось о том, что с использованием достижений НТР инфраструктурные отрасли, и прежде всего транспорт, все в большей степени адаптируются к новым требованиям производства, вытекающим из характерных для него процессов специализации, концентрации, кооперировании, углубления территориального разделения труда. Среди составляющих такой адаптации фактор себестоимости функционирования этих отраслей, игравший до недавнего времени решающую роль, уступает теперь место показателям качества инфраструктурных услуг — надежности, регулярности, ритмичности, скорости, безопасности связей, а также стремлению изменить соотношение живого и овеществленного труда в пользу последнего, т.е. снизить трудоемкость функционирования инфраструктуры.
Однако решить все эти задачи можно только резко повысив капиталоемкость транспортной системы. Это ведет к быстрому росту ее фондоемкости. Так, контейнерные терминалы портов Нью-Йорка и Роттердама обошлись по 0,5 млрд долл., стоимость газового терминала в порту Зебрюгге оценивается в 1 млрд долл. Строительная стоимость судна-контейнеровоза нового поколения достигает 80 млн долл., судна-газовоза — 120 млн долл. Огромные капиталовложения в транспортную инфраструктуру и обеспечивают сравнительно низкие текущие затраты на ее функционирование, обусловливают возможности ее адаптации к новым требованиям производства, ее воздействие на сдвиги в территориальной структуре хозяйства.
В-третьих, положение в самом транспортно-инфраструктурном секторе, который в России значительно отстал от потребностей народного хозяйства. Так, за 25 лет грузооборот железных дорог в России увеличился в 2,5 раза, тогда как сеть возросла на 20%, грузооборот автомобильного транспорта вырос в 5 раз всего при 3-х кратном увеличении сети. В процессе неадекватных транспортировки и хранения теряется немалая часть урожая. Ежегодно огромные суммы расходуются на тару и упаковку, причем почти половина всей используемой тары изготовляется из древесины (тогда как в США — лишь 4%, в Японии — 10%).
Растущее значение транспортной инфраструктуры в решении структурных (и отраслевых, и территориальных) проблем экономики требует исследования самых общих мирохозяйственных тенденций развития инфраструктуры. Объективной основой реализации мирохозяйственных тенденций и процессов, в том числе опережающего развития внешнеэкономического сектора хозяйства, стал огромный прогресс в области производственно-инфраструктурных систем — транспортных, информационно-коммуникационных, складских и распределительных, оказывающих все более мощное «обратное» воздействие на сдвиги в структуре мирового хозяйства.
Исследование этого круга проблем требует широкого междисциплинарного системного подхода, что связано со значительным усилением интегрирующей роли транспорта как мощного фактора ускорения экономического и социального развития стран и регионов, мирового хозяйства в целом.
Транспортная инфраструктура и территория. Преддверием к решению задачи о достаточности инфраструктуры является оценка уровня обеспеченности ею территории. Можно определить территориальную целостность, охваченную данной инфраструктурной системой, по реализации в ее границах минимального объема функционирования связей. В качестве такого критерия используются транспортные показатели: удельные затраты работы (в ткм) на тонну произведенной продукции, которые выражаются средним радиусом зон влияния предприятий, расположенных на данной территории. Можно пользоваться показателями густоты сети относительно территории и населения, веса отправленных грузов. Значительно реже применяются комбинированные показатели густоты транспортных сетей К.Энгеля, Ю.И.Успенского (отношение длины сети к среднему геометрическому из площади территории, численности населения и суммарного веса перевезенных по этой сети грузов), Л.И.Василевского (вместо величины перевезенных грузов учитывается общий объем произведенной продукции). Считаются универсальными, но мало используются формулы Н.Н.Колосовского (степень развития сети связана с уровнем экономического развития страны посредством показателя энерговооруженности) и Протодьяконова (выявлена зависимость степени обслуженности страны путями сообщения от грузонапряженности сети, средней плотности населения, уровня промышленного развития страны).
По Б.К.Краснопольскому, коэффициент обеспеченности инфраструктурой рассчитывается по ее основным фондам:
![]()
где Ф — основные фонды инфраструктуры (млн руб., долл.);
Р — численность населения;
S — площадь экономически активной территории района (тыс. км2 );
Q — валовая продукция производственных предприятий (промышленных и сельскохозяйственных), произведенная на данной территории (млн руб., долл.).
Также разработан ряд комбинированных показателей применительно к специфическим территориальным сферам использования (развивающиеся страны), специализированным видам транспорта (нефте- и продуктопроводы), отдельным элементам транспортной системы (транспортные узлы).
Территория является комплексным ресурсом, который реализуется при взаимодействии природных ресурсов, географического положения, обустройства населения. Поэтому ее следует рассматривать как социально-географическое пространство, выделенное тем или иным образом. Ретроспективный взгляд показывает, что экономическая емкость территории, как правило, оказывалась «неисчерпанной», т.е. ее «ответ» на экономические запросы общества соответствовал величине запроса, а территория не только оставляла за собой резерв, но и «накапливала» силы, чтобы иметь возможность ответить на новый запрос общества путем эмпирически находимых мест расположения городов, транспортных инфраструктурных систем. Накопление сил за счет обустройства (от транспортного до организации жизнедеятельности населения) есть приобретение запаса инерционности, понимаемой в данном случае, как стабильность и рациональность использования. Этим объясняется наращивание поляризации районов, поскольку образующиеся узлы привлекают новые вложения средств.
Антропогенные территории по мере углубления разделения труда усиливают свою функциональную специализацию, приводящую к обособлению социально-географического пространства, в зависимости от особенностей инфраструктурной обустроенности и степени насыщенности объектами транспортной инфраструктуры, от развития социальных действий индивидов.
Если рассматривать транспортную инфраструктуру под углом ее функциональной роли как отрасль, обеспечивающую связь и жизнедеятельность, то напрашивается идея некоторой структурной решетки, в которой узлами являются определенные узко специализированные территории (в общем случае — стыковые зоны — города, прибрежные территории, рекреационные зоны, приграничные территории и др.), а линиями — передаточные механизмы (каналы, по которым происходит обмен веществом, энергией, информацией, нововведениями* и др.), осуществляющие связи как между узлами в комплексе, так и между отдельными сферами деятельности.
* Можно выделить пять типов передачи инноваций: 1) в технике, 2) ноу-хау, 3) в передаче новых продуктов, 4) в социальной и культурной сфере, 5) в новых формах управления.
От того, насколько развита эта решетка, зависит реакция («отдача») территории на хозяйственную деятельность, на содействие ей или торможение (разное проявление инерционности транспортно-инфраструктурных систем). Создание решетки — следствие накопленного за предыдущие годы потенциала (экономико-географическое положение городов, транспортные объекты, направленность функционирования данной территории на передачу той или иной информации, вещества, энергии).
Из определения социально-географического пространства следует, что оно не может рассматриваться статично: люди и их группы подвержены многосторонним изменениям, т.е. возникает поток изменяющейся ситуации существования групп и связанных с ними способов отношений, требующих новой оценки среды. Поэтому усиление индустриального давления общества (в том числе в ходе урбанизации) изменяет пространственные образы. Отсюда вытекает, что социальные группы являются не только носителями деятельности, но также носителями пространственных процессов. Оценка среды, производимая социальной группой, может быстро изменяться под воздействием более или менее быстро действующих влияний, и, соответственно, изменяется сама среда.
Функциональная типология территории производится по узлам в структуре решетки. Она основана на том, что эти узлы «вырываются» по значимости за пределы территорий, поскольку их назначение передатчика и накопление в них комплексного потенциала для передачи. Появление узла изменяет структуру размещения тех или иных объектов, а сами они выступают в роли контактных зон. Последние должны обладать маневренностью, т.е. по обустройству, емкости, гибкости установленных связей должны соответствовать возможным изменениям направлений и величин потоков вещества, информации и др.
Функциональные свойства названных зон определяют высокую значимость их в пространственной организации общества, которая заключается, с одной стороны, в укреплении старых (с достаточным генетическим или вновь приобретаемым потенциалом) узлов, с другой же — в развитии новых, необходимых по условиям экономического развития зон, которые укрепляют как каркас определенной территории, так и резервируют силы для перехода в каркас более высокого ранга.
Недооценка развития транспортной инфраструктуры (которая в основном проистекает из-за неэластичности, отсутствия жесткой связи между уровнем ее развития и удовлетворением потребностей в транспортных услугах) ведет к значительным трудностям в реализации преимуществ географического разделения труда, затрудняет процесс интенсификации производства. При этом стоимость потерь общественного продукта, связанных с недостаточной развитостью, сформированностью транспортных систем, как правило, превышает затраты, необходимые для их развития. Как уже говорилось, одна из причин отставания развития транспорта — это узко отраслевой подход к оценке эффективности ее функционирования, игнорирование внеотраслевого (внеинфраструктурного) эффекта, реализуемого в других, базисных отраслях.
Как правило, недооценивается роль транспортной инфраструктуры и в территориальной организации хозяйства. Еще не создана общая концепция воздействия транспортно-инфраструктурных систем на территориальное развитие. Если экономисты определяют внеотраслевой эффект от строительства и функционирования транспортных объектов как экономию на суммарных затратах, то экономико-географы ищут его в индуцировании освоенческих и районообразующих функций на прилегающие территории. Уровень, особенности и направленность транспортного обустройства территории определяют ее функциональную специализацию.
Именно от этого в первую очередь зависит, насколько территория перестает быть «пассивным» полигоном размещения, «поглотителем» набора объектов и становится активным участником воспроизводственных и рыночных процессов, реализуя при этом свои специфические, иногда даже уникальные свойства. Освоенческие функции инфраструктурных систем подробно разработаны в экономико-географической литературе. В настоящее время вопрос ставится шире: территория рассматривается как ресурс, как резерв развития, исходя из того, что разные территории по-разному реагируют на хозяйственную деятельность, по-разному способствуют или препятствуют ей («трение» пространства).
Необходимость такого подхода к транспортной инфраструктуре диктуется требованиями повышения экономической емкости территории, использования агломерационного эффекта, создаваемого транспортом, а также усложнением связей.
Транспортная инфраструктура и реализация ресурсного потенциала территории. Важную роль в формировании ТСХ играют территории — зоны, которые в силу особенностей своего географического, экономико-географического или политико-географического положения обладают особым ресурсным потенциалом развития, выступая в роли контактных (стыковых) зон. По свойствам их можно разделить, по крайней мере, на две группы — контактные зоны, способствующие «расширению» пространства, и зоны «концентрации» пространства. К первым относятся акватерриториальные зоны (суша—море), примагистральные зоны в районах нового освоения, приграничные зоны, рекреационные зоны и др. Ко вторым относятся в первую очередь городские и пригородные зоны. При известных условиях территории таких типов приобретают повышенную привлекательность для разных видов хозяйственной деятельности, стремящихся в своем развитии максимально использовать особые, а иногда и уникальные свойства этих территорий — контактность и «барьерность».
Каждая из этих зон обладает (или должна обладать) своим типом транспортного обустройства: только в этом случае реализуется их ресурсный потенциал.
Акватерриториальные зоны. Быстрое развитие многоотраслевого морехозяйства, освоение ресурсов шельфовой зоны, повышение роли морского транспорта при одновременном бурном развитии туризма и других форм рекреационной деятельности и ужесточении природоохранных мер — все это заставляет по-новому взглянуть на прибрежные зоны, в особенности располагающие благоприятными условиями для многофункционального использования. Появляются объективные предпосылки формирования и развития трехзвенных акватерриториальных хозяйственных комплексов с прибрежным звеном как основной базой освоения ресурсов океана, акваториальным звеном в виде стационарных и передвижных установок, специальных судов и глубинным территориальным звеном. В формировании, в территориальном «стягивании» такого комплекса ведущую роль играют крупные портовые центры, которые концентрируют экономическую активность всех трех звеньев и под воздействием НТР становятся фокусом функционального взаимопроникновения двух сред.
При усложнении функций прибрежных зон неизбежно возникают конфликтные ситуации, вызванные ограниченностью территорий при росте потребностей различных отраслей — землепользователей (транспорт, промышленность, сельское хозяйство, расселение, рекреация). Транспортное обустройство такого комплекса позволяет ослабить «давление» на пространство, повысить экономическую емкость акватерриториальных зон, оптимизировать взаиморасположение «конфликтующих» отраслей.
Эта проблема может, в частности, решаться путем сооружения внебереговых точечных причалов, число которых в мире уже превысило 200, и специальных платформ (искусственных островов), на которых создаются целые промышленно-транспортные комплексы и городские поселения (их насчитывается в мире уже около ста). Такие искусственные острова проектируются и строятся в 50 км от побережья у Роттердама, у Мобила (Амери-порт), у берегов Японии. Проблема дефицита площадей решается также искусственным намыванием грунта (Маасвлакте в порту Роттердам), осушением. Высокий уровень инфраструктурного обустройства привел к тому, что в портах Нидерландов и Атлантического побережья Франции до 80% территории используется в промышленных целях. Такой сдвиг хозяйственной деятельности к морю усиливает потребности в рациональной организации пространства акватерриториальной зоны на основе районной планировки.
К проблемам развития приморских зон примыкают вопросы формирования рекреационных зон, так как пространственно они часто совпадают. Развитие рекреационных функций побережья не только обостряет проблему площадей, но и усиливает конкуренцию между отраслями-пользователями из-за ужесточения требований к охране окружающей среды. Вопросы организации пространства для рекреационных целей стали разрабатываться недавно. Выбор площадок, выделение санитарных зон, нахождение оптимальных размеров поселений для рекреантов — комплексная пространственная задача, которая решается только с учетом специфики связи с центром, имеющей выраженный сезонный характер, созданием гибких транспортных систем. Эти системы должны быть и достаточно мощными, поскольку приезжающие на короткий срок рекреанты мобильнее и активнее к восприятию среды, чем местное население.
Производственная инфраструктура позволяет расширить рекреационные территории, рассредоточить в пространстве большое число рекреантов. Создание глубинных зон отдыха и туризма, удаленных до 50 км от прибрежных рекреационных центров, способствует снижению антропогенного воздействия на природные ландшафты. Высвобождение площадок для рекреационных целей также требует повышения экономической емкости прибрежной территории, более компактного размещения хозяйственных объектов. Это может быть достигнуто террасированием всей территории промышленно-портовых зон, путем сооружения двухъярусных причальных линий, двух- и многоэтажных складских помещений и т.д.
Примагистральные зоны в районах нового освоения оказывают значительное воздействие на глубинную малообжитую территорию путем генерирования освоенческих импульсов, наличие которых придает им особые свойства примагистральной зоны. Эти территории, расположенные вдоль транспортных (в первую очередь, железнодорожных) магистралей, на определенном этапе развития своих хозяйственных структур (формирование без освоения) из объектов освоения становятся его субъектом. По мере развития транспортных систем разных рангов начинает функционировать механизм воздействия примагистральной зоны на освоение территории, происходит поэтапная передача осво-енческих «импульсов» от баз освоения по определенным каналам транспортной связи во вновь осваиваемые территории. Это выражается в перенесении части освоенческих функций из примагистральной зоны в районы нового освоения с трансформацией существующих и формированием новых баз, с усилением градо- и районообразующих процессов, ведущих к формированию ядер будущих территориально-производственных комплексов различного типа специализации. В районах освоенных, с крупными городскими агломерациями и развитой сетью сельских населенных пунктов плотность насыщения транспортно-инфраструктурных объектов определяет качество их развития. Транспортная инфраструктура таких районов является фактором, усиливающим их производственную концентрацию.
Приграничные районы как территории особого типа реализуют свой ресурсный потенциал особенно в условиях развития экономической интеграции, когда на первый план выступает фактор территориальной смежности или соседства, обусловливающий значительную концентрацию межгосударственных связей соседствующих стран. Это свойство позволяет соседствующим странам лучше использовать особенности соприкасающихся территориальных структур их экономики, эксплуатируя и минимальные выгоды международного разделения труда ввиду резкого сокращения транспортных издержек. При этом приграничные районы приобретают характер «зон контактов», своего рода мостов, по которым проходит пространственное распространение интеграционных процессов и прежде всего там, где приграничные районы пересекаются транспортными магистралями, опирающимися на соответствующую низовую транспортную сеть.
Выше были выделены лишь некоторые типы территорий — контактных зон, особо «чувствительных» к уровню транспортной оснащенности. Однако и эти примеры достаточно убедительно показывают назревшую необходимость научной разработки системы показателей и критериев, которые позволили бы выявить необходимую степень соответствия транспортно-инфраструктурного обеспечения каждому этапу реализации ресурсного потенциала территорий разных типов.
Вопросы
1. Из каких подсистем состоит производственная инфраструктура?
2. Каковы основные функции инфраструктуры?
3. Каковы отличительные признаки инфраструктуры, определяющие особенности ее территориальной структуры?
4. В чем заключается внеотраслевой территориальный эффект развития инфраструктуры?
5. Объясните феномен особой инерционности в развитии инфраструктуры.
6. Чем вызвано повышение роли инфраструктуры на современном, постиндустриальном этапе развития?
7. Как определяется уровень обеспеченности инфраструктурой?
8. В чем причины недооценки роли производственной инфраструктуры?
9. Какова роль инфраструктуры в индуцировании освоенческих и районообразующих функций территории?
10. Какова роль инфраструктуры в «расширении» и «концентрации» пространства, в реализации ресурсного потенциала территории?
Мировая транспортная система и ее роль в повышении адаптивности мирового хозяйства
Современный этап развития транспортной системы. Научно-технический прогресс вносит существенные изменения в характер международной торговли, вызывая наряду со структурными сдвигами в товарных потоках изменение схем транспортного обеспечения. Быстрое изменение структуры производственных мощностей на транспорте происходит в связи с расширением спроса на перевозочную работу на мировых товарных рынках, а главное — в результате новых требований к качеству транспортных услуг. Сыграла здесь свою роль и необходимость обновления основного капитала в условиях обострения конкурентной борьбы. Характерным результатом научно-технической революции на мировых транспортных рынках является постоянный рост конкурентоспособности различных видов транспорта, усиление потенциальной возможности их взаимозаменяемости, развитие интермодальных сообщений.
Наиболее острой конкуренции на транспортных рынках подвержены сухопутные виды транспорта — железнодорожный, автомобильный, трубопроводный, а также речной — особенно в тех случаях, когда они обеспечивают доставку грузов до морских портов. Проходящая параллельно с научно-технической революцией монополизация транспортных средств только обостряет конкуренцию.
Транспортные системы по своему техническому уровню, масштабам, организационным формам и качеству транспортного освоения международных пассажирских и грузовых потоков адаптируются к новым требованиям клиентуры. Среди них на передний план все в большей степени выступает фактор качества транспортного обслуживания, тогда как затраты отодвигаются на второй план. Эти новые требования связаны:
с усиливающейся дифференциацией отправлений: наряду с возрастанием размера грузоотправлений, по мере увеличения территориального разрыва в технологическом процессе ряда производств растет потребность в перевозках грузов мелкими партиями;
со стремлением к повышению эффективности перевозок в связи с ростом транспортных издержек;
с необходимостью приспособления к меняющейся структуре экономических связей;
с обеспечением регулярности и ритмичности пассажирских и грузовых перевозок;
с повышением уровня сохранности и скорости доставки грузов;
с необходимостью обеспечения безопасности движения при увеличивающейся его интенсивности в условиях продолжающейся территориальной концентрации населения и производства в районах транспортных узлов и вдоль основных транспортных осей;
с резким повышением уровня комфортности в международных пассажирских сообщениях;
с необходимостью учета экологического аспекта развития транспорта (включая вопросы отчуждения территории под транспортное строительство);
с необходимостью снижения энергоемкости транспорта.
Таким образом, качество транспортного обслуживания приобретает особое значение в связи с развитием международных форм производственного кооперирования.
Все эти факторы ведут к сдвигам в структуре перевозок в сторону опережающего развития автомобильного, а также воздушного транспорта, к совершенствованию международных транспортных коммуникаций путем развития и модернизации инфраструктуры, обслуживающей эти связи, ускорения оборачиваемости транспортных средств, интенсивного развития смешанных бесперегрузочных сообщений, соответствующей специализации транспортных средств и услуг, образования крупных специализированных транспортно-распределительных центров международного значения.
В основе всех этих изменений в транспортной системе лежат принципиальные сдвиги в структуре грузовой массы, предъявляемой к перевозке, что наложило свой отпечаток на структуру стоимости товара у потребителя, обозначенную аббревиатурой СИФ. В период первоначального накопления капитала и индустриального развития, когда в структуре грузовой массы преобладали относительно дешевые массовые грузы и транспортная составляющая достигала 30—40% и более, главной задачей транспортной отрасли было снизить удельные затраты на транспортировку. Это достигалось главным образом за счет увеличения грузоподъемности транспортных средств в соответствии с принципом экономии масштаба. Переход к постиндустриальному этапу развития поставил совершенно новые задачи перед транспортными отраслями. Более того, без кардинальной перестройки транспортной системы, без превращения ее в распределительно-логистическую систему доставки движение мирового хозяйства к своему постиндустриальному этапу было бы невозможным.
В чем же была суть этих перемен? Диверсификация и совершенствование производства, модификация товарной структуры международной торговли шли в направлении снижения доли добывающих отраслей и первичных отраслей обрабатывающей промышленности и сельского хозяйства. В то же время резко возрастает доля производства высоких технологий с большим удельным весом стоимости обработки. На основе новых технологий повышается эффективность производства, что сужает спрос на ресурсоемкую продукцию, вообще резко снижается энерго-, материало- и ресурсоемкость производства и ВВП в целом. Модифицируются критерии конкурентоспособности, находящейся в сложной причинно-следственной связи с состоянием транспортной и информационной технологии. Все большее значение приобретают также такие факторы, как точность, надежность, компактность, безопасность, доступ к информационным системам на любом отрезке транспортной сети, гибкость и ответственность транспортных служб, оптимизация времени доставки, частота отправлений, нередко оттесняя на второй план роль издержек производства. Перевозки осуществляются, таким образом, по принципу точно в срок, который отражает приоритет требований клиентуры. Соотношение значимости трех элементов в цене товара франко-потребитель резко изменилось. Доля транспортной составляющей (f ) снизилась в среднем до 5—10%, в то же время резко возросли доля стоимости товара у производителя (С), а, следовательно, пошла вверх и страховая ставка (I ), отражающая фактор надежности (безопасности) доставки. Приведенные издержки на транспортировку значительно возросли, но по сравнению со стоимостью товара они снизились, что позволило произвести принципиальную перестройку всей транспортной системы, рассчитанной на реализацию принципа точно в срок.
Эта перестройка тесно связана с относительным, а иногда и абсолютным сокращением спроса прежде всего на ресурсо- и энергоемкую продукцию, что в свою очередь вызвано падением доли этой продукции в совокупном производственном и непроизводственном потреблении; уменьшением затрат энергии и материалов на единицу конечной продукции, благодаря повышению доли добавленной стоимости в товарах и услугах, производимых с помощью новых технологий. Эта тенденция также закрепляется быстрым ростом производства новых конструкционных материалов.
Свою роль сыграло и изменение организационной структуры производства — быстрый рост доли малых и средних по размеру производственных и непроизводственных предприятий, более гибких и легче приспособляющихся к постоянно усложняющемуся и увеличивающемуся спросу рынка. Транспортная распределительно-логистическая система, формирование которой и обусловило эти изменения, проявила себя прежде всего в развитии всемирной интермодальной (межотраслевой) системы, т.е. доставка определенного груза двумя или несколькими видами транспорта. Возникает другой вопрос: как при перевозке небольших партий высокоценных грузов сохранить эффективность, конкурентоспособность, характерные ранее при массовых перевозках. Попытка стандартизации этой разнородной грузовой массы и здесь стала ответом на резкое изменение ее состава. Попытка перенести принцип (господствовавший ранее) «экономии масштаба», так блестяще себя зарекомендовавший в перевозках массовых грузов в 50—60-е гг., на перевозку генеральных (штучных) грузов путем стандартизации привела к укрупнению отправок и потоков. Ввод контейнеров — стандартных транспортных средств позволил реализовать на практике новые требования к транспортному процессу. Таким образом, стандартизация транспортных средств и оборудования по переработке контейнеров стала основой перестройки всей транспортной системы, а отсюда — и мирового хозяйства в целом.
Число контейнеров в середине 90-х гг. составило в мире 7,5 млн единиц, из них 3,4 млн — длиной 6 м, 4 млн — 12 м. Особенно большое воздействие контейнеризация оказала на транспортные узлы, и в первую очередь — на морские порты. Транспортная система, образовавшаяся в результате, обеспечила интеграцию производственных и распределительных систем и удовлетворила спрос на эффективные интермодальные транспортные услуги. Таким образом, можно сказать, что интермодализм становится в настоящее время центральным элементом мировой рыночной системы.
Основные параметры мировой транспортной системы. Изменение транспортоемкости мирового хозяйства характеризуется известной устойчивостью за послевоенный период: и суммарный грузооборот, и общий пассажирооборот росли примерно такими же темпами (с некоторым отставанием), как и общий валовой продукт, рассчитанный в неизменных ценах. За этот период удельный мировой грузооборот на 1 т произведенной продукции вырос на 1/3, а душевой грузооборот и километрическая подвижность населения выросли в 3,5—4 раза.
Основные параметры мировой транспортной системы и их динамика представлены в таблицах 9—13.
Общая протяженность транспортной сети по видам путей сообщения в последние десятилетия существенно стабилизировалась, в то же время происходит значительное качественное изменение сети: растет протяженность электрифицированных и скоростных железных дорог, автомагистралей с усовершенствованным покрытием, трудопроводов крупного диаметра. Данные о перевозках показывают масштабность выполняемой транспортной работы: душевой оборот за 40 лет вырос с 2,8 тыс. до 3,2 тыс. пассажиро/км. Можно отметить динамизм развития перевозок — объем перевозочной работы вырос более чем в 7 раз, а к 2010 г. вырастет еще в 1,2— 1,3 раза.
В мировом грузообороте резко выделяется морской транспорт, доля которого постепенно возрастала и до сих пор почти не снижается с 52 до 62%. То же можно сказать и о доле в пассажирообороте легкового автомобильного индивидуального транспорта — с 57 до 60%.
Происходит интенсивное изменение структуры перевозок между отдельными видами транспорта. Так, в грузообороте соотношение между железнодорожным и его главным конкурентом автомобильным транспортом изменилось с 4:1 до 1,2:1, и к 2000 г. их доли, сравняются. Доля трубопроводов выросла с 4,2% до 12,8%. В пассажирообороте воздушный транспорт приблизился к уровню железнодорожного — соответственно 10,0% и 10,2%, а к 2000 г. должен превысить его.
Таблица 9
Динамика сети мировой транспортной системы (тыс. км)
| Виды транспортных путей |
1950 г. |
1979 г. |
1980 г. |
1990 г. |
1995 г. |
| Железные дороги |
1320 |
1340 |
1248 |
1210 |
1180 |
| в т.ч. электрифицированные |
60 |
125 |
164 |
193 |
200 |
| Автодороги |
15540 |
19700 |
22300 |
23600 |
24000 |
| в т.ч. с твердым покрытием |
7645 |
12151 |
16000 |
20000 |
22000 |
| усовершенствованные |
2920 |
5860 |
9210 |
11700 |
13000 |
| Судоходные реки и каналы |
560 |
525 |
540 |
544 |
550 |
| Нефтяные трубопроводы |
175 |
395 |
520 |
600 |
680 |
| Магистральные газопроводы |
186 |
545 |
760 |
900 |
1100 |
| Воздушные пути |
3300 |
5510 |
6900 |
7900 |
8500 |

Рис. 31. Мировой грузооборот: динамика и структура
Важнейшими критериями для выявления национальных и макрорегиональных различий в транспортной работе являются следующие: 1) транспортоемкость производства, по сути отражающая соотношение между транспортом и производством, размеры и конфигурацию хозяйственной территории; 2) транспортная подвижность населения, отражающая тип расселения, степень урбанизации, уровень миграции; 3) соотношение пассажирских и грузовых перевозок, что отражает транспортную парадигму того или иного региона (на что ориентирована хозяйственная система) и, наконец, 4) соотношение видов транспорта в транспортной работе, что является важнейшим типологическим признаком не только транспортной системы, но и хозяйства в целом.

Рис. 32. Мировой пассажирооборот: динамика и структура
По всем этим критериям можно четко выделить три крупных группы стран: промышленно развитые западные страны, СНГ и страны Восточной Европы, переходящие от планового к рыночному хозяйству, развивающиеся страны во всем их многообразии. На 1992 г. транспортоемкость хозяйства, выраженная в ткм на 1 долл. ВВП, составила в Северной Америке 1,3, в Западной Европе — 0,3, Японии — 0,4, тогда как в России 5,0, в странах Восточной Европы — в среднем 1,5. Эти цифры свидетельствуют о решающем значении для уровня транспортной емкости отраслевой структуры хозяйства, относительной роли «тяжелых» сырьевых производств, социально-экономического типа страны и относительно меньшей роли размеров территории, о чем говорит разительный контраст между странами Западной и Восточной Европы по показателю транспортной емкости (в 5 раз). Что касается развивающихся стран, то, как и можно было ожидать, значение показателя транспортоемкости значительно варьирует от 0,84 в наиболее экономически отсталых странах до 1,7 в странах Латинской Америки.
Показатель подвижности населения имеет противоположную тенденцию — наиболее высоко его значение в промышленно развитых западных странах. Душевой междугородный пассажирооборот, выраженный в тыс. пассажиро/км, в Северной Америке составляет 12,9, в Западной Европе — 8,5, в Японии — 6,3, тогда как в России — 3,6, а в Восточной Европе — всего 2,9. Транспортная подвижность населения — это сложное социальное и экономическое явление, за которым стоит целый комплекс факторов культурного, политического и демографического характера.
Таблица 10
Мировой грузооборот по видам транспорта
| Виды транспорта |
1950 г. |
1970 г. |
1980 г. |
1995 г. |
||||
| млрд. ткм |
% |
млрд. ткм |
% |
млрд. ткм |
% |
млрд. ткм |
% |
|
| Железнодорожный |
2120 |
30,8 |
5470 |
18,9 |
6909 |
14,5 |
5607 |
12,0 |
| Автомобильный |
516 |
7,5 |
2315 |
8,0 |
3288 |
6,9 |
4813 |
10,3 |
| Внутренний водный |
385 |
5,6 |
868 |
3,0 |
1191 |
2,5 |
1262 |
2,7 |
| Морской |
3570 |
51,9 |
18145 |
62,7 |
32164 |
67,5 |
29015 |
62,1 |
| Нефте- и продукто-проводный |
213 |
3,0 |
1447 |
5,0 |
2859 |
6,0 |
3832 |
8,2 |
| Газопроводный |
76 |
1,1 |
666 |
2,3 |
1191 |
2,5 |
2149 |
4,6 |
| Воздушный |
7 |
0,1 |
29 |
0,1 |
48 |
0,1 |
52 |
0,1 |
| Всего |
6887 |
100,0 |
28940 |
100,0 |
47650 |
100,0 |
46730 |
100,0 |
Таблица 11
Мировой пассажирооборот (внегородской) по видам транспорта
| Виды транспорта |
1950 г. |
1970 г. |
1980 г. |
1995 г. |
||||
| млрд. ткм |
% |
млрд. ткм |
% |
млрд. ткм |
% |
млрд. ткм |
% |
|
| Железнодорожный |
655 |
25,8 |
1284 |
15,2 |
1680 |
11,8 |
1872 |
10,2 |
| Автомобильный |
1820 |
71,6 |
6533 |
77,2 |
11250 |
79,0 |
14551 |
79,3 |
| в т.ч. автобусный |
377 |
14,8 |
1411 |
16,7 |
2706 |
19,0 |
3486 |
19,0 |
| легковой |
1443 |
56,8 |
5122 |
60,5 |
8544 |
60,0 |
11065 |
60,3 |
| Внутренний водный |
15 |
0,6 |
42 |
0,5 |
57 |
0,4 |
55 |
0,3 |
| Морской |
20 |
0,8 |
25 |
0,3 |
43 |
0,3 |
37 |
0,2 |
| Воздушный |
30 |
1,2 |
566 |
6,7 |
1210 |
8,5 |
1835 |
10,0 |
| Всего |
2540 |
100,0 |
8450 |
100,0 |
14240 |
100,0 |
18350 |
100,0 |
С проблемой подвижности тесно связан вопрос автомобилизации населения. Рост автомобилизации — это один из самых устойчивых динамичных и неэластичных процессов в рамках развития человечества за послевоенный период, чем во многом и определяются различия в уровне подвижности. Этот показатель по развивающимся странам тоже значительно варьирует и в целом относительно низок, так как отражает только поездки на механических видах транспорта без учета велосипедных и пеших передвижений — в наиболее экономически отсталых странах — 0,65, а в Северной Африке — 2,0, в Латинской Америке — 1,5.
Важным типологическим критерием, отражающим транспортную парадигму хозяйственной системы, является соотношение грузовых и пассажирских перевозок (1 ткм по «весу» приравнивается к 1 пассажиро/км), при всей условности таких сопоставлений. Здесь мы исходим из двухпродуктивности (грузовые и пассажирские перевозки) транспорта. Безусловно, это соотношение тесно коррелирует с уровнями приведенных выше показателей транспортоемкости и подвижности. Это соотношение для США равно 1,2 (т.е. по абсолютному размеру общий грузооборот в 1,2 раза превосходит суммарный междугородный пассажирооборот), для Западной Европы 0,34, для Японии 1,1, для России 7,8, для Восточной Европы 3,53, в развивающихся странах — от 0,4 в наименее развитых странах, до 2,5 в странах Северной Африки. В значительной мере на это соотношение, так же, как и на подвижность, влияет развитие в регионе или отдельной стране туризма и всей рекреационной сферы.
Таблица 12
Распределение внутреннего междугородного грузооборота по видам транспорта в 1993 г. (%)
| Регионы |
Виды транспорта |
|||
| Автомобильный |
Железнодорожный |
Водный (речной и каботажный) |
Трубопроводный (нефть и газ) |
|
| Россия |
9 |
46 |
5 |
40 |
| Северная Америка |
26 |
28 |
18 |
28 |
| Западная Европа |
67 |
19 |
8 |
6 |
| Восточная Европа |
9 |
78 |
2 |
11 |
| Япония |
40 |
9 |
51 |
— |
И, наконец, соотношение видов транспорта в грузовых перевозках определяется составом грузообразующих отраслей хозяйства, степенью территориальной концентрации производства. На промышленно развитые страны Запада и Востока приходится примерно 80% грузооборота мирового внутреннего (без морского дальнего плавания) транспорта, который делится почти поровну между этими двумя группами стран. Однако соотношение видов транспорта носит, можно сказать, принципиальные различия. В западных странах в целом на железнодорожный транспорт приходится 25%, автомобильный — 40%, а остальные 35% — на внутренний водный, морской каботаж и трубопроводный. В СНГ и в странах Восточной Европы в целом в грузообороте доминируют железные дороги — около 60% в среднем, тогда как на грузовой автомобильный транспорт приходится лишь 9%. В Северной Америке доли железнодорожного и автомобильного транспорта в грузообороте практически сравнялись, тогда как в России они составляют соответственно 46 и 9%. Огромный разрыв в себестоимости железнодорожных и автомобильных перевозок (15-кратный) объективно сдерживает развитие автомобильных перевозок в нашей стране, тогда как в США разрыв в себестоимости лишь 4-кратный. Такие различия в свою очередь объясняются рядом факторов: слабым развитием дорожной сети и низким ее качеством (доля дорог с капитальным покрытием в России менее 1/3, тогда как в США — более 60% при 6-кратной общей длине), структура грузового автомобильного парка (в России до сих пор преобладают среднетоннажные автомобили, что определяет низкую загрузку парка) и т.д. Еще более разительны различия между долей железнодорожного и автомобильного транспорта в странах Западной и Восточной Европы — соответственно 19 и 67, 78 и 9%.
В развивающихся странах на железнодорожный, автомобильный транспорт и трубопроводы приходится в среднем почти по 1/3 всего внутреннего грузооборота (в Латинской Америке доля автомобильного транспорта значительно выше — 65%, а в Азии — ниже).
Почти 90% грузооборота воздушного транспорта приходится на промышленно развитые страны. Доля этого вида транспорта в общем грузообороте России в 12 раз ниже, чем в грузообороте США, хотя абсолютно эти доли достаточно малы в обеих странах — соответственно 0,04 и 0,5%.
В России доля третичного сектора в ВВП (около 40%) на 1/4 ниже, чем в США. Ожидаемый рост значения этого сектора экономики (и в первую очередь — туризма) наталкивается на архаичность пассажирской транспортной системы.
По последним данным, около 50% взрослого населения России не выезжает на отдых во время отпуска. Отсутствие развитой дорожной сети, низкий уровень автомобильных перевозок, как автобусных, так и особенно легковых автомобильных, становятся серьезным препятствием в развитии рекреационного сектора. Воздушный пассажирооборот, несмотря на его высокую долю, по абсолютному объему уступает американскому в 3,5 раза, западноевропейскому — в 1,5 раза. Эти изменения и различия вызваны влиянием целого ряда факторов, которые можно свести в четыре группы.
Таблица 13
Распределение междугородного пассажирооборота по видам транспорта в 1993 г. (%)
| Регионы |
Виды транспорта |
|||
| железно |
автомо |
|||
| дорожный |
автобусный |
бильный |
воздушный |
|
| легковой |
||||
| Россия |
42 |
20 |
15 |
23 |
| Северная Америка |
1 |
2 |
81 |
16 |
| Западная |
||||
| Европа |
21 |
17 |
54 |
8 |
| Восточная |
||||
| Европа |
30 |
40 |
26 |
4 |
| Япония |
44 |
10 |
40 |
6 |
Повышение качества транспортного обслуживания. Транспорт адаптируется к новейшим сдвигам и тенденциям мирового хозяйства, к новым требованиям клиентуры, что вызвано, в частности, резким повышением степени обработки промышленной продукции, изменением международных связей. Отсюда новые требования к скоростям и своевременности доставки, к сохранности грузов, к надежности функционирования определенных транспортных схем и т.д.
В целом это ведет к усилению специализации транспортного процесса — сначала на перевозке отдельных видов грузов, затем на территориальных сферах применения подвижного состава и эксплуатационных систем, и, наконец, — к специализации сетей универсальных видов транспорта.
Тенденция к повышению надежности функционирования транспортно-коммуникационных каналов проявляется по-разному. Например, происходит изменение географии источников основных массовых грузов: с одной стороны — переход к относительно близким и политически более стабильным источникам сырья, что ведет к снижению средней дальности перевозок. Вместе с тем, по той же причине проявляется стремление ослабить зависимость от единственного уникального источника сырья за счет поиска альтернативных, хотя и дальних источников, что, как правило, ведет к увеличению дальности перевозок, например, импорт в Японию бразильской руды.
Другое проявление тенденции к повышению надежности перевозок — дублирование транспортных коммуникаций мирового значения — прокладка мощных нефтепроводов параллельно Суэцкому и Панамскому каналам, обход «горячих» (нестабильных) точек планеты. На Среднем Востоке, чтобы избежать прохода танкеров через Ормузский пролив, контролируемый Ираном, построен Трансаравийский нефтепровод в Саудовской Аравии до Янбу (Красное море), проектируется трансафриканский нефтепровод Судан—Камерун, чтобы миновать Суэцкий канал. Сформирована транспиренейская автомагистраль, позволяющая избежать прохода через Гибралтарский пролив. Эта тенденция проявляется и в стремлении к усилению свободы маневрирования, к объединению транспортных сетей, например, стыковка южной и северной системы трубопроводов в Западной Европе, создание европейского газопроводного «кольца», открытие «Евротуннеля» под Ла-Маншем.
По мере «облагораживания» грузовой массы факторы качества перевозок играют все большую роль, а фактор текущих транспортных затрат отступает на второй план. Наиболее ярким проявлением этих тенденций стало формирование мировой контейнерной системы, революционизирующей весь транспортный процесс. Морской оборот контейнеров достигает 70 млн ед. в год, в них уже перевозится около 40% генеральных грузов. Конкретное проявление этого процесса, тесно связанное и с повышением надежности и гарантированности транспортных связей, — формирование трансконтинентальных контейнерных «мостов», комбинация морского транспорта с маршрутными скоростными железнодорожными составами, автопоездами (контрейлеры): Транссибирского Япония—Западная Европа, Трансамериканского, Западная Европа—Ближний и Средний Восток.
В связи с коренным изменением геополитической ситуации в Европе, вызванным завершением холодной войны и противостояния Восток—Запад, начинает реализовываться интеграционный потенциал транспортных систем. Ослабление барьерных функций политических границ позволило разработать концепцию формирования транспортных коридоров (полимагистралей), которых в Европе выделено девять: 1) Хельсинки— Таллин— Рига— Калининград— Вроцлав; 2) Берлин—Варшава—Минск—Москва—Нижний Новгород; 3) Берлин—Вроцлав—Краков—Киев; 4) Дрезден—Прага—Будапешт—София—Стамбул; 5) Венеция—Любляна—Будапешт—Ужгород—Львов; 6) Гданьск—Катовице—Эллин—Познань; 7) Дунайский водный путь с выходом на канал Рейн-Майн-Дунай; 8) Дур-рес—Тирана—София—Пловдив—Варна; 9) Хельсинки—Санкт-Петербург—Москва—Киев—Бухарест (в дальнейшем продолжение до Новороссийска и до Астрахани).

Рис. 33. Мировая контейнерная система
На Третьей Панъевропейской транспортной конференции в Хельсинки (1997 г.), где были утверждены проекты формирования и усиления транспортных коридоров, получила реализацию идея развития трех региональных систем: на Севере континента, на побережьях Средиземного и Черного морей.
К важнейшим мирохозяйственным тенденциям, имеющим долговременное воздействие на транспорт, относится изменение внешнеторговых связей развивающихся стран — традиционных поставщиков на мировой рынок минерального сырья и продовольствия. Наряду с этим теперь быстро растет их импорт продовольствия. Это требует развития портового и складского хозяйства, усиления транспортных связей с хинтерландами портов. В связи с этим и с повсеместным сооружением металлургических заводов растет также импорт железной руды в развивающиеся страны — за 70-е гг. он вырос с 1,5 млн до 15 млн т, а к 1993 г. достиг уже 60 млн т.
Именно эти страны, не имеющие возможности быстрого перехода на альтернативные виды топлива и внедрения энергосберегающей технологии, высокими темпами увеличивают импорт нефти. В свою очередь страны-экспортеры нефти (ОПЕК), используя нефтедоллары, быстро наращивали ввоз готовой продукции, что потребовало перестройки всей внешней транспортной системы этих стран: создания контейнерных терминалов, ввода специализированных средств с соответствующим усилением транспортной сети. В связи со все возрастающей финансовой задолженностью и по многим другим причинам для развивающихся стран все острее встает вопрос выбора альтернативных капитало- или трудоемкого вариантов развития и эксплуатации транспорта. Трудоемкие варианты повышают занятость, снижают импортный компонент капитальных затрат. Между тем, под воздействием западных консультантов, отражающих точку зрения своих государств и международных органов, предпочитающих направлять «помощь» в инфраструктуру, зачастую строятся избыточные и престижные объекты.


Рис. 34. Европейская система международных транспортных магистралей

Рис. 35. Девять транспортных коридоров между Западной и Восточной Европой
Транспортная подвижность и автомобилизация. В области пассажирских перевозок все возрастающее значение приобретает тенденция роста подвижности населения, повышения требований к комфортности поездок. В западных странах лишь 40% пассажирооборота приходится на трудовые поездки, более 70% поездок совершается на легковых автомобилях индивидуального пользования. Возрастает роль поездок с целью туризма (рекреационные пригородные и загородные поездки), что не только повышает «качество» населения, но и увеличивает экономический потенциал прежде «затухающих» территорий и малых городов.
Что касается требований к услугам пассажирского транспорта, то помимо комфортности, которую можно обеспечить и на общественном транспорте, все более важное место начинает занимать стремление к индивидуализации поездок — отсутствие жесткого графика движения, случайных попутчиков, свободный выбор маршрута и т.д., что и определяет в значительной мере устойчивость процесса автомобилизации. Опыт показал, что никакие экономические и внеэкономические меры, включая фискальные, субституционные (отмена платы на общественном транспорте — эксперимент в городах Италии, введение проката машин у нас в 60-е гг.), директивные (сдерживание выпуска автомобилей и т.д.), не принесли ощутимых результатов, более того, это обернулось в ряде случаев большими экономическими и даже психологическими потерями.
Резкое повышение цен на бензин во всем мире мало повлияло на темпы автомобилизации (в США на 1 тыс. жителей приходится около 600 автомобилей, в Западной Европе — 400—500, в России почти 100 автомобилей), лишь снизило годовой пробег автомобиля, а главное, сократило удельные расходы бензина на 100 км пробега.
Автомобилизация теснейшим образом связана с процессом урбанизации, являясь фактически его порождением. В то же время новые формы урбанизации — суб-, контр-урбанизация, формирование агломераций и конурбаций — не смогли бы реализоваться без массовой автомобилизации населения.
Современные процессы урбанизации находятся в сложной зависимости с развитием городских и пригородных пассажирских сообщений. За последние 25 лет процесс субурбанизации привел к сокращению доли поездок в центры городов из пригородов США с 35 до 10%. В среднем по странам Европейского Союза 50% перемещений в городах совершается в легковых автомобилях, 12% пешком, 20% автобусом, трамваем, метрополитеном, 15% — на велосипедах и мопедах, 3% — городской железной дорогой.
По подсчетам специалистов, развитие средств информатики и связи снижает потребность в деловых поездках на 20—25% и в бытовых поездках — даже на 50%.
Снижение ресурсоемкости. Все большее воздействие на мировую транспортную систему оказывает мировая энергетическая ситуация. При ее рассмотрении представляется необходимым увязать перспективные сдвиги в структуре мирового топливно-энерге-тического баланса с изменением в объемах и составе (по видам транспорта) перевозок, в географии и дальности грузопотоков, исходя из того, что по объему основные энергоносители — нефть, уголь и природный газ — остаются до сих пор главным грузом в мировой транспортной системе.
Мировое потребление энергии за последующие 15 лет должно увеличиться с 8,3 млрд до 13 млрд т нефт. экв. По американским данным, исходя из того, что для годового потока нефти в 50 млн т и газа 10 млрд мЗ требуется один крупный трубопровод, для потока угля в 25 млн т — один пульпопровод или железнодорожная линия, до 2010 г. число магистральных международных нефтепроводов должно возрасти в регионах-потребителях (производителях) нефти на 14(12), газопроводов — на 57(49), углепроводов или углевозных железных дорог — на 70(74) с соответствующими выходами на морские порты и коммуникации.
Проблема снижения энергоемкости перевозок решается по крайней мере по трем направлениям: 1) технологическому — путем совершенствования двигателей и движетелей, снижения веса тары и транспортных средств; 2) эксплуатационному — через повышения загрузки транспортных мощностей, т.е. снижение порожних, балластных пробегов, рейсов, сокращение простоев, улучшение использования грузоподъемности и вместимости, но наряду с этим — и снижение скоростей движения; 3) структурному — посредством изменения структуры перевозок по видам транспорта в сторону увеличения роли более энергоэффективных видов — морского и трубопроводного. При этом однако усиливается противоречивость развития, так как продолжают относительно быстро расти перевозки самых энергоемких видов транспорта — автомобильного и воздушного, что связано в первую очередь со всемирным распространением туризма (за последние 20 лет доля туристов в международных воздушных перевозках возросла с 30 до 75%), а также с новыми требованиями к грузовым перевозкам.
На транспорте постоянно усиливается тенденция к замене живого труда овеществленным путем широкого внедрения достижений НТР, т.е. повышения фондовооруженности. Но эта тенденция не реализуется автоматически — так, суда под «дешевыми» флагами (их доля в мировом тоннаже за 25 лет выросла с 15 до 42%), обеспечивает в 3 раза и более низкую себестоимость перевозок, чем на остальной части флота, хотя среди них много устаревших судов, находящихся в аварийном состоянии.
Такое повышение фондовооруженности ведет, как правило, к снижению текущих затрат при резком повышении капиталоемкости транспортного процесса. Так, процесс контейнеризации обошелся мировому сообществу уже в несколько десятков миллиардов долларов.
В связи с этим приходится отметить ошибочность зачастую бытующего в научной литературе тезиса о том, что транспорт «дешевеет», роль его как фактора размещения падает. На самом деле происходит определенное перераспределение суммарных транспортных затрат — снижается доля текущих затрат, которые через тарифы покрываются транспортной клиентурой, при одновременном возрастании доли капиталовложений, которые финансируются транспортными предприятиями, государственными и муниципальными органами (в том числе и в форме субсидий).
Воздействие НТР на транспорте и сдвигов в его структуре на мирохозяйственные связи. Это воздействие вызывает изменения характера и интенсивности международного разделения труда, которое выражается в притяжении промышленности в порты, изменении специализации приморских районов и зон, формировании портово-промьпиленных комплексов, в процессах суб- и рурбани-зации и др. Современные судоходные линии меняют сложившуюся иерархию портов. Так, три кругосветные контейнерные линии, оснащенные судами-контейнеровозами 4-го поколения (по 4,2 тыс. ед. вместимости) ориентируются всего на несколько портов в Западной Европе, что требует перестройки всей системы фидерных (подводящих) контейнерных линий, более высокого уровня интеграции морского с другими видами транспорта.
Кроме тенденций к сокращению дальности грузовых международных перевозок (о которых говорилось выше), есть транспортные факторы, способствующие ее росту. В перевозках насыпных грузов продолжается увеличение роли крупных морских судов, которые своей экономичностью меняют географию связей. Так, в железнорудных перевозках сооружение в Бразилии глубоководного порта — Тубаран, принимающего суда до 250 тыс. т, обеспечило более дешевые перевозки в Роттердам на расстояние 9 тыс. км, чем из Монровии (5 тыс. км) на судах 80 тыс. т и из Суганто в Испании (3,2 тыс. км) на судах 70 тыс. т.
В перевозках угля ввод крупных судов способствовал тому, что среди главных экспортеров снижается доля США, растет доля ЮАР и Австралии, наряду с продолжающимся ростом объема угольных перевозок важной тенденцией является изменение их состава — растет доля более крупных отправлений энергетических углей за счет сокращения перевозок коксующихся углей, что ведет, в свою очередь, к изменению схемы транспортных связей хинтерландов.
Ввод широкофюзеляжных самолетов, а также организационные изменения в воздушном транспорте (чартерные рейсы) способствуют развитию международного туризма. Широкое развитие получили чартерные полеты со значительной скидкой со стоимости билета при групповьис поездках и со снижением уровня комфортности (зачастую и безопасности). Это позволяет привлечь к дальним туристским полетам новые (с точки зрения иностранного туризма) слои населения.
И в грузовых сообщениях воздушный транспорт оказывает значительное воздействие на изменение экономических связей, на сдвиги в территориальной структуре хозяйства. Опыт США показывает, что необходимым условием при этом является специализация технических средств и терминалов: перевозки на специальных грузовых самолетах, что снижает себестоимость более чем в 2 раза по сравнению с перевозками грузов в отсеках пассажирских самолетов, сооружение специализированных терминалов, организация эффективной наземной фидерной сети. В США доля грузовых самолетов в воздушных перевозках за 25 лет возросла с 40 до 85%, уже функционирует 80 грузовых терминалов.
Важной перспективной тенденцией является сращивание транспортных и экспедиционно-распределительных предприятий. В узлах, обеспеченных надежными и скоростными транспортными связями — воздушными и морскими контейнерными линиями — создаются крупные специализированные транспортно-распределительные центры международного значения (Париж, Марсель, Франкфурт-на-Майне, Мюнхен и др.).
Воздействие государства на развитие и функционирование транспорта. Транспорт широко используется как орудие региональной политики. В условиях усиления избыточности и противоречивости развития транспорта усиливаются протекционистские и дискриминационные экономические, фискальные и правовые меры государства, направленные на смягчение конкуренции и защиту национальных транспортных компаний. Усиливается использование «своих» транспортных средств для расширения «невидимого» экспорта (перевозки грузов иностранных фрахтователей и т.д.). «Дерегулирование» воздушного транспорта в США, появление чартерных авиакомпаний-аутсайдеров обостряют конкуренцию на воздушном фрахтовом рынке, ведут к снижению коммерческой загрузки самолетов.
«Война флагов», политика попустительства по отношению к флагам «удобств» вызывают дезорганизацию фрахтового рынка, ведут к недогрузке тоннажа. Из 660 млн т дедвейта мирового флота около 180 млн т избыточны (из них 80 млн т — на приколе), даже суда контейнеровозы используются лишь на 60—65%.
Ужесточение природоохранных предписаний и мер значительно усиливает избыточность транспортных мощностей и удорожает транспортный процесс.
С учетом дороговизны территории более 10 млн т танкерного тоннажа используется в качестве плавучих нефтяных емкостей-складов в прибрежных водах ряда стран (например, Япония). Используются танкеры и в качестве зернохранилищ в акваториях портов развивающихся стран в связи с тем, что складское хозяйство их портов не подготовлено к столь быстрому росту ввоза зерна.
Взаимодействие и переплетение этих факторов, вызывает сложное противоречивое развитие всей мировой транспортной системы.
Противоречивость развития транспортных систем. Следует отметить противоречивость некоторых из рассмотренных выше тенденций. С одной стороны, общая тенденция — ускорение транспортного процесса: скоростные железные дороги, контейнерные сообщения, быстроходные специализированные суда, с другой — снижение ходовых скоростей судов, чтобы поглотить избыточность тоннажа, снижение скоростей и на других видах транспорта с целью уменьшения энергозатрат.
Противоречивые и взаимодополняющие тенденции — формирование мощных полимагистралей, транспортных коридоров для повышения эффективности транспортного процесса. С другой стороны, дисперсия транспортных потоков, строительство сравнительно мелких высокоспециализированных транспортных средств, контейнеров с четкой «адресностью» назначения, развитие фидерных путей сообщения, обеспечивающих подвоз-развоз.
Обостряются противоречия между развитием подвижного состава и постоянных устройств, между линейными и узловыми элементами системы. Возможности портов обычно отстают от перевозок, образуются иерархические системы портов с целью концентрации капиталовложений, в то же время усиливается конкуренция между ними.
Возникают диспропорции между портами стран-отправителей и портами стран-получателей. Отсюда — усиление тенденции избежать портовых устройств, организовать бесперегрузочные системы (суда «река-море», баржевозы, паромы, накатные суда и т.д.).
Крупной проблемой мирового значения оставалось до последнего времени отсутствие глубоководных портов на Атлантическом побережье США (порты принимали суда до 70 тыс. т).
Далеко идущие последствия вызывает то обстоятельство, что доля развивающихся стран в мировом морском тоннаже — всего 25%, тогда как в мировом отправлении грузов — более 50%.
Одна из причин избыточности транспортных мощностей — обострение конкуренции между железнодорожным и автомобильным транспортом (в США затраты у автотранспорта — 60%, тогда как доля в грузообороте — 26%, а доля в энергопотреблении транспорта — 85%). От «перехвата» грузов автомобильным транспортом и от «вторжения» автомобиля в сферу железных дорог экономика США теряет, по некоторым подсчетам, около 2 млрд долл. в год.
Эти типичные для современной и перспективной транспортной ситуации тенденции и процессы, тесно взаимодействующие с процессом мирового развития, требуют тщательного исследования на междисциплинарном уровне. Между тем, приходится признать, что общий уровень изученности мирового транспорта как системы стал снижаться.
Вопросы
1. Каковы главные специфические черты транспорта как сектора мирового хозяйства?
2. Каковы основные причины и факторы изменений и сдвигов в структуре транспортных систем?
3. Как повлияли на изменения в транспортной системе сдвиги в соотношении элементов стоимости товара у потребителя (цена CIF)?
4. Каковы основные направления развития мировой транспортной системы?
5. В чем выражается пропульсивная роль транспорта в современном мировом хозяйстве?
6. Как воздействует транспорт на усиление географического разделения труда?
7. Каковы главные особенности и сдвиги в структуре грузо- и пассажиро-оборота по крупным регионам и по миру в целом?
8. Каковы основные тенденции развития транспортной сети?
9. В чем главные особенности превращения транспортной системы в распределительно-логистическую?
10. Каковы основные параметры мировой транспортной системы?
11. Каковы основные критерии выявления макрорегиональных различий в работе транспорта?
12. Как измеряется транспортоемкость хозяйства?
13. Каков экономико-географический смысл показателя транспортной подвижности населения?
14. Назовите положительные и отрицательные стороны автомобилизации.
15. Что входит в качество транспортного обслуживания?
16. Каковы главные черты и особенности мировой контейнерной системы?
17. Каковы основные противоречия развития глобальной и региональных транспортных систем?
Международное географическое разделение труда и транспортное освоение Мирового океана
Особенности освоения ресурсов Мирового океана. Опережающий рост морской компоненты развития и связанная с этим необходимость формирования «океанического мышления» обусловлены все более тесной связью и растущей взаимозависимостью глобальной проблемы освоения ресурсов Мирового океана с другими глобальными проблемами развития человечества, в частности, с проблемой бесперебойного функционирования всемирного хозяйства и углубления международного географического разделения труда.
Проблема Мирового океана в последнее время значительно обострилась в связи с интенсификацией использования его ресурсов в широком понимании, включая сюда и транспортные, и рекреационные. Общая стоимость мировой продукции морехозяйства достигает уже 400 млрд долл., в том числе: подводной добычи нефти и газа — 200 млрд, продукции морского транспорта 100 млрд, рыбного хозяйства 50 млрд, морского туризма 40 млрд долл.
По темпам роста морехозяйство в 2—3 раза опережает мировое хозяйство в целом. Это связано в первую очередь с продолжающимся разделением труда, интернационализацией мировой экономики и развитием мирового судоходства, доля которого в работе мировой транспортной системы за последние 40 лет выросла с 52% до 62%. Высоки темпы роста морской (преимущественно шельфовой) горнодобывающей промышленности — доля морской добычи нефти и газа достигла уже 1/4 объема мировой добычи этих энергоносителей. Четко прослеживается процесс сдвига к морю промышленности, транспортных предприятий, рекреационной деятельности, ведущего к образованию высоко насыщенной экономическими объектами контактной зоны «суша-море».
Возрастает антропогенное воздействие на эту зону. В 50-километровой прибрежной зоне (всего 12% всей мировой суши) сосредоточено 40% городского и 29% всего населения мира. В Северной Америке эта доля достигает 32%, в Европе — 29%, в Азии — 27%, в Австралии и Океании — 79%. Суммарное население портовых городов-миллионеров превышает уже 400 млн жителей.
Другой особенностью процесса освоения океанических ресурсов является его резкая пространственная неравномерность, с одной стороны, и высокая степень акватерриториальной концентрации хозяйственной деятельности — судоходства, рекреации, добывающей промышленности — с другой. 20% мирового контейнерного оборота сосредоточено в четырех портах из 200, осуществляющих контейнерные операции. Из общего мирового объема морских перевозок, составляющего около 3,6 млрд т в год, 0,5 млрд т поступает в порты восточного побережья США, по 0,9 млрд т — в порты Северо-Западной Европы и Японии, т.е. на три этих портовых зоны приходится 2/3 мирового морского порта.
Процесс освоения ресурсов Океана проходит в чуждой для человека среде, и не только из-за непогоды, волн, тайфунов, цунами и т.д. По мере все большего проникновения человека во внебереговую, акваториальную зону усиливается противоречивость, даже кризисность этого процесса, вызванные ростом аварийности морехозяйства. Этому способствует и высокая пространственная концентрация морехозяйственной деятельности. Нарушение правил эксплуатации, неадекватность техники безопасности при быстром росте масштабов морехозяйства приводят к тяжелым авариям на нефтяных буровых платформах в шельфовой зоне, в судоходстве. Одной из крупнейших экологических катастроф стала авария супертанкера «Амако Кадис» 16 марта 1978 г. у северо-западных берегов Франции, в результате которой в море попало более 200 тыс. т нефти. Чрезвычайно тяжелые последствия аварии танкера «Валдия» у берегов Аляски в 1988 г. Несколько серьезных аварий произошло на буровых платформах в Северном море. Отсюда постоянно возрастающие требования к надежности технических и технологических систем обеспечения функционирования отраслей морехозяйства, что в свою очередь ведет к устойчивому росту капиталоемкости всей морехозяйственной деятельности.
Стоимость морской добычи нефти более чем на порядок выше, чем континентальной с учетом приведенных капитальных затрат. Морской транспорт, считающийся самым дешевым видом массового транспорта (низкая себестоимость морских перевозок в значительной мере и обеспечила высокие темпы развития мирового хозяйства на базе дешевых энергоносителей в 60-е гг.) по мере специализации и обострения конкуренции между судоходными компаниями также требует все больших капиталовложений, в частности в процесс контейнеризации, в морские перевозки сжиженного газа.
Характерно для современного этапа освоения ресурсов Мирового океана все более тесное переплетение отдельных видов морехозяйственной деятельности, тесное сращивание чисто акваториальных хозяйственных структур с береговыми и даже внутриконтинентальными, что приводит к формированию различного рода акватерриториальных производственных комплексов, в частности портово-промышленных образований.
Особое значение приобретает международная составляющая морехозяйства. В акваториальной зоне процесс интернационализации хозяйства проявляется более ярко, чем по мировому хозяйству в целом. Акватория Мирового океана стала ареной быстрого развертывания и проникновения транснациональных корпораций, например, в нефтегазодобывающей шельфовой зоне Северного моря. Политическое соприкосновение национальных морехозяйственных систем выявляется здесь особенно четко.
Отсюда особая чувствительность морехозяйственных систем к политическим изменениям, к смене расстановки политических сил, образованию экономических и военно-политических блоков. Быстро меняются традиционные представления о свободе морей, о «ничейности» океанических ресурсов. Проблема «присвоения» океанических пространств в известной мере решается принятием целым рядом государств III Конвенции по морскому праву «Хартии морей». События в Персидском заливе лишний раз свидетельствуют о втягивании обширных океанических пространств в военно-политические конфликты, что усиливает военную угрозу, резко нарушает развитие международных экономических связей, дестабилизирует политическую и экономическую обстановку в обширных регионах. Все это требует гораздо большего внимания к разработке политической географии Океана, которая должна изучать политико-географические условия (и перспективы их изменения) функционирования мирового морехозяйства и их влияние на судоходство, на формирование всемирного и региональных фрахтовых рынков, на использование всемирного и региональных фрахтовых рынков, на использование ресурсов шельфовой зоны, на стратегическую ситуацию (размещение баз, право и запрет на заход военных кораблей в порты и т.д.), на конфигурацию трансокеанических воздушных линий.
На отдельных этапах участие и проникновение транснациональных монополий в различные отрасли морехозяйства проходит раньше и интенсивнее, чем на суше. Усиливающийся их контроль над перевозками связан со стремлением гарантировать каналы реализации продукции в условиях усиления конкурентной борьбы на мировом рынке. По мере увеличения доли внутрикорпорационных перевозок морской транспорт все в большей степени становится «производственным» транспортом ТНК. Через свои судоходные филиалы ТНК контролируют 60% перевозок нефти, 42% — нефтепродуктов, 50% — бокситов, 43% — глинозема, 55% — железной руды. Крупнейшими судовладельцами являются нефтяные корпорации «Эксон», «Сокал», «Галф ойл», «Мобил ойл», «Бритиш петролеум», металлургические корпорации «Юнайтед Стейтс стил», «Бетлехем стил корпорейшен» и др.
Такой высокий уровень участия ТНК в транспортировке сырья позволяет им контролировать движение фрахтовых ставок путем создания дефицита или излишков тоннажа. Так, избыточный тоннаж позволил ТНК через демпинговые цены на транспортные услуги компенсировать снижение прибылей, вызванных колебаниями цен на нефть.
Несмотря на то, что освоение океанических пространств началось позже, чем освоение суши, и приходит более выборочно, антропогенное воздействие на акваторию и прибрежные зоны ощущается сильнее. Это вызвано особой уязвимостью природной системы «Мировой океан», единством среды, что вызывает диффузию негативных последствий. Между тем экологические факторы при развитии судоходства, при освоении шельфовых месторождений учитываются еще недостаточно — применяются в первую очередь средства искусственной очистки уже загрязненной морской воды при явно недостаточном масштабе внедрения профилактических мер, что наносит огромный ущерб флоре и фауне морей, а следовательно, и морехозяйству.
Все виды морехозяйственной деятельности находятся в тесной и сложной (часто противоречивой) взаимозависимости с морским транспортом. Это можно сказать и о различных сторонах решения глобальной проблемы освоения ресурсов Мирового океана — политико-географической, экологической и др. Именно деятельность морского транспорта — мировое судоходство, развитие портов, взаимодействие с внутренними видами транспорта — связывает в тесный узел решение таких глобальных проблем, как освоение ресурсов Мирового океана и бесперебойное функционирование мирового хозяйства, углубление и усложнение международного географического разделения труда, обеспечение процесса интернационализации хозяйственной жизни в мировом масштабе.
Такая функциональная универсальность морского транспорта сочетается с его уникальностью в системе морехозяйства. Если все остальные виды морехозяйственной деятельности, такие как добыча минерального сырья в зоне шельфа (включая добычу углеводородного топлива), рыболовство, рекреация, тоже связанные с решение отдельных глобальных проблем, могут еще длительное время иметь альтернативные и «сухопутные решения», то морскому грузовому транспорту альтернатив практически нет ни в настоящее время, ни в обозримом будущем. И это несмотря на то, что научно-технических прогресс несколько потеснил позиции морского транспорта — речь идет о морских и некоторых «спрямляющих» или дублирующих нефте- и газопроводах, трансконтинентальных «мостах», авиалиниях.
Фрахтовый рынок и структурные изменения морского судоходства. Решающее значение для мировой торговли имеет фрахтовый рынок морского тоннажа, который осваивает более 75% общего объема международных перевозок. Из 458 млн т бруттореги-стрового тоннажа мирового флота около 1/4 зарегистрировано под флагами западных промышленно развитых государств, более 1/3 тоннажа принадлежит западным судоходным компаниям, но плавает под «удобными» флагами Либерии, Панамы, Сингапура и др. (что обеспечивает владельцам значительные налоговые и другие льготы), около 1/5 составляет доля развивающихся стран Азии, Африки, Латинской Америки, тогда как на них приходится около 50% физического объема морских перевозок.
Морской транспорт как отрасль, в известной степени формирующая территориальную структуру мирового хозяйства, отличается значительным своеобразием, определяемым технико-экономическими и организационными особенностями этого вида транспорта:
1) тесным взаимодействием и взаимопроникновением сфер функционирования национальных систем морского транспорта, что определяет международный характер этой отрасли инфраструктуры;
2) в отличие от других отраслей инфраструктуры опережающими по отношению к основным производственным отраслям темпами развития;
3) своеобразным проявлением НТР, часто закрепляющим сложившиеся внутриотраслевые диспропорции между динамично развивающимися и трансформирующимися подвижным составом (флотом) и более инерционной портовой инфраструктурой;
4) новыми формами взаимодействия, конкуренции (даже вытеснения) между морским транспортом и другими видами транспорта как результатом быстро меняющихся требований клиентуры к качеству транспортного обслуживания, что ведет к трансформации всего транспортного процесса;
5) усилением воздействия морского транспорта на интенсификацию и усложнение всей структуры мирохозяйственных связей, на повышение уровня «чувствительности» любого производственного пункта в мире к изменениям деловой обстановки в любом другом пункте;
6) резким повышением роли крупных морских портов в концентрации производства многих видов продукции и формировании «контактных» экономических районов «суша-море».
Составляющая морского транспорта в стоимости внешнеторговых грузов по промышленно развитым капиталистическим странам достигает в среднем 12,8%, по импортным (экспортным) грузам у Японии — 24(12), Испании и Финляндии — 12(22), Франции — 15(10), Италии — 8(9), США — 18(18), Канады — 23(23). У развивающихся стран доля транспортных затрат в стоимости экспортных грузов относительно велика.
Отсюда стремление к снижению транспортных издержек в первую очередь путем увеличения масштабов перевозок.*
* Средняя эффективность танкеров разной грузоподъемности (100 тыс., 250 и 350 тыс. т дедвейт) на маршрутах из Персидского залива в Роттердам выражается следующими данными: провозная способность (тыс. т перевозимой нефти в год) соответственно 560, 1400, 1840; стоимость судна (долл./т дедвейт) — 300, 200, 160; капитальные затраты (долл./т перевозимой нефти) — 7,9, 5,2, 4,5; эксплуатационные расходы (долл. в сутки) на 1 судно — 6750, 8500, 9500; на 1 т перевозимой нефти — 4,4, 2,2,1,85; энергетические затраты (долл./т перевозимой нефти) — 22,8, 13,3, 11,2.
Транспортное освоение океанических пространств, темпы и пространственная структура этого процесса тесно связана и во многом определяется долговременными тенденциями трансформации мирового фрахтового рынка. Важнейшие из них:
обострение борьбы за грузы и «война» флагов в условиях избыточности (до 1/4 тоннажа) перевозочных мощностей; широкое использование таких мер транспортной политики, как протекционизм и дискриминация флагов;
возрастание роли «удобных» (дешевых) флагов за 20 лет с 15% до 36% мирового тоннажа, показавших в условиях кризиса судоходства повышенную жизнестойкость;
усиление монополизации судоходства, концентрация капитала на фрахтовом рынке западного мира;
активизация морской политики развивающихся стран, стремящихся смягчить диспропорции между тоннажем под национальными флагами и объемом проходящих через их порты грузов;
отсюда усиление тенденции к «присвоению» морских пространств, сужение сферы «свободного» судоходства;
появление на мировой арене стран новой индустриализации с чрезвычайно активной политикой в области судоходства (Сингапур, Тайвань) и судостроения (Бразилия, Республика Корея);
развитие перевозок грузов иностранных фрахтователей (невидимый экспорт транспортных услуг) флотами норвежских, германских, британских, греческих и других судовладельцев;
переход многих развивающихся стран в разряд крупных импортеров как сырья и топлива, так и готовой продукции;
сдвиги в структуре грузовой массы в сторону роста доли генеральных грузов, в том числе контейнеризованных, а также изменение состава топливных грузов;
изменение состава и структуры мирового флота, замедление роста размера судов, внедрение автоматизации, специализация не только на перевозках определенных грузов, но и на районах плавания под влиянием НТР и требований клиентуры;
усиление роли природоохранных и природовосстановительных предписаний и мероприятий;
принятие в 1982 г. морской Конвенции, устанавливающей 200-мильную экономическую зону, что увеличивает степень соприкосновения государств;
усиление процесса формирования прибрежных контактных зон, связанного с освоением шельфа и сдвигами хозяйства к морю, с портами как ядрами кристаллизации хозяйственно деятельности;
усложнение функций самих портов и их трансформация в портово-промышленные комплексы, транспортно-распределительные центры;
новый этап интеграции морского и внутренних видов транспорта, связанный в первую очередь с агрегированием генеральных грузов и формированием международной контейнерной системы, глубокая трансформация хинтерландов портов и образование сухопутных контейнерных «мостов».
Сдвиги в структуре морских перевозок. Последнее 20-летие характеризуется значительным изменением тенденций мировых перевозок. Однако за средними «кризисными» цифрами скрываются сложные процессы изменения структуры перевозок, отражающие возрастающую роль морского транспорта в перестройке мирового хозяйства.
Важнейшим следствием энергетического кризиса стало сокращение объема перевозок сырой нефти с 1,26 млрд т в 1975 г. до 0,87 млрд т в 1985 г. К 1996 г. объемы перевозок достигли уровня 1975 г. при сокращении их средней дальности с 13 тыс. до 8,0 тыс. км. Доля сырой нефти в перевозках морем, составляющая в 1995 г. 30%, к 2000 г. снизится до 27%. Несмотря на развитие целого ряда нефтеносных районов международного значения, и к 2000 г. около 1/2 всего объема перевозимой в дальнем плавании нефти будет отгружаться из района Персидского залива. Однако средняя дальность перевозок нефти так и не достигнет уровня 1975 г. Это вызовет замедление роста или даже сокращение флота супертанкеров (более 200 тыс. т дедвейт). В целом доля танкеров в мировом флоте снизится с 52% до 35—40%.
Напротив, перевозки нефтепродуктов продолжают расти с 0,23 млрд в 1975 г. до 0,27 млрд в 1985 г. и до 0,3 млрд т в 1995 г. при росте дальности перевозок с 6 тыс. км до 8 тыс. км вследствие интенсивного строительства нефтеперерабатывающих заводов в нефтеэкспортирующих странах.

Рис. 36. Основные пути и грузопотоки в Мировом океане
С проблемой транспорта нефтегрузов тесно связана и перспектива разработок месторождений на шельфе Мексиканского залива, Калифорнии, Каспия, Персидского залива, Индонезии, Северного моря, Гвинейского залива. Перспективными нефтегазоносными районами являются Канадский сектор моря Бофорта, северо-западная и юго-восточная прибрежные зоны Австралии. На сроки ввода этих месторождений во многом влияют удаленность их от потребителей, геологические параметры месторождений, гидрологический режим морей.
Сдвиги в мировом топливном балансе вызовут также рост перевозок угля — к 2000 г. до 450 млн т против 390 млн т в 1995 г. с выходом на первое место сред массовых сухих грузов. При этом соотношение коксующегося и энергетического угля в перевозках за последние 20 лет изменилось с 4,5:1 до 0,7:1.
Происходят значительные изменения в географии морских угольных потоков — снижается роль США как главного экспортера (из-за отсутствия глубоководных портов на восточном побережье), возрастает доля Австралии и ЮАР, где мощность крупнейшего в мире углевывозящего порта Ричарс-Бей повысится с 28 до 45 млн т в год. Новые угольные потоки будут генерироваться из КНР, Колумбии, Индии, Индонезии, Ботсваны. Основная проблема организации новых грузопотоков угля — создание специализированной инфраструктуры морского и сухопутных видов транспорта.
Перевозки железной руды за 1992—2000 гг. возрастут с 339 до 400 млн т. Основными отправителями останутся Бразилия с крупнейшим в мире рудовывозящим портом Тубаран (около 79 млн т в год), Австралия, страны Западной Африки. Возрастут сверхдальние потоки Бразилия—Япония, Австралия—ФРГ. Ввиду быстрого роста импорта железной руды развивающимися странами (до 100 млн т к 2000 г.) обостряется проблема неадекватности оборудования принимающих портов в этих странах.
Продовольственный кризис выражается в медленном росте объема перевозок зерна со 137 млн т в 1975 г. до 260 млн т в 1995 г. По прогнозам, объем перевозок зерна должен достигнуть 250 млн т при снижении доли пшеницы и росте доли фуражного зерна. Крупнейшие порты по отгрузке зерна — Сиэтл, по выгрузке — Иокогама. Ведущими экспортерами останутся США (подавляющая часть мирового экспорта), Канада, Австралия, Аргентина. Важным сдвигом в географии перевозок является быстрый рост импорта зерна в развивающиеся страны (более 1/2 объема перевозок), что наталкивается на отсталую портовую инфраструктуру.
Принципиальным изменением структуры перевозок является быстрый рост доли генеральных грузов с 12% в 1975 г. до 20% в настоящее время и до 25—26% к 2000 г., при этом доля контейнеризованных грузов должна возрасти с 1/3 до половины всех перевозимых грузов.
Значительны изменения пространственной структуры перевозок и в первую очередь (на что исследователи до сих пор не обратили внимания) значительное уменьшение дисбаланса между прибытием и отправлением в главных грузополучающих регионах. За последнее 10-летие он уменьшился по портам восточного побережья США с 1,2 до 1,1, Северо-Западной Европы — с 2,2 до 1,5, Южной Европы — с 4,0 до 2,8, Японии — с 6,5 до 4,2.
В главных грузоотправляющих регионах дисбаланс между отправлением и прибытием также значительно сгладился: по восточному побережью Южной Америки с 2,7 (превышение погрузки над выгрузкой) до 1,6, по средиземноморским портам Африки и Азии с 3,4 до 2,1, по портам Персидского залива с 12,0 до 4,1, Юго-Восточной Азии с 1,4 до 1,2.
Среди главных грузополучающих регионов доля портов восточного побережья США и Японии изменились незначительно (12— 13% и 20—22% соответственно), тогда как доля портов Северо-западной Европы снизилась с 26% до 22%, Южной Европы с 12,0 до 10%. Крупными получателями стали некоторые традиционные грузоотправляющие регионы, и в первую очередь порты Персидского залива (рост за 20 лет с 24 млн до 190 млн т, включая внутрирегиональные перевозки), Юго-Восточной Азии (с 61 млн до 145 млн т), средиземноморские порты Африки и Азии (с 36 млн до 113 млн т).
По росту отправления значительно опережают среднемировые темпы нестабильные регионы — порты Центральной Америки (с 16 млн до 83 млн т, т.е. в 5 раз), Юго-Восточной Азии (с 105 млн до 202 млн т, в 2 раза), а также порты Южной и Восточной Африки (с 27 млн до 72 млн т), Австралии (со 102 до 227). Характерно, что регионы с наиболее динамичными межбассейновыми связями испытывают и наибольший рост внутрирегиональных (между портами региона) перевозок. Так, перевозки между портами Персидского залива увеличились почти в 7 раз, достигнув 103 млн т, Юго-Восточной Азии — более чем в 2 раза (до 37 млн т), Центральной Америки — в 3 раза, между Средиземноморскими портами Африки и Азии — в 2 раза.
Контейнерная «революция». Революционизирующее воздействие на структуру морского транспорта, в том числе и на порты оказывает процесс контейнеризации, который сопровождается концентрацией судопотоков, портовой деятельности капитала.
Внедрение контейнеров сокращает время доставки, снижает затраты живого труда, уменьшает время стоянки судна в порту, упрощает и ускоряет погрузочно-разгрузочные операции, повышает сохранность груза. По провозной способности одно судно-контейне-ровоз заменяет четыре обычных судна той же грузоподъемности: пропускная способность контейнерного причала по сравнению с обработкой обычных универсальных судов повышается в 5—6 раз. Контейнеризация вызвана потребностями морского транспорта и в первую очередь усиливающейся диспропорцией между возрастающей массой грузов и ограниченными перерабатывающими мощностями морских портов.
Флот судов-контейнеровозов, которые впервые появились на линиях Северной Атлантики в 1968 г., в 1995 г. достиг 1110 судов общим тоннажем 33,1 млн бр.-рег. т. Вместимость флота контейнеровозов составляет 3,0 млн ед., парк контейнеров превысил 6,0 млн ед. Самые большие флоты контейнеровозов в США — 142 судна, Великобритании — 118 судов, Японии — 65 судов и в ФРГ — 62 судна. Контейнеровозы обрабатываются в 200 портах мира, через которые в настоящее время проходит около 70 млн контейнеров в год, в том числе через порты США — 14 млн, Японии — 6, Нидерландов — 4,2, Великобритании — 4, Тайваня — 5,1, ФРГ — 3,2, Сянгана — 3,8, Франции и Австралии — по 2, Италии — 1,8 млн единиц. Среди отдельных портов выделяются Роттердам — 3,3, Нью-Йорк — 2,3, Кобе — 2,2, Сингапур — 3,4, Гаосюн — 3,1, Гамбург — 1,6 млн ед. в год. Многие порты Южной Европы стали крупными контейнерными перевалочными пунктами благодаря резко выросшему вывозу генеральных грузов в страны Ближнего и Среднего Востока.
Контейнеризация чрезвычайно капиталоемка. Это ведет к высокой концентрации данного вида транспортной деятельности: на 10 судоходный компаний США, Дании, ФРГ и других стран приходится 1/3 всей вместимости мирового флота контейнеровозов. Быстрое наращивание мощностей мировой контейнерной системы сопровождается снижением темпов роста контейнерных перевозок; усиливается недоиспользование судов-контейнеровозов, которое достигает 40%, а мировой парк контейнеров используется лишь на 3/4. Вместе с тем продолжается быстрый рост оборота контейнеров в портах развивающихся стран.
Внедрение контейнеров в корне меняет соотношение в системе порт—хинтерланд, географию транспортных связей, принципы взаимодействия между морскими и внутренними видами транспорта. Контейнеры меняют размеры и конфигурацию хинтерланда портов, глубину транспортного «внедрения» порта, уровень издержек внутреннего транспорта; усиливаются линии проникновения за пределы традиционных зон тяготения к порту вдоль главных транспортных осей, перестраивается сама иерархия портов. Транспортные магистрали дополняются фидерными и соединительными линиями. В узлах их пересечений образуются системы внутренних транспортно-распределительных центров. Процесс контейнеризации ведет к концентрации морских транспортных потоков, к созданию крупных терминалов — перегрузочных центров. Так, в США 70% общего оборота контейнеров приходится на шесть портов — Нью-Йорк, Лос-Анджелес, Окленд, Сиэтл, Балтимор, Хэмптон-Родс.
Кризисные явления в экономике, цикличность и неустойчивость ее развития, обострившие борьбу за привлечение клиентуры, усиливают тенденцию, направленную на повышение гибкости, приспособляемости и «выживаемости» морского судоходства, его меньшей зависимости от портов. Это нашло свое отражение в появлении судов типа «лаш» и «сиби», перевозящих грузы в плавучих контейнерах. Суда «сиби» принимают на борт 38 груженых барж грузоподъемностью по 855 т. Время загрузки таких судов сокращается в 10 раз. Грузы без перегрузки доставляются таким образом из внутренних районов США в речные порты Западной Европы, а через Тихий океан — в Азию. Роль портов меняется по мере того, как ряд из них превращается из перевалочных в транзитные пункты. При этом особое значение приобретают суда смешанного плавания типа «река-море» с максимальной осадкой 4,8 м и грузоподъемностью 2,9 тыс. т (например, в сообщениях между речными портами на Миссисипи и портами Центральной Америки)
НТР на морском транспорте оказала определенное влияние на другие виды транспорта, что привело к новым формам их взаимодействия, к образованию непрерывной транспортной цепи, включающей трансконтинентальные «мосты», с использованием накатных судов или судов-контейнеровозов. Такая концентрация перевозок на море вызывает соответствующую перестройку внутренних сообщений — формирование транспортных полимагистралей, обеспечивающих беспрепятственное движение автопоездов и маршрутных контейнерных железнодорожных составов, что значительно удешевляет перевозки на суше и делает их конкурентоспособными с морскими маршрутами. Это стимулирует формирование сухопутных контейнерных «мостов» (трансамериканский «мост» на маршруте Роттердам—Япония, дающий выигрыш во времени до 11 суток, при котором часть прямого морского маршрута заменяется сухопутным). Наибольшее распространение получили «мосты» на маршрутах Япония— восточное побережье США, по которым проходит столько же контейнеров, сколько и на судах через Панамский канал, при равенстве тарифов. При этом путь из Йокогамы до Нью-Йорка через Сиэтл на 3,3 тыс. км короче. Ожидаемое повышение сборов за проход через канал, а также увеличение габаритов судов-контейнеровозов (канал доступен для судов длиной 297 м, шириной 32,3 м и осадкой 12,2) увеличит роль смешанных перевозок с участием железных дорог.
Формирование «мостов» обеспечивает большую свободу маневра как для отправителя, так и для судоходной компании, обостряет конкуренцию между портами и, в конечном счете, ведет к еще большей концентрации перевозок, расширению хинтерландов отдельных портов и к существенным сдвигам в географии грузопотоков. Как следствие, в ряде портов восточного побережья США и Мексиканского залива произошло сокращение оборота.
По Транссибирскому контейнерному «мосту» перевозится лишь 70 тыс. ед. контейнеров в год (в 1981 г. — 153 тыс.). 60% контейнеров из Японии за пределами бывшего СССР продолжает путь по железным дорогам, 30% морем, 10% — автотранспортом. Длина Транссибирского моста 13,8 тыс. км (продолжительность 35 суток), морской путь через Суэцкий канал — 20,1 тыс. км (28 суток), вокруг Африки — 26,3 тыс. км, через Панамский канал — 23,8 тыс. км. Однако доставка контейнеров по Сибирскому пути обходится клиентуре на 20% дешевле.
Помимо высокой капиталоемкости контейнеризация сталкивается с дефицитом свободных площадей и заторами в портах, необходимостью накопления грузовой массы, которая может быть контейнеризована (сооружение крупного контейнерного терминала экономически оправдано при годовом грузообороте 400—500 тыс. т генеральных грузов), с необходимостью хорошо организованной фидерной контейнерной системы, обслуживаемой каботажными и речными судами и наземными видами транспорта и включающей также и второстепенные порты на «концах» фидерных линий, с несбалансированностью потоков по направлениям.
Тенденция к укрупнению судов-контейнеровозов реализуется лишь при организации крупных перевалочно-распределительных терминалов с системой фидерных линий, что позволяет использовать суда 3-го и 4-го поколений контейнеровозов дедвейтом 30—50 тыс. т и вместимостью 2—3 тыс. единиц контейнеров. При этом, однако, возрастают затраты на перевалку и хранение контейнеров по сравнению с прямым вариантом доставки, а также добавляются затраты на развоз контейнеров по фидерным линиям. Обследование 20 контейнерных терминалов в разных регионах мира производительностью от 9 до 31 контейнера за судо-час (строительная стоимость около 16 тыс. долл./пог. м) показало, что при «средних» условиях оптимальная вместимость судна при прямом варианте перевозок колеблется в пределах 1—1,6 тыс. ед. контейнеров, с перевалкой — 2,2— 2,8 тыс. ед. контейнеров. Что особо существенно, удельные затраты при реализации прямого варианта на 190—350 долл./ед. выше, а суммарная годовая экономия от внедрения крупных судов с перевалкой колеблется от 35 млн до 115 млн долл.
Это и определило внедрение в 1984 г. в мировое судоходство новой, наиболее совершенной формы организации — кругосветных контейнерных линий: тайваньской «Эвергрин» с 12 судами и американской «Ю.С.Лайнз» (22 судна). Суда этих компаний заходят всего в 10—15 портов мира. Несмотря на низкую себестоимость перевозок (в 2 раза ниже, чем на обычных контейнерных линиях) кругосветные линии терпят большие убытки из-за недогрузки судов как результата чрезмерной концентрации перевозок. Хотя в результате этого деятельность «Ю.С.Лайнз» приостановлена, в Бремене организована третья кругосветная линия, использующая фрахтованный тоннаж.
Развитие прибрежных регионов и роль морских портов. Проблемы развития прибрежных зон и регионов приобрели в последнее время особую актуальность. Это связано со сдвигами в территориальной организации хозяйства в странах разных типов, с одной стороны, и с резкой интенсификацией морехозяйственной деятельности — с другой. Универсальный, хотя и противоречивый, процесс сдвига к морю испытывает на себе большинство приморских стран, тогда как внутриконтинентальные государства стремятся к созданию надежных и эффективных транспортных связей с побережьем.
Четко прослеживается процесс сдвига к (и в) морю промышленности, транспортных предприятий, рекреационной деятельности. Возрастает антропогенное воздействие на контактную зону «суша-море».
Процесс хозяйственного освоения и развития приморских регионов вступил в новую фазу: резко возросла интенсивность освоения, усложняются функции береговой зоны, формируются различные территориально-производственные образования — территориальные производственные, акватерриториальные производственные, портово-промышленные комплексы. Усиливается морская доминанта развития контактной зоны, формируются различные узлы сгущения в этих зонах — портово-промышленные комплексы, имеющие четкую транспортно-ресурсную или транспортно-производственную специализацию.
Приморским регионам как особым полигонам транспортного освоения присущи следующие признаки: 1) приморское положение (далеко не любой участок береговой зоны является приморским регионом); 2) они обеспечивают участие страны в международном разделении труда; 3) являются хозяйственным плацдармом освоения ресурсов шельфа: 4) необходимым условием их развития является определенный уровень инфраструктурной обустроенности; 5) хозяйственным фокусом приморских регионов, основой формирования промышленных комплексов почти во всех случаях является порт; 6) активность протекания специфических физико-географических процессов особенно под воздействием усиливающейся антропогенной нагрузки, что требует особых природоохранных и восстановительных подходов, более строгих ограничений природопреобразующей деятельности; 7) они все в большей степени становятся полигоном развертывания рекреационной деятельности.
Несмотря на широко распространенное мнение, большая часть мировой береговой зоны, расположенной на границе суши и океана, общей протяженностью около 450 тыс. км. освоена весьма слабо и подверглась лишь незначительным изменениям в результате человеческой деятельности. Так, даже в столь благоприятной для освоения Калифорнии береговая зона общей протяженностью почти 3 тыс. км используется меньше, чем на половину ее длины (на 1,4 тыс. км, из них для целей рекреации и туризма — около 1 тыс. км).
В России длина береговой зоны с учетом островов достигает почти 100 тыс. км. однако здесь сосредоточено лишь 7—8% населения страны, причем на наиболее протяженное арктическое и тихоокеанское побережье приходится лишь 16% приморского населения. В Японии же происходит интенсивное преобразование прибрежной зоны. В стране насчитывается более 4 тыс. портов и искусственных гаваней, т.е. по одной на каждые 8 км береговой линии. Стремление к децентрализации промышленности привело к сооружению новых портово-промышленных комплексов, расположенных на морских каналах, вдающихся в сушу (искусственная гавань Кашима). Дефицит территории на Японских островах привел к созданию целого ряда проектов искусственных островов и, в частности, для сооружения аэропорта в заливе Осака.
Рациональное для каждого конкретного типа приморского региона инфраструктурное обустройство, оптимальное соотношение пропускной способности рокадных (параллельных береговой линии) и глубинных (перпендикулярных к ней) транспортных ходов позволяют ослабить давление на прибрежное пространство, оптимизировать взаиморасположение конфликтующих отраслей-землепользователей.
Районы портовых комплексов под воздействием научно-технического прогресса становятся местом функционального взаимопроникновения суши и океана (создание внебереговых точечных причалов, буровых и эксплуатационных нефтепромысловых причалов, буровых и эксплуатационных нефтепромысловых платформ, искусственных островов, расширение территории портов путем намыва грунта и осушения) с одной стороны, и обеспечения бесперегрузочных транспортных связей порта с хинтерландом (применение судов «роро», смешанного плавания, баржевозов, паромов) — с другой.
Характерная для современного морского транспорта тенденция снижения инерционности (что относится к портам) проявляется в усилении подвижности, изменчивости границ форланда и хинтер-ланда портов.
Претерпевают изменение функции самих портов. По мере концентрации транспортных потоков возрастает роль крупных портов, у которых усиливаются перевалочные и распределительно-экспедиторские функции, а также узкоспециализированных терминалов. Наличие или отсутствие таких портов с достаточным резервом перерабатывающих мощностей во многом определяет: 1) пространственную структуру форланда; 2) мощность транспортных грузопотоков; 3) структуру флота, осваивающего эти потоки; 4) дальность перевозок; 5) транспортную составляющую в цене доставляемого товара; 6) соотношение морских и сухопутных перевозок; 7) территориальные сдвиги в промышленности.
Традиционно сложившаяся за долгие годы довольно стабильная триада «форланд—порт—хинтерланд» начинает в 70-е и 80-е гг. претерпевать весьма быстрые и интенсивные изменения. Эти изменения далеко не однозначны и во многом зависят от конкретной транспортной ситуации данного полигона — от рода перевозимых грузов, от состава флота, обслуживающего морское «плечо» данной корреспонденции, от «поглощающей» способности портов (и в первую очередь от гарантированных глубин, емкости складов, а также от технической оснащенности причалов), от территориального резерва развития порта (возможности расширения территории порта), от транспортной обеспеченности связей порта со своим хинтерландом, наконец, от конкуренции других портов, от их способности перехватывать грузы как на стадии форланда, так и на стадии хинтерланда.
Увеличение размера судов и их специализация определили резкое повышение производительности крупных портов. Так, за 20 лет в Антверпене средняя длина причала выросла со 125 до 175 м, тогда как его производительность увеличилась с 0,8 тыс. т до 3,0 тыс на 1 м причального фронта; однако, отнесенный на единицу площади (1 м2 ), этот показатель увеличился всего лишь с 8 до 8,3 т в связи с тем, что радиус зоны, непосредственно обслуживающей причал, вырос со 100 до 360 м.
В условиях чрезвычайно высокой капиталоемкости реконструкции портов (стоимость первой очереди угольного терминала в Маасвлакте — аван-порте Роттердама оценивается в 160 млн долл.) иногда смещается представление об их форланде и хинтерланде: в крупных портах происходит перевалка части грузов на более мелкие суда или частичная разгрузка крупных для развоза по более мелководным портам (так, в Роттердаме крупные суда-углевозы разгружаются на 75%).
Таким образом, ближний форланд ряда крупных портов функционально переходит в разряд их хинтерландов.
Стоимость дноуглубительных работ и дефицит площадей для расширения портов усиливает тенденцию строительства искусственных островов с преобладанием транспортно-распределительных функций.
Резко возросло значение портов как складских и распределительных центров, что повышает капиталоемкость функционирования портов и увеличивает потребности в свободных территориях — около 22—25 га на один причал длиной 300 м, тогда как до последнего времени эта норма не превышала 10—12 га. Усиливается взаимодействие морского порта и аэропорта как международных распределительных центров.
Вместе с тем расстояние между городом и портом увеличивается. Это часть более общей проблемы взаимодействия «суша-море». Исторически соотношение и взаимодействие портовой и городской территории прошло пять этапов развития: 1) первоначальный — тесное сращивание города и порта; 2) развитие порта за пределы городской территории (XIX в.); 3) развитие промышленности в пределах портовой территории, сооружение контейнерных терминалов (середина XX в.); 4) развитие морехозяйства, коренное изменение «морской» технологии (60—80-е гг.); 5) поглощение прибрежной зоны портом, вынужденное функциональное перепрофилирование городской территории (70—90-е гг.).
Территориальное размежевание функций между городом и портом усиливается, а обострение конкуренции между портами делает эту проблему особенно острой. Роль порта в занятости городского населения снижается. Значительные участки городской территории, в том числе и ее историческое ядро, раньше обслуживающие нужды порта, теперь оказались заброшенными, тогда как масштабы нового портового строительства требуют больших площадей суши и акваторий. Территориальное размежевание усиливается главным образом в результате технологических изменений на морском транспорте. Так, в Марселе, в Сан-Франциско депрессивная центральная часть города перестраивается и используется в рекреационных, селитебных и коммерческих целях; в Лондоне коренной перестройке подвергся район старых доков.
Коммерческие функции порта переплетаются с собственно транспортными и индустриальными функциями. Отсюда большое функциональное разнообразие портов, определяющее и различия в их производительности. По результатам обследования 11 западноевропейских портов, часовая производительность при погрузке (разгрузке) на одно судно и на одного занятого составили (в т): в Антверпене 28 (31) и 2,8 (2,8); Гамбурге 22 (28) и 1,8 (2.2); Бремене 20 (22) и 1,8 (1,8); Тиссайде 18 и 2,1; Эйвонмуте 12 (12) и 1,1 (1,8); Лондоне 10 (19) и 0,7 (1,9); Глазго 8 (15) и 1,1 (1,2); Гулле 8 (15) и 0,9 (1,0); Ливерпуле 14 (10) и 1,0 (1,1); Роттердаме 19 (20) и 2,4 (1,9); Грейнджмуте 15 и 2,2. Производительность портов определяют две важнейшие статьи расходов — собственно погрузка-разгрузка (у компании «Хапаг» — 40%) и простои судна в порту (по трем французским портам для генеральных грузов 14,4—23%, навалочных грузов 21—23,5%, наливных грузов 39—55%).
Для последнего десятилетия характерно усиленное наращивание перерабатывающих мощностей портов при неустойчивой экономической конъюнктуре. Так, пропускная способность крупнейшей в мире портовой зоны от Гавра до Гамбурга по разгрузке сухих массовых грузов с 1975 по 1995 гг. возросла со 170 млн т до 260 млн т, тогда как фактическая разгрузка увеличилась всего со 105 млн т до 130 млн т (при пике 145 млн т в 1980 г.). В 1995 г. степень использования пропускной способности терминалов отдельных портов составила (в %): Антверпена — 43, Роттердама — 75, Гента — 44, Амстердама — 29, портов ФРГ — 45. Такая значительная недогрузка вызвана обострением конкуренции между портами, ошибками в инвестиционной политике, слабым изучением рынка, который при неустойчивой конъюнктуре достиг высокой степени насыщения.
Основным районом концентрации грузооборота портов до 1987 г. оставался бассейн Атлантического океана, несмотря на снижение его удельного веса с 65 до 50%. В настоящее время на первое место вышли порты Тихого океана, на которые приходится около 45% мирового грузооборота портов, на порты Атлантики — 40%, Индийского океана — 15%. За период 1975—1995 гг. удельный вес переработки грузов в портах, грузооборот которых превышает 30 млн т, возрос с 40 до 67%.
Портовой ландшафт находится в процессе постоянного изменения. Преобладает тенденция расширения портовой территории в направлении вниз по течению реки и создания аванпортов на открытом побережье. Даже лучшие естественные гавани требуют в настоящее время проведения гидротехнических работ, чтобы удовлетворить требования современного судоходства. Динамика развития портов вызывает изменение хинтерландов. В свою очередь от хинтерланда (его транспортной доступности, производственного потенциала, емкости его рынка) зависят масштабы и темпы развития порта. От портов, стремящихся к расширению хинтерланда, исходит инициатива реконструкции подъездных путей, пересмотра транспортной и тарифной политики. По мере специализации морского флота порты должны были приспосабливаться к обработке таких судов, как рефрижераторные, балкеры, танкеры, банановозы и др.
В микрогеографическом отношении территорию порта можно разделить на ареалы застройки, открытую сухопутную территорию и акваторию. Быстрое развитие промышленности в зоне портов ведет к преобразованию портового ландшафта. Среди предприятий в портовой зоне различают: непосредственно связанные с работой порта и с судоходством (верфи, предприятия по производству оборудования для оснащения судов, рыбоперерабатывающие предприятия); использующие импортное сырье (нефть, руду, бокситы, химическое сырье, а также рис, земляной орех, сою, копру, какао-бобы); сбывающие свою продукцию как на внутреннем рынке, так и экспортирующие ее; ТЭС; ориентирующиеся на мировой рынок (в крупных портах — нефтехимические и автосборочные заводы); предприятия, обслуживающие нужды населения портовой агломерации (легкая, пищевая промышленность).
Предприятия размещаются непосредственно вдоль морского канала, вдоль внутренних водных путей (например, Эльба ниже Гамбурга), в специально отведенных промышленных ареалах, в свободной зоне порта. Сложной планировочной проблемой является недостаток площадей, которая решается искусственным намыванием грунта (Маасвлакте в Роттердаме), осушением, сооружением искусственных островов. В Нидерландах лишь 20% территории портов используется в транспортно-экспедиционных целях. Это относится и к французским портам Атлантического побережья.
Развитие рекреационных функций побережья не только обостряет проблему площадей, но и ужесточает требование к охране окружающей среды: в Роттердаме отклонен проект строительства металлургического завода, свертывается выплавка алюминия в Гамбургском порту. Прибрежная зона в районе портов превращается в сформировавшийся экономический район.
НТР на морском транспорте оказывает большое влияние на развитие портов, в первую очередь — нефтяных. Осадка танкера дедвейтом 100 тыс. т — 14 м, 200 тыс. т — 17,8 м, 250 тыс. т — 21 м, 500 тыс. т — 30 м. Это требует сооружения внебереговых причалов, связанных трубопроводом, или проведения дорогостоящих дноуглубительных работ, что ведет к негативным экологическим последствиям: размывание склонов русла фарватера, засоление подземных вод, выделение больших территорий для сбрасывание вынутого грунта (Гамбург с глубинами 13,5 м, Роттердам — 23 м). Супертанкеры не могут пройти через Ла-Манш и Северное море и вынуждены разгружаться в портах Бантри-Бей (Ирландия) и Анти-фер (Франция) с глубинами до 30 м. Такие порты становятся перевалочными пунктами, крупнейший из которых на островах Палау обслуживает поток из Персидского залива в Японию. Крупные неф-тепорты, принимающие суда до 500 тыс. т: Харк в Иране, Рас-Тан-нура в Саудовской Аравии (грузооборот 390 млн т), о. Халул в Катаре, Куре и Окинава в Японии, Генуя в Италии, Вилленстад на острове Кюрасао.
К переработке потоков массовых грузов большинство портов оказалось неподготовленным. В настоящее время происходит быстрое развитие инфраструктуры портов: в Гамбурге сооружена рудная гавань Ганзапорт, откуда руда поступает по каналу от Эльбы в Пейне и Зальцгиттер.
Высокие требования к портам предъявляют контейнерные перевозки. Специальные контейнерные терминалы сооружены в Любеке, Гамбурге, Бремерхафене, Амстердаме, Роттердаме, Антверпене, Дюнкерке, Гавре. Контейнерные терминалы требуют первоклассных автодорожных подходов и больших площадей для накопления и маневрирования контейнерами с помощью различного рода погрузчиков. Первое поколение контейнеровозов (14 тыс. бр.-рег. т, вместимость 700 контейнеров) было введено в 1968 г., второе (27 тыс. т, 400 контейнеров) — в 1970 г., третье (55 тыс. т, 2600 контейнеров) в 1980 г. Контейнеровозы четвертого поколения отличаются от судов третьего поколения большей ходовой скоростью.
К новым функциям портов относится обслуживание быстро развивающихся грузовых и пассажирских паромных линий, всего комплекса подводной добычи нефти.
Морской транспорт, который под воздействием НТР способен все гибче приспосабливаться к новым явлениям и тенденциям развития мирового хозяйства, в свою очередь становится все более серьезным фактором сдвигов в территориально-производственной структуре экономики как на национальном, так особенно на международном уровне, является ведущим субъектом хозяйственного освоения океанических пространств.
Вопросы
1. Из каких компонентов складывается современное морехозяйство?
2. Какова роль прибрежной контактной зоны «суша-море»?
3. В чем специфика освоения ресурсов Мирового океана?
4. Каковы особенности процесса интернационализации в сфере морехозяйства?
5. Назовите экономико-географические особенности морского транспорта как отрасли, во многом формирующей территориальную структуру мирового хозяйства.
6. Роль судов под «удобными флагами» и экономический смысл их использования.
7. Каковы основные экономико-географические тенденции изменения мирового фрахтового рынка?
8. Каковы основные тенденции изменений в структуре морских перевозок?
9. В чем суть процесса, получившего название «контейнерная революция» и его экономико-географических последствий?
10. Какова роль морского транспорта в формировании трансконтинентальных транспортных «мостов»?
11. В чем заключаются современные функции крупных морских портов?
12. Каковы экономико-географические признаки приморских регионов?
13. Как меняется территориальное соотношение триады «форланд—порт— хинтерланд»?
14. В чем причины «бегства» портов от городов и усложнения портовых функций?
15. Чем можно объяснить перемещения мирового центра морехозяйствен-ной активности из Атлантики в бассейн Тихого океана?
Согласно марксистской доктрине (в которой третичному сектору, как нематериальному производству, вообще не было места) сфера материального производства делится на четыре сектора: сельское и лесное хозяйство, добывающая промышленность, обрабатывающая промышленность и грузовой транспорт (иногда включался пассажирский транспорт общего пользования). Таким образом, транспорт также рассматривался как отрасль материального производства. Этим как бы подчеркивалась производственная детерминированность хозяйства. В современных условиях, когда на передний план все более выступают социальные проблемы, структура хозяйства рассматривается уже иначе. Первичный сектор — это отрасли, непосредственно связанные с природными ресурсами, — добывающая промышленность, сельское, лесное, рыбное хозяйства; вторичный сектор — обрабатывающая промышленность, нацеленная на изготовление конечного продукта; третичный сектор, или сфера услуг, — непроизводственная сфера деятельности, направленная на создание условий для функционирования хозяйства и жизнедеятельности населения. (Из этой третичной сферы ныне выделяют и четвертичную сферу — науку, или научные исследования и опытно-конструкторские разработки — НИОКР.)
Отсюда следует, что и транспорт, да и всю производственную инфраструктуру можно и следует отнести к непроизводственной сфере. Это первая, «систематизационная», особенность третичного сектора. Далее надо отметить опережающие темпы развития третичного сектора в странах — членах Организации экономического сотрудничества и развития (промышленно развитые страны Запада). И, наконец, третья особенность —интенсивное изменение внутренней покомпонентной структуры третичного сектора — возрастание роли производственных услуг, обеспечивающих кардинальные сдвиги в отраслевой, территориальной и организационной структуре основных производственных отраслей. Эти изменения в составе третичного сектора проявились за последние 15—20 лет. Производственные услуги не только не зависят от уровня основного производства, но становятся саморазвивающимися отраслями, которые все в большей степени определяют, что и как производится. Например, в Великобритании число занятых в сфере производственных услуг за 1980— 1995 гг. выросло на 40% (на 720 тыс. человек), тогда как в сфере личных услуг лишь на 15% (на 600 тыс. человек).
С середины 70-х гг. товарная часть внешнеторгового баланса промышленно развитых стран была убыточной, тогда как сервисная часть всегда сводилась с превышением доходов над расходами (см. таблицу 14).
Обычно производственные услуги различают следующим образом: а) в сфере потребления (рыночного спроса); б) в сфере снабжения (поставок); в) выполняющие посредническую роль (обеспечение информационных, телекоммуникационных, транспортных, компьютерных услуг, создание организационно-предпринимательской среды). Эти свойства производственных услуг в конечном счете обеспечивают доставку производственных товаров на принципиально новом качественном уровне — более быстро, надежно, на большие расстояния, дешевле, с улучшением информированности клиентуры об альтернативных источниках обслуживания.
За последние два-три десятилетия в ряде наиболее развитых в экономическом отношении стран произошли быстрый рост и изменение структуры третичного сектора.
Так, если сравнить изменения структуры занятости экономически активного населения двух регионов — Западной и Восточной Европы, то разрыв между ними насчитывает примерно 30 лет (табл. 15).
Таблица 14
Динамика внешнеторгового баланса промышленно развитых стран (млрд долл.)
| Годы |
Внешнеторговый баланс |
|
| Товарная часть |
Сервисная часть |
|
| 1970 |
8 |
2 |
| 1975 |
—31 |
5 |
| 1980 |
—83 |
19 |
| 1985 |
—56 |
17 |
| 1990 |
—40 |
18 |
Таблица 15
Структура занятости населения по секторам хозяйства в Западной и Восточной Европе (%)
| Сектора хозяйства |
Восточная Европа |
Западная Европа |
||
| 1955 г. |
1995 г. |
1955 г. |
1995 г. |
|
| Третичный |
23 |
40 |
38 |
62 |
| Промышленность и строительство |
30 |
43 |
42 |
30 |
| Сельское хозяйство |
47 |
17 |
20 |
8 |
Чтобы понять причины огромных изменений, произошедших в структуре производства за последние десятилетия, надо раскрыть понятие, которое уже встречалось в данной книге — постиндустриальный этап развития, на который перешли промышленно развитые страны Запада и так называемые страны новой индустриализации. Наступление этого этапа связано прежде всего с изменением спроса на потребительском рынке товаров и услуг (а не с достижениями научно-технического прогресса, по мнению многих исследователей; эти достижения очень важны, оказывают огромный эффект обратной связи на само развитие, но по своей сути вторичны), переходом общества от удовлетворения потребностей «первого круга» (жизнеобеспечения), которое имеет свои довольно узкие пределы, к потребностям «второго круга» (или — «свободного времени»), которые по существу беспредельны. (Этот этап, наступивший с 70-х гг., еще называют этапом информационных потребностей.) В конце концов эти изменения в потребностях общества определяются изменениями структуры расходов семейного бюджета. По подсчетам академика С.Шаталина, в России на протяжении всего советского и постсоветского периода доля расходов на питание в семейном бюджете не опускалась ниже 60%, а иногда поднималась и до 3/4, тогда как на Западе она в последние 20 лет снизилась до 20%.
Именно новые потребности общества вызвали массовый переход производства от принципа «экономии масштаба» (выпуск массовой серийной продукции) к принципу «экономии разнообразия», к спросу на продукцию относительно дорогостоящую, выпускаемую небольшими партиями, гражданскую и инновационную. Стоимость единицы выпускаемой продукции резко возросла, что вызвало коренную перестройку всего логистически-распределительного аппарата (подробнее см. в главе «Транспорт»). По данным профессора Н.В.Алисова, стоимость 1 т традиционной промышленной продукции в 1995 г. в тыс. долл. составляла: железной руды — 0,02, цемента — 0,023, природного газа (1 тыс. м3 ) — 0,08, минеральных удобрений — 0,1, нефти — 0,12, стали — 0,2. Стоимость же инновационной («новой») продукции равнялась: пластмасс и синтетических смол — 1,0, химических волокон — 10,0, автомобилей — 15,0, электронного оборудования — 100,0, суперкомпьютеров — 25000.
В конце 80-х гг. в СССР выпускалось в год промышленной продукции 2 млрд т приблизительно на сумму 200 млрд долл. (стоимость продукции японской автомобильной промышленности), т.е. в среднем стоимость 1 т продукции составляла всего 100 долл. Эта удешевленность производства свидетельствует об утяжеленности всего хозяйства, что создает огромные проблемы и производственные, и транспортные, и экологические, не позволяет решать задачу переструктурирования промышленности. Однако, как показал опыт западных стран, между изменением потребностей (спроса) и сдвигами структуры производства стоит как бы социальный субъект этих социальных потребностей — само общество, которое тоже неизбежно должно измениться в сторону создания социальных гарантий, выработки определенной социальной психологии.
Последняя включает:
1) мотивацию к труду, что определяется материальной заинтересованностью и свободой выбора приложения своих трудовых навыков и профессиональных знаний;
2) экологическое сознание общества;
3) социальную ориентацию:
4) интеллектуализацию (соотношение синих и белых воротничков) и гуманизацию труда, в значительной мере определяющих качество трудовых ресурсов;
5) демократизацию общества (в определенной степени выступает как реакция на тоталитарную систему стран социализма);
6) демилитаризацию экономики (конверсия военной промышленности в нашей стране так и не была проведена, и расходы на ВПК превышают 10% ВВП, тогда как в США они составляют менее 6%).
Структурно постиндустриальное общество в результате этих процессов тоже неизбежно меняется: растет так называемый средний класс, обеспечивающий стабильность всего общества, его устойчивое эволюционное развитие, значительное улучшение криминогенной обстановки. Опыт показывает, что такая устойчивость в обществе наступает тогда, когда доля среднего класса превышает 50% всего населения, тогда как в России, по разным подсчетам, эта цифра колеблется от 8 до 20%.
И только в этих условиях создаются предпосылки для кардинальных изменений структуры материального производства — и отраслевой, и организационной, а постепенно — и территориальной. Одним из ярких признаков постиндустриального развития является рост значения мелкого предпринимательства, более открытого к внедрению инноваций, более гибкого по отношению к меняющемуся спросу на потребительском рынке, что отвечает, напомним, переходу к принципу «экономии многообразия» (табл. 16).
Таблица 16
Малые предприятия в экономике ряда стран в 1996 г.
| Страны |
Число малых предприятий |
Доля малых предприятий в численности занятых, % |
Доля малых предприятий в ВВП,% |
|
| в тыс. |
на 1000 жителей |
|||
| Великобритания |
2630 |
46 |
49 |
53 |
| Германия |
2290 |
37 |
46 |
54 |
| Италия |
3920 |
68 |
73 |
60 |
| Франция |
1980 |
35 |
54 |
62 |
| Страны ЕС в целом |
15770 |
45 |
72 |
67 |
| США |
19300 |
74 |
54 |
52 |
| Япония |
6450 |
50 |
78 |
55 |
| Россия |
836 |
6 |
9,6 |
11 |
Таким образом, Россия в отличие от постиндустриальных стран Запада остается страной крупного и среднего предпринимательства. Концентрация малых предприятий (6 фирм на 1 тыс. жителей) на порядок ниже аналогичного показателя в развитых странах. В 1997 г. на малых предприятиях России работало 6 млн человек, что по крайней мере в 5 раз меньше, чем можно было ожидать при прогрессивной современной структуре хозяйства. В таких странах, как Германия и Япония, продукция малых предприятий составляет 40% стоимости их экспорта.
Меняющаяся организационная структура производства является предпосылкой процесса приватизации и дерегулирования, демонополизации производства, что объясняется возможностью более глубокого врастания в рыночную среду, быстрой реакции на изменение потребностей.
Вместе с тем, демонополизация производства усиливает конкуренцию, обостряет борьбу предприятий и фирм за выживание. С этим связано и повышение эффективности производства, которая в конечном счете выражается в затратах ресурсов (материальных, природных и трудовых) на единицу выпускаемой продукции. Отсюда и перестройка технологического аппарата и внедрения последних достижений научно-технического прогресса. В силу огромной инерционности хозяйства, его высокой фондоемкости эти тенденции далеко не сразу пробили себе дорогу. Относительно дешевое сырье и энергоносители (особенно нефть) стимулировали экстенсивный тип развития хозяйства, при котором темпы производства соответствовали ресурсопотреблению.
Резкий и во многом неожиданный рост цен на нефть в сентябре 1973 г., а за ней и на другие энергоносители, вызвал так называемый «триггерный» эффект (эффект спускового крючка), приведший к реализации накопившихся потребностей в повышении ресурсоэф-фективности производства, в результате за десятилетие энергоемкость хозяйства развитых стран снизилась на 1/3, а к 1990 г. общая ресурсоемкость сократилась почти вдвое.
Ситуация в нашей стране показала, что полная занятость является одним из главных тормозов изменения структуры хозяйства, повышения его эффективности. Развитые страны Запада не останавливались перед массовыми увольнениями для того, чтобы закрыть устаревшие предприятия. Опыт этих стран показал, что без роста безработицы, без «высвобождения» значительного количества живого труда и без замены его овеществленным трудом, быстрые изменения структуры производства, а отсюда и повышение его эффективности невозможны.
Изменения в отраслевой структуре хозяйства, за последние 20— 25 лет были очень существенны. Так, в 1970 г. в целом по миру стоимость промышленной продукции превышала стоимость сельскохозяйственной продукции в 3,3 раза. В 1995 г. промышленность превосходила сельское хозяйство по этому показателю уже в 8 раз, причем по отдельным странам и регионам он сильно различался: в США он достиг 8, в Западной Европе — 7, в Восточной Европе лишь 2,5, в России — 3. В промышленном секторе обрабатывающая промышленность превосходила добывающую по стоимости продукции в США в 6 раз, в Западной Европе в 20 раз, в Японии в 60 раз, тогда как в Восточной Европе лишь в 10 раз, а в России в 3,5 раза.
Такова была «расстановка сил» в странах постиндустриального развития, определившая быстрый рост третичного сектора и сдвиги в его структуре (табл.17).
Таблица 17
Сдвиги в структуре третичного сектора (% от общего числа занятых)
| Услуги Страны |
Производственные |
Распределительные |
Персональные |
Социальные |
Всего |
|||||
| 1960 |
1993 |
1960 |
1993 |
1960 |
1993 |
1960 |
1993 |
1960 |
1993 |
|
| Франция |
3,5 |
11,0 |
16,8 |
20,1 |
7,9 |
7,9 |
16,0 |
26,4 |
44,1 |
65,4 |
| Германия |
3,4 |
10,7 |
17,5 |
18,1 |
6,3 |
6,7 |
11.4 |
22,9 |
38,6 |
58,4 |
| Япония |
3,4 |
10,2 |
18,5 |
25,1 |
7,5 |
10,2 |
8,2 |
13,0 |
37,4 |
58,6 |
| Нидерланды |
4,2 |
12,8 |
20,4 |
21,3 |
8,5 |
6,5 |
14,7 |
28,4 |
47,8 |
71,1 |
| Швеция |
3,5 |
9,2 |
19,4 |
19,2 |
8,4 |
5,9 |
16,3 |
35,1 |
47,7 |
69,8 |
| Великобритания |
4,4 |
11,4 |
20,6 |
21,3 |
8,0 |
10,1 |
15,8 |
25,3 |
48,8 |
68,0 |
| США |
6,4 |
15,6 |
22,2 |
21,5 |
11,3 |
12,5 |
21,2 |
26,0 |
61,1 |
75,5 |
| В целом по миру |
4,1 |
11,8 |
19,3 |
20,9 |
8,4 |
8,7 |
14,6 |
25,1 |
46,6 |
66,6 |
Ярко бросаются в глаза главные особенности третичного сектора: опережающие темпы роста числа занятых, внутри сектора — опережающий рост производственных и распределительных услуг (банковское кредитование, консалтинговая деятельность, реклама и другие виды сервисной деятельности). Проведенный анализ структуры и динамики сферы услуг выявляет четкую взаимозависимость этих сдвигов с изменением структуры (и прежде всего организационной) производственных отраслей. Как уже говорилось, увеличение роли малых и средних предприятий обостряет конкуренцию, в которой они функционируют, а это в свою очередь требует вычленения особых сервисных структур. В их задачи входит обеспечение для малых предприятий адекватной ниши функционирования.
Параллельно с этой базисной функцией сервисные отрасли своим развитием «решают» и ряд общеэкономических и других проблем. Среди них можно выделить пять:
1. Снижение общей материало-, ресурсо- и энергоемкости ВВП, так как по этим показателям третичный сектор примерно в 4 раза уступает отраслям материального производства.
2. Сервисные отрасли в силу своей раздробленности отличаются высокой трудоемкостью и по мере своего развития образуют весьма емкий «резервуар» для поглощения избыточной рабочей силы, высвобождающейся в результате повышения производительности труда в отраслях материального производства.
3. Территориальные проблемы развития, которые обостряются по мере снижения ресурсоемкости производства, что превращает целый ряд районов тяжелой и добывающей промышленности в кризисные ареалы. Это относится и к ряду портов, которые долгие десятилетия были ориентированы на переработку массовых сырьевых грузов. Новые требования к современному транспорту, развитие контейнерной системы вызвали такое специфическое явление, как «бегство» портов от города. Усиливается территориальное размежевание функций между городом и портом. Развитие многофункционального третичного сектора позволило перепрофилировать и возродить к жизни депрессивные районы Центральной Англии, Рура, Северо-востока США. Обширные внутренние районы портов в Генуе, Марселе, Сан-Франциско, превратившиеся в свое время в трущобы, сейчас интенсивно перестраиваются и используются уже в рекреационных и коммерческих целях. Наиболее известен процесс коренной перестройки района старых лондонских доков, превратившегося в средоточие крупных деловых банковских, страховых и коммерческих центров, соединенных подвесной автоматической железной дорогой, имеющей выход на сеть метрополитена.
Другой яркой территориальной формой проявления третичного сектора являются технополисы, или в более общей форме — технопарки (города науки). Ориентированы эти территориальные образования на крупные научные центры — университеты, лаборатории. В то же время используется фактор территории и высокой транспортной и информационной доступности. В технополисах сосредоточены научные лаборатории и экспериментальные производственные структуры, занятые инновационными опытно-конструкторскими разработками. Комфортные условия жизни и высокая техническая оснащенность научных лабораторий привлекают в технополисы крупные научные силы. Продукция, выпускаемая в технополисах, отличается высокой инновационностью и наукоемкостью. Наибольшее развитие научные парки получили в США (Силиконовая долина), где их уже больше 150, и в странах Западной Европы. Сеть технополисов Японии, организуемая государством, стала создаваться в 1983 г. и состоит сейчас из 26 научно-производственных территориальных образований. Считается, что технополисы обладают мощным синергическим эффектом и воздействуют на окружающую территорию. В России города науки созданы вокруг Москвы (Обнинск, Дубна, Черноголовка, Пущине), под Новосибирском (Академгородок).
Другим все более распространенным территориальным образованием, обладающим большими инновационными импульсами, являются так называемые свободные экономические зоны, организуемые с целью развития передовых отраслей, привлечения иностранных инвестиций, внедрения и привлечения передовой технологии, создания новых рабочих мест, развития и перепрофилирования проблемных районов. По своей специализации и целевой направленности свободные экономические зоны бывают промышленно-экспортного направления, коммерческого, финансового, управленческого, страхового видов деятельности, могут функционально смыкаться с рассмотренными выше технопарками, развивая научно-техническое направление. Условия, определяющие успешное развитие и функционирование свободных экономических зон, следующие: тесная связь с мировым рынком, высокая транспортная доступность (морской, воздушный транспорт, контейнерная система), административное размежевание с окружающей территорией, освобождение ввоза и вывоза от таможенных пошлин, общие налоговые льготы, наличие свободной территории и ее инфраструктурное обустройство, наличие относительно дешевой и весьма квалифицированной рабочей силы, в целом благоприятный инвестиционный климат.
Исследователи отмечают и негативные моменты развития свободных экономических зон: это избыточность развития инфраструктуры, фрагментация производства, социальная напряженность в связи с территориальной контрастностью (неравенство в заработной плате), повышенная эксплуатация местной рабочей силы в развивающихся странах. Число свободных экономических зон всех типов в 90-х гг. превысило 900, они распространены уже в 90 странах, их доля в мировом экспорте выросла с 7,7% в 1979 г. до 20% в 1985 г. и достигла 1/3 в 90-х гг. (превысила 1 трлн долл.). Географически свободные экономические зоны получили значительное распространение в странах различных типов. Можно выделить зоны порто-франко в Генуе, Гамбурге, Гибралтаре, известные уже несколько веков, и более новые: зоны экспортных производств и приграничные индустриальные зоны — Шеннон в Ирландии, Каосюн на Тайване, Масан, Батаан на Филлипинах, инвестиционные зоны в Шри-Ланке, промышленные парки в Сингапуре, специальные экономические зоны Китая. В России преобладают производственно-экспортные и свободные таможенные зоны — Находка, Выборг, Калининград и др. (всего 15 территориальных образований).
4. Решение экологических проблем. Третичный сектор, доля которого в ВВП США составляет 65%, а в Западной Европе и в Японии 56—62%, значительно более безопасен в экологическом отношении, чем предприятия и целые отрасли в сфере материального производства.
5. Открытость экономики постиндустриальных стран, в которую третичный сектор вносит существенный вклад. Мировой экспорт услуг (см. подробнее в главе «Внешнеэкономические связи) в 1995 г. составил 1230 млрд долл., т.е. примерно 1/4 объема товарного экспорта. По странам торговля услугами менее сконцентрирована, чем товарный оборот (табл. 18).
Таблица 18
Внешняя торговля услугами в 1995 г. (млрд долл)
| Страны |
Экспорт |
Импорт |
| США |
178 |
125 |
| Франция |
89 |
70 |
| Италия |
59 |
58 |
| Великобритания |
59 |
51 |
| Япония |
57 |
109 |
| Германия |
53 |
99 |
| Нидерланды |
40 |
38 |
| Бельгия—Люксембург |
36 |
34 |
| Испания |
34 |
18 |
На открытость экономики постиндустриальных стран значительное воздействие оказывает «невидимый экспорт», который можно разбить на пять групп: транспортные услуги; финансовые; туризм: связь и предоставление информационных данных, профессиональные государственные и частные услуги (страхование, реклама, аудиторская и бухгалтерская деятельность, менеджмент и т.д.).
Реклама стала одним из главных видов сервисной деятельности: за 15 лет (с 1980 по 1995 гг.) затраты на рекламу выросли в 3 раза — с 65 млрд до 200 млрд долл., в том числе газетная реклама с 30 до 90 млрд, на телевидении с 20 до 60 млрд долл. Особенно активны американские рекламные фирмы на западноевропейском рынке; число их агентств за последнее десятилетие выросло с 60 до 250. Во Франции на пять крупнейших рекламных фирм приходится 60% стоимости всего оборота рекламного бизнеса. Всего в Западной Европе на три крупнейших агентства приходится более 1/3 затрат на рекламу. Международный рекламный бизнес сосредоточен в нескольких центрах (табл. 19).
Таблица 19
Международные центры рекламы в 1993 г.
| Центры |
Оборот, млрд долл. |
Число агентств |
| Нью-Йорк |
25,5 |
147 |
| Токио |
24,1 |
38 |
| Лондон |
11,0 |
65 |
| Париж |
8,7 |
46 |
| Чикаго |
7,1 |
52 |
| Лос-Анджелес |
4,7 |
52 |
Кроме указанных в таблице, в число крупных рекламных центров входят Амстердам, Стокгольм, Дюссельдорф. В последнее время их начинают теснить Мадрид, Милан, Лиссабон. Из 10 мировых рекламных агентств пять находятся в США, по два в Японии и Великобритании, одно — во Франции. В своем размещении агентства по рекламе ориентируются на те центры, где есть достаточно развитые производственные мощности, развитая полиграфическая база, где большое развитие получили средства массовой информации, где сосредоточены учреждения культуры — изостудии, студии звукозаписи, музыкальные ансамбли и т.д.
Новый этап развития коммуникационных услуг постепенно заменяет (частично) транспортные услуги. Это позволяет сотрудникам фирм «уйти» из крупных городов, сохраняя при этом полный контакт со своим офисом. При этом используется оптико-волоконная система связи, позволяющая одновременно вести 100 тыс. телефонных разговоров. Получают распространение так называемые видеоконференции, которые заменяют личные контакты. В Великобритании уже оборудовано 250 специальных помещений для таких «заочных» конференций. По данным экспертов, двухчасовая заочная конференция филиалов фирмы обходится в 2—3 тыс. фунтов стерлингов вместо 15 тыс., в которые обходится обычное совещание. Отмечается особая роль бизнес-центра в Шенноне (Ирландия), где создан вспомогательный электронный офис для смешанных фирм с центрами по обе стороны Атлантики (разрыв во времени — 5 часов). Такой центр обеспечивает почти круглосуточную работу этих фирм.
Общее число «надомников», которые используют для работы телекоммуникационные сети, насчитывает в Великобритании 1,2 млн человек, в США — более 4 млн (почти 4% общего числа занятых в хозяйстве). Важную роль в обеспечении средствами связи играет внедрение сотовых телефонов. Число абонентов растет на 27% в год и достигло в мире уже 200 млн (к 2000 г. ожидается 830 млн), в том числе в Северной Америке 60 млн, в Западной Европе — 57 млн, Японии — 29 млн, Азиатско-Тихоокеанском регионе (без Японии) — 40 млн.
К производственным услугам можно отнести и финансово-кредитную сферу, которая находит свое выражение в концентрации и международном переплетении капиталов и в формировании крупных банковских центров, и сосредоточена в первую очередь в странах Западной Европы (примерно 1/3 всех активов крупного банковского капитала), в Японии (1/4) и в США (1/5) (см. таблицу 20).
Таблица 20
Крупнейшие банковские центры Западной Европы, 1995 г.
| Центры |
Активы |
Доходность активов, % |
|
| млрд долл. |
рост к уровню 1980 г., % |
||
| Париж |
2610 |
177 |
0,30 |
| Франкфурт |
1963 |
225 |
0,34 |
| Лондон |
1431 |
170 |
1,28 |
| Мюнхен |
715 |
238 |
0,36 |
| Брюссель |
633 |
226 |
0,43 |
| Амстердам |
508 |
185 |
0,69 |
| Милан |
421 |
141 |
0,50 |
| Рим |
325 |
103 |
0,27 |
| Мадрид |
299 |
149 |
0,80 |
| Вена |
281 |
158 |
0,33 |
| Стокгольм |
275 |
117 |
1,08 |
| Берлин |
216 |
349 |
0,81 |
| Лиссабон |
176 |
391 |
0,88 |
Ведущими банковскими центрами, как и следовало ожидать, являются Париж, Лондон и Франкфурт, причем лондонские банки в целом добились самой высокой доходности своих активов. Ведущая позиция Лондона как высокоэффективного финансового центра, вероятно, и влияет на несогласие Великобритании присоединиться к валютному союзу ЕС, образование которого намечено на начало 1999 г.
Высокие темпы наращивания активов в банковских центрах Германии связаны с объединением страны, а Брюсселя с его положением как центра Европейского Союза.
Важную роль в сфере распределительных услуг играет внутренняя торговля, которая делится на оптовую и розничную (табл. 21).
Между странами имеются значительные различия по соотношению числа занятых в розничной и оптовой торговле. Как видно из таблицы 22, в целом по Европейскому Союзу это соотношение составляет 2:1, однако в Бельгии и Дании число занятых в обеих отраслях почти одинаково, в Швеции превосходит лишь на 1/4, тогда как в Греции в 3 раза, в Великобритании в 2,6 раза, в США почти в 3 раза.
Различия в показателях насыщенности предприятиями розничной торговли показаны в таблице 22.
Таблица 21
Внутренняя торговля в странах Европейского Союза
| Отрасли |
Число предприятий |
Число занятых |
Оборот |
| Третичный сектор |
10 млн |
47 млн |
8042 млрд экю |
| в целом |
|||
| в т.ч. |
|||
| оптовая торговля |
11,7% |
13,5% |
29,4% |
| розничная торговля |
32,4% |
26,4% |
17,4% |
| кредитная сфера |
9,9% |
12,7% |
25,6% |
Таблица 22
Розничная торговля в некоторых странах Западной Европы, 1995 г.
| Страны |
Число предприятий, тыс. |
Число предприятий на 1000 жителей |
Число занятых на 10 предприятий |
| Италия |
890,4 |
15,6 |
22 |
| Испания |
555,5 |
14,2 |
23 |
| Португалия |
123,5 |
12,5 |
25 |
| Франция |
343,8 |
5,9 |
47 |
| Нидерланды |
102,0 |
6,6 |
58 |
| Дания |
38,4 |
7,4 |
48 |
| Германия |
408,4 |
5,0 |
70 |
| Австрия |
30,7 |
3,8 |
83 |
| Великобритания |
213,0 |
3,7 |
111 |
Из таблицы видно, что страны Южной Европы имеют огромное число мелких торговых точек, в то время как в Великобритании и Германии розничная торговля более сконцентрирована. В Южной Европе число предприятий оптовой торговли относительно невелико — 10—18%, в странах Северной Европы — 30—50%, что связано с ролью импортных товаров на внутреннем рынке. Наибольшая насыщенность торговыми предприятиями отмечается среди развитых стран в Японии, где их общее число превышает 1,5 млн магазинов. Это объясняется традициями и изменением социальной структуры населения.
В заключении следует подчеркнуть, что опережающее развитие третичного сектора, и особенно сферы производственных услуг, является неизбежным условием и предпосылкой цивилизационного перехода экономики к рыночному, постиндустриальному этапу развития.
Вопросы
1. Почему сферу услуг называют третичным сектором экономики?
2. Какие отрасли входят в сферу услуг?
3. Каковы экономико-географические особенности формирования третичной сферы?
4. Чем вызвано опережающее развитие сферы услуг?
5. Какие из отраслей третичной сферы наиболее динамичны и почему?
6. Почему опережающее развитие сферы услуг считается наиболее ярким проявлением постиндустриального этапа развития?
7. Чем отличается сфера услуг от производственной сферы?
8. Какова доля третичной сферы в ВВП по общей занятости?
9. В чем специфика внешней торговли услугами?
10. Что такое технополисы, научные парки, как они функционируют и каковы принципы их размещения?
Международное географическое разделение труда базируется на стремлении человечества ко все большей эффективности ведения хозяйства, а в последнем десятилетии и к обеспечению все большего многообразия предлагаемых на мировом рынке продуктов и товаров, что пришло на смену массовости (серийности) производства. Таким образом, и в международном обмене принцип экономики масштаба (economy of scale) начал вытесняться другим принципом — экономики многообразия (economy of scopo).
Этот принцип привел к полному отказу, даже в теории, от возможности того, что каждая национальная экономика в состоянии покрыть все разнообразие спроса. Более того, в условиях постиндустриального общества идет углубление специализации производства, всегда лежавшее в основе углубления и диверсификации международного географического разделения труда, которое на современном этапе становится все более детальным и более «адресным». Происходит не только специализация на производстве готовых продуктов, но и на деталях, полуфабрикатах, отдельных стадиях и элементах производства той или иной продукции. В основе специализации теперь не столько количественные (сделать больше и по более низкой цене), сколько качественные критерии (наукоемкость, надежность, «чистота» и т.д.).
Именно поэтому на взаимную торговлю между промышленно развитыми странами Запада приходится уже почти 60% оборота мировой торговли. Наиболее зрелая экономическая интеграционная группировка сформировалась именно в Западной Европе, тогда как прочность взаимодействия между развивающимися странами очень невелика и подвержена воздействию политических и конъюнктурных экономических колебаний.
Современный этап развития внешнеэкономических связей характеризуется их многовидностью.
Товарные потоки, или товарообмен. Новые тенденции экономического взаимодействия государств, изменения структуры международных экономических связей проявляются особенно ярко в внешней торговле товарами, а также в масштабах и структуре международных транспортных сообщений, обеспечивающих реализацию сложившихся внешнеторговых связей. Одна из важных особенностей современного этапа мирового экономического развития — более высокие, чем у промышленного производства темпы роста международной торговли. В 1995 г. стоимость товарного экспорта составила 4875 млрд долл., экспорта услуг — 1230 млрд долл.
На 25 ведущих стран приходилось 85,3% мирового экспорта и 83,8% импорта. По некоторым из них эти показатели составили: США — 15,5 и 19,9%, Германия — 11,6 и 10,7%, Японии — 11,8 и 8,6%, Франция — 6,» и 6,3%, Великобритания — 5,2 и 5,8%.
На быстро развивающиеся страны новой индустриализации Юго-Восточной Азии приходится уже 8,5% объема мирового экспорта, на нефтеэкспортирующие страны, объединившиеся в ОПЕК — около 10%.
Несмотря на ускорившийся процесс втягивания национальных экономик в систему международной торговли, мировой товарооборот отличается высокой территориальной концентрацией — на пять крупнейших экспортеров приходится почти половина объема мирового товарооборота. В то же время происходит определенная пространственная дисперсия товарных потоков — суммарная доля главных потоков (каждый более 1% мирового внешнеторгового оборота) составляла в 1970 г. 29,3%, в 1980 г. — 26%, в 1995 г. — 20%. Одновременно происходят определенные изменения пропорций между потоками (табл. 23).
Интересно отметить, что среди главных товаропотоков преобладают связи между соседствующими странами, хотя их удельный вес в товарообороте и снижается. Среди 15 главных межстрановых взаимодействий — девять соседские, что связано с особенностями интеграционных процессов: принципиальная однотипность сложных многоотраслевых хозяйств развитых стран не только не препятствует грузообмену, а даже является типологическим признаком интеграции. Напротив, усеченная структура хозяйства многих развивающихся стран, опирающегося главным образом на первичные природные ресурсы, не создает стимулов обмена между соседями, так как соседство здесь предполагает сходство в природных условиях и обеспеченности природными ресурсами.
Таблица 23
Соотношение главных межстрановых товаропотоков (в % к мировому итогу)
| Страны-партнеры |
1980 г. |
1995 г. |
| США—Канада |
4,7 |
3,2 |
| США—Япония |
3,3 |
3,0 |
| Германия—Франция |
2,1 |
1,6 |
| США—Мексика |
1,7 |
2,1 |
| Германия—Великобритания |
1,2 |
1,6 |
| Германия—Италия |
1,4 |
1,0 |
| Франция—Италия |
1,2 |
1,0 |
| Япония—Саудовская Аравия |
1,4 |
0,9 |
| США—Великобритания |
1,3 |
0,8 |
| Германия—Бельгия |
1,3 |
0,6 |
| США—Саудовская Аравия |
1,2 |
0,6 |
| США—Германия |
1,2 |
0,6 |
| Нидерланды—Бельгия |
1.0 |
0,6 |
Анализ приведенных данных дает представление о процессах, протекающих в географической структуре основных товаропотоков. Главный из них — относительное ослабление связей между тремя основными центрами западной экономики — США, Японией и Германией. Поток, связывающий двух крупнейших экспортеров мира США и Германию — отошел по существу на 12-е место, сократилась и доля американо-японских взаимодействий, несмотря на рост удельного веса Японии в мировом экспорте. В целом доля межцентровых связей США—Япония—ЕС в мировом внешнеторговом обороте снизилась с 14% до 10% в 70-е гг. и до 8% за 80-е гг., тогда как доля связей этих центров со своей непосредственной зоной тяготения выросла за последние 20 лет с 10% до 25%. Это указывает на превращение мирового хозяйства в многополярную систему, отдельные части которой, несмотря на усиливающийся процесс глобализации, имеют тенденции к самоизоляции, локализации связей, их региональному замыканию.
Однако тремя мировыми экономическими центрами дело не ограничивается. Уже говорилось выше о таком уникальном явлении последних лет, как неожиданный выход на мировую экономическую арену стран новой индустриализации, выход, который во многом обязан активной внешнеэкономической деятельности Японии. Но теперь эти страны образуют уже быстро развивающееся и относительно самостоятельное ядро, формирующее новый полюс развития в восточной части Тихоокеанского бассейна, доля которого в мировом валовом продукте за последние 20 лет удвоилась (табл. 24).
Таблица 24
Динамика хозяйственного развития стран новой индустриализации за 1980—1993 гг. (прирост в %)
| Страны |
Валовой внутренний продукт |
Экспорт |
| Республика Корея |
90 |
172 |
| Тайвань |
76 |
155 |
| Сянган (Гонконг) |
67 |
153 |
| Сингапур |
58 |
91 |
| Промышленно развитые страны Запада |
23 |
36 |
Суммарная доля четырех стран новой индустриализации в мировом экспорте выросла в 4 раза и достигла 14% (Гонконг — 4,6%, Республика Корея 3,3%, Сингапур 3,2%, Тайвань 3,0% мирового экспорта). Феномен стран новой индустриализации частично можно объяснить на раннем этапе развития большой ролью государственных субсидий, ограничением импорта и быстрым развитием импортозаменяющих производств. Современный этап их взлета объяснить значительно труднее — здесь и фактор политической стабильности, и наличие определенной критической массы трудовых ресурсов, традиций и трудовых навыков, и высокая организованность и дисциплинированность населения и, наконец, приморское транспортно-географическое положение этих стран, близость к Японии.
Быстрый рост привел к «перегреву» экономик и тяжелому финансовому кризису в этих странах в начале 1998 г.
Мировой товарный экспорт (трлн долл. в ценах 1990 г.) развивался следующим образом: 1950 г. — 0,35; 1960 г. — 0,50; 1970 г. — 1,25; 1980 г. — 2,25; 1990 г. — 3,48; 1997 г. — 5,4.
Таким образом, за 40 лет объем мировой торговли вырос в 10 раз, причем по десятилетиям он увеличивался в 1,4, в 2,5, в 1,8 и в полтора раза.
Важнейшей характеристикой мирового внешнеторгового оборота является его товарная структура, которая под воздействием географического разделения труда и научно-технического прогресса претерпевает значительные изменения. Углубление международного географического разделения труда, которое выражается не только в предметной (т.е. на уровне готовой продукции), но и поузловой, подетальной и постадийной специализации производства, а также резкое снижение ресурсо- и материалоемкости хозяйства, ведут к сдвигам в структуре товарной массы, поступающей на мировой рынок. Происходит снижение доли продукции первичного сектора экономики — топлива, сырья, продовольствия и рост удельного веса продукции квалифицированных отраслей обрабатывающей промышленности, включая высокие технологии, т.е. особо наукоемкие производства.
За послевоенный период, таким образом, в структуре международного товарооборота произошли принципиальные изменения (табл. 25).
Радикальные изменения в структуре произошли именно за последнее десятилетие. Как уже говорилось выше, эти изменения сопровождались значительным ослаблением зависимости промышленно развитых стран Запада от импорта сырья из развивающихся стран (табл. 26).
Вся сложность товарной структуры внешнеторгового оборота связана с очень развитым международным географическим разделением труда и огромным разнообразием потребностей в товарах производственного и потребительского назначения. Однако даже если ограничиться только рассмотрением некоторых сырьевых и продовольственных товаров, то степень их экспортности очень различна, что связано со степенью уникальности (или, наоборот, повсеместности) распространения источников данного сырья, а также с его транспортабельностью, т.е. транспортными затратами на единицу полезного вещества, содержащегося в данном товаре (см. таблицу 28).
Таблица 25
Сдвиги в структуре мирового товарооборота (% к итогу)
| Товарные группы |
1960 г. |
1970 г. |
1980 г. |
1990 г. |
| Сырье и продовольствие |
55 |
50 |
47 |
25 |
| Готовая продукция |
45 |
50 |
53 |
75 |
Таблица 26
Доля развивающихся стран в обеспечении сырьем (%)
| Регионы и страны — потребители сырья |
Продовольствие, с/х продукция |
Топливо |
Все виды сырья |
|||
| 1980 |
1995 |
1980 |
1995 |
1980 |
1995 |
|
| ЕС |
10 |
5 |
55 |
22 |
30 |
17 |
| Северная Америка |
8 |
4 |
20 |
15 |
16 |
12 |
| Япония |
13 |
8 |
90 |
72 |
50 |
22 |
Таблица 27
Товарная структура мирового экспорта в 1995 г.
| Товарные группы |
Объем экспорта, млрд долл. |
% к итогу |
|
| Сырье Продовольствие |
352 |
8 |
|
| Топливо |
370 |
9 |
|
| Промышленное сырье |
132 |
3 |
|
| Цветные металлы |
85 |
2 |
|
| Руды |
62 |
2 |
|
| Всего |
1001 |
24 |
|
| Готовые изделия и полуфабрикаты Машины и транспортные средства |
1527 |
35 |
|
| Другие потребительские товары |
480 |
11 |
|
| Химикаты |
370 |
9 |
|
| Полуфабрикаты |
365 |
8 |
|
| Одежда |
174 |
4 |
|
| Другие текстильные изделия |
153 |
4 |
|
| Прокат черных металлов |
147 |
3 |
|
| Всего |
3216 |
73 |
|
| Другие товары (включая вооружение) |
145 |
3 |
|
| Итого |
4362 |
100 |
|
Для большинства стран мира международный товарообмен остается основной формой внешнеэкономических связей. Степень участия в географическом разделении труда, или так называемую открытость экономики, отражает показатель обмена экспорта и импорта товаров и услуг, отнесенный к ВВП или к численности населения. Ни одна даже самая развитая в экономическом отношении страна не может эффективно производить все виды потребляемой продукции. Степень вовлеченности в международное разделение труда зависит в первую очередь от уровня развития производительных сил. Поэтому промышленно развитые страны занимают ведущие позиции в международном товарообороте, специализируясь главным образом на поставках продукции высокой технологии — машин, электронного оборудования, продукции фармацевтики и тонкой химии.
Таблица 28
Степень экспортности ряда сырьевых товаров на мировом рынке, 1990 г.
| Товарные группы |
Мировое производство, млн т |
Экспорт, млн т |
Экспорт к производству, % |
| Пиломатериалы |
32 |
11 |
33 |
| Лес-кругляк |
1171 |
85 |
7 |
| Кофе |
6 |
5 |
84 |
| Рыбопродукты |
99 |
38 |
38 |
| Зерно |
1955 |
224 |
11 |
| Мясо и мясопродукты (говядина) |
51 |
4 |
9 |
| Сырая нефть |
3019 |
1386 |
46 |
| Природный газ (нефт. экв.) |
1746 |
267 |
15 |
| Уголь каменный |
3316 |
358 |
11 |
Для определения степени втянутости хозяйства той или иной страны в мирохозяйственную систему чаще всего используют так называемую экспортную квоту хозяйства — показатель, определяемый как отношение стоимости экспорта товаров и услуг к валовому внутреннему продукту в сопоставимых ценах. Экспортная квота за 1975—1995 гг. выросла с 12% до 22%, по товарному экспорту (без топлива) с 8% до 13%, по экспорту услуг с 1,5% до 3,0%. В мировом экспорте возросла доля продукции машиностроения, автомобилей, электронного оборудования, химикалиев, текстильных изделий, обработанной древесины, бумаги, сократилась доля цветных металлов, стали, продовольственных товаров.
Таким образом, более 1/5 объема произведенных в мире продукции и услуг (в ценностном выражении) поступает на мировой рынок. Приведенные данные указывают на чрезвычайное разнообразие этого показателя. Более того, и среди развивающихся стран есть такие, у которых экспортная квота выше, чем у некоторых промышленно развитых. И нельзя признать правильным широко бытующее мнение, что чем выше экономический потенциал страны, тем больше открытость ее экономики. Так, США и Япония — первый и третий экспортеры мира — имеют относительно низкую экспортную квоту (табл. 29).
Анализируя таблицу, можно сделать вывод, что на экспортность, открытость хозяйства, кроме уровня развития производительных сил, выгодности экономико-географического положения и разнообразия природных ресурсов, в значительной степени влияет емкость внутреннего рынка, рост платежеспособного спроса населения. Именно поэтому Япония является одной из очень немногих стран, где показатель экспортной квоты за 30 лет (с 1960 г.) почти не вырос, несмотря на бурное развитие всех видов внешнеэкономической деятельности. Быстрый рост заработной платы и общее повышение жизненного уровня населения, что и определяет платежеспособность, емкость внутреннего рынка, явились мощным фактором, противостоящим росту уровня экспортности хозяйства.
Таблица 29
Динамика экспортной квоты промышленно развитых стран (% к ВНП)
| Страны |
1970 г. |
1995 г. |
| Италия |
15,4 |
25 |
| Франция |
16,3 |
26 |
| Великобритания |
23,2 |
29 |
| Германия |
21,2 |
33 |
| Швеция |
24,1 |
35 |
| Нидерланды |
44,8 |
59 |
| США |
5,9 |
11 |
| Япония |
10,8 |
14 |
| Австралия |
14,8 |
21 |
| Канада |
22,7 |
28 |
Что касается развивающихся стран, у большинства которых емкость внутреннего рынка относительно невелика, то специализация экспорта на небольшом числе товаров ставит хозяйство в сильную зависимость от колебаний цен на мировом рынке, формирует монокультурную специализацию.
Место России в мировой торговле явно не соответствует ее роли в мирохозяйственной системе (всего 2%), а структура экспорта— импорта схожа с развивающимися странами; в экспорте почти 4/5 объема приходится на топливо, сырье и полуфабрикаты, тогда как в импорте преобладают готовые изделия и сельскохозяйственные товары. Среди экспортируемых готовых изделий важное место занимают вооружение и военная техника — основная статья экспорта продукции машиностроения. На нее приходится более 1/5 мирового экспорта оружия и до 7% суммарного экспорта России, тогда как в США — всего 2%, а в странах Западной Европы менее 1%. Важнейшими условиями необходимого изменения структуры внешнеторгового оборота России являются повышение конкурентоспособности продукции экспортных отраслей и рационализация и перестройка импорта.
Трансграничное перемещение людей. Основные потоки составляет иностранная рабочая сила: сюда входят и работники физического труда и все более увеличивающийся поток ученых. Современные трудовые миграции достигли в сумме уже 100 млн человек, а общий поток валюты, заработанный мигрантами и идущий в обратном направлении в страны, откуда эмигранты выехали, превышает 400 млрд долл. ежегодно. Так называемые гастарбайтеры и их семьи активно осваивают хозяйственное пространство Германии — их число (в основном жители Турции и бывшей Югославии) превысило уже 7 млн человек, т.е. приближается уже к 8—10% численности населения страны. Проблема утечки мозгов, т.е. эмиграция научной и творческой интеллигенции стояла очень остро в Китае, в развивающихся странах, сейчас она коснулась России.
Для постиндустриального этапа развития мирового хозяйства характерно быстрое нарастание международного туризма — другого важного вида трансграничного перемещения людей. Туризм в современном понимании превратился в целый комплекс отраслей, охватывающих транспорт, гостиничное хозяйство, индустрию развлечений, спорт, рекламное дело, общественное питание. За 1970—1991 гг. число международных туристов в мире возросло с 160 млн до 525 млн человек, т.е. более чем в 3 раза, в то же время доходы от туризма увеличились с 20 млрд до 500 млрд долл., т.е. в 25 раз. Это говорит о том, что время пребывания туристов за рубежом значительно возросло, стали осваиваться и более дорогие и более удаленные туристические рынки. Уже почти 2/3 всех международных поездок совершается с целью туризма. Большая часть поездок — между промышленно развитыми странами.
Таблица 30
Географическое распределение международного туризма в 1995 г. (%)
| Регионы |
Прибытие туристов |
Доходы от туризма |
| Западная Европа |
64 |
51 |
| Америка |
18 |
27 |
| Азиатско-Тихоокеанский регион |
13 |
18 |
| Африка |
3 |
2 |
| Южная Азия |
1 |
1 |
| Ближний и Средний Восток |
1 |
1 |
И на перспективу, по прогнозам, прирост международных туристских поездок составит около 4%, тогда как доходов от них — 9% в год. Оборот международного туризма в 1992 г. достиг 6% мирового валового продукта, его основные фонды оцениваются в 3,8 трлн долл., годовые капиталовложения — 438 млрд долл., число занятых в ней превысило 130 млн человек. Таким образом, международный туризм, наряду с автомобильной промышленностью, стал ведущим сектором мировой экономики.
Необходимо отметить тесную связь развития туризма со сдвигами в транспортной системе. В 60-х гг. начало массового дальнего международного туризма было четко приурочено к широкому вводу в гражданскую авиацию самолетов с турбореактивными двигателями, которые и создали триггерный эффект, т.е. реакцию уже на накопившиеся в мировом сообществе потребности «к перемене мест».
Таблица 31
Распределение международных туристических поездок по видам транспорта (%)
| Виды транспорта |
1980 г. |
1995 г. |
| Воздушный |
30 |
45 |
| Автомобильный |
50 |
43 |
| Морской |
12 |
7 |
| Железнодорожный |
8 |
5 |
| Всего |
100 |
100 |
Реактивные самолеты резко изменили качество перевозок — повысились скорость и беспосадочная дальность, открылся путь к внедрению широкофюзеляжных машин типа «Джамбо» с большой вместимостью, что в свою очередь послужило началом массового освоения отдаленных туристских рынков. Наконец, что немаловажно, массовость чартерных перевозок позволила, несмотря на удорожание топлива, почти вдвое снизить тарифы. Все эти факторы, очередность их появления и нарастания вызвали национальные изменения в туристских потоках. Если в 60-е гг. в них резко преобладали американцы, то в 70-е гг. доминировать стали туристы из ФРГ, а в последнем десятилетии — японцы. Можно ожидать, что в начале следующего века в этих потоках значительное место займут и наши соотечественники. Надо сказать, что воздушный транспорт на межконтинентальных линиях в большой степени переключился на туризм — за последние четверть века доля туристов в перевозках возросла с 15% до 70%.
Следующая категория массовых трансграничных перемещений людей тесно связана с изменением геополитической ситуации — это потоки беженцев. Хотя их нельзя всецело отнести к внешнеэкономическим связям, но оказывают они на последние немалое воздействие.
Отмечаются две главные особенности международных потоков беженцев: их резкий рост с 70-х гг. и преимущественная концентрация в развивающихся странах. Число зарегистрированных беженцев в мире возросло с 2,4 млн человек в 1970 г. до 18,5 млн человек в 1992 г., в том числе в Северной Африке и Ближнем и Среднем Востоке — 7,3 млн, в Африке к югу от Сахары — 5,1 млн человек, в Европе 3,2 млн человек. Рост числа беженцев связан с ростом региональных конфликтов, количество которых за послевоенное время достигло 190, в том числе на Африку приходилось 52, Латинскую Америку 34, Южную и Юго-Восточную Азию — 49, Европу — 12, Ближний и Средний Восток — 41. Большинство конфликтов возникает из-за спорности установленных границ (например, Индия и Пакистан, КНР и Индия); другие причины — выступления против существующих режимов, этнические и религиозные конфликты, борьба за независимость. В основе конфликтов, вызывающих потоки беженцев, лежат такие факторы, как перенаселенность отдельных территорий, дефицит жизненно важных ресурсов — энергии, воды, земель.
Финансовые потоки. Вывоз капитала — одна из важнейших сфер соперничества между ведущими промышленными странами Запада. Этот процесс протекает более высокими темпами, чем производство и товарная внешняя торговля. Общая накопленная стоимость прямых иностранных инвестиций увеличилась в мире с 66 млрд долл. в 1960 г. до 1,2 трлн долл. в 1995 г. В международной миграции капитала в отличие от довоенного периода, резко преобладает взаимное инвестирование экономики развитых стран Запада (до 70% всех инвестиций в мире). Этот процесс способствует втягиванию отдельных национальных хозяйств в единую мирохозяйственную систему. В последние десятилетия США, оттеснив Великобританию, стали лидером в экспорте капитала.
Прямые иностранные капиталовложения США в 1992 г. составили 487 млрд долл. Из них на Великобританию приходилось 78 млрд долл.; Канаду — 68; Германию — 35; Швейцарию — 29; Японию — 26; Бермудские острова — 26; Францию — 23; Нидерланды — 19; Австралию — 17; Бразилию — 16; Италию — 14; Сянган — 8,5; Норвегию — 4.
На подавляющей части предприятий этих стран капиталу США принадлежит более 50% акций, свыше половины объектов находится в американской собственности. Прибыль от зарубежных инвестиций покрывает значительную часть пассива платежного баланса США (около 1/4 всех поступлений).
Крупным международным инвестором стала Канада, ее ведущие горнопромышленные компании разместили свои капиталы в 30 странах. По объему иностранных вложений на второе место после США вышла Япония, которая в экономику США вкладывает около 1/3 своих зарубежных капиталовложений. Усилилась экспансия японского капитала на рынке Западной Европы. Однако в отличие от других главных экспортеров капитала около 1/4 своих иностранных инвестиций Япония направляет в развивающиеся страны, вкладывая их главным образом в разработку сырьевых ресурсов, а в последнее время и в новейшие отрасли и быстро развивающихся странах новой индустриализации. Характерно, что в Японию направлен всего лишь 1% мировых заграничных капиталовложений. Из 20 крупнейших банков мира в Японии сосредоточено 12, шесть из которых занимают по обороту первые места. В последние десятилетие японский капитал резко активизировался в Западной Европе: 80% капитала направляется в финансовые услуги и торговлю и лишь около 15% — в обрабатывающую промышленность. Стремясь преодолеть таможенные барьеры Европейского Союза, японские фирмы все больше замещают товарный экспорт производством на месте.
Что касается западноевропейских стран, то за пределами Европы размещается около 60% заграничных инвестиций. Из них свыше 2/3 вложений иностранного капитала приходится на США, около 1/4 на Японию. В свою очередь. Западная Европа является крупным получателем американских капиталовложений — на нее приходится примерно 1/2 заграничных прямых вложений США.
Несмотря на острые экономические разногласия между США и Японией, финансовое взаимодействие между этими странами интенсивно возрастает. Но до сих пор взаимозависимость Западной Европы и США по капиталопотокам значительно выше, чем США и Японии. В последние годы общий объем прямых инвестиций США в Западной Европе в 12 раз превышал американские вложения в Японию, а прямые вложения Западной Европы в США в 7 раз превосходили японские инвестиции в этой стране.
В блоке развивающихся стран в 70—80-х гг. сложились два центра экспорта капитала — это страны ОПЕК, где доходы от продажи нефти составляют 150—200 млрд долл. в год, и так называемые новые индустриальные страны, которые сравнительно недавно вышли на мировой рынок капиталов и в настоящее время все больше переориентируются в своих связях на западные страны.
Главными регуляторами кредитно-финансовых отношений на межгосударственном уровне являются два специализированных международных учреждения — Международный банк реконструкции и развития (МБРР) и Мировой валютный фонд. В 1990 г. был организован также Европейский банк реконструкции и развития (ЕБРР), который взял на себя в последние годы и оказание финансово-инвестиционной помощи странам с переходной экономикой.
Обмен услугами. Этот вид внешнеэкономических отношений иногда называют невидимым экспортом. Ведущее место до сих пор в нем занимает деятельность морского флота, который во многих странах предоставляет услуги по перевозке грузов иностранных фрахтователей, что представляет своего рода морской извоз. Перевозчиками ГИФ выступают судоходные компании многих морских держав, в первую очередь, Норвегии и Греции (соответственно четвертое и шестое места в мире по тоннажу флота под национальным флагом). Быстро стали возрастать такие виды международных услуг, как информационно-коммуникационные, деловые услуги (консультационно-управленческие). В сферу международного обмена вошли инженерно-консультационные услуги, образующие как бы каналы доведения результатов научных исследований и опытно-конструкторских разработок (НИОКР) до стадии серийного производства. Этот процесс связан с тем, что в силу объективных причин у ведущих стран Запада объем финансирования и масштабы НИОКР быстро возрастают — доля затрат на НИОКР в ВВП достигла в Японии 2,9%, в США 2,6, в Германии 2,5, во Франции 2,3, в Великобритании 2,0, в Италии 1,3%. По мере возрастания объема НИОКР, связанного также с обострением межфирменной конкурентной борьбы, инженерно-консультационные услуги преодолевают государственные границы, становятся объектом международной торговли.
Основная торговля услугами происходит на рынках развитых стран. Примерно 1/5 экспорта дают развивающиеся страны — страны новой индустриализации, Индия, Мексика. Многим из стран, экспортирующих услуги, эта деятельность дает значительные валютные поступления, позволяющие сократить дефицит внешнеторгового баланса.
Для ускорения заключения финансовых сделок уже создано около 20 компьютерных центров в Нью-Йорке, Торонто, Лондоне, Париже, Франкфурте, Амстердаме, Цюрихе, Токио, Сингапуре, Сянгане и др., являющихся как правило мировыми финансовыми центрами.
Около 25% объема «невидимого» экспорта приходится на транспортные услуги, 20% — на международный туризм. Остальные 55% распределяются между страхованием, коммуникативными услугами, обработкой и передачей информации, рекламой, техническими и инженерно-проектными услугами, кинопрокатом, консультационными услугами.
Вопросы
1. В чем смысл процесса международного географического разделения труда и почему он лежит в основе развития внешнеэкономических связей?
2. Объясните понятие «автаркия».
3. Какова структура внешнеэкономических связей?
4. Что лежит в основе современного этапа специализации?
5. Каковы основные виды внешнеэкономических связей?
6. Как можно охарактеризовать современную географию внешнеэкономических связей?
7. Как воздействует экономическая интеграция на географию товаропотоков?
8. Как можно оценить уровень открытости национальной экономики?
9. Чем объясняются значительные пострановые различия в показателе экспортной квоты?
10. От чего зависят различия в уровне экспортности отдельных товаров на мировом рынке?
11. Что такое «не видимый экспорт»? Каких стран и каких «товаров» он касается?
12. Назовите главные направления государственного регулирования внешней торговли. В чем их смысл?
13. Какова роль внешней торговли в развитии экономики стран НИС?
ЗАКЛЮЧЕНИЕ. ЭКОЛОГИЧЕСКАЯ ПРОБЛЕМА И МИРОВОЕ ХОЗЯЙСТВО
Эколого-экономическая типология стран мира. Мировое хозяйство как материальная основа жизни человечества оказывает главное воздействие и создает основную нагрузку на глобальную экологическую систему. Ныне мировое хозяйство объединяет чрезвычайно широкий диапазон видов деятельности: от НИОКР наиболее развитых стран до потребительских хозяйств в деревнях наименее развитых стран, от микроэлектроники и биотехнологии до охоты и собирательства, от крупнейших цензовых отраслей до разнообразных занятий и производств «неформального сектора» и черного рынка. Преодоление негативных воздействий всех этих видов деятельности на среду обитания требует взаимодействия набора различных средств: прямых затрат на очистку хозяйственных отходов, смены технологий и территориально-отраслевой организации производств, комбинирования и комплексирования для утилизации отходов и, что особенно важно и актуально, использования так называемых вторичных ресурсов.
Все это требует проведения целенаправленной макроэкономической политики, возможности которой определяются прежде всего общим экономическим потенциалом страны. При всей неотложности решения экологических проблем следует учитывать, что в реальности все страны могут проводить экологическую политику только в соответствии со своими экономическими возможностями. По обобщенным данным, общие убытки от прямого воздействия на среду оцениваются в целом в 5—8% мирового ВВП, тогда как средства, выделяемые на природоохранную деятельность не превышают 0,6— 0,8% мирового ВВП. Это соотношение, конечно, различно у стран разных типов, что вытекает из эколого-экономической типологии страноведческого характера, предложенной Б.Н.Зиминым:
а) страны с крайне низким уровнем экономического развития, где понятие «экологизация» — в лучшем случае повод для природоохранных мероприятий, проводимых за счет иностранных инвесторов, а в худшем рассматривается как удобный повод для иностранного вмешательства. На все «экодоводы» у таких стран один ответ: «Мы хотим быть «развитыми странами», а не заповедником-хранителем кислорода для богатых стран».
б) страны с низким уровнем развития, где природоохранные мероприятия собственными силами практически не проводятся, а только осуществляются международными и зарубежными инвесторами. Антиэкологическая оппозиция не носит уже официального характера, а сохраняется лишь в форме «плантаторских бунтов» в отдельных регионах. Вложения в экологические мероприятия в этих странах обычно не превышают 0,4% ВНП.
в) страны со средним уровнем экономического развития, в которых финансирование природоохранной и ресурсосберегающей деятельности составляет от 0,5% до 1,3% ВНП.
г) страны с высоким уровнем экономического развития, где доля финансирования экологических мероприятий превышает 1,3% при душевом ВНП до 6 тыс. долл. Эти страны, как правило, не могут еще выносить нежелательные производства вовне и в очень малой степени ограничивают строительство экологически вредных объектов. Эти страны практически наладили охрану природы, но часто за счет таких приемов, которые экономически не очень дороги, но дают вывод загрязнений лишь за пределы ареалов активного заселения, а не ликвидируют их совсем, так как это для них еще дорого.
д) страны высокого уровня развития с душевым ВНП свыше 6 тыс. долл. в год. Эти страны в состоянии наиболее полно перевести свое производство на малоотходную и безотходную технологию, когда, помимо значительных усилий по сокращению выбросов за счет применения высокотехнологичных методов и процессов производства, используются все компоненты исходных сырьевых продуктов. Но главное для этих стран — новый порядок экономических взаимоотношений между развитыми и развивающимися странами, приводящий к переводу производств, а в ряде случаев и целых промышленных объектов отраслей «нижнего этажа» из развитых в страны третьего мира, поскольку последние в условиях постиндустриального общества становятся как бы базой промышленно развитых стран. Они обеспечивают материалами, т.е. продукцией нижних этажей верхние этажи хозяйства постиндустриальных стран. В результате число нежелательных производств, объектов и отраслей в этой группе стран становится меньше, но при этом общая мировая экологическая ситуация в целом ухудшается, так как производители третьего мира гораздо меньше заботятся об экологических аспектах производства, чем производители в развитых странах.
Что касается России, то мы не можем прекратить сейчас производство, скажем, в Кузбассе и начать получать металл из Бразилии, как это делают машиностроительные компании Рура, ведь это потребовало бы увеличения душевого ВНП в 2,5 раза.
е) страны с особым, «идеальным» опытом природоохранной и ресурсосберегающей технологии и деятельности, который формируется, например, в Швейцарии, в Калифорнии. Эти страны и районы добились почти полной безотходности производства. Такого рода практика невозможна в больших странах, где есть все отрасли, несмотря даже на максимальный вынос «грязных» отраслей в страны третьего мира. В этих странах налаженное безотходное производство не только вершина технологии, но и уступка другим отраслям, происходящая пусть частично (даже в форме налогов) за их счет.
В странах среднего уровня развития, к которым можно отнести и Россию, концентрация ресурсов на экологические цели происходит только в наиболее угрожаемых отраслях и регионах. Ничего другого в этом плане не делается, если не считать международных проектов или проектов по охране рекреационных объектов, рассчитанных на международный туристический рынок.
Вопрос о прекращении работы экологически вредных объектов, включая и АЭС, возникает главным образом в экономически развитых странах. В отличие от СНГ здесь всегда имеет место учет экономических последствий подобной остановки и предусматривается такой временной лаг, который позволил бы либо реконструировать объект, либо перенести производство на другой объект или в другую страну. Сроки прекращения производства или реконструкции в промышленности доходят на Западе до трех лет, как, например, в случае с цветной металлургией.
Сопротивление экологистов не просто корректируется, но просматривается явная тенденция более резкого сопротивления популистски настроенной общественности. Типичным примером такой «коррекции» требований экологистов является развитие атомной энергетики в Швеции, где под давлением экологических лозунгов было принято решение о закрытии к 2010 г. всех АЭС. Правительством страны было выделено 500 млн долл. на развитие тепловой энергетики и на мероприятия по энергосбережению. Однако при более детальном изучении проблемы оказалось, что в стране никто не хочет отказаться от нормального существования во имя «спасения природы», а переход на ТЭС невозможен без резкого увеличения выбросов в атмосферу углекислого газа. Оказалось, что быстрая и полная замена АЭС невозможна, и сейчас усиливается кампания по отсрочке закрытия АЭС. Эта тенденция просматривается и в США, где снова дискутируется возможность возобновления развития атомной энергетики, особенно в связи с тревогой по поводу истощения ресурсов дешевой нефти (срок перехода на «дорогую» нефть в западном мире оценивается в 15—20 лет), подстегнутой и неуверенностью по поводу российских поставок нефти на мировой рынок.
Фактически ликвидация в развитых странах «грязных» производств происходит в результате совокупного действия трех факторов: 1) внедрения новых технологий; 2) переноса производств в страны третьего мира; 3) перевода индустрии развитых стран на богатые руды и концентраты из развивающихся стран. Перенос — это решение не столько экологическое, сколько переход к новым источникам энергии и других ресурсов, так как возможности получения дешевой энергии и ресурсов в высокоразвитых странах уже исчерпаны.
Однако эластичность по отношению к экологическим факторам зависит не только от уровня экономического развития, но и связана с характером территории и ресурсов, с ресурсоемкостью производства. Поэтому при одинаковом уровне экономического развития стран реальны большие различия. На примере цветной металлургии США, Западной Европы и Японии можно видеть «реакцию» промышленности на ресурсообеспеченность. В США при их большей ресурсообеспеченности из 100 единиц различных металлов, содержащихся в руде, в среднем извлекается 6—7%, в условиях Западной Европы в среднем 25% (в Германии даже 33%), в Японии 30—32%, а с учетом вторичного использования металла эти цифры поднимутся в США до 10—12%, в Западной Европе до 30— 35% в среднем.
Таким образом, степень безотходности производства зависит не столько от экологических требований, сколько от экономической и ресурсной (включая территориальную) ситуации. На всех американских медеплавильных заводах первая проблема — наличие территории для складирования пирротинов. В государствах Западной Европы и Японии такой проблемы по существу нет, так как пирротины здесь из-за дефицита ресурсов перерабатываются «до конца», тогда как в США и в странах третьего мира пирротины не считаются экономически рентабельным сырьем. Сегодня фактор территории прямо влияет на выбор технологии. Сохранение АЭС в Швейцарии объясняется прежде всего недостатком площадей для складирования зональных отвалов. АЭС в условиях Швейцарии, несмотря на риск, «экономят» таким образом территорию.
Большую роль в решении экологических проблем играет и наличие современной организации производства. Практически невозможно создание безотходных и малоотходных производств вне системы комбинирования, которая давно уже развита в странах Запада — особенно в Западной Европе, как на отраслевом уровне, так и на двухотраслевом. При наличии современной технологии, но при отсутствии регионального комбинирования в промышленности выброс с химических заводов Германии в 3—4 раза превышал бы нынешний.
Фундаментальные различия между группами стран проявились за последние два десятилетия (см. таблицы 32—34). Это, прежде всего, различия между географическим распределением населения и производства; так, разрыв в душевом ВВП между индустриально развитыми странами Запада и развивающимися странами достиг 15-кратного размера, а между западными странами и странами переходной экономики 6-кратного.
Велики межстрановые различия в отношении величины ВВП и потребления ресурсов и топлива, а также в показателе ресурсо- и энергоемкости ВВП: в развивающихся странах он в 2 раза, в странах переходной экономики почти в 3 раза выше, чем в индустриальных странах Запада.
Между распределением производства и распределением выбросов (эмиссии СО2 ) различия также значительны: в развивающихся странах удельные выбросы на 1 долл. ВВП в 1,5 раза выше, в странах переходной экономики почти в 4 раза выше, чем в западных странах.
Итак, из данных таблиц видно, что только промышленно развитым странам Запада удалось в полной мере вступить на путь энерго- и ресурсосберегающей экономики, однако по душевым показателям потребления энергии и эмиссии СО2 эти страны намного превосходят остальные две группы.
Таблица 32
Соотношение групп стран по макроэкономическим и экологическим показателям в 1993 г.
| Показатели |
Мир в целом |
Западные страны |
Страны с переходной экономикой |
Развивающиеся страны |
| Численность населения, млрд чел. |
5.5 |
0,76 |
0,49 |
4,16 |
| % |
100 |
14 |
9 |
77 |
| Производство ВВП, трлн долл. |
29,1 |
19,5 |
2.0 |
7,6 |
| % |
100 |
67 |
7 |
26 |
| Потребление первичной энергии, млрд т у.т. |
12,6 |
6,0 |
1,6 |
5,0 |
| % |
100 |
48 |
12 |
40 |
| Эмиссия СО2 млрд т |
22,1 |
11,0 |
4,0 |
7,1 |
| % |
100 |
50 |
18 |
32 |
Таблица 33
Показатели энергетической и экологической эффективности (на 1 долл. ВВП) в 1993 г.
| Показатели |
Мир в целом |
Западные страны |
Страны с переходной экономикой |
Развивающиеся страны |
| Энергопотребление, кг у.т. |
0,43 |
0,31 |
0,8 |
0,66 |
| % к среднемировому |
100 |
72 |
186 |
153 |
| Эмиссия СО2 кг |
0,76 |
0,56 |
2,0 |
0,9 |
| % к среднемировому |
100 |
74 |
263 |
118 |
Таблица 34
Душевые макроэкономические и экологические показатели по группам стран в 1993 г.
| Показатели |
Мир в целом |
Западные страны |
Страны с переходной экономикой |
Развивающиеся страны |
| ВВП, тыс. долл. |
5,4 |
25,8 |
4,1 |
1,8 |
| % к среднемировому |
100 |
478 |
76 |
33 |
| Энергопотребление, т у.т. |
2,3 |
7,9 |
3,3 |
1,2 |
| % к среднемировому |
100 |
343 |
143 |
52 |
| Эмиссия СО2 т |
4,1 |
14,5 |
8,2 |
1,7 |
| % к среднемировому |
100 |
354 |
200 |
41 |
Но экологическая катастрофа, словно «бомба» замедленного действия для Земного шара в будущем, заложена, конечно, в параметрах, касающихся развивающихся стран (включая Китай). Пока ресурсное и экологическое положение человечества «спасает» огромный разрыв в душевом ВВП между промышленно развитыми и развивающимися странами (более чем в 10—15 раз!). Встает вопрос, что же должно произойти, когда этот разрыв начнет уменьшаться?
Третий мир: альтернативный и имитационный пути развития. Попыткой ответа на вышепоставленный вопрос и явилась разработанная на Всемирной конференции ООН по окружающей среде и развитию (Рио-де-Жанейро, 1992) концепция устойчивого развития, основные положения которой сводятся к следующему:
в центре внимания находятся люди, которые должны иметь право на здоровую и плодотворную жизнь в гармонии с природой;
охрана окружающей среды должна стать неотъемлемой компонентой процесса развития и не может рассматриваться в отрыве от него;
удовлетворение потребностей в развитии и сохранении окружающей среды должно распространяться не только на нынешнее, но и на будущие поколения;
уменьшение разрыва в уровне жизни между странами, искоренение бедности и нищеты;
для достижения устойчивого развития государства должны исключить или уменьшить не способствующие этому развитию модели производства и потребления.
Рецепты преодоления рассмотренных выше противоречий и обеспечения устойчивого развития предлагаются учеными самые различные — от самоограничения потребностей до разработки мер по депопуляции нашей планеты. Что касается депопуляции, то помимо моральной стороны вопроса, следует иметь в виду, что доля занятых в общественном секторе производства в среднем по миру составляет лишь 43% всего населения и она не растет, т.е. трудовой потенциал планеты не так уж и велик. Если какими-то неведомыми способами удастся добиться быстрого сокращения рождаемости, это неизбежно приведет к ускоренному старению населения, что вызовет дальнейшее снижение трудового потенциала.
Итоги двух крупнейших международных конференций ООН — уже упоминавшейся в Рио-де-Жанейро и «Народонаселение и развитие» в Каире (1994) — показали следующее:
1. Человечество в настоящее время и в обозримый период не готово отказаться от наращивания потребления материальных благ и по количеству и по их разнообразию. И в первую очередь это касается беднейших развивающихся стран, в которых почти 2 млрд человек до сих пор не пользуются благами электрификации. (Конференция в Рио-де-Жанейро в своей «Программе-21» отвергла возможность увековечения такого неравенства в потреблении материальных благ).
2. Рассчитывать на резкое замедление прироста численности населения в развивающихся странах в ближайшие 50 лет не приходится, скорее наоборот, по всем прогнозам, доля стран третьего мира в глобальном показателе достигнет 85%. Резко снизив смертность населения в этих странах, ООН, ВОЗ и все человечество в целом не нашли эффективных путей ограничения рождаемости населения. Оно продолжает расти на 80—90 млн человек в год, из них на развивающиеся страны приходится 85%.
Вместе с тем экономика западных стран с 70-х гг. демонстрировала гибкость и высокую степень адаптивности к изменившимся условиям на рынке ресурсов (резкое их вздорожание, ужесточение экологических требований). В результате стремительной перестройки технологического аппарата и других мер западным странам удалось за 10—20 лет в 1,5—2 раза снизить ресурсоемкость своего ВВП, тогда как страны бывшей соцсистемы и развивающиеся страны продолжали развиваться экстенсивным путем, т.е. объем потребляемых ресурсов изменялся параллельно с ростом (падением) производства. В развивающихся странах опережение ВВП по отношению к энергопотреблению составило за последнее десятилетие всего 5%. В результате их энергопотребление за 30 лет выросло в 4 раза, а доля в глобальном выбросе загрязняющих веществ увеличилась с 20 до 32%. Как следствие роста энергоемкости, 1/4 всего заемного капитала в этих странах направляется на реализацию энергетических проектов (табл. 35—36).
Этот порочный круг одной из первых среди стран третьего мира решила разорвать Бразилия, вложив за пятилетие около 20 млн долл. в развитие и внедрение энергосберегающих технологий (в частности, было заменено 280 тыс. светильников уличных фонарей на люминесцентные лампы, что позволило снизить потребление электроэнергии в этом секторе на 70%). В результате, экономия на «не вводе» новых электростанций и линий электропередач составила около 1 млрд долл.
Таблица 35
Динамика ресурсоемкости ВВП ведущих стран (долл. на 100 долл. ВВП)
| Страны |
1970 г. |
1995 г. |
| США |
13 |
8 |
| Канада |
19 |
10 |
| Япония |
9,3 |
4,2 |
| Германия |
6,6 |
3,2 |
| Франция |
7,7 |
3,3 |
| Италия |
10,9 |
4,5 |
| Великобритания |
8,7 |
4,9 |
| Россия |
16 |
15 |
Таблица 36
Соотношение темпов прироста ВВП и энергопотребления за 1983—1992 годы (%)
| Группы стран |
Прирост ВВП |
Прирост энергопотребления |
| Индустриально развитые страны Запада |
29 |
19 |
| Развивающиеся страны |
60 |
55 |
| Бывшие социалистические страны |
—9,2 |
—1,2 |
Многие ученые считают, что «демонстрационный эффект» западных стран на этот раз не сработает и страны третьего мира направят (вернее, будут вынуждены направить) свое развитие по альтернативному пути. При этом ссылаются не только на огромные и все возрастающие различия в социально-экономической сфере, но и в традициях, религии, образе жизни, системе ценностей (еще Р.Киплинг писал «Запад есть Запад — Восток есть Восток, и им не сойтись никогда»). Отсюда возникает предположение, что развивающиеся страны, не достигнув успеха на так называемом имитационном пути развития, в конце концов откажутся от него и выберут альтернативный, традиционный путь и замкнутся в своем блоке.
И действительно, разрыв между блоками стран «Север» и «Юг» огромен. По основным душевым показателям уровня жизни (потребление ценных видов продовольствия, в том числе животных белков, показатели автомобилизации, телефонизации, транспортной подвижности населения, оснащенность бытовой техникой и др.) различия между западными и развивающимися странами достигают 10—15 и даже 100 раз.
И все же опыт изучения особенностей развития всех трех групп стран показывает, что альтернативных путей социально-экономического развития для отдельных частей человечества не существует (как впрочем, нет и полностью имитационного пути). В мире абсолютно преобладает тенденция к наращиванию определенного и все увеличивающегося в своем разнообразии набора материальных и духовных благ, к формированию определенного образа жизни при сохранении всех национальных особенностей и стереотипа поведения, свойственного подавляющей части населения, человеческой цивилизации. Можно считать, что это движение человечество по пути индустриального развития, хотя этому развитию свойственны неравномерность, огромные различия в исходном уровне, в объемах личного и производственного потребления, в отраслевых и территориальных структурах.
Таблица 37
Душевое потребление продуктов питания и промышленных товаров в индустриально развитых и развивающихся странах, 1992—1993 гг.
| Показатели |
Единицы измерения |
Индустриальные страны |
Развивающиеся страны |
|
| Потребление продуктов питания Калорийность |
тыс. ккал/сутки |
3,4 |
2,4 |
|
| Белки животного происхождения |
г/сутки |
59,4 |
13,2 |
|
| Жиры животного происхождения |
ч/сутки |
79,0 |
17,0 |
|
| Зерно |
кг/год |
717 |
247 |
|
| Молоко |
кг/год |
320 |
39 |
|
| Мясо |
кг/год |
61 |
11 |
|
| Потребление промышленных товаров Химические удобрения |
кг/год |
70 |
15 |
|
| Цемент |
кг/год |
450 |
130 |
|
| Ткани |
м2 /год |
15,7 |
5,8 |
|
| Бумага |
кг/год |
148 |
11 |
|
| Пиломатериалы |
м3 /год |
213 |
19 |
|
| Автомобили |
легковые автомобили на 1 тыс. жителей |
350—600 |
5—12 |
|
| Телефоны |
аппараты на 100 жителей |
55—80 |
1—5 |
|
| Транспортная подвижность населения Внегородские перевозки |
тыс. пасс./км |
10—16 |
0.7—1,0 |
|
Между тем, глобальная экологическая проблема продолжает обостряться. Содержание СО2 в атмосфере растет на 0,5% в год. С начала века это вызвало повышение температуры на 0,3—0,5 С, а к 2000 г. она может вырасти на 1,2 С. Озоновый слой утончается на 0,2% в год, над северным полушарием за 20 лет он сократился на 25%. Подсчитано, что прямые убытки от загрязнения среды составляют 5—8% мирового валового продукта, тогда как на природоохранные меры в мире выделяется всего лишь 1,5% произведенного валового продукта. Число природных катастроф возросло с 17 в 60-х гг. до 29 в 70-х гг. и до 68 в 80-х гг.
Антикризисная геоэкологическая стратегия. Как уже говорилось, набор мер по преодолению или хотя бы отсрочке наступления экологической катастрофы очень невелик. Опыт постиндустриальных стран подсказывает необходимость перехода на ресурсосберегающую технологию, но это в свою очередь связано с существенной перестройкой структуры всего хозяйства, как отраслевой, организационной, так и территориальной. С 70-х гг. ввиду резкого удорожания энергоносителей усилилась ориентация промышленности на относительно дешевый труд — сначала это коснулось Японии, Испании, Италии, позднее — стран новой индустриализации — Тайваня, Республики Корея, Сингапура. Эти процессы в свою очередь «подхлестнули» территориальную деконцентрацию производства, «выдавливание» промышленности на периферию, во внеурбанизированные пространства.
Ускорились процессы трансформации организационной и управленческой структуры хозяйства — демонополизация, разгосударствление, дерегулирование (например, эти меры охватывали железные дороги Японии и Великобритании, авиакомпании США и др.).
Приоритет требований потребителя в условиях развития рыночных отношений, а также ориентация индустриальных стран на ресурсосбережение, что можно расценить как постепенную смену производственной парадигмы, ведет и к территориальным сдвигам хозяйства. Реально изменение его территориально-отраслевой структуры: разработаны принципиально иные подходы к ресурсному освоению «новых» районов (перепрофилирование процесса освоения), происходит реструктуризация хозяйства старопромышленных районов, увеличивается целевое разнообразие и количество открытых (свободных) экономических зон, организация технополисов и других видов территориального сращивания производственных и научных структур.
Анализ территориальных сдвигов показал, что на смену массовому (серийному) производству, основанному на принципе «экономии масштаба» и на специализации на выпуске массовой однородной продукции пришло гибкое многопродуктивное производство, основанное уже на принципе «экономии многообразия» и ориентирующееся на качество и разнообразие выпускаемой продукции и на способность быстро реагировать и приспосабливаться к меняющемся спросу рынка. Это, в свою очередь, требует передового оборудования и внедрения новых форм организации производства (компьютерный дизайн, робототехника), что находит свое выражение в организационном принципе «точно в срок» как всестадийном управлении качеством продукции.
Ожидалось, что эти сдвиги приведут к реинтеграции производства в промышленно развитые страны. Однако на самом деле усилились тенденции организации сборочных предприятий в НИС первого поколения (Мексика), в группе новых НИС, а в последнее время и в Китае. Под влиянием этих процессов получили развитие так называемые «зоны экспортных производств» во многих развивающихся странах.
Свертывание и переориентация ресурсоемких отраслей закономерно привели к ускоренному возрастанию третичного сектора, на который уже приходится в индустриальных странах Запада около 2/3 произведенного ВВП и численности занятых. Объективный характер развития третичного сектора связан со значительно меньшей, чем в производственных отраслях, ресурсоемкостью (в 3—4 раза), необходимостью поглощения избыточной рабочей силы, освобождающейся в результате повышения производительности труда, и широким внедрением технических инноваций. Международный туризм как одна из самых динамичных отраслей третичного сектора превратился уже в ведущую отрасль мирового хозяйства, наряду с автомобильной и нефтяной промышленностью, с совокупным доходом более 600 млрд долл. в год. В связи с этим происходит функциональная переориентация целых зон и районов, подчинение прочих секторов интересам туризма и других третичных отраслей, резкое повышение уровня инфраструктурного обустройства территории.
Невозможно предположить, что в будущем по мере роста ВВП и решения острых социальных проблем более 4/5 населения планеты добровольно откажутся от плодов цивилизации, которыми уже десятилетия пользуется всего 1/8 населения Земли. По международным прогнозам, с учетом энергосберегающей модели развития за последующие 30—40 лет развивающимся странам предстоит вложить в новую технологию, в мероприятия по энергосбережению и снижению энергоемкости хозяйства около 350 млрд долл., что избавило бы их от необходимости затратить астрономическую сумму в 3 трлн долл. на сооружение новых электростанций, нефтеперерабатывающих заводов, трубопроводов и других энергетических и транспортных объектов.
Говоря об устойчивом развитии, следует четко разделять производство и потребление ресурсов, с одной стороны, и потребление материальных благ — с другой, а эти понятия часто смешиваются. Опыт последних десятилетий мирового развития (после начала энергетического кризиса) показал со всей определенностью, что единственный путь к достижению устойчивого развития — это внедрение повсеместно во всех отраслях и секторах мирового хозяйства (и в первую очередь, в его наименее развитой части) ресурсосберегающей и безотходной технологии, резкая интенсификация производственного процесса, его структурная и отраслевая перестройка.
Такой маневр мировыми финансовыми и материальными ресурсами позволил бы развивающимся странам встать на путь ресурсосберегающего развития при принципиальном (на несколько порядков) снижении экологической опасности и одновременно резком росте занятости.
Но в рамках мирового сообщества есть только один единственный резерв финансовых, материальных и трудовых ресурсов для проведения такого маневра по внедрению ресурсосберегающей технологии в мировом масштабе — это всеобщая демилитаризация, резкое сокращение всех видов военных расходов всеми странами мира. Ведь военные расходы в мире достигают почти 1 трлн долл. в год, «под ружьем» находится более 40 млн человек в наиболее трудоспособном возрасте, более 20 млн человек занято в военной промышленности.
Часто необходимость перехода к устойчивому развитию связывают с быстрым истощением минеральных ресурсов Земли. Действительно, на минеральные энергоносители приходится в настоящее время почти 80% мирового энергопотребления, поэтому будущее мировой энергетики обычно связывается с нетрадиционными видами энергоносителей — энергией солнца, ветра, земных недр, морских приливов и волн и т.д. Однако опыт показал, что еще многие десятилетия эти виды энергии не будут играть решающей роли в мировом энергобалансе, оставаясь в пределах нескольких процентов (не больше 8—10). В то же время из опыта реакции мирового сообщества на последний энергетический кризис можно сделать вывод, что рост цен на энергоресурсы (прежде всего на нефть) и угроза доступу к ресурсам немедленно вызывают разработку новых, хотя и труднодоступных (в частности — шельфовых) месторождений. Это будет происходить и в дальнейшем по мере роста порога экономической рентабельности разработки таких месторождений (табл. 38).
Рассматривая природопользование как основу взаимодействия общества со средой, можно выделить в целях прогнозирования прежде всего те естественные процессы и явления, которые: а) могут вызвать отрицательные для человека необратимые изменения среды обитания (отравление водоемов поллютантами, обеднение генофонда Земли); б) поддаются регулированию сознательной деятельностью людей и способствуют целенаправленному изменению природы в их интересах (например, допустимый для общего экологического равновесия контроль за используемым поверхностным стоком; создание защитных лесополос); в) позволяют сводить до минимума нарушения природных геосистем, обеспечивая в то же время их максимальную продуктивность для человека (например, в зонах рекреации); г) ведут к трансформации природных комплексов и сдвигам в состоянии окружающей среды, сохраняющим возможности хозяйственной деятельности в новых условиях.
Таблица 38
Мировые запасы нефти в зависимости от издержек на добычу в 1994 г.(млрд т)
| Производственные издержки, долл./т |
Общие запасы |
Разведанные запасы |
| Менее 30 |
90 |
90 |
| 30—80 |
85 |
45 |
| 80—140 |
95 |
30 |
| 140—220 |
120 |
— |
| более 220* |
140 |
— |
| Всего |
530 |
165 |
* Включая запасы месторождений к северу от 60° с.ш. а также битуминозные пески, нефтеносные сланцы.
Смещаются и акценты в области природопользования. В недавнем прошлом оно было решительно поставлено на службу интересам материального производства с тем, чтобы обеспечивать его быстрый рост. Ныне же в основу планирования оправданно положить принципы, в равной мере учитывающие экономические, социальные и геоэкологические проблемы, что вытекает из понимания общества и географической среды как определенной целостности. Отсюда также следует, что нужно добиваться не только прогресса одной составляющей системы, а прежде всего благоприятной для человечества эволюции ее в виде неразрывного единства обеих слагающих систему частей.
Усиливающаяся экологическая компонента в экономических исследованиях, касающихся прежде всего путей научно-технического прогресса, — важный момент, объединяющий экономический и географический подходы применительно к современным мирохозяйственым процессам. На практике сказанное ведет к предпочтению не тех проектов, с которыми связана самая высокая рентабельность производства (при абстрагировании от побочных эффектов), а тех, которые способствуют выполнению совокупности намечаемых задач, хотя бы и при более низкой, чем в конкурирующем проекте, окупаемости затрат. Такую стратегию рационально проводить в жизнь на территориях, где экономические достижения уже не могут считаться конечным интегрирующим критерием, поскольку экологическая неустойчивость грозит подорвать природно-ресурсную базу общественного развития.
Вместе с тем развивающиеся страны не могут идти по пути «нулевого роста», как предлагалось в ряде научных работ, изданных на Западе. Поэтому не случайным стало выдвижение на первый план новых, компромиссных воззрений. Для примера назовем концепцию устойчивого развития (к которой очень близки идеи «разумно ограниченного» развития, экоразвития и некоторые другие), имеющую глубокие корни в теории управления возобновимыми ресурсами и ориентированную на сохранение естественных условий жизни. Речь идет о преодолении напряженности, наблюдаемой на современном этапе во взаимоотношении человека и природы, таким путем, который позволит не подорвать основы природопользования для последующих поколений.
Следовательно, цивилизации вновь предстоит сталкиваться с «вызовом», по терминологии знаменитого английского историка XX века А.Тойнби. Чаще всего такой «вызов» диктовался углублением конфликтов между обществом и природой. В прошлом они имели региональный характер и совершались асинхронно в разных частях Земли. Впервые в такое столкновение втягивается все человечество, которому предстоит бороться с трудностями глобального порядка. Для этого нужна новая парадигма развития, которая скажется на всем содержании господствующей ныне техногенной культуры. В итоге мировому сообществу придется искать компромиссное и вместе с тем оптимальное решение, что должно привести к сбалансированному развитию общества с учетом объективных ограничений, стоящих на этом пути. Именно от того, насколько успешно человечество сумеет справиться с данной задачей, причем не только глобально, но и на региональной и более нижних территориально-иерархических ступенях, зависит его будущее.
Вопросы
1. В чем суть глобальной экологической проблемы?
2. Как можно дифференцировать страны мира по интенсивности проявления экологической проблемы?
3. В чем суть концепции устойчивого развития? Является ли она осуществимой на данном этапе развития?
4. Каковы предлагаемые решения по преодолению фундаментальных противоречий?
5. Каков экономический смысл показателя ресурсоемкости?
6. Существует ли альтернативный путь развития для стран третьего мира?
7. В чем выражается обострение глобальной экологической проблемы?
Баранский Н.Н. Научные принципы географии. — М., 1980.
Вебер А. Теория размещения промышленности. — М., 1926.
Bumвep И.А. Историко-географическое введение в экономическую географию зарубежного мира. — М., 1963.
Вольф М.Б., Дмитревский Ю.Д. География мирового сельского хозяйства. — М., 1981.
География мирового хозяйства // Под ред. Б.Н.Зимина. — М.: Институт географии РАН, Российский открытый ун-т, 1992. — Ч. 1.
Изард У. Методы регионального анализа. — М., 1966.
Крючков В.Г. Использование земель и продовольственные ресурсы. — М., 1987.
Лёш А. Географическое размещение хозяйства. — М.: ИЛ, 1959.
Могилевкин И.М. Морское судоходство в мировой экономике и международных отношениях. — М., 1992.
Постиндустриальное развитие капиталистических стран // Под ред. Б.Н.Зимина, С.Б.Шлихтера. — М., 1993.
Природно-сельскохозяйственное районирование земельного фонда СССР. — М., 1984.
Пуляркин В.А. Экономико-географические процессы в сельском хозяйстве развивающихся стран. — М., 1976.
Рикардо Д. Начала политической экономии и налогового обложения / Соч. — М., 1962. — Т. 1.
Ракитников А.Н. География сельского хозяйства (проблемы и методы исследования). — М., 1970.
Тюнен фон И.-Г. Изолированное государство. — М., 1926.
Хаггетт П. География: синтез современных знаний. — М., 1979.
Шлихтер С.Б. География мировой транспортной системы. Взаимодействие транспорта и территориальных систем хозяйства. — М., 1995.
Автаркия — политика, направленная на национальную экономическую самообеспеченность, обособление национальной экономики от экономик других стран.
Агломерационный эффект — комплексный фактор размещения производства, благодаря которому достигаются сокращение издержек на инфраструктуру и другие дополнительные выгоды от совместного размещения предприятий.
Аграрные реформы — государственные мероприятия по преобразованию системы землевладения и землепользования. На характер реформ большое влияние оказывают экономико-географические условия и исторические особенности каждой отдельной страны и ее районов.
Агробизнес — система организации сельского хозяйства и связанных с ним отраслей, основанная на использовании современных методов управления и сопутствующих им приемов ведения агропроизводства с целью максимизации прибыли. Его становление явилось результатом включения компаний, занятых в пищевой промышленности, непосредственно в производство продуктов питания путем покупки ферм и превращения их в подчиненные элементы единых агропромышленных структур. В агробизнесе участвуют также крупные сельскохозяйственные корпорации, независимые от промышленного капитала, хотя между обеими сторонами существуют прочные договорные связи.
Агропромышленный комплекс (АПК) — межотраслевой хозяйственный комплекс, основной задачей которого является обеспечение страны продовольствием и аграрным сырьем. Включает три сферы: 1) отрасли, производящие средства производства для сельского хозяйства и осуществляющие его материально-техническое обеспечение и обслуживание; 2) отрасли сельскохозяйственного производства; 3) отрасли и производства, обеспечивающие заготовку и хранение, промышленную переработку и реализацию конечной продукции.
Аквакультура — воздействие на водную среду с целью увеличения производства органической массы, которая служит объектом хозяйственной эксплуатации. Практика выращивания рыбы в прудах насчитывает уже тысячи лет и издавна особенно распространена в рисоводческих областях Восточной и Юго-Восточной Азии. Однако контролируемое рыбоводство зародилось только в XVIII в. Имеются веские основания полагать, что в дальнейшем многие районы в прибрежной морской зоне смогут успешно использоваться для расширения производства белков животного происхождения. Аквакультура, приуроченная к морским территориям, получила название «марикультура».
Валовой внутренний продукт (ВВП) — сумма цен всех ко нечных товаров и услуг, произведенных в данной стране за определенный промежуток времени. Стоимость промежуточных продуктов (сырья, электроэнергии, полуфабрикатов) в величину ВВП не включается (кроме идущих на экспорт).
Всемирная торговая организация (ВТО) — международная организация, действующая на базе межправительственных соглашений и регламентирующая торговую и тарифную политику стран-участниц. Пришла на смену Генеральному соглашению по тарифам и торговле (ГАТТ).
Вторичный сектор экономики — включает отрасли, которые преобразуют предоставляемые первичным производством материалы в непосредственно полезные для человека виды продукции. К вторичному производству обычно относят обрабатывающую промышленность, индустриальное и гражданское строительство, электроэнергетику. В статистике ряда стран к этой группе отраслей причисляют также добычу полезных ископаемых.
Грузопоток — количество грузов, перевозимых одним или несколькими видами транспорта в одном направлении за определенный период времени.
Двухпольная система земледелия — система, при которой каждый сезон половина обрабатываемого клина засевалась, а половина оставлялась под паром. Свойственна ранней стадии развития агрикультуры.
Демпинг — продажа товаров или услуг по заниженным (иногда ниже себестоимости) ценам. Осуществляется с целью проникновения на иностранные рынки, подрыва позиции конкурентов, продажи избыточных запасов, поддержания производства во время кризиса.
Диффузия нововведений — пространственный процесс распространения новшеств в любом виде деятельности (производстве товаров, технологий и другой информации) в заданных границах — города, района, страны, части света, всего мира.
«Длинные волны» (циклы) — впервые установленные Н.Д.Кондратьевым долговременные циклические колебания экономической конъюнктуры мирового хозяйства, продолжительностью 50—60 лет — в отличие от краткосрочных циклов (5—7 лет) и среднесрочных, торгово-промышленных циклов (7—11 лет). Одна из ведущих причин — ход научно-технического прогресса и смена ведущих (пропульсивных) отраслей мирового хозяйства. В основе лежат сдвиги потребительских предпочтений в обществе и сроки амортизации базисных элементов производственной инфраструктуры.
Емкость территории — гипотетически предельно допустимая плотность сельского населения, вытекающая из потенциальной продуктивности сельскохозяйственных земель, наличия других естественных ресурсов и уровня развития производительных сил. При этом предполагается хозяйственная замкнутость рассматриваемой территории. Превышение максимальной численности жителей, способных получать средства к существованию, проживая на данной территории и используя ее ресурсы, свидетельствует об абсолютной перенаселенности на текущий момент. В реальной действительности при развитом географическом разделении труда чаще всего встречается относительное (скрытое) аграрное перенаселение, когда в деревне обнаруживается избыток рабочей силы по сравнению со спросом на нее и возможностями обеспечения ее полной занятости.
Естественные природные ресурсы — тела и силы природы, которые на данном уровне развития производительных сил и изученности могут быть использованы для удовлетворения потребностей человеческого общества в форме непосредственного участия в материальной деятельности. Состав ресурсов, понимаемых в указанном смысле, непрерывно изменяется, как правило, в сторону расширения, в зависимости от изменения факторов, определяющих возможность и потребность использования тех или иных конкретных элементов природы. Среди этих факторов основное значение имеют характер потребностей общества и степень технологических возможностей использования тех или иных тел природы.
«Зеленая революция» — сдвиги в земледелии развивающихся стран, преимущественно азиатских, произошедшие в середине 60-х гг. XX в. благодаря появлению качественно новых гибридных линий зерновых культур, прежде всего пшеницы и риса. Новые («карликовые») сорта по сравнению с традиционными, возделываемыми в условиях тропиков и субтропиков, отличаются значительно более высокой урожайностью. Их использование сопровождалось комплексом мероприятий по модернизации сельского хозяйства, включающим орошение земель, применение минеральных удобрений, внедрение машинной техники. Все это позволило существенно улучшить продовольственное положение во многих крупных государствах третьего мира, например, в Индии и Пакистане.
Земельная рента — сумма, периодически выплачиваемая арендатором собственнику земли за право пользования последней. Когда размер рентных платежей определяется на свободном рынке, например, если арендатор приобретает свои права на торгах, они обычно варьируют в зависимости от качества земли, площади хозяйства и местоположения. Рентные платежи могут колебаться из-за специфических деталей заключаемых соглашений, но в целом ренту следует рассматривать как обобщенный показатель ценности земли.
Зона свободного предпринимательства (ЗСП) — часть государственной территории, на которой осуществляется совместное предпринимательство ряда стран, вводятся особые льготные режимы — таможенный, арендный, налоговый, визовый и трудовой, создающие привлекательные условия для инвестирования иностранного капитала. ЗСП функционируют в различных модификациях — свободные зоны беспошлинной торговли, свободные промышленные зоны, зоны экспортного производства, свободные экономические зоны, открытые порты и города и др.
Интенсивное сельское хозяйство — охватывает системы аг-ропроизводства, которые характеризуются крупными затратами капитала и (или) труда. Последние должны компенсироваться большим валовым доходом и значительным чистым доходом в расчете на единицу площади. Главным свидетельством интенсивного ведения производства служит размер переменного капитала (расходы на рабочую силу, удобрения, технику и т.д.) по отношению к имеющемуся земельному фонду. Интенсивное агропроизводство имеет тенденцию концентрироваться на высокопродуктивных землях, близлежащих по отношению к центрам потребления и сбыта.
Интермодальные перевозки — взаимодействие нескольких видов транспорта в смешанных бесперегрузочных сообщениях с целью обеспечения высокого качества перевозок. Стали осуществляться с 60-х гг. с развитием и внедрением контейнерной системы, судов горизонтальной погрузки—выгрузки (ро-ро), судов смешанного плавания типа «река—море».
Интернационализация производства — процесс международного кооперирования, основанный, в частности, на превращении транспорта в логистическую систему, соответствующую принципу «точно в срок».
Информационное поле — определенный ареал в географическом пространстве (территории), в границах которого происходит взаимодействие между источником и получателем информации. Понятие введено в географию Т.Хагерстрандом при моделировании процесса пространственной диффузии нововведений.
Инфраструктура — совокупность отраслей, обеспечивающих бесперебойное функционирование народного хозяйства и жизнедеятельность населения, но не создающих материальную продукцию.
Контейнерная транспортная система — вид бесперегрузочных, интермодальных сообщений. Перевозка в контейнерах позволяет механизировать и тем самым ускорить погрузо-разгрузочные работы, снизить себестоимость перевозок, резко повысить производительность труда, обеспечить сохранность грузов, исключить перегрузки, ускорить оборачиваемость материальных ресурсов. Позволяет использовать каждый из видов транспорта в оптимальной для него сфере функционирования. Недостатки: высокая капитало- и землеёмкость, потребность в специализированных транспортных средствах, возникновение проблемы загрузки в порожнем направлении.
Концепция Босеруп. Предложена в 60-х гг. датской исследовательницей Эстер Босеруп, которая исходит из тезиса, что во взаимосвязи между ростом населения и развитием сельского хозяйства независимой переменной выступает демографический фактор. Подобная позиция противоположна базирующимся на теории Мальтуса утверждениям, что только технический прогресс в сельском хозяйстве создает условия для увеличения численности населения, за счет преодоления того порога, который образовывался прежним объемом агропроизводства.
Босеруп опирается на посылку, что при низкой плотности населения лишь небольшая часть земель обрабатывается, а период их отдыха продолжителен. По мере демографического роста сроки залежи сокращаются, что вызывает необходимость умножения вложений труда и материальных затрат для компенсации неизбежного снижения природного плодородия почвы и урожаев. Таким образом, демографический фактор вызывает изменения в сельском хозяйстве, стимулируя интенсификацию производства и его технический прогресс. Рассматриваемая концепция приложима прежде всего к обществам, основывающимся на потребительской экономике, причем на практике трудно определить, что выступает первопричиной сдвигов: увеличение ли численности населения или изменения в сельском хозяйстве. Однако несомненно, что интенсификация агропроизводства не является единственной реакцией на демографический рост, поскольку тем же целям отвечает колонизация новых территорий и интродукция более урожайных культур.
Кочевое животноводство — форма хозяйствования, при котором доминирует пастбищное содержание скота, а фиксированные посевы отсутствуют или имеют сугубо подчиненное экономическое значение. Главная отличительная черта состоит в перемещениях, прежде всего в поисках средств пропитания, поголовья домашних животных, а с ним и самого населения. Направления миграций определяет совокупность климатических, геоэкологических и других причин. Выделяют два основных типа кочевых скотоводов, или номадов: так называемых чистых кочевников (например, верблюдово-ды в пустыне Сахара), которые не строят домов и не занимаются земледелием, и полукочевников (например, масаи в Восточной Африке), которые меняют места обитания в сухой сезон, но привязаны к своим земельным участкам, которые они засевают в дождливый период.
Логистика — направление хозяйственной деятельности, предусматривающее управление материалопотоками в сферах производства и обращения с целью повышения их эффективности. Внедрение логистической системы заключается в интеграции отдельных звеньев материалопроводящей цепи — транспорта, складирования и других операций, а также передачи, хранения и обработки соответствующей информации в единую систему, способную адекватно реагировать на изменения внешней среды.
Маргинальные земли — те земли, средний урожай с которых позволяет покрывать издержки производства, но недостаточен для уплаты ренты. Поэтому такие земли вовлекаются в сельскохозяйственное пользование или устраняются из него в зависимости от экономической конъюнктуры.
Международный банк реконструкции и развития (МБРР) — международная кредитная организация при ООН, предоставляющая долгосрочные кредиты на осуществление проектов и реформ и на проведение региональных экономических исследований, главным образом в развивающихся странах и странах переходной экономики. Основан в 1945 г.
Международный валютный фонд (МВФ) — международная экономическая и кредитная организации при ООН, регулирующая международные валютно-финансовые отношения в целях развития международной торговли и валютного сотрудничества.
Мелиорация — совокупность мероприятий по улучшению земель или окружающей среды в целом. Преимущественно бывает направлена на повышение плодородия сельскохозяйственных угодий. Объектами мелиорации могут служить природные и культурные ландшафты и их отдельные составные части. Особенно важна гидротехническая мелиорация (орошение и осушение пашни, обводнение пастбищ), которая, охватывая земли с неблагоприятным водным режимом, наиболее широко распространена на территориях с засушливым климатом.
Миграция — стихийный, косвенно управляемый или принудительный процесс перемещения людей, который неоднороден по своему характеру, причинам, территориальному охвату, продолжительности. Главные факторы миграции — экономические (трудовые) и политические. Среди трудовых миграций выделяется челночная (маятниковая) миграция — ежедневное передвижение людей между жильем и работой.
Отгонно-пастбищное животноводство — система хозяйствования, выражающаяся в сезонных и периодических перегонах стад и отар скота между районами, которые различаются в климатическом отношении. Особенно характерна для горных районов, где скот обычно перемещается с гор на долинные пастбища к зиме и в обратном направлении летом. В перегонах участвуют пастухи и нередко заметная часть всего местного населения, которое чаще всего обитает в постоянных жилищах как в долинах, так и на летовках, что отличает его от кочевников.
Первичный сектор экономики — хозяйственная деятельность, связанная со сбором или добычей материалов, предоставляемых природой. Включает сельское хозяйство, рыболовство, лесное хозяйство, заготовку дикорастущих плодов и трав, добычу полезных ископаемых.
Пионерный район — район нового хозяйственного освоения.
Плантационное сельское хозяйство — система, ориентированная на производство высокотоварных тропических и субтропических культур. Часто оказывается самой подходящей для выращивания древесных и других многолетних растений, дающих первый урожай лишь спустя несколько лет после посадки. Плантации, которые нередко принадлежат акционерным обществам, обычно занимают большие площади. Первичная переработка аграрной продукции ведется в значительной степени на промышленных предприятиях, которыми располагают сами плантации. Плантации возникли в ходе европейской колониальной экспансии, и их влияние на социально-экономическую жизнь было не менее сильным, чем чисто сельскохозяйственное. На некоторых территориях, например, в хлопковом поясе США, плантации в последующем распались на мелкие землевладения, в ряде развивающихся стран после завоевания ими независимости плантации были национализированы или экспроприированы.
Подсечно-огневое (залежное) земледелие — система сельского хозяйства, остающаяся характерной для областей влажнотропических лесов. Представляет собой одну из форм залежного земледелия, при которой почвенное плодородие поддерживается сменой полей, а не севооборотами. Обычно участок возделывают до тех пор, пока почва не обнаруживает признаки истощения или сорняки не забивают культурные растения. Тогда земля забрасывается на отдых, и с помощью рубки и пожогов леса осваивается новый участок-подсека в другом месте. Данная система в экологическом отношении хорошо приспособлена к природному окружению, но для успешного ее функционирования требуются большие площади, так что с ростом населения она испытывает постоянное давление со стороны других типов сельского хозяйства. К числу отличительных черт подсечно-огневого хозяйства относят отсутствие сколько-нибудь развитого животноводства и обработку земли мотыгой, а не плугом.
Полюса (центры) роста — представление о территориально-отраслевых системах, служащих стимуляторами регионального и общегосударственного развития благодаря развитию и территориальной концентрации пропульсивных отраслей хозяйства (см.); понятие введено Ф.Перру и Ж.Будвилем.
Постфордизм — современная организация производства, связанная с переходом от разделения труда «по вертикали», основанного на принципе «экономии масштаба» (фордизм), к разделению труда по «горизонтали», базирующемуся на принципе доставки «точно в срок» (см.) и обеспечивающему гибкую рыночную ориентацию и специализацию.
Потребительское сельское хозяйство — отличается высокой долей конечной продукции, идущей на удовлетворение нужд самих производителей. Производственная единица может варьировать от крестьянского двора до семейного клана или всего селения. В отдельных случаях потребительское хозяйство совсем не располагает товарами на продажу или обмен, но подобная ситуация наблюдается ныне редко. Как правило, имеет место выращивание некоторых рыночных культур или содержание скота в коммерческих целях, причем соотношение потребительской и товарной продукции может сильно колебаться год от года. Преимущественно потребительская экономика опирается на земледелие, а животноводство, хотя обычно и представлено, все же играет вспомогательную роль.
Пригородное сельское хозяйство — формируется вокруг городов, прежде всего крупных, с целью удовлетворения массового спроса урбанизированного населения на аграрную продукцию. Специализировано преимущественно на производстве скоропортящихся и малотранспортабельных сельскохозяйственных товаров. Характеризуется, как правило, капиталоёмкостью, высокой интенсивностью и наличием специализированных предприятий, использующих промышленную технологию (парники, теплицы, бройлерные фабрики). С удешевлением и ускорением транспортных перевозок обнаруживается тенденция к размыванию зон пригородного сельского хозяйства.
Природные условия — понимаются в узком смысле как тела и силы природы, которые на данном уровне развития производительных сил существенны для жизни и деятельности человеческого общества, но не участвуют непосредственно в материальной и непроизводственной деятельности людей. При таком подходе совокупность естественных ресурсов и природных условий, рассматриваемых в их вещной форме, можно называть природным фактором жизни общества.
Природные условия, понимаемые в широком смысле, включают естественные ресурсы, которые при данном подходе выступают частным видом первых. К ним причисляют также географическое положение территории.
Продовольственный комплекс — совокупность производств и инфраструктуры, образующих полный цикл для создания и реализации продовольственной продукции. В его состав входят те производства и звенья агропромышленного комплекса, которые непосредственно связаны с удовлетворением потребностей населения в продовольствии.
Пропульсивные отрасли (виды деятельности) — наиболее передовые отрасли для каждого «длинного» цикла (см.) экономической конъюнктуры. Для лидирующей группы современных государств, вступивших в период постиндустриального развития, это виды деятельности, связанные с информатикой, микроэлектроникой, биотехнологией и генной инженерией, НИОКР, банковской сферой. Вместе с тем для каждой конкретной страны и региона пропульсивными могут стать ведущие отрасли предыдущих циклов — горная, химическая и металлургическая промышленность, текстильное и швейное производство, автомобилестроение (сохраняющее свои позиции и в постиндустриальньгх странах), транспорт.
Пространственная иерархия — система географических единиц «от меньшего к большему»; в социально-экономической географии используется таксономия: место—сочетание—комплекс—район—страна (государство)—объединение государств—глобальная система. В ранге исходной единицы «место» может выступать любое поселение, промышленный центр, транспортный узел (см. также «центральное место», «территориально-производственный комплекс»).
Протекционизм — экономическая политика государства, направленная на защиту национальной экономики от иностранной конкуренции и осуществляемая путем ограничения ввоза иностранных товаров, а также субсидирования национальных компаний.
Свобода торговли — отсутствие искусственных (установленных правительством) таможенных барьеров в торговле с другими странами.
Свободная экономическая зона — часть суверенной территории государства, имеющая свободный (беспошлинный) и безналоговый режим для вложения иностранного капитала, обладающая особым юридическим статусом по отношению к остальной территории страны.
Сектора, сферы хозяйства — качественная квалификация отраслей и видов деятельности, в которой к первичным относят отрасли, непосредственно использующие природные ресурсы, — сельское и лесное хозяйство, охоту, рыбную ловлю, добывающую (горнорудную промышленность); ко вторичным — все отрасли обрабатывающей промышленности и строительства; к третичным — транспорт, торговлю, другие виды производственных, распределительных и личных услуг; к четвертичным — управление, просвещение, науку, культуру.
Сельская местность — вся обжитая территория страны, находящаяся вне городских поселений, и все население и основные фонды, которые на ней располагаются. Как территориальная система село является естественной и воспроизводимой человеческим трудом (антро-погенной) средой обитания за пределами административно установленной черты городов. Оно включает весь материально-ресурсный потенциал внегородской территории: сельскохозяйственные угодья, леса, водоемы, полезные ископаемые, здания и сооружения, продуктивный скот, машины и механизмы, дороги и инженерные коммуникации.
Как социальная система село представляет собой хозяйственный и культурный социум, характеризующийся видами деятельности, привязывающими производителей к естественным ресурсам (сельское и лесное хозяйство, добывающая промышленность). Его отличает рассредоточенность производства и расселения, ограниченность выбора сферы приложения труда и профессии, специфический тип застройки, особенности уклада и образа жизни, обнаруживающего непосредственную связь человека с природой.
Сельское хозяйство смешанного направления — система, ориентированная одновременно на получение продукции земледелия и животноводства, в индивидуальных хозяйствах. Она была ведущей формой агропроизводства на заре его развития, когда началось окультуривание дикорастущих видов флоры и произошло одомашнивание скота. Этот скот содержался на получавших периодический отдых обрабатываемых землях или добывал себе корм при свободном выпасе. Подобная практика широко сохраняется во многих областях земного шара, в результате чего в третьем мире сельское хозяйство смешанного направления остается основой крестьянской экономики. В промьшленно развитых странах все более распространенной тенденцией становится ориентация на выращивание корнеплодов и сеяных трав для нужд животноводства, что углубляет процесс специализации на базе обособления друг от друга двух главных подразделений агропроизводства.
Сельское хозяйство с частичной занятостью в нем фермера — форма агропроизводства, при которой фермер (крестьянин) получает также доход за счет регулярного занятия на стороне. Имеется много вариантов ферм с неполной занятостью на них владельцев, но можно выявить две главные группы: а) мелкокрестьянские хозяйства, члены которых работают также на промышленных предприятиях (как это широко распространено во многих областях Центральной и Восточной Европы); в подобных случаях речь идет о переходной стадии к окончательному отчуждению от крестьянского труда; б) любительские хозяйства, в которых работа на земле может быть увлечением и дополняет основное (обычно городское) занятие.
Сельскохозяйственная инволюция — термин, который в 1963 г. американский востоковед К.Гиртц предложил для характеристики процесса интенсификации традиционных трудоемких методов агропроизводства в бывшей колониальной деревне. Концепция была разработана на базе изучения рисоводческого хозяйства о. Ява (Индонезия), где в условиях высокой плотности населения и усиливающегося антропогенного давления на земельные ресурсы равновесное состояние в аграрной сфере поддерживается благодаря дополнительным вложениям труда. Его производительность падает, но выход сельскохозяйственной продукции в расчете на один гектар посевов растет. Новые приемы агротехники вплоть до начала «зеленой революции» отторгаются в условиях сельскохозяйственной инволюции, но старые беспредельно обогащаются и усложняются. При этом социальные и экономические структуры в деревне остаются неизменными. Отсюда — порочный круг, ибо из-за отсутствия технологических сдвигов в аграрном секторе решать продовольственную проблему приходилось на прежней основе. В итоге в деревне наблюдается «расщепление бедности», поскольку численность лиц, имеющих доступ к остающемуся стабильным фонду обрабатываемых угодий и согласных работать на земле по найму, увеличивается.
Сельскохозяйственная революция — понятие, используемое в науке для периода изменений в аграрном производстве, принципиальных в том или ином отношении. Чаще всего применяется для характеристики тех институционных и технических сдвигов, которые имели место в сельском хозяйстве Англии в течение столетия, начиная с 1750 г. Агротехнический прогресс вызвал распространение смешанных земледельческо-животноводческих систем, включение в севооборота новых кормовых культур, в том числе клубне- и корнеплодов, например, турнепса, и культур, заменивших травы, например, клевера. Внедренные культуры обеспечили кормами большое поголовье домашнего скота, навоз от которого помог повысить плодородие почвы и увеличить сборы зерна с той же посевной площади. Обе упомянутые культуры сократили нужду в парах, клевер к тому же улучшил продуктивность земель благодаря способности связывать азот из воздуха, а возделывание турнепса способствовало мелиорации легких почв, на которых уничтожались сорняки.
Институционные изменения, инициированные парламентским актом об огораживании, привели к вытеснению ранее подвергавшихся переделу возделываемых участков регулярными полями меньшей площади и обнесению изгородями естественных пастбищ и пустошей во многих северных и западных районах Англии. Частная собственность пришла на смену общинному праву на землю, лишив тем самым возможности использовать угодья, в частности, для выпаса скота бывших общинников, которым они юридически перестали принадлежать.
Другие институционные сдвиги выразились в возникновении — обычно на арендованной у лендлордов земле — крупных хозяйств, владельцы которых превратились в фермеров-предпринимателей, прибегающих к найму рабочей силы.
Отмеченные изменения были взаимосвязаны, ибо, к примеру, внедрение некоторых новых агротехнических приемов облегчалось проведением огораживания, а они вызывали увеличение производства продовольствия благодаря подъему урожайности, а также расширению обрабатываемых площадей. Это способствовало также росту производительности труда; данный процесс особенно ускорился после 30-х гг. XIX в. с появлением усовершенствованных ручных орудий труда и сельскохозяйственных машин. Один сельскохозяйственный рабочий мог прокормить менее двух человек в 1700 г., но в 1850 г. — почти 5 человек. В результате создались возможности для развития процессов индустриализации и урбанизации, имевших место в период промышленной революции.
Сухое земледелие — экстенсивная система сельского хозяйства, позволяющая выращивание культур без полива в районах недостаточного увлажнения. Предусматривает систему мероприятий по накоплению запасов воды в почве. С его помощью агрикультура в конце XIX в. продвинулась на американский Средний Запад и в ряд районов Канады и Австралии, а в середине XX в. — на целинные земли в СССР. Однако при этом сельское хозяйство нередко серьезно страдает от сильных засух и быстрого распространения эрозии и других природных процессов, деструктивно воздействующих на окружающую среду.
Таможенная пошлина — налог на товары, перевозимые через государственную границу.
Теневая экономика — совокупность неучтенных, нерегламентированных, а также противоправных (не предъявленных к налогообложению) видов деятельности по производству товаров и оказанию услуг.
Теория Т.Р.Мальтуса. Английский экономист в самом конце XVIII в. первым поставил принципиально важный вопрос о пределах роста человечества и установлении динамического равновесия между увеличением численности населения и производством средств к существованию, т.е. в первую очередь продуктов питания. Знаменитый тезис Мальтуса о том, что «население, если процесс не ограничивать, увеличится в геометрической прогрессии, а средства к существованию только в арифметической», не оправдался. Автор, формулируя жесткую зависимость роста населения от продовольственных ресурсов общества, полагал, что ограничители этого роста выступают следствием нехватки продуктов питания. По сути Мальтус опирался на закон убывающего плодородия почвы (или закон убывающей эффективности агропроизводства), который отражает статическую модель: отдачу факторов производства в различных соотношениях при данном уровне технического прогресса. Между тем, она имеет мало общего с динамической проблемой реально увеличивающегося населения, которое обрабатывает данную земельную площадь при непрерывном совершенствовании технологии обработки. Теория народонаселения Мальтуса носила междисциплинарный характер, охватывая, с одной стороны, демографию, а с другой — философию, политэкономию и политологию. В частности, эта теория существенно углубила понимание категории «заработная плата», определяющей прожиточный минимум, что было использовано в классических трудах Д.Рикардо, в глазах которого экономический прогресс сводился почти исключительно к успехам в земледелии.
Территориально-производственный комплекс (ТПК) — научное понятие, введенное Н.Н.Колосовским для анализа и планирования развития производства на ограниченной территории — в виде группы крупных предприятий, тесно связанных между собой горизонтальными (по совместному использованию местных трудовых ресурсов, производственной и социальной инфраструктуры) и вертикальными (технологическими) связями.
Территориальное (географическое) разделение труда — один из видов общественного разделения труда. Объективный необратимый процесс производственной специализации районов и стран, обмена специализированной продукцией, обусловленный экономическими, социальными, природными, национальными и историческими особенностями и географическим положением территории. В условиях рынка является определяющим фактором размещения производительных сил.
«Точно в срок» — современный принцип доставки грузов, предусматривающий высокое качество предоставляемых транспортных услуг: время доставки, частота отправления, партионность, надежность соблюдения графика доставки, сохранность груза, стоимость перевозки, мониторинг со стороны собственника груза, обеспечение информацией о прохождении груза.
Травопольная система — система земледелия, при которой после возделывания в течение немногих лет обычных полевых культур пашня в целях восстановления плодородия и механической структуры почвы на более продолжительный срок отводится под травы или клевер.
Транснациональные корпорации (ТНК) — современное название компаний, ведущих свою производственную, научно-исследовательскую и маркетинговую деятельность в границах двух и более суверенных государств. Практически все крупные компании мира во всех видах деятельности превратились в ТНК.
Транспортная подвижность населения — показатель мобильности, зависит от экономических и социальных факторов жизни, а также от уровня развития транспортной системы (в частности, от уровня автомобилизации). Измеряется душевыми показателями числа поездок, затрачиваемого на передвижение времени, транспортной работы (пассажирооборота).
Третичный сектор экономики — сфера хозяйствования, которую в обобщенном виде можно охарактеризовать как «услуги». Охватывает торговлю, транспорт, управленческую деятельность, работу обслуживающего персонала, частные услуги. Особое значение приобретают производственные услуги в условиях постиндустриального общества.
Трехпольная система земледелия — система земледелия, широко распространенная в прошлом в Европе, при которой пахотная земля делилась на три части. Каждое из полей год находилось под паром, в то время как два других засевались зерновыми культурами. Трехполье исчезло после того, как обнаружилось, что клевер обогащает почву и пар совсем не обязателен.
«Утечка умов» — эмиграция из страны ученых, высококвалифицированных специалистов и рабочих.
Фидерные линии — подводящие и разводящие транспортные пути, обеспечивающие внутрирайонные связи, а также эффективность функционирования транспортных магистралей и узлов.
Фрахтовый рынок — рынок продукции судоходства. Международный характер торгового мореплавания и углубление международного географического разделения труда привели к объединению изолированных местных фрахтовых рынков в мировой.
Хинтерланд — зона тяготения. Ее величина и конфигурация определяются уровнем развитости и эффективности транспортной системы.
Цена СИФ (CIF) — цена товара у потребителя, включающая производственные затраты (С), страховку (I) и транспортные затраты (F).
Центральное место — поселение любого ранга, в котором размещаются предприятия сферы услуг, обслуживающие данное и другие поселения в системе центральных мест. Понятия введено создателем теории центральных мест В.Кристаллером.
Чартер — договор на аренду транспортного средства (судна, самолета) на определенный рейс или срок.
Чересполосица — разбросанность полей, входящих в одно землевладение, которое состоит более чем из одного участка-парцеллы. Чересполосица может быть рудиментом старой системы неогороженных угодий, следствием раздела земельной собственности между несколькими наследниками, а также результатом проведенных на части территории мелиоративных работ и покупки дополнительных земельных участков, не примыкающих непосредственно к ферме нового их собственника. Мероприятия по консолидации землевладений с целью преодолеть экономическую неэффективность чересполосицы обычно поощряются или направляются правительственными органами. Чересполосица часто ведет к развитию компактных, или нуклеарных, поселений, тогда как ее преодоление способствует хуторскому, или дисперсному расселению, при котором подворье размещается в центральной части землевладения.
Штандорт (от немецкого Standort — местоположение) — термин, введенный В.Лаунгардтом и использованный в теории размещения производства А.Вебером при математическом анализе влияния основных факторов размещения производства: транспортных издержек, издержек на оплату труда и агломерационной экономии.
Экономическая интеграция — высшая на данном этапе форма интернационализации производства, возникающая на основе международного географического разделения труда в условиях высокого уровня развития производительных сил всех участников группировки, высокого платежеспособного спроса, создания предпосылок и реализации международного производственного кооперирования, свободного перелива факторов производства, территориального соседства (1-го и 2-го порядка) ее участников.
Экономия масштаба — система производства (иногда конвейерного), основанная на стандартизации, упрощении и унификации отдельных производственных процессов в ходе массового серийного производства и разделения труда по «вертикали» (фордизм). Ведет к резкому снижению удельных затрат на единицу продукции.
Экономия разнообразия — новая, постиндустриальная предпринимательская стратегия, основанная на разделении труда «по горизонтали», т.е. на групповой форме организации производства («постфордизм»), и обеспечивающая гибкую рыночную ориентацию и более полный учет требований потребительского рынка.
Экспорт — вывоз за границу для реализации на внешних рынках товаров (продукции и услуг) и капитала. Выступает как результат международного географического разделения труда и служит материальной предпосылкой импорта.
Экспорт капитала — помещение капитала за границей в денежной или товарной форме через сферу услуг, ведущее к образованию иностранной собственности; одна из главных форм международных экономических отношений.
Экспортная квота — экономический показатель, характеризующий степень открытости национальной экономики. Измеряется как процентное отношение стоимости экспорта к ВВП.
Экстенсивное сельское хозяйство — система, характеризующаяся малыми вложениями труда на единицу площади и узким, целенаправленным использованием земельного фонда. Основную часть продукции получают поэтому скорее за счет эксплуатации потенциальной продуктивности земли, нежели благодаря деятельности человека. При низких затратах ресурсов данная система приносит меньшие урожаи, чем интенсивное земледелие, и в результате фермы должны занимать большую площадь, чтобы иметь чистый доход, обеспечивающий их выживаемость. Экстенсивное агропроизводство сопряжено поэтому с относительно разреженным сельским населением; тяготеет к географическим районам с малоблагоприятными агроприродными условиями и сравнительно удаленным от рынков сбыта.
Эмбарго — запрещение внешнеэкономических отношений с той или иной страной. Может быть введено как в военное, так и в мирное время.
ЮНКТАД — Конференция ООН по торговле и развитию, орган Генеральной Ассамблеи ООН, призванный содействовать развитию международной торговли, равноправному взаимовыгодному сотрудничеству между государствами.
СОДЕРЖАНИЕ
ПРЕДИСЛОВИЕ............................................................................................................................................................................... 1
Введение. Мировое хозяйство — глобальная географическая система......................................................................... 3
Часть 1. ТЕОРЕТИЧЕСКИЕ ОСНОВЫ ГЕОГРАФИИ МИРОВОГО ХОЗЯЙСТВА......................................................... 10
Общие замечания.......................................................................................................................................................................... 10
Географическое разделение труда — закон сравнительных преимуществ Д.Рикардо........................................... 12
Размещение сельского хозяйства — «изолированное государство» И.Тюнена......................................................... 20
Размещение промышленного производства — теория штандортов А.Вебера........................................................... 29
Размещение сферы услуг и потребления — теория центральных мест В.Кристаллера и А.Лёша....................... 39
Географическое распространение научно-технического прогресса — теория диффузии нововведений.......... 48
Часть 2 СЕЛЬСКОЕ ХОЗЯЙСТВО............................................................................................................................................... 55
Место агропроизводства в современной экономике.......................................................................................................... 55
Историческая география мирового сельского хозяйства: локальные цивилизации.................................................. 59
Эволюция сельского хозяйства умеренной зоны Европы: от регионального к глобальному................................ 68
Земельный фонд как природный базис агропроизводства............................................................................................... 75
Мелиоративный фактор развития и размещения мирового сельского хозяйства...................................................... 85
Сельское хозяйство в социо-культурном и техно-экономическом пространстве...................................................... 92
Основные географические типы сельского хозяйства..................................................................................................... 102
Глобальная продовольственная проблема......................................................................................................................... 117
Часть 3. ПРОМЫШЛЕННОСТЬ.................................................................................................................................................. 128
Горнодобывающая промышленность.................................................................................................................................. 129
Энергетика.................................................................................................................................................................................... 132
3.3. Черная и цветная металлургия........................................................................................................................................ 135
Машиностроительный комплекс........................................................................................................................................... 141
Химические производства........................................................................................................................................................ 151
Легкая промышленность.......................................................................................................................................................... 154
Пищевая промышленность и рыбный промысел............................................................................................................... 156
Часть 4. ТРАНСПОРТ И СФЕРА УСЛУГ................................................................................................................................. 160
Транспорт как главная инфраструктурная отрасль мирового хозяйства................................................................. 160
Мировая транспортная система и ее роль в повышении адаптивности мирового хозяйства............................. 169
Международное географическое разделение труда и транспортное освоение Мирового океана.................... 184
Сфера услуг.................................................................................................................................................................................. 197
Международная торговля........................................................................................................................................................ 206
ЗАКЛЮЧЕНИЕ. ЭКОЛОГИЧЕСКАЯ ПРОБЛЕМА И МИРОВОЕ ХОЗЯЙСТВО.......................................................... 215
ЛИТЕРАТУРА.............................................................................................................................................................................. 226
СЛОВАРЬ ТЕРМИНОВ............................................................................................................................................................. 226
Учебное издание
Липец Юлий Григорьевич
Пуляркин Валерий Алексеевич
Шлихтер Сергей Борисович
ГЕОГРАФИЯ МИРОВОГО ХОЗЯЙСТВА
Зав. редакцией А.И.Павлова
Редактор Т.А.Смирнова
Зав. худ. редакцией И.А.Пшеничников
Художник обложки Ю.В.Токарев
Компьютерная верстка А.И.Попов
Корректор Т.С.Сивова
Лицензия ЛР № 064380 от 04.01.96.
Сдано в набор 14.08.98. Подписано в печать 30.09.98.
Формат 60х90/16. Печать офсетная. Усл. печ. л. 25,0.
Тираж 15 000 экз.
Зак. №1414
«Гуманитарный издательский центр ВЛАДОС».
117571, Москва, просп. Вернадского, 88,
Московский педагогический государственный университет.
Тел. 437-11-11, 437-25-52, 437-99-98; тел./факс 932-56-19.
E-mail: vlados @dol.ru http://www.vlados.ru
Государственное унитарное предприятие ордена Трудового Красного Знамени полиграфический комбинат
Государственного комитета Российской Федерации по печати.
410004, г. Саратов, ул. Чернышевского, 59.