| Скачать .docx |
Реферат: Осложнения при эксплуатации промысловых трубопроводов
К.т.н. Шайдаков В.В. (Инжиниринговая компания "Инкомп-нефть"), к.т.н. Каштанова Л.Е. (Инжиниринговая компания "Инкомп-нефть"), Емельянов А.В.(Уфимский государственный нефтяной технический университет)
Проведен анализ осложнений при эксплуатации промысловых трубопроводов на Ватьеганском, Южно-Ягунском и Арланском месторождениях. Для снижения коррозионной активности перекачиваемых по промысловым трубопроводам жидкостей предложены установки на постоянных магнитах. В статье приводится их описание, порядок расчета параметров установок, а также результаты промышленного внедрения.
1 Осложнения при эксплуатации промысловых трубопроводов на примере Ватьеганского, Южно-Ягунского и Арланского месторождений
На Ватьеганском и Южно-Ягунском месторождениях находится в эксплуатации около 1800 км трубопроводов различного назначения и диаметра: 35,7 % - нефтесборные трубопроводы; 14,0 % - напорные нефтепроводы от дожимных насосных станций (ДНС) до магистрального нефтепровода; 6,1 % - внутриплощадочные нефтепроводы; 38,5 % и 5,7 % - высоконапорные и низконапорные водоводы соответственно.
Более 49 % трубопроводов эксплуатируется свыше 10 лет (рис. 1).
Одним из важнейших факторов снижения надежности нефтепромысловых трубопроводов является воздействие на металл их внутренней поверхности перекачиваемых жидкостей, содержащих коррозионно-активные компоненты.

Рис. 1 - Возрастной состав трубопроводов (в годах)
По трубопроводам системы нефтесбора Ватьеганского и Южно-Ягунского месторождений транспортируется продукция следующих основных продуктивных пластов: АВ1/2 , АВ8 , АВ3 (Вартовский свод Ачсимовская свита); БВ1 , ЮВ1 (меловая и юрская системы, Вартовский свод); БС10/1 , БС10/2 , БС11/1 , БС11/2 (меловая система, Сургутский свод) и ЮС1 (юрская система, Сургутский свод). Средняя глубина залегания пластов составляет 1935-2831 и 2340-2870 м на Ватьеганском и Южно-Ягунском месторождениях соответственно. Наибольшей продуктивностью обладают пласты АВ1/2 , БС10/2 и БС11/2 (рис. 2).

Рис. 2 - Отношение дебитов пластов к общему объему добычи
Все пласты за ис ключением ЮВ1, БВ1 и ЮС1 имеют обводненность более 60 %. В последнее десятилет на Ватьеганском и Южно-Ягунском месторождениях наблюдается прогрессирующий рост обводненности (рис. 3). На Ватьеганском месторождении она увеличилась в среднем на 50 %, на Южно-Ягунском - на 30 %. С увеличением глубины залегания пластов минерализация пластовых вод возрастает с 19,31 (БС10/2 ) и 19,39 г/л (АВ3 ) до 23,42 (ЮС1 ) и27,16 г/л (ЮВ1 ).

Рис. 3 - Обводненность пластов Ватьеганского и Южно-Ягунского месторождений
Степень минерализации этих вод определяют хлор-ионы (табл. 1).
В составе вод пластов БС10/1 , БС10/2 , БС11/1 и БС11/2 присутствуют ионы кальция в количестве 427,08-533,55 мг/л. Концентрация ионов магния в водах этих пластов более чем в шесть раз ниже (62,31-76,37 мг/л). В водах пласта ЮС1 содержание Са2+ составляет 200-300 мг/л. Сравнение концентраций сульфат- и хлор-ионов также свидетельствует, что состав вод пласта ЮС1 существенно отличается от состава вод других пластов. Если в водах пластов БС10/1 , БС10/2 , БС11/1 и БС11/2 содержание SO4 2- не превышает 11 мг/л, то в водах ЮС1 оно достигает 25,5 мг/л.
Таблица 1
Средняя концентрация компонентов в пластовых водах
Ватьеганского и Южно-Ягунского месторождений
| Пласт | Химический состав, мг/л | Минерализация, мг/л |
|||||
| Cl - | SO4 2- | HCO3 - | Ca 2+ | Mg 2+ | Na+ +K+ | ||
| АВ1/2 | 12309,30 | 11,45 | 218,39 | 837,27 | 93,23 | 7210,60 | 20692,38 |
| БВ1 | 12390,24 | 7,98 | 390,70 | 899,97 | 66,54 | 7292,10 | 21072,24 |
| АВ8 | 13642,71 | 6,26 | 447,37 | 1439,86 | 159,16 | 7353,84 | 23056,70 |
| АВ3 | 12153,12 | 12,67 | 176,63 | 855,72 | 80,23 | 7081,60 | 19397,71 |
| ЮВ1 | 15865,30 | 13,40 | 567,30 | 742,62 | 88,48 | 9870,25 | 27163,54 |
| БС10/1 | 11915,33 | 10,91 | 810,97 | 533,55 | 76,37 | 7567,29 | 20930,36 |
| БС10/2 | 11021,39 | 9,56 | 700,84 | 432,00 | 63,45 | 7068,83 | 19311,21 |
| БС11/1 | 12084,94 | 6,52 | 996,83 | 468,58 | 76,15 | 7842,07 | 21484,07 |
| БС11/2 | 11038,59 | 8,45 | 741,21 | 427,08 | 62,31 | 7108,04 | 19397,71 |
| ЮС1 | 13307,18 | 25,50 | 861,47 | 290,36 | 63,83 | 8856,7 | 23418,33 |
Воды всех пластов содержат большое количество бикарбонат-ионов (741,21 - 996,83 мг/л). Последнее свидетельствует о высокой концентрации растворенного в водах углекислого газа, поскольку поступление ионов НСО3 - в раствор происходит вследствие диссоциации угольной кислоты.
Концентрация углекислого газа в системе ППД составляет примерно 20 - 60 % от его концентрации в трубопроводах системы нефтесбора. Известно, что скорость углекислотной коррозии металла и количество растворенного в жидкости СО2 пропорциональны его парциальному давлению. Можно предположить, что при равных скоростях потоков и температурах скорость углекислотной коррозии в системе ППД составляет от 30 до 70 % от скорости углекислотной коррозии трубопроводов системы нефтесбора.
Рост концентрации СО2 , а, следовательно, и HCO3 - увеличивает коррозионную агрессивность добываемой жидкости. Это, в первую очередь, должно отразится на работоспособности оборудования системы нефтесбора.
В попутной воде, отделяемой от нефти Ватьеганского и Южно-Ягунского месторождений, обнаруживается до 0,5 мг/л сероводорода, что не должно значительно увеличивать ее коррозионную агрессивность. Согласно стандарту NACE RP0475-98 вода с содержанием сероводорода менее 1 мг/л приравнивается к воде, не содержащей сероводород.
В последние годы в сточной воде системы ППД обоих месторождений отмечается присутствие до 0,3 мг-экв/л ионов SO4 2- , что, в частности, можно связать с интенсификацией процесса сульфатредукции в заводняемых пластах.
СВБ обнаружены по всей технологической цепочке добычи, подготовки и транспорта нефти и воды рассматриваемых месторождений, в том числе в призабойных зонах пласта нагнетательных скважин. Содержание СВБ в средах Ватьеганского и Южно-Ягунского месторождений составляет 105 -106 клеток/мл. Считается, что наиболее благоприятными условиями для сульфатредукции в нефтяных пластах являются температура 35-40 0 С, присутствие углеводородокисляющих бактерий, продукты жизнедеятельности которых служат источниками питания для СВБ, и наличие достаточного количества сульфатов. Температура в пластах Ватьеганского месторождения (табл. 2) намного выше оптимальной температуры развития СВБ, в связи, с чем сульфатредукция может протекать в призабойных зонах нагнетательных скважин, охлажденных закачиваемой водой.
Таблица 2
Параметры пластов Ватьеганского месторождения
| Наименование пласта | Газовый фактор, м3 /м3 | Плотность нефти, г/см3 | Плотность воды, г/см3 | Давление насыщения, МПа | Вязкость нефти, МПа сек. | Температура пласта, 0 С | Содержание азота, % | Плотность газа, г/см3 |
| АВ1/2 | 40 | 0,860 | 1,013 | 8,4 | 2,47 | 64 | 2,6 | 0,628 |
| АВ3 | 40 | 0,860 | 1,013 | 8,4 | 2,47 | 64 | 2,6 | 0,628 |
| АВ8/2 | 43 | 0,844 | 1,014 | 8,0 | 2,90 | 71 | 2,4 | 0,677 |
| БВ1 | 33 | 0,863 | 1,013 | 7,6 | 2,07 | 73 | 2,6 | 0,692 |
| ЮВ1 | 78 | 0,833 | 1,019 | 9,9 | 1,75 | 90 | 3,4 | 0,819 |
С увеличением объемов закачки количество таких зон, как и их общий объем, должно возрастать. В соответствии с увеличением объема закачки воды (рис. 4) в заводняемых пластах происходит интенсификация процесса сульфатредукции.
С увеличением обводненности, содержания СО2 (а, следовательно, и HCO3 - ) и СВБ создаются благоприятные условия для роста аварийности трубопроводов систем нефтесбора и ППД.

Рис. 4 - Изменение объема закачки воды по годам
С 1991 по 2001 г.г. на Ватьеганском и Южно-Ягунском месторождениях произошло 455 порывов нефтепроводов, а с 1997 по 2001 г.г. - 71 порыв водоводов.
В период с 1997 по 2000 г.г. отмечено резкое увеличение числа порывов как на нефтепроводах, так и на водоводах. В 2001 г. в динамике аварийности наблюдался незначительный спад (рис. 5). Аналогичная закономерность прослеживается и для удельной аварийности трубопроводов (рис. 6, 7).
Высокая удельная аварийность нефтесборных трубопроводов и низконапорных водоводов по причине коррозии связана с малыми скоростями течения перекачиваемых сред, так как в этих условиях происходит расслоение водонефтяных эмульсий с образованием водного подслоя (в случае системы нефтесбора) и выносом механических примесей с их последующим осаждением на стенках труб. Имеет место усиление коррозии за счет возникновения и функционирования макрогальванопар "металл трубы - отложения".

Рис. 5 - Аварийность трубопроводов

Рис. 6 - Удельная аварийность трубопроводов Ватьеганского месторождения

Рис. 7 - Удельная аварийность трубопроводов Южно-Ягунского месторождения
Для месторождений Западной Сибири характерны отказы трубопроводов по причине коррозии, носящей локальный характер и развивающейся по нижней образующей трубы (рис. 8).
![]() |
![]() |
Рис. 8 - Образцы труб с язвенной коррозией
Аварии на трубопроводах наносят значительный экономический и экологический ущерб. Так, затраты на ликвидацию одной аварии на трубопроводах системы нефтесбора Южно-Ягунского месторождения составляют в среднем 25 тыс. руб. (в ценах 2002 г.), а количество разлившейся нефти достигает 5 т. Общий ущерб от аварий в период с 1995 по 2001 г.г. исчисляется 1,513 млн. руб. Ликвидация одной аварии на нефтепроводе Ватьеганского месторождения обходится в среднем в 60-70 тыс. руб. При этом разливается от 0,11 до 0,5 т. нефти. Общие затраты на ликвидацию аварий в системе нефтесбора Ватьеганского месторождения в период с 1991 по 2001 г.г. составили 10346,833 тыс. руб.
Наибольшими являются затраты на ликвидацию аварий на нефтепроводах Ватьеганского месторождения диаметром 219 и 325 мм и водоводах диаметром 114 и 426 мм. Максимальные потери нефти (жидкости) происходят на нефтепроводах диаметром 219 и 426 мм и водоводах диаметром 114 и 273 мм (табл. 3).
Таблица 3
Затраты на ликвидацию одной аварии и количество разлившейся нефти (жидкости) в зависимости от диаметра трубопровода
| Диаметр, мм | Затраты, руб. | Количество разлившейся нефти, т / жидкости, м3 |
||
| нефтепроводы | водоводы | нефтепроводы | водоводы | |
| Ватьеганское месторождение | ||||
| 114 | 16315,10 | 7168,25 | 0,140 | 21,6 |
| 159 | 17708,10 | - | 0,142 | - |
| 168 | 38205,77 | 4379,70 | 0,142 | 18,56 |
| 219 | 71360,99 | 6137,46 | 0,381 | 18,35 |
| 273 | 15993,93 | 5602,52 | 0,110 | 106,00 |
| 325 | 113109,76 | - | 0,220 | - |
| 426 | 25840,26 | 8443,6 | 0,500 | 20,75 |
| Южно-Ягунское месторождение | ||||
| 114 | 1159,00 | ___ | 0,0886 | ___ |
| 159 | 5632,12 | ___ | 0,1950 | ___ |
| 1 | 2 | 3 | 4 | 5 |
| 168 | 3129,68 | 6179,6 | 0,2630 | 515 |
| 219 | 7820,18 | - | 1,1078 | - |
| 273 | 7902,77 | - | 2,2860 | - |
| 325 | 5282,49 | - | 0,1312 | - |
| 426 | 11604,49 | 11932,81 | 0,1375 | 180 |
| 530 | 57124,08 | 5711,27 | 5,0200 | 1300 |
На Южно-Ягунском месторождении наиболее высоки затраты на ликвидацию аварий на нефтепроводах диаметром 426 и 530 мм и водоводах диаметром 426 мм. На нефтепроводах диаметром 273 и 530 мм и водоводах диаметром 530 мм отмечено самое большое количество разлившейся нефти (жидкости) (табл. 3).
В последние годы количество аварий трубопроводов резко возросло (рис. 5). Каждая авария приводит к загрязнению в среднем 25-50 м2 территории. В результате 15 % аварий загрязняется до 100 м2 и более [1, 2].
Известно, что стабильность экологической обстановки на нефтегазодобывающих предприятиях и прилегающих к ним территориях во многом определяется эффективностью противокоррозионных мероприятий. При этом научно обоснованная и технически грамотно организованная ингибиторная защита металла внутренней поверхности трубопроводов позволяет существенно повысить их надежность, долговечность и промышленную безопасность.
На Южно-Ягунском месторождении наиболее широкое применение нашли ингибиторы коррозии типа ХПК производства Когалымского завода химреагентов (табл. 4).
Протяженность трубопроводов, на которых была введена ингибиторная защита металла, достигла максимального значения к 1998 г. и сохранялась на этом уровне вплоть до 2000 г. В 2001 г. на ряде участков подача ингибитора была прекращена (рис. 9).
Таблица 4
Ингибиторы коррозии, применяемые на Южно-Ягунском месторождении
| Ингибитор | Объем закачки по годам, т | Всего | |||||
| 1996 | 1997 | 1998 | 1999 | 2000 | 2001 | ||
| СНПХ-6301 | 108 | 141 | 249 | ||||
| СНПХ-6014 | 347 | 388,08 | 59,58 | 794,66 | |||
| ТХ-1153 | 3,12 | 29941,4 | 27054,8 | 56999,32 | |||
| ХПК-002 | 29941,4 | 11132,52 | 41073,92 | ||||
| ХПК-002(М)Ф | 329,3895 | 78,6543 | 408,0438 | ||||
| ХПК-002(В) | 16,3975 | 7,1802 | 23,5777 | ||||
| ХПК-002(А) | 87,5108 | 87,5108 | |||||
| ХПК-002 Ю.Я. | 30,0000 | 30 | |||||
| Итого по годам | 455 | 532,2 | 59942,38 | 38187,32 | 345,787 | 203,3453 | 99666,032 |

Рис. 9 - Протяженность трубопроводов, защищаемых ингибиторами коррозии
Анализ рис. 7 и 9 свидетельствует о том, что ингибиторная защита трубопроводов Южно-Ягунского месторождения в целом не достигает цели: несмотря на имевшее место увеличение протяженности защищенных трубопроводов, их аварийность также возрастала. По-видимому, причина кроется в некоторых особенностях коррозии металла трубопроводов, характерных для данного месторождения.
На Ватьеганском месторождении ингибиторную защиту трубопроводов начали применять с 2001 г. Протяженность защищаемых участков составляет 22,9 км при годовом объеме закачки 322,8472 т. В связи с малой продолжительностью эксплуатации трубопроводов (около одного года) невозможно по их удельной аварийности (рис. 6) оценить эффективность применяемого ингибитора на многолетнем временном интервале. В 2001 г. наблюдалось резкое снижение удельной аварийности низконапорных водоводов (рис. 6), что не могло быть вызвано только применением ингибитора ХПК-002. К другой причине этого явления относится, скорее всего, ослабление влияния факторов, воздействующих на скорость коррозии металла. К таким факторам относятся обводненность продукции, наличие в ней механических примесей, расслоение при определенных гидродинамических режимах течения водонефтяных эмульсий.
Рассмотрим состояние промысловых трубопроводов Вятской площади Арланского месторождения, среди которых имеется 762,912 км трубопроводов различного назначения и диаметра (табл. 5). В том числе, сборные нефтепроводы и выкидные линии - 375,920 км; водоводы сточных вод высокого давления - 328,966 км; водоводы сточных вод низкого давления - 43,596 км; водоводы пресной воды - 14,43 км. Трубопроводы систем нефтесбора и ППД имеют диаметр от 89 до 630 мм и толщину стенки от 5 до 12 мм. Основным материалом труб является сталь 10 и 20.
Свыше 40 % всех трубопроводов находится в эксплуатации более 15 лет, а 30 % - более 10 лет (рис. 10).
По трубопроводам системы нефтесбора перекачивается скважинная продукция трех объектов разработки: каширо-подольского, визейского (терригенная толща нижнего карбона - ТТНК) и турнейского. Превалирует добыча нефти и жидкости из ТТНК (более 90 %), в связи, с чем данный объект разработки является основным.
Таблица 5
Протяженность трубопроводов различного диаметра
| Протяженность трубопроводов (км) по диаметрам (мм) | ||||||||
| 89 | 108 | 114 | 133 | 152 | 159 | 168 | 219 | |
| Система нефтесбора | 7,159 | - | 14,109 | 4,274 | 1,020 | 69,828 | 26,214 | 24,887 |
| Система ППД | 30,475 | 3,292 | 222,387 | - | - | 3,338 | 47,351 | 0,376 |
| Всего | 37,634 | 3,292 | 236,496 | 4,274 | 1,020 | 73,166 | 73,565 | 25,263 |
| Протяженность трубопроводов (км) по диаметрам (мм) | ||||||||
| 245 | 273 | 299 | 325 | 426 | 530 | 630 | ||
| Система нефтесбора | - | 21,499 | - | 4,700 | 2,900 | - | - | - |
| Система ППД | 0,724 | 3,626 | 2,260 | 29,966 | 2,900 | 0,055 | 0,325 | - |
| Всего | 0,724 | 25,125 | 2,260 | 29,966 | 2,900 | 0,055 | 0,325 | - |
![]() |
![]() |
Рис. 10 - Возрастной состав трубопроводов Вятской площади Арланского месторождения
Визейский объект разработки состоит из восьми продуктивных пластов (I, II, III, IV0 , IV, V, VI0 , VI). Основные - III и VI, которые определяют объемы добычи нефти, воды и жидкости на Вятской площади. Средняя глубина залегания этих пластов составляет 1240 и 1270 м соответственно.
Пластовые воды теригенной толщи нижнего карбона характеризуются высокой минерализацией, главным образом за счет ионов хлора (табл. 6).
Таблица 6
Средний химический состав пластовых вод
Плотность, г/см3 |
Содержание ионов 1) г/100 г p-pa, 2) моль/дм3 , 3) г/дм3 , 4) % экв. |
Общая минерализация |
|||||
| Cl- | SO4 - | НСО3 - | Сa++ | Mg++ | Na+ +K+ | ||
| 1,170 | 13,92 4576,87 162,30 50,44 |
0,0651 15,7831 0,7581 0,1739 |
0,0128 2,4421 0,1490 0,0269 |
0,9080 528,4857 10,5888 5,8246 |
0,2877 275,7935 3,3535 3,0396 |
7,5655 3674,013 88,1693 41,7795 |
9073,385 265,3189 |
Последние десять лет на Вятской площади, как и на месторождениях Западной Сибири, наблюдается прогрессирующий рост обводненности (рис. 11). Хотя средняя обводненность продукции увеличилась на 5 %, что значительно меньше, чем на Ватьеганском и Южно-Ягунском месторождениях, ее среднегодовой уровень по Вятской площади почти на 20 % выше.

Рис. 11 - Обводненность добываемой продукции
Основные показатели разработки Вятской площади представлены на рис. 12.

Рис. 12 - Данные разработки Вятской площади Арланского месторождения
Qн - добыча нефти, млн. т; Qж - отбор жидкости, млн. м3 ; Qзак. - закачка воды, млн. м3
С 1995 по 2000 г.г. на Вятской площади произошло 1055 порывов трубопроводов, из них на водоводах v 201 (19,0 %), на выкидных линиях - 757 (71,8 %) и на нефтесборных трубопроводах - 97 (9,2 %). Доля отказов по причине коррозии составляет 98,4 %, из которых 74,4 % аварий произошло вследствие коррозии наружной поверхности труб, и 24,0 % - внутренней.
Анализ зависимости числа порывов на трубопроводах систем нефтесбора и ППД от объема закачиваемого ингибитора не выявил корреляционной связи между данными показателями (рис. 13).

Рис. 13 - Аварийность трубопроводов и объем закачки ингибиторов
Основная доля отказов по причине коррозии наружной поверхности труб приходится на выкидные линии системы нефтесбора и составляет 96,4 % от общего числа аварий (рис. 14).

Рис. 14 - Аварийность выкидных линий
Осмотр поврежденных участков трубопроводов и анализ характера коррозионных разрушений показал, что основным видом коррозии наружной поверхности промысловых трубопроводов является язвенная коррозия, а внутренней v общая (рис. 15).
1 - нефтепровод, эксплуатировавшийся без ингибиторной защиты |
2 - высоконапорный водовод |
Рис. 15 - Образцы труб, вырезанные с места порыва
В табл. 7 приведены химический состав и некоторые свойства коррозионных сред, перекачиваемых на Вятской площади.
В средах, перекачиваемых на Вятской площади, содержание сероводорода, как правило, не превышает 20 мг/л (табл. 7), в результате чего на поверхности металла должны образовываться нерастворимые полисульфиды железа, состоящие из троилита и пирита.
Таблица 7
Химический состав и свойства перекачиваемых сред
| Показатель | Система нефтесбора | Система ППД |
| рН | 6,25 | 6,20 |
| Cl- , мг/л | 158596,50 | 161280,00 |
| SO4 2- , мг/л | 523,17 | 407,50 |
| Ca2+ , мг/л | 10566,67 | 10900,00 |
| Mg2+ , мг/л | 3485,87 | 2979,20 |
| K+ +Na+ , мг/л | 83872,26 | 84997,04 |
| HCO3 - , мг/л | 162,67 | 155,55 |
| Общая минерализация, мг/л | 257207,14 | 260719,29 |
| Н2 S, мг/л | 7,11 | 19,55 |
| O2 , мг/л | 0,07 | 0,10 |
| CO2 , мг/л | 0,86 | 1,28 |
| Удельный вес | 1,18 | 1,18 |
| Сухой остаток, мг/л | 293400,00 | 301490,00 |
Это подтверждается результатами ревизии образцов-свидетелей, находившихся в водонефтяной эмульсии системы нефтесбора в течение 40 суток.
В ходе осмотра образцов-свидетелей коррозионных повреждений металла не выявлено (рис. 16). Образцы покрыты темной сплошной пленкой, характерной для троилита и пирита.

1 2 3
Рис. 16 - Внешний вид образцов-свидетелей до (1) и после экспозиции в водонефтяной эмульсии (2) и в модельной среде NACE (3) в течение 40 суток
Низкое содержание сероводорода в средах Вятской площади можно связать с их высокой минерализацией (до 260 г/л, табл. 7), уменьшающей его растворимость.
Анализ химического состава коррозионных сред, проведенный на Вятской площади Арланского месторождения, показал значительное содержание в них ионов хлора (около 160 г/л), которые при такой концентрации могут ингибировать коррозию даже при образовании на поверхности металла рыхлой пленки полисульфидов железа (за счет блокирования активных участков поверхности).
На Вятской площади содержание кислорода в воде незначительно (от 0,07 до 0,1 мг/л), вследствие чего он не может вызвать активное усиление коррозии. Низкое содержание кислорода в воде можно связать с отсутствием подпитки последней пресными водами (за исключением канализационных стоков) и других его источников.
Коррозионная среда Вятской площади Арланского месторождения содержит большое количество растворенных солей, которые также влияют на скорость коррозии. В пластовых и сточных водах Вятской площади количество углекислоты незначительно, и оно не приводит к ускорению коррозии.
2. Установки магнитной обработки жидкости УМЖ для промысловых трубопроводных систем
Установка для магнитной обработки промысловой жидкости, перекачиваемой по промысловым трубопроводам представляет собой трубу требуемого диаметра (Dустановки =Dтрубопровода ), на внутренней поверхности которой находятся постоянные магниты. Магниты располагаются вдоль трубы, образуя ряд контуров по диаметру. На распорных пластинах смонтирован магнитопровод, на котором также закреплены постоянные магниты. Внутренняя часть установки УМЖ покрыта антикоррозионной композицией.
Примером такой установки служит установка для магнитной обработки пластовой воды горизонта "Сеноман" Южно-Ягунского месторождения (БКНС-5) (рис. 17).
Рабочие параметры низконапорного водовода: наружный диаметр трубы 219х16 мм, длина 200 м, объем перекачиваемой воды 200 м3 /час. Длина установки 0,9 м; магниты располагаются по длине установки одинаковыми полюсами (постоянное магнитное поле); на магнитопроводе магниты направлены противоположными полюсами. Таким образом, линии магнитного поля направлены перпендикулярно обрабатываемому потоку (рис. 18). Напряженность магнитного поля в центре зазора 27 кА/м (рис. 19).
![]() |
![]() |
Рис. 17 - Установка УМЖ-219 для магнитной обработки пластовой воды Южно-Ягунского месторождения

Рис. 18 - Схема расположения магнитов установки УМЖ-219
а) 1 - магнитопровод; 2 - внешняя труба; 3 - постоянные магниты |
б) 1 - в разрезе А-А; 2 - в разрезе Б-Б |
Рис. 19 - Схема магнитной установки УМЖ-219 (а); величина и форма изменения напряженности магнитного поля (б)
Для больших диаметров трубопроводов (273-325 мм) установки для магнитной обработки имеют другой вид, как, например, для обработки сточной воды Южно-Ягунского месторождения (БКНС-3) (рис. 20).
Низконапорный водовод имеет наружный диаметр 325х6 мм, длину 1600 м, объем перекачиваемой воды 240-300 м3 /час.
В этом случае для достижения требуемой напряженности и частоты магнитного поля постоянные магниты располагаются вдоль трубы так, как показано на рис. 21 (переменное магнитное поле).
Длина установки 0,75 м. Максимальная напряженность магнитного поля в центре зазора 45 кА/м (рис. 22).
![]() |
![]() |
Рис. 20 - Установка для магнитной обработки сточной воды Южно-Ягунского месторождения (БКНС-3)

Рис. 21 - Схема расположения магнитов в установке УМЖ-(273-325)
а) 1 - магнитопровод; 2 - внутренняя труба; 3 - внешняя труба; 4 - постоянные магниты |
б) 1 - в разрезе А-А; 2 - в разрезе Б-Б |
Рис. 22 - Вид магнитной установки УМЖ-325 (а); величина и форма изменения напряженности магнитного поля для установки (б)
Расчет и технологические особенности изготовления установок УМЖ.
Для конструирования магнитных установок на постоянных магнитах предложен следующий концептуальный подход: с использованием экспериментального стенда производится подбор оптимальных параметров магнитного поля (напряженность, амплитудно-частотная характеристика), при которых происходит максимальное снижение коррозионной активности или изменение реологических свойств жидкостей; на основании данных параметров с использованием специальной программы на ПЭВМ производится расчет и конструирование установок на постоянных магнитах. Программа для расчета разработана совместно с В.И. Максимочкиным. При расчете учитываются параметры используемого трубопровода, режим течения жидкости, давление и температура в трубопроводе. В разрабатываемых установках на каждое поперечное сечение движущегося по трубопроводу потока жидкости происходит воздействие магнитного поля от последовательно расположенных постоянных магнитов в точности повторяющее характеристики, полученные на лабораторной установке и оптимальные для обрабатываемого продукта.
Магнитная обработка может осуществляться магнитным полем различной частоты. Установки УМЖ позволяют создавать магнитное поле частотой до 50 Гц,
так как его можно создать постоянными магнитами:
, где Q - расход перекачиваемой жидкости, м3
/час; d - внутренний диаметр трубопровода, м; S - минимальное расстояние между центрами магнитов
, м; dм
- диаметр магнита, м. При создании переменного магнитного поля частотой более 50 Гц возникают сложности, требуются высокие скорости потока либо снижение напряженности магнитного поля из-за необходимости применения магнитов малого размера. Если отдельно взятый объем жидкости перемещать вдоль расположенных определенным образом постоянных магнитов, то поток жидкости будет находиться под воздействием магнитного поля, параметры которого зависят от скорости движения потока, параметров магнитов, их формы и расположения в пространстве. При этом можно создать условия, когда поток будет обрабатываться постоянным или переменным магнитным полем с заданными параметрами.
С использованием экспериментального стенда производится подбор оптимальных параметров магнитного поля (напряженность, амплитудно-частотная характеристика), при которых происходит максимальное снижение коррозионной активности или изменение реологических свойств жидкостей, перекачиваемых по промысловым трубопроводам. На основании данных параметров с использованием специальной программы на ПЭВМ производится расчет и конструирование установок на постоянных магнитах. При расчете учитываются параметры используемого трубопровода, скорость движения жидкости, давление и температура в трубопроводе. В разрабатываемых установках на каждое поперечное сечение движущегося по трубопроводу потока жидкости происходит воздействие магнитного поля от последовательно расположенных постоянных магнитов повторяющее характеристики, полученные на лабораторной установке и оптимальные для обрабатываемой жидкости. На рис. 23 представлена блок-схема алгоритма работы специальной программы расчета установок на постоянных магнитах.
Для расчета использованы следующие данные: геометрические параметры трубопровода и внутреннего магнитопровода, скорость потока жидкости. Скорость V
потока жидкости, расстояние
между центрами последовательных постоянных магнитов и частота f
(в системе отсчета, связанной с движущейся жидкостью) получаемого магнитного поля связаны соотношением:
. (1)
Расчеты проводились для установки, схема которой представлена на рис. 24.

Рис. 23 - Блок-схема алгоритма работы программы расчета установок на постоянных магнитах
Жидкость протекает в кольцевом зазоре между двумя концентрически расположенными трубами из ферромагнитного материала, на которых закреплены постоянные магниты. Полученные результаты справедливы для точек, расположенных на линии посередине между магнитами, параллельной оси трубы.
Рис. 24 - Схема расчета установки УМЖ
Размеры труб расчетной установки: r1 = 0,1 м, r2 = 0,108 м, R1 = 0,546 м, R2 = 0,562 м. При вычислениях использовались модели следующих конфигураций постоянных магнитов (рис. 25): 1 - с плоской омываемой поверхностью; 2 - с омываемой поверхностью в виде кругового цилиндра, 3 - с омываемой поверхностью в виде параболического цилиндра.
При положительной величине параметра R омываемая поверхность выпуклая, а при отрицательной - вогнутая. Значение индукции магнитов принималось 0,5 Тл, так как большинство промышленно выпускаемых постоянных магнитов имеет остаточную индукцию в пределах 0,2 - 1,0 Тл. Использование других форм магнитов требует дополнительных изменений в программе, поэтому в нашей работе они не рассматривались.
Задача расчета напряженности магнитного поля в установке для магнитной обработки разбивается на две части: 1) расчет поля системы постоянных магнитов; 2) расчет распределения намагниченности металла труб и магнитопровода и вычисление поля, создаваемого металлом.

Рис. 25 - Формы постоянных магнитов
(M - длина, T - ширина, H - высота , R - высота среза)
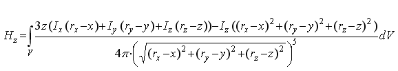
Величина поля, создаваемого постоянными магнитами, зависит не только от намагниченности магнита, но и от его формы. Проекцию (на исследуемую плоскость) напряженности H магнитного поля, создаваемого системой постоянных магнитов, можно найти, направив ось z декартовой системы координат вдоль этой плоскости и затем вычислив интеграл по объему ферромагнетика по следующей формуле:
,
(2)
где Ix
, Iy
, Iz
- компоненты вектора
намагниченности, x
, y
, z
- координаты элемента объема dV
ферромагнетика, rx
, ry
, rz
- координаты точки, в которой производится измерение магнитного поля.
Данный интеграл вычисляется аналитически только для однородно намагниченных эллипсоидов и их предельных случаев (бесконечный стержень, бесконечная плоскость). Для вычисления магнитного поля тел любой другой формы нужно использовать численное интегрирование.
В данном случае распределение напряженности магнитного поля вокруг системы постоянных магнитов было рассчитано методом Монте-Карло [3].
Для расчета постоянные магниты считались идеально магнитотвердыми, то есть, в них под действием слабых магнитных полей меняется лишь магнитная индукция B , но не намагниченность I . Магниты можно считать идеально магнитотвердыми, если коэрцитивная сила по намагниченности i HC заметно превосходит напряженность H , создаваемую в них соседними магнитами. Для данной схемы все современные материалы постоянных магнитов удовлетворяют этому требованию.
В то же время сталь, из которой изготавливаются трубы и магнитопроводы, нельзя считать магнитотвердым материалом. Поэтому для стали использовалась более сложная и длительная процедура расчета. Из [4] были взяты точки зависимости B от (H) для литой стали, а после пересчета и учета размагничивающего фактора была получена зависимость I(H), которая и использовалась в программе. Так как на любой элемент объема металла действует не только поле постоянного магнита, но и поле других элементов объема металла, то использовался модифицированный вариант метода релаксации вместе с методом Монте-Карло. Использование других сталей может дать конечную погрешность не более 10 %.
В результате проведенных расчетов было выяснено, что форма магнитов в значительной степени влияет на форму изменения напряженности магнитного поля (градиент напряженности магнитного поля).
Использование магнитов с постоянной полярностью длиной M
, расположенных друг от друга на расстоянии , приводит к получению при
пульсирующего магнитного поля, при
- к получению постоянного магнитного поля.
Материалы магнитов
Для изготовления установок магнитной обработки использованы высокоэнергетические магниты из сплава неодим-железо-бор (Nd-Fe-B). Эти магниты имеют относительную магнитную проницаемость, равную единице не только в первом и во втором, но и частично в третьем квадрантах петли магнитного гистерезиса. Гистерезисные свойства, выгодно отличающие высокоэнергетические магниты, являются следствием основных физических характеристик - высокого магнитного момента атомов в кристаллической решетке и чрезвычайно больших значений энергии константы кристаллографической анизотропии. Последнее свойство определяет повышенную устойчивость высокоэнергетических магнитов к размагничивающему воздействию внешних магнитных полей. В магнитном гистерезисе высокоэнергетических магнитов наблюдается практически полное совпадение линий возврата на характеристике В(Н) с предельной кривой размагничивания в полях, даже превышающих значение коэрцитивной силы по индукции. Основные характеристики редкоземельных магнитов типа Nd2 Fe14 B следующие:
- остаточная индукция Br , мТл - 1130-1250;
- коэрцитивная сила м Hc , кА/м - 720-1200;
- энергетическое произведение (BH)max , кДж/м3 - 224-280.
- максимальная температура эксплуатации, 0 С - 100-150;
- температурные коэффициенты:
индукции Br , %/0 С - 0,1-0,12;
коэрцитивной силы м Hc , %/0 С - 0,6.
- температура Кюри, 0 С - 310;
- коэффициент теплового
расширения (КТР)*, 10-6 /0 С - 5/-1;
- электросопротивление, Ом/(мм2 ×м) - 1,4-1,6;
- плотность, г/см3 - 7,4-7,5.
- прочность:
изгиб, МПа - 270;
сжатие, МПа - 1000-1100;
- твердость по Виккерсу - 570.
* - числитель - КТР вдоль текстуры, знаменатель - поперек структуры (в интервале температур 20-150 0 С).
Антикоррозионное покрытие. Для защиты установок от коррозии, для закрепления магнитов на их поверхности применяют очищенную уретановую смолу "Текнотар 200", которая образует на обрабатываемой поверхности толстую химически стойкую пленку. Технические характеристики "Технотар 200": жизнеспособность при +23 0 С - 4 ч; толщина образуемой пленки: сухая пленка - 100-125 мкм, мокрая пленка - 167-208 мкм; теоретическая укрывистость зависит от метода нанесения, состояния поверхности и от потери при распылении мимо объекта и составляет 4,8-6,0 м2 /л; высыхание: пыль не пристает при +23 0 С через 1 ч, сухая на ощупь через 6 ч; покрытие следующим слоем при +5 0 С через 3-10 суток, при +23 0 С - через 4 ч - 7 суток.
Также применяют грунтовки на основе эпоксидных смол, в частности ЭП-0010. Технические характеристики ЭП-0010: жизнеспособность при +20 0 С - 50-60 мин.; высыхание до полного отвержения - 36 ч; адгезия к сухой стальной поверхности - 2,5 МПа; эластичность при изгибе - 1 мм; прочность после сушки при +20 0 С: через 3 суток - 0,26 МПа, через 10 суток - 0,45 МПа.
Технология изготовления. На внутреннюю поверхность установки для магнитной обработки воды наносится специальный состав для защиты постоянных магнитов от коррозии. На подготовленную поверхность наносится первый грунтовочный слой. На еще не застывшее покрытие размещают постоянные магниты. Два следующих слоя наносят кистью или безвоздушным распылением. Установки УМЖ выпускаются Инжиниринговой компанией "Инкомп-нефть" по ТУ39-80500-005-99.
Трубопроводные установки УМЖ используются для магнитной обработки жидкости на низконапорном водоводе ДНС-1-КНС-3 Мортымья-Тетеревского месторождения (диаметр труб 325 мм; стенка 16 мм; протяженность - 9,05 км). Эффективность магнитной обработки технологической жидкости без применения ингибитора составила 62,4 %.
В результате совместного воздействия ингибитора ХПК-002 В и магнитных установок скорость коррозии значительно снизилась, расстояние действия ингибитора коррозии ХПК-002 В, прошедшего магнитную обработку, увеличилось. Защитный эффект в среднем составил 80,8 %.
В ТПП "Когалымнефтегаз" установки УМЖ-325-005 (1 шт.), УМЖ-273-005 (1 шт.), УМЖ-219-005 (4 шт.) смонтированы низконапорных трубопроводах:
1. ЦПС-УПСВ-БКНС-1 (диаметр трубы - 273 мм, толщина стенки - 18 мм, объем перекачиваемой подтоварной воды - 500 м3 /час) Южно-Ягунского месторождения.
2. ЦПС-БКНС-3 (диаметр трубы - 325 мм, толщина стенки - 6 мм, объем перекачиваемой воды - 300 м3 /час) Южно-Ягунского месторождения.
3. Водозабор-БКНС-4 (диаметр трубы - 219 мм, толщина стенки - 16 мм, объем перекачиваемой сеноманской воды - 125 м3 /час) Южно-Ягунского месторождения.
4. Водозабор-БКНС-5 (диаметр трубы 219 мм, толщина стенки - 16 мм, объем перекачиваемой сеноманской воды - 200 м3 /час) Южно-Ягунского месторождения.
5. Водозабор-БКНС-1 (диаметр трубы 219 мм, толщина стенки - 14 мм, объем перекачиваемой сеноманской воды - 305 м3 /час) Кустового месторождения.
6. водозабор-БКНС-2 (диаметр трубы 219 мм, толщина стенки - 18 мм, объем перекачиваемой сеноманской воды - 62 м3 /час) Дружного месторождения.
Эффективность защиты трубопроводов от коррозии методами магнитной обработки в среднем составила 32 %. Эффективность ингибитора коррозии ХПК-002 ЮЯ, в результате совместного применения с УМЖ, возросла с 50 до 68 %.
На трубопроводах Вятской площади Арланского месторождения, которые эксплуатирует АОА "Белкамнефть" смонтированы установки для магнитной обработки УМЖ (ТУ 39-80400-005-39). Места монтажа установок типа УМЖ показаны в табл. 8.
Таблица 8
Места монтажа установок УМЖ на трубопроводах системы нефтесбора и ППД (Вятская площадь Арланского месторождения)
Наименование объекта |
Место монтажа |
Диаметр и толщина стенки трубопровода, мм |
| Система ППД | ||
| Приемный водовод БКНС-3 | 300-600 м от ППН | 325х8 |
| Приемный водовод ЭЦН-137 | 0-100 м от места врезки | 114х9 |
| Водовод от БКНС-3 на БГ-54 | 0-50 м от БГ-54 | 168х11 |
| Водовод от БКНС-5 на БГ-37 | 0-200 м от БКНС-5 | 159х10 |
| Система нефтесбора | ||
| От точки врезки нефтепровода АГЗУ-40 до ППН | 0-500 м от точки врезки | 273х8 |
| От АГЗУ-144 до точки врезки АГЗУ-118 | 0-1500 м от АГЗУ-144 | 159х6 |
На низконапорном водоводе (диаметр труб 159 мм; стенка 8 мм; протяженность - 1,05 км) Волковского месторождения на начальном участке смонтирована установка УМП-159-006 для снижения коррозионной активности перекачиваемой жидкости. За счет применения установок магнитной обработки жидкости, удалось снизить коррозионную активность перекачиваемой жидкости (рис. 26).
5. Выбор ингибиторов коррозии и технологии их использования
Отечественные и зарубежные нефтехимические предприятия предлагают для защиты от коррозии нефтегазопромыслового оборудования большую номенклатуру ингибиторов коррозии. Для выбора и использования в конкретных условиях того или иного ингибитора у лица, принимающего решение, имеется информация по стоимости химреагента и результаты лабораторных, стендовых промысловых испытаний.

а б в
(а)- новый; (б) - в среде без магнитной обработки; (в)- в среде с магнитной обработкой
Рис. 26- Внешний вид образцов ( Сергеевское месторождение,НГДУ "Уфанефть")
Это определенные по ГОСТ 9.506-87 [5] показатели защитной способности ингибитора - скорость коррозии и степень защиты. Рассмотрим применение вероятно- статистических методов теории принятия решений для выбора ингибиторов коррозии.
На Вятской площади Арланского месторождения прошли испытания, следующие ингибиторы коррозии:
a2 - Рекорд - 608; a2 - ХПК-002В; a3 - Сонкор-9801; a4 - Азимут 14 Б.
Были рекомендованы различные технологии использования ингибиторов (табл. 9):
- b1 - постоянная дозировка в системе нефтесбора и ППД;
- b2 - периодическая дозировка через каждые две недели в течении двух суток;
- b3 - периодическая дозировка, совмещенная с магнитной обработкой перекачиваемой жидкости с помощью аппаратов УМЖ;
- b4 - постоянная дозировка только в системе нефтесбора;
- b5 - постоянная дозировка, совмещенная с магнитной обработкой перекачиваемой жидкости.
Таблица 9
Сравнительная эффективность предлагаемых технологий
использования ингибиторов коррозии
Предлагаемое мероприятие |
Экономический эффект от мероприятия, млн.руб. Защитный эффект,% |
|||
| Рекорд-608 | ХПК-002В* | Сонкор-9801 | Азимут 14 Б | |
Постоянная дозировка |
0 10,1 |
-2,957 61,8 |
-1,670 66,3 |
-1,584 70,8 |
| Периодическая дозировка | 18,298 10,1 |
17,909 61,8 |
18,078 66,3 |
18,089 70,8 |
| Периодическая дозировка + магнитная обработка | 15,498 67,4 |
15,109 85,4 |
15,278 71,9 |
15,289 78,7 |
| Постоянная дозиров-ка в системе нефтесбора | 10,595 10,1 |
8,542 61,8 |
9,213 66,3 |
9,257 70,8 |
Постоянная дозировка только в системе нефтесбора + магнитная обработка |
7,795 67,4 |
5,742 85,4 |
6,413 71,9 |
6,457 78,7 |
За базу сравнения принят широко используемый ингибитор коррозии - Рекорд - 608 Н. На основании лабораторных исследований лучшие результаты достигнуты используя ингибитор ХПК-002В совместно с магнитной обработкой жидкости (защитный эффект составил - 85,4%). Стабильно высокие результаты показывает ингибитор Азимут 14 Б.
На основании таблицы 9 построим матрицу вероятности благоприятных решений (табл. 10). Примем, что защитная эффективность ингибиторов коррозии равна вероятности благоприятного решения. По строкам представлена вероятность благоприятного решения (защитный эффект) ингибиторов коррозии aij ,а в столбцах технологические варианты использования ингибиторов bij .
Таблица 10
Матрица вероятности благоприятного решения
| b1 | b2 | b3 | b4 | b5 | |
| a1 | 0,10 | 0,10 | 0,67 | 0,10 | 0,67 |
| a2 | 0,62 | 0,62 | 0,85 | 0,62 | 0,85 |
| a3 | 0,66 | 0,66 | 0,72 | 0,66 | 0,72 |
| a4 | 0,71 | 0,71 | 0,79 | 0,71 | 0,79 |
На первом этапе выберем предпочтительную стратегию использования ингибиторов. Вероятность закупки того или иного ингибитора примем обратно пропорционально их стоимости, то есть наиболее вероятно приобретение более дешевого химреагента:
Рa1 =0,40; Рa2 =0,18; Рa3 =0,21; Рa4 =0,21
Рассчитаем математическое ожидание благоприятного решения для каждого ингибитора:
mb1 = 0,4х0,1+0,18х0,62+0,21х0,66+0,21х0,71=0,46
mb2 = 0,4х0,1+0,18х0,68+0,21х0,66+0,21х0,71=0,46
mb3 =0,4х0,67+0,18х0,85+0,21х0,72+0,21х0,79=0,77
mb4 =0,4х0,1+0,18х0,62+0,21х0,66+0,21х0,71=0,46
mb5 =0,4х0,67+0,18х0,85+0,21х0,72+0,21х0,79=0,61
Как видно из расчетов, при принятой вероятности закупки, можно рекомендовать вариант периодической закачки ингибиторов с магнитной обработкой жидкости (mb3 =0,77), и вариант постоянной дозировки с магнитной обработкой (mb5 =0,61).
Список литературы
1. Инюшин Н.В., Шайдаков В.В., Емельянов А.В., Чернова К.В. Анализ эксплуатации промысловых трубопроводов Ватьеганского месторождения НГДУ "Повхнефть" // Нефтегазовое дело www: ogbus.net (authors). shai 3.pdf, 2002. - 8 с.
2. Инюшин Н.В., Хайдаров Р.Ф., Шайдаков В.В., Емельянов А.В., Чернова К.В. Анализ эксплуатации промысловых трубопроводов НГДУ "Когалымнефть" // Нефтегазовое дело www: ogbus.net (authors). shai 3.pdf, 2002. - 11 с.
3. Соболь И.М. Численные методы Монте-Карло. - М.: Наука, 1973.
4. Кей Дж., Лэби Т. Таблицы физических и химических постоянных. - 2-ое изд. - М.: Государственное издательство физико-математической литературы, 1962.
5. ГОСТ 9.506-87 (СТ СЭВ 5733-86). Ингибиторы коррозии металлов в водно-нефтяных средах. Методы определения защитной способности.













