| Скачать .docx |
Реферат: Предварительный анализ перемещений станций GPS на Камчатке: скорости плит и геодезический предвестник землетрясения
.
Е.И.Гордеев, В.Е.Левин, В.Ф.Бахтияров, А.А.Гусев, В.М.Павлов, В.Н.Чебров и М.Касахара
Начиная с 1996 г. на Камчатке ведет непрерывную регистрацию сеть из девяти станций GPS. Данные 1996-1999 гг. использованы для определения направлений и скоростей движения станций. На расстояниях до нескольких сот километров выявлены деформации, связанные с сильным Кроноцким землетрясением 5 декабря 1997 г. (Mw =7,8). Они проинтерпретированы в рамках модели упругого полупространства. За полмесяца до этого события на станциях, ближайших к будущему очагу, возникли перемещения заметной амплитуды (предвестник). Перемещения примерно соответствуют "медленному землетрясению"типа двойного диполя, с Mw =7,7, возникшему в зоне форшоков события 5 декабря 1997 г. Также обнаружены четкие косейсмические скачки перемещения. Они прекрасно согласуются с Гарвардским СМТ-решением для очага 5 декабря 1997 г. Имеются и постсейсмические деформации, продолжавшиеся также полмесяца или долее. Они несколько превышают косейсмические и хорошо коррелированны с ними. Это указывает на продолжение движения в пределах уже сформированного очага. Амплитуда постсейсмических движений соответствует источнику с Mw =7,9. Полное перемещение за период с 15.11.1997 г. по 25.12.1997 г. дает суммарный сейсмический момент, соответствующий Mw =8,0. Вдобавок к упомянутым движениям в конце 1997 г., данные показывают перемещение пунктов в 1997-1999 гг. с приблизительно постоянной скоростью. Это движение отражает как относительное движение условно-жестких плит, так и непрерывно изменяющуюся во времени упругую реакцию их краев на межплитовое сцепление (каплинг). Получены первые предварительные оценки для относительных скоростей Северо-Американской, Охотской и Берингийской плит по данным станций, относительно удаленных от наиболее активных границ плит. Движение станций, расположенных вблизи этих границ, качественно согласуется с ожидаемым по причине их сцепления (каплинга) с Тихоокеанской плитой. По крайней мере, в одном случае выявлено четкое различие обсуждаемых скоростей до и после 05.12.1997 г. Этот факт может указывать на изменение параметров каплинга или на реологические эффекты в мантии.
Введение
Исследование деформации островных дуг может прояснить ряд до сих пор мало изученных вопросов современной тектоники плит. В районе Камчатки находится тройное сочленение плит первого порядка, здесь соединяются Тихоокеанская, Североамериканская и Евроазиатская плиты. При более детальном рассмотрении необходимо учитывать присутствие Охотской и Берингийской субплит, причем Охотская является частью Евроазиатской крупномасштабной плиты, а Берингийская - частью соответствующей крупномасштабной Североамериканской плиты. Таким образом, при детальном рассмотрении имеются два сопряженных тройных сочленения: Тихоокеанской, Берингийской и Охотской плит в районе стыка Курило-Камчатского и Алеутского глубоководных желобов, а также Охотской, Берингийской и Североамериканской плит на суше к северу от полуострова Камчатка. Относительно большая доля суши в этой части планеты дает возможность удобного проведения геодезических измерений деформации поверхности. Высокая скорость субдукции Тихоокеанской плиты (около 80 мм/год [3,4]) вызывает мощную сейсмичность и дает возможность оценить скорость движения плит даже по краткосрочным наблюдениям.
![]() |
| Рис. 1 |
В течение периода наблюдений произошло крупное субдукционное межплитовое Кроноцкое землетрясение в районе Камчатки (Mw =7,8; 5 декабря 1997 года). Его зона афтершоков расположена в верхней части континентального склона Камчатки вблизи полуострова Кроноцкий и охватывает зону приблизительно 220x110 км вдоль направления островной дуги (ССВ, ЮЮЗ). Гипоцентр афтершоков, определенный местной сейсмической сетью, определяет в качестве действующей плоскость разрыва, наклоненную под 23o ЗСЗ под Камчатку. Землетрясение предварялось плотным форшоковым роем, который начался за двое суток до землетрясения вблизи ССВ оконечности афтершоковой зоны. Очаговый разрыв возник около этой точки и распространился приблизительно на 180 км к ЮЮЗ со скоростью 4 км/с 2 . Наблюдения GPS обнаружили хорошо выраженные пресейсмические, косейсмические и постсейсмические деформации, связанные с этим событием. Они и обсуждаются в данной статье. Высокие скорости деформации наблюдались также в течение последующих двух лет. Анализ деформаций дает предварительные оценки относительных скоростей движения плит в упомянутой зоне стыка четырех плит. Данные показывают наличие упругой реакции Охотской и Берингийской плит. Это означает достаточно высокий уровень их сцепления (каплинга) с субдуцирующей Тихоокеанской плитой. Впервые обнаружена большая величина медленной деформации перед крупным субдукционным землетрясением.
Обработка данных
![]() |
| Рис. 2 |
Сеть GPS на Камчатке действует с 1996 года. В настоящее время она включает девять пунктов постоянных наблюдений деформации (рис.1). В каждом пункте размещен приемник типа Ashtec Z12 или Topcon Z12 с антенной ASHDMR. Непрерывный поток данных постоянно накапливается в памяти приемника и затем ежедневно извлекается в местную ЭВМ. Данные ежедневно передаются по телефонным линиям в центральную ЭВМ или записываются на ZIP-дискету. Все данные обрабатываются централизованным образом системой обработки GAMIT/GLOBK разработки Массачусетского Технологического университета. В результате обработки данных получаются стандартные 24-х-часовые средние положения каждого пункта. Затем вычисляются относительные положения станции при условно фиксированной станции PETP (рис.2); их номинальная точность составляет приблизительно 3-4 мм для горизонтальной компоненты, которая используется далее.
Визуальное рассмотрение временных рядов данных показывает ряд характерных черт. Некоторые из них можно относительно надежно идентифицировать как технологические ошибки или искажения, другие явно представляют собой реальные относительные движения станции, а некоторые нельзя классифицировать надежно, или же они являются смесью обоих типов. Наиболее легко идентифицируемые ошибки - это короткие скачкообразные односторонние отклонения типа импульсов, длительностью от 1 до 20 дней. Однако, некоторые короткие отклонения являются постепенными, а некоторые выглядят биполярным образом. В общем, однополярное перемещение с четким возвратом к медленно сползающей нулевой линии можно относительно надежно исключить как истинное проявление перемещения станции. Однако, этот критерий действует однозначным образом только в ограниченном количестве случаев. С другой стороны, некоторые свойства данных являются очевидными и коррелируются между компонентами и между станциями, и они, по-видимому, отражают реальное относительное перемещение станции.
Анализ наблюденного ряда данных
![]() |
| Рис.3 |
После рассмотрения полного временного ряда средних положений станций за каждые 24 часа, мы сочли реальными следующие два типа временных вариаций: 1 - долговременный дрейф с приблизительно постоянной скоростью и 2 - сигналы ограниченной длительности, имеющие вид мгновенной или растянутой ступеньки, и, по-видимому, связанные с упомянутым сильным землетрясением (М=7,8, 05.12.1997), которое произошло в пределах сети станций GPS (рис.2). Все вариации второго рода произошли в течение интервала +/-1 месяц от момента этого сильного землетрясения. Среди них выделяются: 2а - косейсмические скачки; 2b - в основном монотонный постсейсмический сигнал; и 3 - монотонные или более сложные пресейсмические сигналы. Следует отметить, что все эти вариации в общем имеют ненулевое суммарное смещение (не имеют характера импульсов), и поэтому есть больше шансов на то, что они являются реальными. Все численные оценки для этих вариаций делаются на неформальной основе, поскольку мы не имеем в нашем распоряжении методики, которая позволила бы нам отфильтровать ошибки автоматическим, статистически обоснованным образом. Далее приводятся векторные схемы вариаций (рис.3, 4 и 5), а также соответствующие временные графики (рис.6), по которым читатель может проверить обоснованность нашего выбора.
![]() |
| Рис.4 |
Рис.2 показывает полный временной диапазон наблюдений. Для интервалов данных, которые превышают по длительности 15 месяцев, мы сочли возможным оценить среднюю скорость дрейфа (табл.1). Для двух станций KMS и KLU это можно сделать как до, так и после события. Однако, для KMS не видно изменений скорости в декабре 1997 г., и приемлема общая оценка скорости, единая как для периода до землетрясения, так и после. Скорость перемещения после землетрясения может быть оценена для станций TIL, TIG, ESSO, KLU и BKI. Перед сильным землетрясением имеются также единичные измерения в течение примерно 18 месяцев до него для станций ESSO и KBG, по которым получены оценки скорости относительно низкого качества.
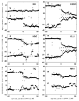
Рис.6 показывает интервалы времени +/-55 дней от сильного землетрясения 05.12.1997 г. для двух горизонтальных компонент (N, E) каждой из шести станций BKI, KBG, KLU, ESSO, TIG и MA1. Для TIL и KMS данные за период, близкий к сильным землетрясениям, отсутствуют. Исходные 24-х-часовые средние показаны крестиками. Для подавления единичных и двойных выбросов применялось сглаживание скользящей медианой по пяти точкам. Следует отметить, что большое количество фиктивных аномалий с длительностью от 3 до 10 дней или более, подобная процедура подавить не в состоянии, и они могут быть идентифицированы только субъективно. Медианная фильтрация останавливалась за три точки до и продолжалась через три точки после интервала, содержащего сильное землетрясение. Для этого конкретного интервала данные опущены. Последняя точка исходных данных перед и первая точка после этого интервала дополнительно помечена (квадрат).
![]() |
| Рис.5 |
Косейсмические скачки и монотонные постсейсмические сигналы явно видны на большей части графиков. На графиках для станций KBG, KLU, ESSO и TIG можно также заметить пресейсмические сигналы, хотя они выражены не столь ясно. Для оценки величины косейсмических скачков мы использовали два подхода. В первом подходе величину скачка рассчитывали как разность двух "стандартных"оценок, (каждая из которых основана на стандартном 24-х-часовом интервале 00ч -24ч UT), по двум интервалам, прилегающим к интервалу, который содержит момент землетрясения 5 декабря 1997 г. Данные самого этого интервала отбрасывались. Этот подход использует стандартную обработку данных, однако отбрасывание данных, ближайших к сильному событию, нежелательно. Чтобы избежать этой трудности, применялась и другая процедура, когда величина скачка вычислялась по оценкам, которые основываются на двух непосредственно прилегающих друг к другу нестандартных, сдвинутых 24-х-часовых интервалах (12ч -12ч UT). В этом случае момент сильного землетрясения (11ч 23м UT) почти совпадает с границей между интервалами (12ч UT). Для расчета оценок в этом случае в процессе обработки данных производилась экстраполяция эфемерид орбит спутников на 12 часов. Эти два подхода дали достаточно близкие результаты (табл.1). Для окончательных оценок косейсмического скачка используются результаты второй процедуры.
![]() |
| Рис. 6 |
Чтобы дать численные оценки пресейсмического и постсейсмического сигналов, использовали следующий подход. Сначала путем визуального просмотра данных было обнаружено, что для большинства пресейсмических сигналов можно выбрать общую длительность около 15-20 дней. Подобным же образом для постсейсмических сигналов можно было выбрать также общую длительность (неожиданным образом) той же величины - 15-20 дней. Надо сказать, что такой выбор не является вполне однозначным. Например, для KLU, KBG и BKI можно выбрать приблизительно 25-дневную длительность пресейсмического сигнала. В то же время для ESSO и KLU можно выбрать для постсейсмического сигнала длительность порядка 35 дней. Тем не менее, мы полагаем, что выбранный нами вариант (общий для всех станций) является приемлемым. Для численной оценки амплитуд пресейсмического и постсейсмического сигналов были выбраны базовые временные интервалы на каждом графике, до или после сигнала соответственно. Медианные уровни для этих интервалов, указанные жирными горизонтальными линиями на рис.6, были выбраны как отсчетный уровень для численной оценки сигнала. На этой основе были определены амплитуды и длительности каждого пресейсмического и постсейсмического сигнала. Табл.2 дает нашу характеристику вида постсейсмических и пресейсмических сигналов (монотонный, импульсного вида, сложный или же отсутствует) и их численные параметры. Мы также сравниваем знаки пресейсмического и постсейсмического сигналов со знаком косейсмического скачка. Можно видеть прекрасное согласие для постсейсмического сигнала, в то время как для пресейсмического сигнала корреляции не видно. Мы также приводим значение полного скачка, определенного как разность упомянутых выше базовых уровней. Для канала TIG-E мы рассматриваем сигнал как слишком зашумленный для получения каких бы то ни было надежных оценок; для этой станции амплитуда косейсмического скачка пресейсмического и косейсмического сигнала принята условно равной нулю.
Анализ результатов
Средние скорости
Рассмотрим значение средних скоростей (табл.1). Следует отметить, что оценка скоростей для периода перед землетрясением приведена только для станций KLU и KMS. Для KMS не заметно ни косейсмического скачка, ни изменений скорости для периода перед и после землетрясения, поэтому мы приводим единую оценку по всему временному интервалу. Для KLU надо отметить различие скоростей для периодов перед и после землетрясения. Но основной объем данных о скоростях относится к периоду после землетрясения. Векторы скорости для этого периода были пересчитаны с использованием станции TIG в качестве фиксированной точки, и соответствующие векторы изображены на рис.1. Если сопоставить наблюдаемую картину с известными представлениями о структуре плит вокруг Камчатки, можно прийти к следующим предварительным заключениям:
1. Относительная скорость для пары точек KMS и TIG может быть связана с движением Североамериканской плиты относительно плиты Охотии; характер этого движения - почти чистое сжатие по направлению ЮЗ-СВ со скоростью около 1,8 см/год. Станция TIL очень близка к границе Североамериканской и Берингийской плит, и оценки жесткого перемещения плит, которые могли бы быть получены на основе пары TIL-TIG, могут быть искаженными. Все же, используя формально TIL как точку для плиты Берингия, по данным пары TIG-TIL можно оценить движение Берингии относительно Охотии как чистое сжатие со скоростью примерно 0,7 см/год по направлению ВЗ. Для пары TIL-KMS относительное движение характеризует перемещение Североамериканской и Берингийской плит, оно имеет характер косого сжатия со скоростью около 1,2 см/год по направлению СЮ.
2. Вектор перемещения станции BKI относительно TIG или TIL, в общем, соответствует тому, которое можно ожидать качественно на основе представления об упругой реакции плиты Берингия на ее сцепление с Тихоокеанской плитой (каплинг). А именно, край плиты Берингия увлекается в направлении ЗСЗ, и это перемещение имеет характер сдвига, причем, скорость перемещения близка к половине относительной скорости этих плит, равной приблизительно 8 см/год
3. Подобным же образом приблизительно одного характера перемещения станций PETP, MA1 и KBG по отношению к TIL качественно согласуется с тем, что можно ожидать на основе представлений об упругой реакции плиты Охотия на ее сцепление (каплинг) с субдукцируемой Тихоокеанской плитой. А именно, имеет место увлечение края плиты в направлении ЗСЗ, и характер деформации здесь - сжатие. Для станций KLU и ESSO относительное движение по отношению к TIG меньше и не имеет систематического характера; этот факт, в общем, согласуется с тем, что, исходя из упомянутой идеи каплинга, здесь следует ожидать намного меньшие амплитуды движения.
4. В конце 1997 г. имело место существенное и достаточно надежно определенное изменение скорости на станции KLU. Подобное же изменение, похоже, имело место и для станций ESSO, BKI и KBG, но оно не зафиксировано с достаточной уверенностью. С другой стороны, подобных изменений для станции KMS не наблюдается. (Напомним, что все движения на рис.2 определены относительно станции PETP). Характер отмеченных вариаций наводит на мысль, что все они связаны с сильным землетрясением 5 декабря 1997 г. Предварительно их можно ассоциировать с изменением характера каплинга Тихоокеанской плиты относительно плит Охотия и Берингия. Другое возможное объяснение - это различие между скоростью деформации края плиты для случаев почти полностью релаксировавшей, эффективно-вязкой астеносферы (перед сильным землетрясением) и эффективно-упругой астеносферы (сразу после сильного землетрясения).
Косейсмический скачок
Векторы косейсмического скачка (табл.1) изображены на рис.3 (станция PETP использована в качестве фиксированной точки). На том же графике мы приводим теоретические перемещения, которые были вычислены для упругого полупространства, в котором помещен точечный источник с характеристиками, соответствующими Гарвардскому решению CMT для землетрясения 5.12.1997 (табл.3). Согласие полностью приемлемо. Так же изучалась альтернативная модель протяженного источника, который имитировался сеткой (11x3) точечных источников размером 150x50 км, причем точечные источники были идентичными, а их суммарный тензор совпадал с Гарвардским CMT. При этом протяженный источник располагался вдоль субдукционной нодальной плоскости (N1 в табл.3) землетрясения 05.12.1997, которая падает под Камчатку. Эту нодальную плоскость можно выбрать вполне надежно на основе гипоцентров афтершоков, определенных местной сейсмической сетью. Для этого варианта теоретического источника согласие ожидаемых и наблюденных перемещений несколько хуже, чем для точечного.
Пресейсмический сигнал
Как уже отмечалось, идентификация пресейсмического сигнала на графиках рис.6 не является вполне однозначной: для него нельзя усмотреть единой формы временной функции. Это, скорее всего, означает, что он порожден не единственным источником. Однако тот факт, что удается выделить аномалии с сопоставимой длительностью порядка 15 дней и общим монотонным характером на нескольких каналах, позволяет нам в предварительном порядке считать, что произошло конкретное деформационное событие. В табл.2 приведены амплитуды пресейсмического сигнала, которые были определены относительно надежно для случаев монотонного пресейсмического сигнала, а также для случаев импульсного пресейсмического сигнала с сопоставимой длительностью. Для канала TIG N мы используем амплитуду монотонного пресейсмического сигнала с длительностью порядка семи суток. Картина векторов смещений дана на рис.4. Видно, что хотя станции с большими амплитудами пресейсмического сигнала примерно те же самые, что и с большими косейсмическими амплитудами, ориентация векторов совершенно иная.
Чтобы провести предварительную интерпретацию этих данных, мы предположили, что перемещение вызвано "медленным"землетрясением с длительностью порядка 15 дней, расположенным в центре форшокового роя, у ССВ края очага основного толчка. Мы провели формальную инверсию данных об амплитудах, рассматривая их как статические перемещения от сдвигового источника общего вида в упругом полупространстве. Результирующий источник имеет моментную магнитуду Mw =7,7; его нормализованный тензор приведен в табл.3 и на рис. 4. Восстановленный тензор очень близок к двойному диполю, а его ось сжатия ориентирована, хотя и несколько косо, поперек конвергентной границы плит, в общем, согласии с преобладающим режимом напряжения. Что же касается различия между расчетными и наблюденными перемещениями, то они довольно велики; но для первого приближения мы сочли результат приемлемым.
Мы также пытались подогнать те же самые данные симметричным тензором сейсмического момента общего вида с взрывной или имплозивной компонентой. В этом случае, к сожалению, решение метода наименьших квадратов оказалось неустойчивым. Однако, ориентировка наблюденных векторов перемещения качественно противоречит возможности существования заметной эксплозивной или имплозивной компоненты. Таким образом, известная гипотеза зоны предвестниковой дилатансии не поддерживается данными. В другом варианте анализа мы попытались переместить единичный точечный источник ближе к станции ESSO, где наблюдались наибольшие перемещения. Полученные решения, однако, не дали улучшения остаточной ошибки. В целом, можно полагать, что получено разумное первое приближение для параметров масштаба и ориентации источника пресейсмического сигнала. Решение обратной задачи для его локализации, а также возможная интерпретация в виде набора нескольких точечных источников планируется на будущее.
Постсейсмический сигнал
Идентификация постсейсмического сигнала на графиках рис.6 намного более надежна, чем для пресейсмического сигнала. Она, в частности, упрощается хорошей корреляцией знаков косейсмического и постсейсмического сигналов. Можно сделать вывод о существовании общей временной функции постсейсмического сигнала - это приблизительно экспоненциально затухающая монотонная растянутая ступенька, которая становится ненаблюдаемой примерно через 18 дней после события; характерное время для этой экспоненты составляет около 6 дней. Это наводит на мысль, что источник данного сигнала - это вполне определенный единственный источник, который не может сильно отличаться по ориентации и положению от события 05.12.1997. Амплитуды постсейсмического сигнала приведены в табл.2, а также на рис.5. Следует отметить, что станции с большими амплитудами постсейсмического сигнала в основном те же самые, что и станции с большими косейсмическими скачками, и что ориентация этих векторов очень близка. Чтобы провести интерпретацию этих данных, были рассмотрены две возможности. В первом случае мы предположили, что косейсмическое скольжение в очаге землетрясения затем продолжалось как медленное событие с характерной длительностью порядка 15 дней. Было принято, что координаты очага медленного землетрясения находятся в центре афтершокового роя очага 05.12.1997 г. Была проведена формальная инверсия амплитудных данных, которые связывали со статическими перемещениями от сдвигового источника общего типа. Результирующий источник имеет моментную магнитуду Mw =7,9, (то есть его сейсмический момент существенно больше, чем момент "быстрого землетрясения"), а его нормализованный тензор приведен в табл.3. На рис.5 он также приведен, вместе с соответствующими теоретическими перемещениями. Можно отметить, что восстановленный тензор близок к тензору главного толчка, как и можно было ожидать, и что качество подгонки вычисленных векторов относительно наблюденных является вполне приемлемым. Разместив точечный источник в северной части афтершокового роя, можно еще несколько улучшить качество подгонки. Вторая рассмотренная возможность заключалась в том, что асейсмическое скольжение могло произойти на продолжении плоскости разрыва очага 05.12.1997 г. вниз или вверх по падению, то есть либо на глубинах 50-90 км под побережьем, либо, наоборот, на глубинах 10-25 км вблизи глубоководного желоба. Разместив точечные источники с такими параметрами, мы получили гораздо худшее качество подгонки, чем в первом случае.
Полный скачок смещений
Из-за приблизительного совпадения тензоров "быстрого"землетрясения и постсейсмического сигнала, ориентация тензора сейсмического момента, которая восстанавливается по полному скачку, близка к ним (табл.3). Полный сейсмический момент, связанный со всей последовательностью событий с 15.11.1997 г. по 25.12.1997 г., соответствует моментной магнитуде 8. Следует отметить, что сумма скалярных сейсмических моментов трех упомянутых тензоров не совпадает с величиной, которая была получена для полного скачка. Это различие вполне объяснимо невысокой точностью оценок скалярного сейсмического момента, а также несовпадением мест и ориентировок тензоров-"компонент". Несмотря на эту проблему, мы считаем полезным дать ориентировочную оценку вкладов трех упомянутых компонент в полный сейсмический момент. Главный вклад (~ 45-50 %) дает постсейсмический сигнал; косейсмическое движение составляет около 35-40 %, остальное приходится на пресейсмический сигнал.
Обсуждение и выводы
Непрерывные измерения деформации земной поверхности станциями GPS в 1997-1999 годах в 9 точках на полуострове Камчатка выявили относительные движения между Тихоокеанской, Североамериканской и Евроазиатской плитами. Приведенные на рис.1 непрерывные скорости перемещения после землетрясения для станции GPS относительно станции TIG, которая расположена в относительной глубине субплиты Охотия, (которая является частью крупномасштабной Евроазиатской плиты), могут быть объяснены как относительные перемещения плит Тихоокеанская, Североамериканская, Охотия и Берингия. Однако, эти результаты нельзя рассматривать как истинные долгосрочные скорости. Данные несколько более низкого качества о скоростях перед землетрясением наводят на мысль, что скорости до и после землетрясения различаются. В частности, в одном случае станции KLU это различие относительно хорошо установлено. Это может быть указанием на изменение уровня сцепления (каплинга), связанного с сильным землетрясением 05.12.1997 г. Скорость, по видимому, была несколько менее перед землетрясением, чем после него, в согласии с циклической моделью напряжений и скоростей перемещения в сильно сцепленных зонах субдукции [9]. Скорости перемещения вне зоны субдукции на границах между плитами Североамериканская и Охотия, по-видимому, не подверглись влиянию сильного землетрясения и держались на постоянном уровне (станция KMS). Следует отметить, что представленная кинематическая картина весьма предварительна. Относительные перемещения пар предположительно жестких плит оцениваются по перемещениям единичных пар станций и не могут быть подтверждены независимым образом. Кроме того, для плиты Берингия обе имеющиеся станции TIL и BKI размещены вблизи ее границ, что может искажать результат. Перемещения станций BKI, KBG, PETP и MA1 качественно согласуются с ожидаемыми на основе модели упругой реакции плиты на сцепление между плитами (каплинг).
Как показано в работах [9,5], скорость конвергенции плит, связанная с сильными землетрясениями, по-видимому, контролирует режим напряжений в зоне субдукции сцеплений и вокруг нее. Океаническая плита и континентальная литосфера упруго реагируют на вариации во времени напряжений и скоростей деформации, связанных с сейсмическим циклом. Противоречия между высокой скоростью в Алеутско-Аляскинской зоне субдукции вблизи острова Кадьяк [8] и пренебрежимо малыми деформациями в зоне островов Шумагина [7,6] объяснялись как высокая скорость деформации в начале сейсмического цикла, заданного Аляскинским землетрясением 1964 г., и низкой скоростью деформации в середине или поздней части цикла в случае зоны Шумагина. В нашем случае мы имеем данные о скоростях деформации для определенного участка плиты, и они показывают подобным же образом существенные изменения между концом одного межсейсмического периода и началом другого.
Косейсмические деформации, связанные с крупным субдукционным землетрясением (Mw =7,8), находятся в прекрасном согласии с теми значениями, которые получаются при вычислении по дислокационной модели, использующей опубликованное Гарвардское решение для тензора момента. Этот факт имеет важное значение: с одной стороны, он подтверждает надежность всей системы измерений и, особенно, вполне хорошую точность данных GPS, полученных в измерениях на коротких интервалах времени. С другой стороны, этот факт означает, что и само Гарвардское решение для тензора момента является надежной оценкой истинного сейсмического тензора момента очага землетрясения.
Выявленные пресейсмические движения являются необычно хорошо выраженными. Во-первых, они наблюдаются на заметном числе станций и компонент. Во-вторых, временные функции сигнала на различных станциях и компонентах и не являются вполне идентичными, тем не менее, имеют сопоставимые длительности и относительно простую однополярную или импульсообразную форму. В-третьих, их амплитуда весьма велика. В нашей весьма предварительной интерпретации они соответствуют одиночному медленному землетрясению типа двойного диполя с Mw =7,7. Если же провести интерпретацию более детально, то, по-видимому, этот источник можно расщепить на два или даже три и уточнить их положение. Однако, крайне невероятно, что суммарный сейсмический момент будет снижен более, чем в три раза. Интерпретация пресейсмического сигнала как точечного источника указывает, что источник типа двойного диполя для очага этого медленного процесса является относительно приемлемым. В то же время данные плохо согласуются с идеей существенной компоненты типа эксплозии/имплозии, например такой, которая предлагается известной моделью предвестниковой дилатансии. В целом, можно сказать, что нам посчастливилось наблюдать и, постфактум, идентифицировать истинный среднесрочный деформационный предвестник сильного землетрясения.
Постсейсмические движения, в общем, имеют гораздо более обыкновенный характер. Они хорошо соответствуют идее медленного крипового продолжения скольжения по площадке очага "быстрого"землетрясения с сохранением направления скольжения. Суммарное движение также очень велико и превышает величину для "быстрого" землетрясения. Предварительная проверка показывает, что маловероятен вариант интерпретации постсейсмического сигнала на основе идеи распространения процесса скольжения вдоль поверхности контакта плит наружу, за пределы площадки очага быстрого землетрясения, в направлениях вниз по падению либо вверх по падению.
Список литературы
Гусев А.А., Левина В.И., Салтыков В.А., Гордеев Е.И. Сильное Кроноцкое землетрясение 5 декабря 1997 года: основные данные, сейсмичность очаговой зоны, механизм очага, макросейсмический эффект // Кроноцкое землетрясение на Камчатке 5 декабря 1997 г. Предвестники, особенности, последствия. Петропавловск-Камчатский: КГАРФ, 1998. С. 32-54.
Гусев А.А., Павлов В.М. Предварительное определение параметров высокочастотного излучателя в очаге Кроноцкого землетрясения 5 декабря 1997 г. с М=7,5-7,7 // Кроноцкое землетрясение на Камчатке 5 декабря 1997 г. Предвестники, особенности, последствия. Петропавловск-Камчатский: КГАРФ, 1998. C. 68-79.
Argus D.F., and M.B. Heflin. Plate motion and crustal deformation estimated with geodetic data from the Global Positioning System // Geophys. Res. Lett. 1995. V. 22. P. 1973-1976.
DeMets C., Gordon R.G., Argus D.F, and Stein S. Effect of recent revisions to the geomagnetic reversal time scale on estimates of current plate motions // Geophys. Res. Lett.. 1994. V. 21. P. 2191-2194.
Klotz J., Angermann D., Michel G.W., Porth R., Reigber C., Reinking J., Viramonte J., Perdomo R., Rios V.H., Barrientos S., Barriga R., and Cifuentes O. GPS-derived deformation of the Central Andes including the 1995 Antofagasta Mw =8.0 Earthquake // Pure and Appl. Geophys. 1999. V. 154 . P. 709-730,
Larson K.M., and Lisowski M. Strain accumulation in the Shumagin Islands: Results of initial GPS measurements // Geophys. Res. Lett. 1994. V. 21. P. 489-492.
Lisowski M., Savage J.C., Prescott W.H, and Gross W.K.. Absence of strain accumulation in the Shumagin seismic gap, Alaska, 1980-1987 // Journ. Geophys. Res. 1988. V. 93. P. 7909-7922,
Savage J.C., Svarc J.L., and Prescott W.H. Deformation across the Alaska-Aleutian subduction zone near Kodiak // Geophys. Res. Lett. 1999. V. 26. P. 2117-2120.
Taylor M..A.J., Zheng G., Rice J.R, Stuart W.D., and Dmowska R. Cyclic stressing and seismicity at strongly coupled subduction zones // Journ. Geophys. Res. 1996. V. 101. P. 8363-8381.





