| Скачать .docx |
Реферат: Ориентирование на местности с помощью наземной навигационной аппаратуры
Ориентирование на местности с помощью наземной навигационной аппаратуры
Наземная навигационная аппаратура, которой оснащены многие виды боевых и специальных машин, предназначена для непрерывной автоматической регистрации местоположения движущейся машины и направления ее движения. Она используется при вождении колонн и одиночных машин по заданному маршруту главным образом в условиях, трудных для ориентирования: на местности, бедной ориентирами, и при плохой видимости. Эта аппаратура может быть также использована для нанесения на карту не обозначенных на ней дорог, колонных путей, зон затопления и для определения местоположения боевых порядков подразделений.
Наземную навигационную аппаратуру подразделяют на два типа. Первый тип – координаторы, выдающие информацию о текущих координатах и дирекционном угле курса движущейся машины в числовом виде. Второй тип – курсопрокладчики, выдающие эту информацию как в числовом, так и в графическом виде, прочерчивая на карте путь, проходимый машиной. Название типа аппаратуры происходит от названия одного из важнейших узлов – счетно-решающего устройства. В аппаратуре первого типа он называется координатором, второго типа – курсопрокладчиком.
В дальнейшем будем рассматривать устройство и эксплуатацию, главным образом, этого типа аппаратуры.
Принцип определения текущих координат движущейся машины
Работа навигационной аппаратуры сводится к непрерывному измерению проходимого машиной пути и днрекционного угла направления движения и вычислению на основе этих данных координат местоположения движущейся машины.
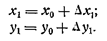
Допустим, движение машины начинается из точки О, координаты которой х0 и у0 известны, например определены по карте. Двигаясь прямолинейно, машина переместилась в точку. Ее координаты Х и у.
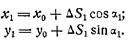
Из рисунка видно, что прямоугольные координаты машины в точке / будут:
Приращения координат А* и Аг/ зависят от длины пути, пройденного машиной, и направления ее движения. Они вычисляются по формулам:
![]()

Таким образом, текущие координаты движущейся машины равны алгебраической сумме координат начальной точки и приращений Ах и Ау, вычисленных аппаратурой в процессе движения машины от начальной точки до данной.
Основные приборы навигационной аппаратуры
Для решения указанных выше уравнений ННА типа «координатор» имеет следующие основные приборы:
—датчик пути, который непрерывно определяет величину приращения пройденного пути AS;
—датчик курса, обеспечивающий определение дирекционного угла а направления движения машины в каждый момент времени;
– счетно-решающее устройство, которое непрерывно вычисляет прямоугольные координаты местоположения машины по данным, поступающим в него от датчиков пути и курса.
Принципиальная схема такой аппаратуры показананиже.
Курсопрокладчик кроме этих приборов имеет еще построительный механизм и планшет, на котором закрепляется карта. Карандаш построительного механизма, перемещаясь по планшету, указывает местоположение машины и вычерчивает путь ее следования.

Датчик пути представляет собой электромеханический прибор, учитывающий путь, проходимый машиной, и вырабатывающий соответствующий ему электрический сигнал. С ходовой частью машины датчик связан гибким валиком, число оборотов которого пропорционально проходимому машиной пути. Энергия механического вращения валика преобразуется в электрический сигнал с помощью так называемого сельсина-датчика. Этот сигнал и поступает в счетно-решающее устройство.
На величину пути, показываемую датчиком, влияют рельеф местности и дорожные условия. Движение машины по крутым склонам, пробуксовка или скольжение колес по грунту, отклонение давления в шинах колес от нормального и некоторые другие причины приводят к тому, что путь, показываемый датчиком, не соответствует действительному расстоянию, проходимому машиной. Поэтому для того чтобы получить действительное значение пути, пройденного машиной, в показания датчика пути необходимо ввести поправку – корректур упути
Датчиком курса служит гироскопический курсоуказатель, принцип устройства которого такой же, как и гирополукомпаса.
До начала движения машины на шкале «Курс» устанавливают отсчет, равный дирекционному углу а продольной оси машины. При изменении направления оси машины в процессе движения датчик курса подает в счетно-решающее устройство электрический сигнал, пропорциональный изменению курса.

Счетно-решающее устройство постоянно определяет значения sin и cos он, перемножает S, на sinat и cos хг и передает полученные значения приращений координат, на шкалы координат х и у.
В аппаратуре типа «курсопрокладчик» вычисленные счетно-решающим устройством приращения координат поступают в построительный механизм, карандаш которого перемещается на отрезки, равные приращениям координат в масштабе карты, укрепленной на планшете.
Счетно-решающее устройство типа «координатор» состоит из синусно-косинусного, множительного и шкального механизмов.
Синусно-косинусный механизм автоматически определяет численные значения синуса и косинуса дирекционного угла направления движения машины. Он представляет собой поворачивающийся диск, на котором укреплен палец, связанный с двумя каретками Кх и Ку. В целях ввода корректуры пути расстояние между центром диска и пальцем может меняться.
Если по сигналу от гирокурсоуказателя диск повернется на угол а, то каретка Кх под действием пальца переместится на величину, равную косинусу дирекционного угла машины, а каретка Kv – синусу этого угла. Каретки механически связаны с множительным механизмом.

Множительный механизм предназначен для непрерывного умножения приращений пути ASна cos а и sin а. Он обычно выполняется в виде двух одинаковых фрикционов: один для определения Ах, второй – Ау Электрический сигнал, поступающий от датчика пути, с помощью сельсина-датчика счетно-решающего устройства преобразуется в механическое вращение диска / с числом оборотов, пропорциональным пути, проходимому машиной. Это вращение передается на валик 3 посредством промежуточного шарика 2, заключенного в обойму, который изменяет свое положение на диске под воздействием линейного перемещения одной из кареток синусно-косинусного механизма. Скорость вращения валика прямо пропорциональна произведению скорости вращения диска на расстояние шарика от центра диска. А это расстояние для одного фрикционного механизма пропорционально синусу дирекционного угла машины, а для другого – косинусу. Таким образом, угловая скорость вращения валика пропорциональна приращению соответствующей координаты.
При перемещении шарика относительно центра диска с одной его стороны на другую валик фрикционного механизма будет вращаться в обратном направлении. Тем самым учитываются знаки приращений.
Шкальный механизм предназначен для интегрирования приращений координат, поступающих из множительного механизма, а также для установки и считывания координат, дирекционного угла и корректуры пути.
Точность определения местоположения машины с помощью ННА зависит от приборных ошибок и погрешностей в определении исходных данных.
Основной причиной приборных ошибок является уход главной оси гироскопа. Считается допустимым, если он не превышает 35 делений угломера за час. Ошибки в работе счетно-решающего устройства на точность работы аппаратуры практически не влияют.
Величина ошибок, обусловленных уходом главной оси гироскопа и погрешностями определения исходного дирекционного угла и корректуры пути, тем больше, чем длиннее маршрут. Практика показывает, что на коротких маршрутах аппаратура позволяет определять местоположение машины с ошибкой 0,5–0,7% пройденного пути. При движении в течение 3–4 ч ошибка составляет 1,5–2% пройденного пути. Если же во время движения, хотя бы через каждый час, проверять работу аппаратуры по имеющимся на местности и обозначенным на карте ориентирам и вводить соответствующие поправки в установку дирекционного угла, корректуры пути и текущие координаты, то при движении на значительные расстояния ошибка определения координат аппаратурой не превысит 1,5% пройденного пути.
Подготовка к ориентированию
Подготовка к ориентированию на местности с помощью навигационной аппаратуры включает:
—осмотр и запуск аппаратуры; – балансировку гироскопа;
—проверку установки визирного устройства машины;
—изучение маршрута движения и подготовку карты;
—подготовку исходных данных;
—установку исходных данных на координаторе.
1. Осмотр и запуск аппаратуры
При осмотре аппаратуры необходимо установить, нет ли на приборах механических повреждений, проверить четкость работы кнопок установки координат и работу механизма установки исходного дирекционного угла, убедиться в исправности лампочек подсветки шкал координатора.
Включение и выключение аппаратуры производят только в неподвижной машине с помощью выключателей, находящихся на пульте управления. Перед тем как включить аппаратуру, надо убедиться, что напряжение бортовой сети не менее 23 В, и затем перевести выключатель «Преобр.» в положение «Включено», при этом загорятся лампочки подсветки шкал координатора. Спустя 10–12 мин поставить в положение «Включено» выключатель «Система». Выключение аппаратуры производят в обратном порядке, переводя выключатели «Система» и «Преобр.» в положение «Выключено».
2. Балансировка гироскопа курсоуказателя
Балансировка гироскопа курсоуказателя имеет целью так отрегулировать работу азимутального корректирующего устройства, чтобы в процессе движения машины уход главной оси гироскопа был минимальным.

Балансировка гироскопа производится при поступлении машины в часть, при перемене района эксплуатации аппаратуры более, чем на 4° по широте и при обнаружении неточностей в показаниях координат местоположения машины и курса.
Для балансировки гироскопа на пульте управления имеются два потенциометра – широтной балансировки и поправочной балансировки. Шкала широтного потенциометра проградуирована в градусах географической широты от 0до 90°. Шкала поправочного потенциометра проградуирована на 60делений с оцифровкой через 10делений.
Скорость ухода главной оси гироскопа в неподвижной машине и при ее движении неодинакова. Поэтому балансировку гироскопа обычно выполняют сначала грубо в неподвижной машине, а потом более точно – в движущейся.

Номер деления ip , который необходимо установить на шкале поправочного потенциометра, рассчитывают по формуле
![]()
Для балансировки в неподвижной машине на шкале широтного потенциометра устанавливают географическую широту места. Включают аппаратуру, поправочный потенциометр ставят в положение «О», а на шкале «Курс» устанавливают угол 0–00. Спустя 5 мин по шкале «Курс» фиксируют уход гироскопа. После этого поправочный потенциометр ставят в положение «60», стрелку на шкале «Курс» возвращают в нулевое положение и вновь определяют уход гироскопа за 5 мин.
Определить уход гироскопа в движущейся машине было бы просто, если бы удалось поставить продольную ось машины после движения по какому-либо выбранному маршруту точно в такое же положение, какое она занимала до движения. Тогда разность отсчетов по шкале «Курс» до и после движения и была бы уходом гироскопа за время движения. Однако поставить машину точно в прежнее положение затруднительно. Поэтому уход гироскопа в движении определяют следующим образом.
Выбирают на местности такую точку А, чтобы с нее хорошо был виден какой-либо удаленный ориентир В. Направление АВ принимают за начальное. Устанавливают машину на точке А, включают гирокурсоуказатель л определяют направление продольной оси машины относительно начального направления. Для этого с помощью визирного устройства машины измеряют угол авиз – На шкале «Курс» устанавливают отсчет, равный оси:
![]()
После 15–20-минутного движения по маршруту, начертание которого желательно выбирать в виде восьмерки, машину вновь устанавливают на точку А и записывают отсчет по шкале «Курс». Затем визируют на тот же ориентир В и определяют действительное направление продольной оси машины. Разность ак является величиной ухода гироскопа за время движения.
За 30 мин движения уход гироскопа подсчитывают по формуле
![]()
где / – время движения в минутах.
Пробег повторяют еще два раза, каждый раз устанавливая свой аоои и подсчитывая Да.
Из трех заездов определяют среднюю величину ухода гироскопа, которая не должна превышать 20дел. угл. за 30 мин. При большей величине ухода шкалу поправочного потенциометра необходимо повернуть по ходу часовой стрелки, если Даимеет положительное значение, и против хода – при отрицательном Да. Поворачивать потенциометр следует на угол из расчета 5–6дел. угл. за 30 мин на одно деление шкалы потенциометра.
3. Проверка визирного устройства машины
Оптическая ось визирного устройства при установке вращающейся башенки в положение 0–00на угломерной шкале должна быть параллельна продольной оси машины. Соблюдение этого непременного условия проверяется в том случае, когда при допустимом уходе главной оси гироскопа аппаратура выдает ошибочные координаты местоположения машины, а также после ремонта вращающейся башенки боевой машины и при замене оптического прибора.
Проверка визирного устройства производится следующим образом.
На ровной дороге выбирают прямолинейный участок длиной около 1000 м и выставляют вехи в его концах. На одной из этих точек устанавливают машину, запускают гироскоп и ставят нулевые отсчеты на шкалах х и у. С помощью визирного устройства определяют угол визирования на противоположную веху и вычисляют направление продольной оси машины аосн :
![]()
Полученное значение угла устанавливают на шкале «Курс» и с максимальной скоростью, чтобы исключить ошибки, обусловленные уходом гироскопа, проходят весь участок и над второй вехой снимают отсчеты со шкал х и у. Если угол рассогласования между осью визирного устройства и продольной осью машины отсутствует, то отсчет на шкале у останется равным нулю. В противном случае отсчет будет отличным от нуля.
![]()
Знак Лр определяется знаком Ау. Например, отсчет на шкале 99990 м означает, что Ау– – 10 м, при отсчете 00010 Ау=+ 10 м.

Угол рассогласования оптической оси визирного устройства с продольной осью машины Др, как это видно из рис. 82, может быть определен по формуле
Для повышения точности определение угла рассогласования производят 3–4 раза и вычисляют его среднее значение. Если оно превышает допуск, то отсчетную шкалу угломерного устройства перемещают на вычисленный угол.
4. Изучение маршрута движения и подготовка карты
Для выдерживания маршрута движения с помощью навигационной аппаратуры обычно используют карту масштаба 1: 100 000, а для подготовки исходных данных, а также для нанесения на карту колонных путей, не обозначенных на ней дорог, зон разрушений и пр. – масштаба 1: 50 000.
Так же, как и при подготовке к движению без навигационной аппаратуры, предстоящий маршрут изучают по карте и на нее наносят данные, облегчающие ориентирование в пути. Дополнительно на карте подписывают координаты ориентиров, находящихся на пути движения или в непосредственной близости от него. Для контроля в пути работы гирокурсоуказателя на карте подписывают также дирекционные углы прямолинейных участков дорог, просек, линий электропередач, каналов и других линий местности, вдоль которых проходит маршрут.
Для повышения точности глазомерного нанесения на карту точек поих координатам, снятым со шкал прибора в процесседвижения, километровую сетку карты целесообразно разбить на более мелкие квадраты, например со стороной 200 м, и оцифровать полученные линии. Такая сетка особенно необходима для того, чтобы быстро, на глаз наносить по координатам новые дороги, колонные пути, границы зон разрушений, боевые порядки подразделений и т.п.
5. Подготовка исходных данных
Подготовка исходных данных обычно производится непосредственно перед началом движения. Она включает выбор исходной точки и определение ее координат, определение исходного дирекционного угла продольной оси машины и коэффициента корректуры пути.
Выбор исходной точки и определение ее координат. Исходная точка должна надежно опознаваться на карте и на местности и позволять машине наехать на нее или подъехать вплотную. Кроме того, желательно, чтобы с исходной точки был виден какой-либо ориентир, находящийся на расстоянии 2–3 км от нее и обозначенный на карте. Наличие ориентира позволяет наиболее точно определить исходный дирекционный угол. В качестве исходной точки обычно выбирают геодезические пункты, центры перекрестков дорог, мостов, водонапорные башни, отдельные строения. Координаты исходной точки определяют но крупномасштабной карте с возможно большей точностью с помощью поперечного масштаба.
Определение исходного дирекционного угла. Исходным дирекционным углом называется угол в исходной точке между северным направлением вертикальной линии сетки карты и продольной осью машины. Если машина на исходной точке установлена так, что ее продольная ось совпадает с направлением на выбранный ориентир, то исходный дирекционный угол аисх будет равен дирекционному углу направления на ориентир, который предварительно измерен по карте. Однако точно и быстро совместить ось машины с направлением на ориентир трудно. Поэтому для определения исходного дирекционного угла поступают так.
С помощью хордоугломера измеряют по карте дирекционный угол направления на ориентир. Машину устанавливают так, чтобы центр ее находился над исходной точкой. Когда наехать на точку нельзя, машину устанавливают возможно ближе к ней и в створе с направлением на ориентир. Используя визирное устройство машины, измеряют угол между продольной осью и направлением на ориентир.
Исходный дирекционный угол будет равен
![]()
В том случае, когда в районе исходной точки нельзя выбрать ориентир, удаленный на 2–3 км, а также при подготовке навигационной аппаратуры к работе ночью и в условиях ограниченной видимости, для определения исходного дирекционного угла используют буссоль, которая входит в комплект навигационной аппаратуры. Для этого буссоль устанавливают в 50–60 м от машины и определяют магнитный азимут на центр визирного устройства. Чтобы получить дирекционный угол направления машина – буссоль, измеренный азимут Ам изменяют на 30–00и вводят поправку направления П, взятую с карты. После этого по визирному устройству машины берут отсчет на буссоль, т.е. определяют авиз .Исходный дирекционный угол 30–00 вводится в формулу со знаком +, если Ам меньше 30–00, и со знаком –, если больше. Учитывается также и знак поправки направления.
Например, в случае, показанном на рис. 84, исходный дирекционный угол подсчитывается по формуле
![]()
Все измерения, необходимые для вычисления исходного дирекционного угла, выполняют с особой тщательностью, так как погрешность в определении приводит ктому, что навигационная аппаратура в процессе движения не будет выдавать с необходимой точностью координаты местоположения машины. Так, например, за счет ошибки в определении и установке на шкале «Курс» исходного дирекционного угла в 10дел. угл. одна из координат будет вычислена аппаратурой с ошибкой в 1 км, если машина пройдет 100 км без корректирования курса. Каждое из измерений повторяют 2–4 раза и за окончательное значение измеренной величины берут среднее из результатов всех измерений.

Определение коэффициента корректуры пути производится на прямолинейном участке длиной 500–1000 м, сходном по характеру рельефа и грунта с предстоящим маршрутом движения. Если движение будет производиться в резко различных дорожных условиях, например по асфальту, песку, вязкому грунту и т.п., то корректуру пути надо определять для каждого дорожного условия.
Концы участка обозначают кольями, а при необходимости – вехами. Длину участка дважды измеряют мерной лентой. Окончательное значение длины S получают как среднее из результатов измерений, которые не должны различаться между собой более чем на 0,001S.
Затем устанавливают машину на первой точке и таким же способом, как и при проверке визирного устройства, определяют направление продольной оси машины. После включения аппаратуры на шкале «Курс» устанавливают отсчет, равный аоои , а на шкалах корректуры пути и координат – нулевые отсчеты.
По измеренному участку совершают 4–5рейсов в прямом и обратном направлениях, снимая показания со шкал координат X и У. Если уход гироскопа и угол рассогласования между продольной осью машины и оптической осью устройства в пределах допустимых значений, то при движении от первой точки ко второй курс машины равен 0, а от второй вешки- к первой – 30–00 Поэтому координата у не получит приращения, а приращение координаты х будет равно длине участка.
Разность между приращением координаты х и расстоянием, измеренным мерной лентой, представляет собой ошибку в определении длины данного участка пути аппаратурой.
Для того чтобы получить действительное расстояние, пройденное машиной, в аппаратуре предусмотрено автоматическое введение корректуры пути. Конструктивно это осуществляется путем изменения расстояния между центром диска и пальцем синусно-косинусного механизма.
Коэффициент корректуры пути К вычисляют по формуле
![]()
где S– длина пути, измеренная лентой;
SпР – длина пути, определенная аппаратурой как среднее значение приращений координаты х.
Коэффициент корректуры пути с учетом его знака устанавливают вращением ручки «Корректура пути» в направлении от минусовых значений к плюсовым. После этого делают контрольный рейс по тому же участку, вновь определяя значение коэффициент корректуры пути. Разность не должна превышать 0,2%. В противном случае определение корректуры пути повторяют,
Установка координат и дирекционного угла
Вначале устанавливают координаты исходной точки кнопками шкального механизма, которые расположены на лицевой стороне координатора. Для этого переводят ручкупереключателя в положение X или Y, в зависимости от того, какую координату надо ввести, и, открыв защитную крышку, набирают цифры координат справа налево.
Исходный дирекционный угол вводят с помощью ручки «Установка курса», поворачивая ее вправо или влево. При повороте ручки стрелки шкал грубого и точного отсчетов начинают вращаться тем быстрее, чем больше угол поворота ручки. Вначале устанавливают против соответствующего деления стрелку шкалы грубого отсчета, а затем, уменьшив угол поворота ручки, подводят на требуемое деление стрелку шкалы точного отсчета.
Ориентирование на местности с помощью координатора
Во время движения по маршруту работа с навигационной аппаратурой заключается прежде всего в контроле правильности выработки ею координат местоположения машины и курса Такой контроль осуществляется путем сличения координат х и у ориентиров и курса, снятых со шкал координатора, с известными координатами и дирекционными углами, которые были определены но карте при ее подготовке. Проверка правильности работы аппаратуры особенно необходима в самом начале движения,) первых контрольных ориентиров.
Как показывает практика, причиной ошибок в координатах, выдаваемых аппаратурой, при движении в одинаковых дорожных условиях чаще всего является неточное определение исходного дирекционного угла. Поэтому в случае обнаружения ошибок в координатах, превышающих 1–2% пройденного пути, следует использовать первую же возможность для того, чтобы определить дирекционный угол продольной оси машины, применяя для этого те же способы, что и на исходной точке. Если обстановка не позволяет подготовить новые исходные данные, то определяют поправку, которую нужно ввести в дирекционный угол или корректору пути. Для этого, используя 2–3 ориентира, находящиеся на маршруте, устанавливают характер ошибок.
Если точки местоположения машины, наносимые на карту по показаниям аппаратуры, получаются в стороне от маршрута и все более удаляются от него по мере продвижения машины, то это свидетельствует о неверной установке курса. В том случае, когда при прохождении через ориентир полученное на карте местоположение машины находится на маршруте, но дальше или ближе этого ориентира, то неправильно установлена корректура пути. Чаще же всего одновременно действуют ошибки и в курсе и в расстоянии. Поэтому расчет поправок ведут следующим образом.
После выхода машины к какому-либо ориентиру, например к точке М, наносят на карту ее местоположение по показаниям аппаратуры. Допустим, что оно оказалось в точке М'. Спроектировав эту точку на прямую, соединяющую ориентир с исходной точкой, по перпендикуляру к ней измеряют составляющие fsошибки и удаление S машины от исходной точки.

Знаки поправок определяют по положению точки М' относительно маршрута и ориентира. Если М' находится левее маршрута,
Из геометрических зависимостей непосредственно вытекают формулы поправок: то поправка в курс положительна, правее – отрицательна. Если эта точка не дошла до ориентира, то поправка в корректуру пути положительна, перешла его – отрицательна.
Вычисленные таким образом поправки с учетом их знака вводят в курс и корректуру пути, а на шкалах координат устанавливают координаты ориентира, снятые с карты. После этого продолжают движение.
В процессе движения обстановка может заставить значительно отклониться от намеченного направления. В этом случае для определения курса, по которому надо продолжать движение, на карту наносят по. координатам, снятым со шкал аппаратуры, точку местоположения машины и измеряют дирекционный угол направления с нее на последующий или конечный пункт маршрута. Водитель вручную устанавливает на указателе курса, расположенного на приборной доске, индекс подвижного кольца против деления, соответствующего этому дирекционному углу, разворачивает машину так, чтобы стрелка указателя находилась против индекса, и ведет машину по этому курсу.
На участках маршрута, где меняются дорожные условия, например при сходе с асфальтированного шоссе на грунтовую дорогу, следует изменить коэффициент корректуры пути.
На малых привалах и при остановках машины продолжительностью более 10 мин для устранения влияния ухода оси гироскопа на работу навигационной аппаратуры необходимо записать отсчет по шкале «Курс» и перед возобновлением движения восстановить этот отсчет.
При использовании навигационной аппаратуры для нанесения на карту колонного пути, новой дороги и пр. со шкал координатора считывают координаты поворотных точек и наносят эти точки на карту. При этом не стремятся точно зарисовать все изгибы Главное внимание обращают на нанесение основных поворотных точек, дорожных сооружений, ориентиров и путей объездов препятствий. Для контроля правильности нанесения этих точек целесообразно использовать определенные по спидометру расстояния до них от исходной точки маршрута или от контрольных ориентиров.
Если к объекту, положение которого требуется определить по карте, подъехать нельзя, то по визирному устройству машины берут отсчет на этот объект и измеряют расстояние до него. Дирекционный угол направления на объект будет равен сумме отсчета по шкалам курса и визирного устройства. После этого по координатам наносят на карту точку стояния и на направлении, соответствующем вычисленному дирекционному углу, проведенном через эту точку, откладывают расстояние до определяемого объекта. Положение объекта можно определить также путем засечки с двух точек, нанесенных на карту по координатам, снятым со шкал аппаратуры.
Использование аппаратуры на стыке координатных зон. Навигационная аппаратура позволяет определять координаты и курс машины только в пределах одной координатной зоны. При переходе машины в соседнюю зону готовят новые исходные данные, соответствующие системе координат этой зоны, либо пользуются дополнительной координатной сеткой.
Новые исходные данные определяют теми же способами, что и перед началом движения. Это делают после того, как машина подойдет к какому-либо ориентиру, обозначенному па листе карты соседней зоны.
Дополнительной координатной сеткой пользуются, как правило, в тех случаях, когда маршрут почти полностью лежит» в пределах одной зоны и лишь небольшой его участок у начального или конечного пункта находится в соседней зоне.
Особенности подготовки к работе и эксплуатации курсопрокладчика
Подготовка к работе навигационной аппаратуры этого типа включает в основном те же действия, что и при использовании координатора. Однако наличие в аппаратуре построительного механизма, который вычерчивает на карте путь, проходимый машиной, и иная конструкция шкального и некоторых других механизмов обусловливают ряд особенностей в ее подготовке к работе и эксплуатации. Рассмотрим важнейшие из этих особенностей.
Подготовка карты и установка ее на планшете. При ориентировании с помощью курсопрокладчика пользуются отдельными, не склеенными между собой, листами карты. Их раскладывают по номенклатурам и нумеруют в порядке использования на маршруте.
Маршрут на карте поднимают коричневым цветом, проводя тонкую прерывистую линию в 2–3 мм от оси маршрута с западной и северной его сторон, чтобы в дальнейшем был четко виден след карандаша построительного механизма. Для контроля правильности работы аппаратуры в движении определяют и подписывают на карте дирекционный угол ближайшего к исходной точке прямолинейного участка маршрута и координаты нескольких ориентиров, находящихся на маршруте. Первый контрольный ориентир должен быть расположен вблизи исходного пункта.
В комплект курсопрокладчика для установки карты входят два планшета. На первый планшет укладывают лист карты, на котором изображена исходная точка. При этом лист карты должен располагаться в строго определенном положении: северная его сторона должна быть обращена к верхнему краю планшета, а вертикальные линии километровой сетки должны совпадать с линиями, нанесенными на планшете, или быгь им параллельны. Чтобы удобнее было это сделать, верхнее и нижнее поля листа подгибают. После этого лист карты закрепляют пластинчатыми пружинами и планшет вставляют в курсопрокладчик. Таким же образом на второй планшет прикрепляют лист карты с продолжением маршрута движения.
Ввод данных в курсопрокладчик производится после включения аппаратуры, которое осуществляется только в неподвижной машине и в строгой последовательности, предусмотренной руководством по эксплуатации ННА.
Для установки и считывания исходных данных на лицевой панели курсопрокладчика расположена система шкал. Отсчет пройденного машиной пути, координат х, у и курса производится по двум шкалам: грубого отсчета и точного отсчета. Цена деления шкал грубого отсчета координат равна 1000 м, точного отсчета – 5 м. Цена деления шкал курса составляет соответственно 1–00 и 0–01. Стрелки шкал координат против нужного деления могут устанавливаться вращением маховичков «X» и «У» и, независимо от кинематики прибора, с помощью специальных барашков, находящихся на оси стрелок. Такие же барашки находятся и на оси стрелок шкал «Путь».
Ввод координат исходной точки на шкалы курсопрокладчика производится одновременно с установкой карандаша постройтель-ного механизма в исходную точку на карте. Для этого поступают следующим образом.
1.Ручку «Переключение масштабов» переводят в положение, соответствующее масштабу карты.
2.Маховичками «X» и «К» устанавливают карандаш в точку пересечения горизонтальной и вертикальной километровых линий, образующих левый нижний уголквадрата, в котором находится исходная точка.
3.Барашками на стрелках шкал X и У ставят координаты этого угла квадрата.
4.Перемещают карандаш в исходную точку вращением маховичков «X» и «К».
В результате на шкалах курсопрокладчика должны стоять те же значения координат исходной точки, какие были предварительно определены по карте. Это позволяет убедиться, что при определении координат исходной точки и их установке на шкалах не допущено ошибки.
Исходный дирекционный угол и корректуру пути вводят маховичками «Курс» и «Корректура пути» Для определения расстояния, пройденного машиной от исходной точки, на шкале «Путь» устанавливают нулевой отсчет.
Эксплуатация навигационной аппаратуры. Контролировать работу курсопрокладчиков в движении вследствие наличия построительного механизма и карты значительно проще, нежели аппаратуры типа «координатор». По следу карандаша, показывающему путь машины на карте, можно непосредственно видеть, с какой точностью работает аппаратура, а при необходимости легко определить величину и знак поправок, которые нужно ввести в курс, координаты, выдаваемые прибором, и в установку корректуры пути.
При подходе карандаша к краю планшета загорается красная лампочка «Выключение прокладки». Это служит сигналом, что необходимо заменить карту. Для замены карты ручку «Переключение масштабов» надо повернуть в положение «Выключено». При этом построительный механизм будет отключен, а счет координат местоположения машины счетно-решающим устройством будет продолжаться. Движение с выключенным построительным механизмом продолжается в течение времени, необходимого для того, чтобы машина вышла на участок маршрута, который изображен на соседнем листе карты. После этого машину останавливают, записывают координаты точки стояния и курс, и заменяют планшет на запасный, с заранее укрепленным на нем нужным листом карты. Карандаш построительного механизма устанавливают в точку, координаты которой были записаны, и, убедившись, что на шкале «Курс» отсчет не изменился, продолжают движение.
В том случае, когда по условиям обстановки сделать остановку для замены карты нельзя, для ориентирования на местности пользуются только показаниями шкал координат и курса, т.е. так же, как и при работе с координатором.
При использовании навигационной аппаратуры для привязки боевых порядков подразделения последовательно объезжают все привязываемые точки на максимально возможной по данному маршруту скорости, чтобы по возможности исключить ошибку, вызываемую уходом оси гироскопа. Однако на крутых поворотах скорость нужно снижать, иначе курсоуказатель не успевает обрабатывать углы поворота. После привязки всех точек машину устанавливают на ближайшую контурную точку, имеющуюся на карте, и определяют ее координаты. Сравнением координат этой точки, снятых со шкал курсопрокладчика и определенных по карте, осуществляется контроль привязки.