| Скачать .docx |
Реферат: Магнитометрические средства обнаружения
Магнитометрические средства обнаружения
Введение
Магнитометрические средства обнаружения предназначены для регистрации факта проноса в их чувствительной зоне предметов, выполненных из металлов или их сплавов.
1. Виды магнитометрических СО, принципы их действия
МСО различают по физическим принципам действия, заложенным в основу построения средств обнаружения, как то:
- с использованием эффекта переизлучения сигнала;
- с использованием эффекта биения частоты;
- с использованием эффекта самоиндукции;
- с использованием эффекта локального искажения магнитного поля Земли.
Рассмотрим кратко физическую суть изложенных принципов.
СО с использованием эффекта переизлучения сигнала. СОП содержит две катушки - передающую и приемную. На передающую катушку подается опорный сигнал, частота и амплитуда которого постоянны во времени. Посредством передающей катушки этот сигнал излучается в окружающую среду. За счет явления самоиндукции во встреченном на пути сигнала проводящем предмете наводится ЭДС, которая в свою очередь вызывает излучение этим предметом "вторичного" поля, т.е. имеет место переизлучение сигнала.
Переизлученный сигнал принимается приемной катушкой СОП. Для ослабления эффекта прямого наведения ЭДС на приемную катушку от передающей, катушки располагают под углом друг к другу или даже разносят в пространстве.
Данное МСО обладает селективностью - четко выраженной способностью различать объекты, изготовленные из различных металлов и сплавов, по фазе отраженного сигнала за счет оптимизации выбора частоты сигнала излучающей катушки.
Уровень сигнала, наводимого в приемной катушке, обратно пропорционален 6-7-й степени расстояния до обнаруженного предмета, т.е. при увеличении расстояния от приемной катушки до обнаруживаемого предмета в 2 раза уровень сигнала U в приемной катушке уменьшится более чем в 2 раза и его новая величина Uiбудет находиться в пределах:
![]()
СОП имеет четко выраженную диаграмму направленности. За счет этого он теоретически обладает максимальной помехоустойчивостью по сравнению с другими типами СО аналогичного назначения.
Схема применяется в подавляющем большинстве зарубежных СО. Обладает свойством обнаруживать объекты с минимальными размерами по сравнению с другими СО.
СО с использованием эффекта переизлучения сигнала, содержащее одну катушку индуктивности для передачи и приема сигналов. Это частный случай СОП. СОИН содержит только одну катушку индуктивности, возбуждаемую переменным током. При приближении катушки к металлическому предмету появляется переизлученный сигнал, который наводит в ней дополнительную ЭДС.
Уровень сигнала, наводимого в катушке, обратно пропорционален 6-й степени расстояния до обнаруженного предмета, т.е. при увеличении расстояния от катушки до обнаруживаемого предмета в 2 раза уровень сигнала U в катушке уменьшится более чем в 2 раза и его новая величина Uiсоставит:
![]()
СОИН сочетают в себе чувствительность и селективность к металлам СОП и простоту конструкции СОБ, который будет рассмотрен ниже. Недостаток - необходимость компенсации изменения параметров катушки индуктивности от температуры, так как в принципе действия СОИН заложено не только реагирование на полезный отраженный сигнал, но и на любое изменение параметров чувствительного элемента.
СО с использованием эффекта биения частоты. СОБ содержит два генератора, частоты которых при отсутствии внешних дестабилизирующих факторов равны.
Генераторы отличаются друг от друга тем, что частота первого стабильна и не зависит от внешних дестабилизирующих факторов, а частота второго может меняться.
Частоты генераторов поступают на устройство сравнения, выделяющее разностную частоту. Сигнал на выходе устройства появляется только в случае неравенства частот и он тем выше, чем больше это неравенство.
Изменение частоты второго генератора происходит за счет изменения параметров колебательного контура, определяющего частоту настройки генератора. Индуктивность колебательного контура может меняться за счет приближения последнего к металлическому предмету.
Таким образом, при отсутствии металла частоты генераторов равны и разностный сигнал равен нулю. Наличие металла приводит к перестройке контура не стабильного по частоте генератора и появлению разностного сигнала.
Уровень разностного сигнала обратно пропорционален 6-й степени расстояния от обнаруженного предмета, т.е. при увеличении расстояния до обнаруживаемого предмета в 2 раза уровень сигнала уменьшится более чем в 2 раза и его новая величина Uiсоставит:
![]()
По сравнению с другими типами МСО, СОБ обладает малой дальностью обнаружения вследствие эффекта паразитной синхронизации. Селекция по металлам отсутствует.
Рассмотренный принцип действия СО широко использовался в первых промышленных моделях миноискателей.
СО с использованием эффекта самоиндукции. Принцип действия СОИМ похож на СОП. Отличие заключается в том, что в СОП сигнал излучается и принимается непрерывно, например, в виде импульсной последовательности, а в СОИМ - в виде одиночных импульсов. В состав СОИМ обычно входят генератор импульсов тока, приемная и излучающая катушки, устройство коммутации и блок обработки сигналов.
Уровень сигнала, наводимого в приемной катушке, обратно пропорционален 4...6-й степени расстояния до обнаруженного предмета, т.е. при увеличении расстояния от приемной катушки до обнаруживаемого предмета в 2 раза уровень сигнала в приемной катушке уменьшится более чем в 2 раза и его новая величина будет находиться в пределах:
![]()
Практически отсутствует селекция по металлам. Существенный недостаток СОИМ в том, что он является источником помех импульсного характера.
СО с использованием эффекта локального искажения магнитного поля Земли. Принцип действия этого вида СО основан на явлении локального искажения магнитного поля Земли ферромагнитными материалами. Он обладает максимальной дальностью обнаружения. Это объясняется тем, что аналогом излучаемого поля для магнитометров является сильное однородное магнитное поле Земли, поэтому отклик на ферромагнитный предмет обратно пропорционален 3-й степени расстояния, т.е. при увеличении расстояния от катушки до обнаруживаемого предмета в 2 раза уровень сигнала в катушке уменьшится более чем в 2 раза и его новая величина 1 составит:
![]()
К недостаткам СОМ, как правило, следует отнести большие габаритные размеры и массу, а также невозможность обнаружения предметов из цветных металлов.
2. Основные характеристики МСО
Условно все МСО можно разделить на пассивные и активные. На практике в оперативных мероприятиях стараются применять пассивные МСО, т.е. такие, собственное излучение у которых отсутствует. Пассивные МСО значительно труднее обнаружить, а значит легче камуфлировать. Активные МСО применяют в тех случаях, когда не требуется их камуфлировать по излучению.
К активным МСО можно отнести СОП, СОБ, СОИН и СОИМ, к пассивным - СОМ.
Главное назначение МСО - поиск оружия. Поэтому, к основным характеристикам МСО можно отнести дальность обнаружения металлических предметов и помехоустойчивость.
Основные характеристики рассмотренных типов МСО сведены в морфологическую табл. 1.
Из табл. 1. видно, что наибольшую дальность обнаружения имеет пассивное средство СОМ, а наиболее помехоустойчивым является активное средство СОП. В то же время СОП позволяет определить вид металла, из которого изготовлен обнаруженный предмет.
На практике СОМ часто используется в камуфлируемой аппаратуре для обнаружения оружия. Такая аппаратура устанавливается скрытно и может работать длительное время в автономном режиме, так как собственное потребление СОМ незначительно или отсутствует. Благодаря пассивному характеру работы СОМ обнаружить такую аппаратуру по собственному излучению очень трудно. Наиболее важной характеристикой СОМ в этом случае является именно дальность обнаружения, так как специальные методы обработки сигналов позволяют существенно скомпенсировать чувствительность устройства к помехам.
Наиболее характерная область применения СОП - миноискатели. В этой аппаратуре идеально сочетаются сравнительно малые массогабаритные характеристики СОП с его высокой помехоустойчивостью. Дальность обнаружения не имеет существенного значения, так как мины часто устанавливают на малой глубине. Собственное излучение СОП в данном случае значения не имеет.
3. Характерные помехи при применении МСО и способы их компенсации
Условно помехи МСО можно разделить на внутренние и внешние. К внутренним помехам относятся помехи, создаваемые собственно работой МСО, и собственные шумы МСО. Для борьбы с внутренними помехами применяют различного рода экраны и развязки, используют комплектующие элементы с малым уровнем шума.
К внешним помехам можно отнести помехи от работы различного рода электрооборудования, а также помехи за счет естественного изменения магнитного поля Земли. Избавиться от внешних помех обычно удается путем пространственного разнесения МСО на расстояние L и их дифференциального включения.


В этом случае происходит взаимное вычитание сигналов помехи. Степень компенсации помех тем выше, чем дальше разнесены МСО и чем больше расстояние до источника помехи.
На рис. 2. показано изменение уровня сигнала на выходе дифференциального усилителя в зависимости от расстояния L2 от МСО до источника помехи при фиксированном расстоянии Lмежду МСО.
4. Особенности разработки и применения МСО
Как правило, конструкция активных МСО сложнее пассивных. При этом и массогабаритные характеристики активных МСО выше. Это объясняется прежде всего тем, что пассивные МСО работают в области низких и инфранизких частот часто без переноса спектра сигнала. Например, СОМ часто выполняют в виде катушки индуктивности с очень большим числом витков и сердечником из материала с возможно большей магнитной проницаемостью. Чувствительность СОМ пропорциональна количеству витков катушки, магнитной проницаемости сердечника и его длине. Все это приводит к увеличению массогабаритных характеристик СОМ.
Любую катушку индуктивности можно рассматривать как рамочную антенну. Действующую длину такой антенны можно вычислить по формуле
![]()
где X - длина волны; п - число витков катушки индуктивности; S -площадь витка.
Для рамки с сердечником можно записать:
![]()
где
- действующая длина рамочной антенны с магнитным сердечником; ца
- относительная магнитная проницаемость антенны;
![]()
где
- магнитная проницаемость сердечника;
- коэффи-
циенты, учитывающие зависимость между геометрическими размерами катушки и сердечника.

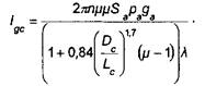
где ц - относительная магнитная проницаемость материала сердечника; Dc -диаметр сердечника; Ц-длина сердечника. Подставляя получим:

Проведем анализ с точки зрения зависимости lgc =f,
допуская: А.->оо, п-><» - рамка намотана в один слой.
В результате анализа можно придти к выводу, что при ц->оо длина антенны
![]()
Пусть ц-И, тогда ![]()
Проведем анализ с точки зрения зависимости lgc = f, допуская,что Lc = const.
В результате анализа можно придти к выводу, что при Dc ->0 длина антенны
/эс ->0.
Пусть Dc ->oo, тогда >дс -> «> ■
Проведем анализ с точки зрения зависимости lgc = f, допуская, что Dc = const, Dc i= Dc /Lc .
Очевидно, что для инфранизкочастотного диапазона с целью увеличения уровня сигнала на выходе чувствительного элемента необходимо увеличивать ее число витков
и одновременно применять сердечник возможно большей длины из материала с возможно большей магнитной проницаемостью. Диаметр сердечника при его фиксированной длине заметного влияния на уровень сигнала не оказывает.
Активные МСО работают в области сравнительно высоких частот, что позволяет изготовить сам чувствительный элемент со сравнительно хорошими массогабаритными характеристиками, так как с увеличением частоты появляется возможность уменьшить индуктивность катушки чувствительного элемента. При этом за улучшение названных характеристик приходится платить усложнением конструкции чувствительного элемента, так как часто здесь используется несколько катушек индуктивности, разнесенных в пространстве.
Главное назначение МСО - поиск оружия. Важнейший параметр огнестрельного оружия, влияющий на уровень полезного сигнала как активных, так и пассивных МСО - остаточная намагниченность оружия. В то же время остаточная намагниченность оружия -это единственный параметр, определяющий уровень полезного сигнала пассивных МСО. Характерными местами расположения магнитных масс огнестрельного оружия являются область дула и, как правило, диаметрально противоположная ей область - до 50%. Однако уровень полезного сигнала существенно зависит и от амплитуды колебания оружия при его переноске. В качестве примера можно привести увеличение уровня полезного сигнала от автомата Калашникова примерно в 3...5 раз при его проносе мимо МСО с амплитудой колебания его дула примерно на 0,1 м с частотой около 1 Гц.
5. Структурная схема МСО
Рассмотрим структурную схему МСО на примере СОМ.

Наиболее распространенным ЧЭ СОМ является катушка индуктивности. Типичное значение сигнала, снимаемого с ЧЭ, - порядка десятков микровольт в полосе частот от 0,1 до 10 Гц.
Выбор полосы не случаен. Выше было отмечено, что главное назначение МСО - поиск оружия. В подавляющем большинстве случаев СО применяют для негласного контроля за пересечением вооруженными людьми контролируемой зоны.
Движение с оружием совершается в определенном диапазоне скоростей и с интервалом не менее 1 м. Кроме того, при ходьбе оружие совершает еще и колебательные движения. Другими словами, границы полосы пропускания с учетом только скоростей движения и интервала: FH =0,5 Гц; F„=2 Гц.
Очевидный запас по границам частотного диапазона необходим для более надежной работы МСО, что подтверждается практикой.
Назначение полосового фильтра ПФ - формирование заданной полосы частот. Одним из важных параметров является крутизна спада характеристики фильтра вне полосы пропускания. Обычно эта величина составляет не менее 40 децибел на октаву, т.е. при изменении частоты вне полосы пропускания в 10 раз сигнал на выходе ПФ уменьшается в 100 раз.
Назначение УНЧ - усиление сигнала, снимаемого с выхода ПФ, до величины, достаточной для надежной работы ПУ. Обычно эту величину принимают равной не менее 1 В. Таким образом, коэффициент усиления УНЧ должен быть порядка 105 раз.
Назначение ПУ - выдача сигнала логического уровня при достижении полезным сигналом уровня срабатывания ПУ.
Назначение ИУ - выдача сигнала "Тревога" при поступлении на его вход с выхода ПУ логического сигнала соответствующего уровня.
6. Основы теории разработки магнитометрического средства обнаружения
Как было сказано ранее, магнитометрические средства обнаружения применяют для выявления факта проноса на охраняемую территорию предметов с магнитными свойствами. В основу построения МСО могут быть положены три группы методов:
- с использованием феррозондов;
- с использованием пассивных катушек;
- квантовые измерители индукции.
В связи с тем, что феррозонды получают все более широкое применение при разработке МСО, рассмотрим теоретические основы этого метода.
Феррозондом называется устройство, чувствительное к внешним магнитным полям, главным образом постоянным и медленно изменяющимся, содержащее ферромагнитные сердечники и обмотки, распределенные по их длине.
От пассивных индукционных датчиков и ферритовых антенн феррозонды отличаются тем, что являются устройствами активного типа. Происходящие в них процессы всегда связаны с существованием двух полей - внешнего измеряемого поля и некоторого вспомогательного поля, образуемого за счет тока, протекающего в одной из его обмоток. Взаимодействие этих полей в объеме сердечников, изготавливаемых из легко насыщающихся магнитных материалов, например пермаллоя, приводит к появлению в другой обмотке электродвижущей силы, по величине которой и судят о напряженности внешнего поля.
По принципу действия феррозонды наиболее близки к магнитным усилителям. По существу они и являются магнитными усилителями, у которых управляющая электрическая цепь заменена разомкнутой магнитной цепью.
Существует довольно много типов и модификаций феррозондов. Все они отличаются друг от друга режимом работы, способом наложения вспомогательного поля, выбранной схемой и конструктивным исполнением. Эти отличия оказываются более или менее существенными в зависимости от диапазона и частотного спектра измеряемых полей, условий, в которых проводятся измерения, особенностей преобразования полезного сигнала в измерительной схеме. Однако феррозондам присущи и некоторые общие свойства.
Рассмотрим эти свойства на примере дифференциального феррозонда.
Дифференциальный феррозонд содержит два одинаковых пермаллоевых сердечника, выполненных в виде тонких стержней прямоугольного сечения, уложенных в специальные каркасы параллельно друг другу. Поверх каркасов нанесены первичные обмотки, включенные последовательно и образующие цепь возбуждения феррозонда. Эту цепь питают переменным током звуковой частоты. Кроме первичных обмоток имеется также общая вторичная обмотка, которая вместе с подключаемым к ней индикаторным прибором образует измерительную цепь.
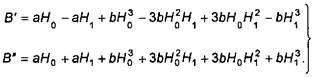
В дифференциальном феррозонде первичные обмотки соединены таким образом, что протекающий в них ток iсоздает в объеме сердечников поля напряженности, равные по величине, но противоположные по направлению. При наличии внешнего поля Н0 , направленного вдоль сердечников, в объеме одного из них действует разность напряженностей, в объеме другого - сумма.

Если сердечники идентичны, то можно записать:
![]()
где В' и 6'- индукции или плотности магнитных потоков в сердечниках.
ЭДС во вторичной обмотке, охватывающей оба сердечника,
![]()
где s - поперечное сечение сердечников; w2 - количество витков
вторичной обмотки и t - время.
Появление ЭДС во вторичной обмотке дифференциального феррозонда с идентичными сердечниками принципиально возможно лишь при нелинейности характеристик B=f.
Действительно, предположив обратное и введя для каждого сердечника постоянные и одинаковые коэффициенты fxa =BIH, имеющие размерность абсолютной магнитной проницаемости, получим:
![]()
![]()
Последнее выражение совпадает с известной формулой для выходной ЭДС пассивных индукционных датчиков; при Н0 = constоно становится равным нулю.
Аппроксимируем теперь характеристики B=f укороченным полиномом третьей степени:
![]()
где а и b - коэффициенты аппроксимации, зависящие от материала и формы сердечников.
Эта аппроксимация весьма приближенна. Однако, отличаясь простотой, она оказывается полезной для качественного описания процессов и явлений в ферромагнитных цепях. В соответствии с

Допустим, что
и Н = const. Тогда

где
f - частота вспомогательного поля; Н - амплитуда этого поля.
Таким образом, в отличие от пассивных индукционных датчиков ЭДС в феррозонде появляется при наличии постоянного поля и оказывается пропорциональной этому полю.
Из выражения следует также, что выходная ЭДС имеет удвоенную частоту. Работа на удвоенной частоте типична для феррозондов. Однако принципиально дифференциальный феррозонд может работать и на основной частоте.
Пусть ток возбуждения дифференциального феррозонда, кроме переменной составляющей, содержит также и постоянную. Тогда можно записать:
![]()
где Н2 = const. Произведя необходимую подстановку в, взамен получаем:
![]()
где С - постоянная составляющая индукции. После дифференцирования в соответствии с имеем:
![]()
т.е. в составе ЭДС появилась первая гармоника, величина которой также пропорциональна внешнему полю.
Заметим, что приведенное ранее выражение является частным случаем. Последнее переходит в при Н2 = 0.
Выражения и получены в предположении строгой идентичности и сердечников, и первичных обмоток феррозонда. Однако на практике сердечники и обмотки могут быть подобраны лишь с определенной точностью. В результате этого во вторичной обмотке появляется дополнительная ЭДС, которая не связана или почти не связана с наличием внешнего поля. Эту дополнительную ЭДС мы будем называть помехой и обозначать индексом N. Полезную же ЭДС будем обозначать индексом S.
Найдем спектр помехи. Для этого воспользуемся выражением, выбрав из него попарные члены с разными знаками.
Введем обозначения:
![]()
.
Тогда

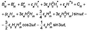
где CN - постоянная составляющая помехи. Подставив это выражение в, получим

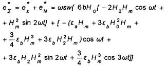
Теперь можно написать выражение для суммарной ЭДС, появляющейся во вторичной обмотке феррозонда. Допустим, что в
![]()
Тогда

и при Н2 = 0

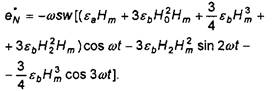
Сравнивая с, нетрудно установить, что режим работы феррозонда, характеризующийся наличием постоянной составляющей в токе возбуждения, менее благоприятен. В этом случае информацию о внешнем поле Н0 несет не только вторая, но и первая гармоника. Однако обе эти гармоники содержатся и в спектре помехи. Поэтому независимо от того, какую гармонику мы будем выделять, используя частотную фильтрацию, добиться существенного улучшения отношения сигнал/помеха в данном случае не удается. Величина помехи не остается постоянной, так как коэффициенты sa , еь оказываются зависимыми от таких внешних факторов как температура окружающей среды, вибрация и т.п. Когда же постоянная составляющая в токе возбуждения отсутствует, информацию о внешнем поле несет главным образом вторая гармоника, причем спектр помехи содержит лишь первую и третью гармоники. Следовательно, выделив из общего спектра выходной ЭДС феррозонда вторую гармонику, мы можем резко улучшить соотношение сигнал/помеха.
Феррозонды с дополнительным постоянным подмагничиванием оказались пригодными лишь для измерения относительно сильных магнитных полей, а феррозонды без начального подмагничива-ния с выходом на удвоенной частоте применяются для измерения слабых магнитных полей или малых приращений поля. Типичные схемы, соответствующие использованию этих двух режимов работы феррозонда, изображены на рис. 5.

Возможность выделения той или иной гармоники позволяет говорить о соответствующих коэффициентах преобразования или чувствительностях феррозонда. В общем случае имеем:
![]()
где
- чувствительность феррозонда по n-ой гармонике; - амплитуда п-й гармоники полезной ЭДС.![]()
На начальных участках зависимость
, как правило,
линейна. Поэтому для слабых полей взамен получим
![]()
Отсюда с учетом следует, что чувствительность феррозонда пропорциональна коэффициенту аппроксимации Ь, характеризующему магнитные свойства сердечников, поперечному сечению сердечников, числу витков вторичной обмотки, частоте и амплитуде вспомогательного поля. Видно также, что чувствительность по первой и второй гармоникам различна, в частности, чувствительность по первой гармонике зависит от величины дополнительного поля
Возможность работы на той или иной гармонике позволяет также говорить и о соответствующих порогах чувствительности феррозонда. Под порогом чувствительности обычно понимают то наименьшее значение измеряемой величины, которое способно вызвать заметное изменение выходного параметра прибора или устройства.
В феррозонде это наименьшее значение определяется уровнем помехи. Поэтому можно записать:
![]()
где
- амплитуда n-й гармоники ЭДС помехи,
- чувствительность по п-й гармонике; рп
- порог чувствительности.
Заметим, что порог чувствительности феррозонда выражается в единицах поля.
Часто пользуются также величиной
![]()
где
- амплитуда суммарной ЭДС помехи.
Величина q оказывается полезной для оценки качества феррозонда. Однако ее не следует путать с величиной Рп . Например,
при работе феррозонда на удвоенной частоте величина q характеризует лишь степень неидентичности его сердечников и обмоток. Эта величина может быть на несколько порядков больше величины Р2 .
Экспериментально чувствительность и порог чувствительности могут быть определены благодаря наложению на феррозонд поля, напряженность которого заранее известна. Это поле обычно создается с помощью калиброванных катушек или колец Гельмгольца. Контрольно-измерительный комплекс, используемый для определения указанных параметров феррозонда, показан на рис. 6.

Испытуемый феррозонд устанавливают в центре колец Гельмгольца таким образом, чтобы его продольная ось совпала с осью колец. К обмотке возбуждения подключают генератор синусоидального напряжения. При оценке чувствительности по первой гармонике в эту же обмотку подают ток смещения, создающий в объеме сердечников дополнительное постоянное поле. Выходную обмотку феррозонда подключают ко входу анализатора гармоник и ламповому милливольтметру. С помощью анализатора выделяют нужную гармонику выходного напряжения. Затем кольца вместе с закрепленным в них феррозондом ориентируют таким образом, чтобы продольная ось феррозонда оказалась перпендикулярной вектору геомагнитного поля.
О перпендикулярности судят по минимуму показаний милливольтметра анализатора и лампового милливольтметра. Показание первого соответствует величине EnN , показание второго - EN .
В кольца подают ток, измеряемый миллиамперметром. Если постоянная колец известна, то становится известным и поле, создаваемое в объеме феррозонда. При наличии поля милливольтметр анализатора измерит величину ЈnS . Зная напряженность поля, создаваемую
кольцами, и располагая значениями EnS , EnN и £ можно оценить
чувствительность, порог чувствительности и качество изготовления феррозонда.
Особенности экспериментальной оценки указанных параметров свидетельствуют о том, что феррозонд по существу является относительным индикатором поля. Действительно, чувствительность феррозонда определяют в известном поле, созданном, например, с помощью колец Гельмгольца. Об измеренном же значении поля судят по выходной ЭДС и чувствительности феррозонда. Следовательно, измеренные значения есть результат сравнения напряженности внешнего поля с величиной того же наименования.
До сих пор мы предполагали, что внешнее поле направлено вдоль сердечников, параллельно продольной оси феррозонда. Однако это всего лишь частный случай взаимного расположения вектора внешнего поля и продольной оси феррозонда. Касаясь экспериментальной оценки чувствительности феррозонда, мы уже говорили о перпендикулярности его оси вектору геомагнитного поля. По достижении перпендикулярности наблюдался минимум выходной ЭДС феррозонда. Изменение амплитуды выходной ЭДС в зависимости от ориентации феррозонда в поле свидетельствует о присущем ему свойстве направленности.
Диаграммы направленности феррозонда в геомагнитном поле в двух различных плоскостях изображены на рис. 7. Видно, что они представляют собой правильные "восьмерки". Максимумы диаграмм соответствуют направлению продольной оси феррозонда, минимумы - направлению, перпендикулярному этой оси. Подобные диаграммы могут иметь место лишь при косинусоидальной зависи
мости амплитуды выходной ЭДС от угла между продольной осью феррозонда и вектором внешнего поля. Поэтому можно записать:
![]()
где i - единичный вектор, совпадающий с направлением продольной оси феррозонда; Н - вектор внешнего поля.
Если допустить, что Н cosа = Н где а - угол между векторами i и Н, то все приведенные ранее выражения остаются в силе, хотя и с оговоркой, что Н есть не что иное, как продольный компонент поля.

Свойство направленности феррозондов позволяет использовать их для измерения компонентов поля и углов.
Чувствительность феррозонда к углу может быть получена путем дифференцирования по
:
где j - единичный вектор, совпадающий с нормалью к плоскости, образованной векторами Н и i.
Из, в частности, следует, что наибольшая чувствительность феррозонда к угловым перемещениям наблюдается
![]()
в том случае, когда векторы Н и i взаимно перпендикулярны. Это обстоятельство учитывается при построении следящих систем, в которых феррозонды используются в качестве датчиков угла рассогласования.
Подводя итог, перечислим основные, учитываемые при разработке СО, свойства феррозонда:
1. Феррозонд является датчиком активного типа, преобразующим действующую на него напряженность внешнего постоянного поля в ЭДС, кратную по частоте питающему его переменному току. Преобразование оказывается возможным благодаря нелинейности магнитных характеристик его сердечников.
2. В зависимости от выбранного режима работы феррозонда информацию о внешнем поле могут нести первая или вторая гармоники его выходной ЭДС Использование второй гармоники выходной ЭДС предпочтительнее, поскольку позволяет улучшить соотношение сигнал/помеха и создать высокочувствительные измерительные устройства.
К этому следует добавить, что феррозонд является наиболее надежным и помехоустойчивым датчиком магнитного поля. При малой потребляемой мощности он отличается высоким коэффициентом полезного действия. Феррозонд имеет незначительные габариты и массу, прост в изготовлении.
Выводы
1. По физическим принципам действия МСО можно разделить на следующие виды:
- с использованием эффекта переизлучения сигнала;
- с использованием эффекта биения частоты;
- с использованием эффекта самоиндукции;
- с использованием эффекта локального искажения магнитного поля Земли.
По уровню излучения МСО делятся на активные и пассивные. К активным МСО можно отнести СОП, СОБ, СОИН и СОИМ, к пассивным - СОМ.
3. Наиболее помехоустойчивыми, как правило, являются активные МСО.
4. Главное назначение МСО - поиск оружия. На практике наиболее часто для этого используется СОМ, как пассивное и легко камуфлируемое средство.