| Скачать .docx |
Реферат: Делопроизводство
Оглавление
1. Оглавление 1
2. Реквизит «Гриф утверждения». 2
3. Составить и оформить объяснительную записку. 4
4. Составить и оформить гарантийное письмо. 7
5. Составить и оформить протокол производственного совещания. 10
6. Составить и оформить заявление на отпуск. 14
7. Составить и оформить приказ о предоставлении отпуска. 15
8. Заключение 17
9. Список использованной литературы 18
2. Реквизит «Гриф утверждения»
Одним из реквизитов, придающих документу юридическую силу, является «Гриф утверждения».
Утверждение — это особый способ удостоверения документа после его подписания. В отличие от реквизитов, обозначающих автора документа (реквизитов бланка), реквизитов «Подпись», «Дата» и «Индекс», которые применяются при оформлении всех организационно-распорядительных документов, «Гриф утверждения» является дополнительным удостоверяющим реквизитом и применяется для придания юридической силы лишь отдельным видам и разновидностям документов. Как правило, перечень таких документов отражается в инструкциях и иных нормативных правовых актах об организации делопроизводства. При этом может быть использован Примерный перечень документов, подлежащих утверждению, который приведен в приложении 6 к Примерной инструкции по делопроизводству в министерствах, госкомитетах и других центральных органах управления, учреждениях, организациях и на предприятиях Республики Беларусь, утвержденной приказом Комитета по архивам и делопроизводству Республики Беларусь от 23 мая 1995 г. № 13. Согласно данной Примерной инструкции утверждению подлежат:
1. Акты (проверок и ревизий, приема законченных строительством дел, оборудования; списания; экспертизы; передачи дел; ликвидации организаций, учреждений, предприятий и т.д.).
2. Договоры (о производстве работ, материально-техническом снабжении, аренде помещений; о поставках, подрядах, научно-техническом сотрудничестве, материальной ответственности и т.д.).
3. Задания (на проектирование объектов, технических сооружений, капитальное строительство; на проведение научно-исследовательских, проектно-конструкторских и технологических работ; технические и т.д.).
4. Заявки (на оборудование, изобретения и т.д.).
5. Инструкции (правила) (должностные; о ведении делопроизводства; по технике безопасности; внутреннего трудового распорядка и т.д.).
6. Нормативы (расхода сырья, материалов, электроэнергии; технологического проектирования; численности работников и т.д.).
7. Отчеты (о производственной деятельности, командировках, научно-исследовательских работах и т.д.).
8. Перечни (должностей работников с ненормированным рабочим днем; предприятий, на которые распространяются определенные льготы; типовых документов, образующихся в деятельности министерств, госкомитетов и других организаций с указанием сроков хранения и т.д.).
9. Планы (производственные; строительно-монтажных, проектно-изыскательских, научно-исследовательских работ; внедрения новой техники; кооперированных поставок продукции; распределения продукции по установленной номенклатуре; работы коллегий и т.д.).
10. Положения (уставы) (о министерстве; структурном подразделении; премировании; уставы предприятий и т.д.).
11. Программы (проведения работ и мероприятий; командировок и т.д.).
12. Расценки на производство работ.
13. Сметы (расходов на содержание аппарата управления; на капитальное строительство и т.д.).
14. Стандарты.
15. Структура и штатная численность.
16. Тарифные ставки.
17. Формы унифицированных документов.
18. Штатные расписания и изменения к ним.
В обязательном порядке утверждению подлежат все организационные документы (уставы, положения, инструкции, правила и др.).
3. Составить и оформить объяснительную записку.
Объяснительная записка – документ, поясняющий содержание отдельных положений выполненной работы (плана, отчета, проекта и т.д.) или объясняющий причины какого-либо события, факта, поступка.
Внешние объяснительные записки (адресуемые руководителю вышестоящей организации) оформляются на общем бланке Организации.
Внутренние объяснительные записки (адресуемые ректору, проректору, руководителю структурного подразделения) оформляются на бумаге стандартного формата А4 или А5 с обязательным использованием реквизитов общего бланка.
Реквизитами внешней объяснительной записки, помимо реквизитов бланка, являются:
· название вида документа;
· дата;
· индекс;
· адресат;
· заголовок к тексту;
· текст;
· отметка о наличии приложения (при необходимости);
· подпись руководителя
· фамилию исполнителя и номер его телефона
Реквизитами внутренней объяснительной записки являются:
· название структурного подразделения
· название вида документа;
· дата;
· индекс;
· адресат;
· заголовок к тексту;
· текст;
· отметка о наличии приложения (при необходимости);
· подпись составителя
Особенности оформления реквизитов докладной записки распространяются на оформление реквизитов объяснительной записки
По своему оформлению объяснительные записки отличаются от докладных тем, что не содержат выводов и предложений.
Разновидностью объяснительных записок являются документы, составленные работниками университета по указанию прямых или вышестоящих руководителей при возникновении нештатных ситуаций, нарушениях трудовой дисциплины, дисциплинарных нарушениях, проступках и др.
Объяснительная записка такого рода обычно пишется от руки, адресуется руководителю, который ее потребовал. Текст объяснительной записки должен содержать дату нарушения, вид нарушения, изложение причин, обстоятельств нарушения. Требование краткости и четкости текста распространяется и на объяснительные записки.
Отдел Управление Генеральному Директору
ООО «Рога и Копыта»
Дунину М.Г. от
ОБЪЯСНИТЕЛЬНАЯ ЗАПИСКА Главного инженера
Выренкова В. С.
О Опоздании на работу
Я, Выренков В.С. работающий в должности Главного инженера, опоздал сегодня 01 Июля 2007 г. на работу на 1час по причине поломки рейсового автобуса в 7-00 Рейс перенесли на 8-00.
Главный инженер Подпись
01 Июля 2007г.
4. Составить и оформить гарантийное письмо.
Гарантийные письма адресуются организациям. Гарантироваться могут оплата работы, продукции, услуг, аренды, качество и сроки выполнения работы и др. В тексте гарантийного письма содержатся просьба в адрес корреспондента и юридически значимая формула: "Оплату (предоставление услуг и т.д.) гарантируем". Эта фраза является юридически значимым компонентом текста. Если в письме гарантируется произвести оплату, автор сообщает свои банковские реквизиты. 2
Гарантийные письма всегда подписываются двумя лицами: руководителем организации и главным бухгалтером. Гарантийные письма также удостоверяются печатью организации. 3
Гарантийное письмо оформляется на бланке письма.
Обязательными реквизитами гарантийного письма являются: наименование организации, справочные данные об организации, код организации, основной государственный регистрационный номер (ОГРН) юридического лица, идентификационный номер налогоплательщика/код причины постановки на учет, дата, регистрационный номер, адресат, заголовок к тексту (при составлении письма на бланке формата А4), подпись, оттиск печати, отметка об исполнителе.

![]()
Генеральному Директору
ООО «Кранекс»
Орлову В.К.
От Генерального Директора
ООО «Рога и Копыта»
Дунина М.Г.
Гарантийное письмо
Гарантирую осуществить оплату заказа № __NG1525_ в течение трех банковских дней в установленном порядке.
| Название организации: | ООО «Рога и Копыта» |
| Почтовый адрес: | 159121 Ивановская область п. Сосновка ул. Сатанинская 20 |
| Юридический адрес: | 159121 Ивановская область п. Сосновка ул. Сатанинская 20 |
| Телефон: | 8(49359) 2-22-22, 2-45-66, 2-96-66 |
| Факс: | 8(49359) 2-22-22, 2-45-66, 2-96-66 |
| ИНН: | 371500256655656 |
| р/с: | 40702826541664565412 |
| к/с: | 30100488078454895047 |
| Название банка: | Ивановское ОСБ №96966 г.Иваново |
| БИК: | 425952662 |
| ОКПО: | 5295624564646 |
| КПП: | 371100112200 |
_________________/ М.Г. Дунин
МП
5. Составить и оформить протокол производственного совещания.
Процессы коллективного принятия управленческих решений и сами решения документируются протоколами производственных совещаний у руководства организации. Документирование хода совещания и оформление протокола возлагается на работника, ответственного за ведение делопроизводства в фирме.
Протоколы оформляются на бланках организации и содержат следующие реквизиты:
· "Наименование организации"
· "Наименование вида документа"
· "Дата заседания"
· "Индекс"
· "Место заседания"
· "Гриф утверждения" (если протокол подлежит утверждению)
· "Заголовок к тексту"
· "Текст"
· "Подписи"
Датой протокола является дата заседания. Заголовком является наименование коллегиального органа или название протоколируемого совещания.
Текст протокола должен состоять из двух частей: вводной и основной.
Вводная часть содержит постоянную информацию (слова "ПРЕДСЕДАТЕЛЬ", "СЕКРЕТАРЬ", "ПРИСУТСТВОВАЛИ") и переменную (инициалы и фамилии председателя и секретаря, а также присутствующих на заседании). При необходимости указывают должности присутствующих, а также фамилии, инициалы и должности лиц, приглашенных на совещание. При большом количестве приглашенных составляется список, который прилагается к протоколу.
Слова "ПРЕДСЕДАТЕЛЬ", "СЕКРЕТАРЬ", "ПРИСУТСТВОВАЛИ" пишутся от нулевого положения табулятора. От второго положения табулятора ставят тире. Инициалы и фамилии пишут в именительном падеже. Фамилии присутствующих и приглашенных печатают в алфавитном порядке через один межстрочный интервал. Вводная часть протокола заканчивается повесткой дня. Слова "ПОВЕСТКА ДНЯ" печатают от нулевого положения табулятора. После них ставят двоеточие. Вопросы повестки дня нумеруются. Каждый новый вопрос печатается от первого положения табулятора. Вопросы располагаются по степени важности. Вопросы перечисляются в именительном падеже. Доклад (отчет, сообщение, информация), наименование должности, инициалы и фамилию докладчика пишут в родительном падеже.
Основная часть текста строится в соответствии с вопросами повестки дня. Построение записи обсуждения каждого вопроса повестки дня осуществляется по схеме "СЛУШАЛИ"- "ВЫСТУПИЛИ" - "ПОСТАНОВИЛИ" (РЕШИЛИ). Эти слова печатают прописными буквами.
Перед словом "СЛУШАЛИ" ставят номер вопроса повестки дня, после - двоеточие. Инициалы и фамилию докладчика необходимо писать в именительном падеже от первого положения табулятора. После фамилии ставят тире и с прописной буквы пишут содержание доклада в форме прямой речи. Если текст доклада застенографирован или предоставлен докладчиком, то после тире с прописной буквы пишут - "Доклад прилагается".
Слово "ВЫСТУПИЛИ" печатают прописными буквами, после чего ставят двоеточие. Инициалы и фамилию выступающего пишут в именительном падеже от первого положения табулятора, после чего ставят тире и с прописной буквы печатают содержание выступления в форме прямой речи. В случае необходимости после фамилии выступающего указывается наименование должности.
В связи с нарушениями в оформлении протоколов производственных совещаний организации был разработан образец протокола .
Протокол может содержать пункт об утверждении какого-либо документа. В таком случае документ должен прилагаться к протоколу и иметь ссылку на его номер и дату, например:
УТВЕРЖДЕНО
Протокол заседания Правления
от 23. 02. 95 № 5
Территориальный отдел по
г. Иваново
Управления Роснедвижимости
ПРОТОКОЛ
производственного совещания
от 06.08.2007 г
Председатель: Кузьмин С. В. - начальник территориального отдела по г. Иваново Управления Роснедвижимости.
Секретарь: Кошельняк О. В. - и.о. ведущего специалиста территориального отдела по г. Иваново Управления Роснедвижимости
Присутствовали:
Иванов Ю. П. - начальник отдела ФГУ «Земельная кадастровая палата –
г. Иваново»;
Гончаров Б.Г. - директор МУП «Градостроительство»;
Платонов А. А. -директор «138 Экспедиция»;
Николаев М. А. -директор ОАО «Земельный кадастр»;
Мартыненко Д. Н. - директор ООО НПП «Аршин»;
Паймин В. А. - начальник отдела МУ «Земельное управление»;
Токмолаева Л. И. - директор ООО НПП «Инженер», ООО НПП «Землемер»;
Михеев В. А. - директор ООО НПП «Румб»;
Афанасьев С. В. - директор ООО «Земля»;
Марков С. В. - инженер МУП «БТИ и ПЖФ»;
Антонова Л. А. - директор ООО «Координат»;
Карпов В. В. - директор ООО «Геосфера»;
Иванов В. Н. - директор ООО «Гипрозем»;
Алексеев Б. В. - главный специалист территориального отдела по г. Иваново Управления Роснедвижимости;
Исмаилов Р. В. - и.о. главного специалиста территориального отдела по г. Иваново Управления Роснедвижимости;
Ильин Н. В. - ведущий специалист территориального отдела по г. Иваново Управления Роснедвижимости.
Повестка дня: Выполнение землеустроительных работ на территории г. Иваново.
Слушали:
Кузьмин С. В. - отметил, что у подрядных межевых организаций г. Иваново возникают проблемы, связанные с прохождением землеустроительных (межевых) дел.
Выступили:
Токмолаева Л.И. - предложила о сокращении времени прохождения межевых дел, так как, межевые дела относят в УАиГ для того, чтобы получить перечень документов, устанавливающих особый режим использования земель. УАиГ не возвращает межевые дела до тех пор, пока землепользователь (заказчик) не оплатит градостроительное заключение. То есть дела «лежат» минимум месяц. Почему-то город очень долго согласовывает по сравнению с территориальным отделом по г. Иваново, у вас нет задержек.
Михеев В.А. - полностью подтвердил.
Мартыненко Д.Н. - подтвердил, что без градостроительного заключения в УАиГ ни одно межевое дело не будет проходить. Также отметил, что не решен вопрос об охранных зонах, даже за каталоги координат приходится платить в МУП «Градостроительство».
Николаев М.А. - отметил, что электронная база данных о земельных участках по г. Иваново (МУ «Земельное управление») отличается от единого государственного реестра земель (ФГУ «Земельная кадастровая палата - Иваново»). Получается так, что есть данные в ФГУ «Земельная кадастровая палата», но того нет в МУ «Земельное управление» и начинаются проблемы, «лежат» дела месяцами.
Мартыненко Д.Н. - подтвердил, что в МУ «Земельное управление» забивают каждую точку, а это затягивает время.
Кузьмин С.В. - сказал, что нужно ссылаться на базу данных ФГУ «Земельная кадастровая палата».
Николаев М.А. - сказал, что МУ «Земельное управление» ссылаются на материалы инвентаризации, а это старые данные. Пусть они свою базу данных оставят как архив и начнут по новому.
Карпов В.В. - отметил, проблема такая давно стоит, надо принять волевое решение, подгонять материалы по каталогам координат нельзя, ведь возникают ошибки.
Николаев М.А. - отметил, страдает заказчик, ведь по закону все решается через суд. А он нам денег заплатил, и мы должны теперь отвечать за то, в чем не виноваты.
Токмолаева Л.И. - сказала, бывает так, что промежевали участок, получили техусловия, утвердили межевое дело, сдали описание в ЗКП и выясняется, что другой промежованный участок. Что нам делать, нам дают отказ.
Иванов Ю.П. - отметил, выдадим сведения, на который предоставлен участок.
Кузьмин С.В. - сказал, приносите каталоги координат, внесем изменения.
Токмолаева Л.И. - согласилась.
Кузьмин С.В. - хотел обратить внимание, что в МУ «Земельное управление» можно сдавать акт согласования границ земельного участка, схему границ земельного участка и каталоги координат, а также копии правоустанавливающих документов, то есть, все межевое дело можно не сдавать. Акт согласования границ земельного участка можно писать от руки, если где-то ошиблись, то зачеркнуть и написать верное. Также в карте (плане) земельного участка не должны быть подчистки, помарки и исправления. Как сказано в методических рекомендациях по проведению межевания объектов землеустройства лица, права которых могут быть затронуты при проведении межевания (собственники земельного участка, землевладельцы, землепользователи и арендаторы, соответствующие органы государственной власти и (или) органы местного самоуправления), не позднее, чем за 7 календарных дней извещаются о времени и месте проведения межевания. При не явки на процедуру согласования границ, то, в течение 30 календарных дней направляются повторные уведомления. В случае повторной неявки составляется акт, затем приносите в Территориальный отдел по г. Иваново на утверждение. На счет проектов границ, особенно касается МУП «Градостроительство», неприглядно сделаны графически. Возьмите в пример такие организации как ООО НПП «Инженер», ООО «Земля» - все аккуратно, приятно работать. ОАО «Земельный кадастр» пишет от руки, тоже красиво и аккуратно. Ведь документы запрашивают в суд, а они в таком виде. Когда делаете проект грани, выясняйте, чьи здания, где проезжая часть и т.д. При условиях юридической достоверности и нормального качества землеустроительных дел не будет проблем в согласовании или утверждении. Наши исполнители все досконально проверяют, если не понятно – объяснят. Показывайте наши замечания своим исполнителям, ведь бывает, что допускают одни и те же ошибки.
Решили:
Сократить время прохождения землеустроительных работ в г. Иваново, выяснить все вопросы, связанные с УАиГ, МУП «Градостроительство» и МУ «Земельное управление».
Председатель С. В. Кузьмин
Секретарь О.В. Кошельняк
6. Составить и оформить заявление на отпуск.
Директору ________________________________
(наименование организации)
________________________________
(Ф.И.О. директора)
от_______________________________
(должность и Ф.И.О. работника)
ЗАЯВЛЕНИЕ
Прошу предоставить мне очередной отпуск с "___" _____________
20___ года по "___" _____________ 20___ года.
Дата_____________________
___________________
(Подпись работника)
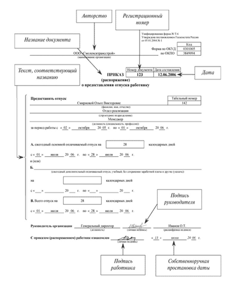
6. Составить и оформить приказ о предоставлении отпуска.

|
Утверждена постановлением Госкомстата России |
||||||||||||||||||||||||||||||||||||||||||||||||||
| от 05.01.2004 N 1 | ||||||||||||||||||||||||||||||||||||||||||||||||||
| Код | ||||||||||||||||||||||||||||||||||||||||||||||||||
| Форма по ОКУД | 0301005 | |||||||||||||||||||||||||||||||||||||||||||||||||
| ООО «Рога и Копыта» | по ОКПО | |||||||||||||||||||||||||||||||||||||||||||||||||
| наименование организации | ||||||||||||||||||||||||||||||||||||||||||||||||||
| Номер документа | Дата составления | |||||||||||||||||||||||||||||||||||||||||||||||||
| ПРИКАЗ | 2566 | 30.12.2007г. | ||||||||||||||||||||||||||||||||||||||||||||||||
| (распоряжение) | ||||||||||||||||||||||||||||||||||||||||||||||||||
о предоставлении отпуска работнику |
||||||||||||||||||||||||||||||||||||||||||||||||||
| Предоставить отпуск | Табельный номер | |||||||||||||||||||||||||||||||||||||||||||||||||
| Пупкин Павел Алексеевич | 5986 | |||||||||||||||||||||||||||||||||||||||||||||||||
| фамилия, имя, отчество | ||||||||||||||||||||||||||||||||||||||||||||||||||
| Управление | ||||||||||||||||||||||||||||||||||||||||||||||||||
| структурное подразделение | ||||||||||||||||||||||||||||||||||||||||||||||||||
| Инженер технолог | ||||||||||||||||||||||||||||||||||||||||||||||||||
| должность (специальность, профессия) | ||||||||||||||||||||||||||||||||||||||||||||||||||
| за период работы с | " | 01 | " | января | 20 | 08 | г. по | " | 31 | " | декабря | 20 | 08 | г. | ||||||||||||||||||||||||||||||||||||
| А. ежегодный основной оплачиваемый отпуск на | 28 | календарных дней | ||||||||||||||||||||||||||||||||||||||||||||||||
| с | " | 1 | " | января | 20 | 08 | г. по | " | 28 | " | января | 20 | 08 | г. | ||||||||||||||||||||||||||||||||||||
и (или) |
||||||||||||||||||||||||||||||||||||||||||||||||||
| Б. | ||||||||||||||||||||||||||||||||||||||||||||||||||
| ежегодный дополнительный оплачиваемый отпуск, учебный, без сохранения заработной платы и другие (указать) | ||||||||||||||||||||||||||||||||||||||||||||||||||
| на | календарных дней | |||||||||||||||||||||||||||||||||||||||||||||||||
| с | " | " | 20 | г. по | " | " | 20 | г. | ||||||||||||||||||||||||||||||||||||||||||
| В. | Всего отпуск на | календарных дней | ||||||||||||||||||||||||||||||||||||||||||||||||
| с | " | " | 20 | г. по | " | " | 20 | г. | ||||||||||||||||||||||||||||||||||||||||||
| Руководитель организации | Ген.директор | Дунин М.Г. | ||||||||||||||||||||||||||||||||||||||||||||||||
| должность | личная подпись | расшифровка подписи | ||||||||||||||||||||||||||||||||||||||||||||||||
| С приказом (распоряжением) работник ознакомлен | " | 31 | " | декабря | 20 | 08 | г. | |||||||||||||||||||||||||||||||||||||||||||
| личная подпись | ||||||||||||||||||||||||||||||||||||||||||||||||||
Заключение
Документ, как носитель информации, выступает в качестве непременного элемента внутренней организации любого учреждения, предприятия, фирмы, обеспечивая взаимодействие их частей. Информация является основанием для принятия управленческих решений, служит доказательством их исполнения и источником для обобщений, а также материалом для справочно-поисковой работы.
Кроме того, документирование во многих случаях является обязательным, предписывается законом и актами государственного управления, поэтому оно является одним из средств укрепления законности и контроля.
От четкости и оперативности обработки и движения документов в конечном итоге зависит быстрота принятия решений. Поэтому в рациональной организации документообороту всегда уделяется большое внимание, особенно в бухгалтерии, где несвоевременная обработка финансовых документов может привести к отрицательным экономическим последствиям.
Список использованной литературы.
1. Документационное обеспечение деятельности организации. Барановский В.П. Учебное пособие. – М.: Ассоциация авторов и издателей «Тандем». Изд.-во Экмос, 1999г.
2. Основные нормативные акты по бухгалтерскому учету и бухгалтерской отчетности (с комментариями).- М.:ООО «НИТАР АЛЬЯНС», 2001. – 272 с.
3. Кудряев В. А. Организация работы с документами. М., 1998.
4. Организация работы с документами. Инфра М.,1998 г.