| Скачать .docx |
Реферат: Принципы калькулирования, его объект и методы
содержание
Введение 3
1. Принципы калькулирования 5
2. Объект калькулирования 8
3. Методы калькулирования 11
3.1 Нормативный метод 11
3.2 Попередельный метод 13
3.3 Попроцессный метод 15
3.4 Позаказный метод 17
4. Калькулирование себестоимости продукциив общественном питании 19
Заключение 22
Глоссарий 25
Список использованных источников 27
Приложение форма N ОП-1 28
Приложение форма N ОП-2 29
Введение
Одной из важнейших задач управленческого учета является калькулирование себестоимости продукции.
Себестоимость продукции – это выраженные в денежной форме затраты на ее производство и реализацию. Себестоимость продукции (работ, услуг) предприятия складывается из затрат, связанных с использованием в процессе производства продукции (работ, услуг) природных ресурсов, сырья, материалов, топлива, энергии, основных фондов, трудовых ресурсов, а так же других затрат на ее производство и реализацию.
Себестоимость продукции является качественным показателем, в котором концентрированно отражаются результаты хозяйственной деятельности организации, ее достижения и имеющиеся резервы. Чем ниже себестоимость продукции, тем больше экономится труд, лучше используются основные фонды, материалы, топливо, тем дешевле производство продукции обходится как предприятию, так и всему обществу. Для принятия оптимальных управленческих и финансовых решений руководителям предприятий необходимо знать свои затраты и в первую очередь разбираться в информации о производственных расходах. Анализ издержек помогает выявить их эффективность, установить, не будут ли они чрезмерными, проверить качественные показатели работы, правильно установить цены, регулировать и контролировать расходы, планировать уровень прибыли и рентабельности производства. Эффективность работы организации во многом зависит от информации о формировании себестоимости. Тому есть причины: затраты на производство продукции являются базой для установления продажной цены информация о себестоимости лежит в основе прогнозирования и управления производством Ключевая концепция классификации затрат заключается в том, что разные затраты соответствуют разным целям.
Система калькулирования затрат - совокупность методов и процедур, которые обеспечивают определение себестоимости объектов затрат. В современной экономической литературе калькулирование определяется как система экономических расчетов себестоимости единицы отдельных видов продукции (работ, услуг).
В процессе калькулирования соизмеряются затраты на производство с количеством выпущенной продукции и определяется себестоимость единицы продукции. Задача калькулирования – определить издержки, которые приходятся на единицу их носителя, т.е. на единицу продукции (работ, услуг), предназначенной для реализации, а так же для внутреннего потребления. Конечным результатом калькулирования является составление калькуляций.
В зависимости от целей калькулирования различают плановую, сметную и фактическую калькуляции. Все они отражают расходы на производство и реализацию единицы конкретного вида продукции в разрезе калькуляционных статей. Плановая калькуляция составляется на плановый период на основе действующих на начало этого периода норм и смет. Сметная калькуляция рассчитывается при проектировании новых производств и конструировании вновь осваиваемых изделий при отсутствии норм расхода. Фактическая (отчетная) калькуляция отражает совокупность всех затрат на производство и реализацию продукции. Она используется для контроля за выполнением плановых заданий по снижению себестоимости различных видов продукции, а так же для анализа и динамики себестоимости. Калькулирование позволяет изучить себестоимость полученных в процессе производства конкретных продуктов.
1. Принципыкалькулирования
Калькулирование может осуществляться как в рамках учетной системы (упорядоченный регулярный процесс), так и по требованию (например, сбор и измерение затрат, связанных с заменой оборудования). Конечно, постоянное калькулирование — более дорогостоящее, чем проводимое время от времени, и решение о том, насколько детализированные данные должны поступать из системы производственного учета на регулярной основе, принимается исходя из сопоставления затрат и доходов.
Калькулирование на любом предприятии, независимо от его вида деятельности, размера и формы собственности, организуется в соответствии с определенными принципами:
1. Научно обоснованная классификация затрат на производство.
В ближайшей перспективе Минфином РФ предполагается разработка специальных отраслевых рекомендаций по планированию и учету затрат. Для отдельных отраслей сферы материального производства. Этими документами будут определены возможные подходы к классификации затрат.
2. Установление объектов учета затрат, объектов калькулирования и калькуляционных единиц. Во многих случаях объекты учета затрат и объекты калькулирования не совпадают. Объектами учета затрат являются места их возникновения, виды или группы однородных продуктов. Местомвозникновения затрат в управленческом учете называют структурные единицы и подразделения предприятия, в которых происходит первоначальное потребление производственных ресурсов (рабочие места, бригады, цехи и т.п.).
3. Выбор метода распределения косвенных расходов чрезвычайно важен для правильного расчета себестоимости единицы продукции (работ, услуг). Он производится предприятием самостоятельно, записывается в учетной политике и является неизменным в течение всего финансового года.
4. Разграничение затрат по периодам. При этом необходимо руководствоваться принципом начисления. Его сущность состоит в том, что операции отражаются в бухгалтерском учете в момент их совершения и не увязываются с денежными потоками. Доходы и расходы, полученные (понесенные) в отчетном периоде, считаются доходами и расходами этого периода независимо от фактического времени поступления (или выплаты) денежных средств. Доходы и расходы, не относящиеся к отчетному периоду, не признаются доходами (расходами) отчетного периода, даже если деньги по ним поступили или перечислены в данном периоде.
5. Раздельный учет по текущим затратам на производство продукции и по капитальным вложениям. Данный принцип нашел свое отражение в Законе РФ «О бухгалтерском учете» (ст. 8, п. 6) и в Положении по ведению бухгалтерского учета и бухгалтерской отчетности в РФ.
6. Выбор метода учета затрат и калькулирования. Под методом учетазатрат на производство и калькулирования себестоимости продукциипонимают совокупность приемов документирования и отражения производственных затрат, обеспечивающих определение фактической себестоимости продукции, а также отнесения издержек на единицу продукции. Существуют различные методы учета затрат на производство и калькулирования себестоимости продукции. Их применение определяется особенностями производственного процесса, характером производимой продукции (оказываемых услуг), ее составом, способом обработки.[1]
Общепринятой классификации методов учета затрат и калькулирования пока не существует. Тем не менее их можно сгруппировать по трем признакам: по объектам учета затрат, по полноте учитываемых затрат и по оперативности учета и контроля за затратами.
Метод учета затрат и калькулирования выбирается предприятием самостоятельно, так как зависит от ряда частных факторов: отраслевойпринадлежности, размера, применяемой технологии, ассортимента продукции и т.п., иначе говоря, от индивидуальных особенностей предприятия. На практике эти методы могут применяться в различных сочетаниях. Главное, чтобы выбранный организацией метод обеспечивал возможность группировки затрат по отдельным объектам учета, текущего контроля за затратами на производство, а также возможность реализации важнейшего принципа управленческого учета — управления себестоимостью по отклонениям.
2. Объект калькулирования
Объект калькулирования – это вид продукции, полуфабрикатов, частичных продуктов разной степени готовности, работ и услуг определенной потребительной стоимости.
Для правильной организации учета затрат в организациях важное значение имеет точное определение объекта учета.
Под объектом калькулирования понимается продукция определенной потребительской стоимости разной степени готовности, себестоимость которой исчисляется для познания издержек на ее производство. Если технологический процесс состоит из ряда последовательных однообразных или периодически повторяющихся работ, то объектом калькулирования может быть готовая часть одного вида продукции, которая полностью завершена в отчетном периоде. В производствах, где ведутся только определенные работы, объектом калькулирования становятся конкретные их виды.
Номенклатуру объектов калькулирования разрабатывают на каждом предприятии с учетом типа производства, ассортимента продукции, ее сложности, уровня унификации деталей и узлов в изделиях и других признаков, характеризующих принадлежность затрат. Нередко объект калькулирования называют носителем затрат.[2]
В добывающих отраслях промышленности при отсутствии незавершенного производства (например, в энергетической, газовой, нефтяной и т.д.) объект учета затрат совпадает с объектом калькулирования (носителем затрат). То же наблюдается на предприятиях с индивидуальным характером производства (например, предприятия тяжелого машиностроения), а также в организациях, работающих по системе заказов (предприятия бытового обслуживания, ремонтные мастерские, аудиторские фирмы и т.д.). В тех производствах, где технологический процесс делится на ряд стадий (переделов), такого соответствия не наблюдается. Например, в текстильной отрасли объектами учета затрат становятся отдельные переделы — прядение, ткачество, отделка, а объектом калькулирования — готовая продукция, т.е. ткань. Другими словами, выбор объекта учета затрат зависит от технологических особенностей производства, специфики производимой продукции.
Объекты калькулирования имеют целенаправленные связи с калькуляционным учетом и калькуляционными единицами, которые представляют собой единицу измерения калькуляционного объекта. В то же время это не просто единица измерения, она характеризует качество и потребительную стоимость калькулируемого объекта.
Все многообразие калькуляционных единиц, применяемых в практике калькуляционного учета, можно свести к следующим группам:
Натуральные единицы – штуки, тонны, килограммы, киловатт-часы, литры, погонные метры и др.
Условно-натуральные единицы (обезличенные, укрупненные, усредненные) – 100 пар обуви определенного вида; производственный заказ; тонна литья определенного вида, поковок, штамповок; один станкокомплект; 100 условных банок консервов; кубический метр железобетонных изделий; обезличенные швейные изделия одного прейскурантного номера и др.
Условные (приведенные) единицы – спирт 100%-ной крепости; сода каустическая с содержанием 92% едкого натра;минеральные удобрения в пересчете на процент действующего вещества (азота, фосфора, калия) и др.
Стоимостные единицы – 1000 руб. автомобильных и тракторных запасных частей, инструментов и т.п.
Единицы работ – тонна перевезенного груза и др.
Единицы времени – машино-день, машино-час, нормо-час и др.
Эксплуатационные единицы – мощность, производительность, параметры продукции и др.[3]
Выбор калькуляционной единицы зависит от особенностей производства и выпускаемой продукции (оказываемых услуг, выполняемых работ). Могут использоваться натуральные единицы (штуки, тонны, метры и т.д.); условно-натуральные единицы (например, в обувной промышленности — 100 пар обуви определенного типа, в литейном производстве — тонна литья определенного вида, в консервной промышленности — условные банки); единицы времени (часы, машино-часы, человеко-дни); единицы работы — одна тонна перевезенного груза. Из этого множества калькуляционных единиц для калькулирования используется один измеритель, который рассматривается как основной. Условно-натуральные единицы могут применяться при калькулировании промежуточных продуктов.
3. Методы калькулирования
В современных условиях на предприятиях применяются разнообразные методы учета затрат и калькулирования, представляющие собой приемы нахождения и обработки информации о себестоимости продукции. Среди них можно выделить следующие: нормативный метод; попередельный метод; попроцессный метод; позаказный метод.
3.1. Нормативный метод
Нормативный метод, при котором:
а) отдельные виды затрат на производство учитываются по текущим нормам, предусмотренным нормативными калькуляциями;
б) обособленно ведется оперативный учет отклонений фактических затрат от текущих норм с указанием мест возникновения отклонений, причин и виновников их образования;
в) учитываются изменения норм затрат в результате внедрения организационно-технических мероприятий и их влияние на себестоимость продукции. Данный метод не зависит от факторов, влияющих на построение учета затрат на производство (организации производства, характера выпуска продукции, технологии ее изготовления), и может применяться в сочетании с другими методами. Развитием нормативного метода учета затрат является западная система "стандарт-кост".[4]
Нормативный метод калькуляции предполагает установление нормы для каждого вида затрат на выполнение осуществляемых хозяйственных операций. В этом случае в бухгалтерском учете расходы, формирующие себестоимость продукции (работ, услуг), отражаются в пределах установленных нормативов. Исходя из этих данных рассчитывается плановая себестоимость товаров (работ, услуг). А как учитывать перерасход или экономию бюджета организации, использующей нормативный метод определения себестоимости товаров (работ, услуг)? Такие отклонения отражаются отдельно в составе прочих расходов и доходов, учитываемых при формировании уже не плановой, а полной фактической себестоимости. Удобство данного метода калькуляции в том, что он позволяет получить информацию о нормативной и фактической себестоимости и оценить, насколько существенны отклонения между этими показателями. Но есть и недостаток - высокая трудоемкость учетного процесса, к тому же не по всем статьям затрат можно установить определенные нормативы.
Нормативное калькулирование, как правило, используется в организациях массового или крупносерийного производства с большим числом часто повторяющихся во времени операций. С другой стороны, нормативный метод учета затрат можно применять в организациях с единичным и индивидуальным производством продукции, если при изготовлении разных продуктов имеют место общие операции, и, таким образом, нормативные затраты на производство продукции будут определяться путем суммирования издержек на отдельные операции. Данное требование связано с тем, что сама по себе разработка нормативов требует значительных трудозатрат, и постоянный их пересмотр лишает целесообразности применение нормативного учета.
Необходимой предпосылкой применения нормативного метода является наличие соответствующей нормативной базы, под которой понимается комплекс всех заданий, нормативов, норм и смет, используемых для планирования, организации и контроля производственного процесса.
Систему норм, используемых в нормативном учете, можно разделить на две группы: технические и экономические. К техническим относятся нормы, характеризующие технологическую сторону производства, расход материалов, времени, затрат труда работников, использование оборудования и машин. Экономические нормы отражают конечные результаты деятельности организации по реализации продукции: объем выпущенной продукции, себестоимость, прибыль и рентабельность. Система норм разрабатывается и регламентируется в установленном в организации порядке.
В рамках нормативного учета связь между затратами и производственными процессами находит свое выражение в разработке производственной технологии, проекта производства работ, технологических карт, в предварительном исчислении нормативной себестоимости продуктов на основе технически обоснованных норм затрат; в системном учете изменений норм; в исчислении фактической себестоимости объектов калькулирования как алгебраической суммы затрат по нормам, отклонений от норм и изменения норм.
3.2. Попередельный метод
Попередельный метод представляет собой совокупность технологических операций, которые завершаются выработкой промежуточного продукта (полуфабриката), направляемого в другой цех на доработку, или же получением законченного готового продукта. Объектом учета затрат является отдельный передел. Попередельный метод означает локализацию затрат по переделам, поэтому он может существовать при наличии не менее двух переделов.[5]
Попередельный метод калькулирования используется в отраслях промышленности в том случае, когда изделия проходят в определенной последовательности через все этапы производства, называемые переделами. Передел - это совокупность технологических операций, которая завершается выработкой промежуточного продукта (полуфабриката) или же получением законченного готового продукта.
Сущность попередельного метода состоит в том, что прямые затраты отражаются в учете по переделам либо стадиям производства, а не по видам продукции. Процесс выпуска готовой продукции в данном случае состоит в основном из нескольких последовательных законченных переделов. При данном способе учета калькулирования себестоимости, как правило, исчисляют себестоимость продукции каждого передела.
При попередельном способе учета затрат сводный учет затрат (система обобщения издержек производства по статьям расходов в разрезе цехов основного и вспомогательного производства, видам продукции) осуществляется по одному из вариантов учета либо по бесполуфабрикатному варианту учета, либо по полуфабрикатному варианту.
При бесполуфабрикатном варианте учета ограничиваются отражением затрат по каждому переделу. В бухгалтерском учете движение полуфабрикатов не отражается. Движение полуфабрикатов от одного передела к другому переделу контролируется по данным оперативного учета в натуральном выражении. При данном варианте учета себестоимость полуфабрикатов после каждого передела не определяют, а исчисляют лишь себестоимость готового продукта. На сумму расходов, связанных с выпуском продукции, в учете делается запись: Д-т 20, К-т 02, 10, 70, 26, 28 и пр. На сумму фактической себестоимости завершенной производством продукции - Д-т 43, К-т 20.
При полуфабрикатном варианте учета движение полуфабрикатов от одного передела к другому отражают бухгалтерскими записями и калькулируют себестоимость полуфабрикатов после каждого передела. В учете отражаются расходы, связанные с изготовлением полуфабрикатов: Д-т 21, К-т 20. Передача полуфабрикатов в дальнейшую переработку: Д-т 20, К-т 21. Если часть полуфабрикатов подлежит продаже другим организациям и лицам: Д-т 90, К-т 21.
Преимуществом полуфабрикатного метода учета является наличие бухгалтерской информации о себестоимости полуфабрикатов на выходе из каждого передела (она необходима для формирования цены при реализации полуфабриката на сторону). Кроме того, этот метод позволяет учитывать остатки незавершенного производства в местах его нахождения, контролировать движение полуфабрикатов собственного производства.
Попередельный метод учета применяют на предприятиях и в производствах с повторяющейся, однородной по исходному сырью, материалам и характеру выпуска массовой продукцией. Указанный метод используют предприятия таких отраслей промышленности, как нефтеперерабатывающая, металлургическая, химическая, целлюлозно-бумажная, хлопчатобумажная, текстильная и пр.
3.3. Попроцессный метод
Попроцессный метод - это метод, при котором прямые и косвенные издержки производства учитываются по статьям калькуляции на весь выпуск продукции, поэтому средняя себестоимость единицы продукции (работы, услуги) определяется делением суммы всех издержек производства за месяц (в целом по итогу и по каждой статье) на количество готовой продукции за этот же период.[6]
Сущность попроцессного метода заключается в том, что прямые и косвенные затраты учитываются по статьям калькуляции на весь выпуск продукции. Среднюю себестоимость единицы продукции (работы, услуги) определяют делением суммы всех произведенных за месяц затрат на количество готовой продукции за этот же период.
Если добывается или производится продукция одного вида и отсутствует незавершенное производство, общая величина затрат за месяц и представляет себестоимость месячного выпуска. В большинстве случаев возникает необходимость распределения затрат. Распределение затрат при попроцессном методе калькулирования осуществляется в зависимости от характера производства и видов продукции по одному из вариантов. В отраслях с длительным циклом производства (лесозаготовительная промышленность) распределение затрат производится между выпуском продукции и незавершенным производством (первый вариант).
Второй вариант распределения затрат применяют на предприятиях, в которых незавершенное производство отсутствует или незначительно, но выпускается несколько видов продукции (предприятия нефтедобывающей промышленности нефти и газа и пр.). На данных предприятиях учет затрат ведут по процессам. При этом затраты, относящиеся к определенному виду продукции, учитываются обособленно. Общие затраты распределяются между отдельными видами продукции.
Третий вариант применяют в угольной, горнорудной промышленности. Происходит суммирование затрат по процессам и распределение на объем выпущенной продукции.
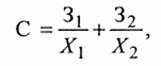
Себестоимость продукции методом простого двухступенчатого калькулирования рассчитывается по следующей формуле:

где С — полная себестоимость единицы продукции, руб.;
З1 — совокупные производственные затраты отчетного периода, руб.;
З2 — управленческие и коммерческие расходы отчетного периода, руб.;
Х1 — количество единиц продукции, произведенной в данном отчетном периоде;
X2 — количество единиц продукции, реализованной в отчетном периоде.
Из описания последовательности расчетов себестоимости по методу простого двухступенчатого калькулирования видно, что его практическое использование предполагает наличие на предприятии простейшей системы учета затрат по местам их возникновения. Это позволяет выделить издержки производственной сферы и административно-сбытовые издержки [7] .
Попроцессный метод калькулирования себестоимости продукции обычно применяют на предприятиях, для которых характерны массовый характер производства, один или несколько видов производимой продукции, краткий период технологического процесса и отсутствие в большинстве случаев незавершенного производства. Это могут быть предприятия добывающих отраслей промышленности, электростанции, теплостанции, лесозаготовительные организации, предприятия нефтедобывающей промышленности (добыча нефти и газа), промышленности стройматериалов (добыча песка и гравия). Попроцессный метод может использоваться в перерабатывающих отраслях с простейшим технологическим циклом производства (производство асфальта, шифера и пр.).
3.4. Позаказный метод
Позаказный метод - это метод, при котором объектом калькулирования выступает отдельный производственный заказ, фактическая себестоимость которого определяется после его выполнения, независимо от длительности.[8]
Позаказный метод используется при изготовлении единичных, уникальных или выполняемых по специальному заказу изделий. Под заказом понимают изделие, мелкие серии одинаковых изделий или ремонтные, монтажные, экспериментальные и другие работы.
Сущность позаказного метода заключается в следующем: все прямые затраты учитываются в разрезе установленных статей калькуляции по отдельным производственным заказам. Остальные затраты учитываются по местам возникновения расходов, их назначению и статьям и включаются в себестоимость отдельных заказов в соответствии с установленной базой распределения затрат.
В бухгалтерии предприятия на основании первичных документов производится учет материалов, заработной платы, потерей от брака, износа приспособлений и инструментов, связанных с выполнением заказа - т.е. прямых издержек.
В первичных документах проставляется номер заказа.
В целях регистрации различных производственных затрат для учета незавершенного производства используют ведомость калькуляции затрат по заказу и видам работ. Для каждого заказа заводится отдельная ведомость, в которой аккумулируются затраты по прямым материалам, прямому труду и заводским накладным расходам, относимым на этот заказ по мере его прохождения через процесс производства. В зависимости от потребностей компании форма ведомости может быть различной. Ведомость (карточка) заказа является основным учетным регистром.[9]
Объектом учета затрат и объектом калькулирования при позаказном методе является отдельный производственный заказ, фактическая себестоимость которого определяется после его изготовления. До выполнения заказа все относящиеся к нему затраты считаются незавершенным производством. Отчетную калькуляцию составляют только после выполнения заказа. Непременным условием применения позаказного метода является система открытия производственного заказа. При открытии заказа заводят карту аналитического учета затрат по данному заказу. По окончании изготовления изделия или выполнения работы заказ закрывают.
Учетные записи в условиях позаказного метода отражаются в следующем порядке. Прямые затраты материалов, прямая заработная плата относятся на соответствующие заказы записями: Д-т 20, К-т 10, 16, 70, 69 и др. Косвенные расходы, собранные, как правило, на счетах 26 "Общехозяйственные расходы" и 25 "Общепроизводственные расходы", распределяются в соответствии с выбранным организацией методом распределения косвенных затрат. Списание косвенных затрат на выполняемые заказы: Д-т 20, К-т 26, 25.
Позаказный метод предназначен в основном для применения в индивидуальном производстве, при выпуске опытных образцов продукции или единичных изделий, таких, как блюминги, прокатные станы, суда, турбины и пр. Его применяют на предприятиях с физико-химическими процессами при выпуске отдельных видов продукции ограниченного количества. Используется данный метод также в мелкосерийном производстве. Успешно позаказный метод используется в строительстве, научно-исследовательских институтах, учреждениях здравоохранения. Данный метод применяют в издательской деятельности, при выполнении индивидуальных заказов по ремонту автомобилей, ремонту телевизоров, оказании услуг по пошиву одежды и пр.
4.Калькулирование себестоимости продукциив общественном питании
В качестве примера возьмем условное предприятие торговли и общественного питания ООО "Василек". В данной организации используется позаказно-нормативный метод учета затрат и калькулирования себестоимости продукции. Объектом учета является конкретный заказ, а калькуляция изделия осуществляется на основе нормативов, устанавливаемых на каждый вид изделия на основании технологических карт, в которых рассчитаны потери при тепловой и холодной переработке продуктов.
Цена на продукцию в ООО "Василек" в качестве прямых затрат включает только стоимость сырья, а остальные ее элементы (издержки и прибыль) отражаются в ее составе косвенно - через торговую наценку, которая учитывается на счете 42 "Торговая наценка".
В ООО "Василек" продажная цена изделия исчисляется с помощью калькуляции. Калькулирование продажной цены происходит на основании нормативов, которые установлены сборниками рецептур.
Данные сборники являются нормативными документами, в них указаны расход сырья, выход полуфабрикатов и готовых блюд, приводится технология их приготовления. В сборнике даются нормы выхода готовых изделий с указанием массы отдельных компонентов (фарша, полуфабриката и т.д.), приводится и масса всего блюда в целом.
Продажные цены рассчитываются в калькуляционной карточке отдельно на каждое блюдо или изделие кухни.
Калькуляция продажных цен на каждое блюдо (изделие) кухни, в том числе гастрономию, реализуемую порциями, оформляется на карточках по типовой форме.
Калькуляционная карточка (приложение форма N ОП-1) предназначена для определения продажной цены отдельно на каждое изделие кухни.
Перед составлением калькуляции необходимо знать: ассортимент выпускаемых блюд, который составляется заведующим производством и отражается в плане-меню (приложение форма N ОП-2), нормы закладки сырья по сборнику рецептур, а также цены на продукты и сырье.
В калькуляционной карточке указываются:
а) порядковый номер калькуляционной карточки, показываемый дробью, где в числителе - порядковый номер калькуляционной карточки по регистрации, в знаменателе - номер блюда по прейскуранту постоянно действующих цен;
б) номер рецептуры, варианта (колонки) и название сборника, из которого взята рецептура;
в) наименование продуктов;
г) количество продуктов на 100 порций (блюд) или 10 кг (соуса, гарнира, фарша и т.д.), в килограммах по нормам закладки;
д) продажная цена 1 кг продукта (розничная цена плюс наценка);
е) продажная стоимость набора сырья на 100 порций;
ж) продажная цена 1 порции (после округления цен);
з) выход готовой продукции в граммах. При этом выход вторых блюд указывается без веса гарнира и соуса (выход соуса в блюдах, калькулируемых вместе с соусом, указывается отдельно).
Калькуляционные карточки нумеруются и регистрируются в специальном реестре после подписей лиц, которые несут ответственность за правильность установления цен.
Размеры наценок на продукцию (сырье), покупные товары, реализуемые в предприятиях общественного питания, определяются с учетом возмещения издержек производства и обращения, налога на добавленную стоимость, отчисляемого в бюджет, и обеспечения рентабельной работы предприятий.
В производственном цехе в соответствии со сборником рецептур составляется калькуляция себестоимости одного вида изделия.
С точки зрения улучшения использования позаказно-нормативного метода учета затрат на производство продукции, применяемого в ООО "Василек" и на других предприятиях, можно использовать следующие направления.
1. Обеспечение своевременного, полного и достоверного отражения фактических затрат на счетах производства в отчетном периоде, для этого необходимо соблюдение ежедневного контроля за оформлением первичной документации по расходу сырья на производство.
2. Осуществление более строгого контроля за выполнением норм расхода сырья в соответствии с нормативной документацией.
3. Выяснение причин и виновников отклонений от норм затрат.
Следует также отметить, что предприятия торговли и общественного питания в большинстве случаев относятся к малому бизнесу, и для них приемлемо использование системы "директ-костинг", предусматривающей калькулирование сокращенной себестоимости продукции, при которой на себестоимость продукции относятся только переменные издержки производства, а постоянные полностью переносятся на продажу.[10]
Заключение
Управление предприятием представляет собой процесс обеспечения его деятельности для достижения поставленных целей. Целью нормально функционирующего предприятия является получение максимальной прибыли с наименьшими затратами для формирования источников последующего экономического развития предприятия, которое позволит вести инвестиционную политику, политику реконструкции и расширения производства; социальную политику развития коллектива, дающую базу для формирования кадровой политики и т.д. Финансовый результат деятельности предприятия в свою очередь во многом зависит от правильно выбранной стратегии управления себестоимостью. [11]
Расчет производственных затрат необходим для:
-Оценки запасов и реализованной продукции в бухгалтерском учете.
-Обеспечения руководства информацией необходимой для анализа, контроля, принятия решений.
-Обеспечения информацией о реальных затратах на данном предприятии внешних пользователей, таких как: страховые компании, аудиторские фирмы, налоговая инспекция.
Учет затрат вбирает в себя документирование, отражение на счетах фактически понесенных затрат и калькулирования себестоимости продукции.
На предприятиях должна быть создана эффективная система интегрированного внутризаводского учета, всесторонне и комплексно характеризующего протекание и результаты производственно-хозяйственной деятельности на различных уровнях, вплоть до отдельных рабочих мест. Модели, основанные на изучении взаимоотношения затрат, объема производства и прибыли, дают возможность руководителям предприятия планировать и прогнозировать деятельность фирмы. В данной работе были рассмотрены принципы калькулирования, его объект и методы, которые предназначены для определения себестоимости единицы продукции, что обеспечивает информацией руководителей различных уровней внутрипроизводственного управления, ответственных для достижения конкретных производственных целей.
Информация, содержащаяся в современных системах калькулирования, позволяет не только решать традиционные задачи, но и прогнозировать экономические последствия таких ситуаций, как:
-Целесообразность дальнейшего выпуска продукции.
-Установление оптимальной цены на продукцию.
-Оптимизации ассортимента выпускаемой продукции.
-Целесообразность обновления действующей технологии и станочного парка.
-Оценка качества работы управленческого персонала.
Калькулирование позволяет изучить себестоимость полученных в процессе производства конкретных продуктов.
Калькулирование себестоимости продукции является объективно необходимым процессом при управлении производством.
Калькулирование себестоимости продукции, работ или услуг занимает доминирующее место в общей системе бухгалтерского учёта на предприятии. В условиях самостоятельного планирования предприятиями номенклатуры продукции и свободных (рыночных) цен возрастает значимость калькулирования себестоимости продукции, вырабатываемой на предприятиях.
Грамотно организованный учет затрат позволяет вести оперативный анализ себестоимости по статьям затрат и принимать своевременные меры по снижению стоимости выпускаемой продукции (производимых работ, выполняемых услуг), что даёт возможность влиять на их рыночную конкурентоспособность.
Необходимо повысить заинтересованность организаций в использовании учётной информации о затратах и составлении калькуляции для целей оперативного руководства и управления. Более детальное изучение вопроса затрат на производство продукции (работ, услуг) позволит руководителям и бухгалтерам организаций правильно увидеть статьи расходов и умело составить отчёт о производственных затратах, а это, в свою очередь, создаст благоприятную почву для выживания и процветания предприятия в жестких условиях рыночной экономики.
Глоссарий
| Калькулирование | определяется как система экономических расчетов себестоимости единицы отдельных видов продукции (работ, услуг) |
| Задача калькулирования | определить издержки, которые приходятся на единицу продукции (услуг), предназначенных для реализации, а также на единицу продукции (услуг) для внутреннего потребления. |
| Объекты калькуляции | отдельные изделия, группы изделий, полуфабрикаты, работа и услуги, себестоимость которых определяется. |
| Плановая калькуляция | составляется на плановый период на основе действующих на начало этого периода норм и смет. |
| Сметная калькуляция | рассчитывается при проектировании новых производств и конструировании вновь осваиваемых изделий при отсутствии норм расхода. |
| Фактическая (отчетная) калькуляция | отражает совокупность всех затрат на производство и реализацию продукции. Она используется для контроля за выполнением плановых заданий по снижению себестоимости различных видов продукции, а также для анализа и динамики себестоимости. |
| Попередельный метод | представляет собой совокупность технологических операций, которые завершаются выработкой промежуточного продукта (полуфабриката), направляемого в другой цех на доработку, или же получением законченного готового продукта. |
| Нормативный метод | предполагает, что по каждому виду изделия составляется предварительная нормативная калькуляция, т.е. калькуляция рассчитанная по действующим на начало месяца нормам расхода материалов и трудовых затрат. |
| Попроцессный метод | метод, при котором прямые и косвенные издержки производства учитываются по статьям калькуляции на весь выпуск продукции, поэтому средняя себестоимость единицы продукции (работы, услуги) определяется делением суммы всех издержек производства за месяц (в целом по итогу и по каждой статье) на количество готовой продукции за этот же период. |
| Позаказный метод | метод, при котором объектом калькулирования выступает отдельный производственный заказ, фактическая себестоимость которого определяется после его выполнения, независимо от длительности. |
Список использованных источников
1. Закон Российской Федерации «О бухгалтерском учете» № 129 – ФЗ от 21.11.1996 (ред. от 30.06.2003 г.)
2. План счетов бухгалтерского учета финансово-хозяйственной деятельности организаций: Приказ Минфина России от 07.05.2003 N 38н.
3. Вахрушина М.А. Бухгалтерский управленческий учет: учебник для вузов. - М.: Омега-Л, 2003. – 528 с.
4. Гущина И.Э., Балакирева Н.М. Управленческий учет: основы теории и практики: Учебное пособие. - М.: КНОРУС, 2004. – 192 с.
5. Друри К. Управленческий и производственный учет: Пер. с англ., Учебник. - М.: ЮНИТИ-ДАНА, 2003. – 1071 с.
6. Ивашкевич В. Б. Бухгалтерский управленческий учет. - М.: Юристь, 2003. – 618 с.
7. Кондратова И.Г., Основы управленческого учета. - М.: Финансы и статистика, 2001. – 160 с.
8. Николаева О.Е. Особенности учета затрат в условиях рынка. Система Директ-костинг: теория и практика. - М.: Финансы и статистика, 1993.- 128с.
9. Шеремет А.Д. Управленческий учет: учебное пособие. - М.:ИД ФБК-ПРЕСС, 2001. – 512 с.
10. Юрьева Н.А. Методы учета затрат и калькулирования себестоимости продукции. // Все для бухгалтера. – 2007. - №19. – С. 11-13.
Приложение форма N ОП-1
Унифицированная форма N ОП-1
Утверждена
Постановлением Госкомстата России
от 25.12.98 N 132
┌─────────┐
│ Код │
├─────────┤
Форма по ОКУД│ 0330501 │
├─────────┤
по ОКПО│ │
______________________________________________________ ├─────────┤
организация │ │
______________________________________________________ ├─────────┤
структурное подразделение │ │
Вид деятельности по ОКДП│ │
______________________________________________________ ├─────────┤
наименование блюда │ │
Номер блюда по сборнику рецептур, ТТК, СТП│ │
├─────────┤
Вид операции│ │
└─────────┘
┌─────────┬───────────┐
│ Номер │ Дата │
│документа│составления│
КАЛЬКУЛЯЦИОННАЯ КАРТОЧКА ├─────────┼───────────┤
│ │ │
└─────────┴───────────┘
| Порядковый номер калькуляции, дата утверждения |
N 1 от "__" ______ г. |
… | N 6 от "__" ______ г. |
||||||
| Номер по поря- дку |
Продукты | нор- ма, кг |
цена, руб. коп. |
сумма, руб. коп. |
нор- ма, кг |
цена, руб. коп. |
сумма, руб. коп. |
||
| наименование | код | ||||||||
| 1 | 2 | 3 | 4 | 5 | 6 | 19 | 20 | 21 | |
| Общая стоимость сырьевого набора на 100 блюд |
|||||||||
| Наценка _______%, руб. коп. | |||||||||
| Цена продажи блюда, руб. коп. | |||||||||
| Выход одного блюда в готовом виде, грамм |
|||||||||
| Заведующий производством | п о д п и с ь |
||||||||
| Калькуляцию составил | |||||||||
| УТВЕРЖДАЮ Руководитель организации |
|||||||||
Приложение форма N ОП-2
Унифицированная форма N ОП-2
Утверждена
Постановлением Госкомстата России
от 25.12.98 N 132
┌─────────┐
│ Код │
├─────────┤
Форма по ОКУД│ 0330502 │
├─────────┤
_______________________________________________ по ОКПО│ │
организация ├─────────┤
_______________________________________________________│ │
структурное подразделение ├─────────┤
Вид деятельности по ОКДП│ │
├─────────┤
Вид операции│ │
└─────────┘
УТВЕРЖДАЮ
Руководитель
_________________
должность
_____________ _____________________
подпись расшифровка подписи
"__" ______________ ____ г.
┌─────────┬───────────┐
│ Номер │ Дата │
│документа│составления│
ПЛАН - МЕНЮ ├─────────┼───────────┤
│ │ │
└─────────┴───────────┘
на "__" ______________ ____ г.
| Номер по по- рядку |
Блюдо и гарнир | Коли- чест- во |
Цена про- дажи, руб. коп. |
Сумма, руб. коп. |
||||
| наименова- ние и краткая характе- ристика |
код | номер блюда по сборнику рецептур, по ТТК, СТП |
выход одного блюда, г |
|||||
| 1 | 2 | 3 | 4 | 5 | 6 | 7 | 8 | |
| и т.д. | ||||||||
| Итого | ||||||||
Заведующий производством _______________ _________________________
подпись расшифровка подписи
[1] Закон Российской Федерации «О бухгалтерском учете» № 129 – ФЗ от 21.11.1996 (ред. от 30.06.2003 г.
[2] Ивашкевич В.Б. Бухгалтерский управленческий учет. - М.: Юристъ, 2003. – С. 59
[3] «План счетов бухгалтерского учета финансово – хозяйственной деятельности организаций» утвержден приказом Министерства Финансов РФ № 94 – Н от 31.10.2000 (в ред. приказов Минфина РФ №38 – Н от 07.05.2003 г.)
[4] Юрьева Н.А. Методы учета затрат и калькулирования себестоимости продукции. // Все для бухгалтера. – 2007. - №19. – С. 11
[5] Юрьева Н.А. Методы учета затрат и калькулирования себестоимости продукции. // Все для бухгалтера. – 2007. - №19. – С. 11
[6] Юрьева Н.А. Методы учета затрат и калькулирования себестоимости продукции. // Все для бухгалтера. – 2007. - №19. – С. 12
[7] Шеремет А.Д. Управленческий учет. - М.: ИД ФБК-ПРЕСС, 2001- С. 74
[8] Юрьева Н.А. Методы учета затрат и калькулирования себестоимости продукции. // Все для бухгалтера. – 2007. - №19. – С. 12
[9] Вахрушина М.А. Бухгалтерский управленческий учет: учебник для вузов-М.: Омега-Л, 2003. –С. 37.
[10] Юрьева Н.А. Методы учета затрат и калькулирования себестоимости продукции. // Все для бухгалтера. – 2007. - №19. – С. 13
[11] Кондратова И.Г., Основы управленческого учета. - М.: Финансы и статистика, 2001 – С. 104.