| Скачать .docx |
Реферат: Совершенствование механизма воспроизводства оборотных средств на примере сельскохозяйственных предприятий Луганской области
Совершенствование механизма воспроизводства оборотных средств на примере сельскохозяйственных предприятий Луганской области
Процесс кругооборота оборотных средств является частью кругооборота всего авансированного капитала. Следовательно, исследование вопроса повышения эффективности использования оборотных средств, необходимо рассматривать в комплексе со всем ресурсным потенциалом. И соответственно, совершенствование механизма воспроизводства оборотных средств есть ничто иное, как совершенствование механизма воспроизводства всего авансированного капитала.
Одной из главных задач в формировании благоприятных производственных условий для всех субъектов хозяйствования является создание действенного механизма регулирования процесса воспроизводства экономических ресурсов, который давал бы возможность не только вести простое воспроизводство факторов производства, а и развиваться предприятиям, независимо от формы собственности и отраслевой принадлежности.
Процесс кругооборота авансированного капитала может осуществляться путем простого и расширенного воспроизводства. Возмещение затраченных средств производства - объективное условие простого воспроизводства и сохранения достигнутого уровня производства. Для осуществления расширенного воспроизводства необходимо сначала возместить потребленные средства, а уже потом расширять производство на основе привлечения дополнительных производственных фондов. Иными словами, чтобы осуществить следующий цикл производства, предприятие должно возместить потребленные средства производства за счет части валового продукта, в том же объеме при простом, и в увеличенном - при расширенном воспроизводстве. Следовательно, источником простого воспроизводства авансированных в производство ресурсов является себестоимость продукции, расширенного воспроизводства - прибыль. Основной формой расширенного воспроизводства является интенсификация производства.
Под интенсивностью следует понимать концентрацию до оптимального уровня авансированного капитала на гектар земельных угодий, что обеспечивает опережающее увеличение производства продукции с этой площади и повышение эффективности использования вложенных ресурсов.
В процессе производства сельскохозяйственной продукции участвуют следующие экономические ресурсы, а именно: основные средства, оборотные средства, трудовые ресурсы, земля. Все перечисленные экономические ресурсы участвуют в процессе производства, в результате которого создается продукция. В процессе реализации продукции предприятие получает выручку, из которой должны возмещаться авансированные в производство экономические ресурсы.
Основные средства участвуют в нескольких производственных циклах и переносят свою стоимость на стоимость готовой продукции по частям в виде амортизационных отчислений. Оборотные средства участвуют в одном производственном цикле и переносят свою стоимость на стоимость готовой продукции полностью в течение одного производственного цикла в виде материальных затрат. Трудовые ресурсы отражены в стоимости готовой продукции в виде фонда оплаты труда.
Земельные ресурсы пока еще не в полной мерс участвуют в процессе кругооборота ресурсов. В настоящее время уже появились некоторые признаки участия земли в кругообороте капитала. В частности, с 2001 года в перечне затрат на основное производство присутствует статья затрат арендная плата за земельные паи. С учетом формирования рынка земли в будущем земельные ресурсы будут отражаться в стоимости готовой продукции в виде отдачи на землю. Отдача на землю, при условии, что она является товаром, может быть определена как произведение процентной ставки по долгосрочным банковским вкладам на рыночную стоимость гектара земли или может быть рассчитана с ориентацией на величину арендной платы заземлю.
Схематически процесс кругооборота авансированных ресурсов представлен на рис. 1.
Процесс кругооборота авансированного капитала является суммой кругооборотов отдельных его составляющих. А скорость оборачиваемости капитала, соответственно зависит от скоростей оборачиваемости каждого ресурса. Чем выше удельный вес того или иного вида ресурсов в структуре затрат производства, тем большее влияние оказывает скорость его оборачиваемости на скорость оборачиваемости всего авансированного капитала. Исходя из экономической сущности отдельных видов ресурсов, следует, что наибольшую скорость оборачиваемости по сравнению с остальными видами ресурсов имеют оборотные средства, так как они участвуют только в одном производственном цикле и по окончании его полностью возмещаются в том же объеме. Следовательно, скорость оборачиваемости авансированного капитала всегда будет стремиться к скорости оборачиваемости оборотных средств, при условии увеличения их доли в структуре активов.

Рис 1. Схема кругооборота авансированных ресурсов сельскохозяйственных предприятий
Рис.2. Структура затрат на основное производство сельскохозяйственных предприятий Луганской области в 2005 году,%

Наибольший удельный вес в структуре затрат на основное производство занимают материальные затраты, доля которых в 2005 году составила 67,40 %, то есть более 2/3 всех затрат (рис.2). Соответственно, наибольшее влияние на скорость оборачиваемости авансированного капитала оказывают оборотные средства.
Скорость оборачиваемости авансированного капитала определяется по известной формуле:
![]()
где Как - коэффициент оборачиваемости авансированного капитала;
В - выручка от реализации продукции, работ и услуг;
АК - среднегодовая стоимость авансированного капитала;
Об. ср. - среднегодовая стоимость оборотных средств.
Из вышеуказанной формулы следует, что скорость оборачиваемости авансированных в производство ресурсов непосредственно зависит от скорости оборачиваемости оборотных средств. То есть, чем выше скорость оборачиваемости оборотных средств и больше удельный вес их в структуре активов, тем быстрее возобновляется авансированный в производство капитал.
Проследив динамику скорости оборачиваемости авансированного капитала сельскохозяйственных предприятий Луганской области, можно увидеть, что за исследуемый период скорость оборачиваемости авансированных ресурсов из года в год возрастала и в 2005 году достигла значения 0,75, что более чем в 5 раз превышает показатель 1996 года. Это происходило, в основном, за счет увеличения доли оборотных средств в структуре активов, удельный вес которых за анализируемый период возрос более, чем в 3 раза и в меньшей степени за счет ускорения оборачиваемости оборотных средств, поскольку значительное ускорение кругооборота в сельскохозяйственном производстве ограничено природными факторами (рис.3).

Рис.3. Динамика скорости оборачиваемости авансированного капитала сельскохозяйственных предприятий Луганской области
Однако следует отметить, что ускорение оборачиваемости оборотных средств в последние годы обусловлено сокращением удельного веса отраслей с низкой скоростью оборачиваемости. Увеличение же доли оборотных средств в структуре активов происходило в основном за счет сокращения обеспеченности сельскохозяйственных предприятий основными средствами.
Таким образом, ускорение оборачиваемости авансированного капитала Должно сопровождаться как увеличением скорости оборачиваемости оборотных средств наряду с ростом их удельного веса в структуре активов, так и увеличением концентрации авансированного капитала в расчете на единицу земельной площади.
Осуществление воспроизводственного процесса авансированных ресурсов в аграрном секторе экономики в значительной мере зависит от эффективности сельскохозяйственного производства в каждом производственном цикле. А поэтому все исследования, направленные на совершенствование механизма воспроизводства авансированного капитала, в том числе и оборотных средств, так или иначе, затрагивают вопросы повышения эффективности сельскохозяйственного производства.
За исследуемый период эффективность сельскохозяйственного производства в Луганской области изменялась неоднозначно (рис.4). Так рентабельность производства продукции растениеводства с 1996 года имела тенденцию к снижению. Начиная с 1999 года, после осуществления разгосударствления сельскохозяйственных предприятий и образования предприятий, новых организационно-правовых форм хозяйствования, наметился рост рентабельности продукции растениеводства, который в 2003 году достиг своего пика и составил 61,1 %. Однако, эта положительная тенденция сменилась на противоположную и уже в 2005 году уровень рентабельности растениеводческой отрасли составил всего лишь 7,3 %. Продукция животноводства в отличие от растениеводческой на протяжении всего исследуемого периода оставалась убыточной, и лишь только в 2005 году уровень рентабельности продукции животноводства достиг положительного значения и составил 3,2 %.

Рис. 4 Эффективность сельскохозяйственного производства Луганской области
Что же касается эффективности производства отдельных видов сельскохозяйственной продукции, то единственным видом продукции, уровень рентабельности которой на протяжении исследуемого периода, имел только положительное значение, является подсолнечник.
Остальные виды продукции в те или иные годы были убыточны. Так, в 1998, 1999 годах уровень рентабельности по всем видам продукции, кроме подсолнечника, имел отрицательное значение. Начиная с 2000 года, вся продукция растениеводства стала прибыльной, однако это не превратилось в тенденцию, и уже в 2005 году положительное значение уровня рентабельности имели только озимая пшеница и подсолнечник. Причем уровень рентабельности озимой пшеницы опустился до самого низкого уровня за последние 6 лет, и составил 0,4 %, что на 39,8 % меньше чем в предыдущем году.
Практически все виды продукции животноводства убыточны, кроме яиц куриных, уровень рентабельности которых на птицеводческих предприятиях колебался с 11,3 % в 2000 году до 31,1 % в 2001 году. Следует отметить получение положительного уровня рентабельности по молоку в 2004 и 2005 годах, а также по приросту мяса птицы в 2005 году.
На уровень рентабельности продукции оказывают влияние цена реализации и себестоимость продукции. В свою очередь цены реализации в значительной степени формируются под влиянием спроса и предложения продукции. Количественным выражением предложения продукции на рынке является количество реализованной продукции. Таким образом, эффективность производства и реализации сельскохозяйственной продукции находится в прямой зависимости от вышеперечисленных факторов.
Производство и реализация отдельных видов сельскохозяйственной продукции за исследуемый период не отличалось стабильностью. Происходило то увеличение, то снижение реализации отдельных видов сельскохозяйственной продукции. В целом же за исследуемый период в сельскохозяйственных предприятиях Луганской области более чем на 75 %, сократилось производство и реализация сахарной свеклы, картофеля, овощей открытого грунта, прироста мяса кре, прироста мяса овец и коз, шерсти. На 64,7 % сократилась реализация молока, на 20,7 % - прироста мяса свиней. В тоже время производство и реализация подсолнечника возросла на 20,9 %, кукурузы на зерно более чем в 19 раз, озимой пшеницы в 3,5. раза. Также увеличилась реализация продукции птицеводства: прирост мяса птицы за 6 лет, начиная с 2000 года вырос в 3,8 раза, производство яиц в 1,8 раза. То есть наблюдается тенденция увеличения производства и реализации рентабельных видов продукции и сокращение производства убыточных.
Однако значительное увеличение предложения отдельных видов продукции привело к снижению цен на них, что в итоге привело к падению; рентабельности. Так, снижение уровня рентабельности озимой пшеницы в 2005 году до уровня 0,4 % обусловлено увеличением предложения этого вида продукции на рынке, почти в 2 раза выше прошлогоднего уровня, что повлекло за собой значительное снижение цен с 50,9 грн./ц. в 2004 году до 37,1 грн./ц. в 2005 году. Притом, что себестоимость озимой пшеницы возросла на 0,7 грн./ ц.
Цены на сельскохозяйственную продукцию в Луганской области за исследуемый период не отличались стабильностью. В более урожайные годы для тех или иных видов продукции, вследствие роста предложения продукции наблюдалось снижение цен реализации, и наоборот, сокращение производства и реализации продукции приводило к росту цен на неё.
В то же время себестоимость отдельных видов сельскохозяйственной продукции, не смотря на колебания в отдельные годы в течение исследуемого периода, имела четкую тенденцию к росту. Так за исследуемый период себестоимость зерновых и зернобобовых выросла в 3,4 раза, кукурузы на зерно в 1,9 раз, подсолнечника в 3,9 раз, сахарной свеклы 2,8 раза, картофеля и овощей открытого грунта более чем в 1,5 раза, молока и шерсти более чем в 2 раза, прироста мяса кре почти в 5 раз, прироста мяса свиней и овец около 3 раз.
Таким образом, за анализируемый период в сельскохозяйственном производстве так и не были созданы благоприятные условия для стабильного роста эффективности сельскохозяйственного производства. А незначительный рост эффективности в отдельные годы является лишь результатом благоприятных условий сложившихся в краткосрочном периоде, включая погодные условия, а также рыночную конъюнктуру. За период произошло значительное сокращение производства практически всех видов
сельскохозяйственной продукции, кроме высоколиквидной сельскохозяйственной продукции и продукции отрасли птицеводства с высокой скоростью оборачиваемости капитала. Некоторые отрасли практически полностью уничтожены. Эффективность производства как в целом по отрасли, ак и по отдельным видам продукции остается на низком уровне, который не обеспечивает не только простого, а и расширенного воспроизводства авансированных в производство ресурсов.
Как отмечалось выше расширенное воспроизводство, предусматривает увеличение размеров ресурсов к каждому последующему циклу производства и улучшение их качества. Следовательно, оценить уровень воспроизводственного процесса в сельском хозяйстве можно, проанализировав динамику обеспеченности ресурсами в расчете на единицу земельной площади. Стоимостным выражением всех имеющихся у предприятия ресурсов является стоимость авансированного капитала. Таким образом, динамика концентрации авансированного капитала в расчете на единицу сельскохозяйственных угодий является индикатором воспроизводства в сельском хозяйстве. Так, если стоимость авансированного капитала в расчете на 1 га сельскохозяйственных угодий возрастает, это свидетельствует о расширенном воспроизводстве ресурсов, если эта величина остается стабильной - о простом, а если снижается - о суженом воспроизводстве.
Низкая экономическая эффективность сельскохозяйственного производства отразилась и на процессе воспроизводства. Так, начиная с 1997 года по 2002 год, в сельскохозяйственном производстве Луганской области наблюдался процесс деконцентрации авансированного капитала, что свидетельствует о суженом воспроизводстве авансированных ресурсов. Начиная с 2003 года происходило постепенное ежегодное увеличение стоимости авансированного капитала в расчете на 1 га сельскохозяйственных угодий, что является результатом расширенного воспроизводства авансированных ресурсов. Значительный же скачек концентрации авансированного капитала в 1997 году был обусловлен переоценкой стоимости основных средств (рис.5).

Рис.5 Динамика концентрации авансированного капитала в сельскохозяйственных предприятиях Луганской области в расчете на 1 га с.-х. угодий, тыс.грн.
Как отмечалось выше, процесс простою воспроизводства авансированных в производство ресурсов, должен сопровождаться регулярным возобновлением их в том же объеме, как всех вместе, так и каждого в отдельности. Причем, следует иметь ввиду, что уменьшение одного фактора производства влечет за собой увеличение другого, либо уменьшение одного или нескольких продуктов.
За исследуемый период в сельскохозяйственных предприятиях Луганской области наметилась четкая тенденция увеличения обеспеченности оборотными средствами в расчете на 100 га сельскохозяйственных угодий. В то же время, обеспеченность основными средствами сокращалась на протяжении всего исследуемого периода, кроме 1997 года, в котором была произведена переоценка стоимости основных средств и только, в последние три года, темпы снижения этого показателя несколько приостановились. Тем не менее, ежегодное сокращение основных средств является признаком нарастающей производственной неспособности. То есть, расширенное по стоимости воспроизводство оборотных средств осуществлялось за счет сокращения стоимости основных средств (рис.6).

Рис.6 Динамика обеспеченности основными и оборотными средствами сельскохозяйственных предприятий Луганской области в расчете на 100 га с.-х. угодий
Таким образом, это еще раз доказывает тот факт, что уровень эффективности сельскохозяйственного производства не обеспечивает не только расширенного, а и простого воспроизводства вложенных ресурсов.
Рост обеспеченности сельскохозяйственных предприятий Луганской области экономики в расчете на 100 га сельскохозяйственных угодий обусловлен, прежде всего, ростом цен на отдельные виды производственных запасов, а не увеличением обеспеченности ими в натуре.
В основе механизма воспроизводства экономических ресурсов любой отрасли народного хозяйства лежат цены: с одной стороны это цены на ресурсы, используемые в производстве, а с другой стороны цены на производимую продукцию.
Сельскохозяйственные товаропроизводители, как представители наиболее демонополизированной отрасли лишены какой либо возможности оказывать влияние как на те, так и на другие цены. Отсюда рост себестоимости продукции сельского хозяйства, прежде всего, вызван ростом цен на покупные ресурсы промышленного происхождения, используемые в производстве. Особенно, ощутимое влияние на себестоимость продукции за исследуемый период оказывало изменение цен на нефтепродукты.
Стоимость потребленных в растениеводстве нефтепродуктов в расчете на 1 га сельскохозяйственных угодий за исследуемый период возросла почти в 6 раз (рис.7). За 10 лет, только однажды наблюдалось незначительное сокращение этого показателя.

Рис.7. Стоимость потребленных нефтепродуктов в расчете на 1 га с.-х. угодий в растениеводстве в Луганской области
Учитывая структуру потребления нефтепродуктов сельскохозяйственными предприятиями Луганской области и средние цены реализации за последние 5 лет, следует отметить, что увеличение потребления нефтепродуктов в стоимостном выражении было вызвано ростом цен на них, а не потреблением в натуре. Так, в 2001 году средние цены на бензин А-95, А-92, А-80 и дизельное топливо составляли 1,88; 1,67; 1,44; 1,49 грн./л., а в 2005 году 3,52; 3,31; 2,95; 3,28 грнУл. соответственно. За период цены возросли в 1,87 -2,2 раза, а (рис.8).

Рис.8 Средние розничные цены на нефтепродукты в Луганской области, грн./л.
В натуральном выражении потребление нефтепродуктов в расчете на 1 га сельскохозяйственных угодий за последние годы оставалось стабильным, а в 2005 году наметилась тенденция снижения потребления нефтепродуктов в расчете на 1 га сельскохозяйственных угодий (рис.9). Это, прежде всего, вызвано резким ростом цен на нефтепродукты в последние годы.

Рис.9. Количество условных литров топлива в расчете на 1 га с.-х. угодий в Луганской области
Ежегодное повышение цен на горюче-смазочные материалы, минеральные удобрения, пестициды, запасные части приводит к преобладанию затрат на покупные ресурсы, хотя в натуральной форме их использование из года в год сокращается, что, в свою очередь, влечет за собой упрощение производственных технологий. Это способствует снижению урожайности, ухудшению качества и удорожанию продукции, снижению ее конкурентоспособности.
Наряду с нефтепродуктами постоянно растут цены на все материалы, потребляемые в сельскохозяйственном производстве, что отражается на величине затрат. Подтверждением этому является рост материальных затрат в расчете на 1 гектар сельскохозяйственных угодий в растениеводстве (рис.10).

Рис.10. Динамика темпов роста материальных затрат сельскохозяйственных предприятий Луганской области,%
За исследуемый период в сельскохозяйственных предприятиях Луганской области лишь только однажды - в 1998 году произошло снижение материальных затрат в отрасли растениеводства в расчете на единицу земельной площади по сравнению с прошлым годом. В остальные годы темпы роста материальных затрат постоянно возрастали не смотря на значительные колебания от 106,6 % - в 1999 году, до 147,8 % - в 2004 году. Темп роста затрат промышленного происхождения практически идентичен росту материальных затрат в целом, лишь только в отдельные годы наблюдается незначительное отличие этих показателей. Следует отметить, что рост материальных затрат не является результатом интенсификации производства, так как за исследуемый период не отмечалось значительного роста эффективности сельскохозяйственного производства.
Рост цен на промышленные товары, потребляемые в сельскохозяйственном производстве, является объективной тенденцией. Цены на топливо находятся в прямой зависимости от мировых цен на нефть, которые в долгосрочной перспективе постоянно возрастают в контексте снижения мировых запасов и увеличения потребления в мире. Цены на минеральные удобрения в значительной степени зависят от цен на природный газ, которые также имеют тенденцию к росту. А рост цен на энергоносители оказывает влияние на себестоимость всех видов материалов, потребляемых в сельском хозяйстве, что, соответственно, отражается на их ценах. Таким образом, в долгосрочной перспективе рост цен на потребляемые в сельском хозяйстве производственные запасы является неизбежным.
В результате стремительного роста цен на сырье промышленного происхождения структура затрат на основное производство сельскохозяйственных предприятий Луганской области за исследуемый период претерпела значительные изменения. В структуре затрат на 6,27 % увеличился удельный вес материальных затрат, который в 2005 году составил 67,41 %. Следует отметить увеличение удельного веса минеральных удобрений и нефтепродуктов, на 3,36 и 3,45 %, доля которых в 2005 году составила 14,79 и 6,23%, соответственно. Также произошло снижение удельного веса электроэнергии на 2,76 %. Эти преобразования структуры затрат вызваны, прежде всего, изменениями в структуре валовой продукции
Луганской области. Также за исследуемый период на 7,11 % увеличился удельный вес других затрат, и на 7,97 % снизился удельный вес амортизационных отчислений основных средств.
С одной стороны имеет место четкая тенденция роста цен на продукцию промышленного происхождения, которая потребляется в сельском хозяйстве.
А с другой стороны отсутствие всяческих гарантий получения прибыли
сельскохозяйственными товаропроизводителями при достижении определенного уровня себестоимости той или иной продукции. Поскольку цены на сельскохозяйственную продукцию не отличаются стабильностью и при значительном увеличении предложения продукции могут опускаться ниже себестоимости.
В условиях динамичного изменения макроэкономических показагелей в стране в сельскохозяйственном производстве, как отрасли с наименьшей скоростью оборачиваемости оборотных средств, наблюдается парадоксальная ситуация, когда источником простого воспроизводства ресурсов, авансированных в производственный процесс является не только себестоимость продукции, но и часть прибыли предприятий. Это противоречит сущности кругооборота авансированных ресурсов, потому как прибыль является источником расширенного воспроизводства.
В этой связи с целью формирования эффективного воспроизводственного механизма экономических ресурсов в первую очередь необходимо усовершенствовать систему учета затрат в производстве, которая бы позволяла всем товаропроизводителям независимо от формы собственности и отраслевой принадлежности осуществлять процесс простого воспроизводства за счет себестоимости продукции.
Для этого в основу такого механизма должен быть заложен объективный экономический закон рыночных отношений «время = деньги». Сущность этого закона заключается в том, что получение больших доходов в рыночной экономике достигается не высокими ценами реализации продукции, работ и услуг, а, прежде всего, высокой скоростью оборачиваемости капитала.
В такой ситуации, отрасли с низкой скоростью оборачиваемости капитала находятся в заведомо худших условиях по сравнению с другими отраслями. Прежде всего, это касается сельскохозяйственного производства, где скорость оборачиваемости капитала ограничена природными факторами.
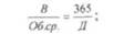
Доказательство этого закона выглядит следующим образом: скорость оборачиваемости оборотных средств определяется делением выручки от реализации продукции на среднегодовую сумму оборотных средств, а длительность одного оборота делением периода на коэффициент оборачиваемости:

где Коб - скорость оборачиваемости оборотных средств; В - выручка от реализации продукции, работ и услуг; Об.ср. - среднегодовая сумма оборотных средств; Д - длительность одного оборота оборотных средств.
Отсюда справедливо равенство:
![]()
Чем меньше длительность одного оборота оборотных средств и соответственно быстрее совершается кругооборот оборотных средств, а с ними и всего авансированного капитала, тем больше величина выручки в расчете на единицу задействованных в производственном процессе оборотных средств, и, соответственно, авансированного капитала. Сущность процесса кругооборота капитала состоит, в том, что каждый оборот способствует созданию дополнительной стоимости, которая выражается прибылью, что, доказывает равенство «время = деньги».
Поэтому, целесообразно с целью компенсации роста цен на потребляемые в сельскохозяйственном производстве ресурсы рассчитывать воспроизводственную себестоимость производимой продукции.
Для этого стоимость потребленных в процессе производства оборотных средств необходимо учитывать не по фактической цене их приобретения в течение производственного периода, а по цене, сложившейся на момент реализации готовой продукции. Это позволит сельскохозяйственным предприятиям приобретать необходимые производственные запасы для следующего производственного цикла без вовлечения дополнительных ресурсов в кругооборот.
Однако учет затрат материалов промышленного происхождения в себестоимости сельскохозяйственной продукции по ценам закупки на момент реализации произведенной продукции требует мониторинга за изменением цен на покупные материалы. Это ведет к значительным затратам труда и времени. К тому же цены на приобретаемые материалы у различных поставщиков могут отличаться.
Еще одним из вариантов является учет в себестоимости уровня инфляции в стране. Но все же целесообразней в уровень воспроизводственной себестоимости закладывать среднюю доходность по банковским депозитным вкладам.
Сельскохозяйственное производство в большей степени, чем другие отрасли подвержено риску не получения запланированного результата. В основном это касается отрасли растениеводства, где конечный результат зависит от погодных условий. Поэтому в воспроизводственную себестоимость наряду с уровнем доходности необходимо закладывать риск в виде определенной процентной ставки.
В основе расчета воспроизводственной себестоимости должны учитываться скорость оборачиваемости капитала, уровень риска, удельный вес материальных затрат в структуре себестоимости продукции и средний уровень доходности по банковским депозитным вкладам.
Отсюда формула определения воспроизводственной себестоимости будет иметь следующий вид:
![]()
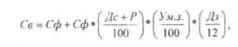
где Св - воспроизводственная себестоимость продукции, грн./ц.; Сф - фактическая себестоимость продукции, грн./ц.; Дс - средняя банковская ставка по депозитным вкладам, %; Р - доплата за риск, %;
Ум.з. - удельный вес материальных затрат в структуре себестоимости продукции, %;
Дз - средняя длительность закрепления средств в кругообороте;
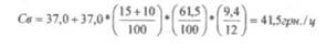
В качестве примера, рассчитаем воспроизводственную себестоимость озимой пшеницы в 2005 году. Средняя фактическая себестоимость 1 ц озимой пшеницы в сельскохозяйственных предприятиях Луганской области в 2005 году составила 37,0 грн./ц. средняя банковская ставка по депозитным вкладам составляла 15 % годовых, доплата за риск принята в размере 10 %, удельный вес материальных затрат в структуре себестоимости составил 61,5 %, средняя длительность закрепления средств в кругообороте при выращивании озимой пшеницы составляет 9,4 месяца. Имея такие данные, получили следующий результат:
![]()
Воспроизводственная себестоимость 1 ц озимой пшеницы в среднем по Луганской области в 2005 году составила 41,5 грн./ц., что на 4,5 грн. выше фактической себестоимости. В результате чего уровень рентабельности производства и реализации озимой пшеницы, при той же цене реализации составил -10,6 %, вместо фактических 0,4 %. Это свидетельствует о том, что цена реализации озимой пшеницы, которая сложилась в 2005 году, не способствует даже простому воспроизводству авансированных ресурсов.
Расчет воспроизводственной себестоимости еще не гарантирует простого воспроизводства, поскольку главным элементом воспроизводственного механизма ресурсов являются цены на сельскохозяйственную продукцию. Поэтому вторым этапом должно стать формирование условий для осуществления расширенного воспроизводства авансированных в производство ресурсов, в том числе и оборотных средств.
Эффективность продвижения сельскохозяйственной продукции от производителей к потребителям и наполнение соответствующих продовольственных рынков в значительной мере зависит от сбалансированного развития всех звеньев интегрированного производства, обеспечение рационального соотношения между ценами и доходами партнеров производственного процесса.
Несовершенство экономических отношений между субъектами продуктовых подкомплексов (масложирового, свеклосахарного, молоко- и мясопродуктового) негативно сказывается прежде всего на интересах сельскохозяйственных товаропроизводителей, так как они полностью отстранены от формирования цен на производимую продукцию.
В то время, когда сельское хозяйство в целом и все основные виды продукции остаются убыточными, большинство предприятий пищевой и перерабатывающих отраслей промышленности, производя разнообразную продукцию, имеют возможность ценами возмещать собственные затраты, вести производство рентабельно и получать достаточные доходы.
В сложившейся ситуации повышение цен на продукты питания -объективное явление, когда большая часть сельскохозяйственных предприятий являются убыточными. Снижение цен до определенного уровня может осуществляться лишь при условии роста производства продукции растениеводства и животноводства, увеличения предложения до определенного уровня платежеспособного спроса населения.
Многие ученые-аграрии Украины сходятся во мнении, что на протяжении всего периода развития аграрного производства Украины и проведения аграрной реформы так и не были созданы благоприятные условия для осуществления нормального воспроизводственного процесса экономических ресурсов в сельском хозяйстве.
Незавершенность начатых преобразований в аграрном секторе экономики породили ситуацию, когда в сельском хозяйстве не соблюдается главный экономический закон, являющийся движущей силой роста экономики - закон стоимости, который предусматривает возмещение ценой общественных затрат и получение прибыли. В сельском хозяйстве этот закон не действует на протяжении долгого периода времени. Следствием этого является отсутствие в сельскохозяйственном производстве не только расширенного, а и простого воспроизводства авансированных в производство ресурсов.
На спад сельскохозяйственного производства, снижение его интенсивности значительно повлияло нарушение интеграционных межотраслевых связей, при которых вновьсозданные в процессе приватизации организационно-правовые структуры в перерабатывающей отрасли, занимая монопольное положение, пытаются обеспечить результативность своей деятельности за счет сельскохозяйственных товаропроизводителей, устанавливая в одностороннем порядке заниженные цены на сырье.
В этой связи создание крупных агропромышленных формирований, путем сосредоточением капитала и агропромышленного производства в одних центрах (одних руках), которым ознаменовался третий этап реструктуризации аграрных предприятий, должно было стать решающим в формировании реальных условий для расширенного воспроизводства ресурсов в сельском хозяйстве.
Однако, при существующей системе распределения доходов между тремя сферами (сельскохозяйственное производство, переработка и торговля) сельскохозяйственные товаропроизводители всегда остаются в проигрыше.
Таким образом, отсутствие четкого рыночного механизма экономической автономии сельского хозяйства придает процессу капитализации однобокую направленность, главной целью которой является не выведение аграрного сектора из затяжного кризиса, а дальнейшее обогащение других отраслей за счет сельского хозяйства.
Одним из примеров таких агропромышленных формирований, созданных в Луганской области является ЗАО «Агротон», в состав которого наряду с сельскохозяйственным производством входят сыродельный завод, мельница, макаронный цех, хлебопекарня, маслобойня, цех по производству майонезов, а также имеется собственная торговая сеть.
Следует отметить (табл. 1), что использование современной техники и технологий выращивания сельскохозяйственных культур и животных, которые применяются в агропромышленных формированиях, способствует снижению такого показателя как себестоимость продукции. Так, в ЗАО «Агротон», типичном представителе агропромышленных формирований в Луганской области практически по всем видам продукции себестоимость производства Ниже средних показателей по Луганской области. Однако, и цены реализации, по которым продукция передается перерабатывающим предприятиям, входящим в объединение, также ниже среднеобластных показателей.
Таблица 1
Себестоимость, цены реализации и уровень рентабельности сельскохозяйственной продукции в 2005 году

Достаточно проанализировать структуру прибыли ЗАО «Агротон» полученную в 2005 году (рис.11), из которой видно, что львиная доля прибыли, полученная акционерным обществом, сформировалась на перерабатывающих предприятиях. В отрасли растениеводсгва получено около четверти всей прибыли, а отрасль животноводства и вовсе является убыточной.

Рис.11 Структура прибыли в ЗАО «Агротон» в 2005 году,%
То есть, формирование прибылей в отрасли переработки сельскохозяйственного сырья достигается за счет заниженных цен на сельскохозяйственную продукцию.
Поэтому необходимо создать такие условия хозяйствования, при которых сельскохозяйственный товаропроизводитель сможет вступать в такие объединения на равных условиях и претендовать на справедливое распределение общей прибыли агропромышленных формирований. Прибыль, получаемая сельскохозяйственными производителями должна обеспечивать не только простое, а и расширенное воспроизводство авансированных в производственный процесс ресурсов.
Для создания таких условий должен быть на уровне государства формирован экономический «механизм межотраслевых отношений, который °ы заставил перерабатывающие и сервисные предприятия «поделиться» частью прибыли с аграрными предприятиями. А этого можно достигнуть, если данные структуры будут заинтересованы в интеграции и кооперации своих ресурсов с аграрным сектором и установлении эквивалентных межотраслевых отношений».
Существующий механизм межотраслевых отношений и ценообразования на продукцию сельского хозяйства, который сейчас действует в агропромышленном производстве, лишь только усугубляет и без того тяжелое состояние сельскохозяйственных товаропроизводителей и не обеспечивает не только расширенного, а и простого воспроизводства, вложенных ресурсов.
Поэтому приоритетным моментом в осуществлении дальнейшего развития аграрного производства в Украине должна стать объективная необходимость обеспечения эквивалентного обмена в сфере межотраслевых отношений, который бы способствовал укреплению материально-технической базы сельского хозяйства, реанимации социальной инфраструктуры и улучшению жизни на селе.
В переходной экономике сельское хозяйство может выстоять и довести свою эффективность до нормального уровня при условии государственной поддержки и регулирования межотраслевых отношений.
Ученые-экономисты сходятся во мнении, что расширенное воспроизводство авансированного капитала сельскохозяйственных предприятий, в том числе и оборотных средств, возможно лишь только при условии формирования механизма эквивалентных межотраслевых отношений между сельским хозяйством и другими отраслями страны.
Причем это необходимо сделать в ближайшей временной перспективе, потому как предупреждение проблемы или ее нейтрализация на начальной стадии потребует меньше ресурсов, чем её урегулирование на стадии зрелого негатива. То есть, не применение мероприятий на данном этапе обернется большими будущими затратами, чем ее урегулирование средствами текущей ресурсной базы.
В основе создания такого механизма должна быть возможность получения равновеликих прибылей на авансированный капитал с учетом стоимости земли и скорости оборачиваемости капитала. И решение этой проблемы может осуществляться двумя путями: первый усовершенствование ценообразования, при котором наряду со свободным ценообразованием предприятия учитывают затраты и прибыли в пределах нормы, которая сложилась в стране; второй - поддержка доходов отраслей, которые получают прибыль, при норме, ниже, чем в среднем по народному хозяйству страны.
Для обеспечения расширенного воспроизводства в сельском хозяйстве необходимо создать благоприятные экономические условия, которые должны характеризоваться опережающим увеличением прибылей сельскохозяйственных товаропроизводителей по сравнению с повышением цен на промышленное сырье, которое потребляется аграрными товаропроизводителями, ростом реальной заработной платы сверх прожиточного минимума, хотя бы до среднего уровня по экономике страны.
В результате проведенного исследования можно сделать следующие выводы относительно функционирования механизма воспроизводства оборотных средств сельскохозяйственных предприятий и его совершенствования в современных условиях хозяйствования:
в современных условиях хозяйствования экономическая эффективность сельскохозяйственного производства находится на достаточно низком уровне, который не обеспечивает не только расширенного, а и простого воспроизводства ресурсов;
значительная роль в кругообороте авансированного капитала принадлежит оборотным средствам: скорость оборачиваемости авансированного капитала стремится к скорости оборачиваемости оборотных средств; удельный вес материальных затрат в структуре затрат на основное производство составляет около 2/3;
с целью формирования эффективного воспроизводственного механизма оборотных средств в первую очередь необходимо усовершенствовать систему учета затрат в производстве, которая должна учитывать скорость оборачиваемости капитала;
расширенное воспроизводство авансированного капитала сельскохозяйственных предприятий, в том числе и оборотных средств, возможно лишь только при условии формирования механизма эквивалентных межотраслевых отношений между сельским хозяйством и другими отраслями страны.
Литература
1. Агропромисловий комплекс України: стан та перспективи розвитку – Інформаційно аналітичний збірник (випуск 5) – К. АЕН УААН – 2009 р.
2. Андрійчук В.С. – Економіка аграрних підприємств - К. 2006 р.
3. Економіка Луганської області – Вісник Мін Стату України – 2005-2007 р.р.