| Скачать .docx |
Реферат: Формирование физико-химических свойств пахотных почв лесостепи центрального Черноземья и пути
На правах рукописи
АВТОРЕФЕРАТ
диссертации на соискание ученой степени
доктора биологических наук
Специальность 03.02.13 - почвоведение
ФОРМИРОВАНИЕ ФИЗИКО-ХИМИЧЕСКИХ СВОЙСТВ ПАХОТНЫХ ПОЧВ ЛЕСОСТЕПИ ЦЕНТРАЛЬНОГО ЧЕРНОЗЕМЬЯ И ПУТИ ИХ РЕГУЛИРОВАНИЯ
ЧУЯН Олег Геннадьевич
Воронеж - 2010
Диссертационная работа выполнена в ГНУ Всероссийский научно-исследовательский институт земледелия и защиты почв от эрозии
(ВНИИЗ и ЗПЭ)
Официальные оппоненты:
доктор биологических наук, профессорШеин Евгений Викторович
доктор биологических наук, профессор Надежкин Сергей Михайлович
доктор сельскохозяйственных наук, профессор Стифеев Анатолий Иванович
Ведущая организация: Почвенный институт им. В.В. Докучаева
Защита состоится “ 19 ” ноября 2010 г. в 14 часов на заседании диссертационного совета Д 212.038.02 при Воронежском государственном университете по адресу: 394006, г. Воронеж, Университетская пл., 1.
Тел: (4732) 208-577; E-mail: libreh@mail.ru
С дсертацией можно ознакомиться в библиотеке Воронежского государственного университета.
Автореферат разослан “___” ______________ 2010 г.
Ученый секретарь диссертационного совета, Л.И. Брехова
1. Общая характеристика работы
Актуальность темы. Плодородие почв в лесостепи Центрального Черноземья во многом определяется кислотно-основными свойствами. В Курской области более половины пахотных угодий (60,4%) имеют в разной степени кислую реакцию среды, из них средне- и сильнокислых, требующих первоочередного известкования, 353 тыс. га. При этом за последние годы площади кислых почв увеличились на 0,6 %.
Переход земледелия на ландшафтную основу (Володин, Здоровцов, 1999; Каштанов, Щербаков, Черкасов, 2001) и, в перспективе, развитие технологий точного земледелия предполагает учет своеобразия каждого рабочего участка. При этом дифференцированный подход предопределяет учет как постоянно действующих в агроландшафте факторов и на их основе генетически обусловленных свойств почв, так и антропогенную составляющую изменений этих свойств. Это делает особенно актуальным установление закономерностей формирования физико-химических свойств почв в форме математических уравнений, простая полуэмпирическая форма которых делает их доступными для широкого научного и практического использования в системе регулирования режима функционирования агроэкосистем.
Цель исследований: изучить закономерности формирования физико-химических свойств пахотных почв в условиях лесостепи ЦЧЗ.
Задачи.
1. Определить место и значимость кислотно- основных свойств почв в системе оценок плодородия почв лесостепи Центрального Черноземья.
2. Исследовать закономерности пространственной изменчивости физико-химических и других свойств почв.
3. Выявить роль абиотических факторов в формировании гумусного состояния пахотных почв Курской области.
4. Исследовать закономерности и количественные взаимосвязи между величинами емкости катионного обмена, суммой обменно-поглощенных оснований, гидролитической кислотностью и рН пахотных почв основных зональных типов – черноземов и серых лесных почв.
5. Разработать алгоритм определения оптимальных доз Са- содержащих мелиорантов.
6. Исследовать взаимосвязь твердой и жидкой фаз почв.
7. Разработать методические подходы к оценке изменений кислотности почв в зависимости от агроэкологических условий и агротехнических факторов.
Защищаемые положения.
1. Генетически обусловленная кислотность является одним из ведущих факторов плодородия пахотных почв лесостепи ЦЧЗ.
2. Пространственное варьирование физико-химических и других свойств почв является закономерным и генетически обусловленным свойством почвенного покрова, определяющим характер пространственной дифференциации растительного покрова.
3. Гумусное состояние пахотных почв лесостепи ЦЧЗ во многом определяется совокупностью абиотических факторов, включающих и кислотность почв.
4. Почвенный поглощающий комплекс и катионообменные свойства почв зависят от совокупности экстенсивных и интенсивных факторов, к которым относятся гранулометрический состав, содержание гумуса и кислотность почв (рН).
5. Кислотно-основное состояние почв определяется климатом и свойствами твердой фазы .
6. Поддерживающее известкование чернозема типичного является важным фактором оптимизации свойств почвы и повышения урожайности сельскохозяйственных культур.
7. Изменение кислотности пахотных почв связано с комплексом агротехнических факторов, обусловливающих баланс оснований.
Научная новизна исследований.
На основе системно-аналитического подхода проведены исследования зонально-провинциального аспекта проблемы влияния агроэкологических факторов на формирование физико-химических свойств пахотных почв в условиях лесостепи Центрально-Чернозёмной зоны.
1. Разработан алгоритм аналитической поддержки при выборе приоритетных мероприятий для конкретного участка или выборе приоритетных участков для осуществления конкретных мелиораций на основе расчета потенциала оптимизациирегулируемогосвойства почвыс учетом обеспеченности другими факторами плодородия.
2. Установлена закономерная периодичность как морфометрических данных почвенного профиля чернозема типичного, так и агрохимических свойств пахотного горизонта, при этом почвенный и растительный покров имеют единые величины пространственной дифференциации.
3. Для условий Курской области выявлена роль абиотических факторов в формировании гумусного состояния почв. Содержание гумуса в пахотных почвах зависит от их гранулометрического состава, гидротермических условий и кислотно- основного состояния почвенной среды.
4. Предложено формальное описание взаимосвязи физико-химических свойств исследованных почв на основе общепринятых величин, характеризующих катионообменные свойства почв, а также разработаных дополнительных показателей (модуль катионообменной емкости почв, М ; точка условного насыщения ППК, рНН ; показатель удельной дифференциальной емкости, τ ).
5. Для почв, не содержащих карбонатов, предложены расчетные (по исходным физико-химическим свойствам) коэффициенты буферности в щелочном и кислотном интервале на основе величины модуля катионообменной емкости и показателя удельной дифференциальной емкости .
6. Разработан расчетный способ определения доз Са- содержащих мелиорантов для кислых почв ЦЧЗ, учитывающий буферность почв в зависимости от их физико-химических свойств. Проведена группировка почв районов Курской области по приоритету нуждаемости их в известковании.
7. Впервые обоснована концепция формирования кислотно-основного статуса почв (КОСП ), представляющего собой динамическое равновесие в характере перераспределения оснований между почвенными фазами и их миграцией, что определяет уровни устанавливающихся интервалов величин рН в зависимости от климатических условий и свойств твердой фазы почв.
8. Впервые для условий ЦЧЗ предложены алгоритмы оценки изменений кислотности пахотных почв на основе баланса оснований и изменений гидротермического режима.
Практическая значимость работы.
1. Предложенный способ определения приоритета и очередности проведения комплексных и конкретных мелиораций по регулируемым свойствам почв может найти применение в системах поддержки принятия решений для разного уровня административного управления по регулированию плодородия почв с целью рационального использования ресурсов земледелия.
2. Установление закономерностей пространственного варьирования свойств почв служит совершенствованию методических основ проведения почвенно-агрохимического обследования и его использования в системах точного земледелия.
3. Модели расчета величин физико-химических показателей и их изменений, а также оценка буферности почв являются основой для дифференцированной химической мелиорации кислых почв.
4. Прогноз изменения кислотности почв может применяться как в длительном цикле для оценки экологических последствий глобального изменения климата, так и оценки агрогенных факторов подкисления почв при формировании устойчивых агроландшафтов.
Апробация работы. Материалы работы были доложены на II и III съездах Всероссийского общества почвоведов в г. Суздале (2000г) и г. Новосибирске (2004г), на 3-х международных и 13 –ти научно –практических конференциях.
Результаты исследований рассматривались и получили положительную оценку на заседаниях Ученого Совета ВНИИЗ и ЗПЭ.
Автором опубликовано 56 научных работ, том числе 1 методика, 1 технология, 1 патент, 1 коллективная монография. Основные положения и результаты исследований по теме диссертации опубликованы в 48 работах, из которых 9 - в периодических изданиях, рекомендованных ВАК РФ.
Структура и объем работы. Диссертация изложена на 351 странице и содержит 102 таблицы и 77 рисунков, состоит из введения, 7 глав, выводов и рекомендаций производству, 9 приложений. Список литературы включает 343 наименования, из них 12 на иностранных языках.
СОДЕРЖАНИЕ РАБОТЫ
1. Объекты, методы и условия проведения исследований
С целью определения общих закономерностей в формировании физико – химических свойств почв для статистической обработки привлекались результаты почвенно-агрохимического обследования по районам Курской области, выполненного Курской и Рыльской станциями агрохимслужбы. Дополнительно использованы результаты агрохимического обследования земель (при непосредственном участии автора) в хозяйствах, имеющих почвы различной типовой принадлежности.
На черноземах типичных и выщелоченных (1988, 2002 г.г.) обследована территория опытного хозяйства ВНИИЗ и ЗПЭ (Медвенский р-н Курской области) на площади 3981 га. Земли хозяйства расположены на склонах разной экспозиции и крутизны, которые составляют 98 % от общей площади сельскохозяйственных угодий. Более 90 % всех земель - почвы черноземного типа. На водораздельных плато залегают черноземы типичные мало- и среднегумусные, среднемощные, тяжелосуглинистые, на склонах крутизной до 5° - черноземы слабоэродированные.
На черноземах типичных и выщелоченных в 2003 г. обследована территория четырех отделений хозяйства ООО «Заветы Ильича» Горшеченского района Курской области на общей площади 12857 га.
На серых лесных и черноземах оподзоленных, выщелоченных в 2003 году обследована территория четырех отделений хозяйства ОАО агрофирмы «Мценская» Мценского района Орловской области на общей площади 11842 га. Работы выполнены в соответствии с методическими указаниями «Методические указания по проведению комплексного мониторинга плодородия почв земель сельскохозяйственного назначения» (М., 2003).
Оценка характера неоднородности почвенного и растительного покрова проводилась на локальном уровне на черноземе типичном (участок 2 га, верхняя треть северо-восточного склона 0-..1.5°, опытного хозяйства ВНИИЗ и ЗПЭ). Почвенно-агрохимическое обследование и учеты урожаев культур (2006-2008 гг.) проведены по пространственно координированным точкам (200 шт). Лабораторные исследования включали определение в пахотном слое почвы показателей агрохимических, физико-химических и др. свойств. Дробный учет урожаев проведен сноповым способом и комбайном Sampo–500.
Экспериментальные исследования проводились в стационарном многофакторном полевом опыте (ОППХ ВНИИЗи ЗПЭ), заложенном в 1984 г.
Наблюдения и учеты проводились в 1 и 2 полях блока “Плодородие почвы” при следующих уровнях изучаемых факторов:
| Факторы | Уровни факторов | ||
| 1. Севообороты, % многолетних бобовых трав | 0 | 25 | 50 |
| 2. Органические удобрения, т /га | 0 | 12 | - |
| 3. Минеральные удобрения, кг д.в. /га | 0 | N70 P74 K80 | - |
| 4. Известь, т /га | 0 | 0,5 | - |
Схема опыта факториальная - 3х2х2х2 (24 варианта). Состав севооборотов: зернопаропропашной (А)- сахарная свекла, ячмень, чистый пар, озимая пшеница; зернотравянопропашной (В)- сахарная свекла, ячмень, многолетние бобовые травы, озимая пшеница; зернотравяной (С)- ячмень, многолетние травы ( 2 года), озимая пшеница. Органические удобрения (навоз КРС, 48 т/га) и известь (известняковую муку, 2 т/га) вносили 1 раз за ротацию под первую культуру севооборота, минеральные удобрения - ежегодно: под свеклу -N180 P160 K180 , под ячмень - N60 P60 K60 , под пшеницу - N40 P80 K80 . Опыт закладывался одновременно на водораздельном плато, склонах южной и северной экспозиции крутизной до 5° в поле № 2 и разворачивался последовательно на северном склоне в полях № 1, 2. Размер делянок - 100-200 м2 , повторность вариантов 2-х кратная. Смешанные почвенные образцы отбирались из 10-15 индивидуальных.
Почва опытного участка - чернозем типичный тяжелосуглинистый, на склонах – слабосмытый. Содержание в пахотном слое гумуса 5,6 - 5,8 %, НКСL 5,3 – 5,7, Нг – 2,80-4,86 мг-экв/100 г, суммы обменных оснований 26,5 – 30,0 мг-экв/100 г, азота щелочногидролизуеммого 17,4-19,6 мг/100 г, содержание подвижного фосфора и калия 13,7-16,7 и 9,8-12,5 мг/100 г соответственно.
В почвенных пробах определялись: содержание гумуса по Тюрину в модификации ЦИНАО (ГОСТ 26213); обменные и водорастворимые Са2+ и Mg2+ комплексонометрически (ГОСТ 26487); сумма поглощенных оснований по Каппену-Гильковицу (ГОСТ 27821); рНKCL и рНН2О - потенциометрически (ГОСТ 26483); гидролитическая кислотность - по Каппену в 1,0 н СН3 СООNa; содержание и состав легкорастворимых солей в водной вытяжке (1:5) (Аринушкина, 1970); подвижные фосфор и калий - по Чирикову (ГОСТ 26204); азот щелочногидролизуемый по Корнфилду; нитратный и аммонийный азот - колориметрически с дисульфофеноловой кислотой и реактивом Несслера соответственно; содержание физической глины (< 0,01 мм) – по Качинскому.
Для оценки буферных свойств почв, а также уточнения характера зависимости интенсивности выщелачивания почв от величины рН проведена серия лабораторных экспериментов.
Статистический анализ проведен с использованием программных средств Microsoft Office Excel, STATISTICA-6, STATGRAP и включал: расчет общих статистических, параметрических и непараметрических показателей, корреляционно- регрессионный анализ, построение гистограмм, регистрограмм, вариограмм, метод главных компонент, таксономический метод, спектральный анализ, дисперсионный анализ (Дмитриев, 1972; Доспехов, 1985).
2. Кислотность в системе оценок плодородия почв.
Оценка плодородия почв на примере Курской области
Почвенные ресурсы плодородия Курской области имеют значительную неоднородность. В области залегают почвы разных генетических типов и подтипов – преимущественно черноземы типичные, выщелоченные, а также темно-серые и серые лесные почвы. За длительный срок сельскохозяйственного использования генетически обусловленные свойства почв претерпели существенные изменения, что усилило степень их дифференциации как по районам, так, в особенности, по хозяйствам.
Почвы западных районов области в большей мере обеспечены фосфором и хуже калием, а восточных и северо-восточных- содержат калия больше, чем фосфора. Почвы, слабо обеспеченные фосфором, имеют значительный удельный вес в северных районах области. За последние годы увеличились площади почв с очень низким и низким содержанием гумуса, соответственно на 0,8 и 0,4 %. Количество кислых почв за последние годы увеличилось на 0,6 %, а всего в области их насчитывается 1084 тыс. га (60,4 % пашни), из них сильно и среднекислых – 353,4 тыс. га.
Результаты производственной деятельности по хозяйствам Курской области (продуктивность, ц з.е./га в среднем за 4 года) сопоставлялись с величинами средневзвешенных значений показателей свойств почв по общей выборке (n=530), а также отдельно выделены хозяйства, приуроченные к северо- западным районам, характеризующимся более низким плодородием (табл. 1).
Таблица 1. Статистическая характеристика показателей плодородия почв хозяйств Курской области (n=530)
| Показатель | X | Xmin | Xmax | S | Sx | КV % |
| КУ | 1,00 | 0,88 | 1,09 | 0,07 | 0,00 | 7,0 |
| Гумус% | 4,54 139 111 5,49 |
1,40 72 50 4,5 |
7,30 266 243 7,1 |
1,2 32,2 28,8 0,5 |
0,05 1,40 1,25 0,02 |
27,0 23,2 26,1 8,2 |
| P2 05 , мг/кг | ||||||
| K2 0, мг/кг | ||||||
| рНKCL | ||||||
Прод. ср. ц з.е./га |
25,0 | 9,3 | 53,9 | 6,9 | 0,30 | 29,4 |
Исследуемые показатели плодородия почв, а также степень увлажнения (по коэффициенту увлажнения, КУ) оказывали значимое влияние на продуктивность пашни. Прирост продуктивности при повышении рН на единицу в северо-западных районах, расположенных преимущественно на серых лесных почвах, в два раза превышает таковой в среднем по территории области (табл. 2) .
Таблица 2. Зависимость продуктивности пашни от величин показателей плодородия почв
| Территория | Параметры уравнений* Y= k + aX1 + bX2 + cX3 + dX4 |
Показатели связи |
|||||
| k | a | b | c | d | r | F | |
| В целом по области, n=530 | 15,2 | -10,8 | 0,22 | 0,08 | 2,62 | 0,58 | 40 |
| -18,0 | - | - | - | 7,57 | 0,40 | 62 | |
| Северо-западные районы n=115 | 11,8 | -52,6 | 2,1 | 0,12 | 8,2 | 0,85 | 70 |
| -55,86 | - | - | - | 15,0 | 0,69 | 102 | |
* где Y- продуктивность (ц з.е./га), X1 – КУ(коэффициент увлажнения), X2 – гумус (%), X3 – содержание фосфора (мг/кг), X4 - рНKCL .
Установлено, что в целом по области, при вычленении роли климата, ведущим фактором плодородия является обеспеченность почв фосфором; вторым по значимости фактором является кислотность почв; в северо-западных районах на серых лесных почвах возрастает роль гумуса, что связано и с азотным режимом почв (табл. 3).
Таблица 3. Доли вклада величин показателей плодородия в изменение продуктивности пашни (%)
| Территория | Показатели | |||
| КУ | Гумус | Фосфор | рН | |
| Область, n=530 | 15 | 6 | 55 | 24 |
Северо-западные районы , n=115 |
22 | 19 | 28 | 31 |
Зависимость продуктивности от свойств почв не является строго линейной, что просматривается в последовательном сокращении приростов продуктивности при возрастании показателей плодородия (рис. 1).
![]() |
Рис. 1. Зависимость продуктивности пашни от климатического и почвенных показателей по территории Курской области (n=530)
Согласно полученным графикам оптимальные значения для кислотности почв рНKCL и содержания подвижного фосфора составляют соответственно 6,0 ед. и 200 мг/100г. При этом степень увлажнения территории влияла на продуктивность также неоднозначно: повышение увлажнения от минимальных значений КУ до 0,99 способствовало росту продуктивности, а дальнейший рост увлажнения, территориально приуроченный к районам с серыми лесными почвами, сопровождается снижением продуктивности.
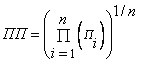
Для оценки плодородия почв по разнокачественным показателям, с учетом их неоднозначного влияния на продуктивность в разных интервалах значений, используются комплексные оценки показателей плодородия (Карманов, 1990; Кулаковская, 1990; Гринченко, Егоршин, 1984; Синельников, Слабко,1995; Державин, Фрид 2002). Для условий Центрального Черноземья предложен вариант комплексной оценки плодородия почв с использованием логистической зависимости, разработанной ранее во ВНИИЗ и ЗПЭ (Чуян Г.А., Виноградов Ю.А., Букреев Д.А.; Васенев И.И., Букреев Д.А., 1993-1997гг.). Значения индивидуальных показателей плодородия (гумус %, рН, содержание подвижных Р2 О5 , К2 О) преобразуются в безразмерные нормированные единицы (Пi ) со шкалой оценки до 100 по следующему выражению:
(1)
где Хi, Хmax и Хmin- фактические значения оцениваемого параметра, максимальное и минимальное, а А и В - корректирующие параметры, устанавливающие чувствительность показателя и уровень оптимальных значений параметров плодородия, при которых нормированные величины превышают 95 (табл. 4).
Таблица 4.Нормативные значения для расчета частных параметров (П i ) плодородия почв
| Показатели | Гумус,% | рН | Р2 О5 , мг/кг | К2 О, мг/кг |
| Х орt | 6 8 1,5 0,3 2 |
6 7,5 4 0,65 1,85 |
200 250 20 0,015 1 |
180 240 20 0,006 2,3 |
| Х mах | ||||
| Х min | ||||
| А | ||||
| В |
Комплексный показатель плодородия (ПП) реализован выражением среднего геометрического из совокупности (n) оценок:

.
Величина комплексного показателя в разрезе районов области колеблется от 60 до 90, а в разрезе хозяйств области – от 50 до 100. Коэффициент корреляции зависимости средней за 4 года продуктивности пашни от совокупного показателя плодородия (ПП) варьирует по районам от 0,49 до 0,97. В первом агропочвенном районе серых лесных почв, где плодородие является одним из основных лимитирующих факторов, характерна достаточно тесная связь продуктивности как с комплекным показателем ПП (r=0.79), так и с нормированной оценкой кислотности почв ПрН (r=0.71). В контролируемых условиях стационарного полевого опыта ВНИИЗ и ЗПЭ на черноземе типичном также достоверна взаимосвязь обобщенной оценки плодородия почвы (ПП) с уровнем продуктивности (r=0.85).
Вопрос о применении почвоулучшающих комплексных мероприятий целесообразно решать для каждого уровня территориального деления путем ранжирования оцениваемых контуров по совокупной оценке (ПП).
Аналитическая поддержка решений по выбору приоритетных мероприятий для конкретного участка или выбора приоритетных участков для осуществления конкретных мелиораций может решаться на основе расчета потенциала оптимизации регулируемого свойства (Ро)
,(2)
где Пi – нормированное значение показателя фактического состояния; Пopt – нормированное значение оптимального уровня показателя; ППп – совокупный показатель плодородия по п факторам; n – количество учитываемых факторов; ЦПП – цена балла совокупного показателя (ц/га з.е.).
В соответствии с этим, эффект от оптимизации кислотности почв зависит как от величин рН, так и обеспеченности другими факторами плодородия (рис. 2).
|

Рис. 2. Распределение территории Курской области по приоритет-ности известкования поч
Таким образом эффективное восстановление деградированных почв должно быть сбалансировано по очередности и интенсивности воздействия соответствующими мелиорациями, что повысит окупаемость затрат соответствующих ресурсов.
Закономерности пространственной изменчивости свойств почв и урожайности культур на локальном уровне (на примере чернозема типичного)
Современная модель почвенного покрова предполагает наличие в нем пространственного варьирования свойств почв и растений разного масштаба (Прохорова, Фрид, 1999; Самсонова, 2003; Козловский, 2003; Фрид, 2004).
При точечном почвенно- агрохимическом обследовании участка 2 га (100
200 м) с шагом 10 м по равномерной сетке установлено, что основным фоновым компонентом на исследуемом участке выступает чернозем типичный мощный тяжелосуглинистый, местами переходящий в выщелоченный. Мощность горизонтов (А), (А+АВ) и глубина вскипания (см) имеют величины соответственно 47±0.6, 86±0.9 и 66±1,4 при варьировании этих показателей 17.0 , 15.6 и 29.6 %. По содержанию гумуса почва участка относится к малогумусным (5,77%), по кислотности – в основном слабокислая (рНKCL
- 5,3), присутствуют среднекислые, близкие к нейтральным и нейтральные. Среднее содержание подвижного фосфора и калия 12,4 и 10,7 мг/100г соответственно. Распределение величин является нормальным, максимальная вариабельность характерна для минеральных форм азота (17.7 - 37.6%), подвижных форм калия и фосфора (29 и 19 %) и минимальная для содержания гумуса – 2,4%.
Периодичность колебаний свойств почв устанавливалась по графикам автокорреляции; по минимумам графиков зависимости средней амплитуды колеблемости значений показателей свойств от размеров шага опробования. Средние размеры контуров свойств по эмпирическим вариограммам зависимости дисперсии последовательных значений показателей от числа шагов (интервалов) между точками опробования показали аналогичные величины. При величине шага, равному периоду колебаний, коэффициенты варьирования содержания гумуса, рН, подвижных фосфора и калия имеют минимальные значения, соответственно 1.4 , 2.8 , 13.7 и 22.0 % (рис. 3).


Рис. 3. Зависимость варьирования величин показателей свойств пахотного слоя почв от размера шага опробования
Установлена закономерная периодичность как морфометрических данных почвенного профиля исследуемого чернозема, так и агрохимических свойств пахотного горизонта, которая имеет близкие значения в разных направлениях системы координат на плоскости, при этом изменение вариабельности свойств в разные годы (2006-2008 гг.) не повлияло на размеры периодичности (табл. 5).
Комплекс морфометрических показателей в целом обладает меньшей дифференциацией по территории объекта, чем агрохимических свойств пахотного горизонта. Значения комплексного показателя плодородия почвы участка (ПП), коэффициента неоднородности (KN, %) и коэффициента сбалансированности факторов плодородия (Ксб , %) имеют величины соответственно 74.6, 7.7% и 80.0 %.
Таблица 5. Характеристика среднего размера контура и периодичности показателей плодородия чернозема типичного (n=200)
| Показатели | Учитываемые периоды по спектральному анализу (м) |
Средний размер контура (м). |
| Содержание гумуса | 40 | 40 |
| рНKCL | 20, 100 | 60 – 80 |
| Р2 О5 подв. | 20, 60, 120 | 60 – 70 |
| К2 О подв. | 20, 60,120 | 50 - 70 |
| Мощность гор. А | 20, 70 | 40 |
| Мощность гор. А+АВ | 20, 100, 150 | 50 |
По данным дробного учета урожая в однородных рекогносцировочных посевах установлено, что доля закономерной изменчивости урожаев культур составляет 2/3 общего их варьирования (Перегудов, 1978). При повышении размеров учетной площади увеличивается доля закономерной составляющей. Установлена закономерная периодичность урожайных данных по спектральному анализу и вариограммам совмещенных рядов учетных данных 2006 и 2008 гг. (табл. 6).
Таблица 6. Компоненты варьирования урожайности культур (n=200)
| Культура и способ учета | Урожай -ность, ц/га |
КV % | Компоненты варьирования, % от общего |
Период (м) | Средний размер контура (м) |
|
| закономерные | случайные | |||||
| Ячмень 2006г.(сноп.) | 14,8 | 43 | 66 | 34 | 20. 100 | 40 – 50 |
| Озимая пш. 2008г. (сноп.) | 39,3 | 19,0 | 57 | 43 | 10, 50, 90 | 70 – 80 |
Озимая пш. 2008г. (Sampo - 500) |
38,7 | 18,9 | 73 | 27 | 50, 150 | 40 - 60 |
Периодичность и средний размер контуров для приведенных культур имеет аналогичные значения, что и для почвенных параметров.
3. Роль кислотно-основных свойств в формировании гумусного состояния черноземов и серых лесных почв Курской области
По данным результатов почвенно-агрохимического обследования пахотных земель Курской области выявлены наиболее общие закономерности формирования гумусного состояния пахотных почв основных типов, характерных для данной территории - черноземов (57.5 %) и серых лесных почв (23.5 %). Для этого из общего массива данных по каждому из 28 районов, характеризующихся различным коэффициентом увлажнения (0,88-1,09), выделены автоморфные почвы и сформированы выборки по участкам, используемым на момент обследования в полевых севооборотах (n=26165). Для статистической обработки проведено группирование данных с учетом занимаемых площадей по типовой принадлежности почв, градациям по гранулометрическому составу и соответствующим им значениям физико-химических показателей.
При исключении из общей выборки районов с карбонатными и остаточно солонцеватыми почвами безотносительно их типовой принадлежности содержание гумуса в почвах в линейной форме описывается следующими уравнениями:
у = 0,42 – 2.77x1 + 0.065x2 + 0.071x3 , F = 68.1, r = 0.89;
у = -3.46 + 0.07x2 + 0.88x3 , F = 96.6, r = 0.78
где у – содержание гумуса %; x1 , x2 , x3 – соответственно коэффициент увлажнения территории, содержание физической глины %, рНKCL .
Доли вклада в изменение содержания гумуса соответственно равны 15, 64, 21 % и 71, 29 %, откуда следует, что кислотно-основное состояние почвы выступает как самостоятельный фактор. При этом содержание гумуса в почвах в большей мере коррелирует с логарифмическим значением рНKCL , поскольку эта величина характеризует состояние почвенного поглощающего комплекса и степень насыщенности его основаниями.
Кислотная природа гумусовых веществ предопределяет их взаимодействие с минеральной частью почвы и возможность закрепления в почве (50 - 80 %). Количество органического вещества зависит от степени дисперсности минеральных частиц, а основное количество гумусовых веществ (Г, %) сосредоточено в глинистой фракции (Фг%,< 0.01 мм) (Тюлин, 1958; Кобцева, 2008). При этом энтропийный эффект может быть определяющим фактором взаимодействия глинистых минералов с органическими молекулами (Parfitt, Fraser, Farmer, 1977).
При использовании в качестве основы оценки средневзвешенных величин содержания гумуса двухкомпонентного параметра ln(Фг)ln(рНKCL ) установлено, что для исследуемых почв на основной территории области этот комплексный фактор на 77 % определяет средние уровни содержания гумуса:
Г(%)=1,39·ln(Фг)ln(рНKCL ) – 4,4 , r=0,88.
Повышение увлажнения территорий в сочетании с облегчением механического состава почв в северо-западных районах области обусловило формирование кислых, преимущественно серых лесных почв, характеризующихся низким содержанием гумуса. Как снижение увлажнения территорий в юго-восточном направлении, так и до определенной степени утяжеление механического состава при снижении кислотности почв способствует формированию черноземов оподзоленных, выщелоченных и типичных (рис. 4). Данная схема не исчерпывает всех возможных сочетаний величин и условий и характеризует направленность действия почвообразующих факторов в пределах Курской области.

Рис. 4 Средние уровни величин содержания гумуса в пахотных почвах в зависимости от исходных свойств и климатических условий.
Количественным показателем, характеризующим тип формирующегося в различных климатических условиях гумуса и являющимся функцией биохимической активности почв, является величина группового состава гумуса: Сгк:Сфк, имеющая коэффициент корреляции с периодом биологической активности (ПБА) для зонального ряда 0.95 (Волобуев,1973; Кононова, 1963; Бирюкова, Орлов, 1978; Орлов, 1990).
Изменение относительного содержания углерода гуминовых кислот и соотношения (Сгк:Сфк), определяемых различными методами, в большинстве случаев идет параллельно изменению общего количества гумуса. Учитывая различия групп гумусовых кислот, содержание гумуса (%) в почвах зонального ряда приближенно может быть выражено функцией четырех относительных величин:
, (3)
где КГ - величина, обратная значению относительного превышения реакционной способности фульвокислот над гуминовыми:
;
%СГК, ФК - содержание углерода в гумусовых кислотах; ЕКОФГ, ФК - емкость катионного обмена препаратов гумусовых кислот (Орлов, 1974; Ковда, Розанов, 1988; Мамонтов, Панов, Кауричев, 2006).
Согласно расчетам, 90 % значений (Сгк:Сфк) для выборки черноземов выщелоченных (Курская обл., n=3681, КГ = 0,44) находится в интервале 1.6 – 2.5 при среднем значении 2.0, а 82 % этих величин для серых лесных почв (n=1601, КГ = 0,5) находится в интервале 0.7 – 1.3 при среднем значении 1.0 , что близко по размерности классическому методу Тюрина (рис. 5)

Рис. 5. Полигоны частот расчетных значений группового состава гумуса различных типов почв
Из взаимосвязи содержания гумуса в пахотном горизонте с показателем, характеризующим состояние ППК почв следует, что при прочих равных условиях изменения его должны соответствовать изменениям величины рНKCL как по знаку, так и в соответствующих количественных пропорциях:
, (4)
где Г0 и рН0 - исходные величины содержания гумуса (%) и обменной кислотности почвы.
Изменения содержания гумуса (∆Г%), соответствующие выражению (4),
были подтверждены по анализу динамики этих величин за 15 – 20 лет землепользования хозяйств в Медвенском, Горшеченском и Фатежском районах (рис. 6).

Рис. 6. Относительные (от исходного) изменения средневзвешенного содержания гумуса (%) при изменении величины рНKCL черноземов оподзоленных выщелоченных и типичных
Полученные данные подтверждают, что как процессы деградации почв, так и их окультуривания являются комплексными, затрагивающими всю почвенную систему. Устойчивость гумусного состояния по логике построения исходных зависимостей сопряжена с устойчивостью кислотно-основного состояния почв, обеспечиваемого соответствующими режимами.
4. Взаимосвязь физико-химических свойств чернозёмов и серых лесных почв
Уравнение состояния почвенного поглощающего комплекса
Методической основой для выявления взаимосвязи физико - химических свойств, которые вытекают из теоретического обоснования поглотительной способности почв (Гедройц, 1933; Горбунов, 1957; Ремезов, 1957;Пинский, 1997) было принятие следующих положений.
Общая взаимозависимость показателей разделена на три составляющие: а) зависимость емкости катионного обмена (ЕКОП ) от соотношения в почве гумуса (Г%) и фракции физической глины (Фг% ,<0,01мм); б) взаимосвязь рН и состава катионов в ППК, как соотношения Нг и S (основных характерных частей); в) взаимосвязь рН и емкости катионного обмена (ЕКОП =S + Нг).
Статистическая обработка сгруппированных данных обследования черноземов выщелоченных, типичных и серых лесных показала, что для исследуемых почв величина рНKCL обладает невысокой вариабельностью – от 8 до 13 % (табл. 7).
Таблица 7. Статистическая характеристика свойств почв
| № выб. | Показатель | X | Xmin | Xmax | SХ | KV , % |
| Серые лесные почвы, черноземы, n=16. Белгородская обл. | ||||||
| 1 | Фг, % Гумус, % рНKCL Нг, мг-экв/100г. S, мг-экв/100г. ЕКОП , мг-экв/100г |
53.14 5.76 6.67 1.78 34.5 36.3 |
10.6 2.6 5.8 0 12.1 15.1 |
70.6 7.2 7.4 3.4 47.6 49.0 |
4.16 0.33 0.14 0.33 2.28 2.1 |
31 23 8 75 26 23 |
| Серые лесные почвы, черноземы оподзоленные и выщелоченные , n = 4722. По рабочим участкам хозяйств в различных районах Курской обл. | ||||||
| 2 | Фг, % Гумус, % рНKCL Нг, мг-экв/100г. S, мг-экв/100г. ЕКОП , мг-экв/100г |
45.5 4.12 5.30 3.86 24.5 28.4 |
8.4 0.5 3.5 0.0 5.8 8.5 |
78.5 8.80 7.70 9.57 49.0 50.1 |
0.13 0.02 0.01 0.02 0.09 0.10 |
19.9 28.4 9.7 39.1 25.9 22.5 |
| Черноземы типичные и выщелоченные, n=258. ОППХ ВНИИЗ и ЗПЭ Медвенский р-н, Курской обл. | ||||||
| 3 | Гумус, % рНKCL Нг, мг-экв/100г S, мг-экв/100г. ЕКОП , мг-экв/100г |
5.79 5.83 4.11 29.3 33.4 |
5.10 4.8 0.70 9.0 12.2 |
6.98 7.3 8.24 49.1 49.9 |
0.02 0.04 0.12 0.25 0.19 |
5.3 11.9 45.3 13.7 9.0 |
| Серые лесные почвы, n= 690. Орловская обл. | ||||||
| 4 | Гумус, % рНKCL Нг, мг-экв/100г. S, мг-экв/100г. ЕКОП , мг-экв/100г |
5.30 5.64 4.68 23.9 28.5 |
2.04 3.9 0.35 5.9 7.9 |
8.66 7.7 11.1 45.8 51.6 |
0.04 0.03 0.08 0.17 0.17 |
21.0 13.0 44.5 18.4 15.2 |
X – среднее значение, SХ -ошибка выборочной средней, KV – коэффициент варьирования (%), ЕКОП = (S + Нг).
Установлено, что наибольший вклад в изменение величины ЕКОП почв имеет содержание органического вещества – 45 %. Показатель обменной кислотности определяет 21% изменений ЕКОП почв и в наибольшей мере влияет на величину гидролитической кислотности - 62 % (r=0,78-0,87).
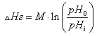
Установлено, что и для серых лесных почв, и для черноземов характерна тесная линейная зависимость величины гидролитической кислотности (мг-экв/100г) от значения ln(pHKCL ). Значения показателей (S) и (ЕКОП ) также зависят от величины ln(pHKCL ), а коэффициентом пропорциональности при этом выступает величина сорбционной способности почвы или модуля катионообменной емкости (М ), зависящего от соотношения в ней органического вещества и физической глины, но независимого от величин рН. Значения гидролитической кислотности, соответствующие выражению:
Нг = ЕКОП – S , структурно воспроизводящему уравнение регрессии (табл. 8), имеют вид :
Нг= М ln(pHН ) - М ln(pHKCL ), (5)
где М – показатель сорбционной способности почвы, зависящий от соотношения гумуса (%) и физической глины (%); pH Н -условная величина pHKCL при которой ЕКОП =S , Нг→0 и V→100%.
Таблица 8 . Зависимость гидролитической кислотности почв (мг-экв/100г) от величины рНKCL
| № выборки | Объем выборки |
Параметры уравнений вида* Нг= a - b ·ln(рНKCL ) |
Отношение a/b |
рНН = exp(a / b ) |
||
| a | b | r | ||||
1. 2. 3. 4. |
16 4722 258 690 |
29.25 22.73 32.0 31.41 |
-14.56 -11.34 -15.95 -15.68 |
-0.91 -0.69 -0.98 -0.93 |
2.01 2.00 2.00 2.00 |
7.45 7.42 7.44 7.41 |
Анализ уравнений (pHН =exp(a / b ) показывает, что для почв различного генезиса соответствует вполне определенное значение pHН , близкое к величине 7.4 ед., которое соответствует точке условного насыщения ППК.
Величине рНKCL =рНН соответствует величина ЕКОП в состоянии насыщения ППК обменными основаниями: ЕКОН = М ln(рНН ).
В исследованиях катионообменных свойств почв установлено, что емкость катионного обмена представляет собой линейную функцию от рН равновесного раствора (Возбуцкая, 1964; Минкин, Горбунов, Садименко, 1986). Выражению (ЕКОП = ЕКОН - ∆ ЕКОП ) в таком случае соответствует:
ЕКОП =М ln(pHН )-τ М( рНН - pHKCL ), (6)
где изменение ЕКО (∆ ЕКОП = τ М( рНН - pHKCL ) имеет вид линейной зависимости, τ – показатель удельной дифференциальной емкости почвы, характеризующий величину изменения полной емкости катионного обмена почвы, приходящегося на единицу показателя (М ) при изменении pHKCL на единицу (табл. 9). Серым лесным почвам характерно более высокое значение (τ), чем для черноземов (0,16 и 0,1).
Схематически зависимость величин S, ЕКОП и Нг при разном значении рНKCL представлена на рис. 7.
Таблица 9. Зависимость емкости катионного обмена от кислотности почв
№ выб. |
Объем выборки |
Параметры уравнений вида* ЕКОП = a - b ·(рНН - рНKCL ) |
(М) Отношение а / ln(рНН ) |
(τ) Отношение b/М |
|
| a | b | ||||
2. 3. 4. |
4722 258 690 |
34.56 36.45 28.54 |
-2.87 -1.85 -2.29 |
17.25 18.17 14.25 |
0.10 0.10 0.16 |

Рис. 7.Зависимость емкости катионного обмена, суммы обменных оснований и гидро-литической кислот-ности от величин рНKCL
Величине суммы поглощенных оснований соответствует разница:
S = ЕКОН - ∆ ЕКОП – Нг:
S = М (ln(рНKCL ) – τ (рНН -рНKCL )) (7)
Таким образом, количественная взаимосвязь показателей поглотительной способности выражается уравнением состояния ППК, как аналога выражения (ЕКОП =S+ Нг), учитывающего величины ∆ ЕКОП :
М(ln(pHН )–τ(pHН –pHKCL ))=M(ln(pHKCL )–τ(pHН –pHKCL ))+M∙ln(pHН /pHKCL ) (8)
Анализ уравнения свидетельствует, что показатель обменной кислотности (рНKCL ) характеризует соотношение величин Нг и S в ППК и степень насыщенности почвы основаниями согласно выражению :
![]()
(9)
Для черноземных почв (рНН ≈7.4), поскольку ∆ЕКОП относительно невелико, показатель степени насыщенности почвы основаниями (V%) будет иметь вид:
V% ≈ 50 ln(pHKCL ) (10)
Фактическая реализация зависимостей (9, 10) подтверждает форму взаимосвязей по уравнению (8). Теоретически рассчитанные значения V% черноземов оподзоленных, выщелоченных и типичных, а также серых лесных имеют стандартную ошибку 0.8 и 2.1%, а коэффициент соответствия величин составляет при этом – 99 и 98% (рис. 8).

Рис. 8. Зависимость степени насыщенности основаниями черноземов выщелоченных и типич-ных от рНKCL (n= 255).
Поскольку величины (pHH , τ ) носят характер, близкий к нормативному для исследованных почв, то соотношения величин Нг, S и ЕКОП в конкретных почвах практически полностью определяются величиной рНKCL . Тем самым реализуется принцип о взаимосвязи и взаимообусловленности компонентов, составляющих единую систему ППК. Изменения в составе катионов ППК при изменении рНKCL пропорциональны величине (М) и логарифму относительного изменения рНKCL :
(11)
,(12)
где рН0 - исходное, рНi – текущее (фактическое) значение.
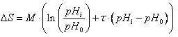
Изменение суммы обменных оснований, при изменении кислотности почвы, равно сумме абсолютных изменений емкости катионного обмена и гидролитической кислотности │∆S│=│∆ЕКОП │+│∆Нг│, что соответствует:
(13)
Cоотношение весовых коэффициентов к содержанию гумуса (%) и количеству физической глины (< 0.01мм, %) в показателе модуля катионообменной емкости почвы (М) равно 24:1 (r=0.76-0.99). В соответствии с этим, величине (М) можно придать более точное выражение:
М = КМ (2.4Г + 0.1Фг), (14)
где КМ – коэффициент пропорциональности (для черноземов КМ ≈1), соответствующий тому, что различным типам почв могут быть характерны разные удельные сорбционные показатели.
По сути, показатель модуля катионообменной емкости почвы (М), связанный с количеством и качеством обменных центров ППК может отражать предельное минимальное количество вещества отрицательных зарядов ППК в единице массы почвы (ммоль (е- ) /100г) в условиях кислой реакции среды. Таким образом, при изменениях реакции среды величины показателей поглотительной способности почв становятся производными от значения (М).
Оценка буферных свойств почв
Количественные оценки кислотно-основной буферности почв подтверждают, что чем больше в почве содержится гумуса и тяжелее механический состав, тем выше ее буферная способность как к подкислению, так и к подщелачиванию и, при прочих равных условиях, большая буферность в ту или иную сторону определяется преобладанием в составе ППК ионов Н+ или оснований (Надточий, 1993; Надточий, 1998; Савченко, 1989; Фрид, Гребенников, 1999; Соколова, Мотузова, Малинина, 1991).
Проведена серия лабораторных экспериментов по определению буферных кривых в солевой (1Н KCL) и водной суспензии (1:2.5) для чернозема типичного тяжелосуглинистого (рНKCL =5,75) и серой лесной среднесуглинистой почвы (рНKCL =4,9). Общая методика соответствовала методу Аррениуса. Установлено, что во всем диапазоне буферных кривых измеряемые величины рН водных суспензий подчиняются логарифмической зависимости от количеств вводимых. По солевым суспензиям в интервалах ±2.0 ед. рН от точки начала титрования (рНТНТ ) как в щелочном, так и в кислотном диапазоне зависимость устанавливающихся величин рНKCL от количеств вводимых реагентов соответствовала функции (табл. 10):
рНi = рНТНТ ·(КБ)х , (15)
где (х)- количество применяемых реагентов (ммоль/100г.); фактический коэффициент к изменению рН (рНi /рНТНТ ) представляет собой показательную функцию: рНi /рНТНТ = КБ Х , где КБ -коэффициент буферности
а) к подкислению: КБ К = 1/exp(1/M); (16)
б) к подщелачиванию: КБ Щ = exp(1/M·(1+τ)). (17)
При этом величины КБ К <1 и КБ Щ >1 зависят только от базовых свойств почв, определяющих величину модуля катионообменной емкости почв (М), а, следовательно, и емкость катионного обмена (рис. 9).
Таблица 10. Зависимость рН солевых суспензий почв (1:2.5) от количества вводимых реагентов
| Почва | Параметры уравнений * ln(рНi / рНТНТ )= a∙ x |
КБ по уравнению рНi / рНТНТ = (КБ )х |
|||
| а | R2 | по эксперименту КБ=exp(a ) |
по свойствам почв** |
||
Чернозем Серая лесная |
Подкисление (HCl) | КБК | М | КБК | |
-0.057 -0.084 |
0.99 0.99 |
0.944 0.920 |
17.66 0.945 11.82 0.919 |
||
Чернозем Серая лесная |
Подщелачивание (NaOH) | КБЩ | М | КБЩ | |
0.052 0.074 |
0.99 0.99 |
1.054 1.077 |
17.66 1.053 11.82 1.075 |
||
* где х – ммоль / 100г; **τ - 0,1 и 0,16 для чернозема и серой лесной почвы

Рис. 9. Зависимость коэффициентов буферности (КБ ) от величин модуля катионообменной емкости (τ=0,1 )
Коэффициенты буферности соответствуют относительному изменению величины рН от 1 ммоль/100 г применяемых реагентов. Приближение величин КБ к единице соответствует повышению буферности почв. Сам коэффициент буферности является безразмерным и универсальным показателем, поскольку величины интенсивности буферности (ИБ ) и емкости буферности (ЕБ ) являются производными от КБ:
ИБ К =М·ln(рНТНТ /(рНТНТ -1)) (18); ИБ Щ =М·(1+τ)·ln((рНТНТ +1)/рНТНТ ) (19)
Отсюда следует, что как интенсивность буферности, так и емкость буферности пропорциональны величине (М) и зависят от исходной кислотности почв (рНТНТ ).
Определение доз мелиорантов в соответствии со свойствами кислых почв и агроэкологическими условиями
Уравнение состояния поглощающего комплекса и вытекающие из него взаимосвязи показателей ППК при соответствующем нормативном обеспечении по значениям рНН и (τ) позволяют значительно расширить диапазон и унифицировать уравнение расчета доз мелиорантов в соответствии с буферными свойствам почв.
За основу расчетов мелиоративных доз извести при этом берется то количество Са2+ в составе гидролитически щелочных соединений, которое входит в состав ППК в расчете на заданное изменение кислотности (рНKCL )от исходного рНi до оптимального значения рНор t . Эта величина соответствует изменению суммы обменных оснований и выражается суммой абсолютных изменений гидролитической кислотности и емкости катионного обмена (И, СаСО3 т/га = DS∙5∙h∙d ) в соответствии с мелиорируемой глубиной (h, м) и объемной массой почвы (d, г/см3 ) :
.
(20)
В этом состоит принципиальное отличие предлагаемого подхода, что позволит повысить разрешающую способность самого приема.
Расчетные значения расхода СаСО3 для сдвига рН на 0,1 ед. в различных интервалах рН для основных типов почв ЦЧЗ разного гранулометрического состава подтверждают соответствующие их нормативные значения (Нормативы…,1980; Рекомендации…, 1983; Рекомендации…, 1993).
При наличии данных агрохимического анализа почв оцениваются необходимые показатели для каждого рабочего или элементарного участка.
Величина (М) определяется по полной емкости катионного обмена
(21)
Для слабокислых почв приближенное значение (М) определяется в более простой форме:
или 0.5 ЕКОП
(22)
где ЕКОП = S + Нг, рНН = 7,4 ед., τ – показатель удельной дифференциальной емкости (мг-экв/100г. ед.рН·М).
5. Обоснование концепции кислотно-основного статуса почв
Взаимосвязь ППК почв и содержания водорастворимых оснований.
При изменениях кислотности почвенной среды изменяется степень диссоциации функциональных групп ППК и величина заряда на поверхности почвенных частиц: отрицательный потенциал падает при подкислении и возрастает - при подщелачивании (Возбуцкая, 1964; Сидорова, Фридрихсберг, Кибирова, 1974; Сидорова и др., 1976; Роуэлл, 1998). Из этого следует, что менее кислым, более насыщенным основаниями почвам соответствует и более высокая концентрация их в жидкой фазе, а поскольку ионообменные взаимодействия даже в условиях естественной влажности протекают относительно быстро, то это предполагает в системе < ППК – раствор > состояние, близкое к равновесному.
Поскольку фактором, инициирующим само перераспределение катионов в системе « ППК - почвенный раствор» является изменение их концентрации в растворе (в результате природных или антропогенных факторов), то состав ионов ППК в большей мере определяется составом почвенного раствора, и его роль носит характер обратной связи, являясь фактором стабилизации кислотно- основного состояния почвы.
В условиях стационарного полевого опыта ВНИИЗ и ЗПЭ при воздействии различных факторов, которые способны нарушать равновесие в почвенной системе, установлена тесная зависимость значений содержания водорастворимых оснований (1:5) Sвод (Са+Мg, мг-экв/100г) и концентрации их в растворе, приведенном к стандартным условиям, от значений актуальной и обменной кислотности, определены ее параметры (табл. 11). Гранулометрический состав почвы (чернозема типичного) однородный: содержание физической глины (< 0,01 мм) колеблется в узком интервале - от 48,5 до 51,5 %.
Таблица 11. Статистическая характеристика выборки показателей свойств почв (n=340)
| Показатель | X | Xmin | Xmax | Sx | Kv ,% |
Гумус, % рНKCL рНН2О Sвод (Са+Мg), мг-экв/100г. |
5,60 6,11 6,91 0,54 |
4,66 5,00 5,90 0,24 |
6,54 7,60 8,21 1,39 |
0,02 0,04 0,04 0,01 |
6,8 12,5 9,6 50,0 |
НВ% (расчетное)* СНВ , мг-экв/л (расчетное)** |
32,9 16,67 |
31,5 7,5 |
34,2 43,2 |
**Концентрация оснований СНВ (Са2+ +Мg2+ , мг-экв/л) в почве при наименьшей влагоемкости определена по данным анализа водной вытяжки из почвы (1:5) и величин наименьшей влагоемкости ( Минашина, 1970; Барон, Токарев, 1979; Ковда, 1988).
*Величины наименьшей влагоемкости почв (НВ%) рассчитаны по зависимости от содержания органического вещества (Г%) и физической глины (Фг%) (Ж. Лозе, К. Матье, 1998).
Зависимость концентрации оснований от величин актуальной и обменной кислотности имеет следующие выражения:
СНВ (Са2+ +Мg2+ , мг-экв/л ) =0,228·e 0,61 рНвод , r=0,90; (23)
СНВ (Са2+ +Мg2+ , мг-экв/л ) =0,721·e 0,5 рНсол , r=0,85. (24)
Концентрация водорастворимых оснований при снижении кислотности почвы возрастает в геометрической прогрессии – на каждую единицу обменной кислотности в 1,65 раза, а актуальной кислотности – в 1,84 раза. Установлено, что и для серых лесных почв характерна аналогичная зависимость. Величины концентрации оснований в жидкой фазе исследуемых почв соответствуют их значениям, получаемым другими методами выделения и оценки почвенных растворов (Быстрицкая, Волкова, Снакин, 1981; Иванов, 1971), а также определением составов инфильтрационных вод в лизиметрических исследованиях (Шильников, Мельникова, Варюшкина, Лебедев, 1989).
Из этого следует, что степень насыщенности почвы основаниями и содержание водорастворимых оснований связаны через величину обменной кислотности, что характеризует взаимосвязь между твердой и в жидкой фазой почвы. Условному равновесию (по стандартным методам) соответствует следующее выражение:
СНВ (Са2+ +Мg2+ , мг-экв/л ) ≈ 0,07·exp(0,06·V%) (25)
Таким образом, содержание оснований в системе « ППК - почвенный раствор»- является результатом устанавливающегося равновесия между количеством растворенных и поглощенных оснований, с одной стороны, и ионов водорода – с другой стороны.
Потери оснований из пахотных почв
Вовлечение в пашню черноземов, изначально насыщенных основаниями, приводит к обеднению их кальцием и магнием и подкислению реакции среды,
что связано как с систематическим выносом оснований урожаем культур, так и с усилением водообмена в обрабатываемых почвах. На долю выноса растениями приходится 1/4 теряемых оснований и 3/4 - на долю инфильтрации (Бобрицкая, 1975;Синкевич, 1989; Шильников и др.,1989). Между потерями оснований из почв и объемом стока существует тесная положительная корреляционная связь (r = 0.61 – 0.96, Мельникова, 1981; Волокитина и др., 1984). Таким образом, величины потерь оснований из почв могут определяться средней концентрацией их в жидкой фазе и величиной стока во вневегетационный период.
Для оценки величины стока, приходящегося на позднеосенний – ранневесенний период, возможно использовать относительные коэффициенты к инфильтрации влаги в зависимости от коэффициента увлажнения (ККУ ) и гранулометрического состава почв (КФГ ). При такой дифференциации сток (J,мм) выражается произведением коэффициентов и величины стока при базовых условиях (JБ =45 мм, ККУ =1 при КУ=0.9 и КФГ =1 при Фг=45%).
J(мм)= JБ КФГ ККУ = JБ (5КУ – 3,5)(1,9 – 0,02 Фг) (26)
Согласно расчетам для автоморфных почв Курской области, находящихся на выровненных участках, размеры среднегодовых величин оттока влаги (J, мм) во вневегетационный период в первом агропочвенном районе серых лесных почв и втором- черноземов составляют соответственно 90 – 120 и 40 – 90 мм . Это подтверждается и другими методами оценки: по исследованию элементов водного баланса (Сухарев В.И., 2003, 2006); по изменению влагозапасов почвы за холодный период (Акименко А.С., 2000, 2001). Среднегодовые потери оснований (∆Cainf ) контролируемого (пахотного) слоя почвы (СаСО3 , кг/га) в зависимости от кислотности почв (рНKCL ), характеризующей содержание оснований в жидкой фазе почв (24), приближенно определялись по следующему выражению:
∆Cainf = 0,1806 exp(0,5·рНKCL ) Jмм (27)
В зависимости от кислотности почв размеры естественных потерь оснований в первом агропочвенном районе серых лесных почв и втором- черноземов варьируют в интервалах соответственно 190-380 и 60–380 СаСО3 кг/га. Получаемые величины потерь оснований в среднем соответствуют расчету по методике оценки баланса кальция (Сычев, Музыкантов, Панкова, 2000).
Высвобождение щелочноземельных элементов минеральной части почв – основной источник пополнения их в почвенных фазах
Общей закономерностью процессов химического выветривания является возрастание степени разрушения или преобразования минералов различных групп устойчивости при повышении температуры и количества осадков (Толстой, 1968;Парфенова, Ярилова, 1962; Антипов-Каратаев, Цюрупа, 1963; Добровольский В.В.,1968; Глазовская М.А., 1981). Разрушение минералов в почве осуществляется при воздействии на них природных растворов, содержащих реагенты кислотного характера и состоит из двух основных стадий: быстрой- протонирование поверхностных слоев минералов и медленной - распад кристаллических структур в силу неустойчивости межмолекулярных энергетических связей. Совокупный многоступенчатый процесс контролируется медленнодействующей стадией, которую для структурных единиц минерала можно описать уравнением кинетики первого порядка:
,
где t – время , k – константа скорости. Это подтверждается анализом данных лабораторных исследований по выщелачиванию различных минералов в течение длительного времени (Лабенец, 1977). Изменение валового содержания кальция (СаМ ) во времени (3,6 лет) описывалось соответствующим уравнению кинетики выражением:
![]()
Для описания константы высвобождения ионов (k) использована эмпирическая зависимость Аррениуса, подтвержденная для широкого круга физико-химических процессов в статистической термодинамике (Браун, Лемей, 1983; Пурмаль, Слободецкая, Травин, 1984):
,(28)
где m - показатель, характеризующий влияние рН среды, А –коэффициент пр..
Величина показателя (m ) может быть оценена, поскольку соотношение констант для разных условий воспроизводится в соотношениях интенсивности высвобождения оснований: k0 / ki =∆Ca0 /∆Cai . Для равных промежутков времени (t- const) это соответствует линейной форме уравнения:
ln(∆Ca0 / ∆Cai )=- m·(рНi -рН0 ) (29)
Такая зависимость подтверждена в проведенных лабораторных экспериментах по выщелачиванию почвообразующих пород титрованными растворами НCL при разном исходном значении рН (0,5…5) за равные промежутки времени (1час) и широком соотношении реагирующих масс (1:20, 1:50), снижающих влияние возрастающих концентраций ионов на их передвижение в раствор. Использованы предварительно отмытые от карбонатов образцы лессовидного суглинка, подстилающего чернозем типичный тяжелосуглинистый на глубине 160-170см и глинистого сланца, подстилающего серую лесную почву (рис.10).


Рис. 10. Интенсивность высвобождения кальция (Ca мг/100г) из лессовидного суглинка в зависимости от кислотности раствора (НCL) и соотношения масс (1:20, 1:50)
Установлено, что при прочих равных условиях из лессовидного суглинка извлекается в среднем в 2,6 раза большее количество кальция. Расширению соотношения порода: раствор соответствовал пропорциональный рост ∆Ca.
Величина (m ) воспроизводится при различных соотношениях: 0,52-для лессовидного суглинка и 0,74-0,88 для глинистого сланца, что может характеризовать сочетание минералов в составе почвообразующей породы.
В целом отсюда следует, что интенсивность высвобождения ионов щелочноземельных металлов в почве имеет конечные и вполне конкретные величины, поскольку определяется свойствами минеральной части.
Параметры кислотно-основного статуса почв
Динамическое равновесие между твердой и жидкой фазами почв при условии постоянства режимов и количества материальных носителей ППК подразумевает, что в многолетнем цикле баланс оснований в ограниченной системе «ППК ↔ почвенный раствор» близок к нулевому. Отсюда следует, что количество теряемых при инфильтрации оснований (∆Саinf ) скомпенсировано их количеством, высвободившимся из минеральной части: ∆СаM = ∆Саinf . Согласно уравнению кинетики среднегодовое количество высвобождающихся из минеральной части оснований соответствует следующему выражению:
∆СаM ( t =1) = СаM (1- e- k ) (30)
Миграционная способность (РСам ) характеризуется частью атомов, которая перешла в подвижное состояние относительно их общего содержания в исследуемом объекте (∆СаM / СаM ) в единицу времени (Перельман, 1961).
Поскольку величины констант (k) значительно меньше единицы (k < 0.1), то миграционная способность оснований приближенно равна константе их высвобождения, зависящей от рН (РСа м ≈ k):
(31)
Миграционная способность оснований, контролируемая равновесием системы «ППК- почвенный раствор» (РСа inf ), соответствует отношению количества среднегодовых потерь с инфильтрацией (∆Саinf ) к их общему количеству для контролируемого слоя почвы (СаM ):
, (32)
где К – коэффициент пропорциональности, а – параметр влияния рН, характерный для почв (0.5, 0.61 по ур. 23, 24); J-среднегодовой сток (мм).
Из тождества величин (
) следует, что уровень устанавливающейся величины рН имеет выражение :
рН = (а + m)-1 (ln(CaM )- ln(J) + с ), (33)
где свободный член (с ) объединяет условно постоянные величины (К) и (А) для конкретных условий.
Равновесное значение рН в общем случае прямо зависит от содержания щелочноземельных металлов в валовом составе почв и снижается с ростом величин среднегодовой инфильтрации влаги. Степень влияния этих величин определяется свойствами почвообразующей породы, через величину (m ), и свойствами ППК – через величину (а ), характеризующую степень влияния рН на равновесие в системе «ППК - почвенный раствор».
Для почв близкого или одного состава это выражается в следующем виде:
рН = D - α ln(J) , (34)
где D – свободный член уравнения; α=(а + m)-1 – параметр влияния твердой фазы почв, не содержащих карбонаты в пахотном слое.
В пределах Курской области повышение увлажнения территорий в сочетании с облегчением механического состава почвообразующих пород в северо-западных районах способствует формированию почв с повышенной кислотностью – серых лесных и черноземов оподзоленных. В юго-восточной части при меньшей увлажненности и более тяжелом механическом составе формируются почвы, близкие к нейтральным, и нейтральные – черноземы выщелоченные и типичные. При прочих равных условиях более тяжелым почвам соответствует меньшая кислотность (рис. 11).
Рис. 11. Средние уровни рН почв, формирующихся в зависимости от гидротермических условий и грануло-метрического состава
Оценка зависимости кислотности почв от стока влаги (J, мм) показала более тесную связь для групп по механическому составу, поскольку гранулометрический состав почв тесно связан с минералогическим:
в целом по Курской области: рНKCL = 8,78-0,77·ln(J), r=0,77;
для тяжелосуглинистых почв: рНKCL = 9,49-0,98·ln(J), r=0,80;
по группам почв разного гранулометрического
состава: рНKCL = 8,55-0,70·ln(J), r=0,99.
Коэффициент регрессионного уравнения для тяжелосуглинистых почв на лессовидных суглинках соответствует расчетному значению по установленным значениям показателей (уравн. 24, рис. 10): α = (а + m)-1 = (0,5 + 0,52)-1 = 0,98.
Экстраполяция расчетных величин рН для условий с непромывным водным режимом соответствует нейтральной реакции почвенной среды.
Таким образом, почва представляет собой самоорганизующуюся систему, что при неизменности условий и системообразующих режимов обеспечивает установление равновесных состояний и характерные интервалы величин кислотности почв (рис. 12). .
6. Известкование как способ оптимизации свойств почв и повышения продуктивности культур
Чернозем типичный, залегающий на склонах северной экспозиции, блока «плодородие» многофакторного полевого опыта ВНИИЗ и ЗПЭ близок по своим характеристикам к черноземам выщелоченным (рН KCL =5.3 – 5.6). Известняковую муку в дозе 2 т/га вносили при подъеме зяби под посев сахарной свеклы, а удобрения - под каждую культуру и в соответствующих дозах. Среднегодовой сбор зерновых единиц по ротациям севооборота на контроле для условий черноземных почв достигал среднего уровня – 35,3 -38,6 ц/га з.ед.. Удобрения в сочетании с мелиорацией повышали среднегодовую продуктивность севооборотной площади на 25 % - до 44,3 ц/га з.ед. Насыщение севооборота известью из расчета 0,5 т/га на гектар севооборотной площади обеспечивало прирост зерновых единиц в среднем 2,6 ц/га. Зависимость продуктивности (ц з.е./га) от исследуемых факторов описывается уравнением линейной регрессии :
у = 36,4 + 0,17х1 + 0,025х2 + 1,75х3 ; r = 0,98
где х1, х2, х3 - соответственно органические (т/га), минеральные (кг д.в. NPK /га) удобрения и известь (т/га).
Доля вклада органических, минеральных удобрений и известкования в продуктивность севооборота составляет 24, 66 и 10 % . При этом основной эффект от известкования обеспечивался урожаем сахарной свеклы (ц/га):
у = 336 + 0,35х1 + 0,074х2 + 5,13х3 ; R = 0,94
Доля вклада органических, минеральных удобрений и известкования в повышение урожайности сахарной свеклы составляет 25, 59 и 16 %. При урожае на контроле 275 – 370 ц/га прибавка урожая от известкования на неудобренном фоне в среднем составляла 37 ц/га или 11,5 %. Положительное ежегодное действие извести на урожай зерна ячменя в большей степени проявлялось на фоне применения минеральных удобрений (0,5- 0,8 ц/га). Прирост урожая зерна озимой пшеницы от известкования составлял 1,0-2,1 ц/га, что сопоставимо с размерами эффекта от последействия второго года органических удобрений (1,0-2,0 ц/га).
Результаты анализа свойств почв по ротациям как в системе разных севооборотов (6 ротаций, поле 2), так и в зернопаропропашном севообороте (поле 1 и 2) использовались для выявления средних изменений за длительный срок наблюдений. В соответствии с уравнениями регрессии (r= 0.74 - 0.98) были определены удельные изменения показателей плодородия пахотного слоя чернозема типичного на склоне северной экспозиции (табл. 12).
Таблица 12. Удельные изменения свойств чернозема типичного под влиянием агротехнических факторов (1988 - 2008гг)
| Свойства | Факторы | ||||||
10 % трав |
Известь, 1 т/га |
NPK, 100 кг д.в./га |
Навоз, 10 т/га |
||||
Cев-т А, В, С |
ЗПП | Cев-т А, В, С |
ЗПП | Cев-т А, В, С |
ЗПП | ||
| Гумус, % | +0,063 | - + 0,36 | +0,05 - | +0,10 +0,07 | |||
| рН | +0,08 | +0,63 +0,64 | -0,056 -0,06 | +0,09 +0,01 | |||
| Hг, мэкв/100г | -0,12 | -1,71 -1,61 | +0,18 +0,17 | - - | |||
| Ca+Mg,мэкв/100г | +0,18 | +0,90 +1,77 | -0,12 -0,22 | - - | |||
| Nщг ., мг/100г | +0,32 | +1,0 +2,0 | +0,2 +0,1 | +0,7 +1,0 | |||
| Р2 О5, мг/100г | - | +1,9 +3,7 | +1,4 +1,2 | - +1,0 | |||
| Р2 О5, мг/л | +0,01 | +0,13 +0,08 | +0,06 +0,06 | - +0,08 | |||
| К2 О, мг/100г | -0,31 | -1,7 -0,8 | +0,5 +0,5 | +0,3 +1,0 | |||
| К2 О, мг/л | -0,13 | -0,45 -1,06 | +0,30 +0,33 | +0,14 +0,53 | |||
Установлено, что если эффект от действия минеральных удобрений на содержание гумуса является наименее устойчивым в зависимости от местоположения как по величине, так и по знаку (от -0,38 до +0,17 % содержания гумуса), то органические удобрения повышали содержание гумуса на 0,12 -0,13 %. При этом самое значительное действие на содержание гумуса в наиболее напряженном по антропогенной нагрузке (по доле пара и пропашных) севообороте имело внесение извести +0,33, +0,40 %. Отмечено положительное взаимодействие минеральных удобрений и известкования. В целом по севооборотам действие извести на содержание гумуса было менее достоверным, где основным фактором выступает доля трав в структуре севооборота. Самые значительные изменения физико-химических показателей в системе оценок «известкование - минеральные удобрения - органические удобрения» наблюдались от известкования (48 - 89 %). На минеральные удобрения приходилось 4-33 % влияния, что примерно в 1,5-2 раза ниже, чем положительное действие извести. Вклад органических удобрений, ввиду сочетания с такими мощными факторами, был менее значительным.
По положительному влиянию на режим питательных элементов в целом факторы располагались в следующий возрастающий ряд: известь < навоз< минеральные удобрения. Вместе с тем, отмечается повышенная доля влияния извести в увеличение содержания азота щелочногидролизуемого (41%) и достаточно высокая - в снижение степени подвижности калия (27%).
7. Научно-методические подходы к регулированию кислотно-основного состояния почв
Возможность стабильного функционирования почвы в конкретных условиях окружающей среды, в связи с наличием в ней множества обратных связей, основана на свойствах саморегуляции (Титова, Дабахов, 2000; Черников, Милащенко, Соколов, 2001). Это предполагает возможность прогнозировать направленность изменений кислотно- основного состояния почв и оценивать его количественные изменения при изменении основных определяющих его агроэкологических параметров.
Оценка изменений кислотности почв при изменении водного режима.
Изменению показателя кислотности почв рНKCL при изменении величин стока влаги соответствует выражение:
, (35)
где J0 – исходная величина стока (мм), Ji - соответствующая новым условиям; коэффициент α – характеризует «податливость» почв при изменении климатического режима или агрогенных факторов, определяющих водный режим.
Культуры севооборота, формируя баланс влаги на поле, определяют и размеры потерь оснований из почвы, которые оцениваются эмпирическими соотношениями (КК ) между разными группами культур: под культурами сплошного сева – 1, пар- 1.8, -пропашные- 1.4, многолетние травы- 0.75 (Методические указания…, 2000). Изменению рН, при изменении структуры севооборота, соответствует аналогичное выражение с использованием отношения средневзвешенных коэффициентов по севообороту (КС ) - по доле культур:
(36)
Удельные изменения рНKCL при введении в структуру севооборота 10% чистого пара, пропашных или 10% многолетних трав в условиях тяжелосуглинистой почвы (α ≈1), согласно вышеприведенной формуле имеют значения -0,077, -0,04 и +0,03 ед. Это соответствовало фактическим различиям рН чернозема типичного между зернопаропропашным - ЗПП (ч. пар - озимая пш. – сах. свекла – ячмень) и зернотравяным (ЗТ) севооборотами (2 г. мн. трав -озимая пш. –ячмень) многофакторного полевого опыта ВНИИЗ и ЗПЭ (+0.4 ед. рН). Это означает, что почвам присуща способность к самовосстановлению при смене водного режима на менее промывной по естественным (погодно- климатическим) или агротехническим причинам. Основой этого процесса являются компенсаторные механизмы твердой фазы почв, установленная зависимость которых позволяет на качественном (направленность) и количественном уровне прогнозировать изменения величины кислотности.
Минимально необходимая для стабилизации кислотности почв доля многолетних трав в структуре посевных площадей (Т%) может быть определена по следующему выражению:
,(37)
где ∆рНKCL – интенсивность среднегодового подкисления почв; kT – эмпирический коэффициент потерь оснований из почв под травами относительно культур сплошного сева (0,75).
Оценка изменений кислотности почв при внесении минеральных удобрений.
Введение в почву одновалентных катионов в составе минеральных удобрений оказывает быстрое влияние и напрямую обедняет почвенный поглощающий комплекс обменными основаниями. В данном случае следует считать потери извести от минеральных удобрений в контролируемом (пахотном) слое почвы (∆ИМ , СаСО3 кг/га) эквивалентными изменению суммы обменно-поглощенных оснований (∆S, мг-экв/100г):
∆ИМ (СаСО3 , кг/га ) = ∆S· 5 103 hd.(38)
где h – пахотный горизонт почвы, м; d – объемная масса почвы, г/см3 .
Изменение рН с учетом буферности почв имеет следующее выражение:
, (39)
где ∆ИМ (СаСО3 кг/га) = t·НИМ ·Д;(40)
Д – насыщение севооборота минеральными удобрениями (кг д.в. NPK /га); НИМ – норматив потерь извести кг на 1 кг д.в. NPK /га; t·- севооборот (лет).
Величина изменения рН при внесении удобрений зависит от значений удельных потерь оснований (кг СаСО3 /га) при внесении удобрений (кг д.в.NPK /га), буферности почвы, определяемой её типом, содержания гумуса, а также гранулометрического состава.
По наблюдениям изменений физико- химических показателей чернозема типичного при внесении минеральных удобрений (225 кг.д.в. /га , МФПО ВНИИЗ и ЗПЭ) на 1 кг д.в. NPK /га из пахотного слоя почвы терялось в среднем по севооборотам 1,1 кг /га СаСО3 на водораздельном плато и 1,6 кг /га СаСО3 – на склоне северной экспозиции. На основании данных исходных свойств почвы и потерь СаСО3 определены изменения рНKCL (табл. 13).
Таблица 13. Изменение кислотности чернозема типичного от внесения минеральных удобрений за 8 лет
| Свойства почв | Потери СаСО3 , кг /га |
рНKCL (NPK) |
∆рНKCL | ||||
Гумус, % |
Гран. состав |
М | рНKCL б/у |
Факт. | Расч. | ||
| Водораздельное плато | |||||||
| 6,2 | т. сугл. | 20 | 5,9 | -1980 | 5,7 | -0,2 | -0,24 |
| Склон северной экспозиции | |||||||
| 5,9 | т. сугл. | 18,7 | 5,7 | -2880 | 5,3 | -0,4 | -0,37 |
В целом не скомпенсированные потери оснований (∆ИП ) определяются суммой выноса урожаем ∆ИВ (обеспеченного плодородием почв) культур и средних потерь от применения удобрений: ∆ИП =∆ИВ +∆ИМ .
Оценка времени действия доз извести при химической мелиорации почв
Времядействия доз извести является ключевым моментом в экономико-математических расчетах эффективности известкования и оценки окупаемости мелиоративных доз извести (Шильников, Колосова, Щелкунова, 1981; Небольсин, Небольсина, 1997; Колотов, 2001; Небытов, 2003; Шильников, 2006; Шильников, Аканова, Зеленов, 2008) .
Для обоснования процесса использована модель релаксации системы «ППК-почвенный раствор», которая выводится из равновесного (исходного, соответствующего кислотно-основному статусу) состояния при достижении почвой максимума нейтрализации (рН0 → рНmax ), на которую рассчитана применяемая доза извести. Длительность восстановления реакции среды определяется необходимым количеством циклов (t, лет) промывания почвы, обеспечивающих равенство общего снижения обменно- поглощенных оснований, предшествующим их изменениям от известковых доз.
При внесении минеральных удобрений на известкованных полях применяемая мелиоративная доза извести, как расходная часть сокращается на величину дополнительных потерь (40), откуда время (t) имеет следующее выражение:
(41)
Время достижения в известкованных почвах исходных величин рН прямо пропорционально величине доз извести (И, СаСО3 т/га) и обратно пропорционально степени промывания почвы (J, мм). Чем менее буферна почва, тем более высокие значения рН соответствуют одним и тем же дозам извести, и выше средние потери оснований из почвы и, таким образом, им соответствует меньшее время релаксации по рН.
Проверка на фактическом материале опубликованных данных по результатам полевых опытов с известкованием, представленных в динамике изменений свойств почв, показала адекватность такого подхода и соответствие фактических и расчетных величин. Расчетное время действия доз извести для различных агропочвенных районов Курской области представлено в табл. 14.
Таблица 14. Время действия доз извести для различных агропочвенных районов Курской области при уровнях внесения минеральных удобрений 100-200 кг д.в.NPK /га
| Агропочвенный р-н | Дозы извести т/га | |||
| < 2 | 2 - 4 | 4 - 6 | 6 - 8 | |
| 1 р-н серых лесных почв | 2 | 5 | 7 | 9 |
| 2 р-н черноземов | 3 | 7 | 10 | 12 |
Оценку агрономического эффекта оптимизации кислотности почв целесообразно выражать в величинах потенциала оптимизации кислотности почв по приросту продуктивности, обеспеченной исходным плодородием почв (уравн. 2, стр. 11).
По вероятным потерям оснований из ППК почв (∆ИП ) по районам Курской области определены средние темпы подкисления (∆рН) и средние поддерживающие дозы извести или минимальная доля многолетних трав в структуре посевных площадей для стабилизации кислотности почв (табл. 15).
Таблица 15. Оценка интенсивности подкисления почв и стабилизационных мер при уровнях внесения минеральных удобрений 100-200 кг д.в.NPK /га
∆ИВ СаСО3 , кг/га |
∆ИП СаСО3 , кг/га |
∆рН | Доза СаСО3 , т/га (в 4 года) |
Многолетние травы, % |
| 1 агропочвенный район серых лесных почв | ||||
| 40-50 | 150-270 | -0,028-0,049 | 2,4-2,9 | 12-20 |
| 2 агропочвенный район черноземов | ||||
| 55-80 | 180-290 | -0,026-0,042 | 1,7-2,1 | 10-17 |
При экстенсивных технологиях возделывания сельскохозяйственных культур темпы подкисления почв в различных административных районах могут составлять от 0,023 до 0,032 ед. рН в год, а при интенсификации - от 0,038 до 0,055 ед. рН, при этом среднегодовые темпы дегумификации почв (как результат деградации ППК) по разным районам могут варьировать от 0,3 до 0,7 т/га, что требует внесения органических удобрений от 4,4 до 11 т/га.
В обобщенном виде структура прогнозов представлена на рис. 13. Основной особенностью данного подхода является разделение по механизму изменения кислотности на режимно регулируемую часть, связанную с компенсаторными свойствами твердой фазы (левая часть схемы) и собственно – балансовую часть, связанную с буферными свойствами почв (правая часть).
Рис. 13. Блок- схема прогноза изменений и регулирования кислотно-основного состояния почв
![]()
ОСНОВНЫЕ ВЫВОДЫ
1. Установлено, что в целом по Курской области на продуктивность пашни оказывает влияние обеспеченность почв фосфором (45-55%), вторым по значимости фактором является кислотность почв (24-41%), а в северо-западном районе серых лесных почв возрастает роль гумуса (19-23%), что связано с азотным режимом, и кислотности почв (31-40%). Оптимальные значения показателей по кислотности почв и содержанию подвижного фосфора составляют соответственно 6,0 ед.рН и 200 мг/100г. Удельный прирост продуктивности при повышении рН на единицу в северо-западных районах (на серых лесных почвах) в 2 раза выше, чем в среднем по территории области (15 и 7,6 ц з.е./га на ед. рН) .
2. Для условий лесостепи Центрального Черноземья предложен комплексный показатель плодородия почв по содержанию гумуса, реакции почвенной среды, содержанию подвижных форм фосфора и калия. Разработан коэффициент неоднородности плодородия оцениваемой территории, а также аналитическая поддержка по выбору приоритетных мероприятий для конкретного участка или выбора приоритетных участков для осуществления конкретных мелиораций на основе расчета потенциала окультуриванияпри оптимизации конкретного свойства с учетом обеспеченности другими факторами плодородия.
3. На локальном уровне установлена закономерная пространственная периодичность колебаний свойств чернозема типичного. Наибольший вклад в периодическое поведение рядов показателей свойств чернозема вносят периоды, равные 20 м, или кратные этому расстоянию. Средний размер контура по содержанию гумуса 40 м, значений рНKCL 60-80 м, подвижного фосфора- 60-70 м, подвижного калия 50-70 м, при шаге опробования в 10 м. При величине шага опробования, равному этим периодам, коэффициенты варьирования свойств имеют минимальные значения. Периодичность и средний размер контуров по урожайности культур имеет аналогичные значения, что и для почвенных параметров - для ячменя 40-50 м и для озимой пшеницы 70-80 м.
4. Изменение вариабельности показателей во времени не влияет на величины периодичности свойств, и их можно отнести к устойчивым характеристикам почвенного покрова, что позволяет использовать их для обоснования необходимого объема выборки и шага опробования в системе точного земледелия.
5. Гумусное состояние почв необходимо рассматривать совместно с базовыми физическими условиями среды, поскольку содержание гумусовых веществ в почве определяется фактором емкости, зависящим от гранулометрического состава, качественным составом гумусовых веществ, связанным с гидротермическими условиями, и кислотно-основным состоянием почвенной среды. Предложена модель взаимосвязи этих показателей.
6. Посредством системоопределяющих ППК почвы свойств – гранулометрического состава (содержание физической глины < 0,01 мм) и содержания гумуса обоснована существенная взаимосвязь физико -химических свойств, отражаемых показателями емкости катионного обмена, суммы обменных оснований, гидролитической кислотности, обменной кислотности (рНKCL ). Разработаны дополнительные показатели для оценки как абсолютных величин поглощенных катионов в ППК, так их изменений в зависимости от кислотности почвы. Для оценки величины катионообменной способности почв введен показатель модуля катионообменной емкости (М ), как эквивалент минимального значения ЕКОП , зависящий от соотношения в почве гумуса (%) и физической глины (%) : М= КМ (2.4 Г% + 0.1Фг%). Для исследованных почв величина (М) составляет 1/2 емкости катионного обмена в состоянии насыщения ППК.
Состоянию насыщения ППК соответствует определенное значение рНKCL , как точки условного насыщения (рНН ), близкое по величине 7.4 ед., при котором однократно определяемая гидролитическая кислотность (рН-зависимая) принимает минимальные значения. Фактические величины ЕКОП , Нг, S пропорциональны величине (М) и логарифмическим значениям рНKCL . Абсолютные изменения ∆Нг, ∆V% при изменении реакции среды пропорциональны величине (М) и логарифму относительного изменения рНKCL .
7. Соотношение величин Нг и S в ППК и степень насыщенности почв основаниями определяется положением точки условного насыщения ППК (рНН ) и значением показателя удельной (на ед. рН) дифференциальной емкости почвы (τ ). Величина (τ), рассчитанная статистически, для исследованных черноземов и серых лесных почв составляет соответственно 0.1 и 0.16 (мг-экв/100г. ед.рН·М).
По совокупности связей величина обменной кислотности в наибольшей мере характеризует состояние ППК. При изменениях кислотности и степени насыщенности исследованных почв абсолютные изменения суммы обменных оснований превышают абсолютные (мг-экв/100 г) изменения гидролитической кислотности и могут быть определены на расчетной основе.
8. Установлены параметры буферности чернозема типичного тяжелосуглинистого и серой лесной среднесуглинистой почвы (в водной и солевой суспензии, 1:2.5). Для почв, не содержащих карбонатов, предложены расчетные коэффициенты буферности в щелочном и кислотном интервале на основе величины модуля катионообменной емкости (М) и показателя удельной дифференциальной емкости (τ).
9. При использовании установленных взаимосвязей и разработанных показателей предложен метод определения доз мелиорантов в соответствии со свойствами кислых почв и агроэкологическими условиями, учитывающий затраты Са - мелиоранта как на изменение гидролитической кислотности, так и полной емкости катионного обмена, соответствующие заданному изменению кислотности от исходного до оптимального значения, что позволяет повысить разрешающую способность самого приема.
10. Установлено, что между содержанием водорастворимых оснований (Са, Mg) и обменной кислотностью, а также степенью насыщенности почв основаниями существует экспоненциальная зависимость, что характеризует динамическое равновесие в системе «ППК↔ п. раствор». Согласно установленным параметрам при снижении кислотности почвы содержание оснований в жидкой фазе возрастает в геометрической прогрессии – на каждую единицу обменной кислотности в 1,65 раза, а актуальной кислотности – в 1,84 раза. На этой основе определены потери СаСО3 в зависимости от рН почв Курской области.
11. Обоснована концепция кислотно-основного статуса почв (КОСП ), представляющего собой динамическое равновесие в характере перераспределения оснований между почвенными фазами и их миграцией. КОСП определяется фактором «емкости» - содержанием щелочноземельных элементов в минеральной части почв и факторами «интенсивности» - с одной стороны, возможностью удаления продуктов распада минеральной части при оттоке влаги, а также способностью ионов к высвобождению из твердой фазы почв в зависимости от рН. В совокупности это определяет уровни устанавливающихся величин рН почвы в зависимости от климатических условий. Установлены параметры этих зависимостей для почв Курской области.
12. Поддерживающее известкование малыми дозами чернозема типичного является эффективным приемом повышения плодородия почвы, улучшения гумусного состояния и роста продуктивности культур. Прирост зерновых единиц в среднем составлял 2,6 ц/га (7,4%), в сочетании с удобрениями - 25 %, - с 35,3 до 44,3 ц/га з.ед. Урожайность сахарной свеклы повышалась на 37 ц/га (11,5%).
13. Внесение известняковой муки по 0,5 т в среднем на гектар севооборотной площади оказывает положительное влияние на физико-химические показатели пахотного слоя. В зернопаропропашном севообороте самые значительные изменения наблюдались при внесении извести на контроле и по фону минеральных удобрений - рН-КСL возрастали в среднем на 0,4 ед., Нг - сокращалась на 0,87- 0,96 мг-экв/100 г, а содержание обменных оснований повышалось на 1,10- 1,14 мг-экв/100 г почвы. Внесение извести в течение 3 и 6 ротаций способствовало повышению содержания гумуса на 0,33 - 0,40 %. От внесения одной извести проявляется тенденция к повышению щелочно-гидролизуемого азота во всех севооборотах, а на фоне внесения удобрений повышается значимо: по органическим - на 0,6 – 1,9 и минеральным удобрениям - на 0,7 - 1,0 мг/100г. Содержание подвижного калия при этом сокращалось в большей мере на фоне внесения минеральных (на 1,1 – 2,0 мг/100г ) и органических удобрений (на 0,4 – 1,3мг/100г ).
14. Установленные зависимости и параметры, а также нормативные данные являются обоснованием для управления кислотно-основным состоянием почв ЦЧЗ на уровне саморегулируемых систем.
Предложения производству
1. Комплексная оценка плодородия почв рекомендуется для разного уровня административного управления в системе аналитической поддержки качественных решений по выбору мероприятий для конкретного участка или выбора приоритетных участков для осуществления конкретных мелиораций по повышению плодородия пахотных земель в условиях ЦЧЗ.
2. Воспроизводство плодородия кислых почв ЦЧЗ необходимо осуществлять дифференцированно, комплексными мерами, обеспечивающими как пополнение органического вещества, так и оптимизацию физико – химических свойств.
3. Предложенный метод расчета доз мелиорантов рекомендуется для дифференцированного их внесения в системах точного земледелия. Расчет окупаемости мелиоративных доз извести рекомендуется осуществлять на основе оценки потенциала оптимизации кислотности конкретной почвы, а также рассчитываемого срока действия извести.
4. Предложенные варианты прогноза изменения кислотности почв и гумусного состояния, как одних из основных агроэкологических показателей, регламентирующих целесообразный уровень функционирования агроэкосистем, перспективны при разработке и внедрении адаптивно-ландшафтных систем земледелия, обеспечивающих устойчивость агроландшафтных структур.
5. Для стабилизации кислотности почв в ЦЧЗ рекомендуется каждые 100 кг д.в. полного минерального удобрения, внесенных на гектар севооборотной площади, компенсировать внесением 110 кг СаСО3 и 50 -70 кг на вынос полевыми культурами. При этом сбалансированная по антропогенной нагрузке на кислотно-основное состояние почв структура посевных площадей предусматривает введение многолетних трав: 13 – 15% на каждые 10 % пропашных культур. В агропочвенных районах серых лесных почв целесообразно исключение чистых паров, поскольку каждые 10% чистого пара компенсируются 25 - 30% многолетних трав.
СПИСОК ОСНОВНЫХ РАБОТ ПО ТЕМЕ ДИССЕРТАЦИИ
Публикации в изданиях, рекомендованных ВАК.
1. Еремина Р.Ф., Мащенко С.С., Чуян О.Г., Ященко Н.А. Использование соломы озимой пшеницы как органического удобрения // Сахарная свекла.-2003.-№6.-С. 22-23.
2. Еремина Р.Ф., Чуян О.Г., Чуян Н.А., Федорченко А.Е. Компоненты поверхностного компостирования растительных остатков на поле.// Земледелие.- 2006.- № 6.-С. 11-13.
3. Масютенко Н.П., Черкасов Г.Н., Чуян О.Г. Проблемы точного земледелия: оценка пространственной неоднородности свойств черноземных почв// Земледелие. 2008.-№ 8.- С. 6-8.
4. Чуян О.Г, Чуян Н.А, Еремина Р.Ф., Влияние кальций – и фосфорсодержащих соединений на продуктивность звена севооборота при внесении соломы и растительных остатков на удобрение // Достижения науки и техники АПК.- 2009.- №6.- С. 19-22.
5. Чуян О. Г., Чуян Н. А., Еремина Р. Ф. Эффективность различных доз извести и растительных остатков как органических удобрений в зернопропашном севообороте на черноземе типичном ЦЧЗ в зависимости от местоположения в рельефе. //Земледелие. – 2009. – №5. - С.20-22.
6. Чуян Н. А., Чуян О. Г., Еремина Р. Ф. Влияние навоза и растительных остатков как органических удобрений на качество сельскохозяйственной продукции в условиях Лесостепи ЦЧЗ. //Агрохимический вестник. – 2009. – №6. – С. 18-20.
7. Чуян О.Г. Использование комплексной оценки плодородия почв в системе земледелия // Доклады РАСХН.- 2009. - №6. - С. 31-34.
8. Черкасов Г.Н., Дубовик Д.В., Чуян О.Г. Пространственная неоднородность качественных показателей зерна //Достижения науки и техники АПК .- 2009.- №12, - С. 9-11.
9. Чуян О. Г. О взаимосвязи физико-химических свойств черноземов и серых лесных почв // Агрохимия. - 2010. - № 10. – С.
Патент
10. А.С. № 2258347 “Способы удобрения почвы “Еремина Р. Ф., Федорченко А.Е., Мащенко С.С., Чуян О.Г. Опубликовано 20.08.2005 г.
Публикации в других изданиях.
11. Чуян О.Г., Еремина Р.Ф. Влияние элементов систем земледелия на изменение физико-химических свойств чернозема в севообороте. // Грунти Украiни: эволюцiя, систематика, окультурення та використання. Харьковский гос.аграрный университет им. В.В. Докучаева. - Харьков, 1994. - С.22.
12. Еремина Р.Ф., Чуян О.Г. Влияние удобрений, извести и экспозиции на кислотность чернозема типичного в севообороте. // Сб. докладов научн.-практ. конференции, посвященной 25-летию ВНИИЗиЗПЭ. - Курск, 1995, С.8 .
13. Чуян О.Г., Еремина Р.Ф. Влияние лесополос и извести на реакцию почвенного раствора и урожайность возделываемых культур. // Сб. докладов научн.-практ. конференции. - Курск, 1995. - С.36 .
14. Чуян О.Г., Еремина Р.Ф., Ермакова А.А. Влияние элементов системы земледелия на кислотность чернозема типичного в зависимости от местоположения в рельефе. // Сб. докладов II Съезда Общества почвоведов, т.1 - Санкт-Петербург, 1996. - С.421.
15. Чуян О.Г., Еремина Р.Ф. Влияние экспозиции склона и формы антропогенного воздействия на энергопотенциал и физико-химические свойства чернозема типичного. // Материалы по изучению русских почв, вып. 1 (28), -С.-Петербург, издательство С.-Петербургского ГУ, 1999, - с.35-37.
16. Чуян О.Г., Чуян Г.А. Влияние экспозиции и формы пахотных склонов на кислотность чернозема типичного. // Вiсник ХДАУ, - Харькiв, 1999. - С.188-119 .
17. Чуян Г.А., Чуян О.Г. Влияние реакции среды чернозема типичного на пахотных склонах на подвижность почвенного азота. // Сб. докладов научн.-практ. конференции Курского отделения Докучаевского общества почвоведов, декабрь 1999 года. - Курск, 1999. - С. 10-11.
18. Чуян О.Г. Влияние известкования чернозема типичного на продуктивность зернопаропропашного севооборота. // Сб. докладов научн.-практ. конференции Курского отделения Докучаевского общества почвоведов, декабрь 1999 г. - Курск, 1999 г., - С.24.
19. Чуян О. Г. Влияние агротехнических и мелиоративных приемов на физико-химические свойства чернозема типичного на сопряженных элементах рельефа // автореф. канд. дисс. -Курск, 2000. 20с.
20. Еремина Р.Ф., Ященко Н.А., Чуян О.Г., Ермакова А.А. Регулирование уровня воспроизводства плодородия и свойств чернозема типичного с использованием поверхностного компостирования растительных остатков / Сб. докладов 3-го съезда Докучаевского общества почвоведов (11-15 июля, г.Суздаль) кн. 2, -М, 2000,- С,208-209.
21. Чуян О. Г. Комплексное влияние агрогенных факторов на кислотность чернозема типичного на склонах. Бюллетень ВИУА, N 114, -М, 2001. -С. 181-182.
22. Чуян О. Г. Влияние рельефа на кислотно-основное состояние черноземов на пашне. // Материалы ΙΙ региональной научной конференции, посвященной памяти проф. Ф. Н. Милонова ( 17-19 мая 2001 г): Теоретические и прикладные аспекты оптимизации ландшафтов. ВГУ. –Воронеж, 2001. С. 197-198.
23. Еремина Р. Ф., Мащенко С. С., Чуян О. Г., Ященко Н. А. Ермакова А. А. Регулирование баланса энергии органического вещества чернозема типичного при использовании растительных остатков как органических удобрений. // Материалы Всероссийской научно-практической конференции, Системы воспроизводства плодородия почв в ландшафтном земледелии ˝Крестьянское дело˝. -Белгород, 2001. С. 79-81
24. Еремина Р.Ф., Володин В.М., Чуян О.Г., Ященко Н.А., Ермакова А.А. Окультуривание чернозема типичного с использованием растительных остатков возделываемых культур. // Материалы Всероссийской научно-практической конференции «Чернозем - 2000» (Прохоровка, 17-19 марта, 2000г.). -М, 2001, -С. 54-59.
25. Володин В.М., Еремина Р.Ф., Мащенко С. С., Чуян О.Г., Ященко Н.А., Ермакова А.А. Солома как удобрение. Справочная книга по производству и применению органических удобрений, -Владимир, ВНИИ ПТИОУ, 2001. 495 с.
26. Еремина Р.Ф., Володин В.М., Мащенко С.С., Федорченко А.Е., Масютенко Н.П., Чуян О.Г., Ященко Н.А., / Методические подходы к определению соотношения с.-х. угодий в агроландшафте. Материалы научно-практической конференции, посвященной 30-летию ВНИИЗ и ЗПЭ, (15-16 октября , 2000г.), -Курск, 2001.-С. 75-78.
27. Еремина Р. Ф., Мащенко С. С., Чуян О. Г., Ященко Н. А. Ермакова А. А. Влияние растительных остатков как органических удобрений на качество сельскохозяйственной продукции. / Воспроизводство и плодородие почв и их охрана в ландшафтном земледелии. Сб. докладов научно-практической конференции Курского отделения Докучаевского общества почвоведов, (25-26 октября, 2001). - Курск, 2001.-С. 24.
28. Еремина Р.Ф., Мащенко С.С., Чуян О.Г., Ященко Н.А., Ермакова А.А./ Ресурсосберегающая технология использования растительных остатков как органических удобрений / Экологические аспекты интенсификации с.-х. производства.т1. Материалы Международной научно-практической конференции, 12-14 марта, -Пенза, 2002.- с. 126-127.
29. Еремина Р.Ф., Мащенко С.С., Чуян О.Г., Ященко Н.А., Ермакова А.А. Воспроизводство плодородия чернозема типичного при использовании растительных остатков как органических удобрений./ Использование органических удобрений и биоресурсов в современном земледелии. Материалы Международной научно-практической конференции, посвященной 20-летию ВНИПТИОУ, 25-27 июля. - Владимир, 2002.-С. 338-340.
30. Чуян Г. А., Проценко Е. П., Чуян О. Г., Тур О. П. Методические подходы к управлению плодородием с помощью удобрений и мелиорантов в стационарном многофакторном полевом опыте ВНИИЗ и ЗПЭ. // Материалы Всероссийской научно-практической конференции ˝Теория и практика использования агрохимических средств в современном земледелии Центрально-черноземных областей России ˝. ˝Крестьянское дело.˝ -Белгород, 2002. С. 206-214.
31. Чуян О.Г. Соотношение оснований на пахотных склонах. // Материалы Международной научной конференции ˝Агрохимические аспекты повышения продуктивности сельскохозяйственных культур.˝ Бюллетень ВИУА, N 116 ˝Агроконсалт˝.- М, 2002. С. 54-57.
32. Еремина Р.Ф., Мащенко С.С., Чуян О.Г., Чуян Н.А., Федорченко А.Е., Ермакова А.А. Технология поверхностного компостирования соломы и других растительных остатков при использовании их в качестве органических удобрений. -Курск : ВНИИЗ и ЗПЭ, 2003. -15 с.
33. Еремина Р.Ф., Чуян О.Г., Ященко Н.А., Мащенко С.С., Ермакова А.А. Влияние различных видов органических удобрений на воспроизводство плодородия чернозема типичного и производительность агроэкосистем / Проблемы повышения плодородия почв и продуктивность с.-х. культур в адаптивно-ландшафтном земледелии. Сб. докл. Научно-практической конференции Курского отд. Докучаевского общества почвоведов. -Курск, 2003.-С 10.
34. Чуян О.Г., Проценко Е.П., Дубовик Д.В. Методические аспекты характеристики свойств почв при агрохимическом обследовании полей. // Агроэкологическая оптимизация земледелия. Сб. докладов международной научно-практической конференции. – Курск, 2004. –С. 495-499.
35. Чуян О.Г. Проценко Е.П. Оценка уровня плодородия почв по агрохимическим свойствам. Почвы - национальное достояние России: Материалы IV съезда Всероссийского Докучаевского общества почвоведов.- Новосибирск, 2004. – С. 122.
36. Проценко Е.П., Чуян О.Г., Караулова Л.Н. Влияние обеспеченности элементами минерального питания на продуктивность зерновых культур в агроландшафтах центрально-Черноземной зоны // Почвы национальное достояние России: Материалы IV съезда Докучаевского общества почвоведов. -Новосибирск, 2004. - С.97.
37. Чуян О.Г. Коэффициенты к окупаемости минеральных удобрений в зависимости от исходного плодородия почвы. // Сб. докл. Международной научно-практической конференции, посвященной 35-летию Всероссийского НИИ земледелия и защиты почв от эрозии и международной школы молодых ученых и специалистов ˝Перспективные технологии для современного сельскохозяйственного производства.˝ (15-18 сентября 2005 года ). –Курск, 2005. -С. 371-378.
38. Чуян О. Г. Новые подходы к определению доз мелиорантов. // Сб. докладов Международной научно-практической конференции, посвященной 35-летию Всероссийского НИИ земледелия и защиты почв от эрозии и международной школы молодых ученых и специалистов ˝Перспективные технологии для современного сельскохозяйственного производства.˝ (15-18 сентября 2005 года ). –Курск, 2005. -С. 375-379.
39. Чуян О. Г. Взаимосвязь физико-химических свойств почв. // Сб. докладов Международной научно-практической конференции, посвященной 35-летию Всероссийского НИИ земледелия и защиты почв от эрозии и международной школы молодых ученых и специалистов ˝Перспективные технологии для современного сельскохозяйственного производства.˝ (15-18 сентября 2005 года ).- Курск, 2005. -С. 536-540.
40. Чуян О. Г., Караулова Л. Н. Изменение продуктивности пашни как критерий оценки изменения свойств почв при их деградации или мелиорации. // Сб. докладов Международной научно-практической конференции, посвященной 35-летию Всероссийского НИИ земледелия и защиты почв от эрозии и международной школы молодых ученых и специалистов ˝Перспективные технологии для современного сельскохозяйственного производства.˝ (15-18 сентября 2005 года ). -Курск, 2005.- С. 540-543.
41. Черкасов Г.Н., Масютенко Н.П., Чуян О.Г. Ресурсно- экологические особенности земледелия в ЦЧЗ // Материалы Международной научно- практической конференции ˝Экология, окружающая среда и здоровье населения Центрального черноземья˝. (15-17 июня 2005 года) Часть Ι. -Курск, 2005. -С. 268-275.
42. Еремина Р.Ф., Чуян Н.А., Мащенко С.С., Федорченко А.Е., Чуян О.Г., Ермакова А.А. Технология эффективного использования растительных остатков как органических удобрений на черноземах Лесостепи ЦЧЗ. – Курск, 2005.- 21 с.
43. Еремина Р.Ф., Мащенко С.С., Чуян О.Г., Чуян Н.А., Федорченко А.Е., Ермакова А.А. Регулирование энергетического состояния черноземов лесостепи ЦЧЗ при использовании растительных остатков как органических удобрений / научно-практические рекомендации.- Курск, 2006.-45 с.
44. Чуян О.Г., Масютенко Н.П., Караулова Л.Н., Дериглазова Г.М. Исследование горизонтальной неоднородности свойств чернозема типичного// Сб. докладов Международной научно- практической конференции ГНУ ВНИИЗ и ЗПЭ (10 – 12 сентября 2008г) «Интенсификация, ресурсосбережения и охрана почв в адаптивно – ландшафтных системах земледелия». – Курск, ГНУ ВНИИЗ и ЗПЭ РАСХН, 2008. С. 668 – 673.
45. Масютенко Н.П., Черкасов Г.Н., Чуян О.Г. Пространственная изменчивость свойств и морфологических показателей черноземных почв // Сб. докладов Всероссийской научно- практической конференции «Ориентированные фундаментальные исследования и их реализация в АПК России» 21-24 апреля 2008г., Санкт-Петербург, ВНИИСХМ, 2008. -С. 13.
46. Черкасов Г.Н., Чуян О.Г. Экологические функции удобрений в эрозионных агроландшафтах Центрально-Черноземной зоны.// Материалы Всероссийского совещания Географической сети опытов с удобрениями (27 – 28 февраля 2008 г.) « Экологические функции агрохимии в современном земледелии».-М.: ВНИИА, 2008.- С. 208.
47. Чуян О.Г., Черкасов Г.Н., Масютенко Н.П. Методика проектирования системы удобрения в адаптивно- ландшафтном земледелии Центрального Черноземья. - Курск: ГНУ ВНИИЗ и ЗПЭ РАСХН. 2008.-51с.
48. Черкасов Г.Н., Дериглазова Г.М., Чуян О.Г. Возделывание ярового ячменя для различных целей на склонах Центрального Черноземья // ГНУ ВНИИЗ и ЗПЭ РАСХН.
- Курск: Изд-во Курск. гос. с.-х. ак., 2010. – 76 с.
