| Скачать .docx |
Курсовая работа: Статистико-экономический анализ производства сахарной свеклы с целью изучения роста (спада) урожайности
Содержание
Введение
1.Теоретические аспекты изучения производства сахарной свеклы
2. Статистико-экономический анализ производства сахарной свеклы
2.1 Метод группировок в анализе производства сахарной свеклы
2.2 Факторный анализ производства сахарной свеклы
2.3 Анализ производства в динамике
Заключение
Список литературы
Введение
То, что сахар получают из сахарной свеклы, сегодня знает каждый школьник. За свою многовековую историю человек хорошо узнал и изучил окружающую его флору.
Сахарная свекла- основная сахароносная культура всех стран умеренного пояса . Для переработки свеклы на сахар свеклу возделывают преимущественно в черноземных районах. Как кормовая культура она распространена на всех видах почв . Ее корни содержат 18-20% сахара и служат сырьем для сахарной промышленности . В нашей стране было районировано 39 высокоурожайных и сахаристых культур гибридов и сортов свеклы .Посевы односемянной свеклы занимают площадь свыше 2 млн.га.
Посев сортовыми семенами районированных сортов и особенно гибридов повышение урожайности от 20до 35 процентов и более а сахаристость на 1,5-2 процента.
Наиболее распространен сорт свеклы Ромонская 06 с высокой урожайностью и сахаристостью , они занимают свыше сорока процентов площади общего посева сахарной свеклы.
Сахарная свекла – важнейшая техническая культура, имеющая большое народнохозяйственное значение. Это единственная сельскохозяйственная культура в нашей стране, дающая сырье для производства сахара. Увеличение валового сбора сахарной свеклы в стране предусматривается за счет роста ее урожайности, повышения качества корнеплодов, предотвращения потерь при хранении и переработке свекловичного сырья.
Помимо использования непосредственно в пищу этот продукт, т.е. сахар – неотъемлемый компонент кондитерского, плодоовощеконсервного, макаронного и других видов производства. Его используют и для изготовления ферментов.
Особую ценность представляет сахар для восстановления сил: больному или выздоравливающему, спортсмену или человеку, выполняющему тяжелую физическую работу. Небезынтересно, что сахар приобретает все возрастающее значение и как сырье для химической промышленности: его применяют для производства моющих, поверхностно-активных и эмульгирующих средств, красителей и высокополимерных соединений.[2]
В нашей стране широко внедряется в производство интенсивная технология возделывания сахарной свеклы, разработанная научно-исследовательскими учреждениями. Она представляет собой комплекс взаимосвязанных механизированных технологических приемов и организационных мероприятий, обеспечивающих повышение урожайности и увеличение выхода сахара с гектара посевов сахарной свеклы, при сокращении затрат ручного труда в 2-3 раза. [5]
Интенсивная технология возделывания, разработанная для свеклосеющих хозяйств РФ ВНИИСС и другими научно-исследовательскими учреждениями и организациями в тесном содружестве с сельскохозяйственными органами и передовиками производства, является национальным достоянием страны и не уступает зарубежным технологиям.
Опыт показал, что главные условия ее высокой эффективности – применение всех агротехнических приемов возделывания сахарной свеклы в комплексе и высококачественное их выполнение в оптимальные сроки.
Важным условием интенсификации производства является исключение ручного труда на всех операциях, замена его машинным. В настоящее время применяется ручной труд при возделывании и формировании густоты насаждений растений, прополке сорняков и уборке урожая. Сокращая затраты труда только на этих операциях, можно создать условия для интенсификации технологии возделывания сахарной свеклы, доведя затраты труда до 70-90 чел/час на гектар. [12]
Развитию свекловодства в России должно уделяться постоянное внимание. К сожалению, обеспеченность в необходимой технике, транспортных и погрузочных средствах, минеральных удобрениях, высокоэффективных гербицидах и химических средствах защиты от вредителей и болезней недостаточна.
За последние годы, в результате экономического кризиса, практически полностью разрушена материально-техническая база свеклосеющих хозяйств, что привело к снижению не только урожайности корнеплодов, но и вытеснению свеклы другими, менее трудоемкими культурами.
Однако, и в таких условиях сахарная свекла остается одной из ведущих культур, определяющих экономику не только отдельного хозяйства, но и сельскохозяйственной отрасли в целом.
В моей работе я постараюсь изучить производство сахарной свеклы, провести статистико- экономический анализ производства сахарной свеклы .
В своей работе я буду использовать методы статистико- экономического анализа :
- метод группировки
- факторный анализ
- анализ динамики
В теоретической части своей работы я наиболее подробно прослежу сам процесс производства и факторы , влияющие на этот процесс, наиболее оптимальные условия для выращивания сахарной свеклы , ее сбор и уход за ней в процессе роста.
В результате проделанной работы я руководствуясь методическими указаниями а также выбранной литературой, постараюсь выявить по полученным результатам рост или спад производства сахарной свеклы, дать свою оценку производству сахарной свеклы по данным мне хозяйствам в заключении.
1.Теоретические аспекты изучения производства сахарной свеклы
Россия - родина свеклосахарного производства. Впервые сахар начали получать промышленным путем из свеклы в нашей стране
В 1747г немецкий ученый Маркграф извлек из свеклы белое кристаллическое вещество аналогичное тростниковому сахару. Это открытие было воплощено в производство спустя 50 лет его учеником Ахардом. Он начал разработку промышленного способа получения сахара из более сахаристой белой силезской свеклы, ставшей родоначальницей сахарной свеклы.
Сахарная свекла - важнейшая техническая культура, дающая сырье для сахарной промышленности. При хорошей агротехнике с 1 гектара в России можно получить 30 - 40 т сахарной свеклы приблизительно с 14 % извлекаемого сахара и 15 - 20 т свекловичной ботвы. С той же площади можно получить только 17 т картофеля или 2 т зерна. При выращивании свеклы главным является не только урожай с количественной стороны, но и питательность получаемых продуктов, которая выше, чем у других полевых растений.
Таблица 1 - Примерная кормовая ценность сахарной свеклы и отходов, получаемых при её уборке и переработке (содержание в 100 кг)
| Продукт | кормовых единиц | протеина, кг | кальция, г | фосфора, г | каротина, г |
| Сахарная свекла | 26,0 | 1,2 | 50 | 50 | 0 |
| Ботва сахарной свеклы | 20,0 | 2,2 | 160 | 40 | 3 |
| Силос из ботвы | 12,0 | 2,2 | 130 | 40 | 1 |
| Жом свежий | 8,0 | 0,9 | 70 | 10 | 0,020 |
| Меласса | 77,0 | 4,5 | 300 | 30 | 0 |
Сахарная свекла имеет большое значение для обеспечения страны продуктами питания и кормовыми средствами. Кроме извлекаемого из свеклы сахара, который является ценным пищевым продуктом, получается еще обессахаренная стружка (жом), ботва и меласса (ценный отход переработки свеклы). Путем силосования или сушения ботвы и жома можно получить хорошо сохраняемый и весьма ценный корм для скота.
При выращивании сахарной свеклы получаемый в среднем с гектара белый сахар по питательности соответствует примерно 16 млн. ккал. В сравнении с этим питательная ценность картофеля с гектара определяется в 13 млн. ккал и зерна в 5 млн. ккал. Если дополнительно учесть кормовую ценность жома, ботвы, а также мелассы, то общая питательная ценность на единицу площади будет у свеклы вдвое больше, чем у картофеля, и в 4-5 раз выше, чем у зерна.
Свекловица сахарная — так в XIX—начале ХХ в. стали называть пришедшую в Россию свеклу, из которой можно было получать сахар, и которая стала основой отечественной «сладкой» промышленности.
Для истории сахарной свеклы знаменательным оказался 1747 год, когда директор Берлинской академии наук А.С. Маркграф установил в корнеплодах наличие сахара, аналогичного тростниковому. Постепенно в результате селекции свекла, содержащая наибольшее количество сахара — около 13% (естественные гибриды листовой и кормовой корнеплодной свеклы), стала превращаться из культуры огородной в культуру полевую. В результате длительной работы селекционеров содержание сахара в корнях к началу XX в. увеличилось до 18%.
Высокая доходность культуры, почвоулучшающая агротехника способствовали широкому распространению сахарной свеклы. Культура казалась столь притягательной, что были даже попытки выращивать свеклу в районах, не подходящих по природным условиям. Опытные поля были созданы в Калужской, Смоленской и Московской губерниях. В конце XIX в. один помещик даже построил большой сахарный завод в Крестецком уезде Новгородской губернии, всерьез полагая, что здешние поля смогут дать сырье подобающей сахаристости для переработки.
В начале ХХ в. сложился основной ареал распространения сахарной свеклы в России. Агроклиматические и почвенные условия способствовали наибольшему развитию отрасли на юго-западе Украины. Также выделялись Привислинский край (российская часть Польши) и центрально-черноземные районы. Из губерний первое место занимала Киевская (более 28% всех посевов свеклы), далее следовали Подольская (23%), Харьковская (11%), Курская (10%), Волынская (6%), Варшавская (5%), Черниговская (4%) губернии. Возделывание сахарной свеклы в тот период отличалось высокой территориальной концентрацией: в пяти первых губерниях сосредоточивалось более 3/4 всех посевов.
При плановом хозяйстве советского времени государство ориентировало колхозы и совхозы на увеличение посевных площадей свеклы, иногда даже в ущерб другим культурам. Для свеклы отводились лучшие земли. Применялись различные меры для стимулирования ее выращивания. В основных районах возделывания запрещались значительные посевы картофеля, так как по срокам уборки (они у картофеля примерно те же, что и у сахарной свеклы) картофель оказывался конкурентом фавориту — свекле. Свеклосеющие хозяйства получали дополнительные ресурсы зерна, комбикормов, сочных кормов (свекловичного жома), даже новую технику. Разрешалось использование так называемого давальческого сырья: хозяйства, выполнив план по заготовке, отдавали остатки урожая заводу, который после переработки возвращал им сахар, и хозяйства могли использовать его по своему усмотрению. Посевы расширялись за счет введения новых севооборотов. Оптимальным считалось расстояние от поля до завода не более 30 км, но эта норма нередко нарушалась. Из-за недостатка мощностей на заводах часто задерживалась переработка свеклы, и это плохо отражалось на общих результатах производства: ведь в ходе хранения значительно снижается сахаристость корнеплодов.
Но, все же, во второй половине ХХ в. сахарную свеклу стали выращивать в Прибалтике, Закавказье, Казахстане, Киргизии. Были построены сахарные заводы даже на Дальнем Востоке; они перерабатывали привозной кубинский сахар-сырец. Советский Союз вышел на первое место в мире по выращиванию сахарной свеклы. Внутри Союза основные посевы были сосредоточены в России и на Украине. По доле же сахарной свеклы в общих посевах выделялась Молдавия.
В ЦЧР выращивают и заготовляют более половины всей свеклы РФ, площадь посева 550 тыс. га. В Воронежской области- 144 тыс. га.
Урожайность сахарной свеклы в России в среднем 200 ц/га.
Сахарная свекла единственная сельскохозяйственная культура в нашей стране, дающая сырье для производства сахара. Его содержание в корнеплодах составляет 16-20 %. В состав их входят витамины, органические кислоты, соли различных оснований, микроэлементы,16-18% сахарозы, около 2,5 % клетчатки и целлюлозы, 2,4% пектиновых веществ, 0,8% фруктозы, глюкозы и других растворимых без азотистых веществ, 1,1 % азотистых веществ и 0,6% золы.
Большое значение в качестве кормовых добавок в животноводстве имеют побочные продукты переработки сахарной свеклы- жом и патока. Жом представляет собой выщелочную в процессе производства сахара свекловичную структуру. После отжатия воды в жоме содержится 15% сухих веществ. В том числе 1,3% сырого протеина, 0,1% сырого жира, 9,9%без азотистых экстративных веществ, 3% клетчатки, 0,7% золы. Часть продукта на заводах перерабатывают в сухой жом, который почти равноценен концентрированным кормам: в 100 кг его содержится 85 корм.ед. Патоку используют для приготовления кормов, для смесей с другими кормами, прежде всего с соломенными. В сухом веществе ее содержится 58% сахара, 18% без азотистых органических веществ, 9% золы. В 100 кг патоки содержится 77 корм. Ед. И 4,5 кг перевариваемого протеина.
Большим резервом пополнения кормовых резервов служит ботва сахарной свеклы. Как в свежем, так и силосованном виде она представляет собой самый дешевый корм, продукт свекловодства. При среднем урожае 250-300 ц/га. Сбор ботвы составляет 80-150 ц/га. Это ценный полностью сбалансированный по белку корм, отличающийся высокой переваримостью питательных веществ. Общая питательность ботвы составляет 15-20 корм.ед. на 100 кг корма: 1кг сухого вещества в свежем виде ботвы равен 1 корм.ед. В ней содержится 75-85 % воды, 15-25% сухих веществ, 1,5-3,1% сырого протеина, а также другие питательные вещества, органические кислоты, витамины.
Сахарная свекла имеет большое агротехническое значение. Повышая продуктивность севооборота в целом, она может быть ценным предшественником для многих культур.
В хозяйствах, достигших высокой культуры земледелия сахарной свеклы, она занимает ведущее место в экономике.
Развитию свекловодства в РФ уделяется постоянное внимание. Обеспечивается потребность хозяйств в необходимой технике, транспортных и погрузочных средствах, минеральных удобрениях, высокоэффективных гербицидах и химических средствах защиты от вредителей и болезней.
За последние годы были приняты меры по укреплению материально-технической базы, углублению индустриальной технологии возделывания культуры с тем, чтобы резко поднять ее урожайность.
Сахарная свекла в России возделывается в основных трех зонах: достаточного, неустойчивого и недостаточного увлажнения. Эти зоны также имеют разные суммы активных температур, даты перехода положительных температур через +5°С и продолжительности активных температур, что в конечном итоге определяет урожайность свеклы. Чем выше количество осадков, тем выше и урожайность свеклы, т.е. лимитирующим фактором является запас усвояемой влаги в почве. Поэтому основные агротехнические мероприятия по обработке почвы наряду с полной механизацией процессов и внесением удобрений направлены на сохранение влаги и увеличение её запасов.
Зона достаточного увлажнения (I)
Северо-западные области Центрально-Чернозёмной зоны, северные районы Брянской области и примыкающие районы Курской, Орловской, Тульской, северные районы Липецкой и Пензенской областей, подзоны Северного Кавказа. К этой зоне можно отнести также районы Татарстана, Башкортостана, Мордовии, Чувашии.
Зона неустойчивого увлажнения (II)
Включает значительную часть Центрально-Чернозёмной зоны, которая примыкает с севера к зоне достаточного увлажнения, а с юга ограничивается линией Белгорода, Воронежа, Самары, южные районы Брянской, Курской, Орловской, Тульской, Тамбовской, Пензенской, а также часть районов Краснодарского края (Армавир, Тихорецк) и Адыгея.
Зона недостаточного увлажнения (III)
Юго-восточные районы Центрально-Чернозёмной зоны и Поволжья, часть районов Краснодарского края, Ставропольский край.
В 2000 г. в России было 93 свеклосахарных завода общей мощностью 274,6 тыс. т переработки свеклы в сутки. Средняя урожайность составила 17,4 т/га, было собрано 14,04 млн. т при средней сахаристости 16,0 % . Из свеклы было выработано 1567 тыс. т сахара.
Это более чем в 2 раза ниже показателей конца 80-х годов. Объяснения просты: отсутствие оборотных средств и в сельском хозяйстве, и в перерабатывающей промышленности, тяжелейшее финансовое положение всех предприятий, старое оборудование (некоторые заводы работают около 100 лет).
В последнее пятилетие в России средняя густота насаждений свеклы составила 68,4 тыс. растений на 1 га (по регионам 52-85 тыс.) при средней массе корня по состоянию на начало уборки (в среднем 20 сентября) 425 г (по регионам 300-550 г); при этом средняя расчетная биологическая урожайность свеклы составляла 29,1 т/га. При среднегодовой за этот период площади посева свеклы в России 903 тыс. га потенциальный урожай составил бы 26,3 млн. т свеклы. Однако, из-за несовершенства агротехники, потерь свеклы при уборке, транспортировке и полевом хранении, а также при транспортировке свеклы было поставлено на предприятия страны в среднем за год лишь 12,6 млн. т свеклы, т.е. 48 % (по регионам 35-60 %).
Сахарная свекла ( Beta vulgris L.V. saccharijera) относится к семейству маревых (Chenopodiaceac), классу двудольных.
Сахарная свекла, как и другие культурные формы свеклы при обычных условиях выращивания характеризуются, как привило, двулетним циклом развития с одногодичным плодоношением к концу второго года жизни.[9]
Семя составляет 20-30 % массы плода и имеет блестящую красновато-бурую оболочку. Оно имеет мало питательной ткани (мучнистый- крахмалистый перисперм). Из-за малого запаса энергии семена при высеве следует заделывать мелко. Масса тысячи семян составляет 15-20г с [11].
Корнеплод образуется постепенным утолщением ткани из трех органов растения.
1. Из верхней части главного корня образуется основная часть корнеплода. Внизу корнеплод переходит через хвостик свеклы ( диаметр < 1 см) в стержневой корень. В двух противоположных, более или менее выраженных бороздках растут боковые корни первого порядка. Они сильно разветвляются и образуют большое число боковых и мочковатых корней.
2. Переходная часть от корня к побегу представляет собой шейку или гипокотиль .Шейка находится между закладкой верхних боковых корней и нижних листьев. На ее поверхности нет ни корней, ни листьев.
3. Головка, эпикотиль, является нижней частью побега. Она начинается непосредственно под закладкой нижних листьев. На ее вершине находится конус нарастания и сердцевинные листья. Переход от головки к шейке можно четко определить: это место, где сосудистая система четко переходит из беспорядочного положения в концентрические кольца (у сахарной свеклы от 8до 12) .головка занимает 10-15 % длины корнеплода, шейка 10-20 и собственный корнеплод - 65-80% [12].
4. Корневая система состоит из главного корня, боковых корней корневых волосков. Мочковатая корневая система, которая имеет решающее значение для поглощения воды и питательных элементов, находится на глубине почвы до 25 см. К концу вегетации в этом слое сосредоточено до 60-80% этих корней, глубже 1,5м - примерно 10% .До конца вегетации в зависимости от почвы могут проникнуть на глубину 1,2-3м и достигать общей длины 10-15 КМ/КВ.м.
5. Ботва сахарной свеклы состоит из листьев (листовая пластинка и черешок) и головки. Две семядоли после выхода на поверхность зеленеют фаза «вилочки»). Через 6-80 дней после всходов образуется первая пара настоящих листьев, затем следует 2-50 пара. Дальнейшие листья развертываются по одному.
Листья: Лист состоит из пластинки и черешка. Характер поверхности листьев зависит от сортовых особенностей и условий выращивания сахарной свеклы.
Поверхность листовой пластин бывает гладкой или гофрированной , разной толщины и окраски. Края листьев могут быть волнистые и гладкие. Окраска листьев варьирует от светло до темно-зеленого. По характеру расположения различают листья торчащие углом между осью листовой пластинки и горизонтальной поверхностью равен или больше 700), полуторчащие (30 – 600)и распластанные (углом меньше 300). Как правило, более продуктивны торчащие листья.
Стебли. Три основных типа: одностебельный (имеет центральный цветоносный побег, сильно разветвленный), неравномерный (состоит из 2 -5 и более цветоносных побегов, из которых один заметно выделяется), равномерный (имеет 2-5 и более развитых, примерно одинаковых по величине цветоносных побегов).
На цветоносных побегах в пазухах листьев и прицветников цветки многосемянной свеклы располагаются группами по 2 -4 , иногда больше, реже по одному; у односемянной - цветки одиночные. Цветоносные побеги имеют конусовидный тип прикрепления цветков, а затем плодов и соплодий. Цветки обоеполые, простые, с зелеными чашечковидными околоцветником, остающимся при плодах. Преобладает перекрестное опыление ветром.
Листья образуют розетку. Следует отметить, что растение сахарной свеклы в зависимости от почвенно-климатических условий и агротехники возделывания во время периода образует 30-90 новых листьев и сбрасывает до уборки старых от 60 до 70%. Посевы сахарной свеклы образуют в 4-5 раз больше листовой поверхности, чем поверхность почвы, которую они занимают.
При нормальных условиях в год посева у сахарной свеклы не образуется цветоносного побега, т.е. переход в генеративную фазу происходит только на втором году развития. Однако по разным причинам уже в первом году могут появиться «цветухи». Образование «цветухи» в основном вызывают: генетическая склонность к «цветухе», внешние факторы.
Из внешних факторов образование «цветухи» индуцируют особенно низкие температуры на ранних стадиях развития растений сахарной свеклы, так как они в стадии 2-4 листьев особенно чувствительны к воздействию пониженных температур. Длительные средние дневные температуры от 50 до 80 С в этой стадии способствуют образованию «цветухи». Влияют и физические свойства почвы (плохая структура или агротехнические мероприятия несбалансированное удобрение, неправильное внесение гербицидов).
С физической точки зрения все факторы жизни растений ( свет, тепло, вода, пища, воздух) являются необходимыми, незаменимыми и равнозначными.
Чтобы на практике правильно использовать основной закон земледелия - закон равнозначимости и незаменимости факторов жизни растений, необходимо не только иметь наличие указанных факторов, но и создавать определенное сочетание или соотношение между ними.
Сахарная свекла очень требовательна к условиям жизни и резко реагирует на их изменения. Из всех факторов, определяющих величину урожая свеклы, в минимуме находиться вода [9].
Сахарная свекла довольно засухоустойчива и экономно расходует влагу. Транспирационный коэффициент ее в первый год жизни - 397 единиц с колебанием от 240 до 600 и более. Длинный период вегетации позволяет свекле продуктивно использовать осадки второй половины лета [9].
Имея низкий транспирационный коэффициент и относительно высокую засухоустойчивость, свекла предъявляет высокие требования и потребляет значительно больше воды, так как является одной из самых высокоурожайных культур. Кроме того, сахарная свекла имеет высокий коэффициент водопотребления (100 -150) - расход воды на единицу урожая.
Оптимальной влажностью, при которой идет интенсивный рост и получают максимальный урожай, является 60% Н.В.
Критический период в отношении обеспеченности свеклы первого года жизни водой приходится на июль-август, то есть на период, когда сахарная свекла имеет максимальную листовую поверхность и когда она усиленно потребляет питательные вещества - период интенсивного роста корнеплода [12].
Если период вегетации свеклы в первый год жизни с 15 мая по 15 октября разделить на три части по 50 дней, то соотношение потребляемой воды за каждый из них будет примерно 1 : 9 : 3 [13].
Потребляя много влаги, сахарная свекла сильно иссушает почву на глубину 150 - 200 см.
К теплу сахарная свекла средне требовательна. Посев свеклы начинают при температуре почвы 6°-8° С на глубине 5-1 О см. При этом всходы появляются через 8-1 О дней.
В фазу всходов для свеклы губительны заморозки -1° .. -З° С, в фазу вилочки -3..-40 С
С появлением первой пары настоящих листьев устойчивость свеклы к заморозкам повышается, и она может переносить кратковременные заморозки -30…-40С, даже -80С
Оптимальная температура для роста и развития свеклы - около 20° 220С.
Чувствительна сахарная свекла к осенним заморозкам. Подмороженные, а затем оттаявшие корнеплоды быстро теряют сахар и снижают товарные качества.
Сумма среднесуточных температур для сахарной свеклы составляет в основных районах свеклосеяния 2400-28000 С [13].
К свету свекла высокотребовательна, растение длинного дня.
Особенно важно освещение при накоплении сахара, так как 1 дм 2 листовой поверхности накапливает в час приблизительно 12 мг сахара. За вегетацию образуется 70-90 листьев с общей площадью 3000-5000 см 2, то есть, в 3-5 раз больше площади почвы, которую занимает 1 растение.
Равномерное размещение растений сахарной свеклы на площади, отсутствие сорных растений, улучшая освещение, освещение, повышает коэффициент использования ФАР.
К почве сахарная свекла предъявляет повышенные требования и при этом довольно устойчива к засолению. Высокие урожая корнеплодов и семян свекла дает на плодородных, хорошо аэрируемых черноземах, суглинистого мех. состава с глубоким пахотным слоем, нейтральной или слабощелочной реакцией почвенного раствора и высоким содержанием растворимых питательных веществ, имеющих плотность сложения 1,0 -1,2 г/см 3 . Оптимальная рН 6,5-7,5.
Непригодны для свеклы песчаные, тяжелые глинистые, каменистые и болотистые почвы)
В первый год жизни свекла проходит следующие фазы :
Прорастание семян,
всходы, фазу «вилочки»,
фаза второй пары настоящих листьев,
фаза третьей пары настоящих листьев,
смыкания в междурядья,
размыкания междурядий.
Семена при прорастании поглощают воды 120-170 % к массе воздушно-сухих плодов. Длительность периода посев- всходы сильно зависит от температуры при оптимальном соотношении других факторов. При 1-20 С этот период составляет 45-60 дней, 3-40 С - 25-30, 6-70 С - 10-15, 10-120 С - 8-10, а при 15-250 С 3-4 дня. Оптимальная температура для прорастания семян 250 С. Через 8-10 дней после появления всходов из почки, расположенной между семядолями, появляется первая пара настоящих листьев. Период от всходов до появления первой пары настоящих листьев свеклы называют фазой вилочки, которая длится 8-10 дней.
Через 2-3 дня после первой появляется вторая пара настоящих листьев, через такой же срок- третья, а затем - четвертая и пятая (каждая из этих фаз длиться 2-3 дня).
Начальные фазы роста и развития свеклы проходят быстро: от первой до пятой пары настоящих листьев приходит 10-12 дней. Это время является окончанием формирования густоты растений.
Одиннадцатый и последующие листья нарастают не парами, а по одному по спирали: с 11-го по 20-й лист - через каждые 1,5 дня, с 21-го по 30-й - через 2 дня и после 30-го листа - через 2,5 дня.
За период вегетации сахарной свеклы первого года жизни (150-170 дней) на головке корнеплода появляется 50-60 , до 90 листьев
Нормальная жизнедеятельность растений может протекать только при полном обеспечении их всеми элементами питания. Недостаток одного из них приводит к нарушению физиологических процессов в растении, что снижает производительность.
Усвоение питательных веществ из почвы происходит при помощи корневых волосков, которыми густо покрыты корни растения. Их оболочка обладает хорошей проницаемостью, в результате чего при контакте корневых волосков с почвенными площадями и происходит поглощение питательных веществ. Сахарная свекла по сравнению с многими другими культурами потребляет значительно больше питательных веществ. При урожайности корнеплодов 300 ц с 1 га, она выносит из почвы примерно 120 кг N , 50-55 кг Р 20 5 и 150-170 кг Н2 О. При этом вынос питательных веществ во многом зависит от количества их в почве, соотношение различных элементов питания, особенности почвы, условий увлажнения и других факторов.
Приводим физиологическое значение элементов минерального питания сахарной свеклы.
Азот имеет особое значение в жизни сахарной свеклы, он входит в состав всех аминокислот, из которых строятся молекулы белков.
При недостатке азота листья у сахарной свеклы приобретают светло-зеленый оттенок, становятся бледно-желтоватый, ускоряется отмирание старых листьев, прекращается рост листьев, угнетается развитие корневой системы, прирос корнеплода затухает, все это приводят к засыханию свеклы и снижению ее урожайности.
При избыточном азотном питании усиливается развитие листьев, затягивает созревание свеклы, сахаристость корнеплодов уменьшается, в них повышается содержание общего и растворимого азота, в также золы, технологические качества свеклы. Чтобы получить высокую урожайность корнеплодов с хорошими технологическими качествами, необходимо обеспечить на ранних фазах роста свеклы умеренное питание растений азотом.
В период формирования основной массы листьев нужно удовлетворить потребность растений во всех элементах минерального питания, а по мере приближения растений к созреванию следует несколько ограничить азотное питание растений.
Фосфор необходим растению сахарной свеклы для обмена веществ, синтеза сахарозы. Основным источников его для растений являются соли ортофосфорной кислоты. Потребность растения в фосфоре осуществляется в течении всей вегетации. Недостаток его, особенно в начальной период роста, приводит к уменьшению содержания нуклепротеидов и фосфатидов, из-за чего растение не может нормально развиваться даже при последующем нормальном обеспечении его фосфорным питанием.
При фосфорном голодании резко тормозится рост листьев и корнеплодов. При этом листья приобретают тусклую темно - зеленую окраску с характерным синеватым оттенком. На них появляются темно-бурые пятна, края подсыхают, образуя бурую кайму. Достаточное обеспечение растений фосфором способствует более быстрому образованию листьев, нарастанию корнеплодов, ускорению созревания свеклы и в большинстве случаев повышению сахаристости и улучшению технологических качеств корнеплодов.
Калий. Этот элемент хотя и не образует каких-либо прочных комплексных соединений с органическими веществами, но играет роль в углеводном и белковом обмене растений.
Калий способствует нормальному процессу фотосинтеза, усиливает использование азота в аммиачной форме и отток углеводов из листа в корнеплод, активизирует деятельность ферментов, повышает водоудерживающую способность протоплазмы, устойчивость растений к преждевременному обезвоживанию и увяданию.
При недостатке калия снижается урожайность и содержание сахара в корнеплодах, уменьшается устойчивость растений к засухе и некоторым заболеваниям, замедляется образование хлорофилла в листьях и ослабляется процесс фотосинтеза.
О неудовлетворительности обеспечения растений калием можно судить по их внешнему виду. При недостатке калия между боковыми жилками листьев появляются светлые пятна , а сами жилки листьев остаются зелеными, края листьев желтеют и засыхают, приобретая темно-коричневый цвет.
Для развития и произрастания растений сахарной свеклы необходимы микроэлементы.
Натрий улучшает усвоение растением фосфора и калия частично может заменить калий, он усиливает отток углеводов из листьев в корни, чем и обуславливается повышение сахаристости корнеплодов при его внесении.
Кальций участвует в водном, углеводном и азотном обменах в растениях. Избыток его ухудшает поступление в растение фосфора. Недостаток кальция угнетает развитие корневой системы. Он накапливается в стареющих тканях ( больше всего в листьях и стеблях) и не используется растением вторично.
Мapгaнeц оказывает большое влияние на окислительно-восстановительные процессы в растениях и на ферментативную деятельность, участвует в процессах фотосинтеза, дыхания, в углеводном и белковом обмене. Он способствует лучшему усвоению азота, фосфора, калия, улучшает отток углеводов из листьев в корнеплоды, что приводит к заметному повышению сахаристости и урожайности сахарной свеклы.
Бор играет важную роль в процессе фотосинтеза, значительно влияет на оплодотворение, плодоношение и рост корнеплодов. При нормальном обеспечении растений бором увеличивается долговечность листьев,1 повышается сахаристость и урожайность.
Недостаток бора приводит к заболеванию растений гнилью сердечка которое проявляется в том, что молодые листочки внутренней части розетки закручиваются, буреют или чернеют и отмирают, ткани корнеплода сначала шейки, а затем глубже загнивает. Болезнь распространяется от центра листовой розетки к ее периферии.
Мeдь повышает интенсивность дыхания и фотосинтеза, влияет углеводный и белковый обмен, повышает устойчивость растений некоторым грибковым и бактериальным болезням[
Свекла как и все корнеплоды растение с двухлетним циклом , хотя при соответствующих условиях и уходе она может расти и давать семена в течении трех и более лет. Период роста и развития свеклы (вегетации) в первый год жизни в различных зонах свеклосеяния нашей страны имеет различную продолжительность: в основной зоне свеклосеяния сто сорок сто шестьдесят дней, в Западной Сибири около девяноста ста дней. Наши селекционеры вывели сорта , обладающие высокой продуктивностью при различной длительности вегетационного периода . однако, сорта выращиваемые в зонах с коротким вегетационным периодом , растут значительно быстрее своих собратьев , особенно в начальной стадии . жизнь свекловичного растения начинается с того момента , когда семя весной попадает в почву, уже готовую принять его, дать ему жизнь, помочь превратится в сладкий корнеплод с зеленой копной листьев .
2.Статистико – экономический анализ производства сахарной свеклы
Рассмотрим производственно-хозяйственную характеристику свекловодства в сельскохозяйственных предприятиях, проанализируем производство сахарной свеклы в сельскохозяйственных предприятиях.
Таблица 2 - Исходные данные:
| № | Фактич. Посеяно,га | Валовый сбор,ц | Себестоимость всей продукции, тыс.руб. | Прямые затраты труда чел/час | Полная себестоимоть, тыс.руб | Выручка , тыс.руб | |
| По хозяйству | По сахарной свекле | ||||||
| 1 | 500 | 37280 | 2510 | 53 | 2520 | 40600 | 2380 |
| 2 | 200 | 17713 | 1730 | 26 | 1730 | 23900 | 900 |
| 3 | 250 | 47880 | 2490 | 333 | 2490 | 34600 | 3970 |
| 4 | 365 | 72454 | 3060 | 210 | 3080 | 22900 | 6750 |
| 5 | 600 | 86233 | 5540 | 150 | 5540 | 31460 | 7100 |
| 6 | 100 | 3975 | 390 | 2 | 390 | 30700 | 250 |
| 7 | 700 | 87930 | 4310 | 97 | 4310 | 45600 | 6820 |
| 8 | 280 | 32854 | 1830 | 36 | 1830 | 29700 | 2900 |
| 9 | 550 | 18811 | 2210 | 43 | 2210 | 18900 | 1220 |
| 10 | 275 | 27500 | 1140 | 36 | 1140 | 15100 | 290 |
| 11 | 900 | 99480 | 4660 | 110 | 4660 | 24110 | 5680 |
| 12 | 200 | 12454 | 1010 | 32 | 1010 | 18000 | 1030 |
| 13 | 200 | 23531 | 1320 | 15 | 1320 | 18100 | 1580 |
| 14 | 240 | 33201 | 1520 | 79 | 1520 | 18300 | 2240 |
| 15 | 100 | 19464 | 590 | 43 | 590 | 5900 | 1260 |
| 16 | 100 | 16589 | 1220 | 21 | 1220 | 20700 | 1290 |
| 17 | 600 | 55478 | 2730 | 77 | 2730 | 32100 | 3540 |
| 18 | 200 | 19364 | 1230 | 14 | 1230 | 18600 | 1970 |
| 19 | 400 | 46895 | 2150 | 46 | 2150 | 31000 | 2580 |
| 20 | 635 | 77274 | 3160 | 50 | 3160 | 48000 | 4520 |
| 21 | 400 | 18393 | 1290 | 25 | 1290 | 23100 | 1040 |
| 22 | 700 | 48908 | 3130 | 52 | 3130 | 40800 | 2710 |
| 23 | 190 | 29474 | 1480 | 83 | 1480 | 29000 | 1930 |
| 24 | 700 | 39570 | 2950 | 50 | 2950 | 29100 | 2100 |
| 25 | 670 | 37760 | 2590 | 85 | 2590 | 80100 | 2130 |
| 26 | 580 | 45075 | 4490 | 147 | 4490 | 30900 | 3620 |
| 27 | 660 | 40674 | 3140 | 57 | 3140 | 23900 | 2880 |
| 28 | 600 | 266696 | 3920 | 56 | 3920 | 28200 | 1840 |
| 29 | 1200 | 92361 | 5750 | 102 | 5750 | 90200 | 4930 |
| 30 | 200 | 11554 | 1390 | 36 | 1390 | 9250 | 860 |
Таблица 3 - Рассчитаем уровень рентабельности:
| № предприятия | Выручка по сахарной свекле,тыс.руб | Полная себестоимость,тыс.руб | Уровень рентабельности,% |
| 1 | 2380 | 2520 | -5,6 |
| 2 | 900 | 1730 | -48 |
| 3 | 3970 | 2490 | 59,4 |
| 4 | 6750 | 3080 | 119 |
| 5 | 7100 | 5540 | 28,2 |
| 6 | 250 | 390 | -35,9 |
| 7 | 6820 | 4310 | 58,2 |
| 8 | 2900 | 1830 | 57,6 |
| 9 | 1220 | 2210 | -45 |
| 10 | 290 | 1140 | -90 |
| 11 | 5680 | 4660 | 21,9 |
| 12 | 1030 | 1010 | 0 |
| 13 | 1580 | 1320 | 19,7 |
| 14 | 2240 | 1520 | 47,3 |
| 15 | 1260 | 590 | 90,9 |
| 16 | 1290 | 1220 | 3,2 |
| 17 | 3540 | 2730 | 30,6 |
| 18 | 1970 | 1230 | 60,2 |
| 19 | 2580 | 2150 | 20 |
| 20 | 4520 | 3160 | 43 |
| 21 | 1040 | 1290 | -19,4 |
| 22 | 2710 | 3130 | -13,4 |
| 23 | 1930 | 1480 | 31,3 |
| 24 | 2100 | 2950 | -29 |
| 25 | 2130 | 2590 | -18 |
| 26 | 3620 | 4490 | -19,3 |
| 27 | 2880 | 3140 | -8 |
| 28 | 1840 | 3920 | -53 |
| 29 | 4930 | 5750 | -14,3 |
| 30 | 860 | 1390 | -39 |
Уровень рентабельности =выручка-полная себестоимоть/полная себестоимость*100%
Пример расчета:
1)2380тыс.руб-2520тыс руб/2520тыс руб*100%=-5,6%
Вывод : из таблицы видно, что предприятия 1,2,6,9,10,12,21,22,24-30 относятся к нерентабельным , потому что уровень их рентабельности отрицательный, значит производство сахарной свеклы в этих предприятиях является нежелательным так как будет приносить убыток.
Таблица 4 - Подсчитаем себестоимость одного центнера сахарной свеклы, для этого полную себестоимость поделим на валовый сбор
| №предприятия | Полная себестоимость , тыс.руб | Валовый сбор,ц | Себестоимость 1 ц свеклы,руб |
| 1 | 2520 | 37280 | 67 |
| 2 | 1730 | 17713 | 98 |
| 3 | 2490 | 47880 | 52 |
| 4 | 3080 | 72454 | 43 |
| 5 | 5540 | 86233 | 64 |
| 6 | 390 | 3975 | 98 |
| 7 | 4310 | 87930 | 49 |
| 8 | 1830 | 32854 | 56 |
| 9 | 2210 | 18811 | 118 |
| 10 | 1140 | 27500 | 106 |
| 11 | 4660 | 99480 | 47 |
| 12 | 1010 | 12454 | 83 |
| 13 | 1320 | 23531 | 56 |
| 14 | 1520 | 33201 | 46 |
| 15 | 590 | 19464 | 34 |
| 16 | 1220 | 16589 | 75 |
| 17 | 2730 | 55478 | 49 |
| 18 | 1230 | 19364 | 64 |
| 19 | 2150 | 46895 | 46 |
| 20 | 3160 | 77274 | 41 |
| 21 | 1290 | 18393 | 70 |
| 22 | 3130 | 48908 | 64 |
| 23 | 1480 | 29474 | 50 |
| 24 | 2950 | 39570 | 75 |
| 25 | 2590 | 37760 | 69 |
| 26 | 4490 | 45075 | 100 |
| 27 | 3140 | 40674 | 77 |
| 28 | 3920 | 266696 | 15 |
| 29 | 5750 | 92361 | 62 |
| 30 | 1390 | 11554 | 120 |
Пример расчета: 1)себестоимость=2520000руб/37280ц=67руб
2.1 Метод группировки в анализе производства сахарной свеклы
В качестве группировочного признака выступает производство сахарной свеклы. За исходные данные берем 30 предприятий по условию. Рассмотрим объем произведенной сахарной свеклы .
Целью данного метода является выявление зависимости себестоимости одного центнера от валового сбора.
Изучаем непрерывный признак х- валовый сбор сахарной свеклы тыс.ц.
Составляем интервальный вариационный ряд.
R=Xmax-Xmin-размах вариации. Разобьем на интервалы длины h.
По формуле Стерджеса h= R/1+3,322lg30
R=99,5-4=95,5
h=95,5/1+3,322lg30=20
Число 266,7 не принимаем во внимание
Xmin+ h/2=4+10=14.
Таблица 4 - Составляем интервальный ряд частот по валовому сбору сахарной свеклы и себестоимости 1 ц.
| №руппы | Группы предприятий по валовому сбору сахарной свеклы, тыс.ц | Количество предпричтий в группе | №предприятий | Валовый сбор , тыс.ц | Себестоимость 1 ц сахарной свеклы,руб |
| 1 | 4-14 | 3 | 6,12,30 | 4;12;11,6 | 98,83,120 |
| 2 | 14-34 | 11 | 2,8,9,10,13,14,15,16,18,21,23 | 18;33;19;28;24;33;19;17;19;18;29 | 98,56,118,106,56,46,34,75,64,70,50 |
| 3 | 34-54 | 8 | 1,3,19,22,24,25,26,27 | 37;48;47;49;40;38;45;41 | 67,52,46,64,75,69,100,77 |
| 4 | 54-74 | 2 | 4,17 | 72;55 | 43,49 |
| 5 | 74-94 | 4 | 5,7,20,29 | 86;88;77;92 | 64,49,41,62 |
| 6 | 94-99 | 2 | 11,28 | 99;267 | 47,15 |
Проследим зависимость себестоимости 1 ц сахарной свеклы от валового сбора. Для этого найдем средние значения в группах.
Данные занесем в таблицу.
Находим средние:
1)4+12+11,6/3=9,2
98+83+120/3=100,3
2)18+33+19+28+24+33+19+17+19+18+29/11=24,3
98+56+118+106+56+46+34+75+64+70+50/11=70,3
3)37+48+47+49+40+38+45+41/8=43,1
67+52+46+64+75+69+100+77/8=68,75
4)72+55/2=63,5
49+43/2=46
5)86+88+77+92/4=85,75
64+49+41+62/4=54
6)99+267/2=183
47+15/2=31
Таблица 5 Составим таблицу по подсчитанным результатам:
| №группы | Группы предприятий | Количество предприятий в группе | Тоже в %к итогу | Средний валовый сбор, тыс.ц | Тоже в % к средней | Средняя себестоимость 1 ц сахарной свеклы | Тоже в % к средней |
| 1 | 4-14 | 3 | 10 | 9,2 | 17 | 100,3 | 163 |
| 2 | 14-34 | 11 | 36 | 23,4 | 43 | 70,3 | 114 |
| 3 | 34-54 | 8 | 27 | 43,1 | 80 | 68,75 | 111 |
| 4 | 54-74 | 2 | 7 | 63,5 | 118 | 46 | 75 |
| 5 | 74-94 | 4 | 13 | 85,75 | 159 | 54 | 88 |
| 6 | 94-99 | 2 | 7 | 99 | 183 | 31 | 50 |
| сумма | 30 | 100 | 54 | 100 | 61,7 | 100 |
Вывод : из таблицы видно ,что валовый сбор растет по сравнению со средней на 18 процентов ,59 процентов ,83 процентов , то себестоимость снижается на 25 процентов, 12процентов, 50 процентов.
2.2 Факторный анализ производства сахарной свеклы
Для факторного анализа применим корреляционно-регрессивный метод анализа, чтобы выявить зависимость между валовым сбором (х) и себестоимостью одного центнера сахарной свеклы (у).
Составим таблицу для десяти предприятий.
Таблицу берем в порядке возрастания валового сбора. Найдем коэффициенты корреляции.



| Х | 4 | 18 | 19 | 28,3 | 33 | 37 | 48 | 72 | 86 | 88 |
| У | 98 | 98 | 118 | 106 | 56 | 67 | 52 | 43 | 64 | 49 |
Для удобства вычислений данные занесем в таблицу:
| №п/п | X ⌡ | Y ⌡ | X 2 ⌡ | Y 2 ⌡ | X ⌡* Y ⌡ |
| 1 | 4 | 98 | 16 | 9604 | 392 |
| 2 | 18 | 98 | 324 | 9604 | 1764 |
| 3 | 19 | 118 | 361 | 13924 | 2242 |
| 4 | 28 | 106 | 784 | 11236 | 2968 |
| 5 | 33 | 56 | 1089 | 3136 | 1848 |
| 6 | 37 | 67 | 1369 | 4489 | 2479 |
| 7 | 48 | 52 | 2403 | 2704 | 2496 |
| 8 | 72 | 43 | 5184 | 1849 | 3096 |
| 9 | 86 | 64 | 7396 | 4096 | 5504 |
| 10 | 88 | 49 | 7744 | 2401 | 4312 |
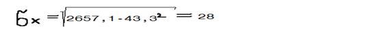
| Σ | 433 | 751 | 26571 | 63043 | 27101 |
| среднееΣ/n | 43,3 | 75,1 | 2657,1 | 6304,3 | 2710,1 |



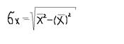
Коэффициенты корреляции ʮ=0,749 говорит о высокой корреляционной связи исследуемых признаков по таблице Чеддока.
R=0,7492 =0,562-коэффициент детерминации.
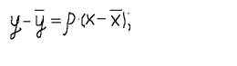
Составим уравнение линейной регрессии у на х.
Для этого подсчитаем:


У-75,1=-0,69*(х-43,3)
У=-0,69х+105
2.3Индексный метод
Таблица 2.1 - Определим влияние отдельных факторов на размер валового сбора,для этого составим таблицу:
| Бригада | Посевная площадь,га | Урожайность ,ц/га | Валовый сбор,ц | ||||
| Базисный год | Отчетный год | Базисный год | Отчетный год | Базисный год | Отчетный год | Условный | |
| А | П0 | П1 | У0 | У1 | У0 П0 | У1 П1 | У0 П1 |
| 1 | 500 | 1200 | 74,6 | 77 | 37280 | 92361 | 89520 |
| 2 | 200 | 200 | 88,6 | 58 | 17713 | 11554 | 17720 |
| Итого | 700 | 1400 | 78,60 | 74,2 | 54993 | 103915 | 107240 |
У0= Σ У0* П0 /Σ П0
У1 = Σ У1* П1 /Σ П1
1)определим общий индекс валового сбора и абсолютную разницу ∆вс
У вс=Σ У1 *П1 /Σ У0 *П0 =103915/54993=1,9
∆вс=Σ У1* П1 -Σ У0* П0 =48922
Вывод : за анализируемый промежуток времени валовый сбор сахарной свеклы вырос на девяносто процентов или в числовом выражении на 48922центнеров.
2)определим урожайность по первой бригаде:
Jу= У1 / У0 * 100%=77/74,6*100%=103,2%
Вывод : в отчетном году урожайность увеличилась на 3,2%
Подсчитаем урожайность по второй бригаде:
Jу= У1 / У0 * 100%=58/88,6*100%=65%
Вывод: в отчетном году урожайность уменьшилась на 35%
3)Рассчитаем индекс урожайности переменного состава:
Уупс= У1 / У0 =74,2/78,6=94,4%
4)Рассчитаем индекс урожайности фиксированного состава и определяем изменение валового сбора за счет изменения урожайности сахарной свеклы.
Ууфс= Σ У1 *П1 /Σ У0 * П1 =0,97
∆у= Σ У1 *П1 - Σ У0 * П1 =103915-107240=-3325
Вывод: за счет уменьшения урожайности валовый сбор свеклы уменьшился.
5)Рассчитаем индекс посевных площадей и изменение валового сбора за счет этого фактора ∆п:
Уп=Σ П1 /Σ П0 =1400/700=2
∆п=У0* (ΣП1 -ΣП0 )=78,6* (1400-700)=55020ц
Вывод: за счет расширения посевных площадей на сто процентов валовый сбор сахарной свеклы увеличился на 55020 центнеров.
2.4Анализ производства сахарной свеклы в динамике
При анализа производства сахарной свеклы возьмем десять предприятий и рассчитаем базисные, цепные и средние показатели динамического ряда.
Аналитическая характеристика ряда динамики валового сбора сахарной свеклы по десяти предприятиям.
Составляем таблицу:

Границы варьирования от восемнадцати до девяносто девяти тысяч центнеров.
Размах вариации 99-18=81 тыс.центнеров
Коэффициент выравненности Кв=18/99=0,18
Дисперсия :

Среднее квадратическое отклонение:

Коэффициент вариации:
![]()
2.5 Метод скользящей средней
Таблица 2.5Рассчитаем средние за три года:
| Период времени | Валовый сбор ,тыс.руб | Сумма | Средняя |
| 1 | 37,3 | - | - |
| 2 | 17,7 | - | 34,3 |
| 3 | 47,9 | 102,9 | 46 |
| 4 | 72,5 | 138,1 | 68,9 |
| 5 | 86,2 | 209,6 | 54,2 |
| 6 | 4 | 162,7 | 59,4 |
| 7 | 87,9 | 178,1 | 41,6 |
| 8 | 32,9 | 124,8 | 46,5 |
| 9 | 18,8 | 139,6 | 26,4 |
| 10 | 27,5 | 79,2 | 42,8 |
| 11 | 99,5 | 128,4 | 46,5 |
| 12 | 12,5 | 139,5 | 45,2 |
| 13 | 23,5 | 135,5 | 23,1 |
| 14 | 33,2 | 69,2 | 25,4 |
| 15 | 19,5 | 76,2 | 23,1 |
| 16 | 16,6 | 69,3 | 30,5 |
| 17 | 55,5 | 91,6 | 30,5 |
| 18 | 19,4 | 91,5 | 40,6 |
| 19 | 46,9 | 121,8 | 47,9 |
| 20 | 77,3 | 143,6 | 47,5 |
| 21 | 18,4 | 142,6 | 48,2 |
| 22 | 48,9 | 144,6 | 32,3 |
| 23 | 29,5 | 96,8 | 39,3 |
| 24 | 39,6 | 118 | 35,7 |
| 25 | 37,8 | 107 | 40,8 |
| 26 | 45,1 | 122,5 | 41,2 |
| 27 | 40,7 | 123,6 | 59,4 |
| 28 | 92,4 | 178,2 | 48,2 |
| 29 | 11,6 | 144,7 | 47,9 |
| 30 | 39,6 | 143,6 | - |
Вывод: из данных таблицы по всем скользящим видно, что с первого по шестнадцатый период времени наблюдается спад, а затем в дальнейшем значительный рост производства сахарной свеклы.
Построим аналитическое выравнивание ряда динамики.
Таблица аналитического выравнивания валового сбора сахарной свеклы по предприятиям.
| №предприятия | Валовый сбор сахарной свеклы y , тыс.ц | Условное время t | t2 | y*t | У |
| 1 | 37,3 | -29 | 841 | -1081,7 | 46,23 |
| 2 | 17,7 | -27 | 729 | -477,9 | 45,89 |
| 3 | 47,9 | -25 | 625 | -1197,5 | 45,55 |
| 4 | 72,5 | -23 | 529 | -1667,5 | 45,21 |
| 5 | 86,2 | -21 | 441 | -1810,2 | 44,87 |
| 6 | 4 | -19 | 361 | -76 | 44,53 |
| 7 | 87,9 | -17 | 289 | -1494,3 | 44,19 |
| 8 | 32,9 | -15 | 225 | -493,5 | 43,85 |
| 9 | 18,8 | -13 | 169 | -235,3 | 43,52 |
| 10 | 27,5 | -11 | 121 | -302,5 | 43,17 |
| 11 | 99,5 | -9 | 81 | -895,5 | 42,83 |
| 12 | 12,5 | -7 | 49 | -87,5 | 42,49 |
| 13 | 23,5 | -5 | 25 | -117,5 | 42,15 |
| 14 | 33,2 | -3 | 9 | -99,6 | 41,81 |
| 15 | 19,5 | -1 | 1 | -19,5 | 41,47 |
| 16 | 16,6 | 1 | 1 | 16,6 | 41,13 |
| 17 | 55,5 | 3 | 9 | 116,5 | 40,79 |
| 18 | 19,4 | 5 | 25 | 97 | 40,45 |
| 19 | 46,9 | 7 | 49 | 328,3 | 40,11 |
| 20 | 77,3 | 9 | 81 | 695,7 | 39,77 |
| 21 | 18,4 | 11 | 121 | 202,4 | 39,43 |
| 22 | 48,9 | 13 | 169 | 635,7 | 39,09 |
| 23 | 29,5 | 15 | 225 | 442,5 | 38,75 |
| 24 | 39,6 | 17 | 289 | 673,2 | 38,41 |
| 25 | 37,8 | 19 | 361 | 718,2 | 38,07 |
| 26 | 45,1 | 21 | 441 | 947,1 | 37,73 |
| 27 | 40,7 | 23 | 529 | 936,1 | 37,39 |
| 28 | 92,4 | 25 | 625 | 2310 | 37,05 |
| 29 | 11,6 | 27 | 729 | 313,2 | 36,71 |
| 30 | 39,6 | 29 | 841 | 1148,4 | 36,37 |
| Итого | 1240,2 | 0 | 8990 | -1523,6 | - |
Вывод : из данной таблицы при аналитическом выравнивании валового сбора сахарной свеклы по предприятиям видно, что валовый сбор не зависит от условного периода времени.
Найдем коэффициенты выравнивания:
а0 = Σy/n=1240,2/30=41,3
а=Σy*t/∑t2 =-1523,6/8990=-0,17
Составим уравнение Тренда:
у=41,3-0,17t
Теперь, подставим t,получится прогнозируемое выровненное значение.
У1=41,3-0,17*(-29)=46,23
У2=41,3-0,17*(-27)=45,89 и т. д аналогично по всем предприятиям
Построим точки на графике
Заключение
Экономическая эффективность достигается за счет комплексного внедрения взаимосвязанных элементов технологии: размещение сахарной свеклы по лучшим предшественникам, внесение под вспашку зяби научно обоснованных доз минеральных удобрений, применение полупаровой системы основной обработки почвы, посев в оптимальные агротехнические сроки, более тщательного ухода за растениями, обоснованное использование гербицидов, уборка урожая в оптимальные сроки данной культуры, уборка поточным способом. Все расчеты по возделыванию сахарной свеклы по рекомендуемой технологии даны в технологической карте.
Я провела статистико-экономический анализ сахарной свеклы с целью изучения роста (спада) урожайности сахарной свеклы и её производства в данных мне хозяйствах.
При расчете уровня рентабельности видно, что предприятия 1, 2, 6, 9, 10, 12, 21, 22, 24-30 относятся к нерентабельным, потому что уровень рентабельности отрицательный, значит производство сахарной свеклы в данных хозяйствах является нежелательным, так как будет приносить убыток.
При применении метода группировок в качестве группировочного признака выступает производство сахарной свеклы. Целью данного метода является выявление зависимости себестоимости от одного центнера от валового сбора. При конечных расчетах с использованием данного метода видно, что валовый сбор растет по сравнению со средней на 18%, 59%, 83% , то себестоимость снижается на 25%, 12%, 50%.
В факторном анализе я применила корреляционно-регрессивный метод, чтобы выявить зависимость между валовым сбором (x) и себестоимостью центнера сахарной свеклы (у).
Данный метод показал наличие высокой корреляционной связи: по таблице Чеддока r= 0,749. При определении влияния отдельных факторов на рост валового сбора сахарной свеклы мною было выявлено , что за анализируемый промежуток времени валовый сбор сахарной свеклы вырос на 90% или в числовом выражении на 48922 центнеров. Урожайность в отчетном году увеличилась на 3,2 % по первой бригаде и уменьшилась на 35% по второй бригаде, но при этом за счет расширения посевных площадей на 100% валовый сбор сахарной свеклы в целом увеличился на 55020 центнеров.
При анализе сахарной свеклы в динамике я взяла 10 хозяйств и рассчитала базисные , цепные и средние показатели динамического ряда. При применении метода скользящей средней , который применяется для взятых периодов времени видно , что с 1 по 16 период времени наблюдается спад, а затем с 16 по 30 значительный рост производства сахарной свеклы.
Список литературы
1)Методические указания по статистике
2)Елисеева И.И. общая теория статистики
3)Справочник агронома просвет, 1996г
4)Б.И.Башкатов «Статистика сельского хозяйства» М2001
5) «Зеленая родословная»С.М.Скорняковмосква1988г
6) «И назвали свеклу сахарной» С.В.Ильевичмосква1988агропромиздат
7)П.П.Вавилов «практикум по растениводству»Москва Колос 1983г.