| Похожие рефераты | Скачать .docx |
Курсовая работа: Обоснование выбора пестицидов для борьбы с вредными объектами и разработка технологии их эффективного и безопасного применения
МОСКОВСКАЯ СЕЛЬСКОХОЗЯЙСТВЕННАЯ АКАДЕМИЯ
ИМ. К.А.ТИМИРЯЗЕВА
Кафедра химических средств защиты растений
ОБОСНОВАНИЕ ВЫБОРА ПЕСТИЦИДОВ ДЛЯ БОРЬБЫ С ВРЕДНЫМИ ОБЪЕКТАМИ И РАЗРАБОТКА ТЕХНОЛОГИИ ИХ ЭФФЕКТИВНОГО И БЕЗОПАСНОГО ПРИМЕНЕНИЯ
Выполнил студент IV курса факультета почвоведения, агрохимии и экологии 42 группы КАЛИНЕНКОВ С.А.
Москва 2000
Оглавление
ВВЕДЕНИЕ............................................................................................................................ 0
ПЛАНОВОЕ ЗАДАНИЕ....................................................................................................... 0
ПОЧВЕННЫЕ И АГРОКЛИМАТИЧЕСКИЕ УСЛОВИЯ................................................ 0
Основные климатические особенности области..................................................... 0
Фенокалендари развития культур................................................................................ 0
Картофель...................................................................................................................... 0
Горох................................................................................................................................ 0
Яблоня............................................................................................................................. 0
ХАРАКТЕРИСТИКА ВРЕДНЫХ ОБЪЕКТОВ И МЕРЫ БОРЬБЫ С НИМИ............ 0
Вредители.......................................................................................................................... 0
Проволочники (личинки щелкунов)......................................................................... 0
Гороховая тля................................................................................................................ 0
Яблонная плодожорка................................................................................................. 0
Болезни............................................................................................................................... 0
Парша картофеля......................................................................................................... 0
Ржавчина гороха.......................................................................................................... 0
Парша яблони............................................................................................................... 0
Сорные растения............................................................................................................. 0
Горец шероховатый..................................................................................................... 0
Марь белая..................................................................................................................... 0
Пикульник красивый................................................................................................... 0
Подмаренник цепкий................................................................................................... 0
Куриное просо............................................................................................................... 0
ОБОСНОВАНИЕ ВЫБОРА ПЕСТИЦИДОВ................................................................... 0
Картофель.......................................................................................................................... 0
Горох.................................................................................................................................... 0
Яблоня................................................................................................................................. 0
Характеристика выбранных пестицидов................................................................... 0
Базудин (диазинон)...................................................................................................... 0
TMTД (тирам)................................................................................................................. 0
Пиримор (пиримикарб)............................................................................................... 0
Альто (ципроконазол).................................................................................................. 0
Фозалон (золон)............................................................................................................. 0
Децис (дельтаметрин)................................................................................................. 0
Скор (дифеноконазол)................................................................................................. 0
Раундап (глифосат)...................................................................................................... 0
Пивот (имазетапир)..................................................................................................... 0
Общая потребность в используемых пестицидах................................................... 0
КАЛЕНДАРНЫЙ ПЛАН МЕРОПРИЯТИЙ...................................................................... 0
МЕРЫ ЛИЧНОЙ И ОБЩЕСТВЕННОЙ БЕЗОПАСНОСТИ......................................... 0
ЗАКЛЮЧЕНИЕ...................................................................................................................... 0
СПИСОК ИСПОЛЬЗОВАННОЙ ЛИТЕРАТУРЫ............................................................ 0
ПРИЛОЖЕНИЕ..................................................................................................................... 0
ВВЕДЕНИЕ
Система защитных мероприятий от вредителей, болезней и сорняков - обязательная часть технологии выращивания любой культуры и важнейший резерв повышения урожая. Помимо вреда, причиняемого болезнями в период вегетации, они очень часто вызывают порчу хранящейся продукции. Ежегодные потери от вредителей, болезней и сорняков составляют в среднем 20-30% потенциального урожая. На долю болезней приходится примерно третья их часть, а в годы массового развития болезней — половина и более (например, от ржавчины пшеницы, фитофтороза картофеля, стеблевых гнилей подсолнечника и др.).
Химические методы защиты основаны на использовании различных органических и неорганических соединений, токсичных для вредных организмов.
Химические средства защиты отличаются большой универсальностью, их можно применять против большинства вредителей, болезней и сорных растений на всех сельскохозяйственных культурах и разных угодьях, а также обрабатывать ими склады, теплицы, элеваторы и другие сооружения. Большое значение имеет применение фумигантов для обеззараживания различных материалов, продуктов, фуража.
Особенно эффективно применение пестицидов в садоводстве, где химические средства позволяют избавиться от чрезвычайно опасных вредителей, улучшить качество продукции и значительно повысить сборы плодов.
Очень эффективны гербициды. Многолетние опыты показали, что они существенно снижают затраты на борьбу с сорняками, способствуют повышению урожая сельскохозяйственных культур.
Ассортимент пестицидов совершенствуется включением новых более эффективных и менее опасных в экологическом отношении препаратов. Ведутся активные поиски оптимальных препаративных форм, удобных для хранения и применения.
Химические средства защиты растений в общей системе мер борьбы с вредителями, болезнями растений и сорняками занимают большое место и имеют много преимуществ. Однако наряду с достоинствами следует отметить и их недостатки, прежде всего токсичность для теплокровных животных и человека.
Некоторые препараты их группы хлорорганических соединений, триазинов и др. отличаются повышенной стойкостью в биологических средах, медленно в них разрушаются, что создает опасность их накопления в природных условиях. Частое применение одних и тех же препаратов приводит к образованию резистентных рас насекомых, которые уже не поражаются этими пестицидами. Кроме того, пестициды часто действуют не только на вредных, но и на полезных насекомых, что приводит к нарушению биоценозов. Поэтому предстоит дальнейшее совершенствование химических средств защиты растений с целью ликвидации возможных неблагоприятных последствий.
Условие правильного и безопасного применения химических средств защиты растений – это хорошее знание их физико-химических свойств, особенностей применения, гигиенической классификации и поведения в биологических средах.
ПЛАНОВОЕ ЗАДАНИЕ
Рязанская область
Почва: серая лесная среднесуглинистая, гумуса 2,8%.
а) Севооборот
Таблица 1
| № поля | Культура | Площадь, га | Вредители | Болезни | Сорняки |
| 1 | картофель ранний | 70 | проволочник | парша | марь белая, пикульник, куриное просо |
| 2 | озимые | 70 | |||
| 3 | кукуруза на силос | 70 | |||
| 4 | яровая пшеница | 70 | |||
| 5 | горох | 70 | гороховая тля | ржавчина | горец шероховатый, подмаренник, марь белая |
| 6 | озимые | 70 | |||
| 7 | картофель | 70 | |||
| 8 | яровые + травы | 70 |
б) Культура вне севооборота : яблоня 25 га, плодожорка, парша
ПОЧВЕННЫЕ И АГРОКЛИМАТИЧЕСКИЕ УСЛОВИЯ
Основные климатические особенности области.
Климат Рязанской области умеренно континентальный. Характеризуется теплым летом, умеренно-холодной зимой с устойчивым снежным покровом и хорошо выраженными переходными сезонами года – весной и осенью.
Теплый сезон года начинается с середины весны. В третьей декаде марта обычно начинается весеннее снеготаяние. Наиболее интенсивно происходит оно в первой декаде апреля, когда средняя суточная температура устойчиво переходит через 0°С. Средняя месячная температура самого теплого месяца года - июля, колеблется от 18,5 до 19,5 °С. В отдельные жаркие дни температура воздуха повышается до 38-41 °С (абсолютный максимум). Продолжительность теплого периода года в среднем 210-218 дней. Продолжительность безморозного периода 170-180 дней. Длина дня в летние месяцы около 16-17 часов.
Температура воздуха самого холодного месяца – января, составляет –10,5-11,0 °С, а в очень холодные суровые зимы опускается до –40-45 °С (абсолютный минимум). В зимнее время образуется устойчивый снежный покров, высота которого к концу зимы на полях достигает 25-30 см. Наибольший запас воды в снежном покрове бывает в первой или второй декадах марта и составляет 75-100 мм.
Годовая амплитуда средних месячных температур составляет 30-30,5°С.
По увлажнению Рязанская область относится к зоне неустойчивого увлажнения. Атмосферные засухи наблюдаются на севере области в среднем в 70% лет, из них в 20% лет бывают дни и с интенсивными засухами; в центральной части в 90% лет, из которых 30% - с интенсивной засухой; а на юго-востоке засухи наблюдаются почти ежегодно. Число таких дней за теплый период – от 5 до 10.
Среднее годовое количество атмосферных осадков около 500-575 мм с колебаниями в отдельные годы от 170-200 мм (1920 г.) до 750-850 мм (1952, 1962 гг.). Две третьи осадков выпадает в виде дождя, а одна треть в виде снега. Осадки в летний период носят преимущественно ливневой характер.
Сумма положительных среднесуточных температур воздуха за период активной вегетации растений в Рязанской области составляет 2150-2350 °С.
ГТК изменяется от 1,3 в северной части до 1,0 в юго-восточной части. Влагообеспеченность при таких ГТК в основном удовлетворительная.
Фенокалендари развития культур
Картофель
Таблица 2 Дата наступления основных фаз развития картофеля
| Посев | Всходы | Образование соцветий | Цветение | Увядание ботвы |
| 15.V | 12.VI | 7.VII | 20.VII | 6.IX |
Горох
Таблица 3 Даты наступления основных фаз развития гороха
| Посев | Всходы | Начало цветения | Созревание |
| 5.V | 22.V | 26.VI | 3.VIII |
Яблоня
Таблица 4 Даты наступления основных фаз развития яблони
| Набухание плодвоых почек | Распускание плодовых почек | Развертывание первых листьев | Начало-конец цветения | Созревание плодов | Конец листопала |
| 27.IV | 6.V | 14.V | 21.V-30.V | 2.IX | 22.X |
ХАРАКТЕРИСТИКА ВРЕДНЫХ ОБЪЕКТОВ И МЕРЫ БОРЬБЫ С НИМИ
Вредители
Проволочники (личинки щелкунов)
Посевной щелкун — Agriotes sputator L. отностися к отряду жесткокрылые (Coleoptera) и семейству щелкунов (Elateridae). Жук длиной 6-8,5 мм, темно-бурый, иногда светло-бурый с серым опушением; переднеслинка вытянута, длина ее несколько превышает ширину, немного темнее надкрыльев; края переднеспинки, усики и ноги буровато-желтые; переднегрудь снизу имеет длинный узкий вырост, который входит в углубление на среднегруди; благодаря такому устройству опрокинутый на спину щелкун при изгибе тела подпрыгивает вверх и становится на ноги, при этом раздается щелчок (с помощью своих слишком коротких ног опрокинутый жук не может перевернуться). Яйцо широкоовальное, длиной 0,5 мм, шириной 0,3 мм, белое, гладкое. Личинка последнего возраста от желтого до темно-желтого цвета, длиной до 18,5 мм и шириной 1,4 мм; последний сегмент брюшка вдвое длиннее своей ширины, продолговато-овальный и заканчивается конической вершиной с небольшим шипиком.
Для щелкунов характерно, что у личинок все три пары грудных ног одинаковых размеров. Длина личинок первого года до 5,0 мм, второго—до 10, третьего—до 13,5, четвертого—до 18,5 мм. Личинка в течение жизни линяет 8 раз, то есть имеет 9 возрастов. Личинка с плотными покровами напоминает отрезок проволоки, откуда название “проволочник”.
Посевной щелкун распространен в европейской части России от 60° с. ш. до Закавказья, в лесостепи и степи Западной Сибири, на восток до Енисея.
Посевной щелкун заселяет пахотные земли. Жуки после выхода из почвы ведут скрытый образ жизни и прячутся под различными укрытиями. В лесной зоне и лесостепи посевной щелкун развивается четыре года, в южных районах возможна трехгодичная генерация.
Зимуют жуки и личинки разных возрастов в почве, на глубине 10—20 см. Жуки выходят из почвы с апреля в южных и с середины мая в северных районах. Лет жуков продолжается до августа. Жуки активны вечером и частично ночью. Они питаются злаками. Самки в мае — начале июня откладывают яйца в почву возле корневой шейки растений небольшими группами. Плодовитость самки 150—200 яиц. Эмбриональное развитие в зависимости от географической широты и погодных условий продолжается 10—45 дней. Длина отродившихся личинок посевного щелкуна 1,8—2 .мм.
Личинки посевного щелкуна питаются молодыми корешками диких и культурных растений, а также набухшими зернами высеянных рано весной культурных растений. Будучи гигрофильными, личинки весной держатся в верхних горизонтах почвы, где достаточно влаги и где находятся прорастающие семена и молодые корешки растений. По мере подсыхания горизонтов почвы и развития корневой системы личинки опускаются ниже. К осени некоторые личинки опускаются на глубину до 105 см, хотя основная масса бывает на глубине 30—45 см. Наибольшая глубина залегания личинок бывает на поле, где росла кукуруза, имеющая глубокую корневую систему. Личинки посевного щелкуна наиболее сильно повреждают злаковые культуры и особенно кукурузу. При большой заселенности личинки могут полностью уничтожить посев.
Наряду с зерновыми проволочники повреждают клубни картофеля, корнеплоды свеклы и моркови, в питомниках—древесные и кустарниковые растения, высеянные семена и всходы.
Орошение полей в засушливых районах благоприятствует размножению и накоплению проволочников на задерненных склонах оросительных каналов. Наличие в таких местах пырея особенно благоприятно для размножения щелкунов.
Меры борьбы с щелкунами. Для выявления заселенности почвы проволочниками и определения их возрастного и видового состава проводят ранневесеннее обследование полей.
Лущение стерни, глубокая зяблевая вспашка, междурядная обработка пропашных вызывают гибель большого числа отложенных в почву яиц, личинок и 'куколок щелкунов. Известкование почвы заметно снижает численность проволочников. Содержание в чистоте паровых полей и уничтожение сорной растительности, в частности пырея ползучего, который особенно привлекателен для проволочников. Ранние посевы, а также заделка семян на нормальную глубину обеспечивают быстрое их прорастание и развитие всходов до полного подъема проволочников в верхние горизонты пахотного слоя. На полях, заселенных проволочниками (более 10 особей на 1 м2 ), высевают лен, гречиху, однолетние бобовые—культуры, слабо повреждаемые этим вредителем.
Наличие в весенний период перед посевом 5—8 проволочников на 1 м2 в нечерноземной зоне и 2—3 проволочников на 1 м2 в черноземной зоне создает угрозу для полевых и пропашных культур. При указанной численности применяется химическая защита: предпосевная обработка семян, ленточное внесение инсектицидов одновременно с посевом (сеялки для ленточного внесения пестицидов специально дооборудуют).
Гороховая тля
Гороховая тля - Acyrthosiphon pisum Harris. (Семейство тлей - Aphididae, отр. равнокрылые хоботные - Homoptera). Бескрылая партеногенетическая самка длиной до 4-5,5 мм, светло-зеленая;усики длинные (как правило, несколько длиннее тела), 6-члениковые, сидят на лобных бугорках, четыре первых членика зеленые, два последних - темные; концы бедер с бурой кольцевой каймой, концы голеней и лапки черные; соковые трубочки длинные, зеленые, слабо темнеющие к вершине; хвостик бледно-зеленый и в своей средней части толще трубочек не менее чем в 3 раза. Крылатая партеногенетическая самка зеленая, с более темными брюшком и усиками. Самки обоеполого поколения бескрылы и отличаются от партеногенетических самок утолщенными задними голенями, несколько меньшей величиной и беловато-зеленой окраской. Самцы длиной около 2,5 мм, крылатые.
Распространена повсеместно, на север до 67° с. ш. Сильно вредит посевам гороха в южной и восточной части нечерноземной зоны.
В северной и центральной полосе России зимуют яйца, а в Средней Азии - яйца, партеногенетические самки и личинки всех возрастов. Зимующие яйца находятся преимущественно на нижних частях стеблей многолетних и двулетних бобовых растений— культурных и сорных, особенно часто на люцерне, клевере, эспарцете, стальнике и чине. Много яиц бывает отложено осенью на послеуборочных всходах гороха (падалице). В мае (в Средней Азии уже в марте) из перезимовавших яиц выходят личинки. В процессе роста и развития они 4 раза линяют и через 10—15 дней превращаются в самок-основательниц. Самки размножаются девственным путем (партеногенетическое размножение), рождая личинок. Плодовитость от 50 до 170 личинок, в среднем около 80 (при продолжительности жизни около 2—3 недель). С третьего поколения часть личинок превращается в крылатых самок-расселительниц, перелетающих на однолетние бобовые растения и образующих там новые колонии. Плодовитость крылатых самок в среднем около 30 личинок, максимум 62. Летом личинка развивается за 8—10 дней. В течение вегетационного периода гороховая тля может дать в средней полосе 4—12 поколений (из них 5—6 на горохе до его уборки), на орошаемых землях до 20—22 поколений.
В конце лета на вторичных кормовых растениях отрождаются крылатые полоноски, перелетающие на первичные растения — многолетние бобовые культуры. Наиболее вероятными причинами миграций тлей в конце вегетационного периода являются изменение длины светового дня, температуры воздуха, химизма растений и плотности популяции. Эти факторы действуют взаимосвязано, каждый из них может усилить или ослабить действие другого.
Перелетевшие на первичные кормовые растения полоноски отрождают там личинок, превращающихся в бескрылых самок обоеполого поколения; полоноски, оставшиеся на вторичных кормовых растениях, отрождают личинок самцов. Самцы прилетают к самкам, которые после спаривания откладывают яйца по одному или по несколько штук на нижнюю часть стеблей и другие части растений. Всего самка откладывает обычно до 10 яиц, иногда до 18, Период откладки продолжается до 10 дней.
Гороховая тля повреждает также чину, вику, чечевицу, бобы, клевер, люцерну, мышиный горошек, маш, коровий горох и др. Тли питаются преимущественно на верхних частях растений. Они сосут сок из листьев, цветков, плодов и стеблей. В результате повреждений листья скручиваются, плоды развиваются медленнее, побеги искривляются и задерживаются в росте, снижается урожай семян и ухудшаются их посевные качества. Значительную опасность представляет тля в период бутонизации и цветения.
По данным В. В. Ряховского (1967), в Луганской области в 1964 г. на полях, свободных от вредителя, был получен урожай гороха 16—19 ц с 1 га, а на участках, в массе заселенных тлей,— по 4—6 ц с 1 га, т. е. на 12—13 ц меньше.
Численность вредителя снижают сильные ливневые дожди, сбивающие тлю на землю, и холодная погода, при которой затягивается развитие, а в южных районах—засуха.
Тлю заражают два вида паразитов из отряда перепончатокрылых, сем. Aphidiidae Aphidius ervi Hal. и Praon dorsale Hal. По данным А. А. Кузина, в Молдавии в 1969 г. к концу вегетации гороха зараженность тли паразитами достигала 24%. Тлю уничтожают также хищники: жуки и личинки божьих коровок, личинки мух-журчалок и златоглазок, клопы-антокорисы. В России известно три вида энтомофторовых грибов, вызывающих массовые заболевания этой тли: Entomophthora aphidis Hoffm., E. thaxteriana Petch. и E. sphaerosperma Fres. Смертность от энтомофтороза иногда превышает 50%. Зараженность болезнями возрастает после дождей и продолжительных рос, сопровождающихся понижением температуры.
Меры борьбы. Посев зерновых бобовых в ранние, сжатые сроки и использование раннеспелых сортов, так как последние меньше повреждаются тлей (например, сорт гороха Уладовскин 303). Пространственная изоляция посевов многолетних и зерновых бобовых культур в связи с тем, что значительная часть тли зимует на участках многолетних бобовых. Низкий подкос многолетних трав для уничтожения яиц тли. Уничтожение всходов падалицы гороха до начала откладки яиц тлей, В условиях орошения—применение искусственного дождевания, благодаря которому, по данным А. А. Кузина (1972), может быть уничтожено до 70% тли.
Из химических методов применяется опрыскивание и опыливание инсектицидами.
Яблонная плодожорка.
Яблонная плодожорка - Carpocapsa (Laspeyresia) poponella L. (Семейство листовертки - Tortricidae, отряд чешуекрылые - Lepidoptera). Бабочки в размахе крыльев 18-21 мм; передние крылья удлиненные, серые с фиолетовым отливом, с многочисленными темными поперечными волнистыми линиями, на концах крыльев по темно-бурому овальному пятну с тремя изогнутыми бронзовыми блестящими скобочками. Задние крылья буровато-серые; в спокойном состоянии крылья складываются крышеобразно. Яйцо округлое, уплощенное, молочно-белое, полупрозрачное, на зеленом фоне плода или листа кажется зеленоватым, в диаметре 0,9-1,0 мм. Гусеница длиной 17-19 мм; сверху - бледно-розовая, с боков и снизу светло-желтая. Куколка длиной 9-12 мм, светло-коричневая с золотистым оттенком.
Широко распространена по всей территории произрастания яблони. Повреждает плоды яблони, груши, сливы, абрикоса, персика, айвы.
Зимуют закончившие питание гусеницы в плотных паутинных коконах под отставшей корой, в трещинах коры деревьев, щелях подпор, в упаковочной таре, сортировочных помещениях, плодохранилищах, в мумифицированных плодах, в растительных остатках. В молодых садах в связи с гладкой корой стволов, непригодной для коконирования, значительное число гусениц зимует в верхнем слое почвы, преимущественно у корневой шейки. Окукливаются весной, когда среднесуточная температура воздуха становится выше 10°С (нижнего порога развития яблонной плодожорки). Куколки развиваются весной 14-20 дней, летом - 12-16 дней. Окукливание всех перезимовавших гусениц проходит в течение 35--40 дней. Эта растянутость в дальнейшем сопутствует последующим стадиям развития вредителя. Вылет бабочек чаще всего совпадает с окончанием цветения яблони при достижении суммы эффективных температур 100-130°. Лет бабочек первого поколения продолжается от 1,5 до 2 месяцев. Бабочки нуждаются в капельной влаге. Наиболее активны бабочки в вечернее время от 19 до 24 часов.
Для нормальной жизнедеятельности бабочкам необходимы следующие сочетания погодных условий после захода солнца (бабочки активны в вечернее время): температура не ниже16°С, ветер, не превышающий 3,5 м/с, отсутствие осадков. Откладка яиц начинается на З-6-й день после вылета бабочек, массовая -- на 6-12-й день. Самки откладывают яйца на листья и плоды, реже на кору молодых побегов. При этом бабочки менее охотно откладывают яйца на опушенные листья и плоды. Важную роль играет хемотаксис: запах плодов привлекает бабочек. Поэтому бабочки второй генерации яблонной плодожорки перелетают с деревьев летних сортов яблони, у которых снят урожай, на, позднеспелые сорта, увеличивая тем самым поврежденность плодов последних. Плодовитость самки 60-120 яиц. Развитие яиц первой генерации протекает 9-12 дней, второй 7-9 дней. Вышедшие из яиц гусеницы некоторое время (1-3 часа) ползают по поверхности листьев и плодов, затем вгрызаются в плоды, заплетают входные отверстия паутиной, огрызками и питаются мякотью и семенами.
Первые 2--3 дня гусеница питается под кожицей плода. После первой линьки она прогрызает извилистый ход к семенной камере и линяет второй раз. Третья линька происходит в семенной камере, где гусеница питается семенами. После этого гусеницы переходят во второй, а иногда и в третий плод. Питание продолжается 21--23 дня на юге, 25--30 дней - в лесостепной зоне и до 35--40 дней - на севере ареала. После четвертой линьки гусеницы покидают плоды и уходят на коконирование.
В северных районах (Свердловская, Пермская, Владимирская, Ленинградская области) вредитель развивается в основном в одном поколении, и закоконировавшиеся гусеницы остаются зимовать. По данным В. П. Васильева (1955), развитие второй генерации яблонной плодожорки возможно только в том случае, если сумма эффективных температур (выше 10°) до начала августа достигает 550--600°.
В Рязанской области второе поколение бывает частичным.
Полное развитие двух поколений возможно при условии обеспеченности теплом, характеризуемой суммой эффективных температур 1400-1500° (при пороге +<10°), что в Рязанской области не достигается.
Во всех районах окукливание яблонной плодожорки прекращается 10--l2 августа, что обусловлено уменьшением светового дня, играющего основную роль в регулировании диапаузы вредителя.
Гусеницы питаются внутри плода мякотью и семенами. Ходы гусениц в плодах заполнены бурыми сухими экскрементами. Поврежденные плоды опадают и часто загнивают. Гусеницы первого поколения повреждают 2-3 плода, второго - 1-2. Чаще всего в одном плоде бывает одна гусеница, но при малом урожае и большой численности плодожорки в плоды могут проникнуть по две и даже по три гусеницы. Как показали расчеты, проведенные в условиях Харьковской области с учетом всех особенностей развития и выживаемости вредителя, потомство от одной пары бабочек (самка и самец) при двух поколениях может повредить от 700 до 900 плодов яблони. Где не производится систематическая борьба с плодожоркой, поврежденность плодов достигает 80-90%.
Факторы, регулирующие численность яблонной плодожорки: температура ниже -25°С в зимний период, в особенности при отсутствии снежного покрова, приводящая в отдельные годы к гибели 60-80% вредителя; неблагоприятные метеорологические условия в весенне-летний период, тормозящие развитие плодожорки (холодная и ветреная погода с температурой ниже 16°С в вечернее время, частые осадки); слабое плодоношение, не обеспечивающее кормовыми ресурсами гусениц; грибные болезни, хищники и паразиты. Гусениц и куколок уничтожают перепончатокрылые и двукрылые паразиты (Caenocryptus vittatorius Jur., Ephialtes carbonarius Christ., Iseropus roborator F., Pimpla examinator F., Pristomerus vulnerator Grav., Temelucha plutellae Ashm. и др.). В яйцах паразитируют виды рода Trichogramma.
Меры борьбы. При закладке новых садов размещение кварталов летних сортов на удалении не менее 100 м от кварталов осенних и зимних сортов. После окончания съема урожая сбор и уничтожение остатков упаковочного материала, прокладок из соломы и, травы, применяемых при установке подпор, а также опавших мумифицированных плодов, в которых часто остаются на зимовку гусеницы плодожорки; в осенний период очистка отмершей коры со штамбов и толстых ветвей старых деревьев на подстилки с последующим ее сжиганием; осенняя вспашка почвы в молодом саду; фумигация тары, подпор, лестниц сернистым газом в герметически закрытых помещениях или траншеях (расход серы 2--3 кг на 10 мЗ с экспозицией 2 суток); сбор падалицы после сильных ветров, что дает возможность выносить из сада большое число гусениц в плодах; для вылова гусениц плодожорки в период сбора урожая вокруг сортировочных, паковочных навесов и площадок следует устраивать ловчие барьеры из колышков, выступающих над поверхностью почвы примерно на 20 см, переплетенных жгутами соломы и ветошью (после вывоза плодов ловчие барьеры сжигают); вылов гусенице помощью ловчих поясов (в районах с одним поколением плодожорки ловчие пояса накладывают на стволы и скелетные ветви деревьев на 20-й день после начала отрождения гусениц, в районах с двумя поколениями - в первой декаде августа).
При численности 2--3 яйца яблонной плодожорки на 100 плодов необходимо проведение химической борьбы с ней.
Опрыскивание против первого поколения следует проводить за 1-2 дня до начала выхода первых.
Срок первого опрыскивания против плодожорки можно примерно определить достижением суммы эффективных температур воздуха в среднем 220--240°, более точно - наблюдением за вредителем в изоляторе с пропущенной в него веткой яблони. Для этого необходимо до вылета бабочек первого поколения собрать в местах зимовки не менее 200 коконов, разместить их на дне изолятора, прикрыв кусками коры. Эти наблюдения дают возможность определить динамику вылета бабочек, яйцекладки, отрождения гусениц и выживаемость во время зимовки. Появление на первых отложенных яйцах бурого кольца указывает на то, что осталось примерно 1--2 дня до выхода гусениц и необходимо начинать первое опрыскивание инсектицидами.
Второе опрыскивание против яблонной плодожорки первого поколения проводят через 12-18 дней (в зависимости от продолжительности действия инсектицида, примененного в первый раз).
На восьмой день после начала лета бабочек яблонной плодожорки второго поколения (срок устанавливают наблюдением за вредителем в пробных ловчих поясах и в специальных изоляторах, размещенных в кроне дерева) сорта осеннего и зимнего сроков созревания обрабатывают третий раз.
Таблица 5 Сведения о вредителях защищаемых культур
| Название культуры | Название вредителя | Зимующая фаза и место зимовки | Вредящая фаза | Уязвимая фаза | Характер повреждения | Число поколений | Время химической обработки (фаза вредителя, фенофаза растений, феносигналы) |
| Картофель | Проволочники (личинки щелкунов) | Жуки и личинки разных возрастов в почве, на глубине 10—20 см | Личинка | Личинка (против имаго обработки не проводят) | Выгрызание ходов внутри клубня | 1 | При посадке |
| Горох | Гороховая тля | Яйца на нижних частях стеблей падалицы. | Имаго | Все фазы | Угнетение растения, деформация и измельчание пораженных частей вследствие высасывания сока тлями из различных органов | 5-6 | Опрыскивание в период вегетации, при превышении численности ЭПВ. |
| Яблоня | Плодожорка | Гусеницы в коконах под корой, в трещинах, на растительных остатках и пр. | Гусеница | Вышедшие гусеницы, бабочка (имаго) | Выгрызание мякоти плодов и семян | 1 | 1-е опрыскивание проводят при попадании в 1 феромонную ловушку 5-7 самцов за неделю и при достижении суммы эффективных температур 108°С (через 5-7 дней). 2-е - через 12-18 дней (в зависимости от срока действия препарата, которым проведено 1-е опрыскивание) |
Болезни
Парша картофеля
Обыкновенная парша картофеля распространена повсеместно. На поверхности пораженного клубня видны неглубокие язвы неправильной округлой формы, диаметром от нескольких миллиметров до 1 см и более. Сливаясь, язвы часто образуют сплошную корку. Паршой могут поражаться также столоны и корни.
Различают четыре типа обыкновенной парши: плоскую, выпуклую, глубокую и сетчатую.
Плоская парша встречается преимущественно на молодых клубнях и характеризуется поражением кожуры или только самого верхнего слоя перидермы. На клубнях образуются ржаво-коричневые струпьевидные язвы.
Выпуклая парша имеет вид выпуклых струпьев или бородавок.
Глубокая парша образует вдавленные в мякоть (до 0,5 см) язвы. Края их часто приподняты, дно красноватое или фиолетовое. Этот тип парши обычно проявляется в период уборки картофеля.
Сетчатая парша характеризуется сплошной шероховатой поверхностью в виде неглубоких взаимно пересекающихся канавок, напоминающих сетку.
Развитие различных типов обыкновенной парши зависит от глубины воздействия патогена, что в свою очередь, определяется сортовыми особенностями картофеля и условиями среды.
Развивается парша большей частью на чечевичках клубня, которые, разрастаясь, разрывают кожуру в разных направлениях, а иногда звездчато. При этом большая часть перидермы отделяется от лежащих ниже здоровых тканей слоем опробковевших клеток.
Возбудители обыкновенной парши — лучистые грибы, или актиномицеты. Наиболее часто встречается Streptomyces scabies Waks. et Henr (Actinomyces scabies Giissow) рода стрептомицес (Streptomyces) семейства стрептомицетовые (Streptomycetaceae). Этот патоген аэроб, оптимальная температура его развития 25—27 °С. Легко культивируется на искусственных средах, образуя бугристые складчатые плотные колонии желтоватого или желто-бурого цвета. Грибница хорошо развита, не септирована, древовидно-ветвящаяся. На основных нитях грибницы вырастают воздушные гифы с винтообразно закрученными спороносцами, на которых развиваются мелкие цилиндрические продолговатые споры размером 1,2—1,5 X 0,8—1,0 мкм.
При выкопке картофеля из влажной почвы в глубине язвочек парши часто можно видеть сероватый, зеленоватый или другого цвета налет лучистых грибов, который на воздухе быстро исчезает. Под микроскопом видно, что клетки пораженных чечевичек разросшиеся опробковевшие и завернуты в разных направлениях в несколько слоев.
Актиномицеты, вызывающие обыкновенную паршу, обитают и почве на различных органических остатках. Чаще поражают клуб ни на легких и суглинистых почвах со слабощелочной реакцией. На торфяных кислых почвах болезнь не встречается.
При осеннем внесении навоза под картофель развитие обыкновенной парши несколько увеличивается, а при использовании сидератов уменьшается. Известкование почвы повышает пораженность клубней паршой обыкновенной. Поэтому известь под картофель рекомендуется вносить небольшими порциями (по 4—5 ц/га) с обязательным применением весной повышенных доз минеральных удобрений. В сухие годы с жарким летом наблюдается более сильное развитие обыкновенной парши, чем в прохладные и сырые годы.
Клубни, пораженные паршой, имеют непривлекательный вид и более низкие вкусовые и товарные качества, так как содержат меньше крахмала. Лежкость таких клубней ухудшается, при хранении они значительно быстрее загнивают. Сильно пораженные клубни для посадки непригодны, так как часто имеют пониженную всхожесть и дают низкий урожай. Повышенная устойчивость к болезни отмечена у сортов Богатырь, Вита, Детскосельский, Ермак улучшенный и др.
Меры защиты . Не следует вносить больших доз неперепревшего соломистого навоза перед высадкой клубней.
Клубни анализируют осенью перед закладкой и весной перед посадкой. В семенном картофеле должно быть не более 12% пораженных клубней. Соблюдение севооборота, в котором картофель возвращают на прежнее место не раньше чем через 3—4 года. Лучшие предшественники — озимые зерновые, оборот пласта многолетних трав, бобово-злаковые смеси, занятый пар, кукуруза, свекла и другие пропашные культуры.
Внесение минеральных удобрений и микроэлементов в соответствии с рекомендациями агрохимических лабораторий. Увеличение рекомендуемых доз калия на 10—15% повышает устойчивость картофеля к обыкновенной парше. Внесение извести не более 0,5 нормы по гидролитической кислотности также сдерживает развитие парши обыкновенной.
Возможно возделывание устойчивых сортов.
Ржавчина гороха
Обнаруживается обычно в начале цветения появлением на листьях и стеблях крупных светло-коричневых порошащих пустул — урединий с концентрическим расположением. Позже на надземных органах образуются темно-коричневые пустулы — телии, иногда в виде кругов. При сильном поражении листья преждевременно усыхают и опадают, бобы недоразвиваются.
Возбудитель болезни — двудомный гриб Uromyces pisi Schroet (класс базидиомицеты (Basidiomycetes), подкласс телиобазидиомицеты (Teliobasidiomycetidae), порядок ржавчинные (Uredinales), семейство пукциниевые (Pucciniaceae) род уромицес (Uromyces) - патоген с полным циклом развития. На горохе развивает урединий и телиостадии, а спермагониальную и эциостадии—на видах молочая (Euphorbia). Урединиоспоры одноклеточные, шаровидные, 21—25 мкм в диаметре, покрыты редкими бородавочками. Телиоспоры одноклеточные, 20—31 X 14—22 мкм, мелкобородавчатые, с короткой бесцветной опадающей ножкой.
На горохе гриб может образовывать несколько поколений урединиоспор. Частые осадки и температура воздуха 20—25 °С способствуют развитию болезни.
Кроме U. pisi, ржавчину на горохе часто вызывает U. fabae f. pisi-sativae Hiretsuka. Этот гриб однодомный, все стадии своего развития образует на горохе. Его урединиоспоры округлые, одиночные, шиповатые, светло-коричневые, 21—30 Х 18—26 мкм. Телиоспоры одноклеточные, округлые, 25—40 X 18—28 мкм, гладкие на бесцветной ножке.
Возбудитель сохраняется в форме телиоспор на растительных остатках, а U.pisi может сохраняться в виде мицелия на корневищах молочая. В таком случае отрастающий весной молочай становится инфекционным для гороха.
Вредоносность ржавчины заключается в нарушении физиологических и биохимических процессов в растении, особенно снижается фотосинтез. Недобор урожая гороха может достигать 30 % и более. При избытке азота в почве заболевание усиливается.
Меры борьбы. Одним из обязательных агротехнических приемов, гарантирующих защиту посевов гороха от болезней, является соблюдение правильного севооборота, с возвращением гороха на прежнее место не раньше чем через 4 года. Поэтому они не могут быть предшественниками гороха. Лучшие предшественники гороха — зерновые культуры.
При размещении посевов гороха в полях севооборота необходимо следить, чтобы они не располагались рядом с полями, где в прошлом году возделывали зерновые бобовые культуры и многолетние травы.
Обработку фунгицидами против ржавчины проводят в период вегетации.
Устойчивых к ржавчине сортов нет.
Парша яблони
Это самое распространенное и вредоносное заболевание в плодоносящих садах, особенно в годы с обильными летними осадками и умеренными температурами. Болезнь вызывают грибы, специализирующиеся поражать только яблоню или грушу. Возбудитель парши яблони — сумчатый гриб Venturia inaequalis (Cke.) Wint (класс аскомицеты (Ascomycetes), подкласс полостносумчатые (Loculoascomycetidae), порядок плеоспоровые (Pleosporales), род вентурия (Venturia)).
Паршой поражаются листья, чашелистики, плодоножки, плоды. На листьях вначале появляются слабовыраженные желтоватые, как бы маслянистые пятна. Позднее они приобретают зеленовато-бурый цвет, на поверхности их виден бархатистый налет. На листьях яблони пятна парши расположены преимущественно на верхней стороне. Количество пятен и их размер зависят от сорта, погодных условий и возраста листьев. Сильно пораженные листья засыхают и преждевременно опадают. На плодах пятна круглые, темного цвета, с очень узким светлым ободком. Поверхность пятен также покрывается оливково-буроватым налетом. При заражении молодых плодов они становятся уродливыми, плохо растут. На побегах, пораженных паршой, образуются вздутия, которые затем растрескиваются, в трещинах виден налет, как на пятнах пораженных листьев.
Вредоносность парши выражается в снижении урожая и ухудшении его качества. Это следствие уменьшения ассимиляционной поверхности листьев, резкое усиление транспирации, преждевременного опадания листьев, ухудшения налива плодов и снижения их сахаристости, уродливости плодов. Сильное поражение паршой приводит к уменьшению прироста, недоразвитию почек, снижению зимостойкости.
Возбудитель сохраняется на опавших пораженных листьях в форме плодовых тел - псевдотециев. Весной при дождливой погоде идет формирование сумкоспор, которые при созревании вызывают первичное заражение. Если в первый месяц вегетации стоит жаркая и сухая погода, первичное заражение паршой бывает слабым из-за позднего созревания сумкоспор. Инкубационный период длится 8-21 день. При температуре 17-21о С он равен 10 дням. Первые признаки парши обычно обнаруживаются во время массового опадания лепестков. Парша проявляется на вегетирующих органах растений в конидиальной стадии. При дозревании конидий под эпидермисом листа последний растрескивается и конидии легко разносятся на здоровые растения, заражая их. За один вегетационный период гриб может дать 5-8 генераций конидий. Инкубационный период при конидиальном заражении такой же. На появившихся пятнах парши образуются летние бесполые споры, которые вызывают перезаражение, особенно сильно распространяющееся во влажных условиях. Сильнее парша поражает деревья с загущенной кроной, в плохо проветриваемых садах, растения с обильным годовым приростом.
Сорта яблони и груши сильно различаются по устойчивости к парше. Особенно сильно поражаются сорта яблони Бельфлер-китайка, Грушовка московская, Боровинка, Бабушкино, Мелба, Ренет Семиренко, Мантет и др.
Меры защиты. Для уничтожения зимующего возбудителя необходимо запахать опавшие листья, провести 1 раз в 2—3 года искореняющее опрыскивание. Его проводят после листопада или рано весной до распускания почек.
В случае сильного развития парши в предшествующем году и если не проводилось искореняющее опрыскивание, первую обработку против парши проводят по прогнозу лета сумкоспор возбудителя парши или приурочивают к фазе обособления бутонов.
В летний период защита строится в периодических обработках фунгицидами, начиная с обработки сразу после цветения.
Также предпочтительна закладка садов с посадкой более устойчивых сортов, таких как Джонатан, Вагнера призовое, Уэдси, Пармен зимний золотой, Имрус и др.
Таблица 6 Сведения о болезнях защищаемых растений
| Название культуры | Название болезни и возбудителя | Зимующая стадия и место зимовки | Источник первичного и вторичного заражения | Способ распространения | Симптомы болезни | Время химической обработки (время года, фенофаза растения, признаки заболевания) |
| Картофель | Парша возбудитель -Streptomyces scabies |
На пораженных клубнях | Споры в почве на растительных остатках | Участками мицелия и спорами | Неглубокие язвы неправильной округлой формы, диаметром от нескольких миллиметров до 1 см и более; сливаясь, язвы часто образуют сплошную корку, могут поражаться также столоны и корни. | Обработка клубней перед посадкой |
| Горох | Ржавчина, возбудитель - Uromyces pisi, иногда Uromyces fabae f. pisi-sativae | Телиоспоры на растительных остатках, также мицелий на корневищах молочая | I) Телиоспоры на растительных остатках II) Уредоспоры |
Уредоспорами, телиоспорами, спермациями, эциоспорами | В начале цветения - на листьях и стеблях крупные светло-коричневые порошащие пустулы - урединии; позже образуются темно-коричневые пустулы - телии; при сильном поражении листья преждевременно усыхают и опадают, бобы недоразвиваются |
Первая обработка при появлении единичных пустул, вторая - через 7-16 дней (в зависимости от препарата) |
| Яблоня | Парша, возбудитель -Ventura inaequalis | Псевдотеции на растительных остатках | I) Псевдотеции (аскоспоры) II) Конидии |
В период вегетации - конидиями |
На листьях бурые пятна, покрывающиеся бархатистым налетом оливкового цвета. На плодах круглые тёмные пятна с узким ободком и налётом, вздутия | Искореняющие опрыскивания осенью после листопада или весной до распускания почек, профилактические опрыскивания, опрыскивания при симптомах. |
Сорные растения [1]
Горец шероховатый
Горец шероховатый - Polygonum scabrum Moench. относится к семейству гречишных. Сорняк распространен повсеместно. Засоряет все культуры, особенно пропашные, зерновые, лен. Обильно растет на увлажненных почвах.
Корень стержневой. Стебель прямостоячий, ветвистый, с вздутыми узлами, высотой 30...100 см. Листья очередные, ланцетные. Цветки зеленоватые, собранные в густых колосовидных кистях.
Плод - сдавленный орешек, без околоцветников, коричневый и темно-коричневый. На одном растении образуется до 7000 семян. В зерновых культурах семена созревают одновременно, в пропашных - до уборки и попадают в почву, где сохраняют всхожесть до 6...9 лет. Семена обладают длительным периодом покоя, имеют растянутый период прорастания. Минимальная температура прорастания 4...6°С. Семена прорастают с глубины не более 6...7 см. Всходы сорняков Появляются сравнительно рано. Семядоли длиной 8...12, шириной 2.5...4 мм, продолговатые.
Для борьбы необходимо использовать агротехнические способы - лущение после уборки предшественника и вспашку плугами с предплужниками. Предпосевные обработки почвы - эффективные приемы уничтожения всходов этого сорняка. Из гербицидов применяют их смеси, а также почвенные гербициды. К широко распространенным гербицидам группы 2,4-Д данный сорняк устойчив.
Марь белая
Марь белая - Chenopodium album L. - сорняк семейства маревых, отличается исключительной пластичностью роста и развития, распространен повсеместно. Растение является - злостным сорняком в посевах всех сельскохозяйственных культур и особенно пропашных. Порог вредоносности не превышает 10 растений на 1 м2 . Растение покрыто мучным налетом, стебель прямой, сильноветвистый, на хорошо удобренных - азотом или навозом почвах достигает высоты 1,6 м и более. Одно растение дает до 200 тыс., а максимальная плодовитость - 700 тыс. семян, покрытых твердой оболочкой. Пройдя через пищеварительные органы животных, семена не теряют всхожести. Они полиморфны. На одном и том же растении встречаются семена трех видов. Крупные, плоские и коричневые, прорастают в год созревания; семена более мелкие, с толстой оболочкой, черные, прорастают на втором году после обсеменения; и очень мелкие) круглые, черные, прорастающие лишь на третьем году.
Всхожесть семян мари белой сохраняется до 8, а жизнеспособность до 38 лет и более. Всходы мари белой устойчивы к заморозкам. Семена прорастают с глубины до 8...10 см. Семядоли всходов длиной 8...12; шириной 1,5-2 мм, продолговато-линейные. Минимальная температура прорастания 3...4, оптимальная 18...24, а максимальная 34...36°С. Всходы появляются с ранней весны до осени. Осенью семена прорастают слабо, весной после перезимовки быстрее, но период появления всходов растянут. Массовое появление всходов мари наблюдается в условиях нарастания высоких положительных температур.
Уничтожение мари белой на всех необрабатываемых местах необходимо проводить скашиванием до цветения. В посевах и посадках сельскохозяйственных культур хорошие результаты дает боронование, когда сорняк находится в так называемой фазе “белой ниточки”. При обработке междурядий пропашных культур нужно уничтожать сорняк и в рядках.
К большинству применяемых гербицидов в посевах различных культур марь белая считается высокочувствительным растением и легко уничтожается как почвенными, так и повсходовыми гербицидами.
Пикульник красивый
Пикульник красивый, зябра - Galeopsis speciosa Mill. - сорняк семейства яснотковых (губоцветных).
Корень стержневой. Стебель прямой, ветвистый, с утолщениями по узлам, четырехгранный. Листья супротивные, короткочерешковые, по краю зубчатые, заостренные. Стебли и листья опушены короткими прямыми щетинками. Цветки в мутовках у верхних листьев. Венчик темно-пурпуровый, фиолетовый с бледно-желтой трубочкой, у зева с желтым пятном. Сорняк очень вредоносный, особенно в условиях применения высоких доз удобрений. Обычно растения, не достигающие высоты 50 см, на плодородных и удобренных почвах обгоняют в росте культурные растения, занимают верхний ярус, сильно затеняя и глуша культурные растения. Одно растение пикульника дает от 200 до 3600 плодов-орешков. После созревания семена прорастают слабо, весной -хорошо, очень рано, с глубины не более 5 см. Количество всходов на 1 м2 может достигать 500...800 шт. Соцветия и плоды пикульника -- ядовиты. При скармливании скоту вызывают паралич нервной системы животных, а иногда и их гибель.
Семена пикульника в почве не теряют всхожести до 10...14 лет. Экологически очень пластичные растения. Поле, засоренное пикульником, необходимо вспахать сразу после уборки, чтобы проросли выпаханные семена, прошедшие период покоя. Весной, рано взошедшие сорняки уничтожают предпосевными обработками.
Пикульник. обладает определенной устойчивостью к гербицидам 2.4-Д и 2М-4Х, и для борьбы с, ним используют смеси гербицидов. Против пикульника высокоэффективны почвенные гербициды.
Подмаренник цепкий
Подмаренник цепкий -- Galium aparine L. - относится к семейству маревых. Сорняк распространен повсеместно, особенно предпочитает увлажненные, плодородные и богатые известью почвы, обладает высокой экологической пластичностью, удобрения способствуют усилению роста и ветвления сорняка. Растение шероховатое и цепкое из-за многочисленных шипиков, что приводит к полеганию культур. Особенно большой вред наносит зерновым и посевам льна, опутывая стебли, затрудняет уборку.
Подмаренник цепкий отличается слаборазвитым стержневым корнем. Стебель слабый, лежачий, четырехгранный, хрупкий, длиной 40...100см. Листья линейно-ланцетные, собраны мутовками. Цветки белые на шиловидных цветоножках. Плод - шаровидно-почковидный орешек с выемкой. Масса 1000 орешков--3...3.5 г. Минимальная температура прорастания 1...2°С. Всходы появляются рано весной. Семядоли яйцевидные длиной 7...15, шириной 4...10 мм. Плодоносит в конце лета и осенью. Максимальная плодовитость - 1200 орешков. Семена прорастают с глубины не более 8...9 см. Свежесозревшие орешки в засушливые годы имеют всхожесть ниже, чем в увлажненные. Жизнеспособность семян сохраняется до 5 лет.
Своевременная обработка почвы в севообороте способствует снижению засоренности подмаренником цепким. Сорняк обладает определенной устойчивостью к гербицидам 2,4-Д и 2М-4Х, поэтому лучшие результаты получают при использовании гербицидов на основании пропионовой кислоты, смесей гербицидов и почвенных препаратов.
Куриное просо
Ежовник, просо куриное - Echinochloa crusgalli -относится к семейству мятликовых. Растение распространено повсеместно, в большей степени в средних и южных районах. Засоряет все культуры, очень вредоносный сорняк, особенно в орошаемом земледелии на пропашных культурах. На рыхлых плодородных почвах образует мощные кусты.
Корень мочковатый. Стебель прямой или развалистый, коленчатовосходящий, высотой 20...200 см. Листья широколинейные. Соцветие-рыхлая метелка. Листья всходов длиной 20...50, шириной 2...5 мм. Плод-яйцевидная, односторонне выпуклая, на верхушке заостренная, зеленовато-бурая зерновка. Масса 1000 зерновок-- 1.5...2 г.
Оптимальная температура, прорастания зерновок. 2б...28°С. Всходы появляются после прогревания почвы. Плодоносит с июля до поздней осени. Максимальная плодовитость до 60 тыс. зерновок, которые прорастают с глубины не более 12...14 см и сохраняют жизнеспособность до 13 лет. Недозрелые семена жизнеспособны. При прорастании зерновок существенное значение имеет влажность и плотность сложения пахотного слоя.
К мерам борьбы устойчив, после скашивания отрастает, присыпанные почвой части растения тоже способны отрастать. Определенных успехов можно достичь при послойной обработке зяби. К большинству гербицидов устойчив, эффективны противозлаковые почвенные гербициды.
Таблица 7 Сведения о сорных растениях
| Название культуры | Название сорняка | Ботанический класс | Биологическая группа | Фаза сорняка, наиболее чувствительная к гербицидам | Время применения гербицидов (время года, фенофаза культурного растения, период обработки) | Мероприятия, дополняющие химическую обработку |
| Картофель ранний | Марь белая | Двудольные | Малолетние, яровые ранние | Фаза "белой ниточки" | С осени, во время посева, до всходов культуры | Послойная обработка зяби, обработка междурядий |
| Пикульник | Двудольное | Малолетние, яровые ранние | ||||
| Куриное просо | Однодольные (злаки) | Малолетние, яровые поздние | ||||
| Горох | Горец шероховатый | Двудольные | Малолетние, яровые ранние | Лущение после уборки предшественника и вспашку плугами с предплужниками, боронование, когда сорняк находится в так называемой фазе “белой ниточки” | Осенние лущения и зяблевая вспашка, весной и в течение вегетационного периода - предпосевные, довсходовые и послевсходовые обработки. | |
| Подмаренник | Двудольные | Малолетние, яровые ранние | ||||
| Марь белая | Двудольные | Малолетние, яровые ранние |
ОБОСНОВАНИЕ ВЫБОРА ПЕСТИЦИДОВ [2]
Примечание: при обосновании выбора пестицидов в данном случае не учитывались их стоимость и доступность. При учете этих факторов рекомендации возможно пришлось бы изменить, т.к. высокая эффективность сама по себе не гарантирует окупаемости препарата на различных культурах. В связи с тем, что количество вредных объектов и их агрессивность в задании не оговариваются, расчеты проводились исходя из их средних значений.
Картофель
Для защиты картофеля от проволочников , в данном случае "Списком…" рекомендуется лишь один препарат - базудин (диазинон), выпускаемый в гранулированном виде. Базудин стабилен при нейтральном рН почвы, DT50 в почве до 13 дней (11-21). Гранулированный препарат удобен для припосевного внесения и обладает более долгим защитным действием.
Для борьбы с паршой картофеля "Списком..." рекомендуется только один препарат - ТМТД (тирам), применяемый для предпосадочной обработки клубней и обладающий достаточно длительной фунгицидной активностью. Обработка ТМТД также уменьшает поврежденность клубней ризоктониозом и фитофторозом.
Сорные растения на картофеле представлены малолетними однодольными и двудольными. Один из сорняков, пикульник, обладает устойчивостью к препаратам групп 2,4-Д и 2М-4Х, поэтому применять их было бы малоэффективно. Для защиты картофеля от сорных растений "Списком..." рекомендуется ряд препаратов, уничтожающих устойчивые сорняки и обладающих почти одинаковыми характеристиками: токсичностью, безопасностью для пчел и др. Предпочтение было отдано раундапу, в силу большей безопасности, простоты применения и популярности.
Горох
При борьбе с гороховой тлей необходимо учесть важный момент - ее естественные враги (энтомофаги) играют очень большую роль в регуляции численности. Иногда их деятельность активна настолько, что необходимость в химических обработках отпадает. Поэтому во избежание лишних материальных затрат и повышения пестицидной нагрузки на агроэкосистему нужно определить вклад других насекомых в ограничение количества тли. В связи с этим возникает необходимость по возможности уменьшить гибель полезных насекомых при обработках, что достигается уменьшением обрабатываемой площади (только краевые полосы) и применением системных препаратов. Сочетание препаратов из разных химических групп с различным механизмом действия также позволит избежать возникновения популяций тли с групповой устойчивостью.
Для защиты гороха от гороховой тли "Списком…" рекомендуется ряд препаратов. Из множества препаратов в изложенную выше таблицу включены наиболее типичные. Также для борьбы с гороховой тлей рекомендуется Пиримор (пиримикарб) - по химическому строению - ариловый эфир алкилкарбаминовой кислоты. Из предложенных в таблице инсектицидов Пиримор выделяется рядом преимуществ: он не токсичен для пчел, не токсичен для энтомофагов тли (златоглазка, божья коровка), не фитотоксичен, не повреждает цветков, плодов листьев, эффективен против тлей, устойчивых к фосфорорганическим препаратам. Препарат отличается быстротой действия, в водной среде быстро разрушается. Фосфорорганические препараты (Карбофос, Фозалон и Актеллик) действуют на всех грызущих и сосущих насекомых, в т.ч. и на энтомофагов тли и в разной степени на пчел. Такие же отрицательные моменты присущи и контактному препарату Децис. Сравнив вышеизложенные характеристики, делаем вывод, что наиболее эффективен и выгоден в данном случае препарат Пиримор (пиримикарб). Данный препарат эффективнее применить один раз, не оказывая влияния на энтомофагов (при увеличении численности тлей), чем несколько раз применять какой-либо контактный препарат, уничтожающий естественных врагов гороховой тли.
Для защиты гороха от ржавчины рекомендуется два препарата - альто (ципроконазол) и комбинированный препарат рекс (тиофонат-метил + эпоксиконазол). Первый препарат - производное триазола, обладает контактным и системным продолжительным действием (до 6 недель), он малотоксичен и не раздражает кожу. Второй препарат - рекс, по характеру действия является системным, защитным и лечебным, малотоксичен. Он включает два действующих вещества - тиофонат-метил - производное бензимидазола для эффективной борьбы с мучнистыми росами на различных культурах и эпоксиконазол - производное триазола для борьбы с различными видами ржавчины. Оба препарата, альто и рекс, имеют примерно одинаковые характеристики - по токсичности, кратности обработок, срокам ожидания и др. В обоих этих препаратах действующие вещества эффективные против ржавчины относятся к одной группе по химическому строению. Учитывая эти моменты, становится ясно, что нет смысла применять более универсальный (и, скорее всего, более дорогостоящий) препарат рекс для борьбы только с одним заболеванием.
Обработка альто (ципроконазолом) производится 1 раз при появлении единичных пустул ржавчины (примерно в начале цветения), а при раннем развитии - 2 раза с интервалом в 7 дней.
Для борьбы с сорными растениями на горохе существует немало препаратов, однако многие из них не подходят сразу, т.к. действуют только на один класс растений, а мы имеем смешанное засорение, причем горец и подмаренник - сорняки, устойчивые к препаратам групп 2,4-Д и 2М-4Х. Всего "Списком.." рекомендуется 3 препарата. Рассмотрим предлагаемый ассортимент гербицидов. Базагран очень эффективен, обладает системным действием, применяется в фазу 5-6 листьев всходов гороха. Однако, он достаточно токсичен и требует осторожности и предохранения кожи и глаз при работе с ним. Гезагард так же является весьма эффективным избирательным системным препаратом, безопасным для культуры при правильном применении. Метод его применения гигиеничен и прост (опрыскивание до всходов культуры). Он малотоксичен для теплокровных и нетоксичен для пчел. Но предпочтение было отдано пивоту, препарату высокоэффективному в малых нормах расхода на бобовых культурах. Он малотоксичен, обладает слабым раздражающим действием, нетоксичен для пчел и нефитотоксичен для гороха.
Яблоня
В борьбе с яблонной плодожоркой предпочтение следует отдать контактным и кишечным препаратам, т.к. гусеницы обладают грызущим ротовым аппаратом, а, кроме того, интоксикация плодов системными препаратами нежелательна с точки зрения чистоты продукции. На осенних сортах обычно проводится 3-4 опрыскивания. Рекомендуется провести два опрыскивания: первое - фософорорганикой, второе - пиретроидами. Для первого опрыскивания будет эффективен золон (фозалон), обладающий высокой начальной токсичностью, длительным защитным периодом, кроме того, обладающий акарицидным действием, а также безопасный для пчёл. Также преимущество золона для первого опрыскивания в том, что он эффективен при пониженных температурах (10-12°С). Второе опрыскивание желательно провести пиретроидным препаратом для предотвращения возникновения групповой устойчивости и снижения пестицидной нагрузки. Наиболее эффективен в данном случае децис. Из-за того, что второе поколение в Рязанской области неполное или вообще отсутствует, проводить обработки против второй генерации бабочек не нужно.
Для обработки яблони против парши рекомендовано достаточно много препаратов, но наиболее эффективным признан скор - системный фунгицид лечащего и защитного действия, действующим веществом которого является дифеноконазол. Применение его позволяет снизить пестицидную нагрузку благодаря низким дозам и сокращению количества опрыскиваний. Кроме того, он безопасен для человека, полезных насекомых и самой яблони. Препараты серы относительно малоэффективны против парши. Применения бордоской жидкости также желательно избежать, т.к. она трудоемка в приготовлении, может проявлять фитотоксичность и постепенно накапливаться в почве, стерилизуя её, что препятствует нормальному протеканию различных почвенных микробиологических процессов (разложение растительных остатков и пестицидов). Делан (дитианон) не обладает системным действием, более токсичен для человека и немного менее эффективен, чем скор. Топсин М (тиофонат-метил), обладая в целом благоприятными характеристиками, также слабее скора при применении против парши яблони.
Характеристика выбранных пестицидов
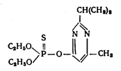
Базудин (диазинон)
Действующее вещество О-О-диэтил-О-(2-изопропил-4-метилпиримидил-6)-тиофосфат:

В частом виде это бесцветная маслянистая жидкость с температурой кипения 89°С, плохо растворимая в воде и хорошо - в большинстве органических растворителей. Летучесть при 20°С 1,39 мг/м3 .
Базудин относительно легко гидролизуется в щелочной и кислой средах. В щелочных условиях образуются диэтилфосфорная кислота и 2-изопропил-4-метил-6-оксипиримидин, а в кислой среде, кроме этих веществ - небольшое количество тетраэтилдитио- и тиопирофосфатов.
Остатки базудина в почве (0,1 мг/кг) обнаруживаются через 12-14 недель после внесения гранулированного препарата. Однако 50 % вещества разлагается всего за 2-3 недели. Этот процесс обусловлен физическими и химическими факторами, а также активным участием микроорганизмов почвы.
Базудин, внесенный в почву, хорошо поглощается корнями растений и передвигается в наземные органы, накапливаясь здесь в инсектицидных количествах. Поэтому препарат защищает всходы культур от вредителей в течение 7-15 дней. Остатков инсектицидов в урожае не бывает. При обработке вегетирующих растений базу- дин обнаруживается в листьях только первые 7-10 дней.
Разложение препарата в растениях идет по двум направлениям: окисление тиофосфата до соответствующего фосфата (диазоксона) с последующим гидролизом Р-X-связи с образованием нетоксичных диэтилфосфорной кислоты и 2-изопропил-4-метил-6-оксипиримидина; окисление боковой изопропиловой группировки кольца с дальнейшим гидролизом Р-Х-связи с разрушением гетероцикла и выделением СО2 .
В рекомендуемых нормах базудин не проявляет фитоцидных свойств. Однако при обработке семян и корней рассады раствором препарата отмечается угнетающее действие на рост коревой системы и проростка. К чувствительным культурам относится салат.
Базудин - контактный и системный инсектицид с непродолжительным защитным действием. Высокотоксичен для личинок двукрылых, имаго и личинок жуков, особенно долгоносиков, различных видов тлей и гусениц подгрызающих совок. Продолжительность защитного действия при опрыскивании растений 7-14 дней. При систематическом применении инсектицида отмечается появление насекомых, устойчивых к фосфорорганическим соединениям. Приобретенная устойчивость объясняется меньшей проницаемостью покровных тканей насекомых и большей активностью ферментов в их организмах. Особенность ферментных систем устойчивых насекомых - их способность окислять 4-метилгруппу гетероцикла базудина до 4-СООН-радикала, что приводит к потере токсичности и облегчает дальнейшее разрушение вещества.
Базудин относится к высокотоксичным для человека и животных веществам (СД50 для крыс 76-130 мг/кг). Проникает через кожу, кумулятивные свойства выражены слабо.
Выпускается в виде 60%-го КЭ, 40%-го СП, 10%-го Г, 50%-го П и 80%-го раствора для УМО.
40%-ный смачивающийся порошок базудина рекомендуется для обработки посевов сахарной свеклы против тлей, долгоносиков, блошек при норме расходе препарата 2,5 кг/га; пшеницы против хлебной жужелицы - 2-2,5; семенников клевера - 2,5-3 кг/га.
60%-ный концентрат эмульсии применяется для борьбы с листовыми тлями на семенниках и промышленных плантациях сахарной свеклы - 0,8 л/га; с долгоносиками и другими вредителями на семенниках люцерны и клевера в фазе бутонизации и образования плодов - 2-3; с хлебной жужелицей на пшенице - 1,5-1,8; с внутристебельными мухами на ячмене - 1,5 л/га.
10%-ный гранулированный препарат при норме расхода 40- 50 кг/га используется для внесения в почву в период отрастания семенников люцерны против комплекса вредителей. Рекомендуется для опытно-производственного применения на сахарной свекле против подгрызающих совок без заделки в почву. Вносится вместе с семенами кукурузы при посеве в условиях юга европейской части РФ против проволочников, для защиты хлопчатника против совок - 40-50 кг/га; в почву при посадке картофеля против проволочников - 15-50 кг/га.
5 %-ный гранулят вносят в почву вместе с семенами озимой пшеницы против личинок хлебной жужелицы при расходе 50 кг/га с семенами кукурузы против проволочников - так же, как и 10 %- ный препарат при той же норме расхода; применяется на капусте против капустной мухи - 20-50 кг/га.
Срок последней обработки пшеницы и капусты за 30 дней, других культур - за 20 дней до уборки. 10 %-ный гранулированный препарат применяется на сахарной свекле не позднее чем за З0 дней до уборки.
Допускаются остатки базудина в капусте, луке, картофеле, хлопковом масле, кукурузе, зерне - 0,1 мг/кг, в томатах, свекле, огурцах - 0,5 мг/кг. Разрешается однократная обработка пшеницы, двукратная - других культур.
В алюминиевой или железной таре со специальным покрытием можно хранить два года.
Остаточное количество определяют ТСХ или ГЖХ.
TMTД (тирам).
Действующее вещество тетраметилтиурамдиcульфид, а по новой номенклатуре - бис-(диметилтиокарбамоил)- дисульфид:

Мелкокристаллический порошок желтовато-серого цвета, температура плавления 155-156°С. Практически нерастворим в воде, но растворим в большинстве органических растворителей. Соединение химически стойкое, не разрушается в кислой и щелочной средах. Устойчиво к воздействию высоких температур. Разрушается сильными окислителями с образованием серной кислоты и углекислого газа, восстановители в щелочной среде переводят тетраметилтиурамдисульфид в соли диметилдитиокарбаминовой кислоты.
Нелетуч, поэтому при работе с ним можно использовать противопылевые респираторы.
ТМТД выпускается в форме 80%-ного смачивающегося порошка. Препарат устойчив при хранении. В виде тонкой взвешенной пыли создает взрывоопасные смеси с воздухом.
ТМТД устойчив к воздействию факторов внешней среды и относится к стойким пестицидам, которые разлагаются в биологических средах до нетоксичных компонентов в течение 0,2-2 лет.
На растениях сохраняется 1-1,5 мес после обработки. В связи с опасностью накопления остатков препарата в урожае применять ТМТД разрешается только для обработки семян и обеззараживания посадочного материала.
Протравливание семян проводят водной суспензией или с увлажнением непосредственно перед посевом или заблаговременно (за несколько месяцев до посева). Семена бобовых культур обрабатывают при нитрогенизации не менее чем за 2 нед до посева.
Нормы расхода 80%-ного препарата для обработки 1 т семян зерновых 1,5-2 кг, сахарной свеклы - 5-6, бобовых - 3-4, льна, подсолнечника - 2-3, огурца, арбуза, дыни - 4-5, томата, капусты - 8, лука-севка и лука-чернушки - 4-5 кг.
ТМТД против головневых заболеваний, особенно пленчатых культур, менее эффективен, чем ртутьсодержащие препараты, но надежно защищает семена от возбудителей плесневений и корневых гнилей. В почве на протравленном зерне сохраняет фунгицидную активность до 30 дней.
Применяют ТМТД в борьбе с фузариозом пшеницы, плесневением семян кукурузы, полиспорозом льна, аскохитозом гороха, корнеедом сахарной свеклы и др.
ТМТД эффективен против болезней маточников корнеплодов и клубней картофеля. Обработку семенников моркови проводят перед укладкой на зимнее хранение и перед высадкой в грунт, норма расхода 6-8 кг/т.
Опудривание препаратом корнеплодов перед закладкой на хранение снижает отходы за период хранения в 1,5-2 раза, повторная обработка весной перед посадкой уменьшает выпады растений на поле в 1,5-4 раза.
Обработка клубней картофеля перед посадкой в норме 2,1- 2,5 кг/т (70 л 3-3,5%-ной суспензии ТМТД на 1 т) уменьшает поврежденность паршой, ризоктониозом, фитофторозом. Для борьбы с болезнями капусты ТМТД применяют для обработки рассады в парниках и рассадниках в количестве 1-1,5 г/м2 . В повышенных нормах препарат обладает репеллентными свойствами для мышей.
ТМТД среднетоксичен для теплокровных животных и человека (СД50 для крыс 400 мг/кг). Обладает выраженным кумулятивным действием, при нанесении на кожу вызывает дерматиты, при попадании в глаза - конъюнктивит, повышает чувствительность к алкоголю, в больших дозах оказывает мутагенное и канцерогенное действие.
Остатки ТМТД во всех пищевых продуктах не допускаются, ПДК в воздухе рабочей зоны 0,5 мг/м3 .
Пиримор (пиримикарб)
Действующее вещество (2-диметиламино-5,6-диметилпиримидин-4-ил)-диметилкарбамат:

Химически чистое соединение-бесцветное кристаллическое вещество без запаха, слабо растворимое в воде и хорошо - в органических растворителях. В водной среде и на обработанных поверхностях быстро разрушается.
Препарат нефитотоксичен, не повреждает цветков, плодов, листьев.
Пиримор - инсектицид контактного, фумигационного и системного действия, высокоэффективен против всех видов тлей и отличается быстротой действия. Системный эффект проявляется при поступлении через корни. При опрыскивании растений инсектицид передвигается только в пределах одного листа. Малотоксичен для пчел и энтомофагов тли (златоглазка, божья коровка), что позволяет применять его на цветущих культурах и в системах интегрированной защиты.
Для человека и теплокровных животных высокотоксичен (СД50 для крыс 111 мг/кг), кожно-резорбтивное, раздражающее и кумулятивные свойства выражены слабо.
Для опытно-производственного применения разрешается 50 %- ный смачивающийся порошок пиримора для борьбы с тлями, особенно устойчивыми к органическим соединениям фосфора, на семенных участках картофеля - 1,5-2 кг/га; на высадках сахарной свеклы - 0,6; на хмеле - 1- 2 кг/га.
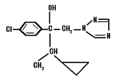
Альто (ципроконазол)
Действующее вещество (2RS,3RS)-1-(1H-1,2,4-триазол-1-ил)-2-(4-хлофенил)-3-циклопропилбутан-2-ол, смесь изомеров ~ 1:1 (Sandoz)

Бесцветное кристаллическое вещество без запаха, температура плавления 106-109°С. Давление пара (20°С) 0,035 мПа. растворимость в воде (22°С) 140 мг/л; в органических растворителях (25°С, в %): в ацетоне > 23, этаноле > 23, ксилоле 12,1. Термо- и фотостабилен.
Выпускается в виде 10- и 40% СП, 5%-го КЭ, 10- и 40%-х Г, 10- и 40%-х ВК.
ЛД50 для крыс 1020-1333 мг/кг. Не раздражает кожу и глаза кроликов. высокотоксичен для водорослей.
Фунгицид с контактным и системным действием для борьбы с комплексом заболеваний пшеницы, ячменя, риса, виноградной лозы, овощных, декоративных, плодовых, косточковых культур, бобовых, сахарной свеклы; особенно эффективен против всех видов ржавчины. Обладает длительным защитным и лечебным действием: продолжительность устойчивого действия против ржавчин более 6 нед. Нормы расхода (в г/га): зерновых бобовых, арахиса - 40-100, для чайных плантаций - 20, для виноградников и декоративных культур - 10-50.
Альто, 40% СК - разрешен для применения (в л/га по препарату) на яровых и озимых (0,1-0,2) и ячмене (0,2-0,25), на ржи, овсе, сахарной свекле (0,15-0,2). Ингибитор биосинтеза эргостерола. В почве малоподвижен.
Стабилен при хранении в нормальных условиях в оригинальной упаковке 2 года.
Фозалон (золон)
Действующее вещество О,О-диэтил-5-(6-хлорбензоксазолинон-2-ил-3-метил)-дитиофосфат:

В чистом виде белое кристаллическое вещество с чесночным запахом, температура плавления 45-47°С, нелетучее, плохо растворимое в воде и хорошо - во многих органических растворителях.
Фозалон относительно устойчив в кислой и нейтральной средах. В щелочной среде быстро протекает его гидролиз по связи Р-Х с образованием диэтилтиофосфорной кислоты, 6-хлорбензоксазоло- на и формальдегида. При действии окислителей фозалон превращается в более токсичный P=О-аналог, который относительно неустойчив и быстро разрушается.
В почве, на листьях и внутри растений фозалон вначале окисляется до P=О-аналога с последующим гидролизом до соответствующих фосфорных кислот и 6-хлорбензоксазолона. Доказано также, что в растении может проходить разрушение молекулы фозалона по N-метилен-связи с образованием N-гликозида-6-хлор-бензоксазолона. В почве остатки его обнаруживались через 18-21 день при внесении препарата 6 кг/га. В растениях он может сохраняться до 30 дней.
Фозалон проникает через кутикулярные слои растений и накапливается в кожуре плодов и кутикуле листьев. Передвижения препарата по растению практически не происходит. После опрыскивания растений не отмечается ожогов листьев древесно-кустарниковой и травянистой растительности.
Фозалон - кишечно-контактный инсектицид и акарицид с высокой начальной токсичностью и продолжительным защитным действием. Обладает глубинным эффектом. Гибель насекомых и их личинок происходит в первые 48 ч после обработки. Продолжительность защитного эффекта в среднем 15-21 день, а иногда до 30 дней.
Препарат высокотоксичен для грызущих насекомых (гусениц плодожорок, листоверток, жуков и их личинок), минирующих и сосущих вредителей, малотоксичен для ложногусениц пилильщиков и пчел. Большое преимущество этого соединения - сохранение высокой эффективности и при низкой температуре воздуха (10-12 °С).
Фозалон высокотоксотен для человека и теплокровных животных (СД50 для крыс при однократном введении через рот 108 мг/кг), обладает слабо выраженными кожно-резорбтивными и кумулятивными свойствами. Препарат быстро разрушается в организме животного до нетоксичных продуктов и не выделяется с молоком матери.
Для применения выпускаются 35 %-ный концентрат эмульсии фозалона (золен) и 30%-ный смачивающийся порошок (бензофосфат). При испытании эти препараты не различались по эффективности, длительности защитного эффекта, по действию на насекомых и растения. Поэтому их следует считать равноценными. Препараты фозалона и бензофосфата рекомендуются в 0,2 %-ной концентрации по препарату для применения на плодовых культурах против яблонной, восточной и грушевой плодожорок, листоверток, американской белой бабочки, кольчатого и непарного шелкопрядов, тлей, медяниц, бурого и боярышникового клещей, щитовок, ложнощитовок и червецов; на цитрусовых культурах против красного цитрусового и серебристого клещей, цитрусовой белокрылки, калифорнийской и японской палочковидной щитовок, цитрусовой ложнощитовки; на виноградниках против двулетней и гроздевой листоверток, паутинного клеща и личинок кокцид; на хмеле против паутинного клеща и тлей. Норма расхода на яблоне и груше 0,7-1,4 кг д.в./га, сливе и вишне- 0,3-1, хмеле - 0,3, виноградной лозе - 0,4-1, цитрусовых 1,4-2,1 кг д.в/га.
На хлопчатнике бензофосфат используется против хлопковой совки и паутинного клеща при норме расхода 0,9-1 кг д.в/га, на картофеле, томате и баклажане - 0,5-0,7, семенниках люцерны против сосущих и грызущих вредителей - 0,5-1, табаке и махорке против тлей, совок и трипсов-0,6-0,7кг д.в/га. На озимой пшенице 35 %-ный концентрат эмульсии используется против серой зерновой совки, лугового мотылька, вредной черепашки, пьявицы и тли - 0,5-0,7 л/га; на сахарной свекле против свекловичного долгоносика и лугового мотылька - 1-1,2; на семенниках клевера против комплекса вредителей - 1; на абрикосе против тлей, листоверток, моли - 0,7-0,84; на персике против восточной плодожорки - 0,84; на ячмене против внутристебельных мух - 0,52; на капусте - 0,5-1 л/га. Для обработки складских помещений до загрузки расходуют его 0,25 г/м3 , а прискладских территорий - 0,5 г/м'. Разрешается опытно-производственное применение 35%-ного концентрата эмульсии на конопле- 1,5-Зл/га, 30%-ного раствора для УМО на сахарной свекле и семенниках клевера - 3 л/га.
На плодовых культурах при обработке фозалоном значительно сокращается численность минирующих вредителей.
Обработки плодовых, цитрусовых культур и виноградников фозалоном следует прекращать не позднее чем за 40 дней до уборки урожая, хмеля - за 20, табака - за 10, остальных культур - за 30 дней. Разрешается двукратная обработка большинства культур; хлопчатника, яблони и груши - четырехкратная, персика - 2-4-кратная. МДУ в продуктах растительного происхождения 0,2 мг/кг.
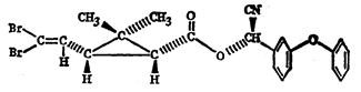
Децис (дельтаметрин)
Действующее вещество [S]-a-циано-3-феноксибензил (1R,цис)-2,2-днметил-3-(2,2-днбромвинил)-циклопропилкарбоксилат:

Белое кристаллическое вещество, t пл. 98-101 ° С. Практически нерастворим в воде, хорошо растворим в ацетоне, этаноле. диоксане и большинстве ароматических углеводородов и их галогенопроизводных. Температура вспышки 42 ° С. тех. продукт выдерживает нагревание при 40 ° С в течении 6 мес. Устойчив на свету.
Единственный пока пиретроидный препарат, содержащий только один изомер.
Дельтаметрин - высокоактивный инсектицид контактного и кишечного действия, защитный эффект 15 дней. Хорошо уничтожает вредителей уже при норме расхода 5 г д.в/га.
Для человека и теплокровных животных высокотоксичен (СД50 для крыс 128-138 мг/кг).
Децис (2,5%-ный концентрат эмульсии) рекомендуется для опытно-производственного применения на хлопчатнике против совок, тлей и белокрылки при норме расхода препарата 0,4-1 кг/ra; на картофеле против колорадского жука - 0,3; на груше против медяницы - 0,6; на яблоне против комплекса вредителей - 0,5-1; на винограде против гроздевой листовертки - 0,4-1,2; на сахарной свекле и подсолнечнике против лугового мотылька - 0,2; на горохе против тли-0,2; на нелистосборных плантациях чая против тли - 3 -4 л/га; для обработки незагруженных складов - 0,2 г/м2 и прискладских территорий - 0,4 г/м2 .
Разрешается четырехкратная обработка хлопчатника и двукратная - остальных культур, срок последней обработки за 20 дней до уборки.
В практических условиях после применения остаточные количества препарата не превышают 0,15 мг/кг. При обычном опрыскивании растений рекомендуемая норма расхода жидкости от 1000 до 1500 л/га.
В таре с антикоррозионным покрытием можно хранить 2 года.
Остаточные количества определяют ГЖХ.
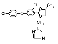
Скор (дифеноконазол)
Действующее вещество цис,транс -4-[4-Метил-2-(1H-1,2,4-триазол-1-илметил)-1,3-диоксолан-2-ил]-3-хлорфенил-4-хлофениловый эфир, соотношение изомеров цис-транс 45:55 (Ciba-Geigy).

Белое кристаллическое вещество, t пл. 76°С. Давление пара (20°С) 1,2×10-7 . Растворимость в воде 5 мг/мл, хорошо растворим в большинстве органических растворителей. Стабилен до 300 ° С.
Выпускается в виде КЭ, СП, ВДГ.
ЛД50 1453 мг/кг. Не раздражает кожу и глаза кроликов. Практически не токсичен для птиц, земляных червей. Токсичен для рыб (в лабораторных опытах).
Системный фунгицид и протравитель семян. Обладает длительным защитным и лечебным действием при нормах расхода 30-250 г/га против широкого круга растительных патогенов из классов аскомицетов, базидиомицетов, дейтеромицетов. При обработке семян зерновых норма расхода 60 г/100 кг семян.
Скор, КЭ, 25%, разрешен для борьбы с паршой и мучнистой росой яблони при норме расхода по препарату 0,15 л/га.
Раундап (глифосат)
N-фосфонометилглицин (Monsanto).
(НО)2 POCH2 NHCH2 COOH
Белое кристаллическое вещество, t разл. 230°С. растворимость в воде (25 °С) 12 г/л, плохо растворим в большинстве органических растворителей. С органическими основаниями образует соли, хорошо растворимые в воде.
Выпускается в виде 36%-го (по кислоте) ВР соли с изопропиламином и 50% СП.
ЛД50 для крыс 4900 мг/кг. Не кумулируется в тканях животных и не раздражает кожу. Меры предосторожности как с малотоксичными пестицидами, но следует избегать попадания растворов препарата на слизистые глаз.
Малотоксичен для пчел и других полезных насекомых. СК50 (в мг/л) для различных пород рыб 19,5-125 (24-48 ч), для крабов и устриц 280-934.
Применяется в качестве избирательного и сплошного гербицида для борьбы с одно- и многолетними сорными растениями, в частности, активен против пырея ползучего, вьюнка, мышея и ряда других сорняков при применении в вегетацию. Обладает системным действием и способен передвигаться по растению, попадая из надземной части в корни. Нормы расхода 0,65-6 кг/га. Глифосат лучше всего применять по стерне или в парах для обработки сорных растений во время вегетации. На семена не действует. Применяется в полях, предназначенных под посев кукурузы, зерновых яровых и овощных культур, подсолнечника, рапса, клещевины, сои, хлопчатника, многолетних злаковых трав на семена, однолетних цветочных культур, арбузов, после уборки урожая на плантациях мяты, лаванды (4 кг/га). Разрешена также предуборочная обработка посевов зерновых (за 2 нед до уборки при влажности зерна не более 30%) для подсушивания зерна и частичного подавления роста сорных растений (норма расхода 3 л 36%-го ВР на га). При минимальных нормах расхода (0,65 кг/га) сравнительно недолго сохраняется в почве, и через 2-4 недели обработанные участки могут засеваться злаковыми культурами. Возможно использование глифосата в посадках плодовых, цитрусовых культур и виноградниках при опрыскивании вегетирующих сорных растений весной или летом (при условии защиты культуры).
ВР соли глифосата с изопропиламином при хранении корродоруют различные металлы, в связи с чем их хранение возможно только в металлической таре со специальным антикоррозионным покрытием или в полиэтиленовой таре.
Получают при реакции глицина с хлорметилфосфоновой кислотой в присутствии акцепторов хлорида водорода.
Пивот (имазетапир)
Действующее вещество 2-(4-Изопропил-4-метил-5-ооксоимидазолинил-2)никотиновой кислоты соль с изопропиламином (American Cyanamid).

Белое кристаллическое вещество, t пл. 128-130 °С. Растворимость в воде (25 °С)~62%. Т0,5 в дистиллированной воде 6 дн. (для кислоты).
Выпускается в виде 20 и 25%-х ВР.
ЛД50 для тех. свободной кислоты > 5000 мг/кг, для тех. соли > 10000 мг/кг. ЛД50 дерм. для кроликов > 2000 мг/кг (для кислоты). Слегка раздражает кожу и глаза кроликов. Малотоксичен для пчел.
Пред- и послевсходовый гербицид, эффективный против многих одно- и многолетних злаковых и широколистных (включая древесные виды) растений на объектах несельскохозяйственного назначения (индустриальных площадях, обочинах шоссейных дорог, железных дорогах) при нормах расхода 0,25-1,5 кг/га. Передвижение в почве ограничено. Биологическая активность сохраняется в почве от 3-х мес. до 1 г.
На сегодняшний день среди гербицидов, разрешенных для применения на посевах бобовых культур, пивот занимает одно из ведущих мест по биологической и хозяйственной эффективности, о чём свидетельствуют испытания, проводимые в различных почвенно-климатических зонах России. По результатам этих полевых опытов можно сделать вывод, что пивот нисколько не уступает эталонным препаратам (базагран, стомп и другие), а в большинстве случаев превосходит их по снижению засорённости посевов сои и гороха, а также прибавке урожая.
Общая потребность в используемых пестицидах
Таблица 8 Общая потребность в пестицидах
| Наименование пестицидов | Содержание д.в., % | Объем работ с учетом кратности обработок | Потребность | |
| по д.в. | по препарату | |||
| Диазинон, | 10 | 70 га | 140 л | 1400 л |
| Пиримикарб | 25 | 70 га | 8,75 л | 35 л |
| Золон | 35 | 25 га | 26,25 л | 75 л |
| Дельтамтрин | 2,5 | 25 га | 0,46875 л | 18,75 л |
| Тирам | 80 | 280 т | 515,2 кг | 644 кг |
| Ципроконазол | 40 | 140 га | 5,6 л | 14 л |
| Дифеноконазол | 25 | 100 га | 5 л | 20 л |
| Глифосат | 36 | 70 га | 63 л | 175 л |
| Имазетапир | 10 | 70 га | 4,2 л | 42 л |
КАЛЕНДАРНЫЙ ПЛАН МЕРОПРИЯТИЙ
См. приложение, таблица 5
МЕРЫ ЛИЧНОЙ И ОБЩЕСТВЕННОЙ БЕЗОПАСНОСТИ
См. приложение, таблица 6
Все работы, связанные с обработкой сельскохозяйственных культур пестицидами, проводятся под руководством специалиста по защите растений высшей или средней квалификации. Непосредственные организаторы работ (техники, бригадиры, звеньевые) подбираются из лиц, имеющих опыт работы и специальное образование или, курсовую подготовку.
Ответственность за охрану труда возлагается на руководителей хозяйств и организаций, применяющих химические средства защиты растений.
К работе с пестицидами допускаются лица, достигшие 18 лет, прошедшие медицинский осмотр и инструктаж о мерах предосторожности и получившие наряд-допуск.
К работам с пестицидами не допускаются подростки, кормящие матери и беременные женщины, а также лица, имеющие медицинские противопоказания. Лица, постоянно работающие с пестицидами, подлежат периодическим медицинским осмотрам.
При работах с сильнодействующими и высокотоксичными веществами при протравливании семян, фумигации, приготовлении отравленных приманок, обработке складских помещений, теплиц, при использовании фосфорорганических соединений и препаратов ртути продолжительность рабочего дня 4 ч, а при других работах с пестицидами - 6 ч. Остальное рабочее время используется на работах, не связанных с пестицидами. В дни работ с пестицидами работающие обеспечиваются спецпитанием - молоком.
Организация, ответственная за проведение работ, обеспечивает всех работающих спецодеждой и индивидуальными средствами защиты. На рабочих местах устанавливают аптечки.
Меры безопасности при использовании химических средств защиты направлены на предотвращение отравления работающих лиц, загрязнения окружающей среды, контакта с пестицидами посторонних лиц, животных. Химические обработки посевов проводятся только после предварительного обследования и установления целесообразности их специалистами по защите растений.
Во всех случаях применения пестицидов руководитель работ должен заблаговременно (не менее чем за 2 суток) поставить в известность администрацию хозяйства, в котором проводятся работы, руководство соседних хозяйств, население о сроках и характере проводимых мероприятий и мерах предосторожности.
Все работы проводят только механизированным способом, в утренние и вечерние часы, а в пасмурную погоду и днем. Нельзя вести обработку перед дождем или когда он идет.
Следует строго контролировать нормы расхода пестицидов и сроки обработок.
Для приготовления рабочих составов должны быть специально оборудованные заправочные площадки, снабженные всем необходимым.
Приготовление рабочих жидкостей и заполнение резервуаров опрыскивателей сильнодействующими и высокотоксичными пестицидами должны быть полностью механизированы. Запрещено изготовление дустов непосредственно в хозяйствах. Чтобы предупредить засорение наконечников машин, рабочие составы в баки заливают через фильтры.
Лица, занимающиеся приготовлением рабочих составов и участвующие непосредственно в процессах опыливания и опрыскивания пестицидами, должны быть снабжены индивидуальными средствами защиты. При работе надо следить, чтобы факел распыла не направлялся током воздуха в сторону работающих.
После завершения работ вся аппаратура должна быть вычищена, промыта содовым раствором и водой, высушена и сдана на склад.
Выпас скота на обработанных участках и на участках в радиусе 300 м от границ обработанных площадей разрешается не ранее чем через 25 дней после опыливания или опрыскивания (для особо токсичных и стойких пестицидов этот срок больше и указывается в специальных инструкциях). Запрещается скармливать скоту сорняки, выполотые с обработанных полей.
ЗАКЛЮЧЕНИЕ
Широкое признание получило представление о том, что для создания на полях оптимальной фитосанитарной обстановки необходимо сочетание, или интегрирование химического, биологического, агротехнического и других методов защиты растений с целью регуляции (но не полного уничтожения) численности комплекса вредных видов на уровне, допустимом с точки зрения экономики, и с учетом складывающейся экологической обстановки. При этом решение о необходимости или нецелесообразности применения истребительных мероприятий должно приниматься с учетом наличия и численности паразитов, хищников и других факторов, сдерживающих размножение вредных организмов. Такая практика получила название интегрированной борьбы, или интегрированной защиты растений. Использование ИПВ дает значительную экономию пестицидов и позволяет получить дополнительную прибыль. Одновременно уменьшается губительное влияние на фауну.
СПИСОК ИСПОЛЬЗОВАННОЙ ЛИТЕРАТУРЫ
1. Баздырев И.Г. Сорные растения и меры борьбы с ними в современном земледелии. - М.: Издательство МСХА, 1995
2. Груздев Г.С.(ред.) Практикум по химической защите растений. - М.: Колос, 1992
3. Мельников Н.Н., Новожилов К.В., Белан С.Р. Пестициды и регуляторы роста растений. - М.: Химия, 1995. - 576 с.: ил.
4. Мигулин А.А. и др. Сельскохозяйственная энтомология. - М.: Колос, 1976.
5. Пересыпкин В.Ф. Сельскохозяйственная фитопатология. - М.: Агропромиздат, 1989.
6. Попкова К.В. Общая фитопатология. - М.: Агропромиздат, 1989. - 399 с.
7. Справочник пестицидов и агрохимикатов, разрешенных к применению в Российской Федерации. - М.: Издательство Агрорус, 1999
8. Стройков Ю.М., Шкаликов В.А. Защита сельскохозяйственных культур от болезней. - М.: Издательство МСХА, 1998
[1] Данный раздел излагается без деления описания сорных растений по засоряемым культурам
[2] Сравнительная характеристика препаратов против вредных объектов - см. приложение, таблицы 1-3
Похожие рефераты:
Сортоиспытание люпина узколистного в условиях северной лесостепи Челябинской области
Разработка технологии возделывания пивоваренного ячменя в хозяйстве
Интегрированная система защиты посевов ярового рапса в хозяйстве
Методика защиты сельскохозяйственных культур
Обоснование системы мероприятий по защите лугового клевера
Абиотические процессы и животные республики Татарстан
Система мероприятий по защите вики посевной от вредителей, болезней и сорняков
Изучение рынка декоративных комнатных растений города Самары
Строение, химический состав плодов и овощей
Экологическая оценка состояния популяции редкого вида Касатика (Ириса) карликового