| Скачать .docx |
Реферат: Монополизм в российской экономике исторические корни, механизм преодоления
ФЕДЕРАЛЬНОЕ АГЕНТСТВО ПО ОБРАЗОВАНИЮ
ГОСУДАРСТВЕННОЕ ОБРАЗОВАТЕЛЬНОЕ УЧРЕЖДЕНИЕ
ВЫСШЕГО ПРОФЕССИОНАЛЬНОГО ОБРАЗОВАНИЯ
УЛЬЯНОВСКИЙ ГОСУДАРСТВЕННЫЙ УНИВЕРСИТЕТ
Факультет управления
КУРСОВАЯ РАБОТА
на тему:
Монополизм в российской экономике: исторические корни, механизм преодоления.
| Выполнила: студентка группы ЭУТ – 11 Нетфуллова Венера Амировна |
| Научный руководитель: Решетова Лиля Владимировна |
|
|
лист |
| Введение Глава 1. Монополия. Теоретический аспект 1.1. Сущность монополии 1.2. Виды монополий 1.3. Причины существования монополий 1.4. Исторические корни монополизма в российской экономике Глава 2. Рыночная власть в России и за рубежом 1.1. Методы определения рыночной власти 1.2. Положение в современной России Глава 3. Механизмы борьбы с монополизмом 1.1. Основные механизмы антимонопольной политики 1.2. Антимонопольное регулирование в современной России 1.3. Зарубежный опыт проведения антимонопольной политики 1.4. Направления совершенствования антимонопольной политики в России Заключение
Литература |
3 5 6 10 12 17 20 27 30 37 41 43 44 |
Введение
Проблема монополизма в экономике вызывает интерес на протяжении почти всего двадцатого столетия. Эта тема была и останется актуальной до тех пор, пока существуют мировые экономические гиганты, прочно занимающие монополистическое место в производстве.
Любое крупное предприятие или группировка склонна воспользоваться выгодами от своего положения на рынке и тяготеет к установлению диктата цен, рассматривая это как один из эффективных способов экономической политики. Источниками монополии могут быть как крупное, так и среднее предприятие или государство. Не всякий процесс концентрации или централизации в едет к образованию монополий, по сути, в сегодняшних условиях нельзя говорить о существовании монополии в чистом виде, но в то же время находит отражение практика монопольного поведения предприятий.
С одной стороны, монополии ограничивают выпуск продукции и устанавливают более высокие цены в силу своего монопольного положения на рынке, что вызывает нерациональное распределение ресурсов и обусловливает усиление неравенства доходов. Далеко не всегда фирмы-монополисты используют в полной мере свои возможности для обеспечения роста научно-экономического потенциала. Дело в том, что вследствие существования ограничений для вступления в отрасль монополии не имеют достаточных стимулов для повышения эффективности за счет НТП, так как нет конкуренции. С другой стороны, существуют весомые аргументы в пользу монополий. Продукция монополистических компаний обычно отличается высоким качеством, что и позволило им завоевать господствующее положение на рынке. Монополизация воздействует на повышение эффективности производства: только крупная фирма обладает достаточными средствами для успешного проведения исследований и разработок.
Вместе с тем, не следует преувеличивать роль монополий в обеспечении НИОКР (научных исследований и опытно-конструкторских разработок). Практика свидетельствует, что многие крупные открытия в технике осуществляются сравнительно небольшими компаниями. На этой основе подчас возникают крупные фирмы.
Кроме того, крупные масштабы производства позволяют снижать издержки и в целом экономить ресурсы.
Монополизация хозяйственных отношений относится к числу центральных проблем функционирования экономики любого государства. В России процесс создания государственного контроля по недопущению недобросовестной конкуренции фактически начался с нуля, так как присутствующая в еще совсем недавно в управлении экономикой командно-административная система по своей сути исключала наличие свободной конкуренции в хозяйственной деятельности.
В своей курсовой работе я рассмотрела историю развития монополизма в нашей стране, ведь чтобы сейчас разобраться в этой проблеме, нужно узнать как и с чего всё начиналось.
Глава 1.
Монополия. Теоретический аспект
Сущность монополии
Монополия – это крупные хозяйственные объединения, находящиеся в частной собственности (индивидуальной, групповой или акционерной) и осуществляющие контроль над отраслями, рынками и экономикой на основе высокой степени концентрации производства и капитала с целью установления монопольных цен и извлечения монопольных прибылей. Господство в экономике служит основой того влияния, которое монополии оказывают на все сферы жизни страны.[1]
Если обратить внимание на монополистические образования в промышленном производстве, то это отдельные крупные предприятия, объединения предприятий, хозяйственные товарищества, которые производят значительное количество продукции определенного вида, благодаря чему занимают доминирующее положение на рынке; они получают возможность влиять на процесс ценообразования, добиваясь наиболее выгодных для себя цен; получают более высокие (так называемые монопольные) прибыли.
А это значит, что главным признаком монопольного образования (монополии) является занятие монопольного положения. Последнее определяется как доминирующее положение предпринимателя, которое дает ему возможность самостоятельно или вместе с другими предпринимателями ограничивать конкуренцию на рынке определенного товара.
Монопольное положение является желанным для каждого предпринимателя или предприятия, т.к. оно позволяет избежать множество проблем и рисков, которые связаны с конкуренцией: занять привилегированную позицию на рынке; влиять на других участников рынка, навязывать им свои условия.
Рынок, на котором господствует монополия, представляет собой полную противоположность конкурентному рынку, где имеется много конкурентов, предлагающих для продажи стандартизированные товары.
1.2.
Виды монополий.
Низшими формами монополизации экономики являлись временные соглашения о ценах – их участники обязывались в течение определённого периода продавать свои товары по единым ценам (такие соглашения именовались конвенциями, пулами, рингами).
Такие соглашения могут возникать и сегодня. Но основными формами монополизации экономики выступают картели, синдикаты, тресты и концерны.
Картель – это объединение ряда предприятий одной отрасли производства, при котором его участники, сохраняя свою собственность на средства и результаты производства, вступая между собой в длительные соглашения об установлении единых цен, о делении рынков по потребителям и продукции и т. п.
Синдикат – это объединение предприятий одной отрасли, при котором собственность на средства производства сохраняется за участниками соглашения, а произведенная продукция является собственностью всего синдиката (т. е. сохраняется производственная самостоятельность участников синдиката, но утрачивается их коммерческая самостоятельность).
Трест – это объединение ряда предприятий одной или нескольких отраслей промышленности, участники которого теряют собственность на средства производства и произведенный продукт (производственную и коммерческую самостоятельность). То есть объединяются производство, сбыт, финансы, управление, а на сумму вложенного капитала собственники отдельных предприятий получают акции треста, которые дают им право принимать участие в управлении и присваивать соответствующую часть прибыли треста.
Концерн – корпорация, возникающая на основе акционерного капитала (или капитала общества с ограниченной ответственностью) и объединяющая под эгидой головной компании («холдинга») формально независимые предприятия путем установления финансового контроля над ними.
Многоотраслевой концерн — это объединение десятков и даже сотен предприятий различных отраслей промышленности, транспорта, торговли, участники которого теряют собственность на средства производства и произведенный продукт, а главная фирма осуществляет над другими участниками объединения финансовый контроль.[2]
Существуют разные виды монополий, которые можно классифицировать на три основных: естественная, административная и экономическая .
1. Естественная монополия возникает вследствие объективных причин.
Она отражает ситуацию, когда спрос на данный товар в лучшей степени удовлетворяется одной или несколькими фирмами. В ее основе – особенности технологий производства и обслуживания потребителей. Здесь конкуренция невозможна или нежелательна.
Как известно, наиболее эффективной организацией экономики, многими крупными учеными и политиками признается конкурентный рынок. Однако в силу большого числа разнородных социально-экономических факторов совершенная конкуренция не является естественным состоянием рынков. Более того, функционирование ряда отраслей общественного производства на конкурентной основе невозможно или не эффективно, то есть естественной для них становится высокая степень монополизации. Классическими примерами естественных на федеральном уровне являются передача электроэнергии, нефти и газа, железнодорожные перевозки, а также отдельные подотрасли связи, а на региональном уровне - коммунальные услуги, включая теплоснабжение, канализацию, водоснабжение и т.д. Следует заметить, что во многих странах в последние годы сфера и масштабы государственного регулирования существенно сократились как в связи с технологическими нововведениями, так и в результате появления новых подходов к формированию и регулированию соответствующих рынков.
Естественная монополия в промышленном производстве представляет собой случай, когда для общества в целом монополистическая организация производства и реализации продукции экономически более предпочтительна, чем создание конкурирующих между собой предприятий. Основной причиной возникновения и сохранения естественных монополий в сфере производственной деятельности является наличие в ряде отраслей исключительно высокой отдачи от масштаба производства одним предприятием вследствие определенных технологических особенностей.
Отличительная особенность таких отраслей - использование сетевых структур (трубопроводный транспорт, системы водоснабжения, линии электропередачи, железнодорожные пути и т.д.). Подобная организация производства требует больших капитальных вложений, не доступных для мелких и средних инвесторов, и предусматривает значительные постоянные издержки. Поэтому необходимым условием их существования является возможность экономии на масштабах, достижение таких объемов производства, при которых происходит достаточное снижение удельных издержек на единицу продукции. Кроме того, активы воплощенные в проложенных железных дорогах, телефонных линиях связи, трубопроводах и т.п. исключительно специфичны, имеют ограниченные рамки применимости и не могут быть легко переориентированы на другие рынки. Это определяет эффективность сосредоточения выпуска у единственного производителя.
В случае рынка электрической и тепловой энергии это подразумевает, что энергоснабжение потребителей обеспечивается с достаточной степенью надежности. В электроэнергетике высокая отдача от масштабов производства связана с высокой фондоёмкостью, уровнем концентрации мощностей и централизации управления технологическими процессами.
2. Административная монополия возникает вследствие действий государственных органов. С одной стороны, это предоставление отдельным фирмам исключительного права на выполнение определенного рода деятельности. С другой стороны, это организационные структуры для государственных предприятий, когда они объединяются и подчиняются разным главкам, министерствам, ассоциациям. Здесь, как правило, группируются предприятия одной отрасли. Они выступают на рынке, как один хозяйственный субъект и между ними не существует конкуренции. Экономика бывшего Советского Союза принадлежала к наиболее монополизированной в мире. Доминирующей там была именно административная монополия, прежде всего монополия всесильных министерств и ведомств. Более того, существовала абсолютная монополия государства на организацию и управление экономикой, которая основывалась на господствующей государственной собственности на средства производства.
3. Экономическая монополия является наиболее распространенной. Ее появление обусловлено экономическими причинами, она развивается на основе закономерностей хозяйственного развития. Речь идет о предпринимателях, которые сумели завоевать монопольное положение на рынке. К нему ведут два пути. Первый заключается в успешном развитии предприятия, постоянном увеличении его масштабов путем концентрации капитала. Второй (более быстрый) основывается на процессах централизации капиталов, то есть на добровольном объединении или поглощении победителями банкротов. Тем или иным путем или при помощи обоих, предприятие достигает таких масштабов, когда начинает доминировать на рынке. [3]
Если в отраслевом рынке имеется достаточно большое число фирм, продающих дифференцированную продукцию и осуществляющих ценовой контроль над продажной ценой производимых ими товаров , то такой тип рынка называется монополистической конкуренцией .
Монополистическая конкуренция — распространённый тип рынка, наиболее близкий к совершенной конкуренции. Возможность для отдельной фирмы контролировать цену здесь незначительная.
Рынки с монополистической конкуренцией имеют следующие отличительные характеристики: большое количество производителей и потребителей на представленном рыночном сегменте; потребители ориентируются на неценовые различия между продуктами конкурентов; малое количество барьеров для входа и выхода из рынка; малая возможность у производителей влиять на цены.[4]
Сходные характеристики имеют и олигополистические рынки. Олигополия - это рыночная форма, в которой на рынке доминирует небольшое количество продавцов (олигополистов). Так как на рынке находится небольшое количество участников, каждый олигополист должен принимать во внимание действия других участников. Решение каждой фирмы влияет на ситуацию на рынке, и одновременно зависит от решений других фирм. Принимая решение, фирма-олигополист всегда учитывает возможную реакцию других участников рынка. По этой причине, на олигополистическом рынке весьма велика возможность сговора. Доля каждого участника олигополистического рынка более 10 %.[5]
1.3.
Причины существования монополий
Есть несколько причин существования монополий.
Первая : “естественная монополия”. Если производство любого объема продукции одной фирмой обходится дешевле, чем его производство двумя или более фирмами, то говорят, что отрасль является естественной монополией. И причина здесь – экономия от масштаба – чем больше произведено продукции, тем меньше ее стоимость.
Вторая причина : одна-единственная фирма обладает контролем над некоторыми редкими и чрезвычайно важными ресурсами или в виде сырья, или в виде знаний, защищенных патентом. Пример: фирма “Ксерокс” контролировала процесс изготовления копий, называемый ксерографией, потому что она обладала знаниями в области технологий, в ряде случаев защищенных патентами.
Третья причина : государственное ограничение. Монополии существуют, так как они покупают или им предоставляется исключительное право на продажу некоего блага. В некоторых случаях государство оставляет за собой право на монополию; в ряде стран только государственные монополии могут продавать табак.
По поводу возникновения монополий существуют и две другие точки зрения. По первой монополизм трактуется как случайный, не свойственный рыночному хозяйству. Что касается другой точки зрения, то монополистические образования определяются как закономерные. Один из предпочитателей таких взглядов – английский экономист А. Пигу. Он настаивает на том, что «монополистическая власть не возникает случайно». Она является логическим завершением стратегии предприятий. Еще сформулированный А. Смитом принцип экономической выгоды заставляет предприятия постоянно искать возможности увеличения своих прибылей. Одной из них, наиболее притягательной и надежной, является создание или достижение монопольного положения. Таким образом, можно сделать вывод, что монополистические тенденции в экономике вытекают из закона максимизации прибыли.
Иной движущей силой действий предпринимателей в этом направлении является закон концентрации производства и капитала. Как известно, действие этого закона наблюдается на всех этапах развития рыночных отношений. Его двигателем является конкурентная борьба. Чтобы выжить в такой борьбе, получить большие прибыли, предприниматели вынуждены вводить новую технику, увеличивать масштабы производства. При этом из массы средних и малых предприятий отделяется несколько более крупных. Когда это происходит, у крупнейших предпринимателей возникает альтернатива: или продолжать между собой убыточную конкурентную борьбу, или прийти к соглашению относительно масштабов производства, цен, рынков сбыта и т.д. Как правило, они выбирают второй вариант, который приводит к появлению сговора между ними, что является одним из основных признаков монополизации экономики. Таким образом, напрашивается вывод, что появление предприятий-монополистов обусловлено прогрессом производительных сил, реализацией преимуществ крупного предприятия над малым.[6]
1.4.
Исторические корни монополизма в российской экономике.
Первые монополии в России образовались в 80-х годах 19 века (Союз рельсовых фабрикантов и др.). Своеобразие их развития заключалось в непосредственном вмешательстве государственных органов в создание и деятельность монополий в отраслях, обеспечивавших нужды государственного хозяйства, или имевших особое значение в его системе (такие, как металлургия, транспорт, машиностроение, нефтяная и сахарная промышленность). Это привело к раннему возникновению государственно-монополистических тенденций. В 80-90 годах действовало не менее 50 различных союзов и соглашений в промышленности и на водном транспорте. Монополистическая концентрация происходила и в банковском деле. Ускоряющее воздействие на процесс монополизации оказал иностранный капитал. До начала 20 века роль монополий в экономике была не очень велика. Решающее воздействие на их развитие оказал экономический кризис 1900-1903 г.г. Монополии постепенно охватывали важнейшие отрасли промышленности и чаще всего образовывались в виде картелей и синдикатов. Возникали и объединения трестовского типа (Товарищество «Бр.Нобель», ниточный трест и др.). Отсутствие законодательных и административных норм, регулирующих порядок оформления и деятельности монополий, делало возможным использование против них государством законодательства формально запрещавшего деятельность монополий. Это привело к распространению официально не регистрируемых монополий, часть которых, тем не менее, действовала с согласия и при прямой поддержке правительства («Продпаравоз», военно-промышленные монополии). Нелегальное положение создавало неудобства (ограничение коммерческой и юридической деятельности) и поэтому они стремились к правовой легализации, используя разрешенные формы промышленных объединений. Многие крупные синдикаты – «Продамет», «Продуголь», «Продвагон», «Кровля», «Медь», «Проволока», РОСТ и др. – по форме были акционерными предприятиями, действительные цели и деятельность которых определялись особыми негласными договорами. Нередко одни и те же предприятия участвовали одновременно в нескольких соглашениях.
В период промышленного подъема (1910-1914г.г.) происходил дальнейший рост монополий. Число торговых и промышленных картелей и синдикатов составило 150-200. В банковские монополии превратились многие крупнейшие банки, проникновение которых в промышленность, наряду с процессами концентрации и комбинирования производства, способствовало укреплению и развитию трестов, концернов и т.п. (Русская нефтяная генеральная корпорация, «Треугольник», «Коломна-Сормово», «Россуд-Новаль», военно-промышленная группа Русско-Азиатского банка и др.).
Уровень концентрации сбыта и производства монополий был неравномерен. Особенно интенсивно процесс монополизации проходил в нефтяной промышленности. Менее интенсивно проходила монополизация легкой промышленности. В 1910г. возник синдикат суконных фабрикантов, 1912г. - синдикат льнопромышленников. В 1912 - 1913 гг. были образованы табачный и спичечный синдикаты. В пищевой промышленности важнейшее место занимал синдикат сахарозаводчиков. Монополизируется транспорт, главным образом водный. В речном и морском транспорте преобладали не синдикаты, как в промышленности, а тресты.
Тому, что российские монополии возникали преимущественно в форме синдикатов, способствовали покровительственные пошлины, которыми был защищен русский рынок . Цены на импортные товары здесь были повышенными что позволяло соответственно повысить цены и на русские товары .
В целом политика монополий приносила ущерб хозяйству страны. Монополии в России начали оказывать давление на государство, подкупая правительственных чиновников. Особенно тесные связи между государством и промышленной буржуазией наблюдались в военно-промышленном комплексе: треть государственных расходов накануне мировой войны составляли военные расходы , отчего казна терпела огромные убытки.
В годы войны 1914-18 г.г. в России прекратилась деятельность ряда локальных монополий, но в целом война увеличила число монополий и их мощь. Возникли крупнейшие концерны Второва, Путилова-Стахеева, Батолина, бр.Рябушинских. Особенно развивались монополии связанные с военным производством. Российский монополистический капитализм существовал на основе сращивания монополий с государственными органами (металлургический комбинат, Джутовый синдикат и др.), а также в форме «принудительных объединений» по инициативе и при участии правительства (организации Ванкова, Ипатьева, Киевская организация производства колючей проволоки и др.). Монополии были ликвидированы в результате октябрьской революции в ходе национализации промышленности и банков. [7]
Социалистическая экономика представляла собой единый народнохозяйственный комплекс, в котором каждое предприятие не было вполне автономно, а являлось составной частью общегосударственной структуры. Внутри экономики СССР существовал монополизм центральных ведомств, министерств и предприятий, которые не были независимыми хозяйственными субъектами. Жизненно важные параметры их деятельности устанавливали такие предприятия, как Госплан, Госснаб и Госкомцен. При этом удовлетворение потребности всей страны в том или ином виде продукта часто всего поручалось всего одному-двум заводам.
Причины для концентрации такого типа:
1. Большое значение имело стремление использовать положительный эффект масштаба производства. Но это стремление было заметно гиперболизировано (из-за искусственной заниженности цен на энергию, сырьё и транспорт вполне рентабельными выглядели проекты даже нерационально крупных заводов- сырьё для них привозилось за тысячи километров, а готовая продукция распространялась по всей территории Советского Союза).
2. Другая причина была связана с удобством централизованного управления крупными предприятиями. Когда все важнейшие решения по развитию экономики страны принимаются общенациональнымиплановыми органами, управляемость хозяйства находится в обратной пропорциональной зависимости от количества производственных единиц.
В итоге советские монополисты были очень узко специализированы, к примеру: один завод выпускал только тяжёлые вертолёты (Роствертол), другой – только автомобили высокой проходимости (УАЗ). При этом прекращение работы хотя бы одного из подобных предприятий было фактически смертельно для советской экономики из-за минимальности или фактически отсутствия дублирования. Так, в конце 80-х годов более 1100 предприятий были полными монополистами в производстве своей продукции. Ещё чаще встречалась ситуация, когда число производителей по всему Советскому Союзу не превышало 2-3 заводов. Всего из 327 товарных групп, выпускавшихся промышленностью страны, 290 (то есть 89 %) было подвержено сильной монополизации.
Так же советской экономике была свойственна непропорционально высокая доля крупных и крупнейших предприятий и чрезвычайно малая доля мелких и средних по сравнению с развитыми странами. В СССР в 1987 г. на одно промышленное предприятие приходилось в среднем 813 рабочих мест, в Венгрии - 186, в Западной Европе - 86. Наиболее высокой была концентрация производства в металлургии, машиностроении, химической и текстильной отраслях. Завышенные цены, плохое качество товара или устаревший ассортимент мало сказывались на изменении спроса в условиях постоянного дефицита и отсутствия выбора поставщиков.
В результате начала рыночных реформ в России, монополистические тенденции резко усилились. Это усиление было во многом связано с распадом СССР и с ослаблением экономических связей с бывшими союзными республиками. К прежним монополистам добавились новые, а именно предприятия, не являвшиеся единственными производителями в рамках СССР, но ставшие таковыми на сократившейся территории.
Стало очевидно, что нужно разрабатывать механизмы борьбы с монополизмом, однако в ходе перестройки 1985-1991 гг. вопросы антимонопольной политики так и не вошли в число приоритетных направлений экономических реформ. [8]
Глава 2.
Рыночная власть в России и за рубежом
1.1.
Методы определения рыночной власти
При анализе структуры рынка часто используются количественные методы ее оценки. Рассмотрим несколько наиболее известных из них.
Пороговая доля рынка
Российским законодательством установлен простейший количественный критерий для отнесения того или иного предприятия к категории предприятий-монополистов или занимающих доминирующее положение на рынке -превышение пороговой доли на данном торговом рынке. Превышающие эту долю предприятия включаются в Государственный реестр предприятий-монополистов.
Индекс концентрации
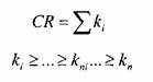
Пороговая доля рынка как характеристика рыночной структуры имеет тот недостаток, что она применяется (особенно в ее отечественной интерпретации) к отдельному предприятию и по сути не дает характеристики структуры рынка данного товара в целом. Этого недостатка до определенной степени лишен индекс концентрации (CR), характеризующий долю нескольких, скажем, 3, 4, 8, 12 крупнейших фирм в общем объеме рынка в процентах. Считается, что если индекс концентрации приближается к 100, то рынок характеризуется высокой степенью монополизации, если же он немногим выше нуля, то его можно рассматривать как конкурентный:

Индекс концентрации для крупнейших из общего числа компаний, выпускающих данный товар, рассчитывается как сумма рыночных долей этих компаний:

При расчете индекса концентрации не учитывается доля рынка, покрываемая за счет импорта, и рассчитывается он лишь для отечественных поставщиков.
Тем не менее, этот индекс остается приемлемым грубым индикатором, характеризующим наличие (или отсутствие) в отрасли небольшого числа доминирующих фирм, что отличает олигополию от совершенной и монополистической конкуренции. Так, в американском машиностроении, где функционирует около 16 тыс. самостоятельных фирм, индекс концентрации по четырем фирмам составляет лишь 2 %. Это самый низкий отраслевой индекс. В этой отрасли рынок характеризуется монополистической конкуренцией.
Индекс Херфиндаля-Хиршмана
Недостатки, присущие индексу концентрации, критика его использования при проведении антимонопольной политики привели к тому, что в июне 1982 г. Департамент юстиции США официально отказался от этого показателя и принял в качестве главной характеристики структуры рынка индекс Херфиндаля-Хиршмана (IHH).
IHH можно рассматривать также как показатель концентрации, однако он характеризует не долю рынка, контролируемую несколькими крупнейшими компаниями, а распределение «рыночной власти» между всеми субъектами данного рынка.
IHH рассчитывается как сумма квадратов рыночных долей (в процентах) всех субъектов рынка в общем его объеме:

Максимальное значение, которое может принимать IHH, соответствует ситуации, когда рынок полностью монополизирован одной фирмой. В этом случае он будет равен 10000.
Индекс Херфиндаля-Хиршмана используется для классификации слияний в три крупные группы в зависимости от значения IHH:
1. ШН меньше 1000. Рынок оценивается как неконцентрированный, и слияние, как правило, беспрепятственно допускается.
2. ШН больше 1000, но меньше 1800. Рынок рассматривается как умеренно концентрированный, однако уровень IHH выше 1400 может потребовать дополнительной проверки целесообразности слияния со стороны Департамента юстиции. Во всяком случае, такой уровень индекса (1400) вызывает тревогу и рассматривается как некий предупредительный сигнал.
3. Если ШН превышает 1800, рынок считается высококонцентрированным. В отношении слияний в этом интервале значений (1800-10000) действуют две нормы. Если в результате слияния IHH увеличивается не более чем на 50 пунктов, слияние обычно разрешается. Если же он увеличивается более чем на 100 пунктов, слияние запрещается. Рост IHH на 51-99 пунктов становится, как правило, основанием для дополнительной проверки целесообразности слияния.

Индекс Линда
В странах ЕС для анализа рыночных структур широко используется индекс, предложенный сотрудником Комиссии ЕС в Брюсселе - Ремо Линда. Этот индекс, как и индекс концентрации, рассчитывается лишь для нескольких m крупнейших фирм и, следовательно, также не учитывает ситуации на «окраине» рынка. Однако в отличие от индекса концентрации он ориентирован на учет различий в «ядре» рынка.
Пронумеруем рыночные доли отдельных фирм в порядке их убывания. Тогда индекс Линда (IL) для двух крупнейших фирм будет равен процентному отношению их рыночных долей:
I L = (k1 / k2) * 100%
Однако самым сложным при анализе рыночных структур является не выбор индекса, а определение границ рынка в пространстве товаров. Следует ли ограничить рынок лишь определенной маркой товара, включить ли в него и Другие его марки, или расширить границы рынка, включив в него все взаимозаменяемые товары, - вот вопросы, которые приходится решать антимонопольным службам всех стран.
Обычно рекомендуется начинать с изучения рынка данного товара, затем принять во внимание наличие товаров-заменителей, затем расширить анализ, включив в него заменители этих заменителей, и т. д., до тех пор пока не появится определенный разрыв в отношениях заменяемости. Этот разрыв и образует границы рынка. Количественной характеристикой, мерой заменяемости (субституции) является коэффициент перекрестной эластичности. Как вы помните, если некоторое повышение (снижение) цены одного товара вызывает увеличение (снижение) объема спроса на другой товар, то такие товары являются взаимозаменяемыми.
Следовательно, можно попытаться определить, на какие товары и на сколько процентов вырастет (или снизится) спрос при повышении (или снижении) цены блага. Таким образом, определяется круг взаимозаменяемых товаров и степень их заменяемости (субституции). Установив определенный пороговый уровень изменения спроса, можно наметить, по крайней мере, ориентировочно, границы исследуемого рынка.[9]
1.2. Положение в современной России
Особое и значительное место в экономике России занимают естественные монополии, потому что создание конкурентной среды на этих товарных рынках невозможно или экономически неэффективно при существующем уровне научно-технического прогресса.
Три главных естественных монополиста России:
· РАО “ЕЭС” (производство электроэнергии, услуги по передаче электроэнергии по высоковольтным линиям передач);
· ГАЗПРОМ (транспортировка газа по трубопроводам, реализация природного газа);
· МПС (железнодорожные перевозки);
Четвертым можно назвать “Ростелеком” (услуги междугородной и международной электрической связи).
В независимости от того, является ли предприятие-монополист естественным или искусственным, каждое из таких предприятий обладает монопольной властью, т.е. способностью регулировать цену на производимый товар через ограничение предложения. Зачастую монополисты злоупотребляют этой властью, пытаясь ограничить конкуренцию, и таким образом причиняют ущерб потребителям. Такое явление называется монополистической деятельностью, и проявляется эта деятельность в форме ценовых злоупотреблений.
Предприятия-монополисты злоупотребляют своим особым положением устанавливая либо монопольно высокие, либо монопольно низкие цены. Сейчас в России практикуются монопольно высокие цены, а в странах с развитой конкуренцией – монопольно низкие, иногда демпинговые. Мониторинг более 200 цен показал, что свыше 1/3 предприятий, занимающих доминирующее положение на рынке, завышают цены на товары и услуги.
В условиях российской действительности регулирование цен продукции естественных монополий связано с политическими конфликтами.
Ещё одной из особенностей современной монополизации является также ее скрытный характер, то есть введение в сферу зависимости от гигантских монополистических объединений формально самостоятельных средних и малых предприятий через систему подконтрактов, подпоставщиков и т.п. Процесс монополизации активно происходит не только в сфере промышленности, но и за ее пределами – в розничном товарообращении, общественном питании, сфере услуг, в том числе социальных, сельском хозяйстве. Кроме того, в современных условиях усиливается роль таких форм сотрудничества между монополистами, как организация совместных предприятий, обмен патентами, научно-технической информацией и т.д.
В условиях современной российской экономики монопольная рыночная власть реализуется прежде всего за счет раздувания издержек, а не получения дополнительной прибыли, о чем свидетельствует превышение индекса затрат на оплату труда и прочих затрат на производство над индексом инфляции.
Помимо ценовых злоупотреблений в российской экономике наблюдаются примеры дискриминирующего поведения по отношению к конкурентам. Например, администрация Кировской области создала унитарное государственное предприятие “Кировфармация”, включив в него ранее самостоятельные аптеки, магазины “Оптика”, фармацевтическую фабрику, аптечную базу и контрольно-аналитическую лабораторию. Государственный антимонопольный комитет усмотрел в этом нарушение закона “О конкуренции” и предписал ликвидировать незаконно созданную структуру. После реорганизации предприятия ассортимент медицинских препаратов в аптеках намного расширился, что можно расценить как улучшение положения потребителя вследствие разукрупнения монопольного предприятия. [10]
Исследования показывают, что число предприятий, не ощущающих конкуренции, постепенно сокращается и во многих отраслях не превышает 10-15%, лишь в отдельных достигая 20% и выше. (см. таблицу 1)[11]
Таблица 1
Доля крупнейших производителей в промышленности России
| Отрасли промышленности |
Количество предприятий в отрасли |
Доля крупнейшего производителя |
||||
| 2005 |
2006 |
2007 |
2005 |
2006 |
2007 |
|
| Электроэнергетика Атомные электростанции |
11 |
11 |
15 |
18,70 |
23,40 |
22,20 |
| Топливная промышленность Добыча природного газа Производство торфяных брикетов |
16 6 |
26 4 |
27 5 |
29,50 35,10 |
33,10 47,20 |
32,40 28,30 |
| Чёрная металлургия Открытая добыча руд чёрных металлов Производство труб Производство электроферросплавов Коксохимическая промышленность Производство огнеупоров |
16 23 8 8 21 |
18 29 7 7 22 |
18 23 7 5 22 |
25,30 23,90 28,70 32,50 30,10 |
22,70 22,90 31,50 32,00 36,00 |
22,20 21,90 38,90 39,30 39,70 |
| Цветная металлургия Вольфрамово-молибденовая промышленность Электродная промышленность Промышленность твёрдых сплавов и тугоплавких металлов |
14 9 11 |
10 8 4 |
9 9 16 |
35,80 38,30 27,90 |
29,40 35,00 27,10 |
35,40 32,20 27,00 |
| Химическая и нефтехимическая промышленность Производство фосфатных удобрений Производство полимерной транспортной тары Промышленность бытовой химии Производство технического углерода Производство шин Производство асбестотезнических изделий |
23 19 29 8 13 12 |
26 21 31 8 15 11 |
29 28 37 10 18 13 |
42,90 38,70 29,90 41,60 30,80 21,00 |
38,30 44,90 38,70 46,90 31,00 22,80 |
29,00 37,30 44,60 41,50 31,20 19,30 |
Продолжение таблицы 1
| Машиностроение и металлообработка Дизелестроение Производство кранов (без строительных) Производство кранов для строительства Электроизоляционная промышленность Производство электросварочного оборудования Полимерное машиностроение Производство нефтегазоперерабатывающего оборудования Компрессорное машиностроение Холодильное машиностроение Производство оптических и оптико-механических приборов и аппаратуры Производство строительных машин Производство оборудования для коммунального хозяйства Производство металлической транспортной тары |
27 21 33 15 8 14 18 11 11 25 29 41 17 |
18 20 35 18 7 14 20 11 14 28 32 48 17 |
19 20 29 17 7 12 17 12 15 28 31 51 18 |
21,80 29,00 26,30 27,50 26,40 36,70 35,70 27,70 38,00 39,60 24,60 33,70 38,30 |
36,20 25,50 28,40 22,60 34,80 35,50 35,40 22,30 33,20 27,90 26,60 28,90 41,40 |
41,60 26,40 30,60 26,30 36,50 36,20 35,80 25,90 39,50 31,10 27,30 27,50 40,00 |
| Промышленность строительных материалов Производство строительного и технического фарфора, фаянса и полуфаянса Производство строительных материалов и изделий из полимерного сырья Производство облицовочных материалов их природного камня Производство извести и гипса Производство известняковой и доломитовой муки Производство изделий из неметаллических руд |
7 33 20 37 10 10 |
8 37 20 41 8 9 |
8 48 26 44 9 8 |
40,00 28,30 31,60 33,20 40,20 39,40 |
37,80 28,90 35,20 28,10 34,90 38,20 |
34,10 29,20 35,70 25,20 23,40 26,50 |
Продолжение таблицы 1
| Стекольная промышленность Добыча сырья для стекольной промышленности Производство строительного и технического стекла |
7 38 |
10 44 |
9 55 |
38,90 31,20 |
34,80 34,30 |
35,90 31,60 |
| Пищевая промышленность Плодоовощная промышленность |
35 |
32 |
35 |
49,00 |
37,70 |
31,30 |
Применительно к нефтедобывающей и нефтеперерабатывающей промышленности России также можно говорить о монополизации производства. Добычу нефти в стране осуществляют более 240 нефтегазодобывающих организаций, но 11 нефтедобывающих холдингов обеспечивают более 95% всего объема добычи.
Самые крупные торговые сети нашей страны тоже занимают монопольное положение. Доля Х5 Retail Group составляет 45%, ОАО «Магнит» - 40%, Metro AG – 38%.[12] Они являются лидерами по количеству магазинов, по величине оборота денег, по величине торговой площади.
Авиаперевозки в России осуществляются несколькими крупными авиакомпаниями: «Аэрофлот», “Сибирь” , “Пулково” , KrasAir, Utair. Аэрофлот планирует приобрести государственные акции крупных авиакомпаний и собирается присоединить к себе пять крупнейших авиакомпаний, акции которых находятся в госсобственности, в обмен на увеличение доли государства в своем капитале, а, значит, авиаперевозки в России станут монополизированными.[13] В автомобилестроении лидерами являются ГАЗ – горьковский завод с долей на российском рынке 55%, АвтоВАЗ с долей 27% и ИЖ-Авто с долей 10%. Суммарная доля первой четвёрки крупнейших предприятий составляет 87%.
В настоящее время российские предприятия, от мелких фирм до крупных компаний, испытывают сильное давление со стороны конкурентов. Исключение составляют рынки с монополией одного продавца или олигополией. Возможен также вариант заключения между продавцами картельного соглашения, когда каждый участник получает свой оговоренный сектор рынка с фиксированной ценой реализации. Картельное соглашение является противозаконным и преследуется в соответствии с антимонопольным законодательством.
Массовые импортные закупки, создающие конкуренцию отечественным товарам, стали одним из главных факторов повышения конкуренции на российских рынках.
Глава 3.
Механизмы борьбы с монополизмом
1.1. Основные механизмы антимонопольной политики
Действие рыночной конкуренции, свободного рынка неизбежно порождает монополию, которая меняет условия конкурентной борьбы, под удар ставятся механизмы функционирования рыночной системы.
Многие страны мира с целью поддержания конкуренции в различных отраслях народного хозяйства приняли антимонопольное законодательство.
Целью антимонопольной политики является предупреждение и сокращение монопольных цен, дефицитности производства, перераспределение монополистического богатства и диффузия децентрализации совокупной концентрации экономических ресурсов в обществе.[14]
Достижение цели антимонопольной политики предполагает:
1. Обеспечение единства экономического пространства на территории Российской Федерации.
Посредством пресечения и недопущения его фрагментации путем установления административных барьеров (запреты и ограничения, как на вывоз, так и на ввоз товаров, избыточное лицензирование и т.п.)
2. Обеспечение «прозрачности» процессов, связанных с созданием, слиянием и присоединением коммерческих организаций, приобретением крупных пакетов акций, основных производственных средств и нематериальных активов, а также прав, которые дают возможность определять условия деятельности предприятий, занимающих доминирующее положение на рынке.
Выполнение поставленной задачи требует законодательного ограничения приобретения прав собственности «безымянными» покупателями с использованием подставных лиц (юридических, в частности оффшорных компаний, или физических). В частности, статья 19 закона «О конкуренции и ограничении монополистической деятельности на товарных рынках» должна применяться не только в качестве санкции, то есть пресечения нарушения, но и в качестве средства предотвращения нарушений.
3. Снижение барьеров входа на товарные рынки, а также обеспечение более эффективного контроля над поведением хозяйствующих субъектов, занимающих доминирующее положение, посредством мониторинга процесса ценообразования и изъятия доходов, полученных в результате нарушения антимонопольного законодательства.
4. Создание эффективных правовых механизмов, которые обеспечивают соблюдение запрета на занятие предпринимательской деятельностью представителями органов власти, в том числе через использование государственных и муниципальных унитарных предприятий как инструментов совмещения органами власти хозяйственных и властных полномочий.
5. Активизация работы по профилактике и пресечению недобросовестной конкуренции на товарных рынках.
6. Создание условий для развития производительной деятельности малых предприятий.
В том числе за счет устранения административных барьеров входа, упрощения и стабилизации режима налогообложения, возможности пополнения оборотных средств.
7.Организация систематического наблюдения за основными товарными рынками федерального и регионального уровня.
С этой целью необходимо совершенствовать взаимодействие с органами государственной статистики, а также разрабатывать ведомственную статистику, отвечающую запросам и соответствующую специфике задач, поставленных перед антимонопольным органом.
В современной экономике существуют две основные точки зрения на монополизацию экономики, которые находятся в противостоянии с друг другом.
Одни экономисты считают монополизм исключительно положительным явлением. Они приводят весьма весомые аргументы в пользу монополий.
Продукция монополистических компаний отличается высоким качеством, что и позволило им завоевать господствующее положение на рынке. Монополизация воздействует на повышение эффективности производства: только крупная фирма на защищенном рынке обладает достаточными средствами для успешного проведения научных исследований
и разработок. Кроме того, крупные масштабы производства позволяют снижать издержки и в целом экономить ресурсы. Не следует также забывать и того, что крупные монополистические объединения (особенно межотраслевые, такие как металлургический завод, мгновенно ставший известным завод холодильников "Стинол", сборочный завод бытовой электроники) в случае экономического кризиса держатся дольше всех и раньше всех начинают выходить из кризиса, тем самым сдерживая спад производства и безработицу.
Противники монополий уверяют, что монополизация наносит вред экономике любой страны. Ведь без ликвидации монополии в сфере производства и обращения ни о каком рынке речь идти не может, так как монополизм и рынок - вещи несовместимые. В монополизированной экономике отсутствует корректная конкуренция, саморегуляция, а стало быть, и рыночная среда. Ещё монополии диктуют монопольно высокие цены. Монопольная цена – особый вид рыночной цены, которая устанавливается на уровне выше или ниже стоимости товара, в целях получения монопольного дохода (чаще всего в форме монопольной сверхприбыли). Такой доход представляет экономическую реализацию господства монополистов на рынке. Чтобы получить сверхприбыль, монополии не проводят никаких улучшений в производстве товаров. Поэтому при установлении выгодных цен для них, они утрачивают экономические стимулы к техническому и иному прогрессу. В противоположность конкуренции, побуждающей к совершенствованию производства, всякая монополия хотя бы временно порождает застой в этом отношении. Также приверженцы этой точки зрения считают, что не следует преувеличивать роль монополий в обеспечении научных исследований и опытно - конструкторских разработок. Практика свидетельствует, что многие крупные открытия в науке и технике осуществляются сравнительно небольшими, так называемыми венчурными (англ. venture - рискнуть) компаниями.[15]
1.2.
Антимонопольное регулирование в современной России
Высокий уровень монополизации и его резко отрицательное влияние на экономику делает необходимым проведение в нашей стране антимонопольной политики. Более того, Россия нуждается в демонополизации, т.е. радикальном сокращении числа секторов экономики, где установилась монополия.
Главной проблемой и одновременно трудностью при этом является специфика унаследованного от социалистической эпохи монополизма: российские монополисты по большей части не могут быть демонополизированы путем разукрупнения.
На Западе демонополизация предприятий-гигантов возможна путем их разделения на части. Западные монополисты формировались путем объединения и поглощения независимых фирм. Последние, хотя бы теоретически, могут быть восстановлены в качестве самостоятельных компаний. Российские монополисты, напротив, сразу строились как единый завод или технологический комплекс, который не может быть разделен на отдельные части без полного разрушения.
Можно выделить три принципиальных возможности понижения степени монополизации:
1) прямое разделение монопольных структур;
2) иностранная конкуренция;
3) создание новых предприятий.
Как уже сказано, возможности первого пути в российской реальности сильно ограничены.
Второй путь – иностранная конкуренция – явился, вероятно, самым действенным и эффективным ударом по отечественному монополизму. Когда рядом с изделием монополиста на рынке находится превосходящий его по качеству и сопоставимый по цене импортный аналог, все монополистические злоупотребления становятся невозможными. Монополисту приходится думать о том, как бы вообще не оказаться вытесненным с рынка.
Проблема в том, что из-за непродуманной валютной и таможенной политики, импортная конкуренция в очень многих случаях оказалась избыточно сильной.
Третий путь – создание новых предприятий, конкурирующих с монополистами, - предпочтителен во всех отношениях. Он устраняет монополию, не уничтожая при этом самого монополиста как предприятие. К тому же новые предприятия – это всегда рост производства и новые рабочие места.
Проблема в том, что в сегодняшних условиях из-за экономического кризиса в России находится мало отечественных и иностранных компаний, готовых вложить деньги в создание новых предприятий. Тем не менее, определенные сдвиги в этом отношении даже в кризисных условиях может дать государственная поддержка наиболее перспективных инвестиционных проектов.
Описанные огромные трудности продвижения по ним заставляют прогнозировать, что в близком будущем хозяйство нашей страны сохранит высокомонополизированный характер. Тем большее значение в этих условиях приобретает текущее регулирование деятельности монополий.
Главным органом, осуществляющим антимонопольную политику в России, является Министерство по антимонопольной политике и поддержке предпринимательства. Его права и возможности достаточно широки, а статус соответствует положению аналогичных органов в других развитых рыночных экономиках. Основными законами, регулирующими монополии, являются закон «О естественных монополиях»[16] и закон «О конкуренции и ограничении монополистической деятельности на товарных рынках» .[17]
Правительством устанавливаются цены или их предельные уровни на газ, электроэнергию, железнодорожные перевозки, транспортировку нефти, коммунальные услуги и другие продукты естественных монополий. Государство провело ряд реформ по отношению к главным российским монополистам, поскольку гигантские организации, контролирующие значительную часть природного и экономического потенциала страны и огромные активы, отличаются крайне малой прозрачностью, низкой эффективностью и высокими ценами на производимые ими продукты и услуги..
Реформирование РАО «ЕЭС»
Основные цели реформирования электроэнергетики России: повышение эффективности предприятий отрасли, создание условий для ее развития на основе стимулирования инвестиций, обеспечение надежного и бесперебойного энергоснабжения потребителей. В связи с этим в электроэнергетике России происходят радикальные изменения: меняется система государственного регулирования отрасли, формируется конкурентный рынок электроэнергии, создаются новые компании. В ходе реформы меняется структура отрасли.
Реорганизация ОАО РАО "ЕЭС России" стала логичным завершением реформирования электроэнергетики и создания новой демонополизированной структуры отрасли. В условиях развития конкурентных отношений между новыми самостоятельными участниками рынка электроэнергии ОАО РАО "ЕЭС России" прекратило свою деятельность в качестве "государственной монополии" и будет преобразовано в ряд государственных и частных компаний. В соответствии с решениями совета директоров ОАО РАО "ЕЭС России" от 28 июля, 30 августа, 22 сентября и 27 октября 2006 г., от 2 марта 2007 г., реорганизация Общества состояла из 2 этапов.
Формируемые в ходе реформы компании представляют собой предприятия, специализированные на определенных видах деятельности (генерация, передача электроэнергии и другие) и контролирующие соответствующие профильные активы. По масштабу профильной деятельности создаваемые компании превосходят прежние монополии регионального уровня: новые компании объединяют профильные предприятия нескольких регионов, либо являются общероссийскими.
Реформирование ОАО «Газпром»:
Газпром уже несколько лет проводит внутреннюю реформу, направленную на рост эффективности работы Общества. Реформирование позволит «Газпрому» реализовать глобальные конкурентные преимущества компании.
Реформирование «Газпрома» осуществляется в два этапа. Первый этап был реализован в 2002-2003 годах. Его основные задачи первого этапа выполнены. Усовершенствована структура управления, более мобильными стали регламентные процедуры, внедрены системы бюджетирования. Суть второго этапа реформирования, который начался весной 2004 года, заключается в повышении эффективности работы «Газпрома» как вертикально интегрированной компании, объединяющей все циклы: разведку, добычу, транспортировку, переработку, хранение и сбыт. Важнейшая задача – оптимизация структуры управления основными видами деятельности на уровне дочерних обществ. В результате реформы повысится эффективность управления дочерними организациями «Газпрома», сократятся непроизводственные расходы, будут разделены и станут более прозрачными финансовые потоки. Все это направлено на выполнение тех задач, которые поставлены перед Газпромом государством, как основным акционером компании. Дальнейшие преобразования будут проходить в течение нескольких лет, так как реформирование не должно сказаться на надежности поставок газа российским и зарубежным потребителям. В структуре Группы «Газпром» создано дочернее общество «Газпромрегионгаз», в котором будут консолидированы имеющиеся распределительные сети. Такая концентрация, в частности, позволит повысить надежность поставок газа потребителями. Из газотранспортных дочерних обществ «Газпрома» в ходе реформирования компаний будут выведены подразделения по сервисному обслуживанию магистральных газопроводов (ремонт, энергообеспечение, телекоммуникации и другие). На их базе будут созданы самостоятельные юридические лица для оказания соответствующих услуг транспортным организациям. Кроме того, будут выделены объекты социальной инфраструктуры. Все работы по подземному хранению газа будут сосредоточены в новом предприятии - «Подземгаз». [18]
Реформирование МПС
Основное содержание социально-экономической политики России на 1999—2000 гг. заключалось и осуществлении комплекса широкомасштабных реформ для преодоления таких острых экономических проблем, как низкая инвестиционная активность, сокращение производства, высокий уровень неплатежей и др.
Для достижения указанных целей следовало осуществить комплекс мер, включавших: продолжение структурных реформ и совершенствование механизмов государственного регулирования цен в сферах естественных монополий; проведение реформы предприятий и социальной сферы с целью существенного повышения эффективности управления в рыночных условиях, включая прекращение субсидирования через цены на товары и услуги и замещение его адресными пособиями с дотациями; поэтапный переход к реализации системы социальных стандартов в сфере потребления, образования, здравоохранения и культуры; осуществление налоговой реформы, повышение собираемости налогов при снижении налогового бремени для предприятий.
Проводимая в 90-е годы реформа управления железнодорожным транспортом и внедрение элементов рыночного хозяйствования в различных сферах деятельности в определённой степени оздоровили ситуацию на транспорте и позволили сдерживать уровень тарифов. Принятые меры вполне вписываются в программу правительства по реструктуризации естественных монополий.[19]
Российские законы требуют осуществления государственной политики недопущения формирования новых монополий. На Министерство по антимонопольной политике возложены задачи контроля за слияниями крупных предприятий, пересечения разнообразных форм сговора, недопущения системы участий.
Наконец, значительное внимание уделяется борьбе с ограничивающей конкуренцию практикой местных властей. В условиях нестабильной экономической ситуации в стране региональные власти часто пытаются незаконными методами поддержать свои предприятия. Например, под тем или иным предлогом запретить ввоз конкурирующих товаров из других областей. Это создает местным производителям монопольное положение, что, естественно, вызывает протесты Министерства по антимонопольной политике.
Ограничительные меры предусмотрены законом "О конкуренции" и применяются антимонопольным органом к хозяйствующим субъектам, которые нарушают антимонопольное законодательство.
Закон запрещает устанавливать монопольно высокие или монопольно низкие цены, изымать товар из обращения с тем, чтобы создавать или поддерживать дефицит или повышать цену, навязывать контрагенту условия договора, невыгодные для него или не относящиеся к предмету договора, включать в договор дискриминирующие условия, которые ставят контрагента в неравное положение по сравнению с другими предприятиями, препятствовать выходу на рынок (или уходу с него) другим предприятиям, побуждать контрагента отказываться от заключения договоров с отдельными покупателями (заказчиками), несмотря на то, что есть возможность произвести или поставить нужный товар.
Запреты на монополистическую деятельность подразделяются на запреты, направленные против соглашений, ограничивающих конкуренцию, и запреты на злоупотребление предприятиями своим доминирующим положением. Такие злоупотребления являются наиболее типичным (более 60%) нарушением антимонопольного законодательства.
Наиболее стабильно действует запрет на установление монопольных цен, хотя и здесь немало проблем. В частности, "Временные методические рекомендации по выявлению монопольных цен" предлагают одновременно использовать концепцию ограничения прибыли и концепцию сравнения рынка. Применение первой концепции осложняется тем, что производственные затраты необходимо устанавливать с учетом того, что производственные мощности могут быть исчерпаны. Поэтому предпочтительной оказывается концепция сравнения рынков, в рамках которой антимонопольному ведомству не нужно проверять производственные показатели предприятия-монополиста, достаточно на основе внешних факторов выявить монопольно высокие или монопольно низкие цены.
· Наряду с запретами на заключение вредных для конкуренции соглашений и на злоупотребление доминирующим положением для борьбы с ограничением конкуренции применяется контроль над экономической концентрацией.
Развитие рыночных отношений предполагает устранение прямого вмешательства государственных органов власти в деятельность предприятий.
Растет интерес предпринимателей к защите деловой репутации предприятия и правовой охране товарных знаков от их незаконного использования.[20]
Законом запрещено принимать нормативные акты и совершать действия, которые ограничивают самостоятельность предприятий, создают дискриминирующие или благоприятные условия для одних в ущерб другим и тем самым ограничивают конкуренцию, ущемляют интересы предприятий или граждан.
Однако власти субъектов Федерации и органы местного самоуправления допускают многочисленные нарушения, в частности необоснованно предоставляют льготы, ограничивают создание предприятий, вводят запреты на их деятельность, продажу или покупку товаров, указывают на приоритетность некоторых договоров, произвольно устанавливают размеры регистрационного сбора, препятствуют выходу на рынок товаров и услуг "иногородних" предприятий и т.п. [21]
1.3.
Зарубежный опыт проведения антимонопольной политики
Реализация положений антимонопольного законодательства за рубежом
осуществляется в административном, судебном или смешанном порядке. В
последнем случае решения административных органов могут быть обжалованы в судах.
Американская система антимонопольного законодательства принята в Аргентине и ряде других стран. Европейская система помимо стран Западной Европы действует в Австралии, Новой Зеландии, ЮАР. Промежуточное положение между этими двумя системами занимает законодательство ФРГ, что объясняется тем фактом, что антимонопольное законодательство этой страны наряду с общей нормой о запрете монополий предусматривает большое количество исключений из этого принципа.
Ярким примером страны с европейской системой патентного законодательства является Великобритания, в которой сложились две системы контроля за монополиями. В первой из них, основанной на законах о добросовестной торговле и о конкуренции, ключевую роль играют Ведомство по добросовестной торговле, Комиссия по монополиям, государственный секретарь торговли и промышленности.
Вторая система контроля, предусмотренная законодательством об ограничительной торговой практике, ключевую роль отводит Суду по ограничительной практике. В целом законодательство либеральнее американского антитрестовского, так как следует традиционной британской политике свободы торговли и минимизации прямого государственного вмешательства в хозяйственную деятельность предпринимателей. В функции Ведомства входит: сбор и анализ информации о злоупотреблениях господствующим положением, передача дел о монопольной ситуации
в какой-либо отрасли в Комиссию по монополиям, осуществление контроля за
предполагаемыми слияниями предприятий, передача дел о картельных договорах в суд по ограничительной практике, возбуждение дел по поводу установления и поддержания перепродажных цен.
Основная задача Комиссии по монополиям и слияниям заключается в
проведении расследования и составления докладов по поводу наличия (или
возможности возникновения) монопольной ситуации либо осуществления слияния предприятий. В случае, если Комиссия по монополиям придет к заключению о нарушении публичных интересов, государственный секретарь имеет широкие полномочия по применению различных мер воздействия на правонарушителя: вынесение постановлений о прекращении действия договора, о запретах в поставке товаров, связывающих сделок, дискриминации, о запрете или ограничении слияний, о разделении предприятий путем продажи каких-либо их частей или каким-то иным способом.[22]
Во Франции контроль за монополистической деятельностью возложен на Совет по вопросам конкуренции, Министерство экономики и суды общей юрисдикции.
Совет по вопросам конкуренции считается независимым административным органом, на решения которого министр экономики не может налагать “вето”. Он может применять следующие санкции: предписать предприятию или лицу прекратить инкриминируемую деятельность в течение определенного срока; наложить на предприятие или лицо денежный штраф, максимальная величина которого составляет 5% торгового оборота предприятия-нарушителя; потребовать от нарушителя опубликовать приговор Совета в определенных журналах. Если предприятие, ставшее жертвой антиконкурентной политики, потребует возмещение ущерба, то оно должно обратиться с этой просьбой в суд. В настоящее время во Франции имеется около 3 тыс. государственных контролеров по ценам.
В ФРГ государственным регулированием рыночных отношений, которое ведет к смягчению отрицательных последствий чрезмерной монополизации, занимаются так называемые органы по делам картелей. К этим органам относятся Федеральное ведомство по делам картелей, Федеральный министр экономики и высшие органы земель. К ним примыкает Комиссия по монополиям, созданная для предоставления заключений о концентрации предприятий в ФРГ. Картельный закон ФРГ основан на двух принципах: принципе запрещения и принципе контроля и регулирования монополистической деятельности. Как и в США, он запрещает определенную категорию соглашений, например картельные договоры и картельные постановления.
Однако эти запреты сопровождаются многочисленными исключениями, которые в значительной степени нейтрализуют принцип запрещения монопольной практики. Так, если Закон Шермана объявляет незаконным заключение любого договора, ограничивающего торговлю, то Картельный закон ФРГ признает недействительным исполнение картельных договоров или постановлений. Кроме того, в отличие от горизонтальных конкурентных ограничений, вертикальные ограничения формально не запрещаются. Они подлежат административному контролю с целью предупреждения антиконкурентной практики.
Достаточную сложность представляет задача определения минимальной рыночной доли, при которой предприятие может устанавливать свое доминирующее положение. Каждая страна самостоятельно устанавливает эту долю (см. Таблицу 2 ).
Таблица 2[23]
Критерии оценки доминирующего положения на рынке товаров
| Страна действия антимонопольного закона |
Критерии, характеризующие статус доминирующего положения антимонопольного закона |
|
| 1 |
Страны Евросоюза в целом |
Положения не может быть признано доминирующим, если доля субъекта менее 40% |
| 2 |
Германия |
Доминирующим признаётся участник, имеющий не менее 1/3 рыночной доли, а также если 3 участника имеют 50% или 5 участников - 2/3 совместной рыночной доли |
| 3 |
Франция |
Доля одного субъекта на рынке определённой продукции составляет 25% сделок или оборот в совокупности свыше 7 млрд. франков |
| 4 |
Великобритания |
Доминирующее положение предусматривает наличие доли рынка 25% и более |
| 5 |
Португалия |
Доля рынка одного субъекта превышает 30% |
| 6 |
Испания |
Доля рынка одного субъекта превышает 25% |
| 7 |
Швеция |
Доля рынка от 40% до 50% рассматривается как указывающий на доминирование, свыше 65% - доминирование доказано |
| 8 |
Чехия |
Доля рынка одного субъекта превышает 30% |
| 9 |
Польша |
Доля рынка одного субъекта превышает 40% |
Продолжение таблицы 2
| 10 |
Венгрия |
Доля рынка одного субъекта превышает 30% |
| 11 |
Литва |
Доля рынка одного субъекта превышает 40% |
| 12 |
Монголия |
Один субъект, действующий самостоятельно, или группа, действующая сообща, постоянно поставляет на рынок свыше 50% определённых товаров |
| 13 |
Республика Корея |
Компания контролирует 50% рынка или суммарная доля 3 ведущих компаний составляет 75% и более |
| 14 |
США |
Доминирующее положение предприятия или группы предприятий возникает, если на одно предприятие приходится свыше 1/3 оборота , на 3 – свыше ½ оборота или на 5 - 2/3 оборота |
| 15 |
Япония |
Доминирующее положение возникает, когда доля одного крупнейшего поставщика превышает 50% либо доля двух – 75 % |
Опыт законодательства промышленно развитых стран свидетельствует о различных методах правового регулирования пресечения недобросовестной конкуренции и монополистической деятельности: отдельно принятые антимонопольные законы и законы о пресечении недобросовестной конкуренции (Австрия, Испания, Канада, ФРГ, Швейцария); антимонопольные законы и общие нормы гражданского права в области пресечения недобросовестной конкуренции (Италия, Франция); антимонопольные или антитрестовские законы и судебные прецеденты в области пресечения недобросовестной конкуренции (Великобритания, США)
1.4. Направления совершенствования антимонопольной политики в России
Разработчикам российского антимонопольного законодательства предстоит ещё большая работа, при этом было бы целесообразно обращаться к опыту зарубежных стран, не забывая при этом и о специфике российского рынка.
Для демонополизации экономики и развития конкуренции предлагается:
· наладить антимонопольный контроль за проведением конкурсов, торгов, аукционов, в том числе при размещении заказов на поставки продукции для государственных и муниципальных предприятий;
· ввести жесткие меры против действий региональных властей, препятствующих свободе перемещения товаров и капитала по всей России;
· совершенствовать правовое регулирование использования государственных средств для расширения конкурентной среды, снижения концентрации производства и уменьшения ведомственного монополизма;
· согласовать антимонопольное законодательство стран СНГ, адаптировать их конкурентную политику к международным принципам и правилам.[24]
Заключение
В данной курсовой работе были рассмотрены основные причины возникновения монополий; особенности современной монополизации экономики. Подводя итоги, можно охарактеризовать антимонопольное законодательство и антимонопольную политику России как необходимые атрибуты структурных преобразований во всех сферах экономики страны. Бесспорно, в некоторых случаях (но лишь в малой толике от их общего количества) существование монополии является оправданным и необходимым, но за этими процессами должен осуществляться жесткий контроль со стороны государства по недопущению злоупотребления своим монопольным положением.
Есть еще одна проблема, заключающаяся в том, что десятилетиями складывающаяся отраслевая монополия не может быть быстро заменена свободным и самоорганизующимся рынком, ведь утверждение конкурентных отношений — не единовременная моментальная акция, а процесс длительный, сложный, а для немалого же числа предприятий — губительный. Выжить смогут лишь те предприятия, которые обеспечат более высокое качество товара, относительно более низкие цены и быструю сменяемость ассортимента.
Список литературы
Нормативные документы
1. Российская Федерация. Закон РФ «О конкуренции и ограничении монополистической деятельности на товарных рынках» от 22.03.1991
2. Российская Федерация. Закон РФ «О естественных монополиях» от 17.08.1995 года
Книги
3. Барышева А.В. - Монополизм и антимонопольная политика / А.В. Барышева, Ю.В. Сухотин, В.Н. Богачёв. – М.: Наука, 1993 г.
4. Микро и макроэкономика. Энциклопедический словарь. Под общей редакцией Г. С. Вечканова – М.: Дело и Сервис, 2000 г.
5. Пондин В.В. - Переход к рыночной экономики и его последствии / В.В. Пондин. – М.: Литера плюс, 2006 г.
6. Саранцев А.Г.- Антимонопольное законодательство России. История преобразования / А.Г. Саранцев. - М.: КноРус, 2005 г.
Периодические издания
7. Авдашева С.Б. / Экономические основы антимонопольной политики: российская практика в контексте мирового опыта / С. Б. Авдашева, А. Е. Шаститко, Е. Н. Калмычкова // Экономический журнал. — 2007. — Т. 11, № 1. — С. 89 — 123
8. Вильсон / Естественные монополии в России: история и перспективы развития системы регулирования / Вильсон, В. Цапелик //Вопросы экономики. – 2005. – №11. – с. 83-92
9. Городецкий А. / Демонополизация и развитие конкуренции в российской экономике / А. Городецкий, Ю. Павленко, А. Френкель //Вопросы экономики. – 1995. – №11. – с. 48-57.
10. Городецкий А. / Реформирование естественных монополий / Городецкий А., Павленко Ю. // Вопросы экономики.-2000.-№ 1.-с.137-151.
11. Крылова Н./ Формы монополизма в советской экономике / Н.Крылова Н., Лыкова Л. //Вопросы экономики .- 1990.- № 6.- с.46-53.
12. Никифоров А.А. / Концепция антимонопольной политики и реформа / Никифоров А.А. // Вестник МГУ им. М.В. Ломоносова. Серия «Экономика» Экономика. - 2005. - 1. - с.14-30.
13. Новиков В. / Влияние российского антимонопольного законодательства на экономическое развитие / В. Новиков // Вопросы экономики. 2003. - № 9. – с. 45-57
14. Розанова Н. / Эволюция антимонопольной политики России: проблемы и перспективы / Н.Розанова // Вопросы экономики. – 2005. – №5. – с .102-121.
15. Чувилин Е. / Государственное регулирование и контроль цен в капиталистических странах / Чувилин Е, Дмитриева В. //Финансы и статистика, - 1991, -N 5. – с. 28-34
Источники сети Интернет
16. http://ru.wikipedia.org - Википедия
17. http://antimonopol.centro.ru – официальный сайт Российского центра поддержки конкуренции
18. http://www.fas.gov.ru - официальный сайт Федеральной антимонопольной службы
19. http://www.gazprom.ru - официальный сайт ОАО «Газпром»
20. http://www.gks.ru – официальный сайт Федеральной службы государственной статистики
21. http://www.rej.guu.ru - официальный сайт Российского экономического журнала
22. http://www.aeroflot.ru –официальный сайт российской авиакомпании «Аэрофлот»
[1] Микро и макроэкономика. Энциклопедический словарь. Под общей редакцией Г. С. Вечканова – М.: Дело и Сервис, 2000 г.
[2] http://ru.wikipedia.org - Википедия
[3] Барышева А.В. - Монополизм и антимонопольная политика / А.В. Барышева, Ю.В. Сухотин, В.Н. Богачёв. – М.: Наука, 1993 г.
[4] http://ru.wikipedia.org - Википедия
[5] Микро и макроэкономика. Энциклопедический словарь. Под общей редакцией Г. С. Вечканова – М.: Дело и Сервис, 2000 г.
[6] Барышева А.В. - Монополизм и антимонопольная политика / А.В. Барышева, Ю.В. Сухотин, В.Н. Богачёв. – М.: Наука, 1993 г
[7] Саранцев А.Г.- Антимонопольное законодательство России. История преобразования / А.Г. Саранцев. - М.: КноРус, 2005 г
[8] Крылова Н./ Формы монополизма в советской экономике / Н.Крылова Н., Лыкова Л. //Вопросы экономики .- 1990.- № 6.- с.46-53.
[9] http://ru.wikipedia.org - Википедия
[10] Городецкий А. / Демонополизация и развитие конкуренции в российской экономике / А. Городецкий, Ю. Павленко, А. Френкель //Вопросы экономики. – 1995. – №11. – с. 48-57.
[11] http://www.gks.ru – официальный сайт Федеральной службы государственной статистики
[12] http://www.rej.guu.ru - официальный сайт Российского экономического журнала
[13] http://www.aeroflot.ru –официальный сайт российской авиакомпании «Аэрофлот»
[14] Саранцев А.Г.- Антимонопольное законодательство России. История преобразования / А.Г. Саранцев. - М.: КноРус, 2005 г.
[15] Городецкий А. / Демонополизация и развитие конкуренции в российской экономике / А. Городецкий, Ю. Павленко, А. Френкель //Вопросы экономики. – 1995. – №11. – с. 48-57.
[16] Российская Федерация. Закон РФ «О естественных монополиях» от 17.08.1995 года
[17] Российская Федерация. Закон РФ «О конкуренции и ограничении монополистической деятельности на товарных рынках» от 22.03.1991
[18] http://www.gazprom.ru - официальный сайт ОАО «Газпром»
[19] Вильсон / Естественные монополии в России: история и перспективы развития системы регулирования / Вильсон, В. Цапелик //Вопросы экономики. – 2005. – №11. – с. 83-92
[20] Розанова Н. / Эволюция антимонопольной политики России: проблемы и перспективы / Н.Розанова // Вопросы экономики. – 2005. – №5. – с .102-121.
[21] Барышева А.В. - Монополизм и антимонопольная политика / А.В. Барышева, Ю.В. Сухотин, В.Н. Богачёв. – М.: Наука, 1993 г.
[22] Чувилин Е. / Государственное регулирование и контроль цен в капиталистических странах / Чувилин Е, Дмитриева В. //Финансы и статистика, - 1991, -N 5. – с. 28-34
[23] http://www.gks.ru – официальный сайт Федеральной службы государственной статистики
[24] http://www.fas.gov.ru - официальный сайт Федеральной антимонопольной службы