| Скачать .docx |
Реферат: Шпаргалка: Шпаргалка по Экономической теории 4
1. Предмет экономической теории : различные подходы
Экономическая теория — дисциплина экономической науки. Представляет собой теоретическое и философское основание экономической науки. Состоит из множества школ и направлений. Экономическая теория не стоит на месте и её развитием в исторической перспективе занимается история экономических учений.
Основная задача экономической теории — дать объяснения происходящих событий в экономической жизни с помощью моделей действительности, отразить в себе реальную экономику.
Экономическая теория состоит из ряда разделов: методологии экономической науки, микроэкономики, макроэкономики, международной экономики, эконометрики, теории игр.
В современной экономической теории можно выделить ряд научных школ и направлений: неокейнсианство, монетаризм, новую институциональную экономическую теорию, нейроэкономику, австрийскую школу, новую политическую экономию, экономику и право.
Функции и методы
Методы экономической теории :
- Метод анализа и синтеза — анализ предполагает разделение рассматриваемого объекта или явления на отдельные части и определение свойств отдельного элемента. С помощью синтеза получают полную картину явления в целом.
- Метод индукции и дедукции — при методе индукции происходит исследование отдельных фактов, принципов и формирование общих теоретических концепций на основе получения результатов (от частного к общему). Метод дедукции предполагает исследование от общих принципов, законов, когда положения теории распределяются на отдельные явления.
- Метод системного подхода — рассматривает отдельное явление или процесс как систему, состоящую из определенного количества взаимосвязанных между собой элементов, которые взаимодействуют и оказывают влияние на эффективность всей системы в целом.
- Метод математического моделирования — предполагает построение графических, формализованных моделей, которые в упрощенном виде характеризуют отдельные экономические явления или процессы.
- Метод научной абстракции — позволяет исключать из рассмотрения отдельные несущественные взаимоотношения между субъектами экономики и концентрировать внимание на рассмотрении нескольких субъектов.
Функции экономической теории :
- Познавательная — позволяет анализировать отдельные процессы экономики, устанавливает взаимосвязи между этими явлениями, определяет свойства субъектов экономики (финансово-кредитные учреждения, предприятия, государство, население).
- Методологическая — позволяет определять экономическую теорию как основу для развития целого ряда других экономических дисциплин (маркетинг, статистика, менеджмент, ценообразование).
- Образовательная — позволяет формировать у граждан экономическую культуру, логику, основные понятия о рынке.
- Практическая — рекомендации по совершенствованию текущей экономической ситуации, снижению уровня инфляции, увеличению валового национального продукта и т. д., разработка конкретных принципов и способов рационального хозяйства;
- Прогностическая — на основе анализа экономических явлений и процессов разрабатывать направления перспективного развития.
2.
Экономическая мысль зародилась в глубокой древности и прошла длительный и сложный путь становления и развития. Вначале экономические знания формировались как отдельные элементы общей науки. Самостоятельное развитие экономической теории началось в эпоху зарождения капитализма в середине второго тысячелетия н. э. Исследователи различают множество этапов и направлений в этом развитии. Основными являются следующие: см рис. и таблицу.


Вывод: Ни одна теория не может претендовать на абсолютную и вечную истинность.
Каждая школа в той или иной мере страдает односторонностью и преувеличениями, поскольку выступает с позиций определенной социальной группы и определенного периода. Следовательно, общество не должно оказываться в плену отдельных теорий. Его развитие направляется общенациональными интересами, которые складываются в трудном поиске общественных компромиссов, избегая при этом разрушительной конфронтации, умножая точки согласия и сотрудничества между людьми.

Можно ещё вот так
Экономическая наука прошла длительный путь своего развития. Зарождение элементов экономических знаний произошло ещё в 5-9-веках нашей эры. В древнем Китае, Индии, Греции и было представлено как эпизодические высказывания о различных формах и способах хозяйственной деятельности. К настоящему времени экономическая наука представлена различными школами и направлениями, которые объединены задачей изучения экономической жизни общества, но по разному представляют предмет этого исследования.
Ксенофонт
(древнегреческий философ 430-350 век до нашей эры) – он дал название науки “ ОЙКОС “ – дом, хозяйство, “ НОМОС “ – закон. Закон ведения домашнего хозяйства.
Аристотель
(384-322 век до нашей эры) – противопостояние экономики, хрематистике, то есть предметом хрематистике было объявлено умение наживать состояние, делать деньги.
Антуан Монкретьен
(1575-1621 года) –
“ Трактат политической экономики 1615 год “ и дал новое название “ политическая экономия “. Предметом изучения которой является изучение государства, хозяйства управляемого абсолютной монархией.
Адам Смитт
(1723-1790 года) – автор “ исследования о природе и причинах богатства народов”. Предмет изучения – богатства нации и его структура и законы функционирования рынка совершенной конкуренции
Карл Маркс
3.Проблемы выбора в экономике. Кривая производственных возможностей.
Технологический выбор– это ограниченность ресурсов определяет альтернативность их использования. Допустим необходимо произвести два товара: пушки и масло. Допустим, что все необходимые ресурсы общества были направлены на производство масла 5 млн. килограмм.
Альтернатива ему пушки. Максимум 15000 штук.
пушки
масло
A, B, C, D, E, F – кривая производственных возможностей, которая показывает максимальный объём производства товара, при имеющихся ресурсов и заданных объёмов производства других товаров.
У
–
неполная загруженность производственных мощностей и имеются резервы для увеличения.
S
–
общество не в состоянии одновременно увеличить и военное, и гражданское производства.
При абсолютном использовании всех ресурсов, все точки возможных комбинаций производства пушек и масла находятся на кривой трансформации.
С помощью кривой производственных возможностей можно сформировать тезис об альтернативности производства различных видов товарных групп в экономике в полной занятости. Форма графика показывает своеобразную ”цену” одной товарной группы, выраженную в альтернативном количестве другой товарной группы.
Сущность экономического закона возрастающих затрат состоит в том, что увеличение объёма одноимённой товарной группы, неизбежно возрастание затрат на единицу товара выраженных другой товарной группой.

4. Виды экономических систем . Критерии, типы , классификация
Экономическая система – это особым образом упорядоченная система связей между производителями и потребителями материальных и нематериальных благ и услуг.
1. Формационный подход (К. Маркс):
· Первичная (архаичная ) - первобытно-общинный и азиатский способы производства;
· Вторичная – основана на частной собственности (рабство, крепостничество, капитализм);
· Коммунистическая общественная формация.
2. Критерий характера связи в обществе между производством и потреблением (К. Бюхер) :
· Замкнутое домашнее хозяйство (созданные блага потребляются в самом хозяйстве, без обмена);
· Городское хозяйство (непосредственный обмен, блага переходят из производящего хоз-ва в потребляющее);
· Народное хозяйство (блага на основе товарно-денежного обмена переходят через целый ряд хозяйств, прежде, чем поступят в потребление)
3.Наибольшее распространение в мировой экономической литературе получила классификация экономических систем по двум признакам:
1. По форме собственности на средства производства;
2. По способу, посредством которого координируется и управляется экономическая деятельность.
На основе этих признаков различают:
Традиционные системы – встречаются в слаборазвитых странах, основаны на обычаях и традициях. Традиции, передающиеся от поколения к поколению, определяют, какие товары и услуги, как и для кого производить. Технический прогресс проникает в эти системы с трудом, т.к. он вступает в противоречие с традициями и угрожает стабильности существующего строя.
Командная или тоталитарная экономика – распространена государственная собственность на средства производства, деятельность осуществляется под строгим надзором гос-ва; все решения по поводу процессов производства, распределения, обмена и потребления принимаются на государственном уровне. Данная система эффективна в условиях кризиса и др. чрезвычайных ситуациях, при других условиях – тормозит развитие общества.
Рыночная экономика – господствует частная собственность на средства производства. Гос-во не занимается распределением ре6сурсов, все решения принимаются рыночными субъектами на свой страх и риск. В рыночной экономике гос-во выступает неким правовым институтом, который лишь создает правила «игры» и следит за их выполнением.
Переходная экономика - экономика, которая находится в состоянии изменений, перехода от одного состояния в другое, как в пределах одного типа хозяйства, так и от одного к другому типу хоз-ва.
Смешанная экономика – представляет собой сочетание форм предпринимательской деятельности и роли государства. Государство вмешивается в экономику, но не настолько, чтобы свести на нет регулирующую роль рынка (США, Англия, Франция, Германия и др.).
5. Основные категории товарного хозяйства : благо , товар, услуга
Товарное хозяйство – возникло как противоположность натуральному, в начале в форме обмена между общинами, этот обмен носил случайный характер.
Товарное производство – когда продукты создаются отдельными частными, обособленными производителями, каждый из которых специализируется на выработке одного какого-либо продукта, поэтому для удовлетворения общественных потребностей нужна купля-продажа продуктов на рынке.
Ни один человек, ни одно существо не может существовать без удовлетворения потребностей. Средства и вещи для удовлетворения потребностей – блага.
Благо – это все то, что заключает в себе определенный положительный смысл, а именно предмет, явление, продукт труда, удовлетворяющий определенную человеческую потребность и отвечающий интересам, целям, устремлениям людей.
Классификация благ:
1. Материальные блага имеют материальную форму и природу (естественные дары природы, продукты производства).
Нематериальные блага – не имеют материальной формы (здравоохранения, образование, искусство, кино, театр и т.д. ).
Различают две группы нематериальных благ:
Внутренние – даны человеку природой, которые он развивает в себе по собственной воле (голос, пение, музыкальный слух).
Внешние – это то, что дает внешний мир для удовлетворения потребностей (репутация, деловые связи и т.д.).
2. Экономические блага – к ним относятся те блага, которые яв-ся объектом или результатом экономической деятельности, т.е. которые можно получить в ограниченном количестве по сравнению с потребностями, которые они могут удовлетворить .
Неэкономические блага – предоставляются природой без приложения усилий человека. Эти блага существуют в природу «свободно», в достаточном количестве для полного и постоянного удовлетворения определенных потребностей человека.
Товар – это специфическое экономическое благо, произведенное для обмена.
Товар обладает двумя свойствами:
1. Способностью удовлетворять какую-либо человеческую потребность;
2. Способность к обмену.
Способность товара удовлетворять ту или иную потребность человека составляет его потребительскую стоимость. Ею обладает любой товар. Потребительные стоимости составляют вещественное содержание богатства всякого общества. Потребительная стоимость имеет три формы проявления:
· Количество
· Натуральная форма
· Качество
Последнее – это степень полезности данной потребительной стоимости, ее соответствия, ее пригодности удовлетворять потребность в конкретных условиях потребления.
Товар обладает не только свойством удовлетворять человеческие потребности, но и свойством вступать в отношения с другими товарами, обмениваться на другие товары. Способность товара к обмену в определенных количественных пропорциях есть меновая стоимость.
- Услуги (в экономической теории) — товары , которые могут производиться, передаваться и потребляться одновременно.
Услуга характеризуется неосязаемостью, несохраняемостью, непостоянством качества и неотделимостью от источника.
6. Величина стоимости товара и факторы её определяющие . Предельная полезность
Величина стоимости товара и факторы, ее определяющие
Величина стоимости товара определяется количеством затраченного труда. Единицей, с помощью которой можно определить количество труда, является время, но не индивидуальное (необходимое для изготовления товара на отдельном предприятии), а общественно-необходимое. Это время, необходимое для изготовления какой-либо потребительной стоимости при наличии общественно-нормальных условий производства и при среднем в данном обществе уровне умелости и интенсивности труда. Оно тяготеет к индивидуальному рабочему времени на тех предприятиях, где производится основная масса продукции. Формирование общественно-необходимых затрат происходит в процессе конкуренции.
Стоимость товара изменяется в зависимости от производительной силы труда.
Производительность труда – это количество продукции, которое производится за единицу рабочего времени. С ростом производительности труда в каждой единице продукции воплощается меньшее количество труда. Стоимость единицы продукции уменьшается, стоимость всей массы не изменяется.
Интенсивность труда – это затраты труда за единицу рабочего времени. Более интенсивный труд создает за единицу рабочего времени большую стоимость по сравнению с менее интенсивным.
Таким образом, величина стоимости прямо пропорциональна интенсивности труда и обратно пропорциональна производительности труда. Сложный труд – требует подготовки, простой – нет. Сложный труд создает за единицу времени большую стоимость, чем простой.
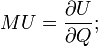
Предельная полезность (нем. Grenznutzen, англ. Marginal utility ) — это полезность , которую человек получает от использования ещё одной дополнительной единицы блага .
Другими словами, предельная полезность — это увеличение общей полезности при потреблении одной дополнительной единицы блага (производная ):
![]()
где U — функция полезности , а Q — количество потребляемого блага.
В условиях чистой конкуренции определяет рыночную цену товара.
Термин "предельная полезность" был введен в экономическую науку Фридрихом фон Визером (1851-1926).
Принцип предельной полезности сводится к следующему: ценность блага данного рода определяется полезностью предельного экземпляра, удовлетворяющего наименее настоятельную потребность.[1]
7. Рынок: содержание, функции, хозяйственный механизм
Ры́нок в экономической теории — это совокупность экономических отношений между субъектами рынка по поводу движения товаров и денег, которые основываются на взаимном согласии, эквивалентности и конкуренции.
К функциям рынка относятся:
- информационная — рынок дает его участникам информацию о необходимом количестве товаров и услуг, их ассортименте и качестве;
- посредническая — рынок выступает посредником между производителем и потребителем;
- ценообразующая — цена складывается на рынке на основе взаимодействия спроса и предложения, с учетом конкуренции;
- регулирующая — рынок приводит в равновесие спрос и предложение;
- стимулирующая — рынок побуждает производителей создавать нужные обществу экономические блага с наименьшими затратами и получать достаточную прибыль.

Хозяйственный механизм
ХОЗЯЙСТВЕННЫЙ МЕХАНИЗМ — совокупность организационных структур и конкретных форм и методов управления, а также правовых норм, с помощью которых реализуются действующие в конкретных условиях экономические законы, процесс воспроизводства.
8.
Структура рынка — в экономике , конфигурация отраслей в зависимости от количества компаний, производящих идентичные продукты.
Разновидности структур рынка:
- Монополистическая конкуренция , также называемая конкурентный рынок, где существует большое количество компаний, каждая из которых имеет небольшую долю рынка и слабо дифференцированные продукты.
- Олигополия — рынок на котором доминирует небольшое количество компаний, которые вместе контролируют подавляюще большую долю рынка.
- Дуополия — частный случай олигополии всего двух компаний.
- Олигопсония — рынок на котором присутствует много продавцов, однако мало покупателей.
- Монополия — рынок на котором присутствует только один производитель товара или услуги.
- Естественная монополия — монополия в которой эффект масштаба тем больше повышает эффективность, чем больше размер компании. Компания является естественной монополией, если она способна самостоятельно обслуживать целый рынок с меньшей себестоимостью чем любое сочетание двух и более компаний меньшего размера, или болеее узко специоализированных компаний.
- Монопсония — рынок на котором присутсвует только один покупатель.
- Совершенная конкуренция теоретически возможная структура рынка с ничем не ограниченной конкуренцией (или полным отсутствием барьеров входа ); неограниченное количество производителей и покупателей в сочетании с совершенно элластичной кривой спроса .
| Основные рыночные структуры |
||||
| Структура рынка |
Барьеры входа для продавца |
Число продавцов |
Барьеры входа для покупателя |
Число покупателей |
| Совершенная конкуренция |
Нет |
Много |
Нет |
Много |
| Монополистическая конкуренция |
Нет |
Много |
Нет |
Много |
| Олигополия |
Да |
Немного |
Нет |
Много |
| Олигопсония |
Нет |
Много |
Да |
Немного |
| Монополия |
Да |
Один |
Нет |
Много |
| Монопсония |
Нет |
Много |
Да |
Один |
Основной критерий по которому отличаются различные структуры рынка это количество и размер производителей и потребителей на рынке, тип реализуемых товаров или услуг и степень доступности информации о них.
Инфраструктура рынка — совокупность учреждений, государственных и коммерческих фирм, обеспечивающих успешное функционирование рыночных отношений.
Термин «инфраструктура» в общем смысле обозначает комплекс отраслей, обслуживающих производственную и социальную сферу народного хозяйства.
Рынок, будучи формой взаимоотношений между отдельными обособленными хозяйственными субъектами, имеет свою специфическую инфраструктуру. Принято различать инфраструктуру трех рынков: товарного, финансового и рынка труда
Для обеспечения нормального режима функционирования рынка необходимо существование ряда подсистем, служб, предприятий, опосредующих рыночные сделки. Так, на рынках товаров и услуг распространены товарные биржи, многочисленные фирмы, занимающиеся посреднической деятельностью, маркетинговые, консалтинговые, аудиторские организации. На финансовых рынках широко представлены валютные, фондовые биржи; для обслуживания ресурсных рынков существуют сырьевые биржи. Инфраструктура рынка труда включает в себя биржи труда, службу занятости и переподготовки кадров, регулирование миграции рабочей силы и т. д.
Как видно, основными элементами классической рыночной инфраструктуры являются торговая сеть, биржи и банки.
Помимо этого, успешное функционирование рынка невозможно без рекламы, информатизационных и консультативных служб, без учреждений контроля и ревизии.
9. Взаимосвязь рынков. Кругооборот ресурсов, продуктов и доходов. Основные субъекты рынка
Экономический кругооборот –
это циркуляция реальных экономических благ, сопровождающаяся встречным потоком доходов и расходов..
В этом случае рыночный кругооборот включает следующие блоки: 1) домохозяйства; 2) фирмы; 3) рынок ресурсов; 4) рынок продуктов.
Домохозяйства рассматриваются как собственники всех ресурсов: труда, капитала, земли и предпринимательских способностей. За ресурсы, поставляемые на рынок ресурсов, домохозяйство получает денежный доход (заработную плату за труд, арендную плату за землю, процент за капитал, прибыль за предпринимательские способности). Денежный доход расходуется на приобретение товаров и услуг на рынке продуктов. Следовательно, домохозяйства формируют спрос на продукты и услуги и предложение на рынке ресурсов.
Фирмы организуют производство товаров и продают их на рынке продуктов. Выручка от продаж используется для покупки ресурсов, то есть превращается в издержки производства товаров. Фирмы формируют спрос на ресурсы и предложение товаров и услуг на рынке продуктов.
В процессе кругооборота формируются два потока: 1) против часовой стрелки - поток экономических ресурсов; 2) по часовой стрелке - поток денежных доходов, потребительских расходов и издержек производства.
Вмешательство государства в рыночную экономику существенно видоизменяет схему кругооборота .
Как один из участников кругооборота государство выполняет следующие функции:
- собирает налоги;
- перераспределяет доходы посредством трансфертных платежей;
- выплачивает заработную плату работникам госсектора и госслужащим;
- покупает на рынках экономические ресурсы и продукты;
- выступает в роли производителя общественных и квазиобщественных благ, а также других товаров и услуг.
Из анализа модели кругооборота делается два вывода.
Вывод первый. Материальные и денежные потоки динамично развиваются при достаточном равенстве совокупных доходов домашних хозяйств, фирм и государства совокупному объему производства. Совокупные расходы увеличивают занятость, объем производства и доходов. Из полученных доходов вновь финансируются расходы участников оборота, возвращаясь в виде дохода к владельцам факторов производства. Государство выполняет регулирующую функцию в сбалансировании совокупного спроса и совокупного предложения.
Вывод второй. В системе кругооборота взаимосвязи макроэкономических субъектов формируются два важнейших макроэкономических сектора экономики: реальный и финансовый (денежный). Первый определяется величиной ВВП, второй - количеством денег, необходимых для обслуживания внутреннего товарооборота. Оба сектора находятся в противоречивом единстве.
Основными субъектами рынка являются производители продуктов и услуг, непосредственные потребители продуктов и услуг (покупатели), оптовые и розничные продавцы, организаторы торговых процессов (рынки, биржи, мегамоллы и т.п.), консультанты, средства массовой информации, общественные организации и государственные органы.
10 . Цена и её функции
Цена – это количество денег, которые покупатель платит продавцу за единицу товара.
Функции:
1) Измерительная – это первичная функция, т.к. с помощью цены измеряется ценность единицы товара;
2) Регулирование производства и обращение товаров посредством уравновешивания спроса и предложения. Это центральная функция в рыночной экономике. Согласно Смитту цена – это “невидимая рука”, регулирующая рынок;
3) Стимулирующая – т.е. заинтересовывающая производителей производство выгодной рентабельной продукции и угрожая разорением убыточному бесприбыльному производству;
4) Социальная – от неё зависит объем и структура потребления материальных благ и услуг, потребительский бюджет.
11. Спрос как экономическая категория : кривая спроса , закон спроса. Факторы спроса
КРИВАЯ СПРОСА - представленная в графической форме зависимость между величиной спроса на товар (количеством товара, которое могут и хотят приобрести покупатели) и его рыночной ценой при неизменных прочих (неценовых) факторах, влияющих на спрос . Кривая спроса графически отображает закон спроса,
согласно которому чем выше цена , тем меньше величина спроса при прочих равных условиях.
P
![]() |
10 25 Q
Закономерности функционирования спроса наиболее четко проявляются на рынке совершенной конкуренции. Под спросом понимается потребность покупателей в том или ином товаре выраженная в деньгах.
Выделяются следующие виды спроса:
1.индивидуальный– это потребность отдельного покупателя в том или ином товаре выраженного в деньгах.
2.
рыночный– это суммарный спрос индивидуальных покупателей.
3.
совокупный или агрегированный спрос– это спрос, который формируется на национальном рынке и представляет собой реальный объём товаров и услуг, которые готовы купить при определенном уровне цен все экономические субъекты.
Факторы, влияющие на спрос:
1.
Ценовые.
2.
Неценовые.
Неценовые факторы:
1.Изменения в денежных доходах населения.
2.
Изменение в структуре населения.
3.
Изменение цен на товарозаменители.
4.
Экономическая политика правительства.
5.
Изменение потребительских предпочтений.
ЗАКОН СПРОСА — закон, в соответствии с которым рост цен приводит к снижению величины спроса на товары при прочих равных условиях.
12. Эластичность спроса: по цене , по доходу , перекрёстная эластичность
Эластичность спроса позволяет измерить степень реакции покупателя на изменение цен, уровня доходов или других факторов. Рассчитывается через коэффициент эластичности.
Эластичность спроса по цене
Эластичность спроса по цене показывает, на сколько процентов изменится величина спроса при изменении цены на 1%. На эластичность спроса по цене влияют следующие факторы:
- Наличие товаров конкурентов или товаров заменителей (чем их больше, тем больше возможность найти замену подорожавшему товару, т.е. выше эластичность);
- Незаметное для покупателя изменение уровня цен;
- Консерватизм покупателей во вкусах;
- Фактор времени (чем больше у потребителя времени на выбор товара и обдумывание - тем выше эластичность);
- Удельный вес товара в доходах потребителя (чем больше доля цены товара в доходах потребителя, тем выше эластичность).
В зависимости от этих показателей различают:
- Неэластичный спрос (Ep(D) < 1) – рыночная ситуация, при которой изменение цены на 1 % вызывает незначительное изменение объема (QD).
- Эластичный спрос (Ep(D) > 1) – рыночная ситуация, при которой изменение P на 1 % (Dp=1 %) вызывает значительное изменение QD.
- Спрос единичной эластичности (Ep(D) = 1) – это рыночная ситуация, при которой изменение цены на 1 % вызывает 1-процентное изменение QD.
- Абсолютно неэластичный спрос, означающий абсолютную нечувствительность объема спроса к изменению цены (Ep(D) = 0): изменение P на 1 % и более не влияет на изменение QD.
Эластичность спроса по доходу
Эластичность спроса по доходу показывает, на сколько процентов изменится величина спроса при изменении дохода на 1%. Она зависит от следующих факторов:
- Значимость товара для бюджета семьи.
- Является ли товар предметом роскоши или предметом первой необходимости.
- Консерватизм во вкусах.
Измерив эластичность спроса по доходу, можно определить относится ли данный товар к категории нормальных или малоценных. Основная масса потребляемых товаров относится к категории нормальных. С ростом доходов мы больше покупаем одежды, обуви, высококачественных продуктов питания, товаров длительного пользования. Есть товары, спрос на которые обратно пропорциональны доходам потребителей. К ним относятся: вся продукция секонд-хенд и некоторые виды продовольствия(дешевая колбаса, приправа).
Перекрёстная эластичность спроса
Это отношение процентного изменения спроса на один товар к процентному изменению цены на какой-либо другой товар. Положительное значение величины означает, что эти товары являются взаимозаменяемыми (субститутами), отрицательное значение показывает, что они взаимодополняющие (комплементы)[1] .
13. Предложение как экономическая категория : кривая предложения , закон предложения , факторы предложения
КРИВАЯ ПРЕДЛОЖЕНИЯ - представленная в графической форме зависимость между величиной предложения товара на рынке (количеством предлагаемого по данной цене товара) и ценой этого товара при неизменных прочих (неценовых) факторах, влияющих на предложение. Кривая предложения графически отображает закон предложения, согласно которому чем выше цена, тем больше при прочих
P
S
Q Функция предложения
— определяет предложение в зависимости от влияющих на него факторов.
Законом предложения
называется увеличение количества предлагаемого блага при росте его цены
.
Факторы, влияющие на предложение:
1.
Ценовые.
2.
Неценовые.
Неценовые факторы:
1.
Цены на ресурсы.
2.
Новые технологии.
14. Рыночное равновесия . Равновесная цена
Рыночное равновесие — ситуация на рынке , когда спрос на товар равен его предложению; объём продукта и его цену называют равновесными или ценой рыночного клиринга . Такая цена имеет тенденцию в отсутствии изменений спроса и предложения оставаться неизменной.
Рыночное равновесие характеризуется равновесной ценой и равновесным объёмом.
Равновесная цена (англ. equilibrium price ) — цена, при которой объем спроса на рынке равен объему предложения. На графике спроса и предложения она определяется в точке пересечения кривой спроса и кривой предложения.
Равновесный объём (англ. equilibrium quantity ) — объем спроса и предложения товара при равновесной цене.

Цена при рыночном равновесии:
- P — цена
- Q — количество товара
- S — предложение
- D — спрос
- P0 — цена при рыночном равновесии
- A — увеличение спроса — при P<P0
- B — увеличение предложения — при P>P0
15. Конкуренция : понятия , условие , формы и методы
Конкуренция - это соперничество между участниками рыночного хозяйства за лучшие условия производства, купли и продажи товаров.
Формы конкуренции:
предметная – конкуренция между товарами одной ассортиментной группы, между аналогичными объектами, удовлетворяющими одну и ту же потребность; функциональная – конкуренция между товарами (объектами) – заменителями.
Методы конкуренции:
на основе критерия повышения качества товара или услуги (неценовая); на основе критерия повышения качества сервиса потребителей товара; на основе снижения цены (ценовая); на основе снижения эксплуатационных затрат у потребителя товара и услуг; на основе использования динамичных факторов, в большей мере характеризующих качество управления – факторов времени (продолжительность, скорость, ускорение), синергичность, организованность, адаптивность и др.; на основе использования нескольких или всех пяти предыдущих методов конкуренции (интегральная).
Конкуренция может происходить на следующих уровнях:
местном (в группе, отделе, организации и т.п.); региональном (районе, городе, области и т.п.); национальном (в стране); межнациональном (в нескольких странах); глобальном (в мировом масштабе, без конкретно определенных стран).
Конкуренция является необходимым условием существования, фундаментом всей рыночной системы – позволяет цене выполнять координирующие функции, служить индикатором наличия излишков или дефицита. Рынок существует только при наличии конкуренции
16. Пределы возможности рыночного механизма. Роль государства в рыночной экономики , смешанная экономика
Рыночный механизм – это механизм взаимосвязи и взаимодействия основных элементов рынка: спроса, предложения, цены, конкуренции и основных экономических законов рынков. Такими законами являются: закон стоимости (ценности) и полезности, конкуренции, падающего спроса, изменения предложения, равновесной цены и др.
Рыночный механизм – механизм формирования цен и распределения ресурсов, механизм взаимодействия продавцов и покупателей товаров по поводу определения их количества, качества, структуры производства.
Известно, что рыночный механизм, хотя и представляет собой хорошо отлаженный механизм, способный решать важнейшие экономические задачи, стоящие перед обществом, все же не срабатывает в ряде областей хозяйственной жизнедеятельности. Такие ситуации, при которых рыночный механизм не может обеспечить эффективное использование ресурсов, принято называть провалами (фиаско, несостоятельностью) рынка .
Обычно выделяют четыре типа неэффективных ситуаций, свидетельствующих о «провалах» рынка:
1. Общественные блага – товары и услуги, предоставляемые государством на благо всех граждан или большинства населения страны (образование, здравоохранение, жилье). Прямая плата за них отсутствует. Большая часть общественных благ не обеспечивается частными рынками. Это связано, прежде всего, с тем, что потребление этих благ обладает такими свойствами:
а) включенность (или проблема безбилетника – free rider). Free rider – этот тот, кому удается пользоваться неким благом, требующим затрат на его производство, ничего не платя за него. Например, национальная оборона. Чтобы разрешить проблему бесплатного пользования (не решаемую рынком) обществу надо найти некоторый способ совместного решения того, сколько тратить на оборону. Государство и призвано принимать такие решения.
б) нулевые предельные издержки . При увеличении количества людей, потребляющих благо, роста издержке не происходит.
в) неделимость , что тесно связано с включенностью. Благо столь велико, что не может быть продано индивидуальным покупателям.
г) высокий уровень положительных эффектов , т.е. полезность для всего общества в целом. При этом производство таких благ рынком невозможно в силу действия принципов неделимости и включенности.
2. Внешние эффекты (экстерналии) – это издержки или выгоды от рыночных сделок, не находящие отражение в ценах, которые распространяются также на людей, непосредственно не осуществляющих материальных или денежных затрат, но использующих побочные эффекты деятельности других, т.е. они касаются и производителей и потребителей. Отрицательные внешние эффекты возникают в случае, если деятельность одного экономического агента вызывает издержки других. Например, загрязнение воды, почвы, воздуха в результате работы частного предприятия. При наличии отрицательного внешнего эффекта экономическое благо продается и покупается в большем по сравнению с эффективным объеме, т.е. имеет место перепроизводство товаров и услуг с отрицательным внешним эффектом. Положительные внешние эффекты возникают в случае, если деятельность одного экономического агента приносит выгоды другим. При наличии положительного внешнего эффекта экономическое благо продается и покупается в меньшем по сравнению с эффективным объеме, т.е. имеет место недопроизводство товаров и услуг с положительным внешним эффектом.
Т.о. рыночная система способствует перепроизводству и перепотреблению товаров и услуг, вредных обществу, и, напротив, недопроизводятся и недопотребляются товары и услуги, полезные обществу.
3. Несовершенная (асимметричная) информация – ситуация, в которой часть участников рыночной сделки владеет важной информацией, которой не владеют другие заинтересованные лица; характерная для многих ситуаций в бизнесе. Как правило, продавец продукта знает о его качестве больше, чем покупатель. Дефицит информации о качестве продаваемого товара приводит к бесконечному падению цен. Асимметричная информация приводит к несостоятельности рынка в регулировании распределения ресурсов. Факт асимметричной информации требует более активного участия правительства в регулировании экономики, ибо недостаточная информация может разрушить рынки.
4. Монополии – тип структуры рынка, в которых существует только один продавец, контролирующий всю отрасль производства определенного товара, не имеющего близкого заменителя. Фирма-монополист устанавливает цену на свой товар, т.е. обладает монопольной властью. Монопольная власть – возможность монополиста устанавливать цену на свой товар, изменяя его объем, который он готов продать. Монопольная власть ведет к росту цен и сокращению объема выпуска. В результате ухудшается благосостояние потребителей и растет благосостояние фирм-монополистов.
5. Иногда сюда относят также неспособность рынка обеспечить нужным количеством денег обращение.
Во всех этих случаях требуется вмешательство государства .
Функции выполняемые государством по предоставлению общественных благ, регулированию внешних эффектов, регулированию монополий и антимонопольному законодательству, пресечению асимметричной информации и эффективной организации денежного обращения, образуют минимально необходимые границы регулирования государством реального рынка.
1. Общественные блага связывают коллективные потребности с налоговой и бюджетной политикой государство, поэтому государство призвано решить сложнейшую задачу согласования доходов и расходов в госбюджете. Государство должно проводить определенную экономическую политику:
1.1. Поскольку гражданин страны покупает общественный товар по цене, равной налогу. То необходимо поддержание равновесия между доходами бюджета, формируемыми из налогов, и его расходами;
1.2. Структура бюджетных расходов должна соответствовать структуре спроса на общественные блага;
1.3. С увеличением или уменьшением спектра общественных товаров должен соответственно увеличиваться или уменьшаться госбюджета;
1.4. Серьезное значение в современных условиях хозяйствования имеет соотношение частного и общественного блага
2. Регулирование внешних эффектов берет на себя государство. Оно может вводить
2.1. Корректирующий налог – налог на выпуск экономических благ, характеризующихся отрицательными внешними эффектами, который повышает предельные частные издержки до уровня предельных общественных.
2.2. Корректирующие субсидии – субсидии производителя или потребителя экономических благ с положительным внешним эффектом, которые позволяет приблизить частные общественные выгоды к предельным общественным.
2.3. Установление норм или стандартов по вредным выбросам
2.4 Введение платы за выбросы
2.5. Продажа временных прав на выбросы
3. Государство может сглаживать асимметричность информации путем контроля за качеством товаров и услуг; распространения нужных потребителям сведений, препятствуя распространению вводящей в заблуждение рекламы и т.д. Большое значение имеет законодательство в сфере защиты прав потребителей; в связи с несостоятельностью страхового рынка страхованием занимается государство.
4.Монополия требует вмешательства государства. Деятельность монополий усиливает дифференциацию доходов, чревата социальными конфликтами. Поэтому современного государство должно осуществлять антимонопольное регулирование экономики, в с применением 3х групп мер:
1) Административно-правовое воздействие : запрет монополии в какой-либо отрасли хозяй1ства; роспуск соответствующих монополистических объединений; расчленение монополий на ряд самостоятельных производств
2) Административно-экономическое воздействие : преследование государством торговцев, осуществляющих ценовую дискриминацию; фальсификацию товаров путем использования рекламы; запрещение внеэкономического воздействия на контрагентов путем сговора с целью оказания совместного влияния на изменение рыночной ситуации
3) Экономическое воздействие : использование разных приемов ведения налоговой политики, которые вынуждают монополию назначать цены на выпускаемую продукцию, близкие к условиям свободной конкуренции; поощрение выпуска товаров-субститутов; расширение рынка за счет установления международных экономических связей и увеличение импорта; распределение научных и технических связей
4) Регулирование вопросов собственности; содействие развитию предпринимательства; регулирование деятельности монополистов; правовая охрана промышленной собственности, защита прав потребителя и борьба против недобросовестной конкуренции
5) Денационализация государственной собственности, развитие приватизации
Максимальные функции государства:
1. Смягчение хронических болезней рынка – цикличности развития экономики с помощью антициклической политики, инфляции с использованием антиинфляционной политики, безработицы при помощи социальной политики;
2. Регулирование денежного обращения , т.е. эмиссия денег – функция государственного Центрального Банка, а не рыночных структур.
3. Социальная функция государства – удовлетворение общественных потребностей в здравоохранении, образовании, поддержки неимущих, регулирование рынка труда и т.д.
4. Перераспределение доходов – через налоги , для поддержания нетрудоспособных, престарелых, безработных, обеспечение минимальной заработной платы и т.д.
5. Поддержание общепринятых правил, создание институтов, деятельность которых ориентирована на поддержание и сохранение институтов как определенного порядка в экономике (законодательная база).
6. Деятельность государства в качестве субъекта имущественных отношений – охрана национальных достояний, регулирование жизненно важных отраслей инфраструктуры: транспорт, связь, энергетика и т.д.
7. Реализация национальных интересов в мировой экономике – проведение государством соответствующей внешнеторговой политики, контроль над международной миграцией капиталов и рабочей силы, воздействие на валютные курсы, управление платежными балансами и другое
Сме́шанная эконо́мика , гибри́дная эконо́мика — экономика , которая включает как частную и корпоративную, так и общественную, либо государственную собственность на средства производства. Она позволяет частным предпринимателям и физическим лицам принимать независимые финансовые решения, однако их автономия ограничена тем, что государство или общество обладает приоритетом в этих финансовых вопросах.
В рамках смешанной экономики как государство, так и частные предприятия и корпорации имеют право иметь в собственности или оперативном управлении средства производства, свободно перемещать товары, осуществлять сделки по купле-продаже, нанимать и увольнять работников, и фактически являются равноправными игроками рынка.
Деятельность государства финансируется за счёт налогов и акцизов , но главным образом — за счёт его собственной экономической деятельности, обеспечивающей ему необходимую финансовую самостоятельность и имеющей своей целью как раз обеспечение базовых его функций.
Ряд жизненно важных для общества услуг и элементов общегосударственной инфраструктуры финансируются или частично субсидируются за счёт бюджета , либо напрямую принадлежат государству: юридические услуги, библиотеки , дороги , школы , больницы , силовые структуры, сельское хозяйство и связанное производство продуктов питания первой необходимости, топливно-энергетический сектор, жилищно-коммунальное хозяйство, государственные монополии и т. п.
Иногда вводится ряд специальных, целевых налогов и сборов с целью возможности выплат: социальной помощи, пенсий, обязательного страхования, государственных субсидий.
Государство также осуществляет: регулирование — трудовое, антимонопольное, корпоративное, таможенное; защиту интеллектуальной собственности, прав потребителей, окружающей среды ; протекционизм .
По одной из точек зрения, большинство современных национальных экономик — гибридные, так как включают в себя как частную собственность, так и элементы государственной и близкой к ней корпоративной собственности, причём во многих развитых странах последняя играет ведущую роль.
17. Потребительского поведения теория - теория, рассматривающая поведение потребителей на рынке, раскрывающая механизм взаимодействия потребностей и спроса. В основе формирования рыночного спроса лежат решения отдельных потребителей. Эти решения продиктованы желанием достичь наибольшей выгоды, или отдачи, или полезного эффекта, при имеющихся затратах или возможностях. Производитель стремиться получить максимальную прибыль и для этого ведет свою производственную деятельность с учетом спроса на создаваемую продукцию, цен на ресурсы и многих других факторов. Потребитель имеет своей целью максимальное удовлетворение своих потребностей, получение максимальной полезности от приобретенных им товаров и услуг, исходя из имеющихся у него дохода, личных пристрастий, а также с учетом рыночных цен на товары и услуги. Кардиналистский подход предполагает абсолютно точное количественное определениие величины полезности. Мера полезности – "ютиль". Этот подход не отражает реальности, т.к в жизни не удалось найти универсальную единицу измерения полезности. Поэтому его сменил ординалистский подход - предельная полезность данного товара зависит не только от его количества, но и от количества других товаров. Не требуется точного измерения полезности.
Фу́нкция поле́зности — экономическая модель для определения предпочтений экономических субъектов. Основоположным условием концепта функции полезности является рациональное поведение потребителя, выражающееся в выборе из многочисленных альтернатив именно тех, которые выводят его на более высокий уровень полезности. В микроэкономике концепт функции полезности служит для объяснения поведения потребителей и производителей, в то время как в макроэкономике им пользуются для изображения предпочтений государственных интересов. Первая производная функции полезности по количеству определённого блага называется предельной полезностью этого блага. Предельная полезность выражает, сколько дополнительной полезности приносит дополнительная единица блага i. Предельная полезность, равная 0, означает достижение насыщенности. ![]()
Общая полезность – это мера общего удовлетворения от потребления товаров за данный период. Предельная полезность – изменение общей полезности, вызванное изменением в потреблении данного товара на единицу. Теория полезности основана на субъективных оценках. По мнению некотроых специалистов, эта субъективность не позволяет объективно объяснить потребительский выбор. Они предлагают объяснение законов потребительского выбора, основанное на эффекте замещения и эффекте дохода. Согласно эффекту замещения потребитель будет покупать больше товаров, цена на которые снизилась и заменять более дорогие товары. Это часть прироста величины спроса, образовавшаяся в результате замены более дешевым более дорогого блага. Эффект дохода – при снижении цены высвобождается часть дохода для покупки дополнительных единиц товара. Это доля изменения величины спроса на подешевевший товар, вызванная соответственным увеличением дохода.
Оптимальный выбор потребителя. Потребитель стремиться выбрать ту из потребительских корзин, которая бы в максимальной степени удовлетворяла бы его потребности, т.е. имела бы для него максимальную полезность. Потребительский набор, лежащий в области бюджетной совокупности и обеспечивающий максимальную полезность данному потребителю, называется оптимальным.
18. Потребительского поведения теория - теория, рассматривающая поведение потребителей на рынке, раскрывающая механизм взаимодействия потребностей и спроса. В основе формирования рыночного спроса лежат решения отдельных потребителей. Эти решения продиктованы желанием достичь наибольшей выгоды, или отдачи, или полезного эффекта, при имеющихся затратах или возможностях. Производитель стремиться получить максимальную прибыль и для этого ведет свою производственную деятельность с учетом спроса на создаваемую продукцию, цен на ресурсы и многих других факторов. Потребитель имеет своей целью максимальное удовлетворение своих потребностей, получение максимальной полезности от приобретенных им товаров и услуг, исходя из имеющихся у него дохода, личных пристрастий, а также с учетом рыночных цен на товары и услуги. Кардиналистский подход предполагает абсолютно точное количественное определениие величины полезности. Мера полезности – "ютиль". Этот подход не отражает реальности, т.к в жизни не удалось найти универсальную единицу измерения полезности. Поэтому его сменил ординалистский подход - предельная полезность данного товара зависит не только от его количества, но и от количества других товаров. Не требуется точного измерения полезности.
Ординалистский(порядковый) подход - предельная полезность данного товара зависит не только от его количества, но и от количества других товаров. Не требуется точного измерения полезности. Согласно этой теории, предельную полезность измерить невозможно; потребитель измеряет не полезность отдельных благ, а полезность наборов благ. Измеримости поддается только порядок предпочтения наборов благ. Критерий ординалистской (порядковой) теории полезности предполагает упорядочение потребителем своих предпочтений относительно благ. Потребитель систематизирует выбор набора благ по уровню удовлетворения. Например, 1-й набор благ доставляет ему наибольшее удовлетворение, 2-й набор - меньшее удовлетворение, 3-й набор - еще меньшее удовлетворение и т. д. Следовательно, подобная систематизация дает представление о предпочтениях потребителей в отношении набора благ. Однако она не дает представления о различиях удовлетворения данными наборами благ. Иными словами, с практической точки зрения потребитель может сказать, какой набор он предпочитает другому, но не может определить, насколько один набор лучше другого.
Кривые безразличия – основной инструмент анализа поведения потребителя. Оптимальное соотношение двух товаров, дающее максимальную суммарную полезность, означает потребительское равновесие - это такая ситуация, в которой потребитель не может увеличить общую полезность. Например, при ограниченном бюджете для потребителя наборы в 8 кг мяса и 2кг сыра или 4 кг мяса и 4 кг сыра могут быть равноценными, т.е. для него безразлично, какой из наборов приобрести. Это наборы безразличия, т.к. каждый из них приносит один и тот же уровень удовлетворения.

Оптимальный выбор потребителя. Потребитель стремиться выбрать ту из потребительских корзин, которая бы в максимальной степени удовлетворяла бы его потребности, т.е. имела бы для него максимальную полезность. Потребительский набор, лежащий в области бюджетной совокупности и обеспечивающий максимальную полезность данному потребителю, называется оптимальным.
19. Сущность и условия предпринимательской деятельности
Предпринимателями мы называем хозяйственных субъектов, функцией которых является реализация нововведений, осуществление новых комбинаций. Вплотную к понятию «предприниматель» примыкает и понятие «предпринимательство». Под предпринимательством понимается деятельность, осуществляемая частными лицами, предприятиями или организациями по производству, оказанию услуг или приобретению и продаже товаров в обмен на другие товары или деньги к взаимной выгоде заинтересованных лиц или предприятий.
Субъектами предпринимательства могут быть как отдельные частные лица, так и объединения партнеров. Частные лица выступают в качестве субъектов предпринимательства, как правило, путем организации единоличного или семейного предприятия. Такие предприниматели могут ограничиваться затратами собственного труда или использовать наемный труд.
Объединение партнеров как субъекты предпринимательства могут выступать в форме различных хозяйственных ассоциаций: арендных коллективов, акционерных обществ открытого и закрытого типов, различных товариществ и др.
Хозяйственная ассоциация - это договорное объединение предприятий, созданное в целях координации производственно - хозяйственной деятельности для решения определенных задач. Ее участники объединяют лишь часть своих финансовых и материальных ресурсов. Они могут входить и в другие хозяйственные объединения предприятий без согласования с другими членами ассоциации. Эта форма объединения предприятий менее жесткая, чем концерн.
К важнейшим чертам предпринимательства следует отнести:
1. самостоятельность и независимость хозяйствующих субъектов. Любой предприниматель свободен в принятии решения по тому или иному вопросу, естественно, в рамках правовых норм;
2. экономическую заинтересованность. Главная цель предпринимательства - получение максимально возможной прибыли. Вместе с тем, преследуя свои сугубо личные интересы получения высокого дохода, предприниматель способствует и достижению общественного интереса;
3. хозяйственный риск и ответственность. При любых самых выверенных расчетах неопределенность и риск остаются.
Перечисленные важнейшие признаки предпринимательства взаимосвязаны и действуют одновременно.
Условия, необходимые для предпринимательской деятельности
Для формирования предпринимательства необходимы определенные условия: экономические, социальные, правовые и др.
Экономические условия - это в первую очередь предложения товаров и спрос на них; виды товаров, которые могут приобрести покупатели; объемы денежные средства, которые они могут истратить на эти покупки; избыток или недостаточность рабочих мест, рабочей силы, влияющей на уровень заработной платы работников, т.е. на их возможность приобретения товаров.
На экономическую обстановку существенно влияют наличие и доступность денежных ресурсов, уровень доходов на инвестированный капитал, а так же заемных средств, к которым готовы обратиться предприниматели для финансирования своих деловых операций и которые готовы предоставить им кредитные учреждения.
Всем этим занимается множество разнообразных организаций, составляющих инфраструктуру рынка, с помощью которой предприниматели могут устанавливать деловые взаимоотношения и вести коммерческие операции. Это банки - оказание финансовых услуг; поставщики - снабжение сырьем, материалами, полуфабрикатами, комплектующими изделиями, энергией, машинами и оборудованием, инструментами и др.; оптовые и розничные продавцы - предоставлению услуг по доведению товаров до потребителя; специализированные фирмы и учреждения - предоставление профессиональных юридических, бухгалтерских, посреднических услуг; агентства по трудоустройству - оказание помощи в подборе рабочей силы; учебные заведения - обучение рабочих и специалистов - служащих; прочие агентства - рекламные, транспортные, страховые и др.; средства связи и передачи информации.
Вплотную к экономическим примыкают социальные условия формирования предпринимательства. Прежде всего это стремление покупателей приобретать товары, отвечающие определенным вкусам и моде.
На разных этапах эти потребности могут меняться. Существенную роль играют нравственные и религиозные нормы, зависящие от социально - культурной среды. Эти нормы оказывают прямое воздействие на образ жизни потребителей и посредством этого - на их спрос на товары. Социальные условия влияют на отношение отдельного индивидуума к работе, что в свою очередь сказывается на его отношении к величине заработной платы, к условиям труда, предлагаемым бизнесом.
От предпринимательской деятельности предприниматель должен получать удовольствие. Он участвует в решении социальных вопросов трудовой деятельности своих сотрудников: охраны их здоровья, сохранения рабочих мест и др.
Важную роль в формировании предпринимательства играет подготовка, переподготовка и повышение квалификации кадров предпринимателей: организация обучения современным методам ведения предпринимательской деятельности; обучение и переобучение кадров, их стажировка в разных странах; организация подготовки и переподготовки преподавательских кадров для обучения предпринимателей; создание сети консультативных центров, проводящих профессиональный отбор и ориентацию кадров предпринимательского сектора, и др.
Любая предпринимательская деятельность функционирует в рамках соответствующей правовой среды. Поэтому большое значение имеет создание необходимых правовых условий. Это в первую очередь наличие законов, регулирующих предпринимательскую деятельность, создающих наиболее благоприятные условия для ее развития: упрощенная и ускоренная процедура открытия и регистрации предприятий; защита предпринимателя от государственного бюрократизма; совершенствование налогового законодательства в направлении мотивации производственной предпринимательской деятельности, развития совместной деятельности предпринимателей России и зарубежных стран.
20. Организационно-правовые формы предпринимательской деятельности
Индивидуальное предпринимательство .Индивидуальное предпринимательство — самый простой и самый древний тип предпринимательства. Всеми средствами в этом случае владеет один собственник. Он самостоятельно решает вопрос, что, для кого и как производить; единолично распоряжается полученнрй выручкой и несет неограниченную материальную ответственность за результаты своей деятельности. В случае образования долга, например, предприниматель рассчитывается своим имуществом. Такая перспектива вполне реальна, ведь, как показывает статистика, ежегодно разоряется ничуть не меньше индивидуальных предпринимателей, чем регистрируется новых.Индивидуальный предприниматель обычно трудится сам, но вправе нанимать и дополнительных работников, заключая с каждым из них договор.
Юридические лица: коммерческие и некоммерческие организации .Предприниматель, как правило, имеет возможность объединиться с другими предпринимателями для совместного достижения общих хозяйственных целей. Совместная деятельность может при этом основываться:на согласии вести общее дело, что находит свое отражение в договоре — соглашении сторон;на образовании совместного имущества, складывающегося из долей, являющихся собственным имуществом партнеров (денежные средства, материальные ценности и др.) и представляющих вклады в составе общего имущества (складочном капитале). Для некоммерческих организаций получение прибыли не выступает в качестве основной цели. Они вправе заниматься предпринимательской деятельностью лишь постольку, поскольку это необходимо для реализации их уставных целей, а прибыль полностью используется для саморазвития и не распределяется между участниками. Преимуществом такой формы организации дела является льготное налогообложение. Но надо еще раз подчеркнуть, что некоммерческие организации создаются не в целях извлечения прибыли.Коммерческие организации создаются их учредителями в целях извлечения прибыли. Российским законодательством предусматривается несколько организационно-правовых форм этих организаций. Это хозяйственные товарищества и общества с разделенным на доли (вклады) учредителей уставным (складочным) капиталом.
Товарищество (партнерство) .Товарищество (партнерство) – это организационная форма предпринимательства, когда и организация производственной деятельности, и формирование уставного капитала осуществляется совместным усилием двух или более лиц (физических и юридических). Каждое из них имеет определенные права и несет определенную ответственность в зависимости от доли в уставном фонде и места, занимаемого в структуре управления таким товариществом. Товарищество как форма организации бизнеса в большей или меньшей степени является следствием естественного развития индивидуальной частной фирмы. Оно зародилось в попытке преодолеть некоторые из основных недостатков индивидуального предпринимательства.Таким образом, хозяйственное товарищество – это коммерческая организация, обладающая на правах собственности обособленным имуществом, с разделенным на доли (вклады) уставным или складочным капиталом. Товарищество может создаваться:индивидуальными лицами;индивидуальными лицами и коммерческими организациями;коммерческими организациями.
Хозяйственное общество – это коммерческая организация, уставный фонд которой формируется одним или несколькими физическими или юридическими лицами путем внесения своих долей (или полной величины уставного капитала, если в качестве учредителя выступает одно лицо). В качестве долей могут рассматриваться денежные или материальные средства, интеллектуальный капитал, ценные бумаги или имущественные права, имеющие денежную оценку. При этом осуществляется экспертная оценка стоимости интеллектуального капитала и имущественных прав в денежной форме. Существует четыре формы хозяйственных обществ:общество с ограниченной ответственностью (ООО);общество с дополнительной ответственностью;закрытое акционерное общество (ЗАО);открытое акционерное общество (ОАО).
Общество с ограниченной ответственностью (ООО) – это коммерческая организация, учредителем которой выступает одно или несколько физических или юридических лиц, которые несут ответственность по обязательствам общества и риск убытков в пределах только внесенных ими вкладов. ООО вправе преобразовываться в акционерное общество или производственный кооператив. Ликвидировано общество может быть только по единогласному решению его участников.Участник общества вправе продать или иным образом уступить свою долю в уставном капитале общества или часть ее одному или нескольким участникам данного общества.Доли в уставном капитале переходят к наследникам граждан и к правопреемникам юридических лиц, являвшихся участниками общества, если учредительными документами общества не предусмотрено, что такой переход допускается только с согласия участников общества. Выход участника общества не требует согласия на это других его участников.
Общество с дополнительной ответственностью имеет черты, свойственные и обществам, и товариществам. От общества с ограниченной ответственностью его отличает то, что при недостаточности имущества для удовлетворения требований кредиторов его участники отвечают субсидиарно (дополнительно) в солидарном порядке. Размер ответственности последних (в отличие от полных товарищей) ограничен лишь той частью их имущества, которая кратна сумме внесенных ими вкладов.Банкротство одного из участников приводит к тому, что его ответственность по обязательствам общества распределяется между остальными участниками пропорционально их вкладам, если иной порядок не определен учредительными документами. Следовательно, требования кредиторов остаются обеспеченными в прежнем размере.Указание на дополнительную ответственность общества должно содержаться в его фирменном наименовании.
Акционерное общество – это общество, уставный капитал которого разделен на определенное число акций; участники акционерного общества (акционеры) не отвечают по его обязательствам и несут риск убытков, связанных с деятельностью общества в пределах стоимости принадлежащим им акций. Акционерное общество, с точки зрения индивидуального предпринимателя, - оптимальная форма организационно-правового оформления предпринимательской деятельности. Оно может быть создано одним лицом или состоять из одного лица в случае приобретения одним акционером всех акций общества. Акционеры имеют право на долю доходов АО. Часть прибыли, выплачиваемая владельцу акции, называется дивидендом. Та часть, которая не выплачивается в качестве дивидендов, называется нераспределенной прибылью. Акционерное общество по закону не может иметь в качестве единственного участника хозяйственное общество, состоящее из одного лица.Виды акционерных обществ:открытое (ОАО);закрытое (ЗАО)
Закрытое акционерное общество – это общество, акции которого распространяются только среди его учредителей (среди заранее определенного круга лиц), когда не используется форма открытой подписки на эмитируемые обществом акции и они не могут свободно продаваться и покупаться на фондовом рынке. Потенциальный покупатель не может просто дать поручение своему брокеру приобрести определенное количество акций. Первоначально акции такой компании распределяются в частном порядке, и акционеры могут распоряжаться ими только с согласия компании. Число членов ЗАО не может превышать 50 (при превышении этого числа акционеров общество должно трансформироваться в открытое акционерное общество путем перерегистрации).
Открытое акционерное общество – это акционерное общество, участники которого могут свободно продавать и покупать акции общества без согласия других акционеров. Оно может проводить открытую подписку на эмитируемые им акции, которые могут свободно обращаться на фондовом рынке. Это подразумевает полную открытость общества и тщательный контроль за его деятнльностью, поэтому оно обязано ежегодно публиковать для всеобщего сведения:годовой отчет;бухгалтерский баланс;счет прибылей и убытков;
21.Производительность труда и факторы её определяющие. Закон убывающей предельной полезности
ПРОИЗВОДИТЕЛЬНОСТЬ ТРУДА - плодотворность, эффективность производственной деятельности людей, измеряемая .количеством продукции (благ и услуг), произведенной в единицу рабочего времени (час, смену, месяц, год), или величиной времени, затрачиваемого на единицу продукции. Производительность труда - важнейший показатель эффективности общественного производства, зависящий от .уровня развития производительных сил в обществе, степени использования его производственного, научного, трудового, природного потенциала, соответствия производственных отношений характеру производительных сил.
Повышение общественного уровня производительности труда означает экономию живого и прошлого труда, т. е. снижение общественно необходимого рабочего времени на производство единицы товара; снижение его стоимости. Достигнутый уровень производительности труда определяет обеспеченность общества материальными и духовными благами, уровень его богатства. Чем выше уровень производительности труда в сфере материального производства, тем большими возможностями располагает общество для развития непроизводственной сферы (сферы услуг, особенно духовной сферы).
Производительность труда измеряется различными показателями. Выражением общественного уровня, применяемого при международных сопоставлениях, является показатель произведенного национального дохода на душу населения или на занятого в общественном производстве. На уровне отраслей, предприятий применяется показатель — производство валовой (товарной, в отдельных отраслях чистой) продукции на одного работника. В некоторых монопродуктивных отраслях для измерения производительности труда используются натуральные измерители (например добыча нефти, угля на 1 работника промышленно-производственного персонала).
Как показывает мировой опыт, темпы роста производительности труда на различных ступенях развития общества были неодинаковы. До промышленной революции XVIII-XIX вв. производительность труда росла медленно (не более 4% за каждые 10 лет), поскольку основной базой производства оставался ручной труд и лично зависимый от хозяина работник (раб, крепостной крестьянин). Переход от ручных орудий труда к машинам и появление лично свободного рабочего, собственника своей рабочей силы, явились главными факторами резкого роста производительности труда. Машинное производство, предполагающее постоянное совершенствование техники и технологии, углубление разделения и кооперации труда на его основе, применение достижений науки и техники в производстве привело к скачкообразному, резкому росту производительности труда в обществе.
В условиях современного производства основными факторами роста производительности труда являются: 1) факторы, лежащие на стороне работника: уровень его интеллектуального развития, физическое здоровье, система ценностных ориентации, трудовая активность, ответственность, дисциплинированность и т. д.; 2) факторы, связанные с материально-технической базой производства: уровень развития техники, технологии, скорость обновления организационно-технических и технологических принципов в производстве на основе использования достижений НТР и т. д.; 3) организационные факторы: развитие кооперации, специализации, комбинирования производства, совершенствование организации труда и производства; 4) факторы оптимальной стыковки производства продукции и ее реализации (маркетинговые исследования, службы разработки и реализации маркетинговой стратегии) и т. д.
Закон убывающей полезности (MU) – С ростом потребления данного блага, предельная полезность от каждой дополнительной единицы убывает.
22. Производственная функция. Взаимозаменяемость факторов производства
Производственная функция , также функция производства — экономико-математическая количественная зависимость между величинами выпуска (количество продукции) и факторами производства, (затраты ресурсов, уровень технологий и др.) может выражаться как множество изоквант.[1]
Агрегированная производственная функция может описывать объёмы выпуска народного хозяйства в целом.
В зависимости от анализа влияния факторов производства на объём выпуска в определённый момент времени или в разные промежутки времени производственные функции делятся на статические: P = f (x 1 ,x 2 ,...,xn ) и динамические: P = f (x 1 (t ),...,xk (t ),...,xn ).
Линейные
![]()
Мультипликативно-степенные
Это функции вида 
Такие производственные функции при отсутствии одного из факторов обращаются в ноль.
- Функция Кобба-Дугласа
:

Взаимозаменяемость факторов производства
.
Взаимозаменяемость факторов производства
Следует заметить, что факторы обладают взаимозаменяемостью. Она обусловлена разнообразными потребительскими свойствами продукта. В результате возможно любое производство продукта или блага при использовании различных факторов в разнообразных сочетаниях и разнообразных пропорциях. Такая взаимозаменяемость и пропорциональная количественная переменность особенно типичны для современного производства — от изготовления химических продуктов до индустриального строительства жилых зданий.
Взаимозаменяемость факторов обусловлена не только спецификой потребностей и конструктивных особенностей изделия, но и, главным образом, ограниченностью ресурсов, с одной стороны, и эффективностью их использования — с другой. Предприниматель выбирает такую технологию производства, при которой дефицитный или сравнительно дорогой фактор используется в меньшей мере. Именно этим обстоятельствам общество обязано появлению высотных зданий при ограниченности свободной земли, полупроводников, заменителей, многообразных моделей бензиносберегающих машин и т.д.
Независимо от классификации все факторы в конечном счете используются для изготовления продукта. Представим, что при очень упрощенном производстве один фактор используется для изготовления одного продукта:
Q =/(Л),
где Q — продукт; А — фактор производства.
В данном случае продукт выступает функцией одного фактора. В реальной же действительности процесс производства протекает сложнее, а его итог (продукт) — результат использования множества факторов. Могут встречаться разнообразные ситуации, которые условно можно свести к четырем: фактор не используется; используется на половину его возможности; используется для производства оптимального количества продукта; используется для изготовления чрезмерно большого количества продукта.
Бесчисленное множество использованных в производстве продукта факторов можно изобразить графически (рис. 6.1).
На графике изображены ситуации Х{ — Х4 использования фактора А (уровень использования); Y} — У4 — количество производимого продукта. Линия А—А — количество продукта, которое можно получить при оптимальном использовании фактора А. Линия Q— Q} — реально произведенный продукт при том или ином уровне использования фактора А.
Если процесс производства постоянно находится на линии А—А — фонд производства используется оптимально и постоянно возмещается. Если ниже — недоиспользуется, выше — чрезмерно используется. В последних случаях равновесие производства нарушается и характеризуется либо наличием дефицита, либо потребностями дополнительного запаса фактора (сырья, оборудования, инструмента и т.п.).
В процессе функционирования фирм предполагается бесчисленное множество вариантов использования факторов в различных комбинациях. Множественность комбинаций обусловлена научно-техническим прогрессом и состоянием рынка факторов производства. Научно-технический прогресс и технические перевороты ведут к появлению новых (взаимозаменяющих) факторов (AJ и нового продукта (Q). В результате возрастает возможность при помощи фактора/4, произвести продукта Q} столько, сколько необходимо для возмещения фактора и дополнительного (прибавочного) продукта, который не нужен для возмещения фактора Л,. Этот дополнительный запас продукта Q назовем прибавочным продуктом. С его производством возможно дальнейшее увеличение производства. Отсюда следует вывод: лучшее использование доходов производства является условием дальнейшего увеличения его масштабов, условием расширения воспроизводства.
Производственная функция. Изокванта. Изокоста
В реальной жизни в пределах используемой технологии предприниматель стремится найти наилучшее сочетание факторов производства (труд, земля, капитал), с тем чтобы достичь наибольшего выхода продукции. Отношение между любым набором факторов производства и максимально возможным объемом продукции, производимой из этого набора факторов, характеризует производственную функцию.
Производственная функция — технологическая зависимость между затратами ресурсов и выпуском продукции.
Она всегда строится для определенной технологической структуры. Производственная функция может использоваться для определения минимального количества затрат, необходимого для производства любого данного объема товаров.
Если весь набор факторов производства и ресурсов представить как затраты труда, материалов и капитала, производственная функция может быть описана следующим образом:
Q = F(L, К, М),
где Q ~ максимальный объем продукции, производимый при данной технологии и данном соотношении труда — L; капитала — К; материалов — М.
Производственная функция характеризует зависимость физического объема производства от использования факторов производства не только по отношению к отдельной фирме, но и пропорцию между этими величинами в масштабах общества.
23. В экономической теории рынок — одна из самых распространенных категорий, одно из основных понятий хозяйственной практики экономики. Рынок в экономической теории — это совокупность экономических отношений между субъектами рынка по поводу движения товаров и денег, которые основываются на взаимном согласии, эквивалентности и конкуренции. Рыночный механизм — это механизм взаимосвязи и взаимодействия основных элементов рынка: спроса, предложения, цены, конкуренции и основных экономических законов рынка.
Рыночный механизм действует на основе экономических законов: изменения спроса, изменения предложения, равновесной цены, конкуренции, стоимости, полезности и прибыли.Главными действующими целями на рынке являются спрос и предложение, их взаимодействие определяет, что и в каком количестве производить и по какой цене реализовать.Цены являются важнейшим инструментом рынка так как они обеспечивают его участников необходимой информацией, на основе которой принимается решение об увеличении или сокращении производства того или иного товара. В соответствии с этой информацией происходит движение потоков капиталов и труда из одной отрасли в другую.Свободный (конкурентный) рынок — это саморегулирующаяся система, которая достигает результатов и поддерживает своё равновесие самопроизвольно, без вмешательства внешних сил.Признаки свободного рынка:Неограниченное число участников конкуренции.Признак, свободный доступ и выход с рынка.Абсолютная мобильность всех ресурсов.Наличие поной информации (через цены).Абсолютная однородность продукции.Не один участник конкуренции не может влиять на решение других.Функции свободного рынка:Является регулятором экономики.Является средством обеспечения народно-хозяйственных связей.Является орудием информации (через цены)Обеспечивает оптимизацию народного хозяйства.Обеспечивает санацию народного хозяйства.
Конъюнктура рынка.Экономическое положение производителей и потребителей, продавцов и покупателей зависит от рыночной конъюнктуры, которая изменяется под влиянием многочисленных факторов.Конъюнктура рынка — это совокупность складывающихся на рынке в каждый момент времени экономических условий, при которых осуществляется процесс реализации товаров и услуг.
Инфраструктура рынка.Инфраструктура рынка — это совокупность институтов, систем, служб, предприятий, опосредствующих движение товаров и услуг, обслуживающих рынок и обеспечивающих его нормальное функционирование.Инфраструктура рынка включает в себя такие элементы как: биржи,торговые,фондовые,валютные;аукционы, ярмарки;предприятия оптовой и розничной торговли;банки, страховые компании, фонды;биржи труда;информационные центры;юридические конторы;рекламные агентства;аудиторские и консалтинговые фирмы и др.Все эти элементы очень тесно связны друг с другом. Если они находятся в равновесии, то вся экономика также находится в равновесии. И наоборот, дестабилизация хотя бы одного из элементов негативно отражается на всей рыночной экономике в целом.
Структура рынка.Структура рынка — это внутреннее строение, расположение, порядок отдельных элементов рынка.Можно выделить следующие критерии для классификации структуры рынка:по объектам рыночных отношений рынок потребительских товаров и услуг рынок ценных бумаг,рынок сырья,по субъектам рынка,рынок покупателей,рынок продавцов,по географическому положению,местный национальный мировой,по степени ограничения конкуренции,совершенная конкуренция,монополистическая конкуренция,Олигополия,монополия,по отраслям,автомобильный,нефтяной,по характеру продаж,оптовый,розничный,по соответствию действующему законодательств,легальный,нелегальный,"черный" рынок.
Альтернативные издержки – издержки на производство товара, оцененные с точки зрения потерянной возможности использования тех же ресурсов в других целях. Альтернативные издержки могут выступать как разница между прибылью, которую можно было бы получить при наиболее выгодном из всех альтернативных способов использования ресурсов, и реально полученной прибылью. Альтернативные издержки в экономике есть сумма альтернативных денежных расходов и неполученных денежных расходов
Экономическая прибыль.ЭКОНОМИЧЕСКАЯ ПРИБЫЛЬ [economic profit] — разница между совокупными доходами и совокупными экономическими издержкам фирмы (включающими альтернативные издержки распределения капитала владельца) за определенный период.
24.
Издержки производства представляют собой совокупность затрат, связанных с выпуском продукции. Они подразделяются на внешние и внутренние, постоянные, переменные и совокупные (общие).
В основе разграничения издержек на внутренние и внешние лежат критерии принадлежности используемого ресурса. Внутренние издержки – это затраты на ресурсы, принадлежащие предприятию, и его нормальная прибыль за риск. Внешние издержки – это платежи внешним поставщикам.
Различают бухгалтерские и экономические издержки. Бух-кие издержки представляют собой фактический расход факторов производства для изготовления определенного количества продукции по ценам их приобретения. Эти издержки бывают прямые (затраты на сырье, материалы, топливо) и косвенные (накладные расходы, з/п, амортизация). Экономические издержки любого ресурса, выбранного для производства товара, равны его стоимости при наилучшем из всех возможных варианте использования. Они бывают явные и неявные. Явные – это альтернативные издержки, принимающие форму прямых платежей поставщикам факторов производства и промежуточных изделий. Неявные издержки – альтернативные издержки использования ресурсов, принадлежащих владельцу предприятия.
В краткосрочном периоде издержки производства подразделяются на постоянные и переменные. Критерием отнесения издержек к тем или иным является их реакция на изменение объема производства. Если при изменении объема выпускаемой продукции величина определенных затрат остается неизменной, то речь идет о постоянных издержках. Если же затраты изменяются вместе с изменением объемов выпускаемой продукции, то речь идет о переменных издержках . В сумме постоянные и переменные издержки образуют общие издержки . Издержки производства, приходящиеся на единицу продукции, называются средними издержками . Средние издержки бывают постоянными переменными и общими. Они рассчитываются путем деления соответственно постоянных, переменных и общих издержек на объем продукции, связанный с данными издержками. Однако средние издержки необходимо отличать от предельных издержек , которые также связаны с выпуском единицы продукции. Если средние издержки указывают, какие затраты в среднем приходятся на единицу продукции при данном объеме производства, то предельные издержки свидетельствуют о затратах, приходящихся на выпуск каждой дополнительной единицы продукции по отношению к уже имеющемуся объему производства.
![]() |
![]() |
![]() |
В долгосрочном периоде все издержки становятся переменными , так как происходят изменения не только в самом производстве в результате инвестиционной деятельности, но и в условиях хозяйствования, т.е. изменения самой экономической среды использования факторов производства.
1) 2) 3)
1) – Постоянные издержки производства. По у – издержки производства, по х – объем производства.
2) – Переменные издержки производства. По у – издержки производства, по х – количество произведенной продукции.
3) Совокупные издержки производства. По у – издержки производства, по х – количество произведенной продукции.
Динамика издержек в долгосрочном периоде определяется эффектом масштаба.
Если по мере роста масштаба производства средние издержки имеют тенденцию к понижению, говорят о положительном эффекте масштаба , или экономии от роста производства. Такая экономия достигается за счет специализации труда, более эффективного управления, экономии на использовании капитала.
Если с ростом масштаба производства средние издержки возрастают , то эффект масштаба будет отрицательным. В результате отдача от вложений снизится, а средние издержки в долгосрочном периоде начнут расти по мере дальнейшего увеличения объема производства.
Если по мере увеличения масштабов производства средние издержки не изменяют своей величины, то эффект масштаба будет нулевым.
25. Предельные издержки МС – это издержки связанные с производством дополнительной единицы продукции. Иначе говоря, МС представляет собой увеличение ТС, на которое должна пойти фирма ради производства еще одной единицы продукции. Издержки это главный фактор, влияющий на объем предложения, поэтому прежде чем принять решение, о том, сколько товаров произвести фирма должна посчитать производственные издержки.
Издержки это оплата денежных факторов производства. Эта точка зрения разными экономистами рассматривается с различных позиций и с разными целями.
Предельные издержки (MC) это дополнительные или добавочные, издержки, связанные с производством ещё одной единицы продукции.
Предельные издержки (MC) можно определить, для каждой добавочной единицы продукции, отношением изменений общих издержек (ТС) на изменение количества произведённой продукции (Q).
MC = ТС / Q Предельные издержки позволяют определить те издержки, величину которых фирма может контролировать наиболее непосредственно. Точнее говоря, МС показывают издержки, которые фирме придётся понести в случае производства последней единице продукции, и одновременно издержки, которые могут быть сэкономлены в случае сокращения объёма производства на эту последнюю единицу.
В краткосрочном периоде такие виды затрат, как здание и оборудование фирмы, являются постоянными.Суммарные издержки (total cost - ТС) - общие издержки выпуска определенного объема продукции. Поскольку в краткосрочном периоде ряд вводимых факторов производства (прежде всего, капитал) не меняется, какая-то часть суммарных издержек также не зависит от количества примененных единиц переменного ресурса и от объема выпуска товаров и услуг. В течение краткосрочного периода фирма может изменить объем производства путем соединения изменяющегося количества ресурсов с фиксированными мощностями.
Средние издержки (АС) - это совокупные затраты на единицу продукции. Определяются путем деления совокупных издержек выпуска продукции на количество единиц продукции: АС=SТС/Q
Средние постоянные издержки (AFC) определяются путем деления суммарных постоянных издержек (TFC) на соответствующее количество произведенной продукций ( Q ): AFC = TFC / Q
Средние переменные издержки (SAVC) определяются путем деления суммарных переменных издержек (TVC) на соответствующее количество произведенной продукций Q: SAVC = TVC / Q
![]()
где DVС — прирост переменных издержек;DQ — вызванный ими прирост объема производства.Поскольку постоянные издержки не меняются и не зависят от величины Q, изменение суммарных издержек, т.е. ТС, определяется изменениями только переменных издержек: ТС∆ = ТVС∆ и МС∆ = TVC∆ / Q
26.
Валовый доход торговли - показатель, характеризующий финансовый результат торговой деятельности и определяемый как превышение выручки от продажи товаров и услуг над затратами, по их приобретению за определенный период времени.
Средний доход - общий размер выручки от продажи продукции, деленный на количество проданной продукции.
ПРЕДЕЛЬНЫЙ ДОХОД [MR] — понятие предельного анализа производственной деятельности, изменение доходов фирмы в результате продажи одной дополнительной единицы выпускаемой продукции. В условиях совершенной конкуренции фирма максимизирует прибыль, производя такой объем продукции, при котором П. д. равняется предельным издержкам и, значит, совпадает с ценой (для монополии же П. д. в принципе ниже цены).
Особенности предложения конкурентной фирмы и отрасли изучаются в краткосрочном и долгосрочном периодах. В краткосрочном периоде, как мы выяснили, мощности предприятия не меняются, и у фирм, функционирующих в отрасли, недостаточно времени для реализации долгосрочных решений.

На рисунке 4.4 «А» изображены кривые краткосрочных средних и предельных издержек конкурентной фирмы. На рисунке 4.4 «Б» - рыночные кривые спроса и предложения, взаимодействие которых определяет равновесную рыночную цену. Предположим далее (для простоты), что на рисунке «Б» равновесие меняется под воздействием неценовых факторов спроса (которые двигают кривую D1 в положение сначала D2, а затем – D3).
Если на рынке установится цена Р1, то фирма примет эту цену как данность и, руководствуясь условием максимизации прибыли, будет производить объем продукции Q1 (Q1представляет собой координату точки пересечения кривой SMC и линии цены Р1,которая является в то же время кривой MR1). При цене Р1 > SАТС фирма может получать экономическую прибыль. Следовательно, Р1 - цена прибыльности.
Если на рынке установится цена Р2, то фирма будет производить объем Q2. Так как Р2 = АТС, то фирма не получит экономической прибыли, но сможет покрыть все свои издержки включая нормальную прибыль. Следовательно, Р2 – цена безубыточности.
Если на рынке установится цена Р3, то фирма, производя объем продукции Q3, будет минимизировать убытка, так как SAVC = Р3 < SАТС. Ее убытки в этом случае будут равняться FC. Однако фирма может принять решение прекратить производство, - ее убытки также составят FC. Следовательно, Р3 можно назвать ценой прекращения производства.
Если Р3 < P < P2, то фирма в краткосрочном периоде будет производить продукцию, так как при MR = MC она сможет полностью покрыть переменные издержки и хотя бы частично – постоянные.
Если Р < Р3, то фирма безусловно прекращает производство.
Таким образом, часть кривой SMC (выше SAVC) и есть краткосрочная кривая предложения фирмы – совершенного конкурента:
по каждой возможной цене (Р1, Р2, Р3) конкурентная фирма предлагает тот объем продукции, который соответствует условию максимизации прибыли
Максимизация прибыли имеет место, когда цена превышает величину средних совокупных издержек (Р >ATCmin ). Цена (Р) превышает минимальную величину средних совокупных издержек (ATCmin ), поэтому принципиально возможно получение прибыли.Второй вариант —минимизация убытков — реализуется, когда рыночная цена продукции предприятия больше минимальной величины средних переменных издержек, но меньше минимальной величины средних общих издержек (ATCmin > P >AVCmin ). Если фирма прекратит производство (даже временно) ей придется оплачивать постоянные издержки без привлечения каких-либо текущих доходов. Это означает, что убытки станут равны полному размеру постоянных издержек и превысят величину, которую имели бы при сохранении производства. Поэтому-то предприятие продолжает выпускать продукцию и терпит убытки, лишь минимизируя их.В том случае, когда рыночная цена продукции ниже минимального значения средних переменных издержек (P >AVCmin ), предприятие прекращает производство продукции. Действительно, данная цена не только не покрывает все издержки, она не в состоянии полностью покрыть и переменные издержки. То есть каждая выпущенная единица к неизбежному убытку в размере постоянных издержек прибавляет еще и непокрытую часть переменных издержек, связанных с выпуском этого товара. В этих условиях, чем больше производство, тем больше убытки.Максимизация прибыли и правило МС = MR. Выбор принципиального варианта поведения представляет собой лишь первый шаг фирмы в оптимизации своего положения на рынке. Следующий шаг состоит в точном установлении того объема производства, который максимизирует прибыль или (при менее благоприятных условиях) минимизирует убытки. Отметим, что правило максимизации прибыли MR = МС справедливо не только для условий совершенной конкуренции, но и для других типов рынка.В условиях совершенной конкуренции предельный доход равен цене товара. Поэтому правило MR = МС может быть представлено и в иной форме: P = MR = MC, или P = MC. То есть в условиях совершенной конкуренции максимизация прибыли достигается при объеме производства, соответствующем точке равенства предельных издержек и цены.
27. Равновесие фирмы в долгосрочном периоде
В условиях долгосрочного периода фирма может изменить все факторы производства, а отрасль может менять число своих фирм. Фирма стремится расширить производство, снижая средние издержки.
В случае возрастающей производительности средние общие издержки уменьшаются. При убывающей производительности они растут. Если имеет место положительный эффект масштаба, то кривая долгосрочных средних издержек имеет значительный отрицательный наклон; если имеет место постоянная отдача от масштаба, то она горизонтальна; в случае отрицательного эффекта масштаба кривая устремляется вверх.
Рост производства в долгосрочном периоде, вхождение в отрасль новых фирм могут отразиться на ценах ресурсов. Если отрасль использует неспецифические ресурсы, то цена на ресурс может не подняться. В этом случае издержки остаются неизменными.
Однако в большинстве отраслей дополнительный спрос на ресурс вызывает рост его цены. Бывают отрасли и со снижающимися издержками в долгосрочном периоде. Такое снижение обычно связано с ростом масштабов производства, благодаря которому спрос на ресурсы относительно уменьшается. В этом случае происходит снижение цены ресурса.

В условиях совершенной конкуренции в долгосрочном периоде (рис.6.3) максимум прибыли достигается тогда, когда выполяется равенство:
MR = MC = P = AC.
Эффект масштаба – это реакция средних издержек на рост объёма деятельности.
Различают три вида эффекта масштаба:
Положительный эффект масштаба – это когда рост издержек на 1% перекрывается ростом производства >1% на графике это отрезок падающей кривой LAC.
Нулевой или неизменный эффект масштаба – это когда рост объёмов сопровождается неизменной величиной средних долгосрочных издержек. Или рост объёма производства на 1% вызывает рост (общих) издержек тоже на 1%.
Отрицательный эффект масштаба – это когда рост объёма производства сопровождается ростом средних долгосрочных издержек. Или рост (общих) издержек на 1% вызывает рост объёма производства < чем на 1%.
28. Характеристика основных факторов производства
Фа́кторы произво́дства — ресурсы , необходимые для производства товаров и услуг. Традиционно подразделяются на составляющие:
- трудовые ресурсы, или труд;
- инвестиционные ресурсы, или капитал;
- природные ресурсы, или земля;
- сырьевые ресурсы;
- предпринимательский талант, или предпринимательские способности;
- информация; специфической формой информации является технология ;
Труд представляет собой целесообразную деятельность человека по созданию экономических благ, проявление совокупности умственных и физических способностей человека.
Капитал включает в себя совокупность созданных прошлым трудом человека благ. ошибочное мнение, что акции, облигации, деньги, банковские депозиты не относятся к данному фактору производства.
Земля как фактор производства охватывает все сельскохозяйственные угодья и городские земли, которые отведены под жилищную или промышленную застройку, а также совокупность природных условий, необходимых для производства товаров и услуг.
Предпринимательский талант предполагает особые способности человека, заключающиеся в его умении:
- организовывать производство и выпуск товаров и услуг путем соединения всех необходимых факторов производства;
- принимать основные решения по управлению производством и ведению бизнеса;
- рисковать денежными средствами, временем, трудом, деловой репутацией, поскольку деятельность на рынке связана с большой неопределенностью, а результат не гарантирован;
- быть новатором, то есть внедрять новые технологии, новые продукты, методы организации производства.
Одним из ключевых экономических ресурсов на современном этапе развития общества является информация .
Обладание достоверной информацией является необходимым условием для решения стоящих перед экономическим субъектом проблем. Вместе с тем даже полная информация не является гарантией успеха. Умение использовать полученные сведения для принятия наилучшего при сложившихся обстоятельствах решения характеризует такой ресурс, как знания. Носителями этого ресурса выступают квалифицированные кадры в сфере управления, продажи и обслуживания покупателей, технического обслуживания товара. Именно этот ресурс дает наибольшую отдачу в бизнесе. «То, что отличает сильную компанию от слабой — это прежде всего уровень квалификации ее специалистов и управленческого состава, его знаний, мотиваций и устремлений»
В условиях рыночной экономики все перечисленные выше экономические ресурсы свободно покупаются и продаются и приносят своим владельцам особый (факторный)доход :
- рента (земля.);
- процент (капитал);
- заработная плата труда (управленческие способности);
- прибыль (предпринимательская способность).
Немецкий экономист и философ XIX в. Карл Маркс выделял личный и вещественный факторы производства, при этом в качестве личного фактора выступает сам человек, как носитель рабочей силы, а под вещественным фактором производства подразумеваются средства производства, которые в свою очередь состоят из средств труда и предметов труда.
Средство труда есть «… вещь или комплекс вещей, которые человек помещает между собой и предметом труда и которые служат для него в качестве проводника его воздействий на этот предмет» . Средства труда, и прежде всего орудия труда, включают машины, станки, инструменты, с помощью которых человек воздействует на природу, а также производственные здания, землю, каналы, дороги и т. д. Применение и создание средств труда — характерная черта трудовой деятельности человека. К средствам труда в более широком смысле относятся все материальные условия труда, без которых он не может совершаться. Всеобщим условием труда является земля, условиями труда также являются производственные здания, дороги и т. д. Результаты общественного познания природы воплощаются в средствах труда и процессах их производственного применения, в технике и технологии. Уровень развития техники (и технологии) служит главным показателем степени овладения обществом силами природы. «Технология вскрывает активное отношение человека к природе, непосредственный процесс производства его жизни»
Предметы труда — вещество природы, на которое человек воздействует в процессе труда с целью приспособления его для личного или производственного потребления. Предмет труда, претерпевший уже воздействие человеческого труда, но предназначенный для дальнейшей обработки, называется Сырьем. Некоторые готовые продукты также могут вступать в процесс производства в качестве предмета труда (например, виноград в винодельческой промышленности, животное масло в кондитерской промышленности). «Если рассматривать весь процесс с точки зрения его результата — продукта, то и средство труда и предмет труда оба выступают как средства производства, а самый труд — как производительный труд»
По К. Марксу совокупность факторов производства выступают как производительные силы, которые неразрывно связаны с производственными отношениями. Одни характеризуют материально-вещественную содержание процесса общественного производства, а другие его исторически определенную форму. Эволюционируя, каждая ступень развития производительных сил характеризуемая типом производственных отношений составляет уникальный способ производства.
Немарксистские экономические теоретики не согласны с положением К. Маркса о том, что новая стоимость создается только наёмными рабочими, а считают, что в ее создании принимают равное участие все факторы производства. Так, Альфред Маршалл писал: "капитал вообще и труд вообще взаимодействуют в производстве национального дивиденда и получают из него свои доходы соответственно в меру своей (предельной) производительности. Их взаимная зависимость самая тесная; капитал без труда мертв; рабочий без помощи своего собственного или чьего-либо другого капитала проживет недолго. Когда труд энергичен, капитал пожинает богатые плоды и быстро возрастает; благодаря капиталу и знаниям рядовой рабочий западного мира питается, одевается и даже обеспечен жильем во многих отношениях лучше, чем принцы в прежние времена. Сотрудничество между капиталом и трудом столь же обязательно, как и сотрудничество между прядильщиком и ткачом; небольшой приоритет на стороне прядильщика, но это не дает ему никакого преимущества. Процветание каждого из них теснейшим образом связано с силой и энергией другого, хотя каждый из них может выгадать себе временно, а то и постоянно, за счет другого, несколько большую долю национального дивиденда.
29. Конкуренция – (от лат. concurrere – сталкиваться) – борьба независимых экономических субъектов за ограниченные экономические ресурсы. Это соперничество между товаропроизводителями за лучшие, экономически более выгодные условия производства и сбыта товаров, за получение наивысшей прибыли
Совершенная, свободная или чистая конкуренция — экономическая модель, идеализированное состояние рынка, когда отдельные покупатели и продавцы не могут влиять на цену, но формируют её своим вкладом спроса и предложения. Другими словами это такой тип рыночной структуры, где рыночное поведение продавцов и покупателей заключается в приспособлении к равновесному состоянию рыночных условий.
Признаки совершенной конкуренции:
бесконечное множество равноценных продавцов и покупателей
однородность и делимость продаваемой продукции
отсутствие барьеров для входа или выхода с рынка
высокая мобильность факторов производства
равный и полный доступ всех участников к информации (цены товаров)
Конкуренция Несовершенная
конкуренция на рынке, когда компании, фирмы имеют возможность частично или целиком контролировать цены на продукцию, которую они производят, в отличие от совершенной конкуренции, при которой цены формируются рынком в зависимости от спроса и предложения.
Монополия - тип структуры рынка, в котором существует только один продавец, контролирующий всю отрасль производства определенного товара, не имеющего близкого заменителя. Закрытая монополия. Она защищена от конкуренции: юридическими ограничениями, патентной защитой, институтом авторских прав.
Естественная монополия - отрасль, в которой долгосрочные средние издержки достигают минимума только тогда, когда одна фирма обслуживает весь рынок целиком. С естественными монополиями, в основе которых лежит экономия на масштабах производства, тесно связаны монополий, основанные на владении уникальными природными ресурсами.
Открытая монополия - монополия, при которой одна фирма, по крайней мере на определенное время, является единственным поставщиком продукта, однако не имеет специальной защиты от конкуренции. В подобном положении нередко находятся фирмы, которые впервые вышли на рынок с новой продукцией.
Подобное разграничение монополий носит достаточно условный характер, поскольку некоторые фирмы могут принадлежать одновременно к нескольким видам монополий.
Чистая монополия - это ситуация, когда существует единственный продавец товара, причем этому товару нет близкого заменителя в других отраслях.
Чистые монополии в настоящее время - редкое явление. Чаще встречаются рынки, на которых конкурируют друг с другом несколько фирм. Чистые монополии, как правило, могут существовать только при покровительстве государства. Причем они присущи скорее местным рынкам, нежели общенациональным. Более того, понятие чистой монополии является абстракцией. Имеется много товаров, у которых нет заменителей.
Чистая монополия характеризуется следующими основными чертами:
а) одна фирма и много покупателей, т. е. на рынке имеется единственный производитель, реализующий свой товар множеству мелких покупателей. Если на данном рынке единственному продавцу противостоит и единственный покупатель, то такой рынок называют двусторонней монополией;
б) отсутствие товаров-заменителей (нет совершенных заменителей продукта монополиста);
в) отсутствие свободы входа на рынок (в отрасль), т. е. существуют практически непреодолимые барьеры на входе. Входные барьеры следующие:
экономия от масштаба (один из наиболее распространенных видов барьеров входа);
правовые ограничения: патенты, тарифы и квоты в международной торговле;
высокие издержки входа - экономические препятствия. В некоторых отраслях (например в авиационной промышленности) начало производства может стоить очень дорого;
реклама и дифференциация продуктов. Рекламная деятельность способствует формированию уверенности и уважения покупателей по отношению к известным торговым маркам. Дифференциация продуктов, или сама по себе, или в сочетании с расширенной рекламой, способна усиливать рыночную власть существующих производителей и создавать барьеры входа;
контроль монополистом источников поступления необходимого сырья или других специализированных ресурсов;
высокие транспортные расходы, способствующие формированию изолированных местных рынков, в результате чего единая в технологическом смысле отрасль может представлять множество локальных монополистов;
г) фирма-монополист устанавливает цену на свой товар, а не принимает ее как данное, как рыночную реальность;
д) совершенная информированность.
30. Монополия :сущность и виды. Антимонопольное регулирование
Монополия является полным антиподом совершенной конкуренции. Здесь существует только один продавец, причем он производит товар, не имеющий близких заменителей. В условиях монополии производитель способен полностью контролировать объем предложения товара что позволяет ему выбирать любую цену из возможных в соответствии с кривой спроса, рассчитывая при этом получить максимальную прибыль.
Монополии – крупные хозяйственные объединения (картели, синдикаты, тресты, концерны и так далее), находящиеся в частной собственности (индивидуальной, групповой или акционерной) и осуществляющие контроль над отраслями, рынками и экономикой на основе высокой степени концентрации производства и капитала с целью установления монопольных цен и извлечения монопольных прибылей. Господство в экономике служит основой того влияния, которое монополии оказывают на все сферы жизни страны.
Виды монополий:
- Естественная монополия — вид монополии, занимающий привилегированное положение на рынке в силу технологических особенностей производства (в связи с эксклюзивным обладанием необходимыми для производства ресурсами, крайне высокой стоимостью или исключительностью материально-технической базы). Чаще всего, естественные монополии — это фирмы, управляющие трудоёмкими инфраструктурами, повторное создание которых другими фирмами экономически неоправданно или технически невозможно (напр. системы водоснабжения, системы электроснабжения, железные дороги).
- Государственная монополия — монополия, созданная в соответствии с законодательством, определяющим товарные границы монопольного рынка, субъекта монополии (монополиста), формы контроля и регулирования его деятельности, а также компетенцию контролирующего органа.
- Чистая монополия — ситуация, когда на рынке присутствует только один поставщик данного вида товаров и услуг.
- Конгломерат (Концерн ) (в юридической практике — группа лиц) — несколько разнородных, но финансово взаимно интегрированных субъектов (напр. в России ЗАО «Газметалл »).
Картель — это объединение нескольких предприятий одной сферы производства, участники которого сохраняют собственность на средства производства и произведенный продукт, производственную и коммерческую самостоятельность, и договариваются о доле каждого в общем объеме производства, ценах, рынках сбыта.
Синдикат — это объединение ряда предприятий одной отрасли промышленности, участники которого сохраняют средства на средства производства, но теряют собственность на произведенный продукт, а значит, сохраняют производственную, но теряют коммерческую самостоятельность. У синдикатов сбыт товара осуществляется общей сбытовой конторой.
Трест — это объединение ряда предприятий одной или нескольких отраслей промышленности, участники которого теряют собственность на средства производства и произведенный продукт (производственную и коммерческую самостоятельность). То есть объединяются производство, сбыт, финансы, управление, а на сумму вложенного капитала собственники отдельных предприятий получают акции треста, которые дают им право принимать участие в управлении и присваивать соответствующую часть прибыли треста.
Концерн – это объединения акционерных обществ с формальным сохранением самостоятельности при фактической её утрате. В результате передачи контрольных пакетов акций крупнейшему банку, осуществляющий финансовый контроль за деятельностью А. О.
Многоотраслевой концерн — это объединение десятков и даже сотен предприятий различных отраслей промышленности, транспорта, торговли, участники которого теряют собственность на средства производства и произведенный продукт, а главная фирма осуществляет над другими участниками объединения финансовый контроль.
В 60-х годах в США и некоторых странах капитала появились и начали развиваться конгломераты , то есть монополистические объединения, образованные путем поглощения прибылей разноотраслевых предприятий, не имеющих технического и производственного единства.
.Антимонопольное регулирование.
Когда же предприниматели заключают между собой гласное (или негласное) соглашение о разделе рынка или уровне цены, то потребители вынуждены платить большую цену за товар и сокращать объем потребления. Цены в этом случае становятся искусственно-высокими и не все покупатели могут позволить себе приобретать тот же самый товар в желаемых объемах. Потребители несут экономические убытки от подавления конкуренции. Важно и то, что устранение конкуренции нарушает равновесие спроса ипредложения, что приводит к нерациональному использованию и без того ограниченных производственных ресурсов общества Чтобы избежать этих негативных явлений, государство вмешивается в рыночные процессы, используя антимонопольное регулирование: административный контроль надмонополизированными рынками, организационный механизм и антимонопольное законодательство.
Административный контроль
монополизированных рынков объединяет способы воздействия на монополизированное производство Можно выделить, в частности, финансовые санкции, применяемые в случае нарушения антимонопольного законодательства. Бывают случаи, когда фирма, уличенная в систематическом использовании методов нечестной конкуренции и проигравшая судебный процесс. подвергается прямому расформированию.
Организационный механизм
имеет своей целью антимонопольную профилактику путем последовательной либерализации рынков. Не затрагивая монополию как форму производства, способы и методы такой политики государства нацелены на то, чтобы сделать монополистическоеповедение для крупного бизнеса невыгодным. Это - снижение таможенных пошлин, отмена количественных квот поддержка малого бизнеса, упрощение процедуры лицензирования, оптимизация производства, продукция которогоможет конкурировать с товарами монополий, и т.д.
Наиболее эффективной и развитой формой государственного регулирования монопольной власти является антимонопольное законодательство. Его цель - регулирование структуры отрасли через запрещение предполагаемыхслияний крупных фирм, если оно ведет к существенному ослаблению конкуренции или установлению монополии. Антимонопольная практика в то же время не отрицает возможности слияния компаний на "горизонтальной" и"вертикальной" основе.
31. Олигополия и монополистическая конкуренция
Олигополия
Олигополия — тип рынка, при котором в каждой отрасли хозяйства господствует не одна, а несколько фирм. Иными словами, в олигополистической отрасли производителей больше, чем в условиях монополии, но значительно меньше, чем в условиях совершенной конкуренции. Как правило, насчитывается от 3 и более участников. Частным случаем олигополии выступает дуополия. Контроль над ценой очень высокий, высокие входные барьеры в отрасль, значительная неценовая конкуренция. Примером могут послужить операторы сотовой связи и рынок жилья.
Монополистическая конкуренция осуществляется тогда, когда много продавцов конкурируют, чтобы продать дифференцированный продукт на рынке, где возможно появление новых продавцов.
Для рынка с монополистической конкуренцией характерно следующее:
- товар каждой фирмы, торгующей на рынке, является несовершенным заменителем товара, реализуемого другими фирмами;
- на рынке существует относительно большое число продавцов, каждый из которых удовлетворяет небольшую, но не микроскопическую долю рыночного спроса на общий тип товара, реализуемого фирмой и ее соперниками;
- продавцы на рынке не считаются с реакцией своих соперников, когда выбирают какую цену установить на свои товары или когда выбирают ориентиры по объему годовых продаж;
- на рынке есть условия для входа и выхода
Монополистическая конкуренция похожа на ситуацию монополии, поскольку отдельные фирмы обладают способностью контролировать цену своих товаров. Она также похожа на совершенную конкуренцию, так как каждый товар продается многими фирмами, а на рынке существует свободный вход и выход.
Свойства олигополии
- Доминирование на рынке небольшого количества продавцов-олигополистов
- Очень высокие барьеры для вступления в отрасль
- Чтобы выжить в долгосрочном периоде, фирме-олигополисту не обязательно производить дифференцированную продукцию
- Решение каждой фирмы влияет на ситуацию на рынке, и одновременно зависит от решений других фирм: принимая решение, фирма-олигополист учитывает возможную реакцию других участников рынка. По этой причине на олигополистическом рынке весьма велика возможность сговора
- Небольшое количество товаров-заменителей продукции олигополистов
- Олигополист может быть как прайс-мейкером, так и прайс-тейкером на рынке
- В качестве количественного описания этой формы, может быть использовано следующее соотношение — доля четырех фирм-лидеров отрасли должна быть больше 40 %.



