| Скачать .docx |
Реферат: Экономический рост и проблемы окружающей среды
МИНИСТЕРСТВО ОБРАЗОВАНИЯ РОССИЙСКОЙ ФЕДЕРАЦИИ ФИЛИАЛ ДАЛЬНЕВОСТОЧНОЙ ГОСУДАРСТВЕННОЙ АКАДЕМИИ ЭКОНОМИКИ И УПРАВЛЕНИЯ КАФЕДРА ЭКОНОМИКИ И УПРАВЛЕНИЯ НА ПРЕДПРИЯТИИ ДИСЦИПЛИНА «ЭКОНОМИЧЕСКАЯ ТЕОРИЯ» КУРСОВАЯ РАБОТА Тема: «Экономический рост и проблемы окружающей среды» |
|
Исполнитель: И Евгений Дюнсигович студент 3-го курса очной формы обучения специальности 0608 |
Руководитель: Карякина И. Е. |
г. Южно-Сахалинск 2001 г. |
|
План:
| Введение | 4-5 |
| 1. Сущность, показатели и факторы экономического роста | 6-13 |
| 2. Экстенсивный и интенсивный типы экономического роста | 14-19 |
| 3. Модели экономического роста | 20-32 |
| 4. Экономический рост и проблемы окружающей среды | 33-39 |
| Заключение | 40-42 |
| Список использованной литературы: | 43 |
| Приложение | 44-46 |
Введение
В данной курсовой работе рассмотрены такие вопросы, которые играют огромную роль в решении тех или иных проблем страны.
Сразу можно указать разделы, из которых состоит данная работа :
1 .Сущность, показатели и факторы экономического роста.
2 .Экстенсивный и Интенсивный типы экономического роста.
3 . Модели экономического роста.
4 .Экономический рост и проблемы окружающей среды.
Экономический рост - одна из самых важных проблем любой страны мира. Экономический рост является одной из самых важных частей экономического развития общества, а также социально – культурного, политического и т.д.
В связи со сложившейся ситуацией в мире, а частично и в нашей стране, которая предусматривает такие проблемы как:
- экологические;
- экономические;
- военно-политические;
- демографические;
и т.д.
Необходимо указать не только само понятие экономического роста, но и эффективность экономического роста, который предусматривает развитие общества, экономики за счет факторов интенсивного типа, а также минимизации негативного воздействия деятельности человека на окружающую среду.
Основными целями исследования данной темы являются :
1.Выявить основные: понятия, цели, сущность, расчетную методику данных вопросов Курсовой работы.
2.Увидеть и проанализировать основные проблемы.
3.Рассмотреть взаимосвязь с природой.
4.Сделать соответствующие выводы.
5.Получить необходимые знания для применения их на практике.
Основной акцент в работе делается на рассмотрение факторов и моделей экономического роста, обеспечивающие высокие темпы экономического роста.
Данная тема актуальна для нашей страны. Автор счиает, что в России еще долгое время не будет значительного увеличения Темпов роста экономического роста т.к.:
1.Национальное производство в основном – отсутствует, а что осталось, находится на критическом уровне морального и физического износа, а также данные средства производства сильно отстали НТП, вследствие чего производится неконкурентоспособная продукция.
2.Нет нормальной законодательной базы, которая способствовала бы привлечению значительных размеров инвестиций.
3.Коррупция, менталитет населения.
и т.д.
Также как и в других странах в РФ остро стоят проблемы окружающей среды, но пока только стоят! Да и для их решения нужны огромные средства.
Автор считает, что данная тема актуальна с позиций курса «Общая экономическая теория», т.к. теоретический аспект исследуемой темы дает представление о сущности изучаемого явления.
1. Сущность, показатели и факторы экономического роста
Экономический рост – есть увеличение объема создаваемых полезностей а, следовательно, есть повышение жизненного уровня населения.
Сам по себе экономический рост противоречив. Так, можно добиться увеличения производства и потребления материальных благ за счет ухудшения их качества, за счет экономии на очистных сооружениях и ухудшения условии жизни, добиться временного роста производства можно и за счет хищнической эксплуатации ресурсов. Такой рост или неустойчив или вообще лишен смысла[1] .
Экономический рост – это количественное и качественное совершенствование общественного продукта за определенный период времени.
Цели эффективного экономического роста :
- увеличения продолжительности жизни;
- снижения заболеваемости и травматизма;
- повышения уровня образования и культуры;
- более полного удовлетворения потребностей и рационализации потребления;
- социальной стабильности и уверенности в своем будущем;
- преодоления нищеты и кричащих различий в уровне жизни,
- достижения максимальной занятости;
- защиты окружающей среды и повышения экологической безопасности;
- снижения преступности.
Показатели экономического роста
Свое выражение экономический рост находит в увеличении потенциального и реального валового национального продукта (ВНП) или валового внутреннего продукта (ВВП), в возрастании экономической мощи нации, страны, региона.
Данное выражение можно измерить двумя взаимосвязанными показателями:
- рост за определенный период реального ВВП (ВНП);
- рост ВВП (ВНП) на душу населения.
Использоваться могут оба определения. Например, если в центре внимания находятся проблемы военно-политического потенциала, более подходящим представляется первое определение. Но при сравнении жизненного уровня населения в отдельных странах и регионах явно более предпочтительным является второе определение. Так, ВНП Индии почти на 70 % превосходит ВНП Швейцарии, однако по уровню жизни населения Индия отстает от Швейцарии более чем в 60 раз[2] .
ВВП – обобщающий экономический показатель, который выражает в рыночных ценах совокупную стоимость товара, работ и услуг, созданных внутри страны, и только с использованием факторов производства данной страны.
ВНП – совокупная стоимость конечных товаров, услуг, созданных не только внутри страны, но и за ее пределами. Далее в тексте будет указываться один из показателей – ВВП (ВНП).
Статистическим показателями, отражающими экономический рост являются:
- коэффициент роста ВВП (ВНП): x= y1 / y0 , где y0 – базовый показатель, y1 – показатель в изучаемом периоде;
- темп роста ВВП (ВНП): Темп роста=Коэффициент роста * 100 % (в международной практике темп роста равен темпу прироста).
На основании показателя ВВП выделяют классификацию стран:
- развитые страны;
- развивающиеся страны.
Реальный ВНП в любое время определяется как: трудозатраты (в человеко-часах) * производительность труда (реальная часовая выработка занятого) .
В свою очередь, эти 2 множителя определяются совокупностью ряда факторов:
1. Трудозатраты (отработанные часы):
а) численность занятых;
б) среднее количество отработанных часов.
2. Производительность труда:
а) технический прогресс (технология);
б) объем капиталовложений, объем основного капитала (фондовооруженность);
в) количество и качество трудовых ресурсов (оборудование и профподготовка);
г) эффективность управления и распределения различными ресурсами.
Факторы экономического роста:
Экономический рост определяется рядом факторов. В экономической науке широкое распространение получила теория трех факторов производства, родоначальником которой был Ж.-Б. Сэй[3] .
Факторы производства:
- труд;
- земля;
- капитал.
Позднее трактовка производственных факторов получила более глубокое и расширительное толкование.
К ним обычно относят:
- труд;
- землю;
- капитал;
- предпринимательскую способность;
- научно-технический прогресс.
Факторы экономического роста взаимосвязаны и переплетены. Например, так труд весьма производителен, если работник использует современное оборудование и материалы под руководством способного предпринимателя в условиях хорошо работающего хозяйственного механизма. Поэтому точно определить долю того или иного фактора экономического роста достаточно сложно. Более того, все эти крупные факторы являются комплексными, состоят из ряда более мелких элементов, вследствие чего факторы можно перегруппировывать.
Так, по внешне- и внутриэкономическим элементам можно выделить:
- внешние;
- внутренние факторы.
Например, капитал делится на поступающий в страну извне и на мобилизуемый внутри страны, а последний можно разделить на используемый внутри страны и на вывозимый за ее пределы и т.д.).
Также существует деление факторов в зависимости от характера роста (количественного или качественного):
1. Интенсивные факторы:
а) ускорение научно-технического прогресса (внедрение новой техники, технологий, путем обновления основных фондов и т.д.);
б) повышение квалификации работников;
в) улучшение использования основных и оборотных фондов;
г) повышение эффективности хозяйственной деятельности за счет лучшей ее организации.
2. Экстенсивные факторы:
а) увеличение объема инвестиции при сохранении существующего уровня технологии;
б) увеличение числа занятых работников;
в) рост объемов потребляемого сырья, материалов, топлю и других элементов оборотного капитала.
Интенсивные факторы еще называют факторами совокупного предложения. От них зависит производство национального продукта.
Экстенсивные факторы еще называют факторами совокупного спроса. От этих факторов зависит реализация выросшего национального продукта, т.е. они должны обеспечивать полную занятость всех увеличивающихся ресурсов. Также к факторам связанным с совокупным спросом относят и эффективное распределение ресурсов.
Важнейшим из факторов являются затраты труда . Этот фактор прежде определяется численностью населения страны. Надо учесть то, что часть населения включается в число трудоспособных и не выходит на рынок труда. К ней относятся учащиеся, пенсионеры, военнослужащие и т.д. желающие работать образуют так называемую рабочую силу. Кроме того, в составе рабочей силы выделяются безработные, т.е. те, кто имеет желание работать, но не может найти работу.
Данный показатель затрат труда (т.е. численность занятых) не отражает действительное положение вещей.
Наиболее точным измерителем затрат труда является показатель количества отработанных человеко-часов, позволяющий учесть суммарные затраты рабочего времени.
Увеличение затрат рабочего времени зависит от ряда факторов:
- от темпов прироста населения;
- от желания работать;
- от уровня безработицы;
- уровня пенсионного обеспечения.
Все факторы меняются во времени и по странам, создавая исходные различия в темпах и уровнях экономического развития.
Наряду с количественными факторами важную роль играет качество рабочей силы и соответственно затрат труда в процессе производства. По мере возрастающего образования и квалификации работников происходит повышение производительности труда, что способствует повышению уровня и темпов экономического роста. Иначе говоря, затраты труда могут расширятся без какого-либо увеличения рабочего времени и численности занятых, а лишь за счет повышения качества рабочей силы.
Другим важным фактором экономического роста является капитал – это оборудование, здания и товарные запасы. Основной капитал включает и жилой фонд, потому что люди, живущие в домах, извлекают выгоду из услуг, предоставляемых домами.
Затраты капитала зависят от величины накопленного капитала. В свою очередь, накопление капитала зависит от нормы накопления: чем выше норма накопления, тем больше (при прочих равных условиях) размеры капиталовложений. Прирост капитала также зависит и от размаха накопленных активов – чем они больше, тем меньше, при прочих равных условиях, скорость увеличения капитала, темп его роста. Так, например, размеры накопленного капитала в США и странах Западной Европы велики и темпы его роста в 3-5 раз ниже, чем в таких странах, как Южная Корея, Бразилия, Тайвань и другие, где процесс накопления начался сравнительно недавно[4] .
При этом следует иметь в виду, что объем основного капитала, приходящего на одного работника, т.е. капиталовооруженность, является решающим фактором, определяющим динамику производительности труда. Если за определенный период возрастал объем капиталовложений, а численность рабочей силы увеличилась в большей степени, то производительность труда будет падать, так как сокращается капиталовооруженность каждого работника.
Важным фактором экономического роста является земля, а точнее, количество и качество природных ресурсов. Очевидно, что большие запасы разнообразных природных ресурсов, наличие плодородных земель, благоприятные климатические и погодные условия, значительные запасы минеральных и энергетических ресурсов вносят весомый вклад в экономический рост страны.
Но нужно сказать, что наличие обильных природных ресурсов не всегда является самодостаточным фактором экономического роста. Например, некоторые страны Африки и Южной Америки обладают существенными запасами природных ресурсов, но до сих пор состоят в списках отсталых стран. Это означает, что только эффективное использование ресурсов ведет к экономическому росту.
Научно-технический прогресс является важным двигателем экономического роста. Он охватывает целый ряд явлений, характеризующих совершенствование процесса производства. Научно- технический процесс включает в себя совершенствование технологий, новые методы и формы управления и организации производства. Научно-технический прогресс позволяет по-новому комбинировать данные ресурсы с целью увеличения конечного выпуска продукции, в связи с чем при этом возникают новые, более эффективные отрасли. Увеличение эффективного производства становится основным фактором экономическою роста.
Таким образом, экономический рост можно определить как рост реального ВВП (ВНП) или рост реального ВВП (ВНП) на душу населения. Он обеспечивает прирост производства, используемый для решения внутренних и международных социально-экономических проблем.
Экономический рост обеспечивает рост уровня жизни, из чего вытекает классификация стран.
Также важен не сам рост, а эффективный экономический рост.
Он определяется следующими факторами:
- природные ресурсы (земля);
- капитал;
- трудовые ресурсы;
- технологии.
Каждый фактор в отдельности, а также они в совокупности определяют уровень и скорость экономического роста.
2. Экстенсивный и интенсивный типы экономического роста
Экономический рост совокупного общественного продукта бывает двух типов:
- экстенсивный;
- интенсивный.
Экономический рост называется экстенсивным, если он осуществляется за счет привлечения дополнительных ресурсов и не меняет среднюю производительность в обществе. Другими словами – экономический рост происходит благодаря наращиванию применяемых факторов – средств производства и рабочей силы.
Экстенсивный тип
Экстенсивный тип является исторически первоначальным путем расширенного воспроизводства.
Необходимо будет рассмотреть проблемы, связанные с экстенсивным ростом, т.к. данный тип еще является и базисом (основой) для дальнейшего экономического развития.
Экстенсивный путь, благодаря привлечению в производство все больше рабочей силы , способствует сокращению уровня безработицы обеспечению наибольшей занятости рабочих ресурсов. Программа восстановления и поддержания в разумных масштабах полной занятости является неоспоримым средством ускорения темпов роста. Тем не менее, здесь следует сделать несколько оговорок. Если мы уменьшим уровень безработицы с 6 до 3 %, то это уменьшение представляется значительным. И с точки зрения людей оно таким и является. Однако в переводе на продукцию это означает, что мы перешли с уровня занятости в 94 % к уровню занятости в 97 %. Это соотношение – 97/94 или 3/94 – нельзя игнорировать, и оно дает более точное представление, нежели соотношение 3/6 или 50 %, об увеличении производства, которое может быть достигнуто посредством политики высокой занятости. Кроме того, сократив безработицу с 6 до 3 %, мы можем дополнительно увеличить годовой темп роста на 3 % (или 3/94), доведя его, например, с обычных 4 до 7 % в год. Но такие высокие темпы по своей природе временны. Состояние полной занятости, раз оно достигнуто, не может восстанавливаться заново ежегодно. В следующем году рост будет происходить снова прежним темпом в 4 % из-за отсутствия свободной рабочей силы, которую можно было бы использовать в воспроизводстве[5] .
Рассматривая такой фактор, как рабочая сила, следует отметить, что образование и профессиональная подготовка работников повышают производительность труда, а, следовательно, ускоряют темп экономического роста.
Инвестиции в человеческий капитал – важное средство повышения производительности труда. По оценкам Денисона улучшение качества рабочей силы определило 14 % прироста реального национального дохода в США.
Следующая проблема, при экстенсивном типе, которую следует рассмотреть – это застой , при котором количественное увеличение выпуска продукции не сопровождается технико-экономическим прогрессом. Но технический прогресс является важным двигателем экономического роста, им определяется 28 % прироста реального национального дохода в период 1929-1982 годов в США. По определению технический прогресс включает в себя не только совершенно новые методы производства, но также и новые формы управления и организации производства.
Вообще говоря, под техническим прогрессом подразумевается открытие новых знаний, позволяющих по-новому комбинировать данные ресурсы данные ресурсы с целью увеличения конечного выпуска продукции. На практике технический прогресс и капиталовложения тесно взаимосвязаны: технический прогресс часто влечет за собой инвестиции в новые машины и оборудование.
При экстенсивном экономическом росте выпуск продукции повышается в той же степени, в какой возрастают величины используемых производственных основных фондов, материальных ресурсов и численности работников. Отсюда следует, что на неизменном уровне остаются значение такого экономического показателя как фондоотдача и другие, иначе говоря, общая эффективность производства остается, в лучшем случае неизменной. Следовательно, не хватает средств на обновление основных производственных фондов (здания, оборудование), фактически не внедряются новейшие научно-технические разработки.
Например, в бывшем СССР износ производственных основных фондов возрос за 1986-1990 года с 38 % до 41 %.
Экстенсивный тип экономического роста позволяет быстро осваивать природные ресурсы. Но вследствие того, что использования этих ресурсов при экстенсивном типе идет нерационально происходит быстрое истощение рудников, пахотного слоя земли, полезных ископаемых.
При экстенсивном экономическом росте такой показатель как материалоемкость остается фактически неизменной, а так как производство растет, то неизбежно истощается невосполнимая сырьевая база. Следовательно, приходится расходовать все больше труда и средств производства для добычи каждой тонны топлива и сырья. Проблема развития природных ресурсов сливается с проблемой усовершенствования техники для более рационального использования ресурсов, снижения материалоемкости продукции и с проблемой обеспечения оборудования и орудий для использования и обнаружения этих ресурсов.
Примерно 19 % – почти 1/5 – ежегодного прироста реального национального дохода США за период 1929-1982 годов определялось увеличением капиталовложений. Неудивительно, что производительность работника повысится, если им будет использоваться больше основного капитала[6] .
Нужно подчеркнуть, что объем основного капитала, приходящийся на одного работника, является решающим фактором, определяющим динамику производительности труда. За данный период времени вполне можно увеличить совокупный объем капитала, но если численность рабочей силы возрастает быстрее, производительность труда падает, т.к. сокращается фондовооруженность каждого работника.
Например, в бывшем СССР, где фактически существовала абсолютная занятость населения, а уровень и морального и физического износа основных фондов превышал десятки лет, из-за этого вводилась посменная работа, люди работали во вторую, третью смены.
Инфраструктура Российской Федерации (шоссейные дороги, мосты, общественный транспорт, система водоочистки и муниципального водоснабжения, аэропорты и т.д.) все чаще сталкивается с проблемами морального и физического износа. Кроме того, развитие инфраструктуры недостаточно для решения задач экономического роста в будущем. Понадобится существенно увеличить инвестиции государства в эту отрасль .чтобы ускорить экономический рост. Замедление экономического роста в период СССР в значительной степени объясняется недостатком капиталовложении в развитие инфраструктуры.
Интенсивный тип
При интенсивном типе роста главное – повышение производственной эффективности, рост отдачи от использования всех факторов производства, хотя количество применяемого труда, капитала и другого может оставаться неизменным[7] .
Главное здесь:
- совершенствование технологии производства;
- повышение качества основных факторов производства.
Важнейший фактор интенсивного экономического роста – повышение производительности труда: ПТ=П/Т , где ПТ– производительность труда, П – созданный продукт в натуральном или денежном выражении, Т – затраты единицы труда (например, человеко-час).
Интенсивный тип экономического роста характеризуется увеличением масштабов выпуска продукции, который основывается на широком использовании более эффективных и качественно совершенных факторов производства.
Рост масштабов производства, как правило, обеспечивается за счет применения более совершенной техники, передовых технологий, достижений науки, более экономичных ресурсов, повышения квалификации работников. За счет этих факторов достигается повышение качества продукции, рост производительности труда, ресурсосбережения и т.п.
В условиях научно-технической революции, развернувшейся с середины XX века, преимущественным типом развития в западных индустриальных странах становится интенсивный экономический рост.
Таким образом, в мировой практике различают два типа экономического роста:
- интенсивный;
- экстенсивный.
При экстенсивном росте производительность труда, увеличение объемов производства осуществляется за счет сокращения уровня безработицы (достижения полной занятости, привлечения большего количества работников). Экономический рост при данных условиях носит разовый характер, т.к. состояние полной занятости не может выполняться ежегодно. Рост идет за счет количества, а не качества, что приводит также к увеличению затрат (увеличение себестоимости продукции).
Экстенсивный тип развития носит застойный характер, т.к. фактически нет технического прогресса, морально и физически изнашиваются основные фонды, снижается фондовооруженность работников.
Экстенсивный тип роста в современных условиях не эффективен и не имеет реального смысла. Наиболее приемлемым признается интенсивный тип, который ведет к увеличению объемов производства, качества товаров, уровня жизни за счет качественных факторов.
НТП непосредственно играет очень важную роль. За счет НТП, квалифицированных рабочих, рационализации ресурсов и т.д. идет увеличение темпов и эффективности экономического роста.
3. Модели экономического роста
Неоклассические модели экономического роста
Основополагающим в макроэкономике неоклассического направления является понятие производственной функции .
Производственной макроэкономической функции можно дать два основных определения:
1) это функция равновесного состояния выпуска продукции и определяющих его факторов производства (капитала, труда, земли, НТП);
2) это соотношение между национальным продуктом и взаимосвязанными факторами богатства общества, используемыми в экономике для его получения.
Математическое изображение производственной функции выглядит так:
y=F (L, N, K) ,
где F – обозначение характера продукта, y – обозначение объема продукта, L – труд, N – земля, K – капитал[8] .
Производственная функция в общем понимании позволяет получать много производственных комбинаций, дающих возможность найти определенные выражения выпуска продукции в зависимости от выбранных исследователем факторов.
Гибкость производственной функции обеспечивают специальные коэффициенты. Их называют коэффициентами эластичности. Это степенные коэффициенты факторов производства, показывающие, как возрастет объем продукции, если фактор производства увеличится на единицу. Различают производственные функции как с постоянными коэффициентами эластичности, так и с переменными.
Постоянные коэффициенты означают, что продукт растет в той же пропорции, в какой и факторы производства.
Пример: двухфакторная производственная функция:
y=A * Lα * K1-α
где y – национальный продукт, L – труд, K – капитал всего общества, α – коэффициент эластичности (α<1), A – постоянный коэффициент (находится расчетным путем)[9] .
Первая решаемая проблема – каким должно быть вознаграждение факторов производства в соответствии с неоклассическими представлениями?
Возьмем функцию производительности труда от капиталовооруженности, разделив L на параметры функций:
Y/L=F(k/L, 1) или y=f(K, 1) ,
где y=Y/L – производительность общественного труда,
K=k/L – объем используемого в обществе капитала, приходящегося на одного работника.
Данная функция должна иллюстрировать следующее: если объем используемого общественного капитала на одного рабочего возрастает, то растет также, но в меньшей степени, продукт на одного рабочего (предельная производительность труда).
Капитал и труд вознаграждаются на основе соответствующих предельных производительностей факторов (см. приложение 1 рис. 1). Вознаграждение капитала определяется тангенсом угла наклона касательной к кривой f(K) в точке Р – это предельная производительность капитала.
WN – доля капитала в общественном продукте;
OW – доля заработной платы в продукте;
ON – весь продукт общества.
Вторая важная задача – это определение и выбор требуемой в данных конкретных макроэкономических условиях технологической комбинации факторов производства из множества возможных вариантов (см. приложение 2 рис. 2).
Кривые Y1 , Y2 , Y3 … Yn называются изоквантами продукта. Они охватывают все возможные комбинации факторов производства и дают определенную величину выпуска продукции. Каждая изокванта характеризует новый уровень производства, и величина выпуска продукции возрастает по мере смещения изоквант вправо: Y1 <Y2 <Y3 …<Yn . Тогда РI , РII , РIII … РIV – это технологические комбинации факторов труда и капитала, дающие одинаковое количество общественного продукта в пределах одной и той же изокванты. На нашем рисунке более трудоемкий на первой изокванте по трудоемкости РIV >РIII и т.д.
Производственные функции дают возможность оценить конкретно, во что обществу обойдется технологическая замена единицы одного фактора на определенную величину другого.
Например, в двухфакторной модели с постоянными коэффициентами эластичности выпуск национального продукта на 1/4 определяется капиталом, а на 3/4 – трудом. Если стоит задача увеличить выпуск продукта на 5 млрд. долл., то это можно сделать двумя способами:
1. Увеличив капитал, оставив без изменения затраты труда, что потребует прироста капитала в размере 20 млрд. долл. (5:1/4=20).
2. Увеличив затраты труда, оставив без изменения затраты капитала, что потребует прироста трудовых затрат в размере 6,7 млрд. долл. (5:3/4=6,7).
Таким образом, один и тот же объем прироста национального продукта может быть получен либо с расширением капиталовложений на 20 млрд. долл., либо с расширением использования труда на 6,7 млрд. долл. Следовательно, при данном уровне технологического развития общества единица труда эквивалентна и взаимозаменяема для 3 единиц капитала.
Третья важная задача – выявление доли качественного фактора научно-технического прогресса в производстве и росте национального продукта. Здесь используются модифицированные производственные функции с целью обособления специального коэффициента эластичности, характеризующего влияние НТП на экономический рост.
Пример функции такого рода:
Y=A * Lα * Kβ * ent ,
где α, β, n – коэффициенты эластичности,
t – период времени, за который рассматривается экономический рост,
e – основание натуральных логарифмов.
y= αl + βK + n – прирост продукта, дающий итог экономического роста, где:
y – среднегодовой прирост национального продукта;
l – прирост труда;
K – прирост капитала;
n – характеризует долю НТП.
Пример: известны исконные параметры:
y=3,2 % в год; l =1 %; K=3 %; α=3/4; β=1/4; n=0,017.
Тогда можно записать:
3,2 %=0,75 % + 0,75 % + 1,7 %.
Исходя и этого, можно определить долю интенсивных факторов экономического роста: 1,7:3,2=0,53=53 %; экстенсивных факторов (47 %). Это говорит о преобладании роли интенсификации в экономическом росте.[10]
Значительную роль в разработке моделей экономического роста сыграл Р. Солоу.
Модель Р. Солоу – наиболее известная простая непрерывная односекторная модель экономической динамики.
Модель Солоу представлена пятью переменными и описывается системой из пяти уравнений.
Переменные:
Y – объем национального продукта;
С – фонд непроизводственного потребления;
S – валовой фонд накопления;
L – объем наличных трудовых ресурсов;
К – объем наличного основного капитала.
Уравнения:
1) Y=F(K, L) ;
2) Y=С + S ;
3) S= s*Y , где 0<s<1, s = const, причем s – норма накопления;
4) S = К + μ*К , 0 < μ < 1, μ = const;
5) L = g *L , g = const.
μ – постоянный коэффициент выбытия элементов основного капитала;
К – чистый прирост капитала, описываемый производной по времени.
Возможности модели Солоу весьма широки. Она позволяет находить тенденцию макроэкономического развития с требуемой капиталовооруженностью и оптимальную норму накопления, моделировать виды технического прогресса (автономный, материализованный, нейтральный).
Под техническим прогрессом в производственной функции понимают изменение технологического множества взаимодействия капиталов, рабочей силы и других факторов производства, сопровождающееся экономическим ростом.
Различают автономный, материализованный, нейтральный и не нейтральный технический прогресс.
Автономный (экзогенный) технический прогресс представлен производственной функцией, описывающей изменение технологии во времени независимо от изменений переменных состояния экономики (капитала, земли, труда, времени). Речь здесь идет об изменениях в специализации, кооперации, управлении и т.д.
Материализованный (овеществленный) технический прогресс характеризуется переменными, которые принимают активное участие в изменении производственной функции (капитала, земли, труда, времени).
Нейтральный технический прогресс определяется такими техническими изменениями (автономного или материального вида), которые не нарушают равновесия, то есть экономически и социально «безопасны» для общества.
Модель Кобба-Дугласа:
P=1,01*L0,75 * K0,25 ,
где P – расчетный индекс производства;
K – индекс основного капитала;
L – индекс занятости.
Кейнсианские модели экономического роста
Модель Харрода
Особую роль в выводах Харрода играют отношение и показатель «капитал-продукт». Темп прироста национального дохода (у) можно определить как отношение нормы валовых инвестиций (которая считается равной склонности к сбережению всего общества) к показателю «капитал-продукт»:
y=S/K ,
где S – склонность к сбережению;
К – показатель «капитал-продукт».
Это можно записать иначе:

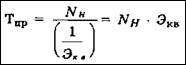
где Тпр – темпы прироста национального дохода;
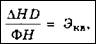
∆HD и HD – прирост и полная величина национального дохода;
ФН – фонд накопления;
Nн – норма накопления в национальном доходе;
∆КЁ – капиталоемкость прироста национального дохода.
Если обозначить
то можно записать:
– формула связи темпов прироста национального дохода, нормы накопления и эффективности инвестиций[11]
.
Также Харрод вводит ряд новых понятий в теории роста:
Gw , – гарантированный темп роста, обеспечивающий постоянный процент прироста продукции;
Cr – требуемый капитальный коэффициент;
s' – склонность к сбережению;
Gn – процент естественного прироста или необходимый темп развития, определяемый приростом населения и НТП не нейтрального характера.
В результате им получены три значения формулы роста:
1. Gw * Cr = S', или Gw =S’/Cr ;
Cr – коэффициент, выражающий нейтральный характер НТП;
Sr – равновесный уровень склонности к сбережению.
2. G n * C r = S , или G n = S/ C r (при неравновесном уровне склонности к сбережению);
3. G n * C r = Sr , или G n = Sr / C r (при равновесном уровне склонности к сбережению).
Последние две формулы выражают варианты не нейтрального НТП (при интенсивном развитии – потенции экономической динамики, реализованные в росте). Они показывают, что в долгосрочном периоде роста возможно как равновесное, так и неравновесное состояние. Динамическое равновесие достигается, если S = S r .
Однако имеются и два случая неравновесного роста. Если S > S r , то это означает избыточность сбережений. В воспроизводственном аспекте при такой ситуации имеет место неполная занятость, экономика стагнирует. Существует избыточное предложение инвестиционного капитала, и даже приемлемый уровень процента не обеспечивает достаточных стимулов к новому качеству роста.
В случае если S < S r , то имеет место недостаточность сбережений. Экономика «перегрета» индустриальной активностью предпринимателей, кредиты весьма дороги, инвестиции начинают финансироваться за счет «печатного станка», «липовых» векселей и других необеспеченных ценных бумаг, экономика вползает в хроническую инфляцию.
Модель Харрода-Домара предназначена для определения постоянного сбалансированного темпа роста экономики, при котором все основные компоненты экономической системы изменяются во времени с одинаковой скоростью, при полной занятости населения в трудоспособном возрасте.
Основные предпосылки модели:
– экономика рассматривается в виде одной отрасли, производящей однородный и бесконечно делимый продукт;
– для производства товаров необходимы два вида ресурсов – труд и капитал. Труд является невоспроизводимым фактором производства, темпы роста населения определяются внеэкономическими факторами;
– количество труда и капитала, необходимое для производства единицы продукции, постоянно и определяется макротехнологическими параметрами;
– доля национального дохода, предназначенная для сбережений, являющихся источником финансирования прироста новых мощностей, постоянна.
Главная задача модели – определение устойчивого темпа роста дохода. Для этого используются три основных вида темпов роста (см. приложение 3 рис. 3).
Условием существования «постоянного равновесного темпа роста экономической системы является соблюдение равенства темпов роста населения и темпов роста капитала:
Tp =s/b и Tp =TF =T0 Y ,
где T0 Y – равновесный устойчивый рост дохода.
В реальной действительности соотношения (Тр ) и (s/b) – могут быть таковы:
1) Tp < s/ b – в производстве достигается полная занятость, но возникает избыток производственных мощностей. В этом случае темп роста дохода равен темпу роста трудовых ресурсов;
2) Tp >= s/ b – в экономике увеличивается незанятость (безработица). В этом случае темп роста дохода определяется темпом роста капитала[12] .
Итак, сбалансированный темп роста есть функция темпов роста численности и капитала.
Модель межотраслевого баланса
Существует довольно простая интерпретация гарантированного темпа роста в модели Харрода-Дамара:
S=k *∆Ф 1 ,
где ∆Фt =Фi+1 =Фt , где Фi+1 ,Фt – основные производственные фонды в момент времени t и t+1. Из этих уравнений выводят основное уравнение модели (открытый динамический баланс Леонтьева в дискретном времени):
X–АХ– D*∆ X=С ,
где ∆X1 =Xt+1 – Xt , D = к * f, a D – матрица, в которой коэффициенты dij показывают, какое количество продукта i необходимо затратить в данном году, чтобы производство продукта j в будущем году могло увеличиться на единицу. Кроме того, dj – это и коэффициенты затрат продукта i на создание единицы производственной мощности отрасли j. Коэффициенты dji называются также коэффициентами приростной фондоемкости.[13]
Смысл модели состоит в том, что она позволяет понять, каким образом, задавая на каждый момент времени желаемый вектор потребления с и решая систему уравнений модели, можно получить в условиях динамики переменных общее равновесие по движению основных производственных фондов, фонду потребления и выпуску валового и конечного продукта.
Модель МОБа
Одной из важнейших частных (специальных) моделей экономической динамики является динамическая модель МОБа.
Основой являются уравнения расширенного баланса производства продукции и использования основных производственных фондов:
х – Ах = у; f * х = Ф ,
где х=(x1 , x2 ... xn ) – вектор валовых выпусков;
y=(y1 , y2 ... yn ) – вектор конечного продукта;
А = (аj )m* n – матрица прямых материальных затрат;
f = (flj )n* n – матрица фондоемкости продукции;
Ф = (Ф1 , Ф2 ... Фm )– вектор основных производственных фондов;
n – число различных продуктов;
m – число различных видов основных производственных фондов.
Условия модели можно представить четырьмя исходными уравнениями:
1. х – Ах = у – производство конечного продукта равно разности между валовым выпуском продукта и прямыми производственными затратами (промежуточным продуктом).
2. fx = Ф – выпуск валового продукта ограничен имеющимися производственными мощностями (сбалансирован с ними).
3. у = S + С – конечный продукт складывается из фондов накопления и потребления.
4. S = k*∆Ф – фонд накопления сбалансирован с материальными ресурсами капитального строительства, необходимыми для ввода в действие основных производственных фондов.
Обозначения : k=(kil )n* m – матрица материальных затрат в капитальном строительстве;
kil – продукт вида i, затраченный для ввода в действие единицы фондов вида l (при условии, что затраты года t в году (t + 1) становятся фондами, производящими продукцию);
S = (s1 , s2 ... sn ) – фонд производственного накопления;
С = (c1 , c2 ... cn ) – фонд потребления.
В этой модели предполагается, что фонд накопления целиком направляется на прирост основных производственных фондов.
Получаем следующие виды экономического роста:
1. По конечному продукту:
![]()
2. По структурной эффективности роста:

3. По конечной эффективности потребительского роста:

Приведенные показатели важны тем, что они получены на основе оценок качественного содержания элементов роста[14] .
Таким образом, проблема экономического роста является центральной задачей всех стран.
Модели экономического роста анализируют те факторы и процессы, которые в состоянии обеспечить достаточно быстрое экономическое развитие.
Выделяют несколько моделей экономического роста:
1.Неоклассические модели.
2. Кейнсианские модели.
3. Модели Межотраслевого баланса.
Неоклассические модели главное внимание уделяют понятию макроэкономической производственной функции.
На этой базе анализируются факторы и результаты роста, обусловленные традиционными ценностями рыночного хозяйства: частной собственностью, конкуренцией, эффективностью использования ресурсов, умеренным вмешательством государства в хозяйственные процессы.
Кейнсианские модели большое внимание уделяют факторам, ориентированных на определение параметров макроэкономического развития при активном воздействии на рынок со стороны государства.
Более сложные модели экономического роста, получаемые из межотраслевого баланса, имеют свой целью дать подробное описание качественного содержания множества элементов экономического роста.
4. Экономический рост и проблемы окружающей среды
Экономический рост – важная цель каждой станы. Независимо от идеологии и уровня развития все страны преследуют цели развития экономики и повышения жизненного уровня. Каждая страна достигла неодинаковых успехов в экономическом развитии, но прогресс мировой экономики в целом достаточно значителен. Численность населения увеличилась в 2,1 раза с 1950 по 1990 год. Производство товаров и услуг в мире возросло в 5 раз. Мировое хозяйство за 15 дней производит и потребляет столько, сколько за год в 1900 году.[15]
По мере развития производственных сил, развертывания НТП возрастает интенсивность индустриального вмешательства человека в дела природы. Индустриальное развитие превращает всю планету в арену практической деятельности людей.
Экономический рост и потребление ресурсов
В настоящее время употребляются почти все возобновляемые природные ресурсы, степень использования которых приближается к приходной части их баланса. Более критическое состояние с невозобновляемыми ресурсами. Их хватит максимум на 100-150 лет.
В связи с ежегодным ростом населения росло расширение сельскохозяйственных угодий. На данный момент условия расширения земельных угодий уже исчерпаны, вследствие чего сельскохозяйственные производители вынуждены были увеличивать интенсификацию использования земель. Быстрыми темпами росло поголовье скота, обеспечивающего человека продуктами питания и тяговой силой. Потребности в кормах во многих развивающихся странах превышают продуктивность местных пастбищ и производств кормовых культур. Например, в девяти странах Южной Африки поголовье скота на 50-100 % превосходит возможную кормовую базу. В конечном итоге обезлесение, перепас скота, чрезмерная интенсивность использования пахотных земель, часто ведут к выдуванию, вымыванию, а также к опустыниванию. Из-за неправильного и нерационального использования земли ежегодно возникает 6 млн. га пустынь, плодородный слой, богатый гумусом, уносится ветром в количестве 26 млдр. тонн. По всей Земле происходит деградация земель, которая в большей степени ставит развивающиеся страны перед риском нехватки пищи, одежды и т.д.
Важную роль в существующих экологических системах играет рыбное хозяйство. Оно обеспечивает 25 % белков (всех потребляемых животных белков). В результате быстрого улова рыбы и продуктов моря, ресурсы моря заметно уменьшаются. Только к началу 80-х годов уже 9 крупных промысловых зон находились в упадке.
Например, одна из промысловых зон – место лова знаменитых перуанских анчоусов, которая ежегодно могла бы давать 9 млн. тонн. Из-за неудачного ведения рыбного хозяйства рыбная отрасль ежегодно недополучает 9 млн. тонн потенциального улова.
Леса, являясь важным источником промышленного сырья, играют важную роль в сохранении почвы и воды, поддержания здоровой атмосферы и т.д. К настоящему времени истреблено до 2/3 покрывающих землю лесов, главным образом в Западной Европе, где древесный уголь использовался для выплавки металлов.
В основном площадь естественных лесов уменьшается в развивающихся странах. Эти страны для поддержания своей экономики, роста мощи страны, а также для получения быстрой прибыли хищнически и нерационально используют свои природные ресурсы, а также огромная доля уходит на экспорт.
Проблема потребления встает также остро, как и загрязнение окружающей среды, и также связана с экономическим ростом.
Во-первых встает вопрос о соотношении и взаимосвязи ограниченности ресурсов, и бесконечности человеческих потребностей. Непосредственно потребление влияет на экономический рост. С одной стороны это один из факторов увеличения предложения, увеличение производства, с другой стороны это расходы на рекламу которые составляют заметную величину ВВП (расходы на рекламу в развитых странах составляют 0,6-0,7 % ВВП).
Во второй половине 20-го века становятся очевидными отрицательные стороны экстенсивного развития экономики. Стремление достичь любыми краткосрочными путями экономических выгод, то или иное общество имеет загрязнение природы, разрушение экосистемы, а также потери части ВВП.
Ежегодные потери, причиненные только атмосферными загрязнениями составили во:
-Франции до 1 % ВВП.
-Италии 0,5-0,7 % ВВП.
-Британии 2-2,5 % ВВП.
-США 2,5-3 % ВВП[16] .
Общий ущерб, наносимый окружающей среде в результате хозяйственной деятельности. Например, в европейских странах оценивается в 3-5 % ВВП. Такие потери роста имеют серьезные экологические. Финансовые и социальные последствия. Их можно преодолеть двумя путями:
1) снизить темпы экономического развития (роста);
2) осуществление мер по экологизации производства.
Сущность первого пути связана с именами Дж. Форрестора и Д. Медоуза и публикациями Римского клуба – «Мировые динамики», «Пределы роста». Эта альтернатива оказалась неприемлемой ни для развитых, ни для развивающихся стран. Главная отрицательная черта – то, что применение ограничительных мер только лимитирует последствия загрязнения окружающей среды, но полностью не ликвидирует.
Второй путь является наиболее приемлемым, эффективным. Он основывается на рациональном использовании природных ресурсов в мировой экономике на согласованных между государствами и использования НТП для внедрения экологически чистых технологий. Реальный шанс на сохранение природных ресурсов и среды дает ресурсосбережение и утилизация отходов.
В связи с глобальными отрицательными последствиями воздействия человеческой деятельности, в частности бурно развивающийся экономический рост на окружающую среду во многих странах мира были приняты комплексы программ охраны окружающей среды, предусматривающие широкий комплекс мероприятий.
Определено, что защита окружающей среды – необходимый компонент экономического роста. Почти всеми странами разрабатывается экологическая политика. Одним из важнейших ее элементов является мониторинг.
Мониторинг – система контроля, оценки и слежения за изменениями состояния окружающей среды под влиянием антропогенных воздействий. Его развитие осуществляется на государственной основе путем создания сети стационарных станций наблюдения, с помощью авиакосмических средств контроля за изменениями параметров, характеризующих состояние среды.[17]
Центральным, основным элементом в экологической политике играет система оперативного управления охраны окружающей среды. Задача данного управления заключается в принуждении и побуждений предпринимателей к конкретным природоохранным действиям. Инструментом принуждения являются законы, административные нормы, также нормы основанные на рыночном подходе, включающим в себя возмещение ущерба, платные нормы выброса, налоги на выбросы.
Еще одним из главных звеньев политики в области окружающей среды является экологическая регламентация. Она включает упорядочение эксплуатации природных ресурсов, запреты и ограничения на производство некоторых продуктов, административные санкции за нарушение природоохранного законодательства, экологические нормы.
Экологические затраты повышают издержки производства, что сказывается на конкурентоспособности соответствующей продукции на мировых рынках.
В 70-е годы доля экологических затрат от общей суммы производственных затрат в черной металлургии США составила 4-5 %, в 80-е годы – 6-7 %.
До сих пор основные проблемы окружающей среды остаются в нашей жизни. Хотя ряд стран сократил темпы загрязнения природной среды, общая тенденция ухудшается. Проблема заключается в том, что значительная деградация вызывается богатством на Севере и бедностью на Юге.
Экологическая политика стран Третьего мира отличается от экологических мер развитых стран, вследствие своей бедности. Недостаток средств не дает им увеличивать затраты, вложения на охрану окружающей среды. Также растущая внешняя задолженность вынуждает их продавать свои естественные ресурсы, которые являются единственным источником получения валютных средств.
В связи со сложившейся ситуацией в мире общество старается найти оптимальные пути решения и выхода из проблем экологии.
В 1987 году Международная комиссия по окружающей среде и развитию, созданная Генеральной Ассамблеей ООН выдвинула «концепцию устойчивого развития». Данная концепция предполагает удовлетворение потребностей общества без ущерба для будущих поколений, без увеличения долгов, которые оно не может оплатить. Переход к устойчивому развитию требует разрешения целого ряда взаимообусловленных проблем. Устойчивое развитие может быть обеспечено только политическими и экономическими средствами. Нужны крупные капиталовложения по предотвращению глобальных, национальных проблем.
В июне 1992 года в Рио-де-Жанейро состоялась Конференция ООН по проблемам окружающей среды и будущего развития цивилизации. На Конференции были приняты:
- Декларация по окружающей среде и развитию;
- 27 принципов, определяющих права и обязанности стран в деле обеспечения развития и благосостояния людей.
Повестка дня на 21-й век:
- программа того, как сделать развитие устойчивым;
- заявление о принципах управления, защиты и устойчивого развития всех видов лесов;
- большинство стран подписали (США не подписали) Конвенцию об изменении климата.
Перед странами поставлена задача уменьшить выброс парниковых газов до уровня 1990 года[18] .
Таким образом, экономический рост непосредственно влияет на окружающую среду и это влияние имеет негативный характер за счет ряда причин:
- нерациональное использование природных ресурсов;
- безграничное потребление человечества;
- стремление получить быстрые экономические прибыли, не взирая на состояние экологии;
- содержание в мире большого количества развивающихся стран, которые не имеют средств ликвидации антропогенных воздействий на природу;
- за счет преобладания экстенсивного типа экономического развития.
Общество всего мира, представленное в виде различных уполномоченных объединений (например, ООН) пытается найти решение проблемы. На последней Конференции было решено, что миру нужна новая модель развития человечества, которая должна опираться на совместные инструменты мирового сообщества и лишь затем на интересы отдельных групп стран.
Заключение
Анализируя вышеизложенный материал, автор считает возможным сделать следующие выводы:
1. Экономический рост можно определить как рост реального ВВП и рост ВВП на душу населения. Он может быть выражен в натуральном и денежном виде.
Экономический рост определяется следующими факторами:
- природными ресурсами;
- труд (трудовые ресурсы);
- капитал;
- технологии (НТП).
Выделяют экстенсивный и интенсивный экономический рост.
Интенсивный – более оптимальный рост, т.к. обеспечивается качеством факторов экономического роста.
Экстенсивный – обеспечивается количеством факторов экономического роста, что не дает высоких показателей, а также носит застойный характер, изнашиваются основные фонды, нет НТП и т.д.
2. Анализ экономического роста можно производить с помощью моделей экономического роста, которые делятся на:
- неоклассические модели;
- кейсианские модели;
- модели межотраслевого баланса.
Главный минус этих моделей в том, что они предусматривают некоторые допущения, условия, что изначально отодвигает результат от реальных процессов.
Классические модели предусматривают незначительное вмешательство государства в рыночные отношения.
Результаты и факторы роста обусловлены:
-частной собственностью.
-конкуренцией.
-эффективностью использования природных ресурсов, и т.д.
Кейнсианские модели основаны на активное вмешательство государства. На данный момент Кейнсианские модели не удовлетворяют требованиям современной жизни. Это видно даже из того что эти модели являются ограниченными: (Функция Леонтьева, характеризуется отсутствием взаимозаменяемости факторов производства – труда и капитала, что в современных условиях не всегда соответствует действительности).
Более сложными являются модели Межотраслевого баланса. Данные модели своей целью имеют – дать подробное описание качественного содержания элементов экономического роста.
На основании всего вышеизложенного нужно сказать, что экономический рост требует к себе значительного внимания, т.к. страны, стремящиеся к развитию, росту непосредственно влияют на окружающую среду и в большей степени это влияние – загрязнение и уничтожение природы, среды в которой живет сам человек.
Данный вопрос встает очень остро и поэтому страны на мировом уровне стараются найти оптимальные пути решения этих проблем, связанных с экономическим ростом (увеличивающимся производством) и удовлетворением бесконечных потребностей человека, а также при росте в мире общего числа населения.
Для решения многих проблем нужна материальная база, которую многие еще не развившиеся страны не имеют. А увеличить доходы и средства страны, т.е. увеличить темп экономического роста без сильного воздействия на среду требует много средств.
Экономический рост непосредственно влияет на окружающую среду и это влияние имеет негативный характер за счет ряда причин:
- нерациональное использование природных ресурсов;
- безграничное потребление человечества;
- стремление получить быстрые экономические прибыли, не взирая на состояние экологии;
- содержание в мире большого количества развивающихся стран, которые не имеют средств ликвидации антропогенных воздействий на природу;
- за счет преобладания экстенсивного типа экономического развития.
Общество всего мира, представленное в виде различных уполномоченных объединений (например, ООН) пытается найти решение проблемы. На последней Конференции было решено, что миру нужна новая модель развития человечества, которая должна опираться на совместные инструменты мирового сообщества и лишь затем на интересы отдельных групп стран.
Автор считает, что проблемы окружающей среды необходимо решать на международном уровне и сообща. Если человечество не найдет реального решения, то человечество в скором будущем получит такие последствия, которые приведут к вымиранию людей и не только людей.
Список использованной литературы:
1. Агапова Т. А., Серегина С. Ф. Макроэкономика. Учебник. – М.: ДИС. 1997. 415 с.
2. Борисов Е. Ф. Экономическая теория. Курс лекций. – М.: ЮРИСТЬ. 1997. 452 с.
3. Ильин С. С., Васильева Т. И. Экономика. Справочник студента. М.: АСТ. 1999. 544 с.
4. Иохин В. Я. Экономическая теория: введение в рынок и микроэкономический анализ. – М.: Экономика. 1997. 544 с.
5. Ломакин В. К. Мировая экономика. Учебник. М.: ЮНИТИ. 2000. 727 с.
6. Макконнелл Кэмпбелл Р., Стенли Л. Брю. Экономикс. М.: 2000
7. Николаева И. П. Экономическая теория. – М.: Проспект. 1998. 511 с.
8. Райзберг Б., Лозовский Л. Учебный экономический словарь. М.: Рольф: Айрис-пресс. 1999. 416 с.
9. Сажина М. А., Чибриков Г. Г. Экономическая теория. – М., 1998.
11. Чепурин М. Н. Курс экономической теории. Киров. 1999.
12. Шишов А. Л. Макроэкономика. М.: ЭКМОС. 1997.
13. http://www.referat.ru
14. http://www.bankreferatov.ru
Приложение 1

Рис. 1. Функция производительности труда от капиталовооруженности
f(K) в точке Р – это предельная производительность капитала;
WN – доля капитала в общественном продукте;
OW – доля заработной платы в продукте;
ON – весь продукт общества.
Приложение 2

Рис. 2. Карта изоквант
Кривые Y1 , Y2 , Y3 … Yn называются изоквантами продукта.
РI , РII , РIII … РIV – технологические комбинации факторов труда и капитала.
Приложение 3

Рис. 3. Виды темпов экономического роста
Y – национальный доход;
К – чистые капиталовложения;
F – капитал;
Р – численность населения;
S – сбережения (S = К;)
s – норма сбережений национального дохода;
b – удельная фондоемкость доходов;
Tp – темп роста населения;
TY – темп роста дохода;
TF – темп роста капитала.
[1] Борисов Е. Ф. Экономическая теория. Учебник. – М.: ЮРИСТЬ. 1997. с. 138
[2] Борисов Е. Ф. Экономическая теория. Учебник. – М.: ЮРИСТЬ. 1997. с. 145
[3] Ильин С. С., Васильева Т. И. Экономика. Справочник студента. М.: АСТ. 1999. с. 234
[4] Николаева И. П. Экономическая теория. – М.: Проспект. 1998. с. 213
[5] Иохин В. Я. Экономическая теория: введение в рынок и микроэкономический анализ. – М.: Экономика. 1997. с. 125
[6] Райзберг Б., Лозовский Л. Учебный экономический словарь. М.: Рольф: Айрис-пресс. 1999. с. 396
[7] Райзберг Б., Лозовский Л. Учебный экономический словарь. М.: Рольф: Айрис-пресс. 1999. с. 396
[8] Шишов А. Л. Макроэкономика. М.: ЭКМОС. 1997. с. 132
[9] Шишов А. Л. Макроэкономика. М.: ЭКМОС. 1997. с. 133
[10] Агапова Т. А., Серегина С. Ф. Макроэкономика. Учебник. – М.: ДИС. 1997. с. 231
[11] Шишов А. Л. Макроэкономика. М.: ЭКМОС. 1997. с. 141
[12] Агапова Т. А., Серегина С. Ф. Макроэкономика. Учебник. – М.: ДИС. 1997. с. 236
[13] Шишов А. Л. Макроэкономика. М.: ЭКМОС. 1997. с. 146
[14] Макконнелл Кэмпбелл Р., Стенли Л. Брю. Экономикс. М.: 2000. с. 78
[15] Ломакин В. К. Мировая экономика. Учебник. М.: ЮНИТИ. 2000. с. 302
[16] Ильин С. С., Васильева Т. И. Экономика. Справочник студента. М.: АСТ. 1999. с. 352
[17] Ильин С. С., Васильева Т. И. Экономика. Справочник студента. М.: АСТ. 1999. с. 488
[18] Ломакин В. К. Мировая экономика. Учебник. М.: ЮНИТИ. 2000. с. 311