| Скачать .zip |
Реферат: Оптимизация объемов производства на краткосрочных временных интервалах
аспределение
доходов между
участниками
рыночных процессов
для условий
монопольного
рынка.
Г
рафик
показателя
ценовой эластичности
спроса.
Г
рафик
оптимизация
объема производства
монопольной
фирмы.
Г
рафик
спроса на продукцию
отрасли.
График средних и предельных издержек типовой конкурентной фирмы
п
ри
различных
объемах выпуска
продукции.
Р
аспределение
доходов между
участниками
рыночных процессов
для условий
конкурентного
рынка.
График совокупных доходов, издержек и прибыли фирмы при разном объеме производства.
С
лучай
минимизации
убытков.
Г
рафик
показателя
рыночного
оборота.
График значений цены реализации, средних и предельных издержек при разном объеме производства.
С
лучай
минимизации
убытков.
Г
рафик
показателя
ценовой эластичности
спроса.
График значений цены реализации, средних и предельных издержек при разном объеме производства.
С
лучай
минимизации
убытков.
Р
аспределение
доходов между
участниками
рыночных процессов
для условий
конкурентного
рынка.

Р
аспределение
доходов между
участниками
рыночных процессов
для условий
монопольного
рынка.


Overview
1часть14частьмоно
1часть3
1часть2
2часть
3часть2
3часть1
4часть
4частькон
Sheet 1: 1часть1
| 0 | 7.37 | |||||||||||
| 1 | 6.8 | 6.8 | -24.86 |
|
||||||||
| 2 | 6.3 | 5.8 | ||||||||||
| 3 | 5.8 | 4.8 | ||||||||||
| 4 | 5.26 | 3.64 | ||||||||||
| 5 | 4.74 | 2.66 | ||||||||||
| 6 | 4.2 | 1.5 | ||||||||||
| 7 | 3.7 | 0.7 | ||||||||||
| 8 | 3.16 | -0.62 | ||||||||||
| 9 | 2.63 | -1.61 | ||||||||||
| 10 | 2.1 | -2.67 | ||||||||||
| 11 | 1.58 | -3.62 | ||||||||||
| 12 | 1.05 | -4.78 | ||||||||||
| График спроса на продукцию отрасли | ||||||||||||
| 1 часть 1 ритсунок | ||||||||||||
| Ц | д | |||||||||||
Sheet 2: 4частьмоно
| 0 | 7.37 |
|
|||||||||
| 1 | 9.54 | 6.8 | |||||||||
| 2 | 1.33 | 6.3 | |||||||||
| 3 | 1.17 | 5.8 | |||||||||
| 4 | 1.13 | 5.26 | |||||||||
| 5 | 1.15 | 4.74 | |||||||||
| 6 | 1.2 | 4.2 | |||||||||
| 7 | 1.26 | 3.7 | |||||||||
| 8 | 1.23 | 3.16 | |||||||||
| 9 | 1.12 | 2.63 | |||||||||
| 10 | 1.14 | 2.1 | |||||||||
| 11 | 1.14 | 1.58 | |||||||||
| 12 | 1.49 | 1.05 | |||||||||
| Часть 4 распределение доходов | |||||||||||
| монополия | |||||||||||
| Ц | |||||||||||
Sheet 3: 1часть3
| 0 | 0 | ||||||||||
| 1 | 6.8 | ||||||||||
| 2 | 12.6 |
|
|||||||||
| 3 | 17.4 | ||||||||||
| 4 | 21.04 | ||||||||||
| 5 | 23.7 | ||||||||||
| 6 | 25.2 | ||||||||||
| 7 | 25.9 | ||||||||||
| 8 | 25.28 | ||||||||||
| 9 | 23.67 | ||||||||||
| 10 | 21 | ||||||||||
| 11 | 17.38 | ||||||||||
| 12 | 12.6 | ||||||||||
| График показателя рыночного оборота | |||||||||||
| 1 часть 3 рисунок | |||||||||||
| Е | |||||||||||
Sheet 4: 1часть2
| 0 |
|
|||||||
| -1 | -25 | |||||||
| -2 | -8.7 | |||||||
| -3 | -4.8 | |||||||
| -4 | -2.9 | |||||||
| -5 | -2.1 | |||||||
| -6 | -1.5 | |||||||
| -7 | -1.2 | |||||||
| -8 | -0.8 | |||||||
| -9 | -0.7 | |||||||
| -10 | -0.5 | |||||||
| -11 | -0.4 | |||||||
| -12 | -0.2 | |||||||
| График показателя ценовой эластичности спроса | ||||||||
| 1 часть 2 рисунок | ||||||||
| Е | ||||||||
Sheet 5: 2часть
| 0 | СрИс | СрИп | срИв | срИм | 7.37 | значения | коэфф | срИм | Ип | срИп | |||
| 1 | 6.51 | 1.91 | 8.42 | 1.91 | 6.8 | 1.1 | 1.21 | 1.91 | 1.91 | 1.91 | |||
| 2 | 3.26 | 1.7 | 4.95 | 1.48 | 6.3 | 0.85 | 0.94 | 1.48 | 3.39 | 1.69 | |||
| 3 | 2.17 | 1.56 | 3.74 | 1.3 | 5.8 | 0.75 | 0.83 | 1.3 | 4.69 | 1.56 | |||
| 4 | 1.63 | 1.49 | 3.12 | 1.26 | 5.26 | 0.73 | 0.8 | 1.26 | 5.95 | 1.49 | |||
| 5 | 1.3 | 1.45 | 2.75 | 1.29 | 4.74 | 0.74 | 0.81 | 1.29 | 7.24 | 1.45 | |||
| 6 | 1.09 | 1.43 | 2.51 | 1.33 | 4.2 | 0.77 | 0.84 | 1.33 | 8.57 | 1.43 | |||
| 7 | 0.93 | 1.43 | 2.36 | 1.41 | 3.7 | 0.81 | 0.89 | 1.41 | 9.98 | 1.43 | |||
| 8 | 0.81 | 1.43 | 2.24 | 1.42 | 3.16 | 0.86 | 0.95 | 1.49 | 11.47 | 1.43 | |||
| 9 | 0.72 | 1.45 | 2.17 | 1.63 | 2.63 | 0.94 | 1.03 | 1.63 | 13.1 | 1.46 | |||
| 10 | 0.65 | 1.49 | 2.14 | 1.84 | 2.1 | 1.06 | 1.17 | 1.84 | 14.95 | 1.49 | |||
| 11 | 0.59 | 1.55 | 2.14 | 2.14 | 1.58 | 1.23 | 1.35 | 2.14 | 17.08 | 1.55 | |||
| 12 | 0.54 | 1.63 | 2.17 | 2.49 | 1.05 | 1.43 | 1.57 | 2.49 | 19.57 | 1.63 | |||
| 11 | |||||||||||||
| Часть 2 | |||||||||||||
| Гр. Средних и предельных издержек конк. Ф. При разл об. Вып. Прод. |
|
||||||||||||
Sheet 6: 3часть2
| 0 | ||||||||||||||
| 1 | 6.51 | 2.1 | 8.62 | 7.31 |
|
|||||||||
| 2 | 2.61 | 1.87 | 4.47 | 1.63 | ||||||||||
| 3 | 1.74 | 1.72 | 2.86 | 1.43 | ||||||||||
| 4 | 1.3 | 1.64 | 2.94 | 1.39 | ||||||||||
| 5 | 1.04 | 1.59 | 2.64 | 1.42 | ||||||||||
| 6 | 0.87 | 1.57 | 2.44 | 1.46 | ||||||||||
| 7 | 0.74 | 1.57 | 2.31 | 1.55 | ||||||||||
| 8 | 0.65 | 1.57 | 2.22 | 1.56 | ||||||||||
| 9 | 0.58 | 1.59 | 2.17 | 1.63 | ||||||||||
| 10 | 0.52 | 1.64 | 2.16 | 1.7 | ||||||||||
| 11 | 0.47 | 1.7 | 2.18 | 2.01 | ||||||||||
| 12 | 0.43 | 1.79 | 2.22 | 2.73 | ||||||||||
| Минимизация убытков | ||||||||||||||
| 3 часть 2 рисунок | срИм | |||||||||||||
Sheet 7: 3часть1
| 0 | 0 | 5.21 | |||||||||
| 1 | 1.58 | 7.31 | -5.7 | ||||||||
| 2 | 3.16 | 8.94 | -5.8 | ||||||||
| 3 | 4.74 | 10.37 | -5.6 | ||||||||
| 4 | 6.32 | 11.76 | -5.4 |
|
|||||||
| 5 | 7.9 | 13.17 | -5.3 | ||||||||
| 6 | 9.48 | 14.64 | -5.2 | ||||||||
| 7 | 11.06 | 16.19 | -5.1 | ||||||||
| 8 | 12.64 | 17.75 | -5.1 | ||||||||
| 9 | 14.22 | 19.54 | -5.3 | ||||||||
| 10 | 15.8 | 21.57 | -5.8 | ||||||||
| 11 | 17.38 | 23.92 | -6.5 | ||||||||
| 12 | 18.96 | 26.66 | -7.7 | ||||||||
| Минимизация убытка | |||||||||||
| 3 часть 1 рисунок | |||||||||||
Sheet 8: 4часть
| 7.37 |
|
||||||||||
| 6.8 | 1.72 | 9.54 | 9.54 | 6.8 | |||||||
| 6.3 | 1.53 | 5.43 | 1.33 | 5.8 | |||||||
| 5.8 | 1.41 | 4.01 | 1.17 | 4.8 | |||||||
| 5.26 | 1.34 | 3.29 | 1.13 | 3.64 | |||||||
| 4.74 | 1.3 | 2.87 | 1.15 | 2.66 | |||||||
| 4.2 | 1.29 | 2.59 | 1.2 | 1.5 | |||||||
| 3.7 | 1.28 | 2.4 | 1.27 | 0.7 | |||||||
| 3.16 | 1.28 | 2.26 | 1.29 | -0.62 | |||||||
| 2.63 | 1.3 | 2.17 | 1.47 | -1.61 | |||||||
| 2.1 | 1.34 | 2.12 | 1.64 | -2.67 | |||||||
| 1.58 | 1.39 | 2.1 | 1.92 | -3.62 | |||||||
| 1.05 | 1.46 | 2.12 | 2.27 | -4.78 | |||||||
| Оптимизация объема производства монопольной фирмы | |||||||||||
| 4 часть | |||||||||||
| Ц | Е | ||||||||||
Sheet 9: 4частькон
| 0 | 7.37 | |||||||||||
| 1 | 6.8 | 7.31 |
|
|||||||||
| 2 | 6.3 | 1.63 | ||||||||||
| 3 | 5.8 | 1.43 | ||||||||||
| 4 | 5.26 | 1.39 | ||||||||||
| 5 | 4.74 | 1.42 | ||||||||||
| 6 | 4.2 | 1.46 | ||||||||||
| 7 | 3.7 | 1.47 | ||||||||||
| 8 | 3.16 | 1.41 | ||||||||||
| 9 | 2.63 | 1.34 | ||||||||||
| 10 | 2.1 | 1.4 | ||||||||||
| 11 | 1.58 | 1.58 | ||||||||||
| 12 | 1.05 | 1.8 | ||||||||||
| Часть 4 Распределение доходов | ||||||||||||
| Конкуренция | ||||||||||||
| Ц | срИм | |||||||||||
Московская государственная академия водного транспорта
(МГАВТ)
кафедра экономики водного транспорта
Курсовая работа по экономической теории
(раздел “Микроэкономика”)
Тема: Оптимизация объемов производства на краткосрочных
временных интервалах.
Студент: II курса, ЭУ-99, Петренко Елена Юрьевна.
Руководитель работы: Пыхтина Ирина Васильевна
Задание выдано
Курсовая работа принята на проверку “______” 2000 г.
Рекомендована к защите “______” 2000 г.
Оценка работы по результатам защиты ____________
Подпись членов комиссии
“______” 2000 г по защите
Москва 2000 г.
Оглавление
Спрос, предложение и цена……………………………………………………..3
Эластичность спроса…………………………………………………………….5
Рынок и его структура…………………………………………………………..7
Краткосрочные и долгосрочные периоды деятельности фирмы………… 8
- Издержки производства………………………………………………………... 9
6. Оптимизация объемов производства в условиях свободной
конкуренции и чистой монополии…………………………………………….11
7. Практическая часть……………………………………………………………...15
8. Заключение………………………………………………………………………...24
1. Спрос, предложение и цена.
Спросом называется количество товара или услуги, которое будет куплено по определенной цене за определенный период. Спрос изменяется в зависимости от цены.
Закон спроса: при прочих равных условиях спрос на товары в количественном выражении изменяется в обратной зависимости от цены. Это происходит по двум причинам: 1) при снижении цены потребитель хочет приобрести больше товара (эффект дохода); 2) товар при снижении цены на него дешевеет относительно других товаров и приобретать его становится относительно выгоднее (эффект замещения).
Закон спроса не действует в трех случаях:
при ажиотажном спросе, вызванном ожидаемом повышением цен;
для некоторых редких и дорогостоящих товаров (золото, драгоценности, антиквариат и др.), являющихся средством вложения денег;
при переключении спроса на более качественные и дорогостоящие товары.
Зависимость между ценой и спрсом выражается в виде графика (рис. 1):

Рис. 1. График спроса: Р - цена; Q – величина спроса.
На изменение спроса влияют и неценовые факторы:
а) изменение в денежных доходах населения;
б) изменение в структуре населения;
в) изменение цен на другие товары, особенно на товары-заменители;
г) экономическая политика правительства;
д) изменение потребительских предпочтений под воздействием рекламы, моды и др.
Предложением называется количество товара или услуги, которое производители готовы продать по определенной цене за определенный период. Зависимость между ценой и предложением уже не обратная, а прямая.
Закон предложения: предложение, при прочих равных условиях, изменяется в прямой зависимости от изменения цены (по мере роста цен производители предлагают к продаже большие количества товаров, а по мере их падения – меньшие).
Предложение, как и спрос, изображается графиком (рис. 2), однако развернутым в другую сторону:

Рис. 2. График предложения: Р - цена; Q – величина предложения.
Реакция предложения на цену объясняется тем, что, во-первых, фирмы, занятые в отрасли, при повышении цены задействуют резервные или быстро вводимые новые мощности (найм дополнительной рабочей силы), что приведет к увеличению предложения. Во-вторых, в случае продолжительного и устойчивого повышения цены в эту отрасль устремятся другие производители, что еще более увеличит производство и предложение.
Однако в краткосрочном плане увеличение предложения не всегда наступает немедленно за повышением цены, так как может не оказаться резервов для увеличения производства (имеющееся оборудование работает с максимальной загрузкой), а расширение мощностей и перелив капитала из других отраслей обычно не могут быть осуществлены в короткие сроки. Но в долгосрочном плане увеличение предложения всегда следует за повышением цены.
Предложение может изменяться под влиянием неценовых факторов:
а) изменение издержек производства в результате технических нововведений, изменения источников ресурсов, налоговой политики, стоимости факторов производства (повышение издержек сдвинет кривую предложения влево, снижение – вправо);
б) выхода на рынок новых фирм, что увеличит предложение вне зависимости от цен;
в) изменения цен на другие товары (уменьшит предложение);
г) природных катастроф, политических действий, войн, разрушающих экономику, что вызовет сокращение предложения.
В результате взаимоотношения спроса и предложения устанавливается рыночная цена. Она фиксируется в точке, в которой пересекаются кривые спроса D и предложения S. Эта точка называется точкой равновесия, а цена – равновесной. Только в этой точке цена устраивает одновременно и покупателя и продавца
При этом действуют следующие законы рыночного ценообразования:
1) Цена стремится к такому уровню, при котором спрос равен предложению.
2) Если под влиянием неценовых факторов произойдет:
а) повышение спроса при неизменном предложении или сокращение предложения при неизменном спросе, то цена возрастет;
б) при неизменном предложении спрос сократится или при неизменном спросе предложение увеличится.
Эти закономерности отражены на графике спроса и предложения (рис. 3):

а) б) в) г)
Рис. 3. Установление точки равновесия спроса и предложения: Р - цена; Q – величина спроса или предложения; D, D1 – спрос до и после изменения; S, S1 – предложение до и после изменения; а) увеличение спроса ведет к росту цены и расширению предложения; б) уменьшение предложения ведет к повышению цены и сокращению спроса; в) уменьшение спроса ведет к падению цены и сокращению предложения; г) увеличение предложения ведет к падению цены и расширению спроса.
2. Эластичность спроса.
Мера реакции одной величины на изменение другой называется эластичностью. Эластичность показывает, на сколько процентов изменится одна переменная экономическая величина при изменении другой на один процент. Эластичность спроса по цене (ценовая эластичность спроса) показывает на сколько изменится в процентном отношении величина спроса на товар при изменении его цены на один процент.
Коэффициент
ценовой эластичности
спроса Ep
равен:
,
где
- изменение
величины спроса,
%;
- изменение
цены, %.
Показатель ценовой эластичности спроса для всех товаров является отрицательной величиной (если цена товара снижается – величина спроса растет, и наоборот). Для оценке эластичности часто используется абсолютная величина показателя, поэтому знак «минус» опускается.
Если абсолютная величина показателя ценовой эластичности спроса больше 1, то мы имеем дело с относительно эластичным спросом (изменение цены приведет к большему количественному изменению величины спроса).
Если абсолютная величина показателя ценовой эластичности спроса меньше 1, то спрос относительно неэластичен (изменение цены повлечет за собой меньшее изменение величины спроса).
При коэффициенте эластичности, равном 1, говорят о единичной эластичности (изменение цены приводит к такому же количественному изменению величины спроса).
Существует два крайних случая:
Возможно существование только одной цены, при которой товар будет приобретаться покупателями. Любое изменение цены приведет либо к полному отказу от приобретения данного товара (если цена повысится), либо к неограниченному увеличению спроса (если цена снизится). При этом спрос является абсолютно эластичным. Графически этот случай можно изобразить в виде прямой, параллельной горизонтальной оси.
Изменение цены не отражается на величине спроса – абсолютно неэластичный спрос. График абсолютно неэластичного спроса выглядит как прямая, перпендикулярная горизонтальной оси (пиницилин).
Таким образом, абсолютная величина показателя ценовой эластичности спроса может изменяться от нуля до бесконечности:
спрос
эластичен -
;
спрос
неэластичен
-
;
спрос с
единичной
эластичностью
-
.
Для того, чтобы измерить эластичность спроса по цене, необходимо подсчитать процентное изменение величины спроса, процентное изменение цены и соотнести их:
.
Показатель эластичности зависит не только от соотношения приростов цены и объема, или от наклона кривой спроса, но и от их фактических значений (даже если наклон кривой спроса является постоянным, показатель эластичности будет различным для разных точек этой кривой). А также следует учитывать какой объем продукции и какой уровень цены следует использовать при расчете.
Для
измерения
процентного
изменения
каждой рассматриваемой
величины используется
средняя точка
интервала,
выбранного
нами. Формула
для определения
процентного
изменения
величины спроса
будет выглядеть:
,
где
,
- величина спроса
до и после изменения
цены, шт.
Для определения
процентного
изменения цены
в выбранном
интервале
получаем:
,
где
,
- начальная и
новая цена,
руб.
Коэффициент эластичности определяется как отношение прироста величины спроса к приросту цены:
.
Рассчитав коэффициент эластичности, получим количественные характеристики ценовой эластичности спроса в различных ценовых интервалах.
На участках эластичного спроса снижение цены и рост объема продаж приводят к увеличению общей выручки от реализации продукции фирмы, на участке неэластичного спроса – к уменьшению выручки. Поэтому каждая фирма будет стремиться избегать того участка спроса на свою продукцию, где коэффициент эластичности меньше единицы.
Факторы, влияющие на эластичность спроса:
наличие товаров-заменителей;
фактор времени;
значимость того или иного товара.
Различают еще перекрестную эластичность спроса, эластичность спроса по доходу.
Перекрестная эластичность спроса используется для определения степени влияния на величину спроса на данный товар изменения цены другого товара.
Измерив эластичность спроса по доходу, можно определить, относится ли данный товар к категории нормальных (когда рост доходов приводит к росту спроса) или низших (когда реакция обратная).
3. Рынок и его структура.
Рынок – это обмен, организованный по законам товарного производства и обращения, совокупность отношений товарного обмена, механизм взаимодействия покупателей и продавцов, т.е. отношение спроса и предложения, сфера обмена внутри страны и между странами.
Для возникновения рынка нужны условия: общественное разделение труда, экономическая обособленность производителей, свобода предпринимательства.
Рынок выполняет ряд существенных функций: информационную, посредническую, ценообразующую, регулирующую, санирующую.
Рынок как развитая система отношений товарного обмена представляет собой систему отдельных взаимосвязанных рынков. Таким образом, рынок охватывает рынок рабочей силы, финансовый рынок (рынок ссудных капиталов), рынок средств производства, потребительский рынок, рынок услуг, рынок технологий, рынок духовных благ.
4. Краткосрочные и долгосрочные периоды
деятельности фирмы.
Деятельность фирмы может быть краткосрочной или долгосрочной, в зависимости от соотношения постоянных и переменных факторов, постоянных и переменных издержек.
Издержки, которые фирма несет при производстве заданного объема продукции, зависят от возможности изменения всех занятых ресурсов. Большая часть видов живого труда, сырья, топлива, энергии может быть изменена легко и быстро.
Другие ресурсы требуют больше времени для освоения.
В некоторых отраслях тяжелой промышленности изменения мощностей может занять несколько лет. Поскольку на изменение количества используемых в производственном процессе ресурсов затрачивается разное время, необходимо различать краткосрочный и долгосрочный периоды.
Краткосрочный период – это период времени слишком короткий, чтобы предприятие смогло изменить свои производственные мощности, но достаточно продолжительный для применения степени интенсивности использования фиксированных мощностей. Производственные мощности фирмы остаются неизменными в пределах краткосрочного периода, но объем производства может быть изменен путем применения большего или меньшего числа работников, сырья и других ресурсов. Существующие мощности в пределах краткосрочного периода могут использоваться с разной степенью интенсивности.
С точки зрения действующих фирм, долговременный период – это период времени достаточно продолжительный, чтобы изменить качества всех занятых, включая и производственные, мощностей. С точки зрения отрасли долговременный период так же включает в себя достаточно времени, чтобы действующие в ней фирмы смогли реформироваться и покинуть отрасль, а новые фирмы возникнуть и вступить в отрасль.
Если краткосрочный период представляет собой период фиксированных мощностей, то долговременный период – период изменяющихся мощностей. Важно отметить, что краткосрочный и долговременный периоды отличаются друг от друга скорее концептуально, чем периодом продолжительности.
Кратчайший период представляет собой короткий период времени, намного короче краткосрочного периода.
Общее правило поведения фирмы в долгосрочном периоде: фирма остается в деле, если предполагаемый доход от реализации ее продукции больше, чем валовые издержки фирмы.
В краткосрочном периоде, когда еще остались непогашенные обязательства, фирма, терпящая убытки, может прекратить коммерческую деятельность, объявив себя банкротом, либо продолжить ее. В этом случае она производит продукцию, которая, будучи реализована, принесет доход и позволит фирме свести убытки к минимуму.
Если у предприятия осталось неоплаченным хоть одно обязательство из разряда постоянных, то предприятие находится в краткосрочном периоде и не может выйти из дела, т.е. прекратить деятельность (оно может только объявить себя банкротом).
Банкротство влечет за собой опись имущества, его продажу, оплату долга из вырученных сумм. Такого исхода по возможности стараются избежать, и прежде чем выходить из него, предприниматель старается оплатить все долги по постоянным издержкам. Когда погашено последнее обязательство по самому длительному виду постоянных издержек, краткосрочный период деятельности фирмы превращается в долгосрочный и предприниматель волен решать, заключать ли ему новые долгосрочные обязательства, т.е. продолжать дело или прекратить его.
5. Издержки производства.
Рассмотрим издержки фирмы в процессе производства и сбыта товаров и услуг. Явные и альтернативные издержки учитываются фирмой в ее деятельности.
К явным относятся все издержки фирмы на оплату используемых факторов производства (труд, земля и капитал). Сумма всех явных издержек выступает как себестоимость продукции, а разница между рыночной ценой и себестоимостью – как прибыль.
Однако сумма производственных издержек, если в них включать только явные издержки, может быть заниженной, и прибыль, соответственно, будет завышенной. Для более точной картины в издержки следует включать не только явные, но и неявные (альтернативные) затраты.
Альтернативными называются издержки использования ресурсов, являющихся собственностью фирмы. Эти издержки не входят в платежи фирмы другим организациям или лицам.
Учет явных и альтернативных издержек позволяет более точно оценить прибыль фирмы
Чистая экономическая прибыль определяется как разница между доходом от реализации продукции и всеми (явными и альтернативными) издержками.
Экономическая прибыль является разницей между валовым доходом (выручкой) и всеми (явными и альтернативными) издержками фирмы.
Бухгалтерская прибыль (финансовая) представляет собой разность между валовым доходом (выручкой) фирмы и ее явными издержками.
Нормальная прибыль – это прибыль, равная альтернативным издержкам, вложенным в дело владельцем фирмы.
Издержки фирмы, связанные с возмещением производственных факторов, размеры которых не зависят от объема производимой продукции, называются постоянными (FC). Основу постоянных издержек составляют издержки, связанные с использованием основных фондов (основного капитала).
К переменным издержкам фирмы (VC) относят возмещение затрат на выплату заработной платы персоналу, начисляемой в зависимости от выработки, платежи за используемое сырье и материалы, топливо, электроэнергию. Если производство прекратится, то переменные издержки сократятся почти до нуля, в то время как постоянные издержки останутся на том же уровне. С расширением производства переменные издержки будут возрастать, т.к. фирме потребуется больше сырья, материалов, работников и т.д. Основу переменных издержек составляют издержки, связанные с использованием оборотных фондов (оборотного капитала).
В сумме
постоянные
и переменные
издержки составляют
валовые
издержки производства
(TC):
.
Если постоянные издержки неизменны, а переменные растут по мере увеличения объемов производства, то валовые издержки также будут расти.
Деление издержек на постоянные и переменные имеет важное значение для анализа деятельности предприятия. Предприниматель должен быть готов к убыточной деятельности, в случае которой его цель максимизации прибыли заменяется на минимизацию убытков, что фактически одно и тоже.
Средними называются издержки, приходящиеся на единицу производимой продукции. Сравнивая средние издержки с ценой продукции, можно получить представление о прибыльности работы фирмы. Средние издержки (AC) рассчитываются путем деления издержек на объем произведенной продукции (Q). Таким образом, можно рассчитать средние постоянные (AFC), средние переменные (AVC) и средние валовые (ATC) издержки.
Средние
постоянные
издержки:
.
Средние
переменные
издержки:

Средние
валовые издержки
рассчитываются
путем деления
валовых издержек
на объем производства,
или суммируя
средние постоянные
и средние переменные
издержки:
.
Предельными
издержками
фирмы (MC)
называется
прирост издержек,
связанный с
выпуском
дополнительной
единицы продукции,
т.е. отношение
прироста переменных
издержек (
)
к вызванному
ими приросту
продукции (
):
.
Анализ издержек производства сказывается на выборе фирмой объема выпуска в краткосрочном временном интервале, когда часть издержек постоянна.
6. Оптимизация объемов производства в условиях свободной
конкуренции и чистой монополии.
В странах с развитой рыночной экономикой преимущественно существуют рынки монополистической конкуренции (производство одежды, обуви, сфера услуг, торговля), а также олигополии (автомобильная промышленность, металлургия). Совершенная конкуренция и чистая монополия встречаются довольно редко и скорее являются абстракциями, моделями, на примере которых можно провести анализ поведения фирмы, формирования ее ценовой стратегии и определения объема выпуска, обеспечивающего максимальную прибыль.
Для того чтобы определить объем производства в краткосрочном временном интервале (период, недостаточный для вхождения новых производителей в отрасль или выхода из нее) существует два пути. Первый состоит в том, что фирма сравнивает получаемый ею валовой доход при различных объемах выпуска с валовыми издержками, соответствующими каждому из возможных объемов. Фирма выберет вариант, когда разница между валовым доходом и валовыми издержками будет максимальной, т.е. будет достигнут максимальный объем прибыли.


а) б)
Рис. 4. Выбор объема производства фирмой путем сопоставления валовых (а) и предельных (б) доходов и издержек: TC – валовые издержки, TR – валовой доход, MC – идеальные издержки, MR – предельный доход.
Фирма будет сравнивать предельный доход и предельные издержки. До тех пор пока расширение производства будет обеспечивать более быстрый рост дохода по сравнению с ростом издержек, фирма будет наращивать производство. Когда же дополнительная продукция будет больше добавлять к издержкам, чем к доходу, фирма прекратит увеличивать объем выпуска. Объем производства, при котором предельный доход равен предельным издержкам, называется точкой оптимального выпуска.
Используя либо первый подход (сравнение валовых дохода и издержек), либо второй (сравнение предельных дохода и издержек), фирма выберет объем производства Q0, который обеспечит ей максимальную прибыль.
Любой объем производства от Q1 до Q2 принесет фирме прибыль, однако лишь в точке Q0 эта прибыль будет максимальной. Именно при Q0 предельный доход будет равен предельным издержкам.
Сравнение предельных дохода и издержек является способом определения объема производства не только в условиях совершенной конкуренции. Как только прирост издержек начнет превышать прирост дохода, фирма перестанет производить дополнительную продукцию.
Однако, в краткосрочном периоде фирма может столкнуться с ситуацией убытков. В этих условиях поведение фирмы может быть двояким: либо она продолжит производство, несмотря на убытки, либо прекратит свою деятельность и закроется.
Если фирма предпочтет производить продукцию даже в случае возникновения временных убытков, ее задачей станет их минимизация. Возможны три ситуации, с которыми сталкивается фирма в условиях совершенной конкуренции.
Производя продукцию в количестве Q0 , при котором обеспечивается равенство цены и предельных издержек, фирма получает прибыль, поскольку сложившаяся на рынке цена P0 превышает минимальные средние валовые издержки.

Рис. 5. Максимизация прибыли фирмой в условиях совершенной конкуренции.
Если предположить, что рыночная цена продукции упала до уровня P1 и стала ниже минимума средних валовых издержек фирмы, и выше минимума средних переменных издержек, то фирма продолжит производство в объеме, который позволит максимально сократить возникшие убытки.

Рис. 6. Минимизация убытков фирмой в условиях совершенной конкуренции.
Если рыночная цена снизится до уровня P2 и окажется ниже минимальных средних переменных издержек, то фирма не сможет компенсировать даже части своих постоянных затрат (аренда помещения, оборудования) и единственным выходом для нее станет прекращение производства.

Рис. 7. Соотношение цены и издержек, когда единственным выходом для фирмы является
прекращение деятельности.
Выводы:
Объем производства фирма будет определять, сравнивая валовой доход и валовые издержки или предельный доход и предельные издержки. В условиях совершенной конкуренции предельный доход равен цене единицы продукции и фирма будет наращивать производство до того момента, когда предельные издержки станут равны предельному доходу (цене).
В краткосрочном периоде фирма продолжит производство даже в том случае, когда она не сможет получать прибыль, при условии, что цена окажется выше минимальных средних переменных издержек. В такой ситуации задачей фирмы станет минимизация убытков, возникших из-за снижения рыночной цены. Если цена упадет ниже минимальных средних переменных издержек, фирма предпочтет остановить производство и закрыться.
Понятие чистой монополии также обычно является абстракцией. Даже полное отсутствие конкурентов внутри страны не исключает их наличие за рубежом. Монополия предполагает, что одна фирма является единственным производителем какой-либо продукции, не имеющей аналогов.
Принятие решения об объеме выпуска основывается на том же принципе, что и в случае конкуренции, - на равенстве предельного дохода и предельных издержек.
Чтобы показать, при какой цене и каком объеме выпуска предельный доход монополиста будет максимально приближен к предельным издержкам и получаемая прибыль окажется наибольшей, рассмотрим пример.
Представим, что некая фирма является единственным производителем данной продукции на рынке, и сведем данные об ее издержках и доходах в таблице.
|
Выпуск продукции, тыс. ед. |
Издержки | Цена, тыс. руб. | Доход | Прибыль, млн. руб. | ||
| валовые, млн. руб. |
предельные, тыс. руб. |
валовой, млн. руб. |
предельный, тыс. руб. |
|||
|
0 1 2 3 4 5 6 7 8 9 10 11 12 13 14 15 16 17 18 19 20 |
1000 1470 1890 2265 2600 2920 3230 3535 3850 4180 4535 4900 5280 5680 6105 6560 7040 7550 8090 8665 9275 |
- 470 420 375 335 320 310 305 315 330 355 365 380 400 425 455 480 510 540 575 610 |
- 500 498 496 494 492 490 488 486 484 482 480 478 476 474 472 470 468 466 464 462 |
- 500 996 1488 1976 2460 2940 3416 3888 4356 4820 5280 5736 6188 6636 7080 7520 7956 8388 8816 9240 |
- 500 496 492 488 484 480 476 472 468 464 460 456 452 448 444 440 436 432 428 424 |
-1000 -970 -894 -777 -624 -460 -290 -119 38 176 285 380 456 508 531 520 480 406 298 151 -35 |
Предположим, что одну единицу своей продукции монополист может продать по цене 500 тыс. руб. В дальнейшем при расширении сбыта на 1 тяс. ед. он вынужден каждый раз снижать ее цену на 2 тыс. руб., поэтому предельный доход сокращается на 4 тыс. руб. при каждом расширении объема продаж. Фирма будет максимизировать прибыль, производя 14 тыс. ед. продукции. Именно при таком объеме выпуска ее предельный доход в наибольшей степени приближен к предельным издержкам. Если она произведет 15 тыс. ед., то эта дополнительная 1 тыс. ед. больше добавит к издержкам, чем к доходу, и тем самым уменьшит прибыль. Не произведенная монополистом 15-я тысяча (а она была бы выпущена в условиях конкуренции) означает потерю для потребителей, так как часть из них отказались от покупки из-за высокой цены, установленной производителем-монополистом.
Процесс выбора фирмой-монополистом цены и объема производства:

Рис. 8. Определение цены и объема производства фирмой-монополистом: D – спрос,
MR – предельный доход, MC – предельные издержки.
Любая фирма, спрос на продукцию которой не является абсолютно эластичным, будет сталкиваться с ситуацией, когда предельный доход меньше цены. Поэтому цена и объем производства, приносящие ей максимальную прибыль, будут соответственно выше и ниже, чем в условиях совершенной конкуренции.
7. Практическая часть.
Условия задания:
Расчетные характеристики функций спроса:
.
Предельные издержки типовой фирмы отрасли по 2 варианту с коэффициентом
.
Коэффициенты издержек расчетной фирмы (в сравнении с типовой фирмой отрасли):
.
Коэффициенты издержек производства монопольной фирмы по отношению к издержкам в условиях свободной конкуренции:
.
7.1. Анализ функции спроса на продукцию отрасли.
![]()

![]()
![]()
Основные характеристики функции спроса на продукцию отрасли.
| № |
Показатели |
Ус. об. |
Ед. измер. |
Значения показателей при различном объеме спроса |
||||||||||||
| 1 |
Объем спроса на продукцию отрасли |
Qс |
млн. у.е. |
0 | 1 | 2 | 3 | 4 | 5 | 6 | 7 | 8 | 9 | 10 | 11 | 12 |
| 2 |
Цена спроса (резервная цена) |
Ц |
у.руб/ у.е. |
7,4 | 6,8 | 6,3 | 5,8 | 5,3 | 4,7 | 4,2 | 3,7 | 3,2 | 2,6 | 2,1 | 1,6 | 1,1 |
| 3 |
Предельный доход |
dm |
у.руб/ у.е. |
- | 6,8 | 5,8 | 4,8 | 3,6 | 2,7 | 1,5 | 0,7 | -0,6 | -1,6 | -2,7 | -3,6 | -4,8 |
| 4 |
Ценовая эластичность спроса |
|
- | - | -25 | -8,7 | -4,8 | -2,9 | -2,1 | -1,5 | -1,2 | -0,8 | -0,7 | -0,5 | -0,4 | -0,2 |
| 5 |
Объем рыночного оборота |
В |
млн.у.руб | 0 | 6,8 | 12,6 | 17,4 | 21 | 23,7 | 25,2 | 25,9 | 25,3 | 23,7 | 21 | 17,4 | 12,6 |
Характеристика функции спроса на продукцию отрасли в режиме рыночного равновесия и в условиях единичной эластичности.
| № | Показатели |
усл. обозн. |
Ед. Измер |
Значения показателей |
| Характеристики функции спроса в режиме рыночного равновесия | ||||
| 1 | Равновесный объем продукта |
Qр |
Млн.у.е. | 11 |
| 2 | Равновесная цена |
Цр |
у.руб./ у.е. |
1,58 |
| 3 | Предельный доход |
dmр |
у.руб./ у.е. |
-3,62 |
| 4 | Ценовая эластичность спроса |
|
- |
-0,4 |
| 5 | Объем рыночного оборота |
Вр |
Млн.у. руб. |
17,38 |
| Характеристика функции спроса в условиях единичной эластичности | ||||
| 6 | Объем спроса на продукцию |
Q(е=1) |
Млн.у.е. | 7 |
| 7 | Цена спроса |
Ц(е=1) |
у.руб./ у.е. |
3,7 |
| 8 | Предельный доход |
dm(е=1) |
у.руб./ у.е. |
0,7 |
| 9 | Объем рыночного оборота |
Вmax |
Млн.у. руб. |
25,9 |
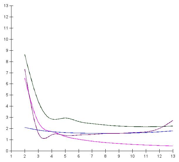
7.2. Определение издержек типовой конкурентной фирмы.
табл.
значение
![]()
.
.
.
По исходным данным и установочным значениям можно составить
таблицу издержек при различных объемах выпуска
| № | Значения предельных издержек фирмы в долях рыночной цены при различном объеме производства | ||||||||||||
| 0-1 | 1-2 | 2-3 | 3-4 | 4-5 | 5-6 | 6-7 | 7-8 | 8-9 | 9-10 | 10-11 | 11-12 | 12-13 | |
| 2 | 1,100 | 0,850 | 0,750 | 0,725 | 0,740 | 0,765 | 0,810 | 0,860 | 0,940 | 1,060 | 1,230 | 1,430 | - |
Издержки типовой конкурентной фирмы при различных объемах выпуска продукции.
| № |
Показатели |
Усл. об. |
Ед. измер. |
Значения показателей |
||||||||||||
| 1 |
Объем спроса на продукцию отрасли |
Qn |
тыс. у.е. |
0 | 1 | 2 | 3 | 4 | 5 | 6 | 7 | 8 | 9 | 10 | 11 | 12 |
|
2 |
Совокупныеиздержки:а) постоянныеб) переменные в) валовые |
И |
у.руб/у.е. | |||||||||||||
|
Ис |
- | 6,512 | 6,512 | 6,512 | 6,512 | 6,512 | 6,512 | 6,512 | 6,512 | 6,512 | 6,512 | 6,512 | 6,512 | |||
|
Иn |
- | 1,912 | 3,389 | 4,693 | 5,953 | 7,239 | 8,569 | 9,977 | 11,396 | 13,030 | 14,872 | 17,01 | 19,495 | |||
|
Ив |
- | 8,424 | 9,901 | 11,205 | 12,465 | 13,751 | 15,081 | 16,489 | 17,908 | 19,542 | 21,384 | 23,522 | 26,007 | |||
|
3 |
Средние издержки: а) постоянные б) переменные в) валовые |
И |
у.руб/у.е. | |||||||||||||
|
Ис |
- | 6,512 | 3,256 | 2,171 | 1,628 | 1,302 | 1,085 | 0,930 | 0,814 | 0,724 | 0,651 | 0,592 | 0,543 | |||
|
Иn |
- | 1,912 | 1,695 | 1,564 | 1,488 |
1,448 |
1,428 | 1,425 | 1,425 | 1,448 | 1,487 | 1,546 | 1,625 | |||
|
Ив |
- | 8,424 | 4,951 | 3,735 | 3,116 | 2,750 | 2,513 | 2,355 | 2,239 | 2,172 | 2,138 | 2,138 | 2,168 | |||
| 4 | Предельные издержки |
Им |
у.руб/у.е. | - | 1,912 | 1,477 | 1,304 | 1,260 | 1,286 | 1,330 | 1,408 | 1,419 | 1,634 | 1,842 | 2,138 | 2,485 |
7.3. Максимизация прибыли (минимизация убытков) одной из фирм отрасли.
Доходы, совокупные издержки и прибыль (убыток) примерной конкурентной фирмы
при различных объемах выпуска продукции.
| № |
Показатели |
Усл. об. |
Ед. измер. |
Значения показателей при различном объеме спроса |
||||||||||||
| 1 |
Объем выпускаемой продукции |
Qn |
тыс. у.е. |
0 | 1 | 2 | 3 | 4 | 5 | 6 | 7 | 8 | 9 | 10 | 11 | 12 |
| 2 |
Цена единицы продукции |
Ц |
у.руб/ у.е. |
7,37 | 6,8 | 6,3 | 5,8 | 5,26 | 4,74 | 4,2 | 3,7 | 3,16 | 2,63 | 2,1 | 1,58 | 1,05 |
| 3 |
Доходы от реализации |
Дв |
тыс.у. руб |
- | 1,58 | 3,16 | 4,74 | 6,32 | 7,9 | 9,48 |
11,06 |
12,64 | 14,22 | 15,8 | 17,38 | 18,96 |
|
4 |
Совокупныеиздержки:а) постоянныеб) переменные в) валовые |
тыс.у. руб |
||||||||||||||
|
Ис |
- | 5,21 | 5,21 | 5,21 | 5,21 | 5,21 | 5,21 | 5,21 | 5,21 | 5,21 | 5,21 | 5,21 | 5,21 | |||
|
Иn |
- | 2,103 | 3,728 | 5,162 | 6,548 | 7,963 | 9,426 | 10,975 | 12,536 |
14,333 |
16,359 | 18,711 | 21,445 | |||
|
Ив |
- | 7,313 | 8,938 | 10,372 | 11,758 | 13,173 | 14,636 | 16,185 | 17,746 | 19,543 | 21,569 | 23,921 | 26,655 | |||
| 5 |
Экономическая прибыль или убыток |
ЭП |
тыс.у. руб |
- | -5,7 | -5,8 | -5,6 | -5,4 | -5,3 | -5,2 | -5,1 | -5,1 | -5,3 | -5,8 | -6,5 | -7,7 |
![]()
![]()
![]()
![]()
![]()
Цена, средние и предельные издержки и удельная (на единицу продукции)
и общая (на объем выпуска) прибыль (убыток) при разных объемах производства
| № |
Показатели |
Усл. об. |
Ед. измер. |
Значения показателей |
||||||||||||
| 1 |
Объем выпускаемой продукции |
Qn |
тыс. у.е. |
0 | 1 | 2 | 3 | 4 | 5 | 6 | 7 | 8 | 9 | 10 | 11 | 12 |
| 2 |
Цена единицыпродукции |
Ц |
у.руб/ у.е. |
7,37 | 6,8 | 6,3 | 5,8 | 5,26 | 4,74 | 4,2 | 3,7 | 3,16 | 2,63 | 2,1 | 1,58 | 1,05 |
|
3 |
Средние издержки: а) постоянные б) переменные в) валовые |
у.руб/ у.е. |
||||||||||||||
|
Ис |
- | 6,512 | 2,605 | 1,737 | 1,302 | 1,042 | 0,868 | 0,744 | 0,651 | 0,579 | 0,521 | 0,474 | 0,434 | |||
|
Иn |
- | 2,103 | 1,865 | 1,720 | 1,637 | 1,593 | 1,571 | 1,568 | 1,568 | 1,593 | 1,636 | 1,701 | 1,788 | |||
|
Ив |
- | 8,615 | 4,47 | 2,857 | 2,939 | 2,635 |
2,439 |
2,312 | 2,219 | 2,172 | 2,157 | 2,175 | 2,222 | |||
| 4 |
Предельные издержки |
Им |
у.руб/ у.е. |
- | 7,313 | 1,625 | 1,434 | 1,386 | 1,415 | 1,463 | 1,549 | 1,561 | 1,797 | 2,026 | 2,352 | 2,734 |
| 5 | Удельная (на ед. продукции) прибыль (+)или убыток (-). |
|
у.руб/ у.е. |
- | -5,7 |
-2,9 |
-1,87 | -1,35 | -1,06 | -0,87 | -0,73 | -0,64 | -0,59 | -0,58 | -0,59 | -0,64 |
| 6 |
Общая (на выпуск продукции) экономическая прибыль или убыток |
|
тыс. у.е. |
- | -5,7 | -5,8 | -5,61 | -5,4 | -5,3 | -5,22 | -5,11 | -5,12 | -5,31 | -5,8 | -6,49 | -7,68 |
![]()
![]()
![]()
7.4. Последствия гипотетической монополизации отраслевого производства.
Доходы, совокупные издержки и прибыль (убыток) монопольной фирмы
при различных объемах выпускаемой продукции.
| № |
Показатели |
Усл. об. |
Ед. измер. |
Значения показателей |
||||||||||||
| 1 |
Объем выпускаемой продукции |
Qn |
млн. у.е. |
0 | 1 | 2 | 3 | 4 | 5 | 6 | 7 | 8 | 9 | 10 | 11 | 12 |
| 2 |
Цена единицы продукции (монопольная цена) |
Цм |
у.руб/ у.е. |
7,37 | 6,8 | 6,3 | 5,8 | 5,26 | 4,74 | 4,2 | 3,7 | 3,16 | 2,63 | 2,1 | 1,58 | 1,05 |
| 3 |
Доходы отреализации |
Дв |
млн.у. руб. |
- | 1,58 | 3,16 | 4,74 | 6,32 | 7,9 | 9,48 | 11,06 | 12,64 | 14,22 | 15,8 | 17,38 | 18,96 |
| 4 |
Совокупные издержки |
Ив |
млн.у. руб. |
- | 9,535 | 10,866 | 12,039 | 13,172 | 14,325 | 15,522 | 16,793 | 18,08 | 19,548 | 21,19 | 23,111 | 25,38 |
| 5 | Экономическая прибыль (+) или убыток (-) |
МЭП |
млн.у. руб. |
- | -7,955 | -7,706 | -7,299 | -6,852 | -6,425 | -6,042 | -5,733 | -5,44 | -5,328 | -5,39 | -5,731 | -6,42 |
![]()
![]()
![]()
Цена, средние издержки, удельная (на единицу продукции) и общая (на объем выпуска)
прибыль (убыток) монопольной фирмы при разных объемах выпуска продукции.
| № |
Показатели |
Усл. об. |
Ед. измер. |
Значения показателей |
||||||||||||
| 1 | Объем спроса на продукцию отрасли |
Qn |
млн. у.е. |
0 | 1 | 2 | 3 | 4 | 5 | 6 | 7 | 8 | 9 | 10 | 11 | 12 |
| 2 |
Цена единицыпродукции |
Цм |
у.руб/ у.е. |
7,37 | 6,8 | 6,3 | 5,8 | 5,26 | 4,74 | 4,2 | 3,7 | 3,16 | 2,63 | 2,1 | 1,58 | 1,05 |
|
3 |
Средние издержки: а) постоянные б) переменные в) валовые |
у.руб/ у.е. |
||||||||||||||
|
Ис |
- | 7,814 |
3,907 |
2,605 | 1,954 | 1,562 | 1,302 | 1,116 | 0,977 | 0,869 | 0,781 | 0,710 | 0,652 | |||
|
Иn |
- | 1,721 | 1,526 | 1,408 | 1,339 | 1,303 | 1,285 | 1,283 | 1,283 | 1,303 | 1,338 | 1,391 | 1,463 | |||
|
Ив |
- | 9,535 | 5,433 | 4,013 | 3,293 | 2,865 | 2,587 | 2,399 | 2,26 | 2,172 | 2,119 | 2,101 | 2,115 | |||
| 4 |
Предельные издержки |
Им |
у.руб/ у.е. | - | 9,535 | 1,331 | 1,173 | 1,133 | 1,153 | 1,197 | 1,271 | 1,287 | 1,468 | 1,642 | 1,921 | 2,269 |
| 5 |
Общая прибыль или убыток |
МЭП |
млн.у. руб | - | -2,735 | 1,734 | 5,361 | 7,868 | 9,375 | 9,678 | 9,107 | 7,2 | 4,122 | -0,19 | -5,731 | -12,78 |
| 6 |
Предельный доход |
dm |
у.руб/ у.е. |
- | 6,8 | 5,8 | 4,8 | 3,64 | 2,66 | 1,5 | 0,7 | -0,62 | -1,61 | -2,67 | -3,62 | -4,78 |
![]()
![]()
![]()
![]()
![]()
Сравнительные характеристики отраслевых конкурентных и монопольных рынков.
| № | Показатели |
усл. об. |
Ед. измер. |
Значения показателей | |
| При конкурентном рынке | При монопольном рынке | ||||
| 1 | Объем выпускаемой продукции |
Qn; Qм |
млн. у.е. | 11 | 6,3 |
| 2 | Цена единицы продукции |
Цр; Цм |
у.руб/у.е | 1,58 | 4,1 |
|
3 |
Средние издержки: а) постоянные б) переменные в) валовые |
И |
у.руб/у.е | ||
|
Ис |
0,474 | 0,710 | |||
|
Иn |
1,701 | 1,391 | |||
|
Ив |
2,175 | 2,101 | |||
| 4 | Предельные издержки |
Им |
у.руб/у.е | 2,352 | 2,269 |
| 5 | Предельный доход |
dm |
у.руб/у.е | -3,62 | 1,3 |
|
6 |
Доход производителя (рыночный оборот) а) Выигрыш (излишек) производителя б) Монопольная экономическая прибыль |
В |
млн.у.руб. | 17,38 | 25,83 |
|
Впр |
0,772 | 1,831 | |||
|
МЭП |
- | 12,59 | |||
| 7 | Выигрыш (излишек) потребителя |
Впотр |
млн.у.руб. | ||
| 8 | Невосполнимые потери общества |
НОП |
млн.у.руб. | - | |
;
;
![]()
![]()
![]()
а) доходы:
производителя – 10,8 млн.у.руб.
потребителя - 1,8 млн.у.руб
Итого: 12,6 млн.у.руб
б) доходы:
производителя - 9 млн.у.руб
потребителя - 1,4 млн.у.руб
некомпенсированный доход – 1,5 млн.у.руб
безвозвратные потери – 0,7 млн.у.руб
Итого: 12,6 млн.у.руб
Заключение.
Расчетно-аналитическая часть содержит иллюстрацию микроэкономической теории на условном примере с определением условий равновесия конкурентной отрасли и оптимизации объемов производства отдельно взятой фирмы на краткосрочном временном интервале, а также с анализом последствий монополизации производства в рассматриваемой отрасли.
В результате расчетов были определены показатели ценовой эластичности спроса для различных точек функции спроса, величины рыночного оборота, предельный доход. Также определена точка рыночного равновесия, по которой установлена равновесная рыночная цена – 1,58 у.руб./у.е.
Типовой фирмой отрасли считают такую фирму, которая, реализуя соответствующую долю продукта отрасли по рыночной цене, функционирует в равновесном режиме (т.е. доходами покрывает издержки, не имея прибыли). Исходя из этого, были рассчитаны все виды издержек, значения которых представлены в таблице.
Определены условия оптимизации объема выпуска продукции для одной из фирм отрасли, имеющей отличные от типовой фирмы значения постоянных и переменных издержек производства. Минимизация убытков происходит при объеме производства 11 тыс.у.е. (убыток – 6,5 тыс.у.руб.).
При анализе последствий монополизации производства в рамках отрасли были рассчитаны все издержки и прибыль при различных объемах производства монополизированной фирмы. Монопольная цена 4,1у.руб./у.е. устанавливается при объеме продукции 6,3 млн.у.е.
Монополизация производства оказалась бы более выгодной, чем переход к совершенной конкуренции.