| Скачать .docx |
Курсовая работа: Кейнсианская революция в экономической науке
Белорусский государственный университет
Факультет международных отношений
Кафедра международных экономических отношений
Курсовая работа
по «Экономической теории»
на тему: «Кейнсианская революция» в экономической науке.
Выполнила
студентка 1 курса 9 гр Худова М.А.
Руководитель,
ст. преподаватель Хмурович Л.В.
Минск 2009
Оглавление
Введение.........................................................................................................................................3
I. Возникновение кейнсианской теории......................................................................................6
1.1. Исторические предпосылки возникновения кейнсианства..........................................6
1.2. Кейнс и классики..............................................................................................................8
II. Экономическая теория Дж. М.Кейнса..................................................................................10
2.1.Основные положения теории и новое в методологии экономического анализа....................................................................................................................................10
2.2.Теория процента и денег.................................................................................................14
2.3.Теория занятости..............................................................................................................15
2.4.Теория мультипликатора инвестиций............................................................................16
2.5.Вклад Дж.М.Кейнса в экономическую теорию............................................................18
III. Практическая реализация теории.........................................................................................20
Заключение...................................................................................................................................24
Список использованных источников.........................................................................................25
Введение
В наше время цикличность экономики никого не удивляет: периоды подъема сменяются каждый раз спадом и обострением всех социальных и экономических проблем. Но мировой экономический кризис 1929-1933 гг., обрушившийся с колоссальной силой на развитые и неразвитые в промышленном отношении страны, и обнаружил неспособность главенствующей в то время неоклассической теории предложить способы вывода экономики из этого глубокого кризиса.
И поскольку "сила" неоклассической теории конца ХIХ - начала ХХ в. распространялась главным образом на микроэкономический анализ в условиях нетипичного кризиса стал необходим еще и иной - макроэкономический анализ, к которому обратился один из величайших экономистов ХХ столетия английский ученый Дж. М. Кейнс.
В 1936 году была опубликована книга Джона Мейнарда Кейнса (1883-1846) «Общая теория занятости, процента и денег». Книга появилась как следствие обобщения имевшегося опыта и научных исследований, направленных на борьбу с экономическим кризисом конца 20-х – начала 30-х гг. и его последствиями. В качестве борьбы с такими негативными последствиями экономического кризиса, как безработица, обосновывалась необходимость усиления государственного регулирования рыночной экономики, широкого использования общественных работ, стимулированию спроса. Принято считать, что именно эта книга знаменовала собой начало так называемой «Кейнсианской революции», которая является одним из наиболее значимых событий в истории экономического анализа за последние два века. В этом труде Кейнс впервые предложил теоретическое обоснование экономической политики, практическое осуществление которой привело к формированию смешанной экономической системы, сочетающей рыночное и государственное регулирование экономики. В «Общей теории » дана глубокая интерпретация рыночной системы, существенно обновлен методологический арсенал экономической науки, разработаны принципы антикризисной политики государства.
Кейнсианскую революцию можно трактовать различным образом. С одной стороны, эта революция состояла в обеспечении обособления в самостоятельную дисциплину целой ветви экономической науки - макроэкономики. Конечно, и классики, и неоклассики имели свои представления о макрофункционировании рыночного хозяйства. При этом изучение макроэкономических вопросов осуществлялось как бы «между прочим», без выделения этих вопросов в качестве самостоятельного объекта рассмотрения. Благодаря Кейнсианской революции анализ макроэкономических проблем стал осуществляться независимо от исследований аспектов ценности, конкуренции, поведения потребителя и т.д.
С другой стороны, Кейнсианская революция была реакцией на недостатки неоклассического подхода к анализу экономической жизни. То, что зарождалось в ходе Кейнсианской революции, должно было стать как методологической, так и теоретической альтернативой неоклассической школе. Во-первых, макроэкономические функции, выведенные Дж. М. Кейнсом как правило, базировались на привычках, эмоциях, закономерностях группового поведения. Во-вторых, творцы Кейнсианской революции внесли фундаментальные изменения в собственно экономическую теорию, сделав принципиально новый анализ макроэкономических взаимосвязей. Этот новый анализ оказался возможным благодаря отказу от закона Сэя, в соответствии с которым нормальным состоянием рыночной экономики является полная занятость. Мировой экономический кризис конца 1920 - 1930-х годов и особенно Великая депрессия 1929 - 1933 годов доказали несостоятельность данного подхода и, вероятно, оказались главной исторической причиной возникновения кейнсианской теории.
Вследствие Кейнсианской революции в экономической теории образовался гигантский разрыв между неоклассической микроэкономикой и кейнсианской макроэкономикой, построенных на различных методологических предпосылках, содержавших разные и несопоставимые объекты исследования и теории, дававшие почти противоположные оценки характеру функционирования рыночной экономики и приводившие к разным выводам относительно желательности вмешательства государства в экономику. В результате дальнейшее развитие макроэкономики после Дж. М. Кейнса пошло двумя путями.
С одной стороны, большинство макроэкономистов стали пытаться вписать кейнисанскую макроэкономику в неоклассические стандарты современной экономической науки. Так, эволюция традиционного кейнсианства трансформировалась в кейнсианско-неоклассический синтез, где теория Дж. М. Кейнса была проинтерпретирована как особый, частный случай неоклассической теории. Позднее сами представители неоклассической традиции отвергли кейнсианский подход неоклассического синтеза и выработали собственную макроэкономику. В результате появились такие школы, как монетаризм и новая классическая. В ответ на это некоторые кейнсианцы создали новую интерпретацию учения Дж. М. Кейнса, впрочем, весьма далекую от того, что он сам имел в виду; так возникло неокейнсианство.
С другой стороны, некоторые экономисты попытались развить оригинальное учение Дж. М. Кейнса и более резко противопоставить свой подход неоклассической теории, а заодно и кейнсианской теории в виде кейнсианско - неоклассического синтеза. Созданная этими экономистами школа получила название «посткейнсианство». Посткейнсианство на сегодня представляет собой единственную значимую теоретическую альтернативу в макроэкономическом анализе как неокейнсианству, так и школам представителей неоклассической традиции - монетаризму и новой классике.
Целью данной работы является изучение и анализ кейнсианской концепции экономического развития, поэтому обратимся к теории того, кто непосредственно считается основателем макроэкономики как самостоятельной научной дисциплины.
Данная курсовая работа имеет традиционную структуру и включает в себя введение, основную часть, состоящую из 3 глав, заключение и библиографический список.
Во введении обоснована актуальность выбора темы и поставлена цель работы.
Глава первая раскрывает общие вопросы, исторические аспекты проблемы. Определяются основные понятия.
Во второй главе более подробно рассмотрены содержание кейнсианской теории.
Глава третья имеет практический характер.
I. Возникновение теории
1.1. Исторические предпосылки возникновения
Кейнсианство — макроэкономическое течение, сложившееся как реакция экономической теории на Великую депрессию в США. Основополагающей работой была «Общая теория занятости, процента и денег» Джона Мейнарда Кейнса, опубликованная в 1936 году.
Кейнс предлагал следующий выход из сложившейся кризисной экономической ситуации: если массовый потребитель не способен оживить совокупный спрос в масштабах национальной экономики, это должно сделать государство. Если государство предъявит (и оплатит) предприятиям некий крупный заказ, это приведет к дополнительному найму рабочей силы со стороны этих фирм. Получая заработную плату, бывшие безработные увеличат свои расходы на потребительские товары, и, соответственно, повысят совокупный экономический спрос. Это, в свою очередь, повлечет рост совокупного предложения товаров и услуг, и общее оздоровление экономики. При этом начальный государственный заказ, предъявленный предприятиям, может быть грандиозным и в той или иной степени даже малополезным.[1]
В 20 ст. западная экономическая теория рыночного развития выступала с неоклассическим направлением, которое продолжало определять специфику второго классического положения. Но со временем ситуация кардинально изменилась под влиянием двух определяющих тенденций развития.
Во-первых, в связи с победой Октябрьской революции 1917 г. в России, а после второй мировой войны подобных революций в ряде стран Восточной Европы, в Китае и других странах Азии и на Кубе марксизм тоталитарного направления стал единым безальтернативным течением в странах командно- административной системы, оставаясь одним из течений в других странах мира.
Вместе с тем в рыночных странах приобрёл дальнейшее развитие марксизм социал-демократического направления. В странах командно-административной системы условия препятствовали развитию творческого марксизма. Однако практика первого периода существования командно-административной системы показала эффективность активного вмешательства государства в экономические процессы. Лишь со временем роль государства в экономической жизни была сведена к абсурду.
Во-вторых, уже в 30-е годы небывалую ранее остроту приобрели кризисные процессы в экономике и экономической рыночной теории Запада. Мировой экономический кризис 1929-1933 гг. обрушился с колоссальной силой как на развитые, так и неразвитые в промышленном отношении страны. Поэтому именно в 1929-1933 гг. закончился период «скрытого» развития экономики, то было время конца целого ряда старых и открытия новых технологических горизонтов, проблеска новой цивилизованной системы. Иными словами, 1930 г. положил предел тому типу роста который был характерен для 19 в. и тщетно пытался сочетать старые, традиционные приемы использования пространства и материи с инновационными механизмами. Существовала потребность в новой рыночной теории, которая бы убедительно объяснила существование таких явлений, как массовая безработица, длительный спад производства, существование неиспользованных производственных мощностей и т.д., и указала возможные пути выхода из кризисного состояния без уничтожения рыночных основ хозяйствования.
В-третьих, определенные новые теоретико-методологические подходы к анализу рыночного хозяйства заложил – институционализм. Эти подходы заключались в рассмотрении влияния «институций», под которой понимается какое-либо стойкое объединение людей для достижения определённых целей (семья, партия, государство и т.д.), на общество, в том числе и на экономику. При этом государственная власть рассматривалась как проявление скоординированной деятельности различных прослоек и групп общества. Взгляды институционалистов послужили критическому расшатыванию ортодоксии второй классической ситуации и заложили определённые возможности нового подхода к анализу рыночной экономики на новом этапе её развития. Указанные взгляды институционалистов были генетически и логически связаны с теорией бюрократии, авторитета и власти, разработанной выдающимся немецким ученым М. Вебером (1864-1920).
Итак, мировой экономический кризис 1929–1933 гг. предопределил возникновение новых проблем научных исследователей, которые не утрачивают своей актуальности и в наши дни, ибо основное их содержание – это государственное регулирование экономики в рыночном хозяйстве. С тех пор берет свое начало нацеленное на решение этих проблем это теоретическое направление. Оно опирается на учение Дж. М. Кейнса, и его последователей и называется кейнсианским (кейнсианство).
1.2. Кейнс и классики
Классическое направление зародилось в XVII веке и своего расцвета достигло в XVIII и в начале XIX века. Величайшая заслуга классиков состоит в том, что они поставили в центр экономики и экономических исследований труд как созидательную силу и стоимость как воплощение ценности, положив тем самым начало трудовой теории стоимости. Классическая школа стала провозвестницей идей экономической свободы, либерального направления в экономике. Её представители выработали научное представление о прибавочной стоимости, прибыли, налогах, земельной ренте. В недрах классической школы, по сути, зародилась экономическая наука.
Своего высшего развития классическая политическая экономия достигла в трудах британских ученых А. Смита и Д. Рикардо, когда Великобритания была самой передовой в экономическом отношении страной. Британия обладала относительно высокоразвитым сельским хозяйством, быстро растущей промышленностью, вела активную внешнюю торговлю. Капиталистические отношения получили в ней большое развитие. Здесь выделились основные классы буржуазного общества: буржуазия, рабочие, землевладельцы.
Однако расширение капиталистических отношений сковывалось феодальными порядками. Буржуазия видела главного врага во дворянстве и была заинтересована в научном анализе капиталистического способа производства, чтобы выявить перспективы общественного развития.
Таким образом, в Великобритании во второй половине ХVIII века сложились благоприятные условия для взлета экономической мысли.
Классическая экономическая школа может быть представлена, по крайней мере, тремя именами: Адама Смита (1723-1790), Давида Рикардо (1772-1823), Джона Стюарта Милля (1806-1873).
МЕТОДОЛОГИЧЕСКИЕ РАСХОЖДЕНИЯ С КЛАССИКАМИ:
1) В кейнсианской теории представления о денежном рынке более сложные, чем в классической теории. Так, источником инвестиций наряду с текущими сбережениями называются наличные сбережения населения (домохозяев) и кредитные учреждения, увеличивающие предложение денег. Специально оговаривается также, что население хранит деньги на руках не только с целью осуществления повседневных покупок, но и для накопления богатств в наличной форме, а не в кредитных учреждениях. Взаимодействие всех этих факторов на денежном рынке приводит в определенные промежутки времени к ситуации, когда величина инвестиций превышает объем текущих сбережений. Таким образом, и с этих позиций отвергается закон Сэя. В этом случае, если экономика изначально находилась в точке спада, происходит увеличение объемов производства и размера занятости, когда же полная занятость уже достигнута, то происходит увеличение инфляции спроса. В ситуации, когда сбережения превышают инвестиции, будет происходить сокращение совокупного спроса, а следовательно, объем производства и занятость сократятся.
2) Критическому анализу также подвергается положение классиков об автоматическом устранении безработицы путем понижения цен и заработной платы. В принципе, капиталистическая система никогда не была и не будет совершенно конкурентной, поэтому существуют трудности как экономического, так и политического характера, препятствующие эластичности цен и заработной платы. На рынках товаров и услуг у многих производителей есть возможности предотвратить падение цен в условиях сокращающегося спроса. На рынке труда система коллективных договоров, контрактов и наличие профсоюзного движения также препятствуют падению заработной платы. Кроме того, предприниматели в настоящее время осторожно относятся к понижению зарплаты, так как это способствует ухудшению отношений внутри трудового коллектива и падению производительности труда. Снижение цен и заработной платы, кроме того, отрицательно влияет на уровень производства и занятости. Дело в том, что более низкие цены и заработная плата ведут к падению доходов, что, в свою очередь, вызывает дальнейшее сокращение общих расходов.
3) Большинство экономистов до Кейнса исходили из того, что на рынке труда существует автоматическое равновесие. Быстрый рост производства, за которым не поспевает предложение труда, приводит к росту заработной платы, что, в свою очередь, способствует замедлению темпов роста производства и стимулирует предложение труда. В условиях сокращения производства, происходит ряд последовательных и взаимообусловленных процессов, а именно: возникает и растет безработица; падает реальная зарплата; уменьшается предложение труда; увеличивается спрос на него, и в результате автоматически достигается полная занятость.
II. Экономическая теория Дж.М.Кейнса
2.1. Основные положения теории и новое в методологии экономического анализа
Теорию Кейнса можно назвать "кризисной" так как он рассматривает экономику в состоянии депрессии. Многие положения этой теории являются результатом анализа причин «великой депрессии» и непосредственных её проявлений. Главным выводом становится то, что государство должно активно вмешиваться в экономику по причине отсутствия у свободного рынка механизмов, которые по-настоящему обеспечивали бы выход экономики из кризиса.
Главными чертами кейнсианской модели государственного регулирования являются:
· высокая доля национального дохода, перераспределяемая через госбюджет;
· создание обширной зоны государственного предпринимательства на основе образования государственных и смешанных предприятий;
· широкое использование бюджетно-финансовых и кредитно-финансовых регуляторов для стабилизации экономической конъюнктуры, сглаживания циклических колебаний, поддержания высоких темпов роста и высокого уровня занятости[2] .
Кейнсом были также введены новые экономические величины, такие как национальный доход, совокупное предложение, совокупный спрос, занятость, сбережения, инвестиции. Именно их анализ на уровне государства обеспечивает его экономическую стабильность. Главным же показателем стабильности является национальный доход, уровень которого зависит от соответствия эффективного спроса эффективному предложению.
НОВОЕ В МЕТОДОЛОГИИ ЭКОНОМИЧЕСКОГО АНАЛИЗА.
Дж.Кейнс взял на себя смелость выдвинуть «общую экономическую теорию», стремясь дать картину экономической жизни более полную, чем та, которую рисовали его предшественники.
Особой его заслугой было введение в экономический анализ «совокупных народнохозяйственных величин», что получило название макроэкономического подхода. В своем исследовании он опирался на такие категории, как национальный доход, совокупный общественный продукт, занятость, совокупный спроси предложение, совокупные сбережения и инвестиции. Цель его поисков заключалась не в том, чтобы выявить особенности поведения той или другой фирмы, того или другого владельца денежных средств, а в том, чтобы установить, как определяются различные переменные величины, влияющие на экономическое развитие. Это и есть макроэкономической подход в отличие от микроэкономического, которого всегда придерживались неоклассики (микроэкономический подход используется для изучения отдельных частей экономики, особенное внимание уделяется поведению и выбору экономических единиц – фирмы, хозяйства, а также анализу рыночных процессов).
Новый, предложенный Кейнсом, подход предполагал, что условия процветания отдельной фирмы отнюдь не идентичны условиям процветания экономики в целом (как утверждают микроэкономисты). Напротив, между ними могут возникать противоречия, решение которых следует искать не в максимизации прибыли отдельных фирм, а в восстановлении общенациональных экономических пропорций и совершенствовании общих условий воспроизводства. Божественное правление миром, по словам Кейнса, вовсе не приводит к совпадению частных и общественных интересов (как считал А.Смит, выдвигая принцип «невидимой руки»).
Макроэкономический анализ – трудами последователей Кейнса, а также экономистов других направлений – привел к формированию нового обширного раздела экономической науки – макроэкономики.
Еще одно новшество Кейнса, также закрепившееся в направлении его имени и служащее одной из его характерных черт: в отличие от неоклассиков он пришел к выводу, что решение всех жизненно важных экономических проблем высокоразвитой экономики следует искать не на стороне предложения ресурсов (их редкости, ценности, вознаграждения факторов производства и т.п.), а на стороне спроса, обеспечивающего реализацию этих ресурсов. Выступив с критикой закона Ж.-Б.Сэя, согласно которому предложение автоматически порождает спрос, он выдвинул проблему «эффективного спроса» и его компонентов – потребления и накопления, а также факторов, определяющих движение этих компонентов – как центральную проблему рыночной системы. Последняя, в целом верная принципу свободного предпринимательства, характеризуется недостаточностью эффективного спроса. В этом кроется корень всех зол.
Причины недостаточности эффективного спроса многочисленны. Но три из них, по мнению Кейнса, играют особо важную роль. Это:
1. Прогрессивное сокращение предельной склонности к потреблению;
2. Понижение предельной эффективности капитала;
3. Чрезмерное предпочтение ликвидности.
Главной причиной является первая из перечисленных. В нашей экономике, рассуждал Кейнс, распределяемый доход имеет тенденцию к росту, поэтому та его часть, которая идет на потребление, конечно, также возрастает, но в меньшей пропорции. Сбережения становятся все более и более доступными. В капиталистическом обществе это усиливается характером поведения различных социальных групп. Доходы имеют тенденцию к все более неравномерному распределению между членами общества. В этих условиях потребление необеспеченных классов имеет меньшую тенденцию к возрастанию, потому что их доход увеличивается медленно. В то же время и привилегированные классы, чей доход увеличивается быстрее, находят все меньше и меньше интереса в удовлетворении потребностей, ибо по мере увеличения расходов на потребление они все более оказываются удовлетворенными. В связи с этим та часть дохода, которую наиболее богатая часть населения сознательно отказывается тратить на личные нужды, быстро увеличивается.
Закону убывания склонности к потреблению Кейнс придавал первостепенное значение и именно с ним связывал характерную для экономики застойный, кризисных лет недостаточность капиталовложений. В периоды, когда замедляются темпы возрастания расходов на потребление и резко сокращается прибыль (т.е. эффективность капиталовложений), предприниматель начинает сомневаться в том, что ему удается легко сбыть свою продукцию по достаточно высоким ценам. Вследствие этого стремление к капиталовложениям уменьшается.
Предельную эффективность капитала Кейнс не считал единственным фактором, определяющим масштабы инвестирования. Последние зависят также и от расхождения между степенью предельной эффективность капитала и уровнем процентной ставки. Ученый полагал, что этот разрыв постоянно увеличивается не только по причине прогрессивного падения предельной эффективности капитала, но и потому, что процентная ставка имеет тенденцию сохраняться на слишком высоком уровне.
Дж.М.Кейнс в отличие от своих предшественников и наперекор господствовавшим экономическим воззрениям утверждал о необходимости недопущения с помощью государства урезания заработной платы как основного условия ликвидации безработицы, а также о том, что потребление ввиду психологически обусловленной склонности человека к сбережению, растет гораздо медленнее доходов. По Кейнсу, психологическая склонность человека сберегать определенную часть дохода сдерживает увеличение дохода из-за сокращения объема капиталовложений, от которых зависит перманентное получение доходов. Что касается предельной склонности человека к потреблению, то она, по мнению автора «Общей теории», якобы постоянна и может поэтому обуславливать устойчивое соотношение между увеличением инвестиций и уровнем дохода.
Дж.М.Кейнс вывел «Основной психологический закон».
Его суть такова: «Психология общества такова, что с ростом совокупного реального дохода увеличивается и совокупное потребление, однако не в такой же мере, в какой растет доход»[3] . В этом определении его недвусмысленная теоретико-методологическая позиция, в соответствие с которой для выявления причин неполной занятости и неполной реализации, неравновесной экономики, а также для обоснования методов её внешнего (государственного) регулирования «психология общества» имеет не меньшее значение, чем «законы экономики».
В частности, поэтому Дж.М.Кейнс утверждает, что «воспитание... государственных деятелей на принципах классической политической экономии» не позволит им «выбрать какой-либо лучший путь», стимулирующий увеличение богатства, кроме как надежда на «сооружение пирамид, землетрясения, даже войны». Отсюда, по его мнению, «если психологические склонности участников экономического процесса действительно оказываются примерно такими, какими мы их здесь предполагали, то можно считать, что существует закон, согласно которому расширение занятости, непосредственно связанное с инвестициями, неизбежно должно оказывать стимулирующие влияние на те отрасли, которые производят потребительские блага, и, таким образом, повести к увеличению совокупной занятости, причем такое увеличение превосходит прирост первичной занятости, непосредственно связанной с дополнительными инвестициями оказываются примерно такими, рно такими, .номического ческой экономиииция, в соответствие с е потребление, однако не в такой ».[4]
Таким образом, перспективы капитализма отнюдь не приводили экономиста в восторг. Кейнс, однако, ни в коей мере не считал, что эта система придет к катастрофе, краху. Способ разрешения проблем он видел в активной государственной экономической политике. Принципы такой экономической политики были также разработаны им в рассматриваемой книге.
2.2. Теория процента и денег.
В “Общей теории…” Кейнс отбросил классическую теорию спроса на деньги, отдав преимущество собственным теоретическим построениям, в которых главную роль играет понятие нормы процента. Он рассматривал деньги как один из типов богатства и утверждал, что та часть портфелей активов, которую экономические агенты желают сохранять в виде денег, зависит от того, насколько высоко они оценивают свойство ликвидности. Поэтому и кейнсианскую теорию спроса на деньги называют теорией “преимущества ликвидности”. Ликвидность у Кейнса – это возможность продать за единицу времени по максимальной цене любое имущество[5] .
Люди, в силу ряда причин, вынуждены сохранять хотя бы часть своего богатства, в виде ликвидных денежных активов, таких как наличные, а не в виде активов менее ликвидных, но таких, что дают доход (например, облигации). И именно этот спекулятивный мотив формирует обратную связь между величиной спроса на деньги и нормой ссудного процента: спрос на деньги постепенно увеличивается с падением нормы ссудного процента на рынке ценных бумаг[6] .
Таким образом, Дж. Кейнс рассматривает спрос на деньги как функцию двух переменных величин. В других одинаковых условиях увеличение номинального дохода порождает увеличение спроса на деньги, что обусловлено существованием транзакционного мотива осторожности. Снижение нормы ссудного процента также увеличивает спрос на деньги через спекулятивные мотивы.
Дж. М. Кейнс был сторонником присутствия большого количества денег в обращении, что, по его мнению, мало влияло на снижение процентной ставки. Это, в свою очередь, стимулировало бы уменьшение “осторожности ликвидности” и увеличение инвестиций. По мнению Кейнса, высокий процент является препятствием для преобразования денежных ресурсов в инвестиции, т.е. он защищал необходимость максимального снижения уровня процента как способа поощрения использования накоплений на производственные цели.
Именно от Кейнса в большей мере берет начало концепция дефицитного финансирования, или искусственного накачивания денег в экономику, создание “новых денег”, которое являются дополнением к общему потоку затрат и, тем самым, компенсирует недостаточный спрос, занятость и ускоряет увеличение национального дохода. Дефицитное финансирование на практике означает отказ от политики сбалансированного бюджета и систематическое увеличение государственного долга, что в свою очередь, предусматривает использование инфляционных тенденций как способа поддержки деловой активности на высоком уровне[7] .
Основным стратегическим направлением экономической политики государства, согласно Кейнсу, должна стать поддержка инвестиционной деятельности, содействие максимальному преобразованию сбережений в капиталовложения. Именно уменьшение уровня инвестиционной деятельности Дж. М. Кейнс и его последователи считали основной причиной “Великой депрессии” 30-х гг. Чтобы преодолеть основную слабость капиталистической экономики – недостаточную склонность к инвестированию – государство обязано не только создать наиболее благоприятные условия для инвестиционной деятельности предпринимателей (снижение нормы процента, дефицитное финансирования инфляционного роста цен и др.), но и взять на себя функции непосредственного инвестора.
Важнейшими мероприятиями, способными компенсировать отставание спроса, активизировать “склонность к потреблению”, Кейнс называет также фискальную политику, которая регулирует размеры чистых налогов и государственных закупок.
Дж. Кейнс рассматривал также проблемы цикличности экономики, предлагая антицикличные меры, способные смягчить их негативные последствия. По его мнению, в случае угрозы экономического спада правительство может увеличить налоги, уменьшить трансфертные платежи, отложить запланированные государственные закупки.
2.3.Теория занятости
Одним из проявлений экономического кризиса являлся высокий процент безработицы, для преодоления которой государство зачастую прибегало к изменению заработной платы. Кейнс же считал ошибочным использование заработной платы как способа лечения безработицы:
· во-первых, спрос на труд и уровень занятости определяется реальной, а не номинальной заработной платой, как учили экономисты-классики;
· во-вторых, снижение номинальной заработной платы всегда сопровождается эквивалентным снижением реальной, поскольку цены в условиях конкуренции определяются прямыми граничными затратами, которые в краткосрочном периоде состоят исключительно из трудовых затрат;
· в-третьих, хотя трудовые затраты и цены снизились, следующее снижение ставки процента будет неспособным стимулировать инвестиции[8] .
Поэтому снижение заработной платы приведет только к снижению совокупного спроса, а безработица или увеличится, или, в лучшем случае, останется на том же самом уровне. “Самая разумная политика, – пишет Кейнс, – заключается в поддержании стойкого общего уровня денежной заработной платы[9] ”.
Согласно его теории, при капитализме не существует ни одного механизма, который бы гарантировал полную занятость. Кейнс утверждает, что экономика может быть сбалансированной, т.е. может достичь равновесия совокупного объема производства при высоком уровне безработицы и инфляции. Также он признает, что безработица – органически свойственно капитализму явление, которое “неизбежно сопровождает современный капиталистический индивидуализм” и обусловливается органическими недостатками системы свободной конкуренции[10] .
Полная занятость (скорее, случайная, чем закономерная) не обеспечивается автоматически. “Эффективный спрос, сочетающийся с полной занятостью, — это специальный случай, реализующийся только при условии, если склонность к потреблению и стремление инвестировать находятся в определенном соотношении... Но оно может существовать лишь тогда, когда текущие инвестиции (случайно или преднамеренно) обусловливают спрос, как раз равный излишку совокупной цены предложения продукции по сравнению с затратами общества на потребление в условиях полной занятости”[11] .
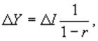
2.4. Теория мультипликатора инвестиций
В кейнсианской модели макроэкономического анализа существует так называемая теория мультипликатора. Подход Кейнса заключается в том, что национальный доход состоит из индивидуальных доходов, следовательно, необходимо выяснить, как инвестиции влияют на величину этих индивидуальных доходов.
В конце концов, каждая инвестиция превращается в сумму доходов индивидов и когда бы эти доходы ни тратились, прирост национального дохода за определенный промежуток времени равнялся бы, приросту инвестиций. Но на практике полученный доход тратится и превращается в новые доходы, которые, в свою очередь, опять тратятся и т.д. В конечном счете, прирост национального дохода через определенное время будет значительно большим, чем прирост начальных инвестиций, т.е. он становиться умноженной величиной начальных капиталовложений. Сам же умножитель, или мультипликатор, зависит от того, какую часть своих доходов общество тратит на потребление: чем выше склонность к потреблению, тем больший мультипликатор, и наоборот.
Мультипликатор затрат определяется как соотношение отклонений от равновесного дохода до начального изменения в затратах, которые обусловили это изменение: 
ΔY – прирост дохода;
ΔI – прирост инвестиций, который обусловил прирост дохода;
r – “граничная склонность к потреблению” ;
– это и есть величина мультипликатора, которая выражена через “граничная склонность к потреблению”[12]
.
“В данных обстоятельствах, – утверждает Кейнс, – может быть установлено определенное соотношение между доходом и инвестициями, которое следует называть мультипликатором”[13] . Исходя из этой формальной алгебраической зависимости, Кейнс утверждает, что рост инвестиций автоматически ведет к росту занятости и к пропорциональному росту национального дохода, а коэффициентом пропорциональности является величина мультипликатора.
Аналогично проявляется мультипликационный эффект относительно других видов затрат, в частности государственных затрат. При недостаточном спросе повышение государственных затрат приводит к усилению экономической деятельности. При этом покрытие разницы между предложением и спросом не требует полного эквивалентного повышения государственных затрат, именно благодаря присутствию мультипликационного эффекта.
2.5. Вклад Кейнса в экономическую теорию
Как уже упоминалось, произведение Дж. М. Кейнса «Общая теория», явилось поворотным пунктом в экономической науке CC в. и во многом определяет экономическую политику стран и в настоящее время.
Теория Кейнса возникла на том этапе, когда в экономическом кризисе находилось большинство стран мира, и тщетные попытки сочетать старые традиционные приёмы использования пространства и материи с инновационными механизмами не приводили к ожидаемому результату.
Потребность в новой рыночной теории была удовлетворена выходом в свет работы Кейнса. Его теория была подхвачена современниками и успешно применена для выхода многих стран из сложившегося экономического кризиса. Масса последователей учения Кейнса, опираясь на его труд, создавали новые модели экономического роста и дополняли положения теории Дж. М. Кейнса.
Таким образом, кейнсианство представляет собой учение Дж. М. Кейнса, подхваченное и дополненное его учениками и последователями, о необходимости и значимости государственного регулирования экономики.
Новое не обязательно лежит на поверхности, как, например, концепция потребительской функции, мультипликатора или спекулятивного спроса. Поистине новыми качествами экономической теории Кейнса было стремление:
· во-первых, иметь дело с агрегированными величинами и на самом деле свести всю экономику к функционированию четырёх взаимосвязанных рынков (товаров, труда, денег и облигаций);
· во-вторых, сосредоточиться на краткосрочном периоде и свести анализ долгосрочных периодов, который был в центре внимания его предшественников, к проблеме вероятности вековой стагнации;
· в-третьих, возложить всю тяжесть приспособления к меняющимся экономическим условиям скорее на объём выпуска продукции, нежели на цены.
Вклад «Общей теории» в экономическую теорию состоял не просто в том, что объект анализа был перенесён с деятельности фирм и домашних хозяйств на изменение агрегатных величин, и даже не в том, что Кейнс поставил в центр макроэкономической теории доход и занятость вместо денег и цен, а в том, чтобы сформулировать теорию в форме моделей, в которых ключевые переменные и взаимосвязи были выражены таким образом, что их можно было квантифицировать и проверять. Стимулы, которые дала «Общая теория» для создания проверяемых моделей экономического поведения, является одной из причин успеха кейнсианской революции.
К концу второй мировой войны эконометрия стала наиболее динамичной отраслью экономической науки, а кейнсианские или неокейнсианские модели имеют очень важное, и при этом растущее, значение для работ эконометриков. Высочайшая дань уважения, которая может быть выражена экономисту, заключается в том, чтобы признать, что экономическую теорию невозможно представить без него.[14]
III. Практическая программа Дж.М.Кейнса.
Дж.Кейнс и его последователи считали, что государство должно способствовать выводу экономики из кризиса, проводя экспансионистскую финансовую и денежно-кредитную политику. Иначе говоря, в периоды кризиса автор концепции рекомендует расширять государственные расходы, стимулировать инвестиционные расходы частного сектора через снижение налогов, низкую ставку процента ("политика дешевых денег") и т.п.
Ведущая роль государства в выводе экономики из кризиса определяется тем, что в краткосрочном периоде стимулировать предложение бессмысленно. Никто не будет наращивать производство при низком совокупном спросе.
Определив объем государственного регулирования, Кейнс дал и ответ на вопрос, какими методами и как его регулировать.
Решающим компонентом эффективного спроса Кейнс, как говорилось выше, считал инвестиции. Их стимулированию он уделял первостепенное внимание. В его книге рекомендуется использовать в этих целях денежно-кредитную и бюджетную политику государства:
· во-первых, необходимо способствовать снижению ставок ссудного процента, обеспечив достаточное количество денег путем отказа от широкой денежной эмиссии. Возможность инфляционного роста цен Кейнса не пугала. Он считал, что инфляция, в особенности если она имеет контролируемый характер, меньшее зло, чем безработица;
· во-вторых, государство должно за счет бюджетных средств осуществлять капитальные вложения в развитие государственного сектора, организовывать общественные работы (строительство дорог, мостов, ремонт общественных зданий и т.п.), расширять программы помощи нуждающимся. Все это будет способствовать росту занятости, доходов и, в конечном счете, совокупного спроса.
Теория Кейнса, таким образом, тесно связана с практикой, с постановкой задач государственной экономической политики и в этом смысле означала поворот к традициям немарксистской политической экономики.
Итак, решающей компонентой эффективного спроса Кейнс считал инвестиции, уделяя их стимулированию первостепенное внимание.
В его книге рекомендуются два основных метода увеличения инвестиций:
1. денежно-кредитная политика;
2. бюджетная политика.
Первый метод заключается во всемерном понижении ставки процента, чтобы уменьшить нижний предел эффективности будущих капиталовложений и сделать их более привлекательными. Однако денежная политика, как уточнял Кейнс, недостаточна в условиях полного спада, ибо она не обеспечивает должного восстановления уверенности в предпринимательской сфере. Кроме того, эффективность денежной политики объективно ограничена, т.к. за определенным порогом, по мнению Кейнса, экономика может очутиться в так называемой "ловушке ликвидности", при которой увеличение денежной массы практически не снижает норму процента. Поэтому политика на денежном рынке должна быть дополнена активной бюджетной политикой, или "социализацией инвестиций". Под "социализацией инвестиций" Кейнс подразумевал активное финансирование, кредитование частных предпринимателей из государственного бюджета. В целях увеличения объема ресурсов, необходимых для увеличения частных капиталовложений, предусматривалась также организация государственных закупок товаров и услуг. Такой канал стимулирования эффективного спроса, как потребление, имеет в практических рекомендациях экономиста подчиненный характер. Он утверждал, что стимулировать потребление целесообразно лишь после того, как достигнута стадия инвестиционного насыщения. Главным фактором воздействия на рост склонности к потреблению Кейнс считал организацию общественных работ, а также потребление государственных служащих.
Однако в ряде мест своего главного труда Кейнс повторял мысль о целесообразности уменьшения имущественного неравенства, перераспределения части доходов в пользу малоимущих слоев, ибо при низком доходе склонность к потреблению повышается, и следовательно, эффективность государственной поддержки населения ощущается сильнее.
Частичное перераспределение доходов в пользу бедных могут опять-таки стимулировать инвестиции благодаря росту потребления. Они играют также роль экономического стабилизатора, важность которого стала очевидной после 1929г. (теория балансового колеса).
Более сложным является вопрос об отношении Кейнса к программе снижения заработной платы. Общеизвестны его выступления против неоклассических рецептов сокращения безработицы путем уменьшения заработков рабочих. (Реальная заработная плата - важнейшая составляющая потребительских расходов, и ее падение неблагоприятно сказывается на объеме эффективного спроса). Известно и то, что в ряде мест Кейнс признавал возможность расширения эффективного спроса через понижение оплаты труда. Но автор "Общей теории" делал при этом одну существенную оговорку: такое понижение может дать эффект лишь в том случае, если увеличит склонность к потреблению и уменьшит норму процента относительно предельной эффективности капитала.
Профсоюзы же Кейнс рассматривал как своеобразные торговые агенты по продаже труда и принимал их неизбежную реальность. Он учитывал также, что сокращение заработной платы связано со значительными социальными трудностями, и рекомендовал стремиться к желаемому результату иными путями – опять-таки через банковскую и бюджетную политику.
Таким образом, программа Дж.М.Кейнса действительно была нацелена в первую очередь на достижение практических результатов, о чем говорит его широкая программа государственного вмешательства в экономику и вывода конкретной страны из кризиса. Его программа была не единожды реализована на практике: в конце 30-х годов кейнсианство становится господствующей доктриной в науке и экономической политике. Реализация его идей, в известной мере, обеспечила подъем Запада в 40-60-х годах и долговременную стабилизацию капитализма.
КРИТИКА ТЕОРИИ КЕЙНСА.
Кейнс создал школу экономического анализа, представители которой утверждают, что для стимуляции экономики следует стимулировать совокупный спрос. Кейнс говорил, что государство должно создавать рабочие места путем увеличения государственных расходов, что увеличивает совокупный спрос. Для финансирования государственных расходов Кейнс советовал выпускать государственные облигации.
При выпуске государственных облигаций количество денег в обращении увеличивается. Коммерческие банки, которые покупают государственные облигации, создают новые деньги путем создания новых вкладов, вне зависимости от того это государственный долг или частный. При этом количество денег в обращении увеличивается, но количество товаров не увеличивается. В результате покупательная способность денег уменьшается, и деньги обесцениваются. То есть увеличение инфляции и государственной задолженности есть цена, которую кейнсианцы предлагают платить за улучшение экономики. А главным инструментом такой экономической политики является повышение совокупного спроса. Кейнсиантво не признает важности совокупного предложения.
Но совокупный спрос и совокупное предложение одинаково важны для экономики. Государство не должно создавать рабочие места. Государство должно только обеспечить увеличение банковского кредита путем увеличения банковских резервов. Чтобы деньги не обесценивались, нужно увеличить совокупное предложение, т.е. производить товары. Для этого коммерческие банки должны увеличить кредит для создания основных фондов производства, без увеличения которых невозможно увеличить совокупное предложение.
Но коммерческие банки могут выдать ссуд только на определенную сумму. Лимит этой суммы определяется величиной денежной базы, т.е. банковских резервов. Чтобы увеличить размер банковских резервов, государство в лице Центрального Банка должно печатать банкноты и давать ссуды коммерческим банкам, которые, в свою очередь увеличат кредит коммерческим структурам. Тут более приемлемо прямое печатание денег, без всяких облигаций. Экономика улучшится так же, как и при кейнсианском стимулировании, но без увеличения государственной задолженности, и без увеличения инфляции.
Таким образом, Кейнсианство хромает на одну ногу, т.к. не признает важности совокупного предложения. Теория Кейнса может быть применена только во время дефляции. Когда цены падают, нужно их стабилизировать на определенном уровне, и увеличение совокупного спроса остановит падение цен. В любом другом случае теория Кейнса непригодна. Теорию Кейнса можно называть теорией совокупного спроса. Это теория для улучшения экономической системы, находящейся в глубокой депрессии[15] .
Заключение
Значение работы Дж.М.Кейнса «Общая тория занятости, процента денег» для развития экономической мысли неоценимо. Ее главная идея состоит в том, что система рыночных экономических отношений отнюдь не является совершенной и саморегулируемой и что максимально возможную занятость и экономический рост может обеспечить только активное вмешательство государства в экономику. По сути дела эта идея вызвала так называемую «кейнсианскую революцию», которая положила конец безраздельному господству доктрины «laises faire, laises passer» («дайте возможность делать, дайте возможность идти») – этому пламенному призыву экономистов XVIII века, обращенного к государству. Это была настоящая революция в экономической мысли: происходила внезапная и неимоверно быстрая трансформация всей теоретической сферы, включая метафизическое «виденье» экономического процесса, с которого начинались все предыдущие теории. Кейнс возбудил веру в то, что правительства могут ликвидировать депрессию и безработицу, регулируя государственные расходы и налоги.
Значение теории Кейнса как исходной базы развития теории макроэкономической динамики обуславливается множеством существенных моментами:
· макроэкономический метод исследования;
· он выдвигает на первый план проблемы реализации, или «эффективного спроса», которая положила начало развития динамической теории цикла;
· его теории национального дохода в целом и мультипликатора органично вошли в посткейнсианские теории экономического роста;
· он соединил экономическую тории и экономическую политику в одно целое, которое призвано способствовать поддержке жизнедеятельности капиталистической системы государства.
Теория Кейнса несла на себе отпечаток депрессивной экономики 30-х гг., и это сказалось не только на абсолютизации им проблемы реализации, отрицательном отношении к сбережениям, но и на недооценке форм государственного вмешательства.
С середины 70-х гг. начался серьезный кризис кейнсианства. Кризис кейнсианской концепции государственного регулирования обусловлен многочисленными факторами, среди которых, на первом месте стоят технологические и социальные сдвиги, порожденные научно-технической революцией, а также всесторонняя интернационализация производства и капитала. Первый фактор обусловил гигантское расширение номенклатуры изделий при чрезвычайной ее изменчивости, привел к невиданной ранее подвижности производственных и финансовых пропорций, увеличил удельный вес мелких и мельчайших предприятий. В этих условиях роль стимулов и рычагов спонтанного рыночного регулирования объективно усилилась, тогда как значение государственного регулирования относительно уменьшилось. В этом же направлении действовала и интернационализация хозяйства ведущих капиталистических стран, понижавшая действенность национальных средств воздействия на экономику.
Нельзя не видеть, что в течение ряда десятилетий Кейнс и его последователи обеспечивали руководящие круги Запада новой теорией макроанализа и соответствующей хозяйственной рецептурой, чем внесли немалый вклад в экономический подъем 40-60-х гг. и в общую долговременную стабилизацию капитализма.
Список использованных источников:
- Блауг М. Экономическая мысль в ретроспективе: Учебник. – М.:АНХ, 1994.
- Викинаука, свободная научная энциклопедия [Электронный ресурс]. – Режим доступа: http://ru.science.wikia.com/wiki/Критика_теории_Кейнса – Дата доступа: 22.02.2009.
- Википедия, свободная энциклопедия [Электронный ресурс]. – Режим доступа: http://ru.wikipedia.org/wiki/Кейнсианство – Дата доступа: 21.02.2009.
- Гальперин В.М. Макроэкономика: Учебник. – СПб.:БХВ-Питер,1994.
- Костюк В.Н. История экономических учений: Учебное пособие. – М.: Прогресс, 1997.
- Сорвина Г.Н. История экономической мысли двадцатого столетия: Курс лекций / Г.Н.Сорвина. - М.: Изд-во РАГС, 2001. - 245 с.
- Ягаров Я.С. История экономических учений: Учебник.- М.: Экономика, 1996.
[1] http://ru.wikipedia.org/wiki/Кейнсианство
[2] Костюк В.Н. История экономических учений: Учебное пособие. – М.: Прогресс, 1997.
[3] Кейнс Дж. М. Общая теория занятости, процента и денег. – М.: Прогресс, 1978.
[4] Ядгаров Я.С. История экономических учений: Учебник. – М., 1997.
[5] Ягаров Я.С. История экономических учений: Учебник.- М.: Экономика, 1996.
[6] Там же
[7] Ягаров Я.С. История экономических учений: Учебник.- М.: Экономика, 1996.
[8] Блауг М. Экономическая мысль в ретроспективе: Учебник. – М.:АНХ, 1994.
[9] Блауг М. Экономическая мысль в ретроспективе: Учебник. – М.:АНХ, 1994.
[10] Там же.
[11] Там же.
9 Блауг М. Экономическая мысль в ретроспективе: Учебник. – М.:АНХ, 1994.
10 Блауг М. Экономическая мысль в ретроспективе: Учебник. – М.:АНХ, 1994.
[14] Блауг М. Экономическая мысль в ретроспективе. – М.: АНХ, 1994. –720 с.
[15] http://ru.science.wikia.com